Эффективное управление организацией

  • Вид работы:
    Курсовая работа (т)
  • Предмет:
    Менеджмент
  • Язык:
    Русский
    ,
    Формат файла:
    MS Word
    51,01 Кб
  • Опубликовано:
    2014-12-08
Вы можете узнать стоимость помощи в написании студенческой работы.
Помощь в написании работы, которую точно примут!

Эффективное управление организацией

Содержание

Введение

. Понятие эффективности менеджмента. Факторы оценки и критерии эффективности. Признаки эффективного менеджмента (по Т. Питерсу и Р. Уотермену)

2. Показатели экономической эффективности. Повышение эффективности управления. Социальная оценка эффективности

. Исследование эффективности менеджмента на примере организации

Заключение

Список использованных источников

Введение

Актуальность выбранной темы обуславливается тем, что в настоящее время в экономике происходят резкие и динамичные перемены, развиваются организационно-правовые формы субъектов социальной и экономической жизни. Главная цель менеджмента, особенно для условий сегодняшней России, добиться, чтобы при самом худшем раскладе речь могла идти только о некотором уменьшении прибыли, но ни в коем случае не стоял вопрос о банкротстве. Поэтому особое внимание уделяется постоянному совершенствованию управления риском - риск-менеджменту.

Для того, чтобы научиться действовать в условиях таких изменений и обеспечить стабильное развитие какого-либо учреждения, предприятия или организации, необходимо найти эффективные формы управления этим предприятием. И именно менеджмент включает в себя направленность, ориентирование на социальное развитие, а также экономическую целесообразность.

Человек, выполняя любую работу, стремится совершить её как можно более эффективно и рационально. Рационализм подразумевает поиск наиболее компетентных и производительных методов выполнения работы, а эффективность предполагает наивысший результат соответственно приложенным для достижения результата усилиям.

Усовершенствование управления предприятием требует выявления целесообразности и результативности этой деятельности.

Актуальность данной темы определяется также и другими факторами, такими как: риск больших неудач и потерь в связи с невысоким качеством и недостаточной оперативностью управления; увеличение количества административно-управленческих работников; рост значимости менеджмента в условиях неопределённости и изменчивости.

Целью работы является описание эффективности менеджмента и выявление ее роли в организации.

Для достижения поставленной цели требуется решить следующие задачи:

.        Дать определение понятию эффективности менеджмента.

.        Выявить оценки, критерии, показатели экономической эффективности управления.

.        Выявить пути повышения эффективности менеджмента.

.        Рассмотреть роль эффективности менеджмента на примере организации.

Все это позволит раскрыть значение понятия эффективности менеджмента.

менеджмент экономический управление

1. Понятие эффективности менеджмента. Факторы оценки и критерии эффективности. Признаки эффективного менеджмента (по Т. Питерсу и Р. Уотермену)

Под эффективностью менеджмента понимается его качество, обеспечивающее организации достижение намеченных целей. Количественно эффективность менеджмента определяется как отношение результата к необходимым для этого затратам. [1, 306]

Эффективность управления можно разделить на потенциальную и реальную. Потенциальная оценивается заранее, предварительно, а реальная определяется практическими результатами.

Также эффективность менеджмента бывает тактическая и стратегическая. Тактическая показывает получение эффекта в данное и ближайшее время, стратегическая - в будущем.

В достижении эффективности менеджмента большую роль играют характеристики системы, механизма и процесса (технологии) менеджмента. Но эффективность менеджмента очень изменчива, поэтому на неё влияют как внутренние, так и внешние факторы, такие как социально-политическая обстановка в стране, конкуренция, экономическое состояние. Поэтому существует внутренняя и внешняя эффективность менеджмента.

Внутренняя эффективность - это экономичность, т. е. способность наилучшим (оптимальным) образом распределять и использовать имеющиеся ресурсы. [1, 306]

Внешняя эффективность - результативность менеджмента, характеризующаяся степенью достижения организацией ее цели. [1, 306]

Учёные выделяют три группы главных принципов, которые определяют эффективность менеджмента.

