Диагностика экономического состояния государств мира
Министерство
образования и науки Российской Федерации
Московский
Государственный Университет экономики, статистики и информатики
Кафедра
математической статистики и эконометрики
«Диагностика
экономического состояния государств мира»
Москва,
2014
Введение
В данной работе предполагается
провести диагностику экономического состояния стран, по следующим экономическим
показателям.
ВВП на душу населения- показатель
определяет уровень социально-экономического развития страны
Размер ВВП по ППС- является наиболее
точной характеристикой, определяющей уровень экономического развития, также
рост экономики. Все показатели для сопоставимости выражаются в единой валюте-
доллар США.
Экспорт- этот показатель отражает
всю стоимость экспорта в долларах США на фоб принципы поставки.
Импорт-этот показатель отражает
полную стоимость товаров, выраженных в долларах США, отправленных на импорт по
CIF или фоб договорам поставки.
Запасы иностранной валюты и золота-
данные отражают долларовую стоимость всех финансовых активов, которые доступны
центральному финансовому органу для использования в удовлетворении потребностей
платежного балансы страны.
Источник данных:
#"828808.files/image001.gif">
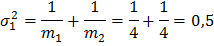
причем 
, поскольку имеется 4
преуспевающих и 4 кризисных страны.
|
М1
|
39,927948
|
-3694,1763
|
-240,4372
|
|
М2
|
1,732555
|
-223,794
|
31,64604
|
|
-3694,1763
|
377531,697
|
31339,08
|
|
|
-223,794
|
32619,5
|
-2577,83
|
|
-240,43723
|
31339,0788
|
3862,096
|
|
|
31,64604
|
-2577,83
|
1205,737
|
Также найдем общую ковариационную
матрицу M, которая вычисляется по следующей формуле:
|
М
|
27,774
|
-2611,980
|
-139,194
|
|
-2611,980
|
273434,129
|
19174,169
|
|
-139,194
|
19174,169
|
3378,555
|
Далее найдем обратную ковариационную
матрицу:
|
M-1
|
0,53410
|
0,00591
|
-0,01155
|
|
0,00591
|
0,00007
|
-0,00016
|
|
-0,01155
|
-0,00016
|
0,00074
|
Затем вычислим:
|
(a1-a2)T =
|
48,10565
|
269,9125
|
225,675
|
|
(a1-a2)T * M-1=
|
24,6832
|
0,267061
|
-0,43191
|
|
(1/2)*(a1-a2)T * MT =
|
12,3416
|
0,13353
|
-0,21596
|
Определение достоверности
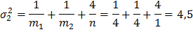
Рассчитаем расстояние Махаланобиса:
Найдем 
и 
:
Теперь рассчитаем
вероятности ошибок распознавания:
Достоверность прогноза
равна:

1
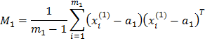
Обучение по четырем
признакам
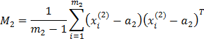
Расчет векторов средних
и ковариационных матриц
Введем еще один
показатель (Импорт) и рассчитаем все показатели теперь для признакового
пространства, состоящего из 4 признаков.
