Разработка технологии повышения уровня лояльности персонала на предприятии ОАО 'АвиаСтарт'
Содержание
Введение
1. Общая характеристика ОАО "АвиаСтарт"
1.1 Сфера деятельности ОАО "АвиаСтарт"
1.2 Миссия и цели ОАО "АвиаСтарт"
1.3 История развития ОАО "АвиаСтарт"
1.4 Организационная структура ОАО "АвиаСтарт"
1.4 SWOT - анализ ОАО "АвиаСтарт"
2. Анализ проблемы лояльности персонала к организации в ОАО
"АвиаСтарт"
2.1 Понятие лояльности персонала к организации
3. Проект технологии повышения лояльности персонала в ОАО
"АвиаСтарт"
3.1 Устав проекта
3.2 Описание содержания проекта
3.3 План управления проектом
3.4 Проектная документация
3.5 Риски проекта
Заключение
Список литературы
Введение
Атмосфера внутри коллектива на предприятии играет важнейшую
роль и оказывает значительное влияние на производственный процесс, положение
компании на рынке, имидж предприятия и других сторонах деятельности. Создание
положительной атмосферы среди работающих - важная задача кадрового менеджмента.
Одной из характеристик сложившейся на предприятии ситуации,
является лояльность персонала к своей организации. Если дать краткое
определение лояльности, то это положительное отношение человека к чему-либо, а
в данной ситуации работника к своему предприятию.
Высокий уровень лояльности персонала дает организации
возможность стабильного развития, даже в ситуации кризиса. Лояльные работники
готовы смириться с временными трудностями компании, принять необходимые
организационные перемены. Такие сотрудники дорожат своим рабочим местом именно
в этой компании. Они не только сами стремятся как можно лучше выполнить свою
работу, но нередко побуждают к этому и своих коллег. Только лояльные сотрудники
готовы творчески подходить к решению возникающих проблем, брать на себя
ответственность, прикладывать все усилия для достижения целей компании.
Проблему лояльности персонала в нашей стране стали рассматривать
относительно недавно и в последнее время все больше работ уделяется этому
вопросу. В данном курсовом проекте рассматривается тема лояльности персонала в
целом и применительно к организации ОАО "АвиаСтарт".
Целью исследования является разработка технологии повышения
уровня лояльности персонала на предприятии ОАО "АвиаСтарт".
Основными задачами, решаемыми в данной работе являются:
анализ уровня лояльности персонала на выбранном предприятии;
выявление проблем и возможностей предприятия по управлению
лояльностью;
поиск мероприятий для повышения уровня лояльности персонала в
ОАО "АвиаСтарт";
составление графиков реализации проекта;
детальная проработка каждого из выбранных мероприятий;
определение рисков разработанного проекта.
Объект исследования - лояльность персонала на предприятии ОАО
"АвиаСтарт".
Предмет исследования - настроение и отношения внутри
коллектива, проблемы и возможности персонала.
Методы исследования:
опрос персонала предприятия;
анализ информации, находящейся в открытых источниках и
предоставленной кадровой службой предприятия;
наблюдение за персоналом организации с целью выявления
проблем и возможностей коллектива;
метод дедукции, заключающийся в переносе рассматриваемых в
научных работах приемов и мероприятий из теоретической плоскости в практическую
плоскость с применением их в разработке проекта для конкретного предприятия.
лояльность персонал уровень риск
1. Общая
характеристика ОАО "АвиаСтарт"
1.1 Сфера
деятельности ОАО "АвиаСтарт"
Сферой деятельности ОАО
"АвиаСтарт" является осуществление пассажирских авиаперевозок на
внутренних линиях малой и средней протяженности.
Основной особенностью компании является
единство аэропортового комплекса и непосредственно самой авиакомпании с летным
отрядом и парком воздушных судов.
Ижевское авиапредприятие, созданное в 1944 году, в настоящее
время является открытым акционерным обществом со 100-процентной долей, акций
находящихся в собственности Удмуртской Республики.
Маршрутная сеть Общества включает в себя 15 рейсов на
регулярной основе (включая сезонные рейсы) и 12 рейсов на чартерной основе (в
основном вахты газовиков и нефтяников). Авиакомпания осуществляет пассажирские
перевозки из Ижевска в Москву, Санкт-Петербург, Екатеринбург, Нижневартовск,
Сочи и другие города, а также присутствует на авиалиниях соседних регионов и
выполняет рейсы из Кургана, Кирова, Уфы, Перми и др.
Аэропортовый комплекс авиапредприятия - это сложнейшая,
формировавшаяся десятилетиями инфраструктура с воздушными, наземными и
техническими службами, в том числе лётной службой, службой бортпроводников,
авиационно-технической базой, службой организации и продажи авиаперевозок,
службой поискового и аварийно-спасательного обеспечения полётов, службой
медицинской помощи, спецтранспорта, авиационной безопасности, электрослужбой,
службой связи и другими. На авиапредприятии ведомственными нормативными
документами установлен штат персонала в количестве 792 человек (22 службы),
фактически - 686 работающих.
Парк воздушных судов ОАО "АвиаСтарт" полностью
сформирован из самолетов российского производства и состоит из восьми Як-42Д,
трех Ан - 24 и трех Ту-134 [8].
За последние 3 года ОАО "АвиаСтарт" демонстрирует
уверенный рост по многим ключевым показателям, важным для любой авиакомпании,
таким как пассажирооборот (рисунок 1), занятость пассажирских кресел (рисунок
2), перевозка пассажиров (рисунок 3):
ПКМ=ПЧКМ (где ПКМ - пассажирокилометры, П - количество
перевезенных пассажиров, КМ - километры)
Рисунок 1 - Пассажирооборот ОАО "АвиаСтарт" за 2011-2013
гг.
Рисунок 2 - Занятость пассажирских кресел на рейсах ОАО
"АвиаСтарт" за 2011-2013 гг.
Рисунок 3 - Перевозки пассажиров ОАО "АвиаСтарт" за
2011-2013 гг.
Таким образом, из диаграмм следует, что по сравнению с 2012 годом
пассажирооборот вырос на 41,8%, занятость пассажирских кресел на 18,4%, а
перевозки пассажиров на 38,4%.