·   приоритеты человеческого фактора (например, профессионализм работников)

·        принципы критических факторов (примером может являться развитие информационных технологий)

·        основные принципы ориентирования (к примеру, разработка стратегии, цели менеджмента или создание условий для творчества)

Критерий эффективности менеджмента есть показатель успешности менеджмента и является главным показателем эффективности.

Критерии эффективности менеджмента - это количественные показатели (числа), характеризующие его результативность и экономичность. [1, 306]

В качестве этих критериев эффективности выбираются показатели, которые дают возможность:

·   предвидения и прогнозирования ожидаемого результата,

·        сопоставления и сравнивания между собой возможностей и вариантов достижения поставленной цели,

·        оценки фактической степени достижения этой цели.

Критерии эффективности служат для того, чтобы определять основные пути и возможности для усовершенствования управления, а так же выявлять сущность поставленной перед компанией задачи.

Доход, убытки, рентабельность, издержки - всё это примеры критериев эффективности.

Существуют требования к критериям эффективности менеджмента:

1.   Соответствовать целям, стоящим перед предприятием. Например, если перед какой-либо организацией стоит цель - решить проблему снижения уровня безработицы, то в качестве критерия эффективности в данном случае будет уместно взять количество безработных на определённую неделю.

2.      Быть связанным с внешней и внутренней обстановкой, в которой организация решает свои задачи. Когда компания пребывает в состоянии кризиса, то в качестве критериев эффективности используются такие, как стабильность или финансовая устойчивость. Когда организация преуспевает, за критерии эффективности принято брать рентабельность, доходность.

.        Обладать полнотой, достаточной для принятия необходимых решений.

.        Быть пригодным для использования, то есть быть ясным и простым. Он должен выражаться в количественной форме. Так, за критерий эффективности не принято брать такие характеристики, как «ходовой товар» или «высокий спрос».

.        Быть доступным для получения. Некоторые критерии эффективности, например, из области статистики, требуют продолжительных и дорогостоящих экспериментов, а также глубоких расчетов. Поэтому они считаются малопригодными для практики.

В 1945 году академиком Андреем Николаевичем Колмогоровым был обоснован основной принцип выбора критерия эффективности. Суть его состоит в том, что цель, которая стоит перед организацией и которая может быть достигнута в результате каких-либо действий этой организации, и принятый показатель успешности должны соответствовать. В этом смысле показатель успешности (критерий эффективности) называют целевой функцией.

Чтобы обеспечить эффективность управления нужно принимать во внимание все влияния на факторы эффективности.

Фактор - это существенное обстоятельство, способствующее какому-либо процессу, явлению. [8]

Эффективность менеджмента формируется под влиянием различных факторов.

Классификация факторов эффективности:

1.   По продолжительности влияния.

Это факторы, влияние которых происходит либо на протяжении длительного времени, например, стиль управления организацией или технический уровень производства, либо в течение непродолжительного времени, такие как нарушение трудовой дисциплины, прогулы.

2.   По характеру влияния.

По характеру влияния бывают факторы интенсивные и экстенсивные. Интенсивные обеспечивают эффективность менеджмента с помощью мобилизации внутренних ресурсов, совершенствования организации труда управленческого персонала, подготовка кадров. Экстенсивные привлекают дополнительные ресурсы. Они увеличивают численность рабочих в сфере управления, расширяют техническое оснащение труда управленцев.

3.   По степени формализации.

Различают количественно измеримые и количественно неизмеримые факторы.

4.   В зависимости от масштабов влияния.

Разделение факторов на народно-хозяйственные, отраслевые, на уровне подразделений и на уровне организаций.

5.   По содержанию.

