Ответы к зачету введение в специальность естествознание
ТЕМА 1.
Естественно- научная и гуманитарная культура. Естественно-
научная картина мира
1.1. культура как
исторически сложившийся уровень развития общества, человека.
1.2. Материальна,
духовная и естественно – научная культура.
1.3. Университетская
– корпоративная культура. РГСУ
1.4. Единство и
различие методов естественных и гуманитарных наук.
1.5. Научный метод.
Объяснение понимание и предсказание явлений.
1.6. Естественно-
научная картина мира и концепция естествознания.
1.7. Научная
парадигма и революция в естествознании.
1.1. Культура -- это система средств
человеческой деятельности, благодаря которой программируется, реализуется,
стимулируется активность индивида, групп, человечества в их взаимодействии с
природой и между собой.
Эти средства создаются людьми, постоянно совершенствуются и
состоят из трех содержательных типов культур -- материальной, социальной и
духовной.
объяснению явлений и выражающих их понятий. Одним из путей
объяснения понятия "культуры" является ее инструменталистская
трактовка.
1.2. Материальная
культура - совокупность вещественно-энергетических средств бытия человека и
общества. Она включает разнообразные факторы: орудия труда, активную и
пассивную технику, физическую ("телесную") культуру индивида и
населения, благосостояние человека и общества и т. д.
Духовная культура - это
составная часть культурных достижений человечества. Она представляет собой
многообразную систему знаний, состояний эмоционально-волевой сферы психики и
мышления индивидов, а также непосредственных форм их выражений -- знаков.
Универсальный знак -- язык -- естественный и искусственный, звуковой (речь) и
письменный.
Основные виды духовной культуры
- мораль, право, мировоззрение, идеология, искусство, наука и т. д. Каждый из
этих видов духовной культуры состоит из относительно самостоятельных разновидностей.
Естественно-научная культура во многом исключает
субъективизм ученого. Выделим основные признаки (показатели) рассматриваемых
видов культур. Специфика естественно-научной культуры состоит в том, что знание
о природе постоянно совершенствуется, отличается высокой степенью
объективности, представляет собой наиболее достоверный (истинный) слой массива
человеческого знания, имеющего большое значение для существования человека и
общества.
1.3. Российский государственный социальный
университет, выступая базовым вузом для системы социального образования в
стране и являясь международным центром подготовки высококвалифицированных
кадров для социальной работы, призван эффективно решать эту многоплановую
задачу. Такой инновационный прорыв представляется возможным, если будут
правильно определены приоритеты. В их числе мы выделяем такие, как интеграция
конструктивного опыта социального образования, освоение инновационного
направления подготовки кадров для социальной сферы и достижение качественно
нового уровня научной и образовательной деятельности в вузе. В своем развитии и
деятельности Университет опирается именно эти приоритеты, сосредотачивает на
них основные усилия и средства, добиваясь эффективной реализации ключевых задач
в рамках единой цели и принятой стратегии.
Для университетской корпорации РГСУ все более очевидным
становится приоритет в достижении высоких качественных показателей социального
образования. Качество рассматривается как основное условие успешности
образовательной деятельности, полезности педагогического труда каждого из нас,
привлекательности и востребованности наших выпускников не только в России, но и
во всем мире, и, прежде всего, в зоне европейского высшего образования.
1.4.Наиболее отчетливо различие между естественнонаучной
и гуманитарной культурами выражается в истолковании их подхода к основным
функциям науки, важнейшие из которых - объяснение, понимание и предсказание
явлений.
1.5.Научный метод — совокупность основных способов
получения новых знаний и методов решения задач в рамках любой науки.
Метод включает в себя способы исследования феноменов,
систематизацию, корректировку новых и полученных ранее знаний. Умозаключения и
выводы делаются с помощью правил и принципов рассуждения на основе эмпирических
(наблюдаемых и измеряемых) данных об объекте. Базой получения данных являются
наблюдения и эксперименты. Для объяснения наблюдаемых фактов выдвигаются
гипотезы и строятся теории, на основании которых формулируются выводы и
предположения. Полученные прогнозы проверяются экспериментом или сбором новых
фактов.
Объяснение в самой общей форме можно определить как
подведение явления, факта или события под некоторый общий закон, теорию или
концепцию.
Пониманием называют способ, посредством которого
можно интерпретировать или истолковывать явления и события индивидуальной
духовной жизни и гуманитарной деятельности.
Предвидение, или предсказание, по логической
структуре не отличается от объяснения и основывается также на выводе
высказываний о фактах из общих утверждений (законов а теории), но сама факты
остаются гипотетическими, неизвестными и их предстоит еще открыть.
1.6.Научная картина мира - это целостная система
представлений об общих свойствах и закономерностях природы, возникшая в
результате обобщения основных естественнонаучных понятий и принципов.
Важнейшие элементы структуры научной картины мира -
междисциплинарные концепции, образующие ее каркас. Концепции, лежащие в основе
научной картины мира, являются ответами на сущностные основополагающие вопросы
о мире. Эти ответы меняются с течением времени, по мере эволюции картины мира,
уточняются и расширяются, однако сам "вопросник" остается практически
неизменным по крайней мере со времен мыслителей классической Древней Греции.
Каждая научная картина мира обязательно включает в себя следующие
представления:
о материи (субстанции);
о движении;
о пространстве и времени;
о взаимодействии;
о причинности и закономерности;
космологические представления.
Каждый из перечисленных элементов изменяется по мере
исторической смены научных картин мира.
Современная естественно-научная картина мира, которую еще
называют и эволюционной картиной мира является результатом синтеза систем мира
древности, античности, гео- и гелиоцентризма, механистической, электромагнитной
картин мира и опирается на научные достижения современного естествознания.
1.7.научная парадигма, подобна религиозной вере,
которую выбирают родители после рождения ребёнка или сам человек, будучи
взрослым. Выбрав однажды, ей следуют всю жизнь до самой смерти или до тех пор,
пока сам человек не усомнится в правоте и истинности её постулатов или догматов
веры, всегда непререкаемых и святых в любой религии.Аналогичное положение
наблюдается с верой учёных в святость существующей парадигмы: она считается
обязательной для всех не только потому, что она возникла благодаря работам
авторитетных учёных мира, но и по той причине, что она является результатом
коллективного согласованного мнения определённого мирового круга
учёных-теоретиков и исследователей, работающих в элитарных научных учреждениях.
Тема2 Концепция относительности пространства и времени.
Абсолютное пространство — это чистое и неподвижное
вместилище тел; абсолютное время — чистая длительность, абсолютная
равномерность событий. Ньютон считал, что вполне возможно допустить
существование мира, в котором есть только одно абсолютное пространство и нет ни
материи, ни абсолютного времени; либо же существование мира, в котором есть
пространство и время, но нет материи; либо же существование мира, в котором
есть только время, но нет ни пространства, ни материи. По мнению Ньютона,
абсолютное пространство и абсолютное время — это реальные физические
характеристики мира, но они не даны непосредственно органам чувств, и их
свойства могут быть постигнуты лишь в абстракции; возможно, только в будущем физика
сумеет найти реальные системы, соответствующие абсолютному пространству и
абсолютному времени.
Пространство и время – всеобщие существование материи. Они
не существуют вне материи и не зависят он нее.
Пространство – форма существования материи, характеризующая
ее протяженность и объем, сосуществования и взаимодействия материальных
объектов и процессов, совокупность отношений координации и расположения
объектов относительно друг друга.
Свойства пространства:
- Расстояние
- Длина
- Площадь
- Объем
- Углы между различными пространствами
- Направление
- Структура
- Взаимодействие
- Свойства симметрии
Время – форма существования материи, связь с движениями и
характеризующаяся с последовательной сменой явлений и состояний материи,
длительностью процессов.
Свойства времени:
- Необратимость
- Одномерность
Оно течёт из прошлого через настоящее к будущему. Нельзя
возвратиться назад в какую-либо точку времени, но нельзя и перескочит через
какой-либо временной промежуток в будущее. отсюда следует, что время
составляет, как бы рамки для причинно-следственных связей.
- Однородность. Во времени все точки равноправны, не
существует преимущественной точки отсчёта, любую можно принимать за
начальную.
Единцы измерения времени и длины.
Единица физической величины (длина, время) – физические
величины, которые по определению присвоено числовое значение равное 1 9метр,
сек)
Единицы измерения физических величин, величины, по
определению считающиеся равными единице при измерении других величин такого же
рода. Эталон единицы измерения — ее физическая реализация. Так, эталоном
единицы измерения "метр" служит стержень длиной 1 м.
Международная система единиц (СИ) представляет собой
согласованную систему, в которой для любой физической величины, такой, как
длина, время или сила, предусматривается одна и только одна единица измерения.
Метр — это длина пути, проходимого в вакууме светом за 1/299
792 458 долю секунды. Это определение было принято в октябре 1983.
Метр – одна десятимиллионная часть ¼ длины меридиана,
проходящего через Париж.
Секунда — продолжительность 9 192 631 770 периодов колебаний
излучения, соответствующего переходам между двумя уровнями сверхтонкой
структуры основного состояния атома цезия-133.
Положение объекта в пространстве. Декартова система
координат.
Дальнейшее развитие представлений о пространстве и времени
связано с рационалистической физикой Р.Декарта, который создал первую
универсальную физико-космологическую картину мира.
Как известно, положение движущегося тела в каждый момент
времени определяется по отношению к некоторому другому телу, которое называется
системой отсчета. С этим телом связана соответствующая система
координат, например знакомая нам декартова система координат. На
плоскости движение тела или материальной точки определяется двумя координатами:
абсциссой х, показывающей расстояние точки от начала координат по
горизонтальной оси, и ординатой у, измеряющей расстояние точки от начала
координат по вертикальной оси. В пространстве к этим координатам добавляется
третья координата z.
Среди систем отсчета особо выделяют инерциальные системы,
которые находятся друг относительно друга либо в покое, либо в равномерном и
прямолинейном движении.
1. Инерциальная система отсчёта (ИСО) — система
отсчёта, в которой справедлив закон инерции (1 закон Ньютона): любое тело, на
которое не действуют внешние силы (или сумма сил равно нулю), находится в
состоянии покоя или равномерного прямолинейного движения.
Всякая система отсчёта, движущаяся относительно ИСО
равномерно и прямолинейно, также является ИСО. Согласно принципу
относительности, все ИСО равноправны, и все законы физики в них действуют
одинаково.
2. Неинерциальные системы - все остальные (кроме
инерциальных) системы.
Принцип относительности в классической механике –
преобразования Галилея.
Подлинная революция в механике связана с именем Г.Галилея.
Он ввел в механику точный количественный эксперимент и математическое описание
явлений. Первостепенную роль в развитии представлений о пространстве сыграл
открытый им общий принцип классической механики - принцип относительности
Галилея. Согласно этому принципу все физические (механические) явления
происходят одинаково во всех системах, покоящихся и движущихся равномерно и
прямолинейно с постоянной по величине и направлению скоростью.
Впервые принцип относительности был установлен Галилеем, но
окончательную формулировку получил лишь в механике Ньютона. Для его понимания
нам потребуется ввести понятие тела отсчета, или системы координат. Как
известно, положение движущегося тела в каждый момент времени определяется по
отношению к некоторому другому телу, которое называется системой отсчета. С
этим телом связана соответствующая система координат, например знакомая нам
декартова система координат. На плоскости движение тела или материальной точки
определяется
двумя координатами: абсциссой х, показывающей расстояние
точки от начала координат по горизонтальной оси, и ординатой у, измеряющей
расстояние точки от начала координат по вертикальной оси. В пространстве к этим
координатам добавляется третья координата
Среди систем отсчета особо выделяют инерциальные системы,
которые находятся друг относительно друга либо в покое, либо в равномерном и
прямолинейном движении. Особая роль инерциальных систем заключается в том, что
для них выполняется принцип относительности.
Принцип относительности утверждает, что во всех
инерциальных системах все механические процессы описываются одинаковым образом,
т.е. посредством законов, имеющих ту же самую математическую форму.
Иначе говоря, в таких системах законы движения тел
описываются теми же самыми математическими уравнениями или формулами.
Действительно, два разных наблюдателя, находящиеся в инерциальных системах, не
заметят в них никаких изменений.
Иллюстрируя этот принцип, Галилей приводил пример
равномерного прямолинейного движения корабля. Внутри него все явления
происходят так же, как на берегу: мухи продолжают летать, тела падают отвесно,
никаких резких толчков не происходит и т.д. Поэтому путь свободного падения
тела на инерциально движущемся корабле и на берегу описывается одним и тем же
законом или формулой.
2. Неинерциальные системы - все остальные (кроме
инерциальных) системы.
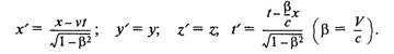
Обсудим так называемое преобразование Галилея.
Рассмотрим две системы координат (X,Y) и (X',Y'), и пусть
при t=0 (абсолютное время) оси координат совпадали.
Затем правая система координат начала двигаться (для
простоты – вдоль только одной оси) со скоростью V'.
В движущейся системе координат выполняются:
x'=x-v't, y'=y, z'=z, t'=t.
Это так называемое преобразование Галилея.
Теория относительности (специальная теория) А. Эйнштейна,
скорость света.
Закон распространения света и принцип относительности
совместимы. И это положение составляет одну из основ специальной теории
относительности.
В ходе разработки своей теории Эйнштейну пришлось
пересмотреть прежние представления классической механики о пространстве и
времени. Прежде всего, он отказался от ньютоновского понятия абсолютного
пространства и времени, а тем самым также от определения движения тела
относительно этого абсолютного пространства.
Каждое движение тела происходит относительно
определенного тела отсчета, и поэтому все физические процессы и законы должны
формулироваться по отношению к точно указанной системе отсчета или координат.
Следовательно, не существует никакого абсолютного расстояния, длины или
протяженности, так же как не может быть никакого абсолютного времени.
Другой важный результат теории относительности состоит в
следующем.
Обособленные в классической механике понятия пространства и
времени в специальной теории относительности объединяются в единое понятие
пространственно-временной непрерывности (континуума).
Как мы уже знаем, положение тела в пространстве определяется
тремя его координатами: х, у, z, но для описания его движения необходимо ввести
еще четвертую координату — время. Таким образом, вместо разобщенных координат
пространства и времени теория относительности рассматривает взаимосвязанный мир
физических событий, который часто называют четырехмерным миром Г. Минковского
(1864— 1909), по имени немецкого математика и физика, впервые предложившего
такую трактовку. В этом мире положение каждого события определяется четырьмя
числами: тремя пространственными координатами движущегося тела х, у, z и
четвертой координатой — временем t.
Специальная теория относительности созданная в 1905 г. А.
Эйнштейном, стала результатом обобщения и синтезом классической механики
Галилея - Ньютона, и электродинамики Максвелла - Лоренса. “Она описывает законы
всех физических процессов при скоростях движения, близких к скорости света, но
без учета поля тяготения. При уменьшении скоростей движения она сводится к
классической механике, которая, таким образом, оказывается ее частным случаем”.
Скорость света является предельной скоростью распространения
материальных воздействий. Она не может складываться ни с какой скоростью и для
всех инерциальных систем оказывается постоянной. Все движущиеся тела на Земле
по отношению к скорости света имеют скорость, равную нулю.
Скорость звука всего лишь 340 м/с.. Это не подвижность по
сравнению со скоростью света.
Из этих двух принципов постоянства скорости света и
расширенного принципа относительности Галилея - математически следуют все
положения специальной теории относительности (СТО). Если скорость света
постоянна для всех инерциальных систем, а они все равноправны, то физические
величины длины тела, промежутка времени, массы для разных систем отсчета будут
различными. Так, длина тела в движущейся системе будет наименьшей по отношению
к покоящейся.
Для промежутка же времени, длительности какого-либо процесса
- наоборот. Время будет как бы растягиваться, течь медленнее в движущейся
системе по отношению к неподвижной, в которой этот процесс будет быстрым.