1.2 Миссия и
цели ОАО "АвиаСтарт"
Миссия предприятия заключается в обеспечении потребностей в
региональных и международных авиационных перевозках жителей Удмуртской
Республики и соседних регионов, поддерживая при этом должный уровень
безопасности полетов, качества обслуживания и низкой цены предоставляемых
услуг.
Для выполнения данной миссии предприятие ставит себе
следующие цели:
развитие маршрутной сети;
обновление парка воздушных судов;
поддержание и улучшение квалификации персонала, а также
создание кадрового резерва;
увеличение прибыли за счет увеличения пассажирооборота и
занятости пассажирских кресел;
открытие международного сектора аэропорта.
1.3 История
развития ОАО "АвиаСтарт"
Датой образования авиакомпании АвиаСтарт (Izhavia) принято
считать 1944 год, когда был создан гражданский аэропорт в городе Ижевске. В
течение 30 лет маршрутная сеть и парк воздушных судов значительно разрослись, а
сам аэропорт оказался в пределах одного из районов выросшего города. В связи с
этим возникла острая необходимость в открытии нового аэропортового комплекса.
Поэтому был построен и 25 октября 1974 года начал функционировать новый
аэропорт в районе населенного пункта Старые Мартьяны, позволявший обслуживать
самые последние типы самолетов, в том числе зарубежные.
В годы перестройки в результате разделения Аэрофлота,
Ижевский объединенный авиаотряд начал самостоятельное существование под
названием Государственное предприятие "Ижевские авиалинии".
Современное название компания начала носить с 2001 года после
оформления всей необходимой документации для создания ОАО
"АвиаСтарт". Контрольный пакет акций компании в размере 100%
принадлежит Правительству Удмуртской республики.
На сегодняшний день предприятие является одной из двух
авиакомпаний в Приволжском Федеральном округе, наряду с Саратовскими
авиалиниями, сохранившей свой парк воздушных судов после распада Аэрофлота.
1.4
Организационная структура ОАО "АвиаСтарт"
Организационная структура ОАО "АвиаСтарт" представлена
на рисунке 4:
Рисунок 4 - Организационная структура ОАО "АвиаСтарт"
1.4 SWOT -
анализ ОАО "АвиаСтарт"
В таблице 1 приведен SWOT - анализ компании ОАО
"АвиаСтарт"
Таблица 1 - SWOT-анализ компании ОАО "АвиаСтарт"
|
Strenghts / Сильные стороны 1. Высокое
качество оказываемых услуг 2. Гибкое ценообразование 3. Ориентированность на
потребительский спрос 4. Высокая квалификация работников предприятия
|
Weaknesses / Слабые стороны 1. Высокая
себестоимость оказываемых услуг 2. Большой штат сотрудников 3. Значительный
технический и моральный износ основных средств предприятия. 4. Низкая
заинтересованность рядовых сотрудников в развитии предприятия 5. Высокая
текучесть кадров.
|
|
Opportunities / Возможности 1. Монопольное
положение предприятия на региональном рынке 2. Увеличение спроса на услуги.
3. Обновление основных средств за счет развития инструментов лизинга. 4.
Участие в правительственных программах поддержки региональной авиации и
аэропортов 5. Сокращение числа конкурентов
|
Treats / Угрозы 1. Высокий уровень
государственного регулирования сферы деятельности 2. Рост цен на авиационное
топливо 3. Появление конкурентов на рынке 4. Дефицит сотрудников рабочих
профессий и инженерных специальностей. 5. Сезонность спроса
|
2. Анализ
проблемы лояльности персонала к организации в ОАО "АвиаСтарт"
2.1 Понятие
лояльности персонала к организации
Слово "лояльность" произошло от английского слова
"loyal", которое в переводе означает: верность действующим законам,
постановлениям органов власти (иногда только формальная, внешняя); корректное,
благожелательное отношение к кому-либо или чему-либо [1].
Под лояльностью персонала мы понимаем готовность персонала
работать по существующим правилам и условиям, которые предлагает компания.
Безусловно, лояльные сотрудники разделяют ценности компании и являются их
трансляторами. Лояльный сотрудник мотивирован на работу, на выполнение своих
обязанностей именно в этой компании, то есть стремится сохранить свое рабочее
место [10].
Существует лояльность временная - когда сотрудник соглашается с
условиями, которые ему предлагают, со структурой корпоративной культуры, с
ценностями, которые компания формулирует. И есть лояльность убежденная,
долговременная. Естественно, что процесс перехода из временной в долговременную
требует времени. И этот период обычно у каждого из сотрудников называется
периодом стартап, то есть периодом вхождения в должность, в новую работу,
специфику новой компании или структурного подразделения.
Каждый человек в своей организации живет двумя-тремя жизнями. И
каждая из этих жизней может в равной степени повлиять на его лояльность.
Сотрудник, разумеется, является элементом формальной структуры, он выполняет
то, что записано в должностной инструкции. Он все будет делать как надо и будет
говорить, что он предан по гроб жизни своей компании. Всем известно, что ни
одна организация не живет этой формальной составляющей, у нее есть теневая сторона
- неформальные отношения. И в этой неформальной структуре человек больше движим
личностными факторами. Известно, что очень часто лидерские позиции в
неформальной структуре занимают не лучшие специалисты в данной сфере, а те, кто
обладает исключительно высокими харизматическими качествами.
Сама по себе лояльность - это совпадение векторов ожидания
собственника и менеджмента, плюс адекватная реакция со стороны исполнителя. Но
в условиях кризиса, когда все меняется, владельцы и менеджмент буквально сдают
своих сотрудников. Когда наступают сложные времена в компании, сотрудники
начинают наблюдать. Даже если вас "не трогают" и не собираются
увольнять, вы смотрите, как руководство относится к другим сотрудникам. И
проецируете это отношение на себя. Если вокруг сплошные увольнения - это
моментально разрушает лояльность. В стабильное время любая кадровая служба со
своей стороны если не гарантирует, то намекает на то, что компания готова с
вами работать всю оставшуюся жизнь.