По содержанию факторы бывают:

·        Экономические. Система материального поощрения работников (премирование) и материальной ответственности.

·        Социально-психологические. Микроклимат в коллективе, межличностные отношения между работниками, мотивация труда.

·        Организационные. Обеспечение трудовой дисциплины внутри организации, документооборот, расстановка кадров.

·        Научно-технические. Уровень механизации труда.

·        Технические.

·        Физиологические. Санитарно-гигиенические условия труда, комфорт рабочего места.

6.   По форме влияния.

Существуют прямые и косвенные факторы. Прямые непосредственно оказывают влияние на эффективность управления, например, квалификация управленческого персонала. Косвенные факторы влияют опосредованно, это психологический климат в компании или общая динамика.

Представленные факторы могут оказывать воздействие на систему управления как по отдельности, так и в совокупности, в сочетании с другими. Когда происходит положительное влияние сразу нескольких факторов, это вызывает существенный рост результативности менеджмента, а отрицательное влияние понижают ее. Менеджеры должны планомерно влиять на приведенные факторы. В этом заключается их задача. Рост эффективности должен стать объектом постоянной управленческой деятельности на всех уровнях организации.

1.   Максимальное внимание потребителям.

В отличие от традиционного подхода, где высшее руководство стоит на вершине пирамиды, в подходе «образцовых компаний» желания и нужды потребителей стоят на первом месте и определяют всю деятельность компании, а работники, которые непосредственно контактируют с клиентами, являются главной категорией. (Рис.1)

Рис.1. Подходы к роли потребителя

.    
Человек - это основной ресурс организации.

«Каждый работник рассматривается как источник идей, а не просто как пара рабочих рук».

В управлении персоналом учитывается психологические особенности, которые присущи большинству. Например, люди стремятся удовлетворить свои амбиции; все любят видеть себя в роли победителя; почти все чувствительны на наказания.

.     Ориентированность на действие.

Образцовые компании постоянно экспериментируют, внедряют новые технологии, расширяют ассортимент товаров, услуг. Совершить действие, пусть даже плохое, - лучше, чем не совершить ничего. Компании не отрицают, что большое значение имеют стратегическое планирование и различные исследования, но считают, что материал сложно постичь абстрактно. Богатство опыта и получение новых знаний являются более полезным, чем другие методы.

.     Развитие самостоятельности и предприимчивости.

Развитие самостоятельности, предприимчивости, а также децентрализация управления присущи образцовым компаниям. Развиваются деловые контакты между сотрудниками компаний, существует мягкая внутренняя конкуренция - всё это создаётся поддержкой энтузиастов.

.     Ориентирование на общефирменные ценности.

Многие образцовые компании имеют сильную культуру, то есть внутри компании существуют различные лозунги, истории, легенды, которые выражают устоявшиеся нормы и ценности организации. Поэтому в таких организациях наставления высшего руководства, подробные правила и процедуры не играют значительной роли.

.     Верность своему делу.

Основой устойчивости организации является расширение ассортимента продукции или освоение новых видов производств для повышения эффективности производства, получения экономической выгоды и предотвращения банкротства.

.     Простота и скромность.

Работа ведётся рационально, не допускаются различные излишества, так как компания всё время совершенствуется.

.     Сильные лидеры.

Нормы и ценности организации усваиваются работниками только под влиянием лидера, авторитета, которые является образцовым показателем для остальных. Лидер должен быть сильным, харизматичным и ответственным.

Таким образом, понятие эффективности менеджмента означает результативность управления организацией. Выделяются критерии и факторы оценки эффективности. Так же существует ряд признаков эффективности управления, которые показывают, при каких условиях будут достигнуты высокие показатели эффективности.