Получим вектора средних
для S1 и S2
|
а1
|
50,68000
|
|
а2
|
2,5743525
|
|
586,08750
|
|
|
316,175
|
|
271,22500
|
|
|
45,55
|
|
4887,60000
|
|
|
47,675
|
|
а1+а2
|
53,25435
|
|
а1-а2
|
48,10565
|
|
902,26250
|
|
|
269,91250
|
|
316,77500
|
|
|
225,67500
|
|
4935,27500
|
|
|
4839,92500
|
Далее вычислим
ковариационные матрицы 
и 
по следующим формулам:
|
М1
|
39,928
|
-3694,176
|
-240,437
|
-42794,671
|
|
-3694,176
|
377531,697
|
31339,079
|
4594822,267
|
|
-240,437
|
31339,079
|
3862,096
|
427770,227
|
|
-42794,671
|
4594822,267
|
427770,227
|
57865776,240
|
|
М2
|
1,733
|
-223,794
|
31,646
|
0,458
|
|
-223,794
|
32619,496
|
-2577,825
|
283,806
|
|
31,646
|
-2577,825
|
1205,737
|
180,558
|
|
0,458
|
283,806
|
180,558
|
110,629
|
|
|
|
|
|
|
Далее найдем общую ковариационную
матрицу M, которая вычисляется по следующей формуле:
|
М
|
27,774
|
-2611,980
|
-139,194
|
-28529,476
|
|
-2611,980
|
273434,129
|
19174,169
|
3063404,048
|
|
-139,194
|
19174,169
|
3378,555
|
285300,523
|
|
-28529,476
|
3063404,048
|
285300,523
|
38577257,913
|
Также найдем обратную ковариационную
матрицу:
|
М-1
|
0,6542825
|
0,0047424
|
-0,0240151
|
0,0002849
|
|
0,0047424
|
0,0000829
|
-0,0000410
|
-0,0000028
|
|
-0,0240151
|
-0,0000410
|
0,0020350
|
-0,0000296
|
|
0,0002849
|
-0,0000028
|
-0,0000296
|
0,0000007
|
Далее вычислим:
|
(a1-a2) T =
|
48,1056
|
269,9125
|
225,6750
|
4839,9250
|
|
(a1-a2)T * M-1=
|
28,7139
|
0,2279
|
-0,8501
|
0,0096
|
|
(1/2)*(a1-a2)T * M-1
=
|
14,3570
|
0,1139
|
-0,4251
|
0,0048
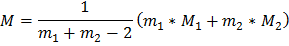
|
Определение достоверности
Рассчитаем расстояние Махаланобиса:
Найдем 
и 
:
Теперь рассчитаем
вероятности ошибок распознавания:
Достоверность прогноза
равна:
Для того чтобы
установить оптимальную размерность признакового пространства, найдем отношение
расстояний Махаланобиса:
Поскольку
Это значит, что
оптимальная размерность p=4, т.е. признаковое пространство состоит из 4
признаков.
Исследование государств
- конкурентов
Вычислим для государств
- конкурентов обобщённый показатель экономического состояния по формуле:
экономическое состояние
государство диагностика
|
Люксембург
|
2008
|
2009
|
2010
|
2011
|
|
ВВП на душу населения по ППС (тыс.долл)
|
84,392
|
79,5
|
81,8
|
84,7
|
|
Запасы иностранной валюты и золота(млрд.долл)
|
0,2055
|
0,81
|
0,713
|
0,8
|
|
Импорт(млрд.долл)
|
18,3
|
19,76
|
23,67
|
27,85
|
|
Xi
|
2008
|
2009
|
2010
|
2011
|
|
X1
|
X2
|
X3
|
X4
|
|
2Xi - (a1+a2)
|
103,5053
|
93,72125
|
98,32125
|
104,1213
|
|
-101,368
|
-100,159
|
-100,353
|
-100,179
|
|
-171,66
|
-168,74
|
-160,92