С точки зрения реальной практики, в принципе, добиваться
лояльности от всех сотрудников сразу не нужно. Собственник и топ-менеджер
должны понимать, есть ли в компании так называемая критическая масса
сотрудников, которая является носителем надежной, устойчивой лояльности. Борьба
за то, чтобы лояльны были абсолютно все, - слишком дорого и весьма
неэффективно. Здесь работает принцип Парето: часть по-настоящему лояльных
сотрудников обычно измеряется коэффициентом 1 к 7 от общего числа сотрудников.
Когда вы, собственник, преодолеваете минимальный порог лояльности, вы можете
спокойно спать и быть уверенными, что вас не предадут и не подведут в сложной
критической ситуации.
Эта критическая масса сотрудников должна существовать, чтобы общая
атмосфера лояльности поддерживалась хотя бы на минимальном уровне. Вы должны
знать, кто не подведет вас в трудную минуту, умышленно не совершит ошибку,
которая приведет компанию к катастрофе.
Лояльность - Это понятие многоуровневое. Первая степень лояльности
- когда люди приходят на работу, делают правильные лица, выполняют часть своих
обязанностей, но при первой же возможности убегают "с уроков", уходят
с головой в "аську", пасьянс и прочее.
Такие работники, вообще-то, лояльны, потому что они пришли вовремя
и занимаются работой, хоть и с некоторыми перерывами. Сохранить во время работы
хорошую форму и как можно больше заниматься своими собственными делами - это и
есть современная форма квазилояльности. Другая степень лояльности существует в
голове у владельца: он считает, что раз он людям платит зарплату, все думают, как
бы эффективнее выполнять свои обязанности; и, вообще, работа - это такая в
хорошем смысле соковыжималка, все вместе должны из себя выдавливать сок, то
есть все лучшее. И с точки зрения владельца, все, кто не отвечает требованию
"соковыжималки", - недостаточно лояльны. Наконец, понятно, что
существуют проявления нелояльности, когда люди уходят к конкурентам, организуют
некие групповые заговоры и прочее, прочее.
Опять же, в разных компаниях лояльность понимается по-разному.
Где-то люди должны ходить с воспаленными от восторга лицами, с беспрерывным
осознанием счастья, что у них такая крутая компания. Там лояльность является
некой внятно демонстрируемой частью корпоративной культуры. А есть компании, в
которых владелец сам имитирует присутствие и хочет, чтобы люди также
имитировали присутствие. К тому же лояльность зависит от ряда условий. Прежде
всего, от отношения человека к фигурам власти. Есть люди конформные, которые
живут по принципу: мама сказала - учись хорошо, и тогда все будет хорошо. Они
выбирают себе организацию, которую будут уважать. А есть люди, которые
относятся с некоторым сомнением к фигурам власти, и они идут работать, чтобы
получать деньги [1].
Некоторые авторы [7] различают несколько уровней лояльности
(рисунок 5):
Рисунок 5 - Уровни лояльности
Для повышения лояльности очень важен рост, интерес, ощущение,
что человек востребован. В западных компаниях (возможно, на этом и основан их
культ) есть некая ценность роста человека, это абсолютно естественно. Сотрудника
там обучают, дают возможность проверить себя и расти, и порой человек начинает
расти даже быстрее, чем сама организация. Иначе говоря, в обмен на лояльность
человеку предлагается потенциально быстрый рост и повышение его ликвидности. У
нас в России в условиях роста экономики с высокой скоростью росли зарплаты, и
лояльность была отодвинута на второй план; намного важнее было, чтобы человек
быстро справлялся с новыми обязанностями, переходил на новую карьерную ступень
и прочее. Люди уходили целыми коллективами, хедхантинг работал в полную силу.
Организациям было важнее быстро закрывать какие-то вакансии, чем заниматься
повышением лояльности старых работников.
Лояльность между организацией и сотрудником - это брак. Он бывает
счастливым, несчастливым или имитационно счастливым. По-настоящему счастливых
браков бывает не так много. В период кризиса одни держатся за брак и семью, а
другие, наоборот, начинают искать новизны - и брак распадается. Кризис - это
серьезное испытание на лояльность, проверка "верности" и прочности
брака. Особенно когда в семье начинаются катаклизмы - сокращают зарплату и
т.д.[1].
Лояльность - это очень тонкая материя, хрупкий лед, который нужно,
конечно, поддерживать и лелеять. Многие крушения и банкротства, исчезновения
новых компаний не связаны со стратегиями или неудачами в самом бизнесе -
компании разрушаются изнутри. А разрушение изнутри часто является результатом
предательства со стороны сотрудников компании. Я думаю, что очень важным
условием сохранения лояльности является предоставление сотруднику возможности
"побегать с мячом", как говорят американцы. Речь идет о вертикальной
и горизонтальной ротации персонала. Горизонтальные перемещения дают возможность
лучше понять и осознать организацию как единое целое. Срабатывает психологический
фактор: чем ближе ты знаком с организацией, чем больше знаешь о ее механизмах,
структуре и особенностях, тем роднее она тебе кажется. А бросить что-то родное
или причинить боль - намного тяжелее.
В 1974 г. профессоры Стенфордского университета Ричард Джонсон и
Уильям Оучи опубликовали статью "Made in America (under Japanese
management)", что переводится как "Сделано в Америке (под
руководством японцев)". Они выделили пять основных особенностей японского
метода управления, которые и свели впоследствии в свою "Теорию Z":
) Акцент на движении информации и инициативы снизу вверх.
) Превращение высшего руководства (топ-менеджмента) из органа,
издающего приказы, в орган, способствующий принятию решений.
) Использование среднего управленческого звена (middle-менеджмента)
как инициатора и движущей силы решения проблем.
) Принятие решений на основе консенсуса.
) Повышенное внимание к благополучию сотрудников [1].
Лояльность держится на трех китах:
· чувстве принадлежности к
организации (вследствие информированности, вовлеченности и разделения успеха,
например, путем участия в прибылях);
· увлеченности работой (гордость, доверие и
ответственность за результаты);
· доверие к руководству (благодаря
компетентности, преданности и признания власти руководства).
Рост лояльности в одной из трех ключевых групп заинтересованных
лиц - клиентов, сотрудников и акционеров - вызывает лояльность в остальных
двух. Таким образом, рост лояльности сотрудников является сильнейшим
мотиватором для сотрудников и увеличивает объем выгод для клиентов [5].