. Показатели экономической эффективности. Повышение эффективности управления. Социальная оценка эффективности

На уровне отдельных предприятий в различных отраслях экономики используются разнообразные группы показателей экономической эффективности. Однако на каждом предприятии оценивается экономическая эффективность использования материальных ресурсов, основных производственных фондов и оборотных средств, капитальных вложений, деятельности персонала, а так же рассчитывается обобщающий показатель, характеризующий экономическую эффективность предприятия в целом. [8]

1.   Показатель эффективности использования материальных ресурсов. Одним из основных направлений увеличения эффективности производства, строительства, промышленности является понижение материалоемкости продукции. Причиной этого является то, что больше половины затрат производства продукции этих отраслей составляют именно затраты на материалы. Обычно это достигается с помощью замены дорогостоящих материалов на дешевые или использования новейших ресурсосберегающих технологий.

 - показатель материалоёмкости продукции,

где МЗ - материальные затраты,

ВП - стоимость выпущенной продукции.

2.   Показатель эффективности использования основных производственных фондов. Примерами производственных фондов могут служить средства труда, участвующие в производстве. Это станки, машины, оборудование, здания, транспортные средства. Сокращение потерь рабочего времени оборудования, повышение коэффициента сменности работы предприятия - главные направления повышения эффективности использования основных фондов.

 - показатель фондоотдачи основных производственных фондов.

ВП - стоимость выпущенной процукции,

ОФ - стоимость основных производственных фондов.

3. Показатель эффективности капитальных вложений. Наиболее оптимальный срок окупаемости капитальных вложений не превышает двух лет.

 - срок окупаемости капиталовложений.

К - объем капитальных вложений.

∆П - прирост прибыли, вызванный этими капитальными вложениями за год.

4. Показатель, который характеризует эффективность деятельности персонала. Производительность труда повышается благодаря высокой квалификации работников, наличию в нужном количестве и высокому качеству материалов или благодаря техническому уровню производства.

 - производительность труда.

ВП - стоимость выпущенной продукции,

ЧР - среднегодовая численность работников, занятых на предприятии.

На каждом предприятии существует показатель, который характеризует не экономическую эффективность использования отдельных ресурсов, а эффективность в целом. Таким показателем является рентабельность.

- рентабельность,

П - расчётная, полученная прибыль,

С - издержки, связанные с созданием и пополнением основных и оборотных средств.

Рентабельность сопоставляет прибыль предприятия со всеми затратами, что позволяет качественно оценить и характеризовать работу этого предприятия.

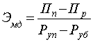
Если при изучении эффективности менеджмента принимать во внимание так же и динамический аспект, то достоверность показателей эффективности увеличивается. Поэтому показатели эффективности менеджмента следует рассматривать в динамике, изучая и сравнивая изменения, произошедшие за несколько отрезков времени.

 - динамический показатель эффективности менеджмента,

где: Ппб - конечные, итоговые показатели (прибыль) предприятия, соответственно, в данном и базисном годах;

Руп, Руб - расходы на управление, соответственно, в данном и базисных годах.

Приведённые динамические показатели целесообразно рассчитывать даже при изменении структуры предприятия, при совершении коренных изменений, так как на основе этих данных можно определять пути совершенствования, оценить взаимосвязь разных вариантов совершенствования системы управления.

Улучшение показателей экономической деятельности компании возможно благодаря разработке организационно-технических мероприятий, которые в совокупности отражают пути роста эффективности управления.

Существует три вида мероприятий, улучшающих показатели эффективной деятельности организации:

1.    Технические мероприятия.

Такие мероприятия направлены на улучшение качества применяемых ресурсов, на усовершенствование оборудования, которое использует организация, технологий.

.      Организационные мероприятия.

Мероприятия такого вида совершенствуют организации производства, труда, направлены на экономию ресурсов, сокращают цикл производства товаров.

.      Социально-экономические мероприятия.

Социально-экономические мероприятия создают необходимые условия труда и отдыха, мотивируют рост качества и производительности труда, чтобы достичь целей, которые стоят перед организацией, эти мероприятия направлены на развитие корпоративного духа персонала.