Еще раз подчеркнем, что эффекты специальной теории
относительности будут обнаруживаться при скоростях, близких к световым. При
скоростях значительно меньше скорости света формулы СТО переходят в формулы
классической механики.
А. Эйнштейн попытался наглядно показать, как происходит
замедление течения времени в движущейся системе по отношению к неподвижной.
Ско́рость све́та — абсолютная величина скорости распространения
электромагнитных волн в вакууме. В физике традиционно обозначается латинской
буквой «c» (произносится как [цэ]). Скорость света в вакууме - фундаментальная
постоянная, не зависящая от выбора инерциальной системы отсчёта (ИСО). Она
относится к фундаментальным физическим постоянным, которые характеризуют не
просто отдельные тела, а свойства пространства и времени в целом. По
современным представлениям, скорость света в вакууме — предельная скорость
движения частиц и распространения взаимодействий. Также важен тот факт, что эта
величина абсолютна. Это один из постулатов СТО.
В вакууме (пустоте)
В 1977 году удалось вычислить приблизительную скорость
света, равную 299792458±1,2 м/с рассчитанную исходя из эталонного метра 1960
года. На данный момент считают, что скорость света в вакууме — фундаментальная
физическая постоянная, по определению, точно равная 299 792 458 м/с, или же 1
079 252 848,8 км/ч. Точное значение связано с тем, что с 1983 года за эталон
метра принято расстояние, которое проходит свет в вакууме за промежуток
времени, равный 1 / 299 792 458 секунды. Скорость света обозначается буквой c.
Основополагающий для СТО опыт Майкельсона показал, что
скорость света в вакууме не зависит ни от скорости движения источника света, ни
от скорости движения наблюдателя. В природе со скоростью света
распространяются:
собственно видимый свет
другие виды электромагнитного излучения (радиоволны,
рентгеновские лучи и др.)
Из специальной теории относительности следует, что движение
любых материальных объектов быстрее скорости света невозможно, поскольку
наличие частиц, обладающих подобным свойством (называемых тахионами), привело
бы к противоречию с принципом причинности.
Действительно, если начало и конец пути тахиона отстоят друг
от друга на расстояние большее, чем мог пройти за время пути свет, то согласно
преобразованиям Лоренца получается, что в некоторой системе отсчёта, процесс
будет выглядеть так, что конец пути предшествует во времени его началу. Иными
словами, наблюдатель этой системы отсчёта придёт к заключению, что источник
тахионов влияет на прошлое, что является нарушением принципа причинности.
Принцип причинности является несомненным опытным фактом, хотя и не является
логически обязательным (ни одна теория не использует его в качестве постулата).
Частицы, движущиеся медленнее света, называются тардионами.
Тардионы не могут достичь скорости света, а только лишь сколь угодно близко
подойти к ней, так как при этом их энергия становится неограниченно большой.
Все тардионы обладают массой покоя, в отличие от безмассовых фотонов и
гравитонов, которые всегда движутся со скоростью света.
В планковских единицах скорость света в вакууме равна 1, то
есть свет проходит 1 единицу планковской длины за единицу планковского времени.
Развитие представления о пространстве и времени.
Преобразования Лоренца.
Уже в античном мире мыслители задумывались над природой и
сущностью пространства и времени. Так, одни из философов отрицали возможность
существования пустого пространства или, по их выражению, небытия. Это были представители
элейской школы в Древней Греции. А знаменитый врач и философ из г. Акраганта
Эмпедокл, хотя и поддерживал учение о невозможности пустоты, в отличи от
элеатов утверждал реальность изменения и движения. Он говорил, что рыба,
например, передвигается в воде, а пустого пространства не существует.
Некоторые философы, в том числе Демокрит, утверждали, что
пустота существует как материи и атомы, и необходимы для их перемещений и
соединений.
Коренное изменение пространственной и всей физической
картины произошло в гелиоцентрической системе мира, развитой Н.Коперником в
работе “Об обращении небесных сфер”. Принципиальное отличие этой системы мира
от прежних теорий состояло в том, что в ней концепция единого, однородного
пространства и равномерности течения времени обрела реальный эмпирический
базис.
Подлинная революция в механике связана с именем Г.Галилея.
Он ввел в механику точный количественный эксперимент и математическое описание
явлений. Первостепенную роль в развитии представлений о пространстве сыграл
открытый им общий принцип классической механики - принцип относительности
Галилея. Согласно этому принципу все физические (механические) явления
происходят одинаково во всех системах, покоящихся и движущихся равномерно и
прямолинейно с постоянной по величине и направлению скоростью.
Дальнейшее развитие представлений о пространстве и времени
связано с рационалистической физикой Р.Декарта, который создал первую
универсальную физико-космологическую картину мира.
Новая физическая гравитационная картина мира, опирающаяся на
строгие математические основания, представлена в классической механике
И.Ньютона. Ее вершиной стала теория тяготения, провозгласившая универсальный
закон природы - закон всемирного тяготения.
Преобразования Галилея становятся неверными при приближении
скорости тела к скорости света. При скоростях движения, близких к скоростям
света, Лоренцом были предложены преобразования при переходах от одной системы к
другой, движущейся с постоянной скоростью, которые имеют вид:
Из этих формул видно, что меняется координата Х¢ вдоль движения тела и время Т, а у¢ и z¢ одинаковы в обеих системах.
Из этого следует, что соотношения преобразования координат и времени, а также
преобразования интервалов времени и длин отрезков при переходе от одной
системы координат к другой, движущейся относительно первой равномерно и
прямолинейно, показывают, что пространственные и временные координаты должны
быть связаны друг с другом и течение времени уже нельзя считать одинаковым и,
следовательно, нельзя отделять пространство от времени. В современной физике
преобразования Лоренца играют большую роль. Эти преобразования показывают, что
параметры пространства и времени связаны между собой и при переходе от одной
системы к другой, если эти системы движутся равномерно и прямолинейно по
отношению друг к другу, меняются согласованно. Значит нет не только абсолютного
пространства, но и абсолютного времени.
ТЕМА3. Концепция атомизма и Вселенной
3.1. Атомизм (атомистика) — филосовское учение,
согласно которой чувственно воспринимаемые (материальные) вещи состоят из
неделимых частиц — атомов. Возникла в древнегреческой философии.
Дальнейшее развитие получила в философии и науке Средних веков и Нового
времени. Это учение о прерывистом, дискретном (зернистом) строении материи. Атомизм
утверждает, что материя состоит из отдельных чрезвычайно малых частиц; до конца
19 в. они считались неделимыми. Для современного атомизма характерно признание
не только атомов, но и других частиц материи как более крупных, чем атомы
(например, молекул), так и более мелких (атомные ядра, электроны и др.). В
более широком смысле под атомизмом понимается иногда дискретность вообще
какого-нибудь предмета, свойства, процесса (социальный атомизм, логический
атомизм). Атомизм выступал почти всегда как материалистическое учение. Поэтому
борьба вокруг него отражала, прежде всего, борьбу между материализмом и
идеализмом в науке. Атомизм уже с древности был направлен против
идеалистического и религиозного взгляда на мир, ибо все сущее он объяснял при
помощи частиц материи, не прибегая к сверхъестественным причинам.
Материалистическое течение в атомизме исходит из тезиса, согласно которому
атомы материальны, существуют объективно и познаваемы. Идеалистическая позиция
выражается в отрицании реальности атомов.
Школа атомистов
Атомистизм был создан представителями досократического
периода развития древнегреческой философии Левкиппом и его учеником Демокритом
Абдерским. Согласно их учению существуют только атомы и пустота. Атомы —
мельчайшие неделимые, невозникающие и неисчезающие, качественно однородные,
непроницаемые (не содержащие в себе пустоты) сущности (частицы), обладающие
определённой формой. Атомы бесчисленны, так как пустота бесконечна. Форма
атомов бесконечно разнообразна. Атомы являются первоначалом всего сущего, всех
чувственных вещей, свойства которых определяются формой составляющих их атомов.
Демокрит предложил продуманный вариант механистического объяснения мира: целое
у него представляет собой сумму частей, а беспорядочное движение атомов, их
случайные столкновения оказываются причиной всего сущего. В атомизме
отвергается положение о неподвижности бытия, поскольку это положение не дает
возможности объяснить движение и изменение, происходящее в чувственном мире.
Стремясь найти причину движения, Демокрит «раздробляет» единое бытие на
множество отдельных «бытий»- атомов, мысля их как материальные, телесные
частицы.
Сторонником атомизма был Платон, который считал, что атомы
имеют форму идеальных Платоновских тел (правильных многогранников).Эпикур атомы
впервые характеризует как телесные («тельца» — корпускулы) и состоящие из
материи.
Теория бесконечной вложенности материи (фрактальная теория)
Данная теория основывается на индуктивных логических выводах
о строении наблюдаемой материальной динамичной Вселенной. Она сосредотачивается
на фундаментальных организационных принципах природы и называет данную
концепцию дискретная фрактальная парадигма. Существуют галактические уровни
материи-атомный, звёздный, галактический. Они самоподобны .
3.2. Пространство и время—всеобщие формы существ. материи.
Простра́нство-вре́мя — физическая модель,
дополняющая пространство временным измерением и, таким образом, создающая новую
теоретико-физическую конструкцию, которая называется пространственно-временным
континуумом. В соответствии с теорией относительности, Вселенная имеет три
пространственных измерения и одно временное измерение.
Прерывность (дискретность) и непрерывность, философской
категории, характеризующие как структуру материи, так и процесс её развития.
Прерывность означает «зернистость», дискретность пространственно-временного
строения и состояния материи, составляющих её элементов, видов и форм
существования, процесса движения, развития. Она основывается на делимости и
определённой степени внутренней дифференцированности материи в её развитии, а
также на относительно самостоятельном существовании составляющих её устойчивых
элементов, качественно определённых структур, например элементарных частиц,
ядер, атомов, молекул, кристаллов, организмов, планет, общественно-экономических
формаций и т.д. Непрерывность, напротив, выражает единство, взаимосвязь и
взаимообусловленность элементов, составляющих ту или иную систему определённой
степени сложности. Непрерывность основывается на относительной устойчивости и
неделимости объекта как качественно определённого целого. Именно единство
частей целого и обеспечивает возможность самого факта существования и развития
объекта как целого. Т. о., структура какого-либо предмета, процесса
раскрывается как единство П. и н. Прерывность обеспечивает возможность
сложного, внутренне дифференцированного, разнородного строения вещей, явлений.
А «зернистость», отделённость того или иного объекта составляет необходимое
условие для того, чтобы элемент данной структуры выполнял определённую функцию
в составе целого. Вместе с тем прерывность обусловливает возможность
дополнения, а также замены и взаимозамены отдельных элементов системы.
Единство П. и н. характеризует и процесс развития явлений.
Непрерывность в развитии системы выражает её относительную устойчивость,
пребывание в рамках данной меры. Прерывность же выражает переход системы в
новое качество. Одностороннее подчёркивание только прерывности в
развитии означает утверждение полного разрыва моментов и тем самым потерю
связи. Признание только непрерывности в развитии ведёт к отрицанию каких-либо
качественных сдвигов и по существу к исчезновению самого понятия развития. Для
метафизического способа мышления характерно обособление П. и н. Диалектический
материализм подчёркивает не только противоположность, но связь, единство П. и
н., что подтверждается всей историей науки и общественной практики.
3.3. В 18 в. в работах Дж. Дальтона (1766-1844), который
принял атомный вес водорода за единицу и сопоставил с ним атомные веса
других газов. Благодаря этому стали изучаться физико-химические свойства
атомов. В 19 в. Д. И. Менделеев (1834-1907) построил систему хим. элементов,
основанную на их атомном весе.
Систематические исследования строения атомов начались в 1897
г. благодаря открытию Дж. Томсоном (1856-1940) электрона. В 1903 г. Дж. Томсон,
развивая идеи У. Томсона (лорда Кельвина) (1824-1907) о строении атома (У.
Томсон в 1902 г. предложил первую модель атома, согласно которой положительный
заряд в атоме распределён в достаточно большой области, а электроны вкраплены в
него, как «изюм в пудинг» ), усовершенствовал модель атома. Атом, по Дж.
Томсону, представлял собой положительно заряженный шар с вкрапленными в него
электронами, суммарный отрицательный заряд которых по модулю равен
положительному заряду шара (модель атома Томсона). Поскольку масса электрона
приблизительно в 2000 раз меньше массы атома водорода, то предполагалось, что
почти вся масса атома определяется массой положительного заряда.
Периодическая система химических элементов (таблица Менделеева)
— классификация химических элементов, устанавливающая зависимость различных
свойств элементов от заряда атомного ядра. Система является графическим
выражением периодического закона, установленного русским химиком Д.И.
Менделеевым в 1869 году. Её первоначальный вариант был разработан Д. И.
Менделеевым в 1869—1871 годах и устанавливал зависимость свойств элементов от
массового числа атомов (или их атомной массы). Всего предложено несколько сот
вариантов изображения периодической системы (аналитических кривых, таблиц,
геометрических фигур и т. п.). В современном варианте системы
предполагается сведение элементов в двумерную таблицу, в которой каждый столбец
(группа) определяет основные физико-химические свойства, а строки представляют
собой периоды, в определённой мере подобные друг другу.
История открытия
К середине XIX века были открыты почти 60 химических
элементов, и попытки найти закономерности в этом наборе предпринимались
неоднократно. В 1829 году Дёберейнер опубликовал найденный им «закон триад»:
атомный вес многих элементов близок к среднему арифметическому двух других
элементов, близких к исходному по химическим свойствам (стронций, кальций и
барий, хлор, бром и йод и др.). Первую попытку расположить элементы в порядке
возрастания атомных весов предпринял Александр Эмиль Шанкуртуа (1862), который
разместил элементы вдоль винтовой линии и отметил частое циклическое повторение
химических свойств по вертикали. Обе указанные модели не привлекли внимания
научной общественности.
В 1866 году свой вариант периодической системы предложил
химик и музыкант Джон Александр Ньюлендс, модель которого («закон октав»)
внешне немного напоминала менделеевскую, но была скомпрометирована настойчивыми
попытками автора найти в таблице мистическую музыкальную гармонию. В этом же
десятилетии появились ещё несколько попыток систематизации химических
элементов; ближе всего к окончательному варианту подошёл Юлиус Лотар Мейер
(1864). Д. И. Менделеев опубликовал свою первую схему периодической таблицы в
1869 году в статье «Соотношение свойств с атомным весом элементов» (в журнале
Русского химического общества); ещё ранее (февраль 1869 г.) научное извещение
об открытии было им разослано ведущим химикам мира.
По легенде, мысль о системе химических элементов пришла к
Менделееву во сне, однако известно, что однажды на вопрос, как он открыл
периодическую систему, учёный ответил: «Я над ней, может быть, двадцать лет
думал, а вы думаете: сидел и вдруг… готово».
Написав на карточках основные свойства каждого элемента (их
в то время было известно 63, из которых один — дидим Di — оказался в дальнейшем
смесью двух вновь открытых элементов, празеодима и неодима), Менделеев начинает
многократно переставлять эти карточки, составлять из них ряды сходных по
свойствам элементов, сопоставлять ряды один с другим. Итогом работы стал
отправленный в 1869 году в научные учреждения России и других стран первый
вариант системы («Опыт системы элементов, основанной на их атомном весе и
химическом сходстве»), в котором элементы были расставлены по девятнадцати
горизонтальным рядам (рядам сходных элементов, ставших прообразами групп
современной системы) и по шести вертикальным столбцам (прообразам будущих
периодов). В 1870 году Менделеев в «Основах химии» публикует второй вариант
системы («Естественную систему элементов»), имеющий более привычный нам
вид: горизонтальные столбцы элементов-аналогов превратились в восемь
вертикально расположенных групп; шесть вертикальных столбцов первого варианта
превратились в периоды, начинавшиеся щелочным металлом и заканчивающиеся
галогеном. Каждый период был разбит на два ряда; элементы разных вошедших в
группу рядов образовали подгруппы.