Оценка лояльности персонала может проводиться со следующими
целями:
) провести оценку стабильности персонала (сотрудники с низким
уровнем лояльности, скорее всего, уже разместили свое резюме и подыскивают
другое место работы);
) разработать систему нематериальной мотивации персонала;
) улучшить условия труда;
) выявить слабые и сильные стороны условий работы в компании
(социальные блага, условия работы, коллектив, руководство);
) проанализировать удовлетворённость персонала разных профессий,
возрастов с целью формирования пакета социальных гарантий для каждой группы
сотрудников;
) помощь в планировании подбора персонала на период;
) помощь в ротации персонала.
Как правило, анализ лояльности персонала проводится 2 раза в год
(с периодичностью раз в полгода). Для проведения оценки лояльности персонала
рекомендую выбирать "низкие" сезоны в бизнесе, дабы оценка не
являлась дополнительным раздражающим фактором для ваших сотрудников. Очень
важно помнить, что оценка лояльности персонала - это не самоцель, а лишь
инструмент "снятия" информации, который необходим для дальнейшей
работы. Это как при простуде измеряют температуру, чтобы принять решение о
назначении лекарства. Сотрудники должны видеть, что они тратят свое время,
заполняя ваши анкеты, не впустую, - есть реальный результат, который можно
ощутить: открыта столовая, создан профсоюз, проведено корпоративное мероприятие
и др. Не забывайте информировать сотрудников о результатах и ближайших планах,
которые будут реализованы. Таким образом вы сможете создать ощущение
причастности, значимости. Сотрудники станут доверять работодателю и в итоге
будут более лояльными [10].
.2 Уровень лояльности персонала в ОАО "АвиаСтарт"
Для определения уровня лояльности персонала на рассматриваемом
предприятии обратимся к статистическим данным за предыдущие годы, полученным в
кадровой службе организации. Сведенные данные представлены в таблице 2:
Таблица 2 - Данные о персонале ОАО "АвиаСтарт" за
2011-2013 гг.
|
№
|
Показатель
|
2011 г.
|
2012 г.
|
2013 г.
|
|
1
|
Среднесписочная численность работников, чел.
|
674
|
644
|
691
|
|
2
|
Принято работников, чел.
|
32
|
39
|
96
|
|
3
|
Выбыло работников, всего, чел.
|
51
|
69
|
49
|
|
в т. ч.: - по собственному желанию, чел.
|
38
|
60
|
43
|
|
- за нарушение трудовой дисциплины, чел.
|
5
|
3
|
1
|
|
- другое (призыв на военную службу, выход на
пенсию, переход на учебу и т.д.), чел.
|
8
|
6
|
5
|
|
4
|
Средняя заработная плата 1-го работающего, руб.
|
21 668
|
25 501
|
26 583
|
|
5
|
Объем выполненных работ и услуг, всего, млн.
руб.
|
1096
|
1215,5
|
1389,3
|
|
6
|
Объем работ и услуг на одного работающего, млн.
руб. /чел.
|
1,63
|
1,89
|
2,01
|
|
7
|
Коэффициент труда (отношение строки 6 к строке
4)
|
75,22
|
74,11
|
75,6
|
Заработная плата выдается сотрудникам без задержек 2 раза в
месяц.
Средний возраст работающих на 01.01.2013 г. - 43 года.
Численность персонала с высшим и средне-специальным
образованием составила 66% от численности всех работающих на предприятии.
Для объективного понимания ситуации, сложившейся на предприятии,
следует учитывать следующие сведения: в 2011 году произошла смена генерального
директора предприятия и, как следствие, практически всего руководящего состава
на уровне заместителей. Новое руководство установило более жесткие требования к
трудовой дисциплине и производственным показателям. За счет того, что в 2011
году удалось привлечь значительное количество инвестиций, был увеличен фонд
основных средств предприятия и, как видно из рисунков 1и 2, значительно
возросли объемы производства. В тоже время, как видно из таблицы 2,
среднесписочная численность работников выросла незначительно.
Несмотря на то, что при этом была увеличена заработная плата всем
категориям работников, многие из них остались недовольны новыми условиями труда
и значительно возросшей нагрузкой. Из таблицы 2 видно, что в 2011 году за
нарушение трудовой дисциплины было уволено значительное количество работников,
в последующие годы это число снижалось. При этом количество увольнений по
собственному желанию остается примерно постоянным на протяжении всего
рассматриваемого периода.
Для анализа кадровой политики предприятия рассчитаем следующие
коэффициенты:
1) Коэффициент необходимого оборота

,
где R - среднесписочная численность за период, 
- число работников, уволенных по общегосударственным причинам
(уход на пенсию, призыв на военную службу и т.д.)
2) Коэффициент излишнего оборота

,
где 
- число работников, уволенных по собственному желанию и за
нарушение трудовой дисциплины за период.
3) Коэффициент выбытия кадров
,
где 
- число всех работников, уволенных за период
4) Коэффициент приема кадров
,
где - число всех работников, принятых за период
5) Коэффициент стабильности кадров
Рассчитанные коэффициенты сведем в таблицу 3:
Таблица 3 - Коэффициент движения кадров
|
№
|
Коэффициент
|
2011 год
|
2012 год
|
2013 год
|
|
1
|
Коэффициент необходимого оборота, %
|
1, 19
|
0,93
|
0,72
|
|
2
|
Коэффициент излишнего оборота, %
|
6,38
|
9,78
|
6,37
|
|
3
|
Коэффициент выбытия кадров, %
|
7,57
|
10,71
|
7,09
|
|
4
|
Коэффициент приема кадров, %
|
4,75
|
6,06
|
13,89
|
|
5
|
Коэффициент стабильности кадров, %
|
92,84
|
90, 20
|
93,32
|
Как видно из таблицы, коэффициент необходимого оборота
незначителен и остается постоянным на всем рассматриваемом промежутке времени.
Особого влияния на предприятие он не оказывает.
Коэффициент излишнего оборота достаточно велик, и заметно
увеличивается в 2012 году, что свидетельствует о том, что достаточное
количество работников не устраивает работа на данном предприятии [3, c.275].