Повышение эффективности менеджмента должно совершаться с помощью системного подхода. Работники международной консалтинговой компании McKinsey & Company, которая специализируется на решении проблем, связанных с управлением, разработали «схему 7-С» ( Рис.2). В этой схеме показаны семь направлений, помогающих совершенствовать систему управления компанией:

1.      Совершенствование структуры управления организацией. Структура упрощается, рационально распределяются обязанности, права, децентрализуются функции, определяется спектр полномочий руководителей в соответствии с их квалификацией.

2.      Выработка стратегии развития организации. С учетом сильных и слабых сторон компании создается специфичная, индивидуальная политика компании.

3.      Разработка информационной системы организации. Вырабатываются особые системы правил и норм управления, гарантируется коммуникационная связь между сотрудниками, отделами, подразделениями, совершенствуется система принятия решений в компании.

4.      Накопление суммы навыков, необходимых для эффективной деятельности работника. Происходит переподготовка кадров, постоянное повышение квалификации работников, развиваются инициатива и творческое начало.

5.      Разработка системы подбора, обучения, оценки и перемещения руководящих кадров. Выбирается такой стиль руководства, который максимально подходит к воздействующим на организацию внешним и внутренним факторам.

6.      Применение наиболее эффективных методов подбора персонала. Формируется работоспособный, согласующийся состав работников, обеспечивается благоприятный для работы социально-психологический климат.

7.      Выработка совместных ценностей. Создается культура организации.

Рис.2. «Схема 7-С»

Чтобы повысить эффективность менеджмента компании, работа может начинаться с любого направления, актуального для данной компании. Главное, чтобы одни элементы системы были взаимосвязаны с другими.

Преследуя цель повышения эффективности менеджмента, организация вносит в систему управления всевозможные изменения, иногда даже радикального характера. Управление процессом изменений - это одна из труднейших задач для топ-менеджеров, отвечающих за организационное развитие.

Оценка социальной эффективности менеджмента показывает общественный результат управленческой деятельности, подчёркивает ее значимость, устанавливает степень использования имеющихся у фирмы возможностей для осуществления ее целей и задач.

Показатели социальной эффективности управления характеризуются только результирующими составляющими, основные из них:

·              уровень интеграции процессов управления;

·              повышение квалификации менеджеров;

·              повышение уровня обоснованности принимаемых решений;

·              формирование организационной культуры;

·              управляемость системы;

·              удовлетворенность трудом;

·              завоевание общественного доверия;

·              усиление социальной ответственности организации;

·              экологические последствия. [8]

Для определения результатов деятельности менеджера в соответствии с поставленной целью можно применить следующие формы оценки:

·        анкетирование

·        собеседование

·        психологический аудит

·        изучение кадровых документов

·        оценочные испытания

·        графологический анализ

Учитывая эти формы, в работе менеджера можно выделить два основных направления. Это оценка эффективности работы менеджера и оценка личностных качеств управленца.

Оценка эффективности работы менеджера - комплексный процесс, включающий в себя несколько этапов:

·        оценка личного вклада менеджера в деятельность организации

·        оценка эффективности распределения рабочего времени

·        оценка результатов деятельности управленца

·        оценка содержания труда

Профессиональные и личностные качества руководителя используются им ежедневно при принятии различных управленческих решений, контроля над исполнением тих решений. При проведении аттестации кадров, оцениваются три группы качеств:

·        профессионализм

·        деловые характеристики

·        личные качества

В оценке работы менеджера проблема установления личного вклада в деятельность организации занимает важное место. На данный момент существует несколько подходов к решению этой проблемы. Это определение личного вклада по удельному весу заработной платы работников аппарата управления и измерение личного вклада с помощью показателя выработки на одного работающего с учетом сложности труда и качества продукции.