Сущность открытия Менделеева заключалась в том, что с ростом
атомной массы химических элементов их свойства меняются не монотонно, а периодически.
После определённого количества разных по свойствам элементов, расположенных по
возрастанию атомного веса, свойства начинают повторяться. Например, натрий
похож на калий, фтор похож на хлор, а золото похоже на серебро и медь.
Разумеется, свойства не повторяются в точности, к ним добавляются и изменения.
Отличием работы Менделеева от работ его предшественников было то, что основ для
классификации элементов у Менделеева была не одна, а две — атомная масса и
химическое сходство. Для того чтобы периодичность полностью соблюдалась,
Менделеевым были предприняты очень смелые шаги: он исправил атомные массы
некоторых элементов, несколько элементов разместил в своей системе вопреки
принятым в то время представлениям об их сходстве с другими (например, таллий,
считавшийся щелочным металлом, он поместил в третью группу согласно его
фактической максимальной валентности), оставил в таблице пустые клетки, где
должны были разместиться пока не открытые элементы. В 1871 году на основе этих
работ Менделеев сформулировал Периодический закон, форма, которая со временем
была несколько усовершенствована.
Научная достоверность Периодического закона получили
подтверждение очень скоро: в 1875—1886 годах были открыты галлий (экаалюминий),
скандий (экабор) и германий (экасилиций), для которых Менделеев, пользуясь
периодической системой, предсказал не только возможность их существования, но
и, с поразительной точностью, целый ряд физических и химических свойств.
В начале XX века с открытием строения атома было
установлено, что периодичность изменения свойств элементов определяется не
атомным весом, а зарядом ядра, равным атомному номеру и числу электронов,
распределение которых по электронным оболочкам атома элемента определяет его
химические свойства.
Дальнейшее развитие периодической системы связано с
заполнением пустых клеток таблицы, в которые помещались всё новые и новые
элементы: благородные газы, природные и искусственно полученные радиоактивные
элементы. Седьмой период периодической системы до сих пор не завершён, проблема
нижней границы таблицы Менделеева остаётся одной из важнейших в современной
теоретической химии.
Периодический закон Д. И. Менделеева —
фундаментальный закон, устанавливающий периодическое изменение свойств
химических элементов в зависимости от увеличения зарядов ядер их атомов. Открыт
Д. И. Менделеевым в марте 1869 года при сопоставлении свойств всех
известных в то время элементов и величин их атомных масс (весов). Термин «периодический
закон» Менделеев впервые употребил в ноябре 1870, а в октябре 1871 дал
окончательную формулировку Периодического закона: «свойства простых тел, а
также формы и свойства соединений элементов, а потому и свойства образуемых ими
простых и сложных тел, стоят в периодической зависимости от их атомного веса».
Графическим (табличным) выражением периодического закона является разработанная
Менделеевым периодическая система элементов.
Значение периодической системы
Периодическая система Д. И. Менделеева стала важнейшей вехой
в развитии атомно-молекулярного учения. Благодаря ней сложилось современное
понятие о химическом элементе, были уточнены представления о простых веществах
и соединениях.
Прогнозирующая роль периодической системы, показанная ещё
самим Менделеевым, в XX веке проявилась в оценке химических свойств
трансурановых элементов.
Появление периодической системы открыло новую, подлинно
научную эру в истории химии и ряде смежных наук — взамен разрозненных сведений
об элементах и соединениях появилась стройная система, на основе которой стало
возможным обобщать, делать выводы, предвидеть.
3.4. Атом (др.- греч. ἄτομος —
неделимый) — микроскопическая частица вещества, наименьшая часть
химического элемента, являющаяся носителем его свойств.
Планетарная модель атома - модель атома, согласно которой в
центре атома находится положительно заряженное ядро, в котором сосредоточена
практически вся масса атома. Вокруг ядра движутся электроны, удерживаемые у
ядра силами кулоновского притяжения. Совокупность электронов образует оболочку
атома, которая своим отрицательным зарядом компенсирует заряд ядра.
Модель атома Томсона (модель «Пудинг с изюмом», англ. Plum pudding model). Дж. Дж. Томсон предложил рассматривать
атом как некоторое положительно заряженное тело с заключёнными внутри него
электронами. Эта модель не объясняла дискретный характер излучения атома и его
устойчивость. Была окончательно опровергнута Резерфордом после проведённого им
знаменитого опыта по рассеиванию альфа-частиц.
Ранняя планетарная модель атома Нагаоки. В 1904 году
японский физик Хантаро Нагаока предложил модель атома, построенную по аналогии
с планетой Сатурн. В этой модели вокруг маленького положительного ядра по
орбиталям вращались электроны, объединённые в кольца. Модель оказалось
ошибочной, но некоторые важные её положения вошли в модель Резерфорда.
Планетарная модель атома Бора-Резерфорда. В 1911 году Эрнест
Резерфорд, проделав ряд экспериментов, пришёл к выводу, что атом представляет
собой подобие планетной системы, в которой электроны движутся по орбитам вокруг
расположенного в центре атома тяжёлого положительно заряженного ядра («модель
атома Резерфорда»). Однако такое описание атома вошло в противоречие с
классической электродинамикой. Дело в том, что, согласно классической
электродинамике, электрон при движении с центростремительным ускорением должен
излучать электромагнитные волны, а, следовательно, терять энергию. Расчеты
показывали, что время, за которое электрон в таком атоме упадёт на ядро,
совершенно ничтожно. Для объяснения стабильности атомов Нильсу Бору пришлось
ввести постулаты, которые сводились к тому, что электрон в атоме, находясь в
некоторых специальных энергетических состояниях, не излучает («модель атома
Бора-Резерфорда»). Постулаты Бора показали, что для описания атома классическая
механика неприменима. Дальнейшее изучение излучения атома привело к созданию
квантовой механики, которая позволила объяснить подавляющее большинство
наблюдаемых фактов.
Постулаты Бора
Первый постулат Бора (постулат стационарных
состояний): в атоме существуют некоторые стационарные состояния, не
изменяющиеся во времени без внешних воздействий. В этих состояниях атом не
излучает электромагнитных волн.
Второй постулат Бора (правило частот): при переходе
атома из одного стационарного состояния в другое им испускается или поглощается
один квант энергии.
Протон (от др. греч. πρῶτος — первый,
основной) — элементарная частица. Относится к барионам, имеет спин 1/2,
электрический заряд +1. В физике элементарных частиц рассматривается как нуклон
с проекцией изоспина +1/2 (в ядерной физике принят противоположный знак
проекции изоспина). Состоит из трёх кварков (один d-кварк и два u-кварка).
Стабилен (нижнее ограничение на время жизни — 2,9×1029
лет независимо от канала распада, 1,6×1033 лет для распада в
позитрон и нейтральный пион).
Масса протона 1,672 621 637(83) × 10−27
кг
Нейтрон — элементарная частица, не имеющая заряда. Нейтрон
принадлежит к классу барионов.
Масса: 939,565360(81) МэВ (1,6749485×10−27
кг, 1,00866491560(55) а.е.м.), что примерно на 0,14 % больше, чем масса
протона
Спин: 1/2 (фермион)
Время жизни в свободном состоянии: 885,7 ± 0,8 секунды
(период полураспада — 614 секунд)
Магнитный момент: −1,91304273(45) ядерного магнетона
Несмотря на нулевой электрический заряд, нейтрон не является
истинно нейтральной частицей. Античастицей нейтрона является антинейтрон, который
не совпадает с самим нейтроном.
Электрон — стабильная элементарная частица, одна из основных
структурных единиц вещества. Из электронов состоят электронные оболочки атомов,
где их число и положение определяет все химические свойства веществ. Движение
свободных электронов обуславливает такие явления, как электрический ток в
проводниках и вакууме.
кг
— масса электрона.
Кл
— заряд электрона.
Время жизни не менее 4,6*1026 лет
Спин 1/2
3.5. Радиусом атома называется расстояние между атомным
ядром и самой дальней из стабильных орбит электронов в электронной оболочке
этого атома. В настоящее время принято задавать этот размер в пикометрах (1 pm
= 10-12m). Ранее для этой же цели использовались Ангстремы (1
Å = 10-10m).
Оценка радиуса атома
Согласно квантовой механике, атомы не имеют четких границ,
но вероятность найти электрон, связанный с ядром данного атома, на определенном
расстоянии от этого ядра быстро убывает с увеличением расстояния. Поэтому атому
приписывают некоторый определённый радиус, полагая, что в сфере этого радиуса
заключена подавляющая часть электронной плотности (порядка 90 процентов).
Радиус атома и межъядерные расстояния
Во многих случаях кратчайшее расстояние между двумя атомами
действительно примерно равно сумме соответствующих атомных радиусов. В
зависимости от типа связи между атомами различают металлические, ионные, ковалентные
и некоторые другие атомные радиусы.
Световой год (св. г., ly) — расстояние,
проходимое светом за год, приблизительно равное 1013 километров.
По определению Международного Астрономического Союза (МАС)
световой год равен расстоянию, которое свет проходит в вакууме, не испытывая
влияния гравитационных полей, за один юлианский год. Именно это определение
рекомендовано для использования в научно-популярной литературе.
Ранее световым годом называлось расстояние, проходимое
светом за один тропический год, отнесённый к эпохе 1900,0. Новое определение
отличается от старого примерно на 0,002 %. Так как данная единица
расстояния не используется для высокоточных измерений, практического различия
между старым и новым определениями нет.
Важность светового года
Важность светового года в качестве единицы измерения
поначалу кажется сомнительной. Действительно, есть международная система
измерений (СИ), с таким трудом, созданная для унификации измерений, а каждое
введение новой внесистемной системы единицы может внести путаницу. Однако
каждая единица измерений должна быть удобна сразу с нескольких позиций: удобна
в измерении, удобна в обращении и давать наглядное представление об объекте
измерений.
В астрономии расстояния огромны, а точность измерений никак не измеряется
метрами или даже километрами. Поэтому, записывать расстояние в метрах не очень
практично. С другой стороны, измерять расстояние с помощью отражённого света не
очень удобно — даже до ближайших звезд и обратно свет будет идти годы. Поэтому
чаще в научных исследованиях встречается величина парсек, определяемая из
прямых наблюдений.
Однако наглядное представление светового года с лихвой покрывает все его
недостатки в научно-популярной литературе и становится важным для ученых,
ищущих внеземные цивилизации (см. SETI). Действительно, расстояние, измеряемое
в световых годах, наглядно показывает, к каким звездам следует посылать радио
или иные электромагнитные сообщения, чтобы получить ответ за приемлемый срок.
Числовые значения
Световой год равен:
км
(порядка 10 петаметров)
- 63 241,1 астрономическим единицам (а.е.)
- 0,306601 парсек
Величину светового года в метрах легко рассчитать:
длительность юлианского года равна по определению 365,25 дней = 31 557 600
секунд. Скорость света, также по определению, равна 299 792 458 м/с (как
определению метра в СИ, так и по определению МАС от 1972 года). Перемножив,
получаем итоговое значение.
Современное значение астрономической единицы
км. Отсюда можно
получить значение астрономической единицы и парсека в световых годах.
Парсек (сокращённо пк, pc) —
распространённая в астрономии внесистемная единица измерения расстояния.
Название происходит от параллакс угловой секунды и обозначает расстояние до
объекта, годичный тригонометрический параллакс которого равен одной угловой
секунде. Согласно другому эквивалентному определению, парсек — это такое
расстояние, с которого средний радиус земной орбиты (равный 1 а. е.),
перпендикулярный лучу зрения, виден под углом одна угловая секунда (1″).
1 пк =360*60*60/2π а. е. ≈ 206 265 а. е. =
3,08568×1016 м = 30,8568 Пм (петаметров) = 3,2616 световых
лет.
3.6. Вселенная — фундаментальное понятие астрономии, строго
не определяемое. Включает в себя весь окружающий мир. На практике под Вселенной
часто понимают часть материального мира, доступную изучению естественнонаучными
методами. Под возрастом Вселенной подразумевается время с начала её расширения.
Астрономическая Вселенная, или Метагалактика - это часть
Вселенной, доступная наблюдениям в настоящее время или в обозримом будущем.
Астрономические наблюдения Вселенной позволили с
относительной точностью установить «возраст» Вселенной, который по последним
данным составляет 13,72 ± 0,12 миллиардов лет. Однако среди некоторых учёных
существует точка зрения, что Вселенная никогда не возникала, а существовала
вечно, и будет существовать вечно, изменяясь лишь в своих формах и проявлениях.
Представления о форме и размерах Вселенной в современной науке также являются
остродискуссионными, предположительно протяжённость Вселенной составляет не
менее 93 миллиардов световых лет, при наблюдаемой части всего в 13,3 млрд.
св.л.
Современная наука
Так как уже в специальной теории относительности время
зависит от движения наблюдателя, а в общей теории относительности — ещё и от
положения, то нужно уточнить, что понимается в таком случае под возрастом
Вселенной. В современном представлении возраст Вселенной — это максимальное
время, которое измерили бы часы с момента Большого Взрыва до настоящего времени,
попади они сейчас нам в руки.
Возраст Вселенной можно определить, по крайней мере, тремя
способами:
- Возраст элементов —
возраст химических элементов можно оценить, используя явление
радиоактивного распада с тем, чтобы определить возраст определённой смеси
изотопов.
- Возраст скоплений —
возраст самых старых шаровых скоплений звёзд можно оценить, используя
кривую в координатах светимость-температура для звёзд крупных шаровых
скоплений. Этим методом было показано, что возраст Вселенной больше, чем
12.07 миллиардов лет с 95%-ной доверительной вероятностью.
- Возраст звёзд — возраст
старейших звёзд белых карликов можно оценить, используя измерения яркости
белых карликов. Более старые белые карлики будут более холодными и потому
менее яркими. Обнаруживая слабые белые карлики, можно оценить
продолжительность времени, в течение которого данный белый карлик
охлаждался. Oswalt, Smith, Wood и Hintzen (1996, Nature, 382, 692)
проделали это и получили возраст 9,5+-0,95миллиардов лет для звёзд
основного диска Млечного пути. Они оценили возраст Вселенной, по крайней
мере, на 2 миллиарда лет старше возраста диска, т.е. больше 11.5
миллиардов лет.
Кроме того, существуют способы оценки Возраста Вселенной,
исходя из космологических моделей на основе определения Постоянной Хаббла.
Основные этапы развития Вселенной
Большое значение для определения Возраста Вселенной имеет
периодизация основных протекавших во Вселенной процессов. В настоящее время
принята следующая периодизация Истории Вселенной:
- Самая ранняя эпоха, о которой существуют какие-либо
теоретические предположения, это Планковское время (10−43
с после Большого взрыва). В это время гравитационное взаимодействие
отделилось от остальных фундаментальных взаимодействий. По современным
представлениям эта эпоха Квантовой космологии продолжалась до времени
порядка (10−11 с после Большого взрыва).
- Следующая эпоха характеризуется рождением первоначальных
частиц кварков и разделением видов взаимодействий. Эта эпоха продолжалась
до времён порядка (10−2 с после Большого взрыва). В
настоящее время уже существуют возможности достаточно подробного
физического описания процессов этого периода.
- Современная эпоха Стандартной космологии началась через
0,01 секунды после Большого взрыва и продолжается до сих пор. В этот
период образовались ядра первичных элементов, возникли звёзды, Галактики,
солнечная система, планеты, появилась жизнь на Земле.
Важной вехой в истории развития Вселенной в эту эпоху
считается эра рекомбинации, когда материя расширяющейся Вселенной стала
прозрачной для излучения. По современным представлениям это произошло через
380000 лет после Большого взрыва. В настоящее время это излучение мы можем
наблюдать в виде Реликтового фона, что является важнейшим экспериментальным
подтверждением существующих моделей Вселенной.