Оборот рабочей силы происходит в основном за счет приема и
увольнения работников. В отличие от 2011 года, когда коэффициент выбытия кадров
превышает коэффициент приема на 3,2% в 2013 году ситуация меняется на противоположную
с разницей 6,8%. Это говорит о том, что предприятие расширяется и пытается
заполнить освободившиеся места за счет интенсивного приема новых сотрудников.
Согласно структуре предприятия по категориям работников (рисунок
6) значительную долю составляют квалифицированные кадры и их текучесть
увеличивает затраты на прием, обучение и стажировку. Стоит отметить и то, что
аналогичных предприятий в городе нет, и восполнять кадры приходится в основном
молодыми специалистами, так как привлечение иногородних квалифицированных
кадров требует значительных затрат. Учитывая специфику отрасли, выпускник
учебного заведения станет полноценным работником не ранее чем через 2-3 года
после начала работы.
Несмотря на то, что непосредственного определения уровня лояльности
работников предприятия не проводилось, его можно охарактеризовать на основе
анализа приведенных и рассчитанных данных. При этом видно, что уровень
лояльности достаточно низок и может помешать достижению целей компании по
увеличению объема и улучшению качества оказываемых услуг в ближайшем будущем.
Необходимо отметить, что рост зарплат на предприятии и их
своевременная выплата не дает должного результата.
Таким образом, можно сделать вывод, что ОАО "АвиаСтарт"
нуждается в разработке комплекса мер по повышению лояльности персонала и их
реализации в настоящем периоде. Это поможет предприятию уменьшить выбытие
квалифицированных кадров, снизить затраты на обучение вновь поступивших на
работу, повысить мотивацию работающих и уровень производительности труда.
3. Проект
технологии повышения лояльности персонала в ОАО "АвиаСтарт"
3.1 Устав
проекта
Миссия проекта: повышение уровня
лояльности и вовлеченности в работу персонала ОАО "АвиаСтарт".
Цели проекта:
1) разработать и внедрить систему повышения лояльности
персонала предприятия;
2) разработать и внедрить систему мониторинга и оценки
уровня лояльности персонала к организации.
Цель, отвечающая критериям SMART:
Цель конкретная - разработать и внедрить систему повышения
уровня лояльности персонала к 31.12.2014 г.
Цель измерима - проект оценён в денежном эквиваленте (2 026
500 тыс. руб.)
Цель достижима - цель достижима, предположения реальны.
Цель значима - повысить заинтересованность персонала в
работе.
Цель ограничена во времени - в течение 6 месяцев.
Тип проекта: учебно-образовательный
Эффекты, ожидаемые от проекта:
1) Социальные - повышение мотивации персонала и
приверженности его целям компании;
2) Экономические - сокращение расходов, связанных с
поиском, отбором и наймом персонала.
Устав проекта
(таблица 4):
Таблица 4-Устав проекта
|
№ п/п
|
Раздел Устава проекта
|
Характеристика
|
|
1
|
Описание исходной ситуации
|
Высокая зависимость текучести кадров от
изменения условий труда и целей предприятия.
|
|
2
|
Обоснование необходимости проекта
|
Внедрение проекта позволит повысить
заинтересованность работников результатами труда, приверженность компании,
что в конечном итоге приведет к росту производительности труда и снижению
затрат на поиск и прием новых сотрудников.
|
|
3
|
Инициатор проекта
|
Фамилия И.О.
|
|
4
|
Формулирование целей, задач проекта и ожидаемых
эффектов
|
Цели: разработать и внедрить систему повышения
лояльности персонала предприятия, разработать и внедрить систему мониторинга
и оценки уровня лояльности персонала к организации Задачи: Повысить
производительность труда Уменьшить текучесть кадров на предприятии Внедрить
систему мониторинга лояльности персонала
|
|
5
|
Продукт проекта
|
Технология повышения лояльности персонала ОАО
"АвиаСтарт"
|
|
6
|
Окружение проекта
|
Сотрудники и руководство предприятия
|
|
7
|
Укрупненное расписание основных событий
(временные границы проекта)
|
1 июля 2014 - 31 декабря 2014
|
|
8
|
Распределение основных функций исполнителей
|
Разработчик: Фамилия И. О. Исполнитель:
инженеры кадровой службы, начальники служб Ответственный: начальник отдела
кадров
|
|
9
|
Укрупненный бюджет (смета)
|
2 026 500 руб.
|
3.2 Описание
содержания проекта
Структура разбиения работ по проекту представлена на рисунке 7:
Рисунок 7 - Структура работ по проекту
Остановимся подробнее на каждой отдельной работе по проекту:
Материальные методы стимулирования:
1) Организация доставки работников на предприятие
Предприятие располагается на территории аэропорта и находится
от города на удалении 15 км и связана с ним только автомобильной дорогой.
Основная часть работников предприятия (около 80%) является жителями города
Ижевска. Остальная часть работников проживает в деревне Старые Мартьяны и селе
Завъялово. Так как город с аэропортом связывает только один автобусный маршрут
с интервалом движения 30 минут, добираться из города работникам предприятия
достаточно неудобно. Чтобы добраться до работы из села необходимо сначала ехать
в город и делать пересадку.
Для удобства трансфера сотрудников предприятия необходимо
организовать два автобусных маршрута с периодичностью движения 4 раза в день:
из города автобус везет на утреннюю смену и увозит в город работников ночной
смены; второй автобус движется по маршруту село Завьялово - деревня Старые
Мартьяны - Аэропорт и обратно.
) Компенсация затрат на питание
В здании аэровокзала располагается столовая, которая
принадлежит предприятию и обеспечивает организацию питания пассажиров в
аэропорту и на борту воздушного судна, а также обслуживает сотрудников
предприятия. Мощности столовой позволяют обслуживать до 100 человек в час. Средний
чек - 130 рублей. Для многих сотрудников предприятия затраты на питание
являются значительными. Компенсация затрат на питание предполагает
предоставление 40% скидки на продукцию при предъявлении пропуска предприятия.
) Льготные занятия спортом предполагают организацию
бесплатного посещения сотрудниками предприятия одного из спортивных центров
города в свободное от работы время.