Так же существуют следующие методы эффективного управления: социальные и социально-психологические, которые применяются, чтобы повысить социальную активность людей; экономические, которые объясняются экономическими стимулами; организационно-административные, базирующиеся на прямых директивных указаниях; самоуправление как вид саморегулирования общественной системы.

В практике управления обычно одновременно применяются разные методы и их совокупность. Все представленные методы управления взаимосвязаны и дополняют друг друга, они находятся в непрерывном динамическом равновесии.

Итак, в различных организациях используются различные показатели эффективности менеджмента в зависимости от направления фирмы. Существуют так же методы повышения эффективности управления, которые помогают компании работать успешно и стабильно. А оценка эффективности менеджмента подчеркивает ее важность в современных организациях.

3. Исследование эффективности менеджмента на примере организации

Подходы к повышению эффективности менеджмента компании на примере ООО «Галактика» (сети магазинов «НОРД»).

ООО «Галактика» - свободный товаропроизводитель и действует уже в течение 10 лет на рынке промышленного оборудования на основе разработанной маркетинговой стратегии по перспективному плану. Это обеспечивает ощущение стабильности для работников организации, своевременную выплату заработной платы. [12]

Управление в данном предприятии выполняется в соответствии с Уставом. «Галактика» - это юридическое лицо, которое обладает соответствующими правами и обязанностями.

Управление в этой организации происходит на основе особой организационной структуры. Эта структура и ее подразделения определяются Генеральным директором. Для того, чтобы разработать структуру организации компании, следовало обеспечить эффективное распределение функций по подразделениям. Для этого было необходимо выполнить такие условия:

·    Решение одних и тех же проблем не должно стоять перед разными подразделениями

·        Подразделение не должно решать вопросы, которые эффективнее могло бы решить другое подразделение

В основу структуры управления организацией положена линейно-функциональная система управления. Т.е. нижестоящие подразделения административно подчинены вышестоящим и функционально подчинены ряду подразделений, решающих отдельные вопросы управления - технические, плановые, финансовые и т.п. В этом случае нижестоящим подразделениям поступают более квалифицированные указания, а задача согласовать очередность их выполнения с вышестоящими подразделениями лежит на руководителях нижестоящих подразделений. [12]

Каждый работник ООО «Галактика» и каждое подразделение обладают собственными зонами ответственности. Здесь представлены некоторые из них:

·    Генеральный директор решает вопросы стратегического планирования, а так же обеспечивает оперативное управление организации в целом.

·        Административный отдел отвечает за обеспечение максимального комфорта работы других сотрудников.

·        Зона ответственности офис-менеджера включает в себя ответственность за своевременный и верный оборот документации, распределение входящих звонков, входящей и исходящей документации.

·        Менеджер по персоналу снабжает компанию новыми кадрами, решает проблемы и вопросы, возникающие у персонала, ведёт кадровое делопроизводство.

·        Ответственность уборщицы заключается в чистоте офисных помещений. Менеджер по персоналу проводит линейное управление этим подразделением, а остальные руководители - функциональное.

·        Бухгалтерия отвечает за оперативный и верный учет хозяйственной деятельности компании, представляет отчет о результатах своей деятельности перед контролирующими органами. Линейное управление этим отделом ведет главный бухгалтер, а функциональное - менеджер по персоналу, директор по маркетингу и сбыту, генеральный директор.

·        Отдел сбыта и маркетинга и отделов продаж продвигает товары и услуги, а так же ответственен за получение прибыли и т.д.

·        Директор по продажам контролирует работу бренд-менеджеров и руководителей отделов. Он так же осуществляет тактическое планирование деятельности подразделения.

·        Бренд-менеджер продвигает новые марки компании. Делает он это с помощью подготовки рекламной продукции, изучения и получения информации о продукте от производителя, проведения обучения специалистов по продажам внутри компании.

·        Руководители отделов продаж проводят отчет по продажам, несут ответственность за получение прибыли.