ТЕМА 4.
Первый вопрос
Науки о Земле
Науки о Земле - комплекс наук, изучающих Землю, ее геосферы,
их природные свойства, население и результаты его хозяйственной деятельности. В
число наук о Земле входят:
- естественные науки: геология, физическая география и др.;
и
- общественные науки: география населения, экономическая
география и др.
Любая из наук о Земле делится на общую и региональную. Общая
наука изучает закономерности, присущие всем объектам, изучаемым этой наукой, а
региональная - особенности этих объектов на какой-либо определенной территории.
Науки о Земле (геонауки) охватывают науки, занимающиеся
изучением планеты Земля (литосферы, гидросферы и атмосферы), а также
космического пространства вокруг Земли. Изучение земли служит моделью для
исследования других планет земной группы. После появления космических зондов,
позволявших исследовать объекты солнечной системы, в науки о Земле была также
включена планетология. Планетология занимается изучением Луны, планет и их
спутников, астероидов, метеоритов и комет. Часто, говоря о науках о Земле,
употребляют более общий термин: науки о Земле и о Вселенной.
Список наук о Земле
География
Геодезия
Геоинформатика
Геология
Геоморфология
Геостатистика
Геотехнология
Геофизика
Геохимия
Гидрология
Гидрология суши
Лимнология
Русловедение
Океанология
Гляциология
Землеустройство, кадастр и мониторинг земель
Картография
Климатология
Кристаллография
Метеорология
Минералогия
Океанография
Палеогеография
Палеоокеанология
Палеоклиматология
Палеонтология
Почвоведение
Петрология и Петрография
Петрофизика
Седиментология
Сейсмология
Стратиграфия
Тектоника
Второй вопрос
Геосферные оболочки Земли
На таких глубинах давление составляет около 30 МПа (300
атм), что позволяет воде присутствовать в жидком состоянии, тогда как пределы
жизни ограничены точками перехода ее в пар и сворачивания белков.
Внутреннее строение нашей планеты в виде нескольких геосфер
(от греч. geo — земля, sphara — шар) или оболочек изучено относительно мало и
преимущественно по данным сейсморазведки, исследующей процессы распространения
в Земле искусственно вызванных упругих колебаний. Эксперименты и
соответствующие теоретические расчеты позволили создать следующую модель.
Общее строение планеты
В центре Земли имеется внутреннее твердое субъядро радиусом
1250 км , состоящее из вещества плотностью 13 г/см3 (по одной из наиболее
распространенных гипотез считают, что такую плотность может иметь только
металл).
Вокруг него находится жидкое внешнее ядро радиусом 3450 км,
состоящее из расплавленного вещества. Регулярные течения этой
высокоэлектропроводнои жидкости, по одной из гипотез, являются причиной
существования магнитного поля Земли. Внешнее жидкое и внутреннее твердое ядра в
сумме составляют: 16% земного шара (без атмосферы) по объему и 31,5% по массе.
Далее снаружи жидкого ядра следует мантия,
распространяющаяся с глубины 2900 км до глубины около 40 км относительно уровня
моря на поверхности планеты.
Температура на границе ядра и мантии составляет около 4500
°С, а плотность вещества меняется скачкообразно с 10,1 у ядра до 5,6 т/м3 у
мантии. По другим данным температура ядра не меньше 2000 °С и не больше 5000
°С. Мантия составляет 83% объема планеты (без атмосферы) и 67% массы.
Скорость v распространения упругих волн по толщине мантии по
мере движения от периферии к центру нарастает неравномерно:
значительно быстрее в верхней части до глубин Z = 900—1000
км и очень медленно на больших глубинах. В связи с этим мантию чаще всего делят
на верхнюю и нижнюю, а иногда дополнительно выделяют среднюю мантию.
Снаружи мантии расположена действительно твердая, но очень
тонкая (20—40 км) оболочка — кора Земли, составляющая около 1% планеты по
объему и 0,5% по массе. При переходе из мантии в кору (поверхность или граница
Мохоровичича1 — сокращенно граница Мохо) плотность вещества скачкообразно
меняется с 3,2 до 2,9 т/м3.
тмосфера, масса, т
5,2* 1015
Мировая суша, км 2 :
общая площадь;
150 * 106
площадь, за исключением территории, занятой ледниками;
135 * 106
площадь, за исключением территории, занятой ледниками и
бесплодными пустынями
120* 106
Растительность суши (до нарушения человеком) *, т:
живая масса;
6,25*1012
сухая масса
2,5*1012
Органическое вещество почвенного слоя, т:
лесные подстилки, сухая масса;
0,2*1012
аккумуляции торфа, сухая масса;
0,5*1012
почвенный гумус, сухая масса;
2,4*1012
сумма
3,1*1012
Земная кора, т:
гранитный слой континентального блока;
8200 * 1015
осадочная оболочка:
2400 * 1015
глины и глинистые сланцы, %;
50
пески и песчаники, %;
21
карбонатные породы, %
29
Мировой океан:
площадь, км 2 ;
360 * 106
объём, км 3 ;
1370 * 106
фотосинтезирующие организмы, сухая масса, т;
3,4 * 109
растворённое органическое вещество, сухая масса, т;
4110 * 109
растворённые соли (средняя солёность океанической воды
3,5%), т
47,95 * 1015
Мировая суша:
биологический круговорот (продукция фотосинтеза — деструкция
отмершего органического вещества) — продукция растительности до её нарушения
человеком, сухая масса, т/год;
172 * 109
круговорот воды, л/год;
испарение с поверхности суши:
129 * 109
с дренируемой части суши;
62 * 1015
с бессточной части суши;
7,5 * 1015
сумма
69,5 * 1015
Атмосферные осадки, л/год:
на дренируемой части суши, включая 44 * 1015 л/год осадков
океанического происхождения (средняя минерализация атмосферных осадков 25
мг/л);
106 * 1015
на бессточной части суши;
7,5 * 1015
сумма
114,5 * 1015
Сток воды с суши в океан, включая 3 * 1015сток с ледников,
л/год:
44 * 1015
вынос растворимых солей с речным стоком (средняя
минерализация воды рек 120 мг/л), т/год;
4,9 * 109
вынос взвесей с речным стоком, т/год
20,5 * 109
Круговорот пыли, т/год:
поступление пылевых частиц с суши в тропосферу;
5,8 *109
осаждение пылевых частиц на поверхность суши;
4,0 * 109
вынос пылевых частиц в океан и область ледников
1,8 * 109
Мировой океан:
биологический круговорот фотосинтезирующих организмов, сухая
масса, т/год;
110 *109
испарение с поверхности океана, л/год;
456 *1015
атмосферные осадки на поверхности океана(средняя
минерализация атмосферных осадков 10 мг/л), л/год;
411 * 1015
перенос атмосферных осадков с океана на сушу, л/год
44 * 1015
Третий вопрос
Гидросфера – водная оболочка Земли, включающая океаны, моря,
реки, озера, подземные воды и ледники, снеговой покров, а также водяные пары в
атмосфере. Гидросфера Земли на 94% представлена солеными водами океанов и
морей, более 75% всей пресной воды законсервировано в полярных шапках Арктики и
Антарктиды
В общем виде принято деление гидросферы на Мировой океан,
континентальные воды и подземные воды. Большая часть воды сосредоточена в
океане, значительно меньше — в континентальной речной сети и подземных водах.
Также большие запасы воды имеются в атмосфере, в виде облаков и водяного пара.
Свыше 96 % объёма гидросферы составляют моря и океаны, около 2 % — подземные
воды, около 2 % — льды и снега, около 0,02 % — поверхностные воды суши. Часть
воды находится в твёрдом состоянии в виде ледников, снежного покрова и в вечной
мерзлоте, представляя собой криосферу.
Поверхностные воды, занимая сравнительно малую долю в общей
массе гидросферы, тем не менее играют важнейшую роль в жизни наземной биосферы,
являясь основным источником водоснабжения, орошения и обводнения. Сверх того
эта часть гидросферы находится в постоянном взаимодействии с атмосферой и
земной корой.
Взаимодействие этих вод и взаимные переходы из одних видов
вод в другие составляют сложный круговорот воды на земном шаре. В гидросфере
впервые зародилась жизнь на Земле. Лишь в начале палеозойской эры началось
постепенное переселение животных и растительных организмов на сушу.
Загрязнение водных ресурсов
Наиболее угрожают чистоте водоемов нефтяные масла. Для
очистки от нефти требуется улавливание не только плавающей по поверхности
пленки, но и осаждение нефтяной эмульсии.
Весьма опасны как загрязнители сточные воды
целлюлозно-бумажной промышленности. Стоки этих предприятий поглощают кислород
за счет окисления органических веществ, засоряют воду нерастворимыми веществами
и волокнами, придают воде неприятный вкус и запах, изменяют цвет, способствуют
развитию грибных обрастаний по дну и берегам. Особенно загрязняют водоемы и
губительно отражаются на развитии водных организмов сточные воды разнообразных
химических заводов. Сильно загрязняет и засоряет реки молевой сплав леса. Массы
плывущего леса наносят рыбе ранения, преграждают путь к нерестилищам, рыба
большей частью покидает обычные места нереста. Кора, сучья, ветки засоряют дно
водоемов. Из бревен и древесных отходов выделяется в воду смола и другие
вредные для рыбного населения продукты.
Источником загрязнения вод во многих случаях являются
коммунальные сточные воды (канализация, бани, прачечные, больницы и др.).
Растет численность населения, расширяются старые и
появляются новые города. К сожалению, не всегда постройка очистных сооружений
успевает за темпами жилищного строительства.
Положение осложняется тем, что за последние годы в составе
сточных вод резко увеличилось содержание биологически активных и стойких
примесей, таких, как новые виды моющих средств, продуктов органического
синтеза, радиоактивных веществ и др.
4 вопрос
Атмосфе́ра (от. др.-греч. ἀτμός — пар и
σφαῖρα
— шар) — газовая оболочка (геосфера), окружающая планету Земля. Внутренняя её
поверхность покрывает гидросферу и частично кору, внешняя граничит с
околоземной частью космического пространства.
Местоположение и функции озонового слоя
В воздухе всегда присутствует озон, концентрация которого у
земной поверхности составляет в среднем 10-6%. Озон образуется в
верхних слоях атмосферы из атомарного кислорода в результате химической реакции
под влиянием солнечной радиации, вызывающей диссоциацию молекул кислорода.
Озоновый «экран» расположен в стратосфере, на высотах от7-8
км на полюсах, 17-18 километров на экваторе и примерно до 50 километров над
земной поверхностью. Гуще всего озон в слое 22 – 24 километров над Землей.
Слой озона удивительно тонок. Если бы этот газ сосредоточить
у поверхности Земли, то он образовал бы пленку лишь в 2-4 мм толщиной (минимум
– в районе экватора, максимум – у полюсов). Однако и эта пленка надежно
защищает нас, почти полностью поглощая опасные ультрафиолетовые лучи. Без нее
жизнь сохранилась бы лишь в глубинах вод (глубже 10 м) и в тех слоях почвы,
куда не проникает солнечная радиация. Озон поглощает некоторую часть
инфракрасного излучения Земли. Благодаря этому он задерживает около 20%
излучения Земли, повышая отепляющее действие атмосферы.
Озон – активный газ и может неблагоприятно действовать на
человека. Обычно его концентрация в нижней атмосфере незначительна и он не
оказывает вредного влияния на человека. Большие количества озона образуются в
крупных городах с интенсивным движением автотранспорта в результате
фотохимических превращений выхлопных газов автомашин.
Озон, также, регулирует жесткость космического излучения.
Если этот газ хотя бы частично уничтожается, то, естественно жесткость
излучения резко возрастает, а, следовательно, происходят реальные изменения
растительного и животного мира.
Уже доказано, что отсутствие или малая концентрация озона
может или приводит к раковым заболеваниям, что самым наихудшим образом
отражается на человечестве и его способностью к воспроизводству.
Причины ослабления озонового щита
Озоновый слой защищает жизнь на Земле от вредного
ультрафиолетового излучения Солнца. Обнаружено, что в течение многих лет
озоновый слой претерпевает небольшое, но постоянное ослабление над некоторыми
районами Земного шара, включая густо населенные районы в средних широтах
Северного полушария. Над Антарктикой обнаружена обширная "озоновая
дыра".
Разрушение озона происходит из-за воздействия
ультрафиолетовой радиации, космических лучей, некоторых газов: соединений
азота, хлора и брома, фторхлоруглеродов (фреонов). Деятельность человека,
приводящая к разрушению озонового слоя, вызывает наибольшую тревогу. Поэтому
многие страны подписали международное соглашение, предусматривающее сокращение
производства озоно-разрушающих веществ.
Предполагается множество причин ослабления озонового щита.
Во-первых, – это запуски космических ракет. Сгорающее
топливо «выжигает» в озоновом слое большие дыры. Когда-то предполагалось, что
эти «дыры» затягиваются. Оказалось, нет. Они существуют довольно долго.
Во-вторых, самолеты. Особенно, летящие на высотах в 12-15
км. Выбрасываемый ими пар и другие вещества разрушают озон. Но, в то же время
самолеты, летающие ниже 12 км. Дают прибавку озона. В городах он – один из
составляющих фотохимического смога. В – третьих, это хлор и его соединения с
кислородом. Огромное количество (до 700 тысяч тонн) этого газа поступает в
атмосферу, прежде всего от разложения фреонов. Фреоны – это не вступающие у
поверхности Земли ни в какие химические реакции газы, кипящие при комнатной
температуре, а потому резко увеличивающие свой объем, что делает их хорошими
распылителями. Поскольку при их расширении снижается их температура, фреоны
широко используют в холодильной промышленности.
Каждый год количество фреонов в земной атмосфере
увеличивается на 8-9%. Они постепенно поднимаются наверх, в стратосферу и под
воздействием солнечных лучей становятся активными – вступают в фотохимические
реакции, выделяя атомарный хлор. Каждая частица хлора способна разрушить сотни
и тысячи молекул озона.
5 вопрос
Никому из ученых не под силу изучить все разнообразие живых
организмов, поэтому биология подразделяется на множество разделов, или
биологических наук 2. Всего их более 300. Назовем основные из них.
Зоология (от греческого слова "зоон" - животное)
изучает животных.
Микология (от греческого "микес" - гриб) исследует
грибы.
Микробиология (от греческого слова "микрос" -
малый) изучает различные микроскопически малые организмы: бактерии, вирусы и
другие.
Мы перечислили биологические науки, изучающие отдельные
группы организмов. Но есть и такие разделы биологии, которые исследуют общие
свойства живых существ.
Экология (от греческого слова "ойкос" - дом,
жилище) исследует связи организмов между собой и с окружающей их средой.
Анатомия (от греческого слова "анатоме" -
рассечение), изучает строение организмов.
Физиология (от греческого "физис" - природа)
занимается познанием жизненных процессов протекающих в организмах, (например
дыхание, пищеварение и другие).
Цитология (от греческого - "цитос" - клетка)
изучает строение клеток из которых построены живые организмы а также процессы,
происходящие в них.
Молекулярная биология исследует строение и функции молекул,
из которых построены живые организмы.
6 вопрос
Центральная организующая концепция в биологии состоит в том,
что жизнь со временем изменяется и развивается посредством эволюции, и что все
известные формы жизни на Земле имеют общее происхождение. Это обусловило
сходство основных единиц и процессов жизнедеятельности, упоминавшихся выше.
Понятие эволюции было введено в научный лексикон Жаном-Батистом Ламарком в 1809
г.. Чарльз Дарвин через пятьдесят лет установил, что её движущей силой является
естественный отбор, так же как искусственый отбор сознательно применяется человеком
для создания новых пород животных и сортов растений [18]. Позже в синтетической
теории эволюции дополнительным механизмом эволюционных изменений был
постулирован генетический дрейф.