4) Подарки сотрудникам с символикой предприятия
представляют собой небольшие сувениры и предметы, отмеченные корпоративными
знаками и вручаемые на знаковые для предприятия, отрасли и страны целом даты и
праздники. К таким подаркам можно отнести: ручки, футболки, пакеты, флажки,
сумки, наклейки с символикой предприятия.
Нематериальные методы стимулирования:
1) Создание доски почета предприятия заключается в разработке
положения о доске почета на предприятии и непосредственно создании доски
почета. После этого производится выбор работников, отличившихся в ходе
осуществления производственной деятельности и их имена с фотографиями заносятся
на доску почета, которая должна располагаться на видном и почетном месте на
территории предприятия.
) Организация ежегодного собрания сотрудников предприятия
Собрание должно проводиться с целью информирования
сотрудников предприятия о результатах деятельности ОАО "АвиаСтарт" за
истекший период с подтверждением статистическими данными. Так же на собрании
должны быть отмечены работники, внесшие значительный вклад в достижение целей
предприятия, новаторы и рационализаторы.
Разработка технологии определения лояльности сотрудников
предприятия предполагает составление анкеты и проведение опроса после внедрения
проекта в ОАО "АвиаСтарт". Обработка результатов исследования
позволит определить эффективность проекта по повышению уровня лояльности.
3.3 План
управления проектом
Матрица ответственности представлена в таблице 5:
Таблица 5 - Матрица ответственности
|
Работы
|
Генеральный директор
|
Руководителй подразделений
|
Начальник отдела кадров
|
Инженер по персоналу
|
|
Исследование лояльности сотрудников ОАО
"АвиаСтарт"
|
S
|
S
|
E, A, C, S
|
C/E
|
|
Анализ полученных результатов
|
S
|
S
|
A, C, S
|
C/E
|
|
Разработка технологии повышения лояльности
персонала
|
S
|
S
|
A, C, S
|
C/E
|
|
Внедрение разработанных мер
|
A, C, S
|
E
|
S
|
E, S
|
|
Итоговый контроль выполнения проекта
|
S
|
S
|
A, C, S
|
C/E/A
|
(execution) - исполнение;(approval) -
утверждение;(consultation) - согласование;(supervision) - контроль;
Этапы проекта приведены в таблице 6
Таблица 6 - Этапы проекта
|
№ этапа
|
Наименование процесса
|
Время (нед.)
|
|
1.
|
Изучение методов повышения лояльности
сотрудников предприятия
|
0,5
|
|
2.
|
Оцениваем текущую лояльность сотрудников
|
2
|
|
3.
|
Анализируем и выявляем причинно-следственные
связи проблем предприятия и лояльности сотруников
|
2
|
|
4.
|
Анализируем и выбираем методы повышения
лояльности персонала
|
1
|
|
5.
|
Разрабатываем проект
|
2
|
|
6.
|
Разрабатываем системы мероприятий по повышению
лояльности сотрудников
|
2
|
|
7.
|
Разрабатываем положения о материальном
стимулировании
|
1
|
|
8.
|
2
|
|
9
|
Разрабатываем анкету для определения лояльности
сотрудников
|
1
|
|
10.
|
Внедряем программы: организации и проведения
запланированных мероприятий
|
16
|
|
11
|
Проводим опрос для определения эффективности
проведенных мероприятий
|
1
|
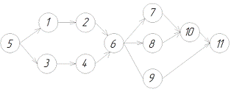
Сетевой график представлен на рисунке 8:
Рисунок 8 - Сетевой график проекта
Определяем критический путь проекта:
путь - 5; 1; 2; 6; 7; 10; 11t = 24,5 нед.
путь - 5; 1; 2; 6; 8; 10; 11 t = 25,5 нед.
путь - 5; 1; 2; 6; 9; 11 t = 8,5 нед.
путь - 5; 3; 4; 6; 7; 10; 11t = 25 нед.
путь - 5; 3; 4; 6; 8; 10; 11t = 20 нед.
путь - 5; 3; 4; 6; 9; 11 t = 9 нед.
Таким образом, критический путь проекта (это максимальное время
проекта) - 25,5 недель.
Составим диаграмму Ганта проекта (рисунок 9):
Рисунок 9 - Диаграмма Ганта
План по вехам представлен в таблице:
Таблица 7 - План проекта по вехам
|
№
|
Контрольная точка
|
Выполнение по расписанию
|
Фактическое выполнение
|
|
1
|
Утверждение проекта повышения уровня лояльности
персонала
|
15.07.2014
|
|
|
2
|
Утверждение запланированных мероприятий
|
02.09.2014
|
|
|
3
|
Проведение собрания сотрудников
|
23.12.2014
|
|
|
4
|
Утверждение отчета по внедрению проекта
|
30.12.2014
|
|
При составлении сметы будем учитывать, что весь задействованный в
проекте персонал работает на предприятии и привлечение внешних трудовых
ресурсов не планируется. Поэтому в смете учтем только внешние затраты [6,
с.239].
Смета проекта представлена в таблице 8:
Таблица 8 - Смета проекта
|
№
|
Статья затрат
|
Расходы, руб.
|
|
1
|
Организация транспорта для доставки персонала
|
177 000
|
|
2
|
Компенсация питания работников предприятия
|
715 000
|
|
3
|
Льготные занятия спортом
|
553 000
|
|
4
|
Подарки сотрудникам с символикой предприятия
|
415 000
|
|
5
|
Создание доски почета предприятия
|
20 000
|
|
6
|
Организация общего собрания сотрудников
|
50 000
|
|
7
|
Резерв на управление рисками
|
96 000
|
|
Итого
|
2 026 500
|
Пояснения к таблице:
Так как на предприятии имеется служба транспорта и имеется в
наличие достаточное количество автобусов и водителей, при расчете по первой
строке будем учитывать только затраты на горюче-смазочные материалы:
Компенсации питания работников предприятия рассчитаем на всех
работников с учетом среднего чека 150 рублей при пятидневной рабочей неделе и
условии, что согласно сменности (день-ночь), днем на предприятии находится 25%
персонала:
Льготные занятия спортом рассчитаем из условий, что работники
будут посещать в течение 1 часа спортивный центр 1 раз в неделю. Доля активного
персонала (т.е. тех работников, которые будут посещать занятия) обычно не
превышает 50% (по оценке кадровой службы).