|
-152,56
|
|
Ln L
|
25,7004
|
22,69912
|
24,67636
|
27,06184
|
|
Финляндия
|
2008
|
2009
|
2010
|
2011
|
|
ВВП на душу населения по ППС (тыс.долл)
|
38,08
|
34,1
|
35,3
|
38,3
|
|
Запасы иностранной валюты и золота(млрд.долл)
|
7,804
|
11,45
|
9,128
|
10,3
|
|
Импорт(млрд.долл)
|
55,5
|
57,68
|
69,11
|
80,79
|
|
Xi
|
2008
|
2009
|
2010
|
2011
|
|
X1
|
X2
|
X3
|
X4
|
|
2Xi - (a1+a2)
|
10,88125
|
2,92125
|
5,32125
|
11,32125
|
|
-86,1714
|
-78,8794
|
-83,5234
|
-81,1794
|
|
-97,26
|
-92,9
|
-70,04
|
-46,68
|
|
Ln L
|
0,108912
|
-2,40754
|
-0,0515
|
3,272832
|
|
Болгария
|
2008
|
2009
|
2010
|
2011
|
|
ВВП на душу населения по ППС (тыс.долл)
|
13,915
|
12,6
|
12,8
|
13,5
|
|
Запасы иностранной валюты и золота(млрд.долл)
|
17,38
|
18,53
|
15,07
|
17,68
|
|
Импорт(млрд.долл)
|
23,1
|
22,22
|
22,78
|
28,39
|
|
Xi
|
2008
|
2009
|
2010
|
2011
|
|
X1
|
X2
|
X3
|
X4
|
|
2Xi - (a1+a2)
|
-37,4488
|
-40,0788
|
-39,6788
|
-38,2788
|
-64,7194
|
-71,6394
|
-66,4194
|
|
-162,06
|
-163,82
|
-162,7
|
-151,48
|
|
Ln L
|
-20,1145
|
-21,1437
|
-20,7258
|
-19,7352
|
|
Белоруссия
|
2008
|
2009
|
2010
|
2011
|
|
ВВП на душу населения по ППС (тыс.долл)
|
12,438
|
12,5
|
13,4
|
14,9
|
|
Запасы иностранной валюты и золота(млрд.долл)
|
2,469
|
4,831
|
5,755
|
2,4
|
|
Импорт(млрд.долл)
|
26,4
|
28,31
|
29,79
|
30,43
|
|
Xi
|
2008
|
2009
|
2010
|
2011
|
|
X1
|
X2
|
X3
|
X4
|
|
2Xi - (a1+a2)
|
-40,4028
|
-40,2788
|
-38,4788
|
-35,4788
|
|
-96,8414
|
-92,1174
|
-90,2694
|
-96,9794
|
|
-155,46
|
-151,64
|
-148,68
|
-147,4
|
|
Ln L
|
-19,7066
|
-19,5759
|
-18,8693
|
-17,6118
|
|
Дания
|
2008
|
2009
|
2010
|
2011
|
|
ВВП на душу населения по ППС (тыс.долл)
|
38,829
|
35,9
|
37
|
40,2
|
|
Запасы иностранной валюты и золота(млрд.долл)
|
34,32
|
76,65
|
62,4
|
76,52
|
|
Импорт(млрд.долл)
|
83,3
|
84,46
|
90,83
|
100,4
|
|
Xi
|
2008
|
2009
|
2010
|
2011
|
|
X1
|
X2
|
X3
|
X4
|
|
2Xi - (a1+a2)
|
12,37925
|
6,52125
|
8,72125
|
15,12125
|
|
-33,1394
|
51,5206
|
23,0206
|
51,2606
|
|
-41,66
|
-39,34
|
-26,6
|
-7,46
|
|
Ln L
|
2,409746
|
-2,00526
|
0,404465
|
2,773292
|
|
Турция
|
2008
|
2009
|
2010
|
2011
|
|
ВВП на душу населения по ППС (тыс.долл)
|
15,057
|
11,5
|
12,3
|
14,6
|
|
Запасы иностранной валюты и золота(млрд.долл)
|
76,51
|
75
|
78
|
96,05
|
|
Импорт(млрд.долл)
|
133,3
|
134,5
|
166,3
|
212,2
|
|
Xi
|
2008
|
2009
|
2010
|
2011
|
|
X1
|
X2
|
X3
|
X4
|
|
2Xi - (a1+a2)
|
-35,1648
|
-42,2788
|
-40,6788
|
-36,0788
|
|
51,2406
|
48,2206
|
54,2206
|
51,2606
|
|
58,34
|
60,74
|
124,34
|
216,14
|
|
Ln L
|
-9,2614
|
-11,3029
|
-6,97919
|
0,365806
|