Эволюционная история видов, описывающая их изменения и
генеалогические отношения между собой, называется филогенез. Информация о
филогенезе накапливается из разных источников, в частности, путем сравнения
последовательностей ДНК или ископаемых останков и следов древних организмов. До
XIX века считалось, что в определенных условиях жизнь может самозарождаться.
Этой концепции противостояли последователи принципа, сформулированного Уильямом
Гарвеем: «все из яйца» («Omne vivum ex ovo», лат), основополагающего в
современной биологии. В частности, это означает, что существует непрерывная
линия жизни, соединяющая момент первоначального её возникновения с настоящим
временем. Любая группа организмов имеет общее происхождение, если у неё имеется
общий предок. Все живые существа на Земле, как ныне живущие, так и вымершие,
происходят от общего предка или общей совокупности генов. Общий предок всех
живых существ появился на Земле около 3,5 млрд лет назад. Главным
доказательством теории общего предка считается универсальность генетического
кода (см. происхождение жизни).
7 вопрос
биосфе́ра (от греч. βιος — жизнь и
σφαῖρα
— сфера, шар) — оболочка Земли, заселённая живыми организмами, находящаяся под
их воздействием и занятая продуктами их жизнедеятельности; «пленка жизни»;
глобальная экосистема Земли.
Термин «биосфера» был введён в биологии Жаном-Батистом
Ламарком в начале XIX в., а в геологии предложен австрийским геологом Эдуардом
Зюссом в 1875 году[1].
Целостное учение о биосфере создал русский биогеохимик и
философ В. И. Вернадский. Он впервые отвёл живым организмам роль главнейшей
преобразующей силы планеты Земля, учитывая их деятельность не только в
настоящее время, но и в прошлом.
Существует и другое, более широкое определение: Биосфера —
область распространения жизни на космическом теле. При том что существование
жизни на других космических объектах, помимо Земли пока неизвестно, считается
что биосфера может распространяться на них в более скрытых областях, например,
в литосферных полостях или в подлёдных океанах. Так, например, рассматривается
возможность существования жизни в океане спутника Юпитера Европы.
Международные проблемы экологии
Современный мир благодаря быстрому развитию транспорта и
средств связи становится все более целостным. События, происходящие в отдельной
стране, могут оказать влияние и затрагивать интересы, как ряда стран, так и
всего человечества. Дальнейшее развитие человечества зависит от того, как оно
сможет решить глобальные проблемы, к которым относятся проблемы политического
характера - войны и мира, прав человека, расизма, национализма и т.д.,
экономического - экономические кризисы, экологического - защиты окружающей
среды, истощения природных ресурсов.
Рассмотрим подробнее ряд экологических проблем и их влияние
на человечество. Научно-технический прогресс с его резкими
социально-экономическими изменениями привел к возникновению глобальной
медико-биологической проблемы: выживание человечества в условиях
деформированной человеком окружающей среды. Медико-социологические и
гигиенические исследования подтвердили причинно-следственную связь между
образом жизни, окружающей средой и здоровьем человека. Окружающая среда -
факторы чисто естественного или природно-антропогенного системного
происхождения, она способна к самоподдержанию и саморегуляции без
корригирующего воздействия со стороны человека. Данная среда оказывает влияние,
как на отдельного человека, так и на все человечество в целом. Нездоровая по
своим физическим, химическим, социальным и экономическим показателям среда,
отрицательно влияющая на здоровье человека, составляет основу понятия
"экологический кризис".
Возникновению экологического кризиса, способствуют следующие
факторы:
хищническое отношение к природе, получение прибыли любой
ценой, хотя природные ресурсы не безграничны. Именно это привело к тому, что в
настоящее время потери кислорода в атмосфере в год составляет 10 - 12 млрд.т. В
России объем добычи, и переработки полезных ископаемых удваивается каждые 8
лет, в остальном мире - каждые 15 лет;
многофункциональность использования природных ресурсов (в
экономическом, биологическом и социальном плане);
несовершенство технологических процессов, когда из
добываемого природного вещества только 10% используется человеком с пользой, а
остальные в непотребном виде возвращаются природе, загрязняют воздух и почву;l
экологическая безграмотность общества, незнание законов
экологии;
нравственное оскудение общества, потеря гражданской
ответственности за последствия его деятельности по отношению к своей среде
обитания;
недостаточность средств на природоохранные мероприятия.
Незнание законов экологии, нарушение принципов биосферной
этики привели к возникновению экологических проблем. Систематизируя их,
Н.Ф.Рейменс (1994г.) выделил основные:
1. Изменение климата Земли на основе усиления тепличного
эффекта, выбросов метана и других, низко концентрированных газов, аэрозолей,
легких радиоактивных газов, нарушение концентрации озона в тропосфере и
стратосфере.
2. Замусоривание и иное загрязнение ближнего космического
пространства.
3. Общее ослабление озонового экрана Земли, образование
большой "озоновой дыры" над Антарктидой, малых "дыр" над
другими регионами планеты.
4. Загрязнение атмосферы с образованием кислотных осадков,
сильно ядовитых и пагубно действующих веществ в результате вторичных химических
реакций. В том числе фотохимических (в этом одна из основных причин разрушения
озонового слоя, на который воздействуют фреоны, водяные пары, вещества типа NO,
малые газовые примеси).
5. Загрязнение океана, захоронение в нем ядовитых
радиоактивных веществ, насыщение его вод углекислым газом из атмосферы,
поступление в него антропогенных нефтепродуктов, тяжелых металлов и сложных
органических соединений, что способствует разрыву нормальных экологических
связей между океаном и водами суши.
6. Истощение и загрязнение поверхностных вод суши,
континентальных водоемов и водостоков, подземных вод.
7. Радиоактивное загрязнение локальных участков и некоторых
регионов Земли (текущая эксплуатация атомных устройств, чернобыльская авария,
испытания ядерного оружия).
8. Возникновение вторичных химических реакций во всех сферах
биосферы с образованием токсичных веществ.
9. Нарушение глобального и регионального экологического
равновесия, соотношения экологических компонентов, в том числе сдвиг
экологического баланса между океаном, его прибрежными водами и впадающими в
него водопадами.
10. Опустынивание планеты в новых регионах, расширение
существующих пустынь.
11. Сокращение площади лесов, легких планеты, что ведет к
дисбалансу кислорода и усилению процесса исчезновения видов животных и растений.
Под угрозой исчезновения в настоящее время находится около 10 000 видов, в
основном позвоночных животных и растений.
12. Освобождение и образование экологических ниш, и
заполнение их нежелательными организмами (вредителями, паразитами и т.д.).
13 Абсолютное перенаселение Земли и относительное
демографическое переуплотнение в отдельных ее регионах.
14 Ухудшение среды жизни в городах и сельской местности,
увеличение шумового воздействия, загрязнение воздуха, потери социальных связей
между людьми.
Все перечисленное выше создает глобальную экологическую
проблему для человечества, поскольку состояние окружающей среды является одним
из наиболее существенных факторов, формирующих здоровье.
Биосфера - глобальная экологическая система планеты,
включающая в себя все живые организмы вместе со средой их обитания.
Биосфера представляет собой совокупность частей
земных оболочек (лито-, гидро- и атмосферы), которая заселена живыми
организмами, находится под их влиянием и занята продуктами их
жизнедеятельности.
В 20-е годы X X - го столетия учение о биосфере было развито и
преобразовано выдающимся естествоиспытателем академиком В.И. Вернадским. Он
впервые подчеркнул исключительную роль живых организмов в образовании биосферы.
По его определению, биосфера - структурная оболочка Земли, созданная самой
жизнью, где не только живут, но которая преобразована живыми организмами и
связана с их жизнедеятельностью. Таким образом, биосфера - это и среда жизни, и
результат жизнедеятельности организмов.
Возникновение и существование всех экологических систем в
биосфере обусловлено эволюцией. Самоподдерживающиеся динамические системы
эволюционируют в сторону усложнения организации и возникновения системной
иерархии, Первопричиной, источником движущей силы последовательных качественных
изменений экологических систем служит поток энергии через систему и отбор
наиболее эффективных преобразователей энергии, вещества и информации.
Эволюция биосферы состоит из добиотической фазы, в ходе
которой химическая эволюция подготовила возникновение жизни и, собственно,
биотической эволюции.
Добиотическая эволюция.
1. Образование планеты (около 4,5 млрд. лет назад).
Первичная атмосфера имела высокую температуру и содержала водород, азот, пары
воды, метан, аммиак, инертные газы и другие простые соединения.
2. Возникновение абиотического круговорота веществ в
атмосфере за счет ее постепенного остывания и энергии солнечного излучения.
Появляется жидкая вода, формируются гидросфера, круговорот воды, водная
миграция элементов и многофазные химические реакции в растворах. Происходит
отбор и рост молекул.
3. Образование органических соединений в процессах
конденсации и полимеризации простых соединений С, Н, О, N за счет энергии
ультрафиолетового излучения Солнца, радиоактивности, электрических разрядов и
других энергетических импульсов. Аккумуляция лучистой энергии в органических
веществах.
4. Возникновение круговорота органических соединений
углерода. Далънейшее усложнение органических веществ и появление устойчивых
комплексов макромолекул; возникновение молекулярных систем самовоспроизведения.
Биотическая эволюция.
Возникновение жизни (около 3,5 млрд. лет назад).
Структуризация белков и нуклеиновых кислот с участием биомембран приводит к
появлению вирусоподобных тел и первичных клеток, способных к делению. Возникает
биотический круговорот, и формируются функции живого вещества.
5. Развитие фотосинтеза и обусловленное им изменение состава
среды: увеличение количества кислорода. Ускоряется биогенная миграция
элементов.
6. Появление многоклеточных организмов, наземных растений и
животных приводит к дальнейшему усложнению биогеохимического круговорота.
Возникают сложные экологические системы, содержащие все уровни трофической
организации. Достигается высокая ступень замкнутости биогеохимического
круговорота.
7.Увеличение биотического разнообразия и усложнение строения
и функциональной организации живых существ и биосферы в целом. Организмами
заняты все экологические ниши на планете.
8. Появление человека - лидера эволюции. Возникновение и
развитие человеческого общества, вовлечение в техногенез непропорционально
больших потоков вещества и энергии нарушают замкнутость биогеохимических
круговоротов, вызывают антропогенные экологические кризисы и становятся
негативным фактором эволюции биосферы.
Хозяйственная деятельность человека вызвала появление на
Земле качественно новой среды обитания - техносферы. Техносфера - часть
биосферы, преобразованной людьми с помощью прямого или косвенного действия
технических средств и занятая продуктами его деятельности. Некоторые ученые
считают техносферу синонимом ноосферы, другие - признают техносферу как
переходное состояние от биосферы к ноосфере.
В переводе с греческого "ноосфера" - это сфера
разума, С научной точки зрения, ноосфера - это коллективное сознание,
которое станет контролировать направление будущей эволюции планеты. Развивая
концепцию ноосферы, В.И, Вернадский определил ее как этап эволюции биосферы,
который характеризуется ведущей ролью разумной и сознательной деятельности
человеческого общества в развитии биосферы. Разумная деятельность человека
должна стать главным фактором развития биосферы.
Ноосфера, но В.И. Вернадскому, - это биосфера, разумно
управляемая человеком. "...Все человечество, вместе взятое, представляет
ничтожную массу вещества планеты, Мощь его связана не с его материей, но с его
мозгом, разумом и направленным этим разумом его трудом". Человек должен
понять, "что он не есть случайное, независимое от окружающего свободно
действующее природное явление. Он составляет неизбежное проявление большого
природного процесса, закономерно длящегося в течение, по крайней мере, 2-х
миллионов лет.
Согласно закону ноосферы B.И.
Вернадского: биосфера неизбежно превратится в ноосферу, т.е. сферу, где разум
человека будет играть доминирующую роль в развитии системы человек-природа.
Перечень критических технологий Российской Федерации на
период до 2010 года
1. Высокопроизводительные вычислительные системы.
2. Компьютерное моделирование.
3. Искусственный интеллект.
4. Информационно-телекоммуникационные системы.
5. Элементная база микроэлектроники, наноэлектроники и
квантовых компьютеров.
6. Распознавание образов и анализ изображений.
7. Опто-, радио- и акустоэлектроника, оптическая и
СВЧ-связь.
8. Металлы и славы со специальными свойствами.
9. Синтетические сверхтвердые материалы.
10. Каталитические системы и технологии.
11. Материалы для микро- и наноэлектроники.
12. Мембранные технологии.
13. Обезвреживание техногенных сред.
14. Керамические и стекломатериалы.
15. Полимеры и композиты.
16. Технологии биоинженерии.
17. Генодиагностика и генотерапия.
18. Технологии иммунокоррекции.
19. Безопасность и контроль качества сельскохозяйственного
сырья и пищевых продуктов.
20. Системы жизнеобеспечения и защиты человека.
21. Синтез лекарственных средств и пищевых добавок.
22. Биологические средства защиты растений и животных.
23. Производство и переработка сельскохозяйственного сырья.
24. Экологически чистый и высокоскоростной наземный
транспорт.
25. Транспортные и остроительные технологии освоения
пространств и ресурсов мирового океана.
26. Авиационная техника с использованием новых технических
решений.
27. Безопасность движения, управления транспортом,
интермодальные перевозки и логистические системы.
28. Технологии высокоточной навигации и управления
движением.
29. Энергосберегающие технологии.
30. Поиск, добыча, переработка и трубопроводный транспорт
нефти и газа.
31. Безопасность атомной энергетики.
32. Добыча и переработка угля.
33. Производство электроэнергии и тепла на органическом
топливе.
34. Снижение риска и уменьшение последствий природных и
техногенных катастроф.
35. Мониторинг окружающей среды.
36. Прогнозирование биологических и минеральных ресурсов.
37. Природоохранительные технологии, переработка и
утилизация техногенных образований и отходов.
38. Переработка и воспроизводство лесных ресурсов.
39. Сохранение и восстановление нарушенных земель, ланшафтов
и биоразнообразия.
40. Быстрое возведение и трансформация жилья.
41. Механотронные технологии.
42. Лазерные и электронно-ионно-плазменные технологии.
43. Оценка, комплексное освоение месторождений и глубокая
переработка стратегически важного сырья.
44. Технологические совмещаемые модули для металлургических
мини-производств.
45. Прецизионные и нанометрические технологии обработки,
сборки, контроля.
46. Технологии глубокой переработки отечественного сырья и
материалов в легкой промышленности.
47. Технологии на основе сверхпроводимости.
ТЕМА 5.
Симметрия
Симме́три́я — (др.-греч.
συμμετρία), в широком смысле —
неизменность при каких-либо преобразованиях. Так, например,
сферическая симметрия тела означает, что вид тела не изменится, если его
вращать в пространстве на произвольные углы (сохраняя одну точку на месте).
Двусторонняя симметрия означает, что правая и левая сторона относительно
какой-либо плоскости выглядят одинаково.
Слово «симметрия» имеет двойственное толкование.
В одном смысле симметричное означает
нечто весьма пропорциональное, сбалансированное; симметрия показывает тот
способ согласования многих частей, с помощью которого они объединяются в целое.
Второй смысл этого слова - равновесие. Еще Аристотель говорил о
симметрии как о таком состоянии, которое характеризуется соотношением
крайностей. Из этого высказывания следует, что Аристотель, пожалуй, был ближе
всех к открытию одной из самых фундаментальных закономерностей Природы -
закономерности о ее двойственности.
Зеркальная симметрия
Существует, кроме того, зеркальная симметрия — волчок,
закрученный направо, ведет себя так же, как закрученный налево, единственная
разница в том, что фигуры движения правого волчка будут зеркальным отражением
фигур левого.
Существуют зеркально асимметричные молекулы, но, если они
образуются в одинаковых условиях, число левых молекул равно числу правых.
Зеркальная симметрия явлений природы неточная, как и
большинство других симметрий. В слабых взаимодействиях, ответственных за
радиоактивный распад , она нарушается. Даже в явлениях, не связанных с
радиоактивными превращениями, влияние слабых взаимодействий приводит к ее
небольшому нарушению. Так, в атомах относительная неточность зеркальной
симметрии — порядка 10 -15 . Однако влияние этого ничтожного
нарушения на переходы между очень близкими уровнями не так мало (порядка 10 -3
- 10 -8 ” . В 1978 г. Л. М. Баркову и М., С. Золотареву из
Новосибирского научного городка удалось обнаружить это явление
Симметрия пространственных фигур
В пространстве, также как и на плоскости,
определяются преобразования симметрии относительно точки и относительно прямой.
Пространственная фигура, в данном случае тетраэдр,
симметричен тетраэдру относительно точки.
Фигура, симметрична фигуре относительно прямой.
Кроме симметрии относительно точки и относительно прямой в
пространстве, рассматривают симметрию относительно плоскости.
Две точки А и В
называются симметричными относительно плоскости, если плоскость перпендикулярна
отрезку АВ, пересекает его в середине.
Две пространственные фигуры, в данном случае призмы,
называются симметричными, если преобразование симметрии относительно этой
плоскости, переводит одну фигуру в другую
Существуют фигуры,
называемые симметричными относительно точки, прямой и плоскости.
Параллелепипед симметричен относительно точки
пересечения своих диагоналей.
При этом точка О называется центром этой фигуры.
Пирамида ТАВСД симметрична относительно прямой ТО,
являющейся её высотой.
Прямая ТО-ось симметрии данной фигуры.
Фигура называется симметричной относительно плоскости, если
преобразование симметрии переводит фигуру в себя.
При этом плоскость называется плоскостью симметрии этой
фигуры.
Слева фигура симметричная относительно горизонтальной
плоскости.
Справа – пространственная фигура симметричная относительно
плоскости, проходящей вертикально.
Без учёта единства
пространства и движения материи говорить о каких-либо свойствах симметрии
пространства просто бессмысленно. В абсолютно пустом пространстве нет ни
однородности, ни разнородности. В нём вообще ничего нет и о нём ничего сказать
нельзя. Ни одну геометрическую симметрию нельзя определить без привлечения
прямого или опосредованного, динамических параметров. Даже определение такой
простой геометрической симметрии, как симметрия двух точек по отношению к
какой-то прямой, включает в себя возможность их совмещения, т.е. определённого
движения. Без движения и вне движения не существует ни одной геометрической
симметрии.
Законы сохранения
Законы сохранения - фундаментальные физические законы,
согласно которым при определенных условиях некоторые физические величины не
изменяются с течением времени.
Законы сохранения занимают среди всех законов природы особое
место. Общность и универсальность законов сохранения определяют их большое
научное, методологическое и философское значение. Они являются основой
важнейших расчетов физике и ее технических приложениях, позволяют в ряде
случаев предсказывать эффекты и явления при исследовании разнообразных
физико-химических систем и процессов.
Законы сохранения служат основанием любой общей физической
теории. Непротиворечивость теории этим законам служит убедительный
В законах сохранения находят свое отображение важнейший
диалектико-материалистический принцип неуничтожимости материи и движения,
взаимосвязь между различными формами движущейся материи и специфика превращения
одной формы движения в другую.
Значение законов сохранения выявляется на фоне развития
общей идеи сохранения. Открытие и обобщение законов сохранения происходило
вместе с развитием всей физики, от первых теорий античных философов через
классическую механику и электродинамику до теории относительности, квантовой
механики и физики элементарных частиц.
Глобальные законы сохранения связаны с существованием таких
преобразований, которые оставляют неизменными любую систему. К ним относятся:
- Закон сохранения энергии, являющийся следствием симметрии
относительно сдвига во времени (однородности времени).
- Закон сохранения импульса, являющийся следствием симметрии
относительно параллельного переноса в пространстве (однородности пространства).
- Закон сохранения момента импульса, являющийся следствием
симметрии относительно поворотов в пространстве (изотропности пространства).
- Закон сохранения заряда, являющийся следствием симметрии
относительно замены описывающих систему комплексных параметров на их комплексно
сопряженные значения.
- Закон сохранения четности, являющийся следствием симметрии
относительно операции инверсии («отражения в зеркале», меняющего «право» на
«лево»).
- Закон сохранения энтропии, являющийся следствием симметрии
относительно обращения времени.
Симметрия в физике
В теоретической физике, поведение физической системы
описывается некоторыми уравнениями. Если эти уравнения обладают какими-либо
симметриями, то часто удаётся упростить их решение путём нахождения сохраняющихся
величин (интегралов движения). Так, уже в классической механике формулируется теорема Нётер, которая каждому типу непрерывной
симметрии сопоставляет сохраняющуюся величину. Из неё, например, следует, что
инвариантность уравнений движения тела с течением времени
приводит к закону сохранения энергии; инвариантность
относительно сдвигов в пространстве — к закону сохранения импульса;
инвариантность относительно вращений — к закону сохранения момента импульса.
возьмём агрегатные состояния вещества - твёрдые, жидкие, газообразные. Для
определённости в качестве твёрдого вещества рассмотрим идеальный бесконечный
кристалл. В нём существует определённая, так называемая дискретная симметрия
относительно переноса. Это означает, что, если сдвинуть кристаллическую решётку
на расстояние, равное интервалу между двумя атомами, в ней ничего не изменится
- кристалл совпадет сам с собой. Если же кристалл расплавить, то симметрия
получившейся из него жидкости будет иной: она возрастёт. В кристалле
равноценными были только точки, удалённые друг от друга на определённые
расстояния, так называемые узлы кристаллической решётки, в которых находились
одинаковые атомы. Жидкость же однородна по всему объёму, все её точки
неотличимы одна от другой. Это означает, что жидкости можно смещаться на любые
произвольное расстояния (а не только на какие-то дискретные, как в кристалле)
или поворачиваться на любые произвольные углы (чего в кристаллах делать нельзя
вообще) и она будет совпадать сама с собой. Степень её симметрии выше.
Симметрия в биологии — закономерное расположение подобных
(одинаковых) частей тела или форм живого организма, совокупности живых
организмов относительно центра или оси симметрии. Исключительно важную роль в
мире живой природы играют молекулы ДНК (дезоксирибонуклеиновая кислота). Это
двуцепочечный высокомолекулярный полимер, мономером которого являются
нуклеотиды. Молекулы ДНК имеют структуру двойной спирали, построенной по
принципу комплементарности. Характерная для растений симметрия конуса хорошо
видна на примере любого дерева.
Дерево поглощает из почвы влагу и питательные вещества за
счёт корневой системы, то есть внизу, а остальные жизненно важные функции выполняются
кроной, то есть наверху. Поэтому направления "вверх" и
"вниз" для дерева, существенно различны. А направления в плоскости,
перпендикулярной к вертикали, для дерева фактически неразличимы: по всем этим
направлениям к дереву в равной мере поступают воздух, свет, и влага. В
результате появляется вертикальная поворотная ось и вертикальная плоскость
симметрии
Симметрия в химии
Симметрия обнаруживается также и на атомном уровне изучения
вещества. Она проявляется в недоступных непосредственному наблюдению
геометрически упорядоченных атомных структурах молекул. Молекула воды имеет
плоскость симметрии (прямая вертикальная линия). Ничто не изменится, если
поменять местами парные атомы в молекуле; такой обмен эквивалентен операции
зеркального отражения. В молекуле метана СН4 атом углерода связан с
четырьмя одинаковыми атомами водорода. Физическое равноправие всех четырёх
связей между атомами углерода и водорода естественным образом согласуется с
пространственной структурой молекулы метана в виде тетраэдра, в вершине
которого находятся атомы водорода, а в центре - атом углерода
МАСШТАБНАЯ ИНВАРИАНТНОСТЬ (скейлинг)- свойство
неизменности ур-ний, описывающих нек-рую физ. теорию или к.-л. физ. процесс,
при изменении всех расстояний и промежутков времени в одинаковое число раз.
Такие изменения образуют группу масштабных преобразований (называемых также
преобразованиями подобия), определяемую след, законом изменения координат
пространства и времени:
где
- числовой параметр
преобразования, к-рый при
соответствует однородному
растяжению, а при
- однородному сжатию
пространства времени в r раз. В релятивистской теории масштабное преобразование
вместе с 10 преобразованиями группы Пуанкаре (см. Пространственно-временная
симметрия)образует т. н. группу Вейля. Физ. величины изменяются при
масштабном преобразовании в соответствии со своими размерностями, напр,
вектор-потенциал эл.-магн. поля и ток преобразуются по законам
Безразмерные величины,а также такие величины, как массы
частиц, при масштабном преобразовании не меняются.
Золотые пропорции в современном естествознании
В геометрии существуют различные способы построения золотой
пропорции, причем характерно, что для построения достаточно взять самые простые
геометрические фигуры - квадрат или прямоугольный треугольник с соотношением
катетов 1:2. Если с середины стороны квадрата провести окружность радиусом,
равным диагонали полуквадрата, то на ее пересечении с продолженной стороной
квадрата получим отрезок, который меньше стороны квадрата в соответствии с
золотой пропорцией. Еще проще построение золотой пропорции в прямоугольном
треугольнике 1:2: . Достаточно провести две дуги окружности, пересекающиеся в
одной точке на гипотенузе, и большой катет будет разделен в соответствии с
золотой пропорцией.
Золотое сечение можно увидеть и в пентаграмме - так называли
греки звездчатый многоугольник. Он служит символом Пифагорейского союза -
религиозной секты и научной школы по главе с Пифагором, которая проповедовала
братскую любовь к друг другу, отречение от внешнего мира, общность имущества и
т.д. На подобных устоях основывались очень многие секты. Но Пифагорийский союз
отличало от других то, что пифагорейцы считали возможным добиться очищения духа
при помощи математики. По их теории, в основу мирового порядка положены числа.
Мир, считали они, состоит из противоположностей, а гармония приводит
противоположности к единству. Гармония же заключается в числовых отношениях.
Пифагорейцы приписывали числам различные свойства. Так, четные числа они
называли женскими, нечетные (кроме 1) - мужскими. Число 5 - как сумма первого
женского числа (2) и первого мужского (3) - считалось символом любви. Отсюда
такое внимание к пентаграмме, имеющей 5 углов.
СПОНТАННОЕ НАРУШЕНИЕ СИММЕТРИИ
Большинство симметрии возникает при некоторой идеализации
задачи. Учет влияния более сложных взаимодействий приводит к нарушению симметрии.
Например, независимость энергии атома водорода от орбитального момента делается
неточной, и симметрия слегка нарушается, если учесть релятивистские поправки к
движению электрона. Даже законы сохранения, связанные с пространственной
симметрией, очень слабо, но все же нарушаются неоднородностью Вселенной во
времени и пространстве.
Существует гораздо более важное нарушение симметрии —
спонтанное (самопроизвольное). Оно заключается в том, что в системе,
описываемой симметричными законами и удовлетворяющей симметричным начальным
условиям, возникают несимметричные конечные состояния. Рассмотрим, например,
следующий простой эксперимент. Пусть металлический стержень сжимается в
гидравлическом прессе, так что вся эта система и все действующие в ней силы
обладают цилиндрической симметрией. Если сила давления на стержень превышает
его предел прочности на изгиб, то система становится неустойчивой и стержень
изгибается (а затем и ломается) в каком-то произвольном направлении
по азимуту. Итак, цилиндрическая симметричная система спонтанно перешла в
состояние, не обладающее исходной симметрией.
Тема 6. Концепции квантовой теории
1. Принципиальные различия в изучении макро- и
микрообъектов.
Всякая попытка наблюдения микрообъектов сопровождается
изменением характера их движения. Поэтому никакое наблюдение микрообъектов
независимо от приборов и измерительных средств субъекта в мире мельчайших
частиц материи невозможно. Именно это обстоятельство вызывает обычно возражение
со стороны тех, кто не видит различия между микро- и макрообъектами. В
макромире, в котором мы живем, мы не замечаем влияния приборов наблюдения и
измерения на макротела, которые изучаем, поскольку практически такое влияние
чрезвычайно мало и поэтому им можно пренебречь. В этом мире как приборы и
инструменты, так и сами изучаемые тела характеризуются тем же порядком величин.
Совершенно иначе обстоит дело в микромире, где макроприбор не может не влиять
на микрообъекты. Однако подобное воздействие не фигурирует в классической
механике.
Другое принципиальное отличие микрообъектов от макрообъектов
заключается в наличии у первых корпускулярно-волновых свойств, но объединение
таких противоречивых свойств у макрообъектов начисто отвергается классической
физикой. Хотя классическая физика и признает существование вещества и поля, но
отрицает существование объектов, обладающих корпускулярными свойствами,
присущими веществу, и одновременно волновыми свойствами, которые характерны для
физических полей (акустических, оптических или электромагнитных).
2. Основные положения квантовой теории(гипотеза кванта)
На заседании Немецкого физического общества Макс Планк
зачитал свою историческую статью «К теории распределения энергии излучения в
нормальном спектре», в которой он ввёл универсальную постоянную h. Именно дату
этого события, 14 декабря 1900 года, часто считают днем рождения квантовой
теории.
Квантовая гипотеза Макса Планка состояла в том, что любая
энергия поглощается или испускается только дискретными порциями, которые
состоят из целого числа квантов с энергией ε таких, что эта энергия
пропорциональна частоте ν с коэффициентом пропорциональности, определённым
по формуле: E=hv, где h — постоянная Планка.
В 1905 году для объяснения явлений фотоэффекта Альберт
Эйнштейн, использовав квантовую гипотезу Планка, предположил, что свет состоит
из квантов, которые впоследствии назвали фотонами.
3. Корпускулярно-волновой дуализм.
Новый радикальный шаг в развитии физики был связан именно с
распространением корпускулярно-волнового дуализма на мельчайшие частицы
вещества — электроны, протоны, нейтроны и другие микрообъекты. В классической
физике вещество всегда считалось состоящим из частиц, и потому волновые
свойства казались явно чуждыми ему. Тем удивительнее оказалось обнаружение
существования у микрочастиц волновых свойств.
Первым гипотезу о наличии волновых свойств у микрочастиц
материи высказал в 1924 г. известный французский ученый Л. де Бройль.
По-видимому, он руководствовался при этом интуитивной идеей о симметрии между
веществом и полем и особенно новыми взглядами на свет, элементарные объекты
которого — фотоны — обладают одновременно волновыми и корпускулярными
свойствами. Несмотря на коренное различие между веществом и полем, такая
глубокая аналогия оказалась верной и послужила исходной точкой для разработки
новой квантовой физики.
Гипотеза де Бройля состояла в следующем:
Каждой материальной частице независимо от ее природы
следует поставить в соответствие волну, длина которой обратно пропорциональна
импульсу частицы:
где
— длина волны, р — импульс
частицы, равный произведению ее массы на скорость: р =mv, h —
постоянная Планка.
Таким образом, было установлено, что как фотоны, т.е. кванты
света, так и вещественные частицы, такие, как электрон, протон, нейтрон и
другие, обладают не только корпускулярными, но и волновыми свойствами. Это
принципиально новое явление, названное впоследствии дуализмом волны и
частицы, совершенно не укладывалось в рамки классической физики.
4. Вероятностный смысл квантовой механики.
Основной идеей всей квантовой механики служит то, что все в
мире частиц описывается только вероятностно. Например, фотон преодолевает
пластину с двумя щелями. Невозможно ответить на вопрос, через какую из двух
щелей прошел фотон. Сама постановка вопроса с точки зрения квантовой механики
неправильна. Можно лишь говорить о вероятностях прохождения фотона через какую
либо из щелей. Любые попытки измерения в квантово механическом эксперименте
приводят к изменению условий самого эксперимента. Например, если мы поставим
детектор и будем пытаться точно ответить на вопрос через какую именно щель
прошел фотон, то столкнемся с проблемой - интерференционная картина пропадет.
Таким образом, детектор повлиял на ход эксперимента.
5. Роль измерений в квантовой механике. Смысл соотношения
неопределенностей.
Измерение в квантовой механике — концепция, описывающая
возможность получения информации о состоянии системы путём проведения физического
эксперимента.
Специфические черты квантовых измерений описываются
постулатом фон Неймана, согласно которому при измерении квантовой системы ее
состояние подвергается редукции (в другой терминологии – происходит коллапс
волновой функции). Более глубокий анализ показывает, что при измерении
происходит запутывание измеряемой системы с измерительным прибором (в более
общем случае – с окружающей средой). По другой терминологии, между ними
устанавливается квантовая корреляция. При этом система подвергается декогеренции.
Физически это означает, что состояние системы частично теряет свои специфически
квантовые черты, «становится в некоторой мере классическим». Роль декогеренции
была полностью понята лишь в 80-х годах прошлого века. Процесс декогеренции
происходит не только при измерении системы (с целью получить о ней информацию),
но и при неконтролируемом взаимодействии системы с ее окружением. Это
объясняет, в частности, как происходит диссипация квантовой системы.
Возможность возникновения квантовой корреляции (запутывания) квантовых систем
между собой приводит к возникновению специфических явлений, называемых
квантовой нелокальностью. Явление квантовой нелокальности иллюстрируется
ситуациий, описанной еще в 1935 году в известной работе Эйнштейна—Подольского—Розена
(ЭПР). Вариантами ситуации ЭПР являются корреляция спинов двух электронов или
корреляция поляризаций двух фотонов. В этом случае измерение проекции спина
одного из электронов (или поляризации одного из фотонов) определяет проекцию
спина второго электрона (соответственно – поляризацию второго фотона), несмотря
на отсутствие взаимодействия между ними.
Неопределенность в квантовой механике выражается формулой:
дельтаXдельтаР больше или равно h/2 и называется
соотношением неопределенности.
Существует множество способов объяснить и понять эту
неопределенность. Так, например, всякий раз можно сказать что фотон есть
отчасти волна. А потому положение волны в пространстве несколько размыто, так
как волна не точечный объект. Можно привести и другое более наглядное
объяснение. Представьте себе что мы смотрит на что-то под микроскопом. Для
того, чтобы смотреть нам нужен свет, так как в темноте мы ничего не увидим. Для
тех, кто хоть раз смотрел что либо под микроскопом знает, что чем больше
увеличение, тем больше может понадобится света. А теперь представим, что мы
хотим посмотреть на атом под микроскопом. Как только мы его осветим, часть
электронов оторвется под действием фотоэффекта, и мы уже увидим не тот атом,
который был в темноте. Ситуация с элементарными частицами еще хуже. Стоит нам
посветить на электрон, как он тут же изменит свое первоначальное состояние. Это
рассуждение еще раз подтверждает соотношение неопределенностей. Соотношение
неопределенностей делает квантовую механику совершенно непохожей на классическую.
Здесь мы уже не может точно определить координаты и импульс тела. Кроме того, в
квантовой механики уже не существует такого понятия как траектория! Как же это
себе представить. Оказывается довольно легко. В сущности, мы никогда и не
наблюдаем никакой траектории, есть только взаимодействие. Действительно, мы
ставим детектор и может обнаружить электрон. Ставим его в другом месте и может
обнаружить его там. Но совершенно нельзя сказать где находится электрон и как
он двигался между двумя этими детекторами. Можно лишь посчитать вероятность
нахождения электрона в том или ином месте. Остается понять лишь один вопрос.
Что происходит с макротелами? Почему для микротел мы применяем квантовые
законы, а для макротел классические? Все дело в малости постоянной Планка. Так
соотношение неопределенностей даже для песчинки ничтожно мало, и потому,
приближенно, можно говорить что ее координаты и импульс можно измерить точно.
Также для песчинки существует дуализм волна-частица, но волновые свойства в ней
проявляются столь слабо, что их никак нельзя обнаружить.
6. Квантовые числа. Проявление в спектрах и строении атомов.
Ква́нтовое число́ в квантовой механике — численное
значение какой-либо квантованной переменной микроскопического объекта
(элементарной частицы, ядра, атома и т. д.), характеризующее состояние частицы.
Задание квантовых чисел полностью характеризует состояние частицы.
Некоторые квантовые числа связаны с движением в пространстве
и характеризуют пространственное распределение волновой функции частицы. Это,
например, радиальное (главное) (nr), орбитальное (l) и магнитное (m) квантовые
числа электрона в атоме, которые определяются как число узлов радиальной
волновой функции, значение орбитального углового момента и его проекция на
заданную ось, соответственно. Некоторые другие квантовые числа никак не связаны
с перемещением в обычном пространстве, а отражают «внутреннее» состояние
частицы. К таким квантовым числам относится спин и его проекция. В ядерной
физике вводится также изоспин, а в физике элементарных частиц появляется цвет,
странность, гиперзаряд, очарование, прелесть и истинность.
7. Основное уравнение квантовой механики. Логический
парадокс квантовой механики(суперпозиция состояний макрообъекта).
Квантовая гипотеза Макса Планка состояла в том, что любая энергия
поглощается или испускается только дискретными порциями, которые состоят из
целого числа квантов с энергией ε таких, что эта энергия пропорциональна
частоте ν с коэффициентом пропорциональности, определённым по формуле:
E=hv, где h — постоянная Планка.
Ква́нтовая суперпози́ция (когерентная
суперпозиция) — это суперпозиция состояний, которые не могут быть реализованы
одновременно с классической точки зрения, это суперпозиция альтернативных
(взаимоисключающих) состояний. Один из широко известных примеров
парадоксального поведения квантовомеханических объектов с точки зрения
макроскопического наблюдателя — кот Шрёдингера, который может представлять из
себя квантовую суперпозицию живого и мёртвого кота. Суть эксперимента: В
закрытый ящик помещён кот[1]. В ящике имеется механизм, содержащий
радиоактивное ядро и ёмкость с ядовитым газом. Параметры эксперимента подобраны
так, что вероятность того, что ядро распадётся за 1 час, составляет 50 %. Если
ядро распадается, оно приводит механизм в действие, он открывает ёмкость с
газом, и кот умирает. Согласно квантовой механике, если над ядром не
производится наблюдения, то его состояние описывается суперпозицией (смешением)
двух состояний — распавшегося ядра и нераспавшегося ядра, следовательно, кот,
сидящий в ящике, и жив, и мёртв одновременно. Если же ящик открыть, то
экспериментатор обязан увидеть только какое-нибудь одно конкретное состояние —
«ядро распалось, кот мёртв» или «ядро не распалось, кот жив». Вопрос стоит так:
когда система перестаёт существовать как смешение двух состояний и выбирает
одно конкретное? Цель эксперимента — показать, что квантовая механика неполна
без некоторых правил, которые указывают, при каких условиях происходит коллапс
волновой функции и кот либо становится мёртвым, либо остаётся живым, но
перестаёт быть смешением того и другого. Вопреки расхожим представлениям, сам
Шрёдингер придумал этот опыт вовсе не потому, что он верил, будто «мёртвоживые»
коты существуют; наоборот, он считал квантовую механику неполной и не до конца
описывающей реальность в данном случае. Поскольку ясно, что кот обязательно
должен быть либо живым, либо мёртвым (не существует состояния, промежуточного
между жизнью и смертью), то означает, что это верно и для атомного ядра. Оно
обязано быть либо распавшимся, либо нераспавшимся.
Тема 7. Нанотехнологии.
7.1 Развитие представлений о нанотехнологиях.
7.2 Принципиальные отличия нанотехнологий от обычных
технологий. Основные области применения наноструктурированных материалов.
7.3 Способы получения наноматериалов (снизу-вверх и
сверху-вниз).
7.4 Зондовые методы исследований. Научно-технические
проблемы, связанные с развитием нанотехнологий.
7.5 Экологические и социальные проблемы, связанные с
развитием нанотехнологий.
Нанотехнология — междисциплинарная область фундаментальной
и прикладной науки и техники, имеющая дело с совокупностью теоретического
обоснования, практических методов исследования, анализа и синтеза, а также
методов производства и применения продуктов с заданной атомарной структурой
путём контролируемого манипулирования отдельными атомами и молекулами.
Определения и терминология
Часто употребляемое определение нанотехнологии как комплекса
методов работы с объектами размером менее 100 нанометров недостаточно точно
описывает как объект, так и отличие нанотехнологии от традиционных технологий и
научных дисциплин. Объекты нанотехнологий, с одной стороны, могут иметь
характеристические размеры указанного диапазона:
- наночастицы, нанопорошки (объекты, у которых три
характеристических размера находятся в диапазоне до 100 нм);
- нанотрубки, нановолокна (объекты, у которых два
характеристических размера находятся в диапазоне до 100 нм);
- наноплёнки (объекты, у которых один характеристический
размер находится в диапазоне до 100 нм).
С другой стороны, объектами нанотехнологий могут быть
макроскопические объекты, атомарная структура которых контролируемо создаётся с
разрешением на уровне отдельных атомов.
Нанотехнологии качественно отличаются от традиционных
дисциплин, поскольку на таких масштабах привычные, макроскопические, технологии
обращения с материей часто неприменимы, а микроскопические явления,
пренебрежительно слабые на привычных масштабах, становятся намного
значительнее: свойства и взаимодействия отдельных атомов и молекул или
агрегатов молекул, квантовые эффекты.
В практическом аспекте это технологии производства устройств
и их компонентов, необходимых для создания, обработки и манипуляции атомами,
молекулами и частицами, размеры которых находятся в пределах от 1 до 100
нанометров. Однако, нанотехнология сейчас находится в начальной стадии
развития, поскольку основные открытия, предсказываемые в этой области, пока не
сделаны. Тем не менее проводимые исследования уже дают практические результаты.
Использование в нанотехнологии передовых научных результатов позволяет относить
её к высоким технологиям.
2. Основн.области: электроника, медицина,
приборостроение
Наноматериалы
Материалы, разработанные на основе наночастиц с
уникальными характеристиками, вытекающими из микроскопических размеров их
составляющих.
- Углеродные нанотрубки – протяжённые цилиндрические
структуры диаметром от одного до нескольких десятков нанометров и длиной
до нескольких сантиметров состоящие из одной или нескольких свёрнутых в
трубку гексагональных графитовых плоскостей (графенов) и заканчиваются
обычно полусферической головкой.
- Фуллерены – молекулярные соединения, принадлежащие классу
аллотропных форм углерода (другие — алмаз, карбин и графит) и
представляющие собой выпуклые замкнутые многогранники, составленные из
чётного числа трёхкоординированных атомов углерода.
- Графен – монослой атомов углерода, полученный в октябре
2004 года в Манчестерском университете (The University Of Manchester).
Графен можно использовать, как детектор молекул (NO2), позволяющий
детектировать приход и уход единичных молекул. Графен обладает высокой
подвижностью при комнатной температуре, благодаря чему как только решат
проблему формирования запрещённой зоны в этом полуметалле, обсуждают
графен как перспективный материал, который заменит кремний в интегральных
микросхемах.
- Наноаккумуляторы – в начале 2005 года компания Altair
Nanotechnologies (США) объявила о создании инновационного
нанотехнологического материала для электродов литий-ионных аккумуляторов.
Аккумуляторы с электродами имеют время зарядки 10-15 минут.
Наномедицина и химическая промышленность
Направление в современной медицине, основанное на
использовании уникальных свойств наноматериалов и нанообъектов для
отслеживания, конструирования и изменения биологических систем человека на
наномолекулярном уровне.
- ДНК-нанотехнологии – используют специфические основы
молекул ДНК и нуклеиновых кислот для создания на их основе четко заданных
структур.
- Промышленный синтез молекул лекарств и фармакологических
препаратов четко определенной формы (бис-пептиды).
Компьютеры и микроэлектроника
- Центральные процессоры – 15 октября 2007 года компания
Intel заявила о разработке нового прототипа процессора, содержащего
наименьший структурный элемент размерами примерно 45 нм. В дальнейшем
компания намерена достичь размеров структурных элементов до 5 нм.
Характерным отличием от разработок Intel является применение
дополнительного изолирующего слоя SOI, препятствующего утечке тока за счет
дополнительной изоляции структур, формирующих транзистор.
- Жесткие диски – в 2007 году Питер Грюнберг и Альберт Ферт
получили Нобелевскую премию по физике за открытие GMR-эффекта,
позволяющего производить запись данных на жестких дисках с атомарной
плотностью информации;
- Атомно-силовой микроскоп – сканирующий зондовый микроскоп
высокого разрешения, основанный на взаимодействии иглы кантилевера (зонда)
с поверхностью исследуемого образца. Обычно под взаимодействием понимается
притяжение или отталкивание кантилевера от поверхности из-за сил Ван-дер
Ваальса. Но при использованиии специальных кантилеверов можно изучать
электрические и магнитные свойства поверхности. В отличие от сканирующего
туннельного микроскопа (СТМ), может исследовать как проводящие, так и
непроводящие поверхности даже через слой жидкости, что позволяет работать
с органическими молекулами (ДНК). Пространственное разрешение
атомно-силового микроскопа зависит от размера кантилевера и кривизны его
острия. Разрешение достигает атомарного по горизонтали и существенно
превышает его по вертикали;
- Антенна-осциллятор – 9 февраля 2005 года в лаборатории
Бостонского университета была получена антенна-осциллятор размерами
порядка 1 мкм. Это устройство насчитывает 5000 миллионов атомов и способно
осциллировать с частотой 1,49 гигагерц, что позволяет передавать с ее
помощью огромные объемы информации;
- Плазмоны — коллективные колебания свободных электронов в
металле. Длина волны плазмонного резонанса, например, для сферической
частицы серебра диаметром 50 нм составляет примерно 400 нм, что указывает
на возможность регистрации наночастиц далеко за границами дифракционного
предела (длина волны излучения много больше размеров частицы). В начале
2000-го года, благодаря быстрому прогрессу в технологии изготовления
частиц наноразмеров, был дан толчок к развитию новой области
нанотехнологии — наноплазмонике. Оказалось возможным передавать
электромагнитное излучение вдоль цепочки металлических наночастиц с
помощью возбуждения плазмонных колебаний.
Робототехника
- Молекулярные роторы – синтетические наноразмерные
двигатели, способные генерировать крутящий момент при приложении к ним
достаточного количества энергии;
- Нанороботы – роботы, созданные из наноматериалов и
размером сопоставимые с молекулой, обладающие функциями движения,
обработки и передачи информации, исполнения программ. Нанороботы, способные к
созданию своих копий, т.е. самовоспроизводству, называются репликаторами.
В настоящее время уже созданы электромеханические наноустройства,
ограниченно способные к передвижению, которые можно считать прототипами нанороботов;
- Молекулярные пропеллеры – наноразмерные молекулы в форме
винта, способные совершать вращательные движения благодаря своей
специальной форме, аналогичной форме макроскопического винта;
3. Есть два главных способа создания наноматериалов. Один из
них - «снизу-вверх». Эти методы предполагают, что наноструктуры с заданными
свойствами формируются последовательно из атомов и молекул, от мельчайших
объемов - к более крупным. Такой путь развития нанотехнологий связан, в первую
очередь, с использованием дорогостоящей аппаратуры. Существует и второй путь -
«сверху-вниз», или от объемного материала - к высокодисперсным (т.е.
мельчайшим) частицам. Он не требует таких больших затрат.
Технология «снизу-вверх» сводится к получению наноразмерного
объекта путем сборки из отдельных атомов и молекул. В большинстве технологий
сборки наноматериалов из отдельных атомов лежит явление конденсации.
Конденсация (от лат. condenso – уплотняю,
сгущаю) – переход вещества из газообразного состояния в жидкое или твёрдое
вследствие его охлаждения или сжатия.
Дождь, снег, роса, иней – все эти явления природы
представляют собой следствие конденсации водяного пара в атмосфере. Конденсация
пара возможна только при температурах ниже критической для данного вещества.
Аналогично молекулам воды, можно «конденсировать» атомы и молекулы других
химических элементов. Конденсация, как и обратный процесс – испарение, является
примером фазовых превращений вещества.
Процесс фазового превращения из газа в жидкость или из
жидкости в твердое вещество протекает за определенное время. На начальной
стадии процесса превращения образуются наночастицы, которые затем перерастают в
макроскопические объекты. Наночастицы можно получить, если «заморозить» фазовый
переход на начальной стадии.
При конденсационном методе получения наночастиц необходимо
испарить из макроскопического тела атомы, из которых и будет проходить
«сборка». Испарение можно произвести за счет термического или лазерного
разогрева макроскопического тела. Испаренные атомы необходимо перенести в
область пониженных температур, где и происходит их конденсация в наночастицы.
Сложность технологического процесса заключается в создании условий, при которых
наночастицы не перерастут в макроскопические тела.
На основе явления конденсации получают фуллерены, углеродные
трубки, нанокластеры и наночастицы различного размера.
4. Частицы размерами порядка нанометров или наночастицы, как
их называют в научных кругах, имеют одно свойство, которое очень мешает их
использованию. Они могут образовывать агломераты, то есть слипаться друг с
другом. Так как наночастицы многообещающи в отраслях производства керамики,
металлургии, эту проблему необходимо решать. Одно из возможных решений —
использование веществ — дисперсантов, таких как цитрат аммония (водный раствор),
имидазолин, олеиновый спирт (нерастворимых в воде). Их можно добавлять в среду,
содержащую наночастицы.
1) ТЕМА
8. Неравновестность и неустойчивость природных объектов как основа
самоорганизации.
Самоорганиза́ция — процесс упорядочения в системе за счёт внутренних факторов, без внешнего
специфического воздействия.
Неравновесность можно определить как состояние
открытой системы, при котором происходит изменение ее макроскопических
параметров, то есть ее состава, структуры и поведения. В своей статье
«Философия нестабильности» И. Пригожин пишет: «Наше восприятие природы
становится дуалистическим, и стержневым моментом в таком восприятии становится
представление о неравновесности. Причем неравновесности, ведущей не только к
порядку и беспорядку, но открывающей также возможность для возникновения
уникальных событий, ибо спектр возможных способов существования объектов в этом
случае значительно расширяется (в сравнении с образом равновесного мира)».
С позиций неравновесной термодинамики развитие
трактуется как последовательность переходов иерархии структур возрастающей
сложности. Переход на новый уровень развития идет от беспорядка к порядку через
неустойчивость. В неравновесных ситуациях появление порядка возможно только при
наличии внешних потоков (вещественно-энергетических или информационных),
удерживающих систему далеко от равновесия. При отсутствии этих потоков
(изоляции системы) в подобных ситуациях развиваются диссипативные разрушения
структуры, рассеяния (диссипация) энергии или информации, в результате чего
системы деградируют к равновесному состоянию. Взаимодействие со средой создает
потенциальные возможности для возникновения неустойчивых состояний и появления
вслед за неустойчивостью новой, более упорядоченной структуры.
Возникающая в процессе развития неустойчивость
создает возможность скачкообразного перехода системы в новое состояние. Скачок
можно рассматривать как реакцию системы на возмущение с целью его компенсации,
только система возвращается не в старое состояние, а переходит в новое, т.е.
"развитие через неустойчивость" обеспечивает устойчивость на более
высоком уровне. При этом сама устойчивость понимается не как устойчивость
равновесных структур типа кристаллических образований, а как динамическая
устойчивость открытых систем за счет самоорганизации, авторегуляции,
осуществляемая для достаточно сложных систем в основном путем информационного
обмена (В.Эбелинг).
2) Неоднозначность
в описании природных явлений и объектов. Понятие бифуракции.
“Бифуркация” находится в самом центре науки,
занимающейся изучением систем и явлений, еще недавно лежавших за пределами
научного знания. Действительно, из всех терминов, образующих lingua franca
теории хаоса и общей теории динамических систем, “бифуркацию” можно
считать наиболее важным термином, во-первых, потому, что он адекватно описывает
единственный в своем роде опыт, приобретаемый вольно или невольно почти всеми,
кто живет в современном мире, и, во-вторых, потому, что он точно описывает
единичное событие, которое самым решающим образом сказывается на формировании
будущего современных обществ. И несмотря на это, за исключением узкого круга
исследователей, работающих на переднем крае науки, лишь немногие знают, что
означает термин “бифуркация” и как его применять. “бифуркация” в обыденной речи
означает развилку, или разветвление надвое (от латинского bi — двойной и furca
— развилка). Но в наше время термин “бифуркация” означает нечто более
специфичное: в современной научной терминологии этот термин служит названием
фундаментальной особенности поведения сложных систем, подверженных сильным
воздействиям и напряжениям. Об этом значении “бифуркации” важно знать потому,
что мы сами ничуть не в меньшей степени, чем общество или среда, в которых мы
живем, представляем собой сложные системы, испытывающие сильные воздействия и
напряжения. Более того, во многих современных обществах уровни и интенсивность
воздействия ныне близки к критическим.
Знание термина “бифуркация” в его новом значении
принадлежит к кругу наиболее существенных знаний нашего века. Это значение
наполняется конкретным содержанием в некоторых наиболее новых и передовых
областях естественных и математических наук. К числу таких наук относятся
необратимая термодинамика (известная также под названием термодинамики
необратимых процессов) и теория динамических систем (новый бурно развивающийся
раздел классической динамики).
Многообразие материальных систем, охватывающих неживую и
живую природу, пространство и время, человеческое общество, предполагает их
функционирование в рамках единых законов природы. В разработку последних внесли
свой вклад фундаментальные естественно-научные дисциплины - физика, химия,
биология, а также математика.
Особую роль в описании структуры и принципов
функционирования природных систем играют системный и эволюционный
подходы. Прогресс науки в развитии этого направления определился лишь после
широкого распространения идей и представлений о динамике открытых диссипативных
систем, о самоорганизации открытых систем, о динамических открытых системах в
биологии. Одним из ключевых положений, развиваемых в рамках системного подхода
к описанию природных явлений, заключается в том, что поведение систем в
зависимости от внешнего воздействия определяется обратными связями
3) Концепции
синергетики – науки о самоорганизации. Понятие сложности.
Синергетика (от греч. συν —
«совместно» и греч. εργος
— «действующий») — междисциплинарное направление научных
исследований, задачей которого является изучение природных явлений и процессов
на основе принципов самоорганизации систем (состоящих из подсистем)
Синергетика изначально заявлялась как
междисциплинарный подход, так как принципы, управляющие процессами
самоорганизации, представляются одними и теми же, безотносительно природы
систем и для их описания должен быть пригоден общий математический аппарат.
С мировоззренческой точки зрения синергетику иногда
позиционируют, как «глобальный эволюционизм» или «универсальную
теорию эволюции», дающую единую основу для описания механизмов
возникновения любых новаций подобно тому, как некогда кибернетика определялась, как «универсальная теория
управления», одинаково пригодная для описания любых операций регулирования и
оптимизации: в природе, в технике, в обществе и т. п. и т. д. Время показало,
что всеобщий кибернетический подход оправдал далеко не все возлагавшиеся на
него надежды. Аналогично и расширительное толкование применимости методов
синергетики подвергается критике. Основное понятие синергетики —
определение структуры как состояния, возникающего в результате
многовариантного и неоднозначного поведения таких многоэлементных структур или
многофакторных сред, которые не деградируют к стандартному для замкнутых систем
усреднению термодинамического типа, а развиваются вследствие открытости,
притока энергии извне, нелинейности внутренних процессов, появления особых режимов с обострением и наличия более одного
устойчивого состояния.
В процессе усложнения систем различают два взаимодополняющих
механизма: объединение частей и разделение (фракционирование) систем.
Механизмы, основанные на этих двух принципах, обнаруживаются на всех уровнях
сложности и упорядоченности, начиная с макромира и заканчивая крупномасштабными
структурами Вселенной. На разных уровнях сложности системы в основе лежат силы,
казалось бы, разной природы, но, в конечном счете все они сводятся к четырем
фундаментальным взаимодействиям.
Другая сторона явления самоорганизации - информативность,
способность системы любого уровня создавать, накапливать, хранить и
использовать информацию, в том числе и о направлении своего развития.
Примеры самоорганизации: торнадо, химические часы,
биологические процессы (эволюция), социальные системы (общество), формирование
человеческой психики на протяжении жизни.
Необходимые условия самоорганизации:
Открытость системы (взаимодействие с другими системами, с
окружающей средой): обмен энергией, обмен веществом, обмен информацией при
деградации.
Уровни самоорганизации в природе:
Космологический - происхождение вещества из вакуума,
появление барионной ассиметрии, разделение различных типов фундаментальных
взаимодейтсвий, формирование протонов и нейтронов, формирование атомов водорода
и гелия, первичный нуклеосинтез, разделение атомов вещеста и электромагнитного
излучения.
Астрофизический - формирование галактик, звезд и планетных
систем, звездный нуклеосинтез, образование в космосе простейших молекул вплоть
до органических.
Геофизический - формирование и эволюция литосферы,
гидросферы и атмосферы Земли как благоприятного резервуара для появления
сложных органических молекул.
Химический и биохимический - химическая и биохимическая
эволюция молекул и молекулярных агрегатов.
Биологический - биологическая эволюция от появления первых
клеток до высших животных и человека, формирование и развитие общего в
биосфере.
Социальный - социальная эволюция как историческое развитие
различных форм человеческих сообществ от первобытных племен до современной
всемирной цивилизации.
Психический и интеллектуальный - психическая и
интеллектуальная эволюция от появления языка и письменности, мифологии ирелигии
до современного состояния единой мировой науки; попытки формирования ноосферы.
Система обязательно когда-нибудь находится в состоянии
кризиса, когда любая маленькая деталь может привести к непредсказуемым
последствиям, гибели системы. Теория катастроф с математической точки зрения.
Катастрофа - это когда при малом взаимодействии система уходит от прежнего
динамического состояния и переходит в новое состояние. Система должна пережить
катастрофу, чтобы самоорганизоваться.
4
Концепция необратимости времени в синергетике.
О необратимости времени
1. Случайное событие - это такое
событие, которое не имеет предыстории. Такие события существуют ("Бог
играет в кости"). Например, считается, что время жизни радиоактивного
элемента не зависит от предыстории. Следовательно, никаких причин, определяющих
распад, нет. То есть самопроизвольный распад ядра радиоактивного атома - чистый
случай. Еще более убедительно случайное поведение элементарных частиц,
попадание которых в конкретное место экрана является чистым случаем, и даже
'представление' о наличии какой-либо предыстории частицы (например, конкретной
траектории) ведет к невозможности предсказания ее дальнейшего поведения ([9]).
2. Детерминированное событие (причинно
обусловленное, не случайное) - это такое событие, которое имеет предысторию. Иначе
говоря, существуют причины, вызвавшие это событие и позволяющие
"восстановить историю", определить некоторое прошлое событие,
являющееся причиной рассматриваемого. Например, нахождение Земли в определенный
момент времени в определенной точке своей орбиты обусловлено ее нахождением в
предыдущий момент времени в соседней точке орбиты, а также взаимным
гравитационным притяжением Земли и Солнца и значениями их масс и скоростей.
В этих определениях молчаливо предполагается,
что нам ясен смысл слова "предыстория". На самом деле уточнение этого
термина привело бы к необходимости анализа понятий "память",
"информация" и т.п. Понимая, что без такого анализа (в другом месте,
возможно, мы его проведем), будет потеряна строгость дальнейших рассуждений,
попытаемся пока составить себе общее представление о возможных подходах к
решению физического аспекта "проблемы" необратимости времени.
Итак, если бы все события в мире были строго
детерминированы, то
- в принципе было бы возможно установить всю
цепочку причин, приведших объект из некоторого прошедшего состояния к
нынешнему. То-есть в этом случае прошлое было бы восстановимо. На самом деле в
полной мере прошлое невосстановимо ([4], c.127-130);
- будущее было бы полностью известным. На самом
деле оно лишь статистически предсказуемо ([4], c.127).
Происходит все так потому, что большинство
реальных процессов состоит не только из детерминированных событий, но и из
случайных, которые при переходе из прошлого в будущее прерывают причинную цепь,
так как не имеют предыстории. Поэтому текущее состояние мира позволяет оценить
прошедшие (как и будущие) события только на вероятностной основе, опираясь на
память и аналогии. Например, если бы не было представлений о динозаврах, то
обнаруженный "здесь" и "теперь" след динозавра
интерпретировался бы нами как игра природы. Короче говоря, речь всегда идет
просто о более или менее вероятных оценках как прошлого, так и будущего.
Существование случайных событий означает также,
что возврат в прошлое не имеет ничего общего с обратимостью времени.
Действительно, если бы вдруг все во Вселенной изменилось так, что ее состояние
совпало бы с состоянием, имевшим место быть в какой то момент 19 века, то
происходившие в то время случайные события не могли бы в точности повторяться
вновь (иначе они не были бы случайными, а имели бы предысторию), и Александр
Сергеевич Пушкин, возможно, не был бы убит, и время текло бы в том же
направлении, что и сейчас.
Обратимость времени, как уже отмечалось, - это
возможность прохождения Вселенной своих состояний в обратном порядке,
возможность времени течь из будущего в прошлое. Чем же характеризуется будущее?
Но поскольку мир устроен так, что не все
события случайны, что действуют законы природы, определяющие причинные ряды
событий, постольку обратный ход времени невозможен.
Итак, течение времени определяется
существованием случайных событий, а его необратимость - существованием
детерминированных событий.
5
Моделирование воздействий окружающей среды. Измерение
фрактальной размерности.
Фрактал - особый математический объект, имеющий
известные характеристики [1].
Основной характеристикой фрактального объекта является его размерность [2]. Фрактальная
размерность, как правило, является неотрицательным нецелым числом, отражающим,
некоторым образом, геометрическую сложность объекта. Появление на
радиолокационном изображении некоторого искусственного объекта изменит величину
фрактальной размерности изображения в целом. Данный факт позволяет использовать
величину фрактальной размерности радиолокационного изображения (РЛИ) для
обнаружения. Наиболее эффективно применение фрактальной размерности при
обнаружении протяженных слабоконтрастных объектов на фоне сильных отражений от
подстилающей поверхности так, как на величину фрактальной размерности РЛИ не
влияют амплитудные характеристики формирующих изображение сигналов.
Измерение фрактальной размерности различных, естественных
и искусственных объектов является не совсем корректной задачей, так как нет
точного определения самого понятия фрактальной размерности [1] и, как правило,
отсутствует необходимое количество данных (карт различных масштабов). Поэтому
фрактальную размерность какого либо образования измеряют косвенно – по наклону
зависимости S=F (d) S- измеряемое значение (длина, площадь, объем и т.д.).
6 Основы гармоничной самоорганизации.Ряды размеров
наноструктур.
Формирование и исследование структур, характерные размеры
которых составляют единицы или десятки нанометров, является одним из важнейших
направлений современных фундаментальных и прикладных исследований в физике
твердого тела. Основными функциональными элементами таких объектов
(наноструктур), как правило, являются отдельные частицы, большие молекулы или
атомные кластеры. Сверхмалые размеры наноструктур
приводят к пространственному квантованию и необычным их физическим свойствам.
Изучение этих свойств дает ключ к пониманию фундаментальных пространственных
ограничений в традиционных электронных и магнитных приборах, с одной стороны, и
порождает новые принципы построения электронных устройств, полноценно
использующих квантовую природу наноструктур с другой стороны.