Средняя цена корпоративного занятия в спортивных центра
города 100 рублей час:
Затраты на подарки с символикой предприятия рассчитаем из
условия, что один комплект подарков с символикой будет стоить около 600 руб:
Заложим в бюджет проекта на создание доски почета 20 000 руб.
и на организацию общего собрания сотрудников 50 000 руб.
Резерв на управление рисками обычно составляет от 1% до 10%
от бюджета проекта. Произведем расчет для 5%:
3.4 Проектная
документация
Положение о Доске Почета
Открытого акционерного общества
"АвиаСтарт"
. Общие положения
.1 Доска Почета ОАО "АвиаСтарт" (далее - Доска
Почета) учреждена в целях обеспечения гласности лучшего опыта работы, усиления
морального и материального поощрения работников предприятия за достижение
наилучших результатов в работе предприятия.
. Занесение на Доску Почета
.1 Для занесения на Доску Почета рассматриваются кандидатуры
из числа работников предприятия в следующих категориях:
лучший работник года (до 6 человек, но не более 1-го из
каждой службы предприятия)
лучший руководитель подразделения;
лучший руководитель службы;
рационализатор;
активист;
В случае непредставления кандидатуры по какой - либо из
категорий допускается занесение на Доску Почета представителя другой категории.
.2 На Доску Почета заносятся работники из числа работников
организации, проработавшие на предприятии или в отрасли не менее 3-х лет и
которые обеспечили:
практическую реализацию целей предприятия;
высокие показатели производительности и качества труда;
не допустили брака в работе в течение года и не имели
должностных взысканий в течение 3-х лет.
.3 На Доску Почета помещаются фотопортреты десяти работников,
руководителей и активистов с указанием фамилии, имени, отчества. Также, под
фотопортретом помещают краткую характеристику достижений работника.
.4 В трудовую книжку лица, занесенного на Доску Почета,
вносится соответствующая запись.
.5 За допущение должностных взысканий или проступков,
дискредитирующих работу организации, фотопортрет может быть снят с Доски Почета
по решению Генерального директора предприятия.
. Порядок оформления Доски Почета
.1 Доска Почета оформляется ежегодно по итогам работы за
отчетный год.
.2 Список кандидатов для занесения на Доску Почета
определяется Комиссией по занесению на Доску Почета (далее - Комиссией) на
основании предложений руководителей служб.
.3 Состав Комиссии утверждается Генеральным директором
предприятия.
.4 Руководители служб кандидатов, рекомендуемых для занесения
на Доску Почета, представляют в отдел кадров до 1 марта следующие документы:
документы, подтверждающие высокие производственные показатели
кандидата за прошедший год;
анкету-характеристику.
.5 Решение Комиссии о занесении на Доску Почета утверждает
Генеральный директор предприятия.
.6 Контроль за организацией работ по монтажу и демонтажу
Доски Почета, её оформлением возлагается на отдел кадров предприятия.
Анкета оценки лояльности
Приглашаем Вас принять участие в исследовании, проводимом
отделом кадров ОАО "АвиаСтарт".
Одной из главных целей Стратегического плана Развития ОАО
"АвиаСтарт" является формирование сильной корпоративной культуры, высокого
уровня профессионализма и лояльности персонала.
Цель данного исследования - получение информации об
организации Вашего труда и социально - психологического климата в коллективе.
Данное исследование анонимно, и его результаты будут
использованы только в обобщенном виде.
Заранее благодарим Вас за участие в исследовании!
Пожалуйста, ознакомьтесь с вопросами и отметьте вариант
ответа, который вы считаете наиболее верным используя при этом следующею шкалу:
- не согласен
- умеренно не согласен
- нейтральное отношение
- скорее согласен
- согласен полностью
Таблица 9 - Анкета [9]
|
№
|
Отношение к компании
|
1
|
2
|
3
|
4
|
5
|
|
1
|
Я знаком (-а) со стратегией развития компании,
четко ее понимаю
|
|
|
|
|
|
|
2
|
Я разделяю и поддерживаю стратегию развития
компании
|
|
|
|
|
|
|
3
|
Я согласен (-а) с основными направлениями
политики компании по отношению к сотрудникам
|
|
|
|
|
|
|
4
|
Я знаком (-а) с механизмами реализации
стратегии развития компании
|
|
|
|
|
|
|
5
|
Я согласен (-а) с предринимаемыми мерами по
реализации стратегии развития компании
|
|
|
|
|
|
|
6
|
Я чувствую себя органичной частицей общей
корпоративной культуры
|
|
|
|
|
|
|
7
|
Руководители и сотрудники четко придерживаются
корпоративных стандартов и этических принципов компании при принятии
серьезных решений и в ежедневной деятельности
|
|
|
|
|
|
|
Оцените, что на Ваш взгляд влияет на лояльность
персонала к компании в большей степени:
|
|
8
|
Стабильность
|
|
|
|
|
|
|
9
|
Кодекс корпоративного поведения
|
|
|
|
|
|
|
10
|
Личные убеждения и ценности
|
|
|
|
|
|
|
11
|
Стиль управления руководителя
|
|
|
|
|
|
|
12
|
Стиль поведения коллег
|
|
|
|
|
|
|
13
|
Возможность карьерного роста
|
|
|
|
|
|
|
14
|
Возможность профессионального роста
|
|
|
|
|
|
|
15
|
Интересная, разнообразная работа
|
|
|
|
|
|
|
16
|
Возможность проявления самостоятельности и
инициативы в профессиональной деятельности
|
|
|
|
|
|
|
17
|
Самоутверждение и признание
|
|
|
|
|
|
|
18
|
Оплата труда
|
|
|
|
|
|
|
19
|
Мотивация и социальный пакет
|
|
|
|
|
|
|
Оцените, пожалуйста, Ваше структурное
подразделение
|
|
20
|
Задачи нашего структурного подразделения,
достижение которых ожидается в текущем году, четко определены и известны
каждому
|
|
|
|
|
|
|
21
|
Каждый сотрудник чувствует ответственность за
общие успехи и неудачи