·        Отдел логистики получает товары от поставщиков, доставляет их клиентам, оформляет необходимые документы.

·        Специалист по закупкам проверяет правильность заказа и соответствие привезенных товаров заказу.

·        Технический отдел отвечает за монтаж и сервисное обслуживание оборудования, которые продаёт фирма.

·        Начальник технического отдела управляет деятельностью сотрудников, держит под контролем время и качество выполнения работы. Он может следить за графиком работы и местонахождения.

·        В обязанности диспетчера технического отдела входит контроль за документооборотом, беседы с клиентами, заказ товаров.

·        Сервисные инженеры осуществляют быстрый ремонт, монтаж оборудования.

В настоящее время в компании в целом используются и социально-психологические, и экономические, и административные методы повышения эффективности менеджмента.

Внутри компании существуют Правила внутреннего трудового распорядка, которые соответствуют Трудовому кодексу Российской Федерации. Эти правила формализуют корпоративную культуру компании. Благодаря им, например, в ООО «Галактика» существует единый стандарт формы одежды (деловой стиль для офисного персонала, спецодежда для сервисных инженеров).

В организации существует четкая штатная структура, которая регулярно изменяется и корректируется из-за постоянных перемен условий деятельности компании. Она позволяет распределить функциональные обязанности между работниками и подразделениями так, чтобы одна и та же обязанность не дублировалась у разных подразделений, в то же время все обязанности были распределены.

Функции, полномочия так же распределяются с помощью должностных инструкций. Наличие таких инструкций позволяет работнику понимать свои обязанности, правильно распределить рабочее время. Прописанные зоны ответственности закреплены за каждым сотрудником в отдельности.

В данной организации, как правило, применяется издание приказов, где четко указываются состояние проблемы, сроков ее решения, ответственных за исполнение. И ознакомление работников с этими приказами осуществляется под роспись, поэтому в исполнении сотрудниками приказов руководителей устраняется так называемый «человеческий фактор» («мне не сказали», «я забыл» и т.д.).

В ООО «Галактика» почти не применяются методы наказания работников. Отличившихся сотрудников принято поощрять, а с провинившимися проводятся личные беседы, где разбираются ошибки и недочеты. Это, безусловно, делает управление эффективнее, а доверие к руководителям - более полным.

В компании часто проводятся корпоративные мероприятия. Это служит дополнительным методом укрепления личных дружеских связей внутри коллектива.

Социально-психологические методы управления в ООО «Галактика».

.     Метод общения в организации. Этот метод достаточно развит в данной организации. Выдача информации о распоряжениях менеджеров происходит быстро, четко и ясно. В компании не принято умалчивать о любых проблемах, руководители готовы выслушать работников и принять такое решение, которое устраивало бы всех

2.      Метод партнерства. Происходит постоянное взаимодействие работников между собой. Каждый готов прийти на помощь своему коллеге. Отказ в помощи можно услышать очень редко.

.        Метод переговоров. Переговоры в компании проводятся тогда, когда необходимо принять непопулярное решение.

.        Метод убеждения. Обычно такой метод управления используют менеджеры по персоналу. В разных ситуациях зачастую находятся те, которых что-то не устраивает. И менеджер должен не приказать, а убедить работника, привести ряд аргументов по этому поводу, чтобы сохранить дружеские отношения в коллективе.

.        Метод подражания и побуждения. В основном этот метод применяется менеджером по продажам и маркетингу. Высокие достижения работника именно в неформальной обстановке, а как будто случайно отмечаются менеджером, что побуждает и мотивирует как других работников, так и этого же сотрудника.

.        Метод вовлечения. Метод применяется, когда нужно выполнить небольшую работу. При этом сам менеджер начинает выполнять эту работу, что побуждает всех остальных сотрудников без возмущений приниматься за это дело.

.        Метод принуждения. Этот метод используется в организации очень редко в особых случаях. Происходит это, когда на убеждения нет времени или сам сотрудник приводит большое количество возражающих аргументов. В таком случае эффективнее отдать приказ, чем продолжать возникшую дискуссию.

.        Метод Сократа. Является достаточно эффективным методом управления. Управляющий строит диалог с сотрудником так, что работник всегда соглашается с позицией менеджера. Но при этом менеджер выслушивает мнение работника и принимает во внимание, учитывает это мнение. Он готов признать его, если считает это мнение верным.

.        Метод комплимента. Работники говорят друг другу добрые слова, комплименты, пожелания, при этом это может быть не связано с просьбой, а отпущено просто так. Но в дальнейшем уже тяжело будет отказать в помощи такому человеку.

.        Метод просьбы. Просьба менеджера - это эффективный метод руководства, потому что сотрудник воспринимает просьбы не как приказ, а именно как доброжелательное распоряжение и показывает уважение к его личности.

.        Метод совета. Советы обычно даются руководителями или достаточно опытными сотрудниками. Советчик дает понять, что финальное решение предстоит принять всё-таки тому, которому дан совет. И уже он решает воспользоваться ему советом или нет.

Таким образом, можно сделать вывод о том, что ООО «Галактика» является успешной компанией, в которой используются различные эффективные методы управления. Психологический климат внутри компании является удобным и комфортным для сотрудников и менеджеров, текучесть кадров почти отсутствует, многие работники стабильно работают в этой организации уже на протяжении нескольких лет.

Заключение

Итак, эффективное управление организацией - это сложный процесс балансирования разных интересов и величин, предполагающий намеренные жертвы в тех случаях, когда это необходимо для общего блага компании. Поэтому управление, нацеленное на успех в сложном, быстро-развивающемся, динамическом мире, предполагает комплексное решение различных проблем, таких как: управление финансами, производством, кадрами, снабжением и сбытом товаров.

На примере управления ООО «Галактика» были рассмотрены некоторые подходы к управлению торговой организации. Можно сделать вывод о том, что единого «рецепта» методов повышения эффективности управления организацией - не существует, разрабатывая подходы и методы повышения эффективности управления той или иной организации, руководитель должен исходить из условий, в которых находится эта организация. И только затем разрабатывать свой комплекс методов управления, ставить перед организацией свои цели и задачи.

Список использованных источников

1.   Абчук В.А. Менеджмент. / СПб.: Союз, 2002

2.      Адизес И. Стили менеджмента - эффективные и неэффективные./ М.: Альпина бизнес букс, 2009

.        Веснин В.Р. Менеджмент./М.: Проспект, 2006

.        Гроув Э. Высокоэффективный менеджмент./М.: Филинъ, 1996

.        Кинан К. Эффективное управление./М.: Эксмо, 2006

.        Войтенко А.И., Дуплий Е.В., Комаров А.Е., Комаров Е.И., Рак Н.Г. Менеджмент социальной работы./М.: Инфра-м, 1999

.        Соломанидин В.Г., Соломанидина Т.О. Управление мотивацией персонала./М.: Журнал «Управление персоналом», 2005

.        Критерии и показатели эффективности управления - Эффективность менеджмента организации.

.        ООО «Галактика» - Деловая сеть «Коммфи».

.        Организационная структура ООО»Галактика». - Методы повышения эффективности управления организацией на примере ООО «Галактика»

.        Понятие и сущность эффективности менеджмента - Стратегия и управление.

.        Тема 6. Эффективность менеджмента. -Management. Учебно-методический комплекс.

.        Факторы эффективности менеджмента. - Учебное пособие для подготовки к итоговому междисциплинарному экзамену профессиональной подготовки менеджера под общей редакцией В.Е. Ланкина «Менеджмент организации».

Похожие работы на - Эффективное управление организацией

 

Не нашли материал для своей работы?
Поможем написать уникальную работу
Без плагиата!
Без нейросетей!