Анализ функциональных стратегий предприятия и разработка инновационной стратегии (на примере РСУП 'Э/Б 'Белоусовщина')
РЕФЕРАТ
Тема курсовой работы: Анализ функциональных
стратегий предприятия и разработка инновационной стратегии (на примере РСУП
«Э/Б «Белоусовщина»).
Ключевые слова: стратегия, разработка,
устойчивость, инновации, инновационная деятельность.
Объект исследования: РСУП «Э/Б «Белоусовщина».
В работе проведен анализ функциональных
стратегий предприятия, разработка мероприятий по внедрению инновационной
деятельности на РСУП «Э/Б «Белоусовщина».
Область возможного практического применения
проведенных исследований: РСУП «Э/Б «Белоусовщина».
Автор работы подтверждает, что приведенный в ней
цифровой материал правильно и объективно отражает состояние исследуемой
проблемы.
СОДЕРЖАНИЕ
ВВЕДЕНИЕ
ГЛАВА 1 СУЩНОСТЬ, ЗНАЧЕНИЕ И ВИДЫ
ФУНКЦИОНАЛЬНЫХ СТРАТЕГИЙ ПРЕДПРИЯТИЯ. ОСОБЕННОСТИ РАЗРАБОТКИ ИННОВАЦИОННОЙ
СТРАТЕГИИ ПРЕДПРИЯТИЯ
.1 Понятие стратегического
управления, его необходимость и особенности
.2 Методы разработки и выбор
функциональных стратегий
.3 Рекомендации по внедрению
инновационной деятельности
.4 Сельское хозяйство в Республике
Беларусь
ГЛАВА 2 СТРАТЕГИЧЕСКИЙ АНАЛИЗ И
ТЕХНИКО-ЭКОНОМИЧЕСКАЯ ХАРАКТЕРИСТИКА ПРЕДПРИЯТИЯ (НА ПРИМЕРЕ РСУП Э/Б
БЕЛОУСОВЩИНА)
.1 Краткая характеристика
предприятия
.2 Организационно-экономический и
производственно-хозяйственный анализ предприятия
.3 Оценка стратегического состояния
предприятия методом SPAСE
ГЛАВА 3 РАЗРАБОТКА ПРЕДЛОЖЕНИЙ ПО
СОВЕРШЕНСТВОВАНИЮ ИННОВАЦИОННОЙ СТРАТЕГИИ ПРЕДПРИЯТИЯ (НА ПРИМЕРЕ РСУП Э/Б
БЕЛОУСОВЩИНА)
.1 Система мероприятий по
усовершенствованию работы Э/Б «Белоусовщина»
ВЫВОДЫ И ПРЕДЛОЖЕНИЯ
СПИСОК ИСПОЛЬЗОВАННЫХ ИСТОЧНИКОВ
ВВЕДЕНИЕ
Слово “стратегия” произошло от греческого
strategos, “искусство генерала”. Страте́гия
- наука о войне, в частности наука полководца, общий, недетализированный план
военной деятельности, охватывающий длительный период времени, способ достижения
сложной цели, позднее вообще какой-либо деятельности человека. Военное
происхождение этого термина не должно вызывать удивления. Именно strategos
позволило Александру Македонскому завоевать мир.
Стратегия представляет собой детальный
всесторонний комплексный план, предназначенный для того, чтобы обеспечить
осуществление миссии организации и достижение ее целей. Несколько основных
тезисов, относящихся к стратегии, должны быть поняты и, что более важно,
приняты высшим руководством. Прежде всего, стратегия большей частью
формулируется и разрабатывается высшим руководством, но ее реализация
предусматривает участие всех уровней управления. Стратегический план должен
обосновываться обширными исследованиями и фактическими данными. Чтобы
эффективно конкурировать в сегодняшнем мире бизнеса предприятие должно
постоянно заниматься сбором и анализом огромного количества информации об
отрасли, конкуренции и других факторах.
Стратегический план придает предприятию
определенность, индивидуальность, что позволяет ему привлекать определенные
типы работников, и, в то же время, не привлекать работников других типов. Этот
план открывает перспективу для предприятия, которое направляет его сотрудников,
привлекает новых работников и помогает продавать изделия или услуги. Наконец,
стратегические планы должны быть разработаны так, чтобы не только оставаться
целостными в течение длительных периодов времени, но и быть достаточно гибкими,
чтобы при необходимости можно было осуществить их модификацию и переориентацию.
Общий стратегический план следует рассматривать как программу, которая
направляет деятельность фирмы в течение продолжительного периода времени, давая
себе отчет о том, что конфликтная и постоянно меняющаяся деловая и социальная
обстановка делает постоянные корректировки неизбежными. Стратегическое
планирование представляет собой набор действий и решений, предпринятых
руководством, которые ведут к разработке специфических стратегий,
предназначенных для того, чтобы помочь организации достичь своих целей. Процесс
стратегического планирования является инструментом, помогающим в принятии
управленческих решений. Его задача - обеспечить нововведения и изменения в
организации в достаточной степени.
Актуальность работы заключается в том, что в
существующих жестких условиях конкуренции предприятию необходимо выбрать для
себя подходящую стратегию, которая отвечает требованиям рынка. Правильно
выбранная стратегия существенно сказывается на устойчивости и развитии
предприятия.
Цель данной работы заключается в анализе
функциональных стратегий предприятия и разработке инновационной деятельности на
примере РСУП «Э/Б» Белоусовщина».
Исходя из цели, задачами будут являться:
1. изучить теоретические и методические основы
разработки функциональных стратегий развития организации;
2. провести анализ хозяйственной
деятельности предприятия;
3. разработать мероприятия по реализации
инновационной деятельности.
Предметом исследования является методы и
механизмы разработки и реализации комплекса инновационной деятельности развития
организации.
Объектом исследования является РСУП «Э/Б»
Белоусовщина».
Написание курсовой работы производилось с
помощью общенаучных методов: анализа, синтеза, индукции и дедукции, а также по
средствам анализа отечественной, научно-методической литературы по проблеме
исследования. Основной уклон проводился на годовые бухгалтерские отчеты
предприятия за 2011, 2012 и 2013 годы.
1 СУЩНОСТЬ, ЗНАЧЕНИЕ И ВИДЫ ФУНКЦИОНАЛЬНЫХ
СТРАТЕГИЙ ПРЕДПРИЯТИЯ. ОСОБЕННОСТИ РАЗРАБОТКИ ИННОВАЦИОННОЙ СТРАТЕГИИ
ПРЕДПРИЯТИЯ
.1 Понятие стратегического управления, его
необходимость и особенности
стратегический
управление инновационный стратегия
Термин «стратегическое управление» появился в
обиходе на рубеже 1960-70-х годов. Он обозначал различия между текущим
управлением на уровне производства и управлением, осуществляемым на уровне
корпорации в целом. Необходимость такого различия была вызвана изменениями в
условиях осуществления бизнеса.[15 с.9]
Стратегическое управление - это система
целенаправленных действий организации, ведущих к долгосрочному превышению
уровня результативности деятельности организации над уровнем результативности
конкурентов.
Стратегическое управление развитием организации
заключается в умении моделировать ситуацию, способности выявлять необходимость
изменений, разработке самой стратегии, а также в способности воплощать
стратегию в жизнь. Вместе с тем стратегическое управление представляет собой
систему действий, необходимых для достижения поставленных целей, зачастую в
условиях ограниченности ресурсов. Кроме того, стратегия организации состоит как
из продуманных целенаправленных действий, так и из действий, которые являются
реакцией на непредвиденное развитие событий.[4 с.28]
В явном виде политика не имеет целевого начала,
а может рассматриваться как детализация стратегии организации по выполняемым ею
функциям, поэтому функциональные стратегии носят предписывающий характер. Тем
не менее, совокупность функциональных стратегий образует систему, поскольку они
как элементы взаимосвязаны, обособлены от внешней среды и взаимодействуют с ней
как нечто целое.[6 с.425]
Инновационная стратегия - это стратегия создания
и использования нововведений различного типа, что, в конечном итоге, и
обеспечивает предприятию стратегическое развитие.
Инновационная стратегия или стратегия НИОКР
базируется на научно-технических прогнозах и формируется с учетом возможных
технологических прорывов и открытий в различных областях в тот период, на
который разрабатывается стратегия.[11 с.127-137]
Осуществление инновационной стратегии
сопровождается преобразованиями как в обновлении состава и использовании
различных ресурсов, так и в перепроектировании деловых процессов, что
обусловлено нововведениями в аппаратные управления и организационных структурах
фирм и компаний. Эти преобразования означают переход от инновационной стратегии
к инновационному проекту, мероприятия по которому находят отражение в локальных
проектах.[3 с.218]
Стратегия НИОКР должна строиться на основе общей
стратегии предприятия. Однако стратегия НИОКР имеет собственное поле применения
и свои специфические особенности.[18 с.22]
Инновационная стратегия играет для сферы НИОКР в
компании примерно ту же роль, что корпоративная стратегия для компании в целом
(табл. 1.1). Выбор стратегии зависит от рыночного положения фирмы, ее
конкурентного статуса, стадии жизненного цикла отрасли и характера портфеля
(для диверсифицированной фирмы.[1 с.127]
Таблица 1.1 - Сравнение функций корпоративной
стратегии и стратегии НИОКР [2 с.711]
|
Сфера влияния
|
Корпоративная стратегия
|
Стратегия НИОКР
|
|
Ресурсы
|
Распределение между сферами
управления
|
Распределение между проектами
|
|
Критерии определения целей
|
Экономическая обстановка на рынке
|
Положение корпорации на рынке
|
|
Области бизнеса
|
Продуктово-рыночная стратегия
|
Технико-продуктовая стратегия
|
|
Объекты планирования
|
Продуктово-рыночный ассортимент
|
Балансировка портфеля проектов
|
|
Временной аспект
|
Увязка
долгосрочных, среднесрочных и краткосрочных аспектов
|
|
Стратегия управления персоналом (humаn rеsоurсе
strаtеgy) - это подсистема корпоративной стратегии, представленная в виде
долгосрочной программы конкретных действий по реализации концепции
использования и развития потенциала персонала организации в целях обеспечения
ее стратегического конкурентного преимущества.
Стратегия использования и развития потенциала
персонала наряду с маркетинговой стратегией является ключевой функциональной
стратегией организации.[7 с.127-130]
Маркетинговая стратегия охватывает основные
элементы комплекса маркетинга - система организации производства и сбыта
продукции, ориентированная на удовлетворение потребностей конкретных
потребителей и получение прибыли на основе исследования и прогнозирования
рынка, изучения внутренней и внешней среды предприятия экспортера, разработки
стратегии и тактики поведения на рынке с помощью маркетинговых программ.[16
с.375]
Производственная стратегия - это подсистема
корпоративной стратегии, представленная в виде долгосрочной программы
конкретных действий по созданию и реализации продукта организации; подсистема
предусматривает использование и развитие всех производственных мощностей
организации в целях достижения стратегического конкурентного преимущества.[17
с.221]
Финансовая стратегия.
В условиях рыночных отношений, самостоятельности
предприятий, а также ответственности за результаты своей деятельности
существует необходимость определения тенденций финансового состояния,
ориентации в финансовых возможностях и перспективах (получение банковского
кредита, привлечение иностранных инвестиций), оценки финансового состояния других
хозяйствующих субъектов. Решение данных вопросов обеспечивает финансовая
стратегия предприятия.
Оперативная финансовая стратегия - это стратегия
текущего маневрирования финансовыми ресурсами, т.е. стратегия контроля за
расходованием средств и мобилизацией внутренних резервов, что особенно
актуально в современных условиях экономической нестабильности.
Важной частью финансовой стратегии является
разработка внутренних нормативов, с помощью которых определяются, например,
направления распределения прибыли. Такой подход успешно используется в практике
зарубежных компаний.[19 с.576]
Таким образом, функциональные стратегии
выступают не только в качестве инструмента обоснования, выработки и реализации
долгосрочных целей и задач производственного, научно-технического,
экономического, организационного и социального характера, не только как фактор,
регулирующий деятельность организации до тех пор, пока намеченные цели и задачи
не будут достигнуты, но одновременно и как средство связи предприятия с внешней
рыночной средой.
.2 Методы разработки и выбор функциональных
стратегий
Идеальное функциональное подразделение должно
быть и производительным, и эффективным. Оно должно выполнять ту работу, с
которой способно хорошо справляться, и располагать продуманной функциональной
стратегией, увязанной с деловой стратегией компании.
Функциональная стратегия нацелена на
деятельность той или иной функциональной службы (или отдела) в рамках общей
стратегии данного хозяйственного подразделения. [21 с.11]
Разработка функциональной стратегии
подразумевает активное поведение менеджеров в рамках заданной функции. Таким
образом, функциональная стратегия сводится к такой ориентации того или иного
функционального подразделения (отдела) в соответствии с общей деловой
стратегией, которую каждый имеющий к ней отношение работник воспринимает как
логическое продолжение своей деятельности. [20 с.384]
Современные стратегии основываются на
проникновении в суть условий, в рамках которых работает определенная сфера
экономики, отрасль; осознании задач, стоящих перед предприятиями. Это
способствует возникновению разнообразных проектов развития, позволяющих выбрать
вариант, который обеспечит выживаемость компании и возможность ей выйти на
хорошие экономические результаты.[8 с.107]
Процесс разработки стратегии предприятия состоит
из нескольких этапов представленных в таблице 1.2.
Методологической основой инструментария
стратегического анализа являются общенаучные методы (системный и ситуационный
анализ, комплексный подход, программно-целевое планирование и т.д.),
аналитико-прогностические методы и методические приемы, заимствованные из
разных областей знаний (социологии, психологии, антропологии, экологии,
эстетики и т.д.).[12 с.28-34]
Метод стратегического анализа внешней среды
должен быть направлен на: [14 с.102]
установление и оценку факторов среды,
представляющих угрозу или способствующих развитию организации;
изучение изменений, влияющих на текущую
деятельность организации, и установлении их тенденций;
разработку возможных реакций на развитие
факторов среды;
открытие новых способов создания некоторой
полезности, имеющей ценность для потребителей.
Таблица 1.2 - Основные этапы и методы
формирования стратегии предприятия
|
Этап
|
Характеристика этапа
|
Используемые методы
|
|
Предварительный
|
Анализ
личного потенциала руководства, его заинтересованности в разработке
стратегии. Диагностика предприятия по всем направлениям. Выбор согласованных
позиций руководства и привлеченных экспертов.
|
Анкета
директора. Анкетный опрос. Бизнес диагностика.
|
|
Выработка альтернативных стратегий
|
Формирование
рабочих групп для разработки различных вариантов стратегии. Оценка
стратегии экспертов.
|
Мозговой
штурм. Проблемно-деловая игра.
|
|
Ранжирование
альтернативных стратегий и принятие решений
|
Ранжирование
стратегических проблем. Выбор критерия. Разработка целевых программ.
|
Экспертные
методы. Сетевые методы. Стохастические графы. Интуиция руководителя.
|
Стратегический управленческий анализа - это
инструмент стратегического анализа, с помощью которого руководство организации
оценивает эффективность хозяйственной деятельности с точки зрения обеспечения
будущей долгосрочной прибыли.
Портфельный анализ - это инструмент
стратегического анализа, с помощью которого руководство организации выявляет и
оценивает свою хозяйственную деятельность с целью вложения средств в наиболее
прибыльные или перспективные ее направления и сокращения или прекращения
инвестиций в неэффективные проекты.[10 с.111]
Экспертные методы основываются на использовании
неполной и косвенной информации, опыта специалистов-экспертов, интуиции.
Используются преимущественно при решении неструктурированных и
слабоструктурированных проблем. Достоинствам экспертных методов можно отнести
возможность обмена и противопоставления идей, коллективная интеграция идей,
наглядность результатов, творческое решение проблем, выработка сценариев
развития.[9 с.276]
Также одним из важных этапов формирования
стратегии развития фирмы является оценка стратегического планирования
компании.[3 с.265]
Понимание природы, структуры и различных
аспектов стратегий развития деятельности компании позволяет сделать ряд
обобщающих выводов.
Во-первых, рациональная стратегия должна
содержать в себе три важные составляющие: основные цели или задачи
деятельности; наиболее существенные правила или процедуры, ограничивающие сферу
деятельности; последовательность мероприятий, направленных на достижение целей.
Так как стратегии определяют только общее направление развития и не являются
просто программами достижения фиксированных целей, то при формулировании
стратегии должна учитываться и эволюция целей.
Во-вторых, эффективные стратегии развиваются
вокруг нескольких количественно ограниченных концепций и направлений, что
придает им устойчивость и сбалансированность. Одни направления могут быть
временными, другие сохраняются до конца реализации стратегии. При этом
необходимо координировать деятельность таким образом, чтобы каждое направление
было в должной мере обеспечено ресурсами независимо от соотношения
«издержки/доходы».[5 c.315]
В-третьих, стратегия имеет дело не только с непредсказуемыми,
но зачастую и с неизвестными факторами. Никто из специалистов не сможет дать
точный прогноз того, как поведут себя конкурирующие силы, какое воздействие
окажут факторы влияния и вообще будет ли компанию ожидать ошеломляющий успех
или глубочайшая неудача. Суть процесса разработки стратегии состоит в том,
чтобы выстроить позицию достаточно сильную и гибкую для обеспечения достижения
поставленных целей.
В-четвертых, для каждого уровня управления
необходимо разрабатывать свою стратегию. При этом должна быть четко определена
соподчиненность стратегий, согласованность со стратегиями более высокого
уровня. Неважно, как разработана стратегия, но крайне необходимо, чтобы
учитывались выделенные обобщающие выводы.
Процесс формулирования стратегии (рис. 1.1)
включает в себя выявление потенциальных возможностей и угроз со стороны внешней
среды компании, оценку рисков и возможных альтернатив среды.
На предварительном этапе разработки стратегии
проводится всесторонний анализ внутреннего состояния компании, в результате
которого выделяют ее сильные и слабые стороны, оценивают возможности ресурсного
обеспечения действий, направленных на достижение поставленных целей.[13 c.416]
Рис. 1.1 - Схема процесса разработки стратегии
От степени проработки предварительного этапа во
многом зависит эффективность будущей стратегии. По своей сути задача
оптимальной стратегии в предельном случае заключается в совмещении трех
окружностей (рис. 1.2) или, по крайней мере, в максимизации площади пересечения
(А) окружностей.
Рис. 1.2 - Соотношение целей, ресурсов и
возможностей рынка
На первом этапе разработки стратегии
формулируются стратегические альтернативы, учитывающие различные состояния
внешней среды, ресурсов компании и стратегические цели. На данном этапе
отбираются те альтернативы развития, которые находятся в плоскости пересечения
трех окружностей, т.е. в секторе А (рис. 1.2). Например, если стратегической
целью компании является географическое расширение и завоевание при этом
определенной доли на каждом рынке, то из всех возможных рынков, но требования
которых фирма в состоянии удовлетворить, используя имеющиеся ресурсы, в
качестве альтернатив для их дальнейшей оценки будут отобраны только те рынки, на
которых может быть достигнут целевой объем продаж.
Второй этап разработки стратегии состоит.
Соответствуя внешнему окружению, целям компании и ее ресурсам, стратегическая
альтернатива не должна противоречить другим стратегиям фирмы. При
стратегическом выборе у организации возникают противоречия между тремя группами
ориентиров: между долгосрочными и краткосрочными показателями рентабельности и
объема продаж, между внутренней и внешней гибкостью, между гибкостью и
синергизмом.
Третий этап разработки стратегии состоит в
выборе одной или нескольких наилучших стратегий.
Таким образом, можно отметь, что существуют
правила, которым целесообразно следовать при выборе эффективной стратегии.
Необходимо убедиться, что все функциональные
стратегии, поддерживающие данную стратегическую альтернативу, взаимосвязаны.
Необходимо учитывать степень риска данной
альтернативы, особенно если речь идет о вовлечении крупных активов.
Следует также принимать во внимание реакцию на
данную стратегическую альтернативу различных групп влияния, принадлежащих как
внешней, так и внутренней среде организации.
.3 Рекомендации по реализации инновационной
деятельности
Инновационное развитие организации означает
умение совершенствовать продукты и процессы в соответствии с требованиями
рынка, которые сегодня быстро меняются, так как интенсивно развиваются
технологии и быстро распространяются новые знания.
В инновационном развитии организации можно
выделить пять необходимых условий (факторов), при отсутствии которых инновация
не состоится, а при их недостаточности, не приведет к нужному результату.
Требуется органичное сочетание: 1) идеи; 2) возможности; 3) компетентности; 4)
инвестиций; 5) управления (рис. 3.1).
Инновационная деятельность - это деятельность,
направленная на использование и коммерциализацию результатов научных
исследований и разработок для расширения и обновления номенклатуры и улучшения
качества выпускаемой продукции (товаров, услуг), совершенствования технологии
их изготовления с последующим внедрением и эффективной реализацией на
внутреннем и зарубежных рынках, предполагающая целый комплекс научных,
технических, технологических, организационных, финансовых и коммерческих
мероприятий, которые в своей совокупности приводят к инновациям
Рис.1.3 - Условия (факторы) инновационного
развития
Различают несколько видов инноваций:
ü технические появляются в
производстве продуктов с новыми или улучшенными свойствами;
ü технологические возникают при
применении более совершенных способов изготовления продукции;
ü организационно-управленческие
связаны с процессами оптимальной организации производства, транспорта, сбыта и
снабжения;
ü информационные решают задачи
рациональной организации информационных потоков в сфере научно-технической и
инновационной деятельности, повышения достоверности и оперативности получения
информации;
ü социальные направлены на улучшение
условий труда, решение проблем здравоохранения, образования, культуры.
Рассмотрим этапы инновационного процесса (рис.
1.4.)
Рис.1.4 - Этапы инновационного процесса
Таблица 1.3 - Этапы инновационного процесса
|
№
|
Название
этапа
|
Содержание
|
|
1
|
Фундаментальные
исследования
|
Экспериментальная
или теоретическая деятельность, направленная на получение новых знаний об
основных закономерностях строения, функционирования и развития человека,
общества, окружающей среды.
|
|
2
|
Прикладные
исследования
|
На
данном этапе проверяется техническая осуществимость идеи, анализируются
масштабы потребностей рынка, а также потенциальные возможности предприятия по
разработке и производству нового продукта.
|
|
3
|
Опытно-конструкторские
работы
|
Переход
от лабораторных условий и экспериментального производства к промышленному
производству.
|
|
4
|
Внедрение
|
На
данном этапе предприятие-изготовитель производит пробную партию продукта.
Также фирма проводит маркетинговое исследование в виде зондирования рынка
малыми партиями нового товара. Если зондирование рынка проходит успешно,
начинается подготовка к широкомасштабному продвижению товара на рынок.
|
|
5
|
Рост
|
На
данном этапе инновационного процесса производство продукта расширяется.
Происходит снижение текущих издержек производства, что способствует снижению
цены. Прибыль от реализации товара нередко достигает пика. По некоторым
оценкам, объём прибыли в этот период может составлять 50-70 % прибыли,
получаемой за весь жизненный цикл товара.
|
|
6
|
Замедление
роста
|
Постепенно
темпы роста производства снижаются. В издержках растёт доля затрат на рекламу
и поддержку конкурентоспособности продукции. Осуществляется поиск новых
рынков. Проводится разработка улучшенных модификаций продукта,
совершенствуются технологические процессы.
|
|
7
|
Спад
объема продаж
|
Наступление
данного этапа означает, что пришёл момент, когда рынок начинает
перенасыщаться данным товаром. Происходит устойчивое падение объёмов продаж и
снижение, возможно даже до нулевой отметки, размера получаемой прибыли. Спад
происходит как из-за устаревания товара, так из-за изменений в технологии,
смены вкусов и предпочтений потребителей, а также вследствие появления на
рынке более совершенных товаров, предлагаемых конкурентами.
|
|
|
|
|
Исходя из таблицы 1.3 можно сделать вывод о том,
что этапы инновационной деятельности есть сложный и длительный процесс. Все
данные этапы требуют тщательной разработки и подготовки к ним. Следует также
проанализировать движение продукции от момента ее создания до ухода с рынка.
.4 Сельское хозяйство в Республике Беларусь
Сельское хозяйство занимает важное место в
структуре национальной экономики и призвано выполнять три важнейшие задачи:
) обеспечивать население страны
высококачественным продовольствием, т. е. быть гарантом продовольственной
безопасности;
) снабжать пищевую и легкую промышленность в
достаточном количестве необходимым сырьем;
) сохранять привлекательными ландшафты в
качестве жизненного пространства, территории для расселения людей, создания зон
отдыха, зон развития агротуризма.
За период становления и развития фермерства в
республике создано 6995 крестьянских (фермерских) хозяйств, из которых по
различным причинам 4464 (64 процента) прекратили хозяйственную деятельность. В
2013 году в республике вновь создано 192 фермерских хозяйств, или в 1,5 раза
больше, чем прекратило деятельность.
По состоянию на 1 января 2014 года в Беларуси
функционировало 2531 фермерское хозяйство, в землепользовании которых находится
более 165 тысяч гектаров земельных угодий, в том числе сельскохозяйственных
земель - 146 тысяч гектаров.
Опыт развития фермерства в республике
свидетельствует, что фермерский сектор является одним из динамично
развивающихся секторов аграрной экономики.
В 2013 году в животноводстве фермерского сектора
произошли существенные изменения в сторону развития крупного и мелкого
скотоводства, птицеводства и сворачивания свиноводческой отрасли.
Актуальным вопросом для фермерских хозяйств является
государственная поддержка и участие в реализации государственных программ по
сельскому хозяйству. Для разрешения этой проблемы 20 мая 2011 года
Правительством Республики Беларусь принято постановление «О некоторых вопросах
деятельности крестьянских (фермерских) хозяйств», цель которого заключается в
обеспечении равных условий хозяйствования фермерским хозяйствам с другими
производителями сельскохозяйственной продукции.
Облисполкомы ежегодно (по полугодиям)
информируют правительство о мероприятиях и размерах государственной поддержки,
выделяемых фермерским хозяйствам.
В целом в 2011-2013 годах для крестьянских
(фермерских) хозяйств по различным направлениям использования предоставлено
401,3 млрд. рублей, в том числе в 2013 году - 180,0 млрд. рублей, или почти в
1,4 раза больше, чем в предыдущем году.
Для более подробного анализа эффективности
функционирования организаций АПК Республики Беларусь рассмотрим основные
финансовые результаты организаций сельского хозяйства по данным Национального
статистического комитета за 2013-2014 года.
Основные финансовые результаты организаций
сельского хозяйства Республики Беларусь за январь-сентябрь 2012 и 2013гг.
Таблица 1.4 - Финансовые результаты организаций
сельского хозяйства Республики Беларусь за январь-сентябрь 2012 и 2013 гг.
|
Показатели
|
Январь
- Сентябрь 2012 г.
|
Январь
- Сентябрь 2013 г.
|
Январь-сентябрь 2013
г.
в%
к
январю-сентябрю 2012
г.
|
|
|
Выручка
от реализации продукции, товаров, работ, услуг, млрд. руб.
|
44 805,2
|
51
007,6
|
113,8
|
|
|
Себестоимость реализованной
продукции, товаров, работ, услуг, млрд. руб.
|
33
783,9
|
42
209,2
|
124,9
|
|
|
Прибыль,
убыток(-) от реализации продукции, товаров, работ, услуг, млрд. руб.
|
6
475,4
|
3
506,6
|
54,2
|
|
|
Прибыль,
убыток(-) до налогообложения, млрд. руб.
|
7
186,3
|
4
663,5
|
64,9
|
|
|
Чистая
прибыль, убыток(-), млрд. руб.
|
7
159,2
|
4
618,8
|
64,5
|
|
|
Выручка
от реализации продукции, товаров, работ, услуг на одного среднесписочного
работника
|
-
|
-
|
-
|
|
|
млн.
рублей
|
127,0
|
149,9
|
118,0
|
|
|
тыс.
долларов США
|
15,3
|
17,1
|
111,8
|
|
|
Рентабельность
реализованной продукции, товаров, работ, услуг, %
|
19,2
|
8,3
|
-
|
|
|
Рентабельность
продаж,
|
14,5
|
6,9
|
-
|
|
|
Рентабельность
продаж по конечному финансовому результату, %
|
16,0
|
9,1
|
-
|
|
|
Рентабельность
продаж по конечному финансовому результату (без господдержки 2), %
|
9,9
|
0,9
|
-
|
|
|
Количество
убыточных организаций, единиц
|
11
|
45
|
В
4,1р.
|
|
|
Удельный вес убыточных организаций в
общем количестве организаций, %
|
0,7
|
3,0
|
-
|
|
Сумма чистого убытка убыточных организаций,
млрд. руб.
|
61,1
|
431,3
|
В
7,1р.
|
|
Количество убыточных организаций (без
господдержки), единиц
|
427
|
800
|
187,4
|
|
Удельный вес убыточных организаций (без
господдержки) в общем количестве организаций,
%
|
28,4
|
53,1
|
-
|
|
Сумма чистого убытка убыточных организаций (без
господдержки), млрд. руб.
|
462,4
|
1
873,5
|
В
4,1р.
|
|
|
|
|
|
|
|
По данным таблицы можно сделать вывод о том,
что:
выручка от реализации продукции, товаров, работ,
услуг увеличилась на 13.8%
себестоимость реализованной продукции, товаров,
работ, услуг увеличилась на 24.9%
убыток от реализации продукции, товаров, работ,
услуг составил 54,2%
количество убыточных организаций возросло в 4.1
раза.
Развитие сельского хозяйства Республики Беларусь
осуществляется в соответствии с Государственной программой укрепления аграрной
экономики и развития сельских территорий на 2011 - 2015 годы.
Важнейшими задачами развития сельского хозяйства
являются формирование конкурентоспособного, экологически безопасного
производства сельскохозяйственной продукции, обеспечивающего в полном объеме
внутренние потребности страны, наращивание экспортного потенциала, а также
увеличение рентабельности продаж.
К приоритетным направлениям, обеспечивающим
повышение сельскохозяйственного производства, относятся:
· создание высокоэффективных
интеграционных структур корпоративного типа по технологическим продуктовым
цепочкам от производства исходного сырья до сбыта готовой продукции;
· интенсификация сельскохозяйственного
производства на основе эффективного использования производственных и
почвенно-климатических условий, трудовых ресурсов, инфраструктуры сбыта внутри
страны и за рубежом с ориентацией на потребности перерабатывающей
промышленности и спрос на мировом рынке продовольствия;
· модернизация организаций,
перерабатывающих сельскохозяйственное сырье, внедрение нового оборудования и
технологий, позволяющих осуществлять глубокую переработку сырья, расширять
ассортимент, а также обеспечивать выпуск продукции с высокой добавленной
стоимостью;
· внедрение новейших
высокопродуктивных отечественных сортов сельскохозяйственных культур и пород
животных и птиц, расширение и освоение новых рынков сбыта отечественной
сельскохозяйственной продукции, интеграция в мировое агропродовольственное
пространство;
· создание условий для развития личных
подсобных и фермерских хозяйств.
Это позволит в сельскохозяйственных
организациях, крестьянских (фермерских) хозяйствах обеспечить увеличение
рентабельности продаж до 10-11%, производительности труда - в 1,5 раза, рост
экспорта продукции агропромышленного комплекса не менее чем в 2 раза с
доведением его объема до 6 млрд. долларов в эквиваленте.
К окончанию пятилетки сельское хозяйство в
Беларуси планирует быть бездотационным и самоокупаемым.
2 СТРАТЕГИЧЕСКИЙ АНАЛИЗ И ТЕХНИКО-ЭКОНОМИЧЕСКАЯ
ХАРАКТЕРИСТИКА ПРЕДПРИЯТИЯ (НА ПРИМЕРЕ РСУП Э/Б БЕЛОУСОВЩИНА)
.1 Краткая характеристика предприятия
Экспериментальная база «Белоусовщина»
обеспечивает элитным семенным материалом основных зерновых и зернобобовых
культур 16 районов Брестской области. Основными рынками сбыта являются
сельскохозяйственные организации, молочный комбинат, мясокомбинат.
Местонахождение хозяйства - деревня Белоусовщина
Пружанского района Брестской области.
Хозяйство удалено от районного центра г. Пружаны
на 5 км, от областного центра г. Бреста - на 80 км, от баз снабжения и пунктов
реализации продукции на 7 - 90 км. Состояние дорожного покрытия удовлетворительное.
Экспериментальная база «Белоусовщина» расположена в зоне
умеренно-континентального климата юго-западной Беларуси. Здесь благоприятные
условия для возделывания сельскохозяйственных культур и выращивания
сельскохозяйственных животных.
Общая земельная площадь, закрепленная за
хозяйством, по состоянию на 01.01.2014 г. составляет 4789 га, в т.ч.
сельхозугодий - 4466 га, из них пашни - 2924 га. Средний балл плодородия
сельхозугодий - 37,2, пашни - 39,0.
Хозяйство располагает следующими видами почв по
механическому составу:
· супеси пески - 80%;
· суглинки - 10%;
· торфяники - 10%.
Среднесписочная численность работников за 2013
год составила 181 человек.
Производство молока в хозяйстве осуществляется
на 3 молочно-товарных фермах.
Техническая база хозяйства представлена 27 ед.
тракторов, 27 ед. автомобилей и рядом другой сельскохозяйственной техники.
Организационная структура предприятия представлена в приложении.
Таблица 2.1 - Структура и обеспеченность
хозяйства трудовыми ресурсами в 2011-2013 гг
|
Категория
работников
|
2011
г.
|
2012
г.
|
2013
г.
|
Отклонение
к 2010 г.(+,-)
|
|
Среднесписочная
численность производственного персонала, чел.
|
178
|
169
|
181
|
+3
|
|
В
том числе: персонал основной деятельности
|
176
|
167
|
181
|
+5
|
|
Из
него: ü рабочие,
колхозники ü
служащие,
служащие колхоза
|
129
47
|
122
45
|
137
44
|
+8
-3
|
|
Из
них: ü руководители
ü специалисты
|
18
29
|
18 27
|
18
26
|
0
-3
|
|
Персонал
не основной деятельности
|
2
|
2
|
Х
|