|
|
|
|
|
|
|
22
|
Сотрудники нашего структурного подразделения
эффективно взаимодействуют друг с другом
|
|
|
|
|
|
|
23
|
В нашем структурном подразделении сложились
дружеские, доверительные отношения
|
|
|
|
|
|
|
24
|
Я получаю достаточно внимания и поддержки со
стороны коллег
|
|
|
|
|
|
|
Оцените, пожалуйста, Вашего непосредственного
руководителя
|
|
25
|
Компетентен по всем профессиональным вопросам
|
|
|
|
|
|
|
26
|
Внимательно относится к нуждам сотрудников,
улучшению их социально-бытовых условий труда
|
|
|
|
|
|
|
27
|
Осуществляет общий мониторинг реализации
поставленных задач, оказывает содействие в решении проблемных вопросов
|
|
|
|
|
|
|
28
|
Инициативен, берет на себя ответственность за
реализацию задач своего структурного подразделения
|
|
|
|
|
|
|
28
|
Успешно планирует и организует работу отдела,
правильно распределяет обязанности, ставит четкие и конкретные цели, задачи
|
|
|
|
|
|
|
30
|
Обратная связь с непосредственным руководителем
налажена
|
|
|
|
|
|
|
31
|
Оцените стиль Вашего непосредственного
руководителя (выберите один из стилей):
|
|
|
совещательный и поддерживающий
|
|
|
|
|
|
|
отеческий и покровительственный
|
|
|
|
|
|
|
авторитарный и директивный
|
|
|
|
|
|
|
формальный и бюрократический
|
|
|
|
|
|
|
Оцените, пожалуйста, возможность карьерного
роста в компании
|
|
32
|
Я соглашусь с любым назначением, лишь бы остаться
работать в этой компании
|
|
|
|
|
|
|
33
|
Лучшие работники всегда отмечаются и имеют
перспективы дальнейшего роста
|
|
|
|
|
|
|
34
|
Меня устраивает то, как складывается моя
карьера
|
|
|
|
|
|
|
35
|
Я информирован о перспективах моего дальнейшего
роста (включая обучение)
|
|
|
|
|
|
|
Оцените, пожалуйста, возможность
профессионального роста в компании
|
|
36
|
Сотрудникам компании предоставляются все
возможности для улучшения профессиональных знаний и навыков
|
|
|
|
|
|
|
37
|
Мои коллеги готовы в любой момент оказать
помощь в развитии моих профессиональных навыков
|
|
|
|
|
|
Персональные данные:
Просим вас указать некоторые персональные данные для
статистической обработке анкеты.
Возраст _____ лет
Пол____________
Стаж работы в ОАО "АвиаСтарт" ____лет ___мес.
3.5 Риски
проекта
Возможные риски проекта представлены в таблице 10:
Таблица 10 - Возможные риски проекта
|
№
|
Вид риска
|
Описание риска
|
Влияние на проект (слабое/среднее/ сильное)
|
Вероятность наступления рискового события
(низкая/средняя/ высокая)
|
Возможные методы предупреждения риска
|
|
1
|
Организационные
|
Недостаточная поддержка проекта со стороны
руководства
|
сильное
|
высокая
|
Обосновать необходимость проекта, предоставить
подробную смету, описать выгоды от реализации проекта
|
|
2
|
Риски человеческого фактора
|
Недостаточная заинтересованность персонала в
проводимых мероприятиях
|
среднее
|
средняя
|
Объяснить суть проекта руководителям
структурных подразделений, провести информационную работу с сотрудниками
предприятия
|
|
3
|
Экономические
|
Нехватка денежных средств
|
сильное
|
низкая
|
Не выходить за рамки сметы проекта, соблюдать
сроки реализации проекта
|
Заключение
В данной работе разработан проект по повышению лояльности
персонала в ОАО "АвиаСтарт". Для этого было рассмотрено предприятие в
целом, его слабые и сильные стороны, положение на рынке, история, сложившаяся
ситуация в области персонала.
В результате анализа, было установлено, что имеющийся на
предприятии уровень лояльности не удовлетворяет потребностям организации и
может стать серьезным препятствием для развития компании уже в обозримом
будущем.
С целью предотвращения увеличения текучести кадров,
закрепления на предприятии имеющегося кадрового потенциала, были разработаны
мероприятия, позволяющие повысить уровень лояльности персонала к своей
организации.
В главе 3 данной работы разработаны рекомендации по внедрению
предложенных мероприятий в ОАО "АвиаСтарт" в оговоренный временной
промежуток и с определенным уровнем затрат на реализацию проекта.
Исполнение мероприятий проекта согласно графика позволит
повысить уровень лояльности персонала в организации, а проведение опроса с
помощью разработанной анкеты поможет определить её количественный показатель.
В целом, несмотря на то, что данный проект является учебным,
в основе его лежат достоверные данные, а значит он может быть внедрен в ОАО
"АвиаСтарт" и, таким образом, принести пользу данному предприятию.
Список
литературы
1. Буренин
В. Тотальная лояльность - это дорого и неэффективно. и такого не бывает //
Управление персоналом. - 2009. - № 13. - 98 с.
2. Кроль
Л. (интервью) Мобильность и лояльность плохо уживаются друг с другом //
Управление персоналом. - 2009. - № 13. - 98 с.
. Кибанов
А.Я. Управление персоналом. - М.: ИНФРА-М, 2009. - 638 с.
. Мазур
И.И., Шапиро В.Д., Ольдерогге Н.Г., Полковников А.В. Управление проектами. -
М.: Омега-Л, 2009.
. Петров
В.В. Управление развитием персонала организации. - Саратов: Саратовский
государственный технический университет, 2008, - 218 с.
. Фунтов
В.Н. Основы управления проектами в компании.2-е изд., доп. - СПб.: Питер, 2008.
- 336 с.
. Харский
К.В. Ценностное управление для бизнеса. - Политехника-Сервис, 2010.289 с.
8. www.izhavia.
su <http://www.izhavia.su> - Официальный сайт ОАО "АвиаСтарт"
(дата обращения 03.06.2014 г.)
. www.hr-portal.ru
<http://www.hr-portal.ru> - Сообщество HR-Менеджеров
. www.top-personal.ru/newsissue.html?
27470 <http://www.top-personal.ru/newsissue.html?27470> - Анонс статьи
журнала Управление персоналом. - 2014г. - №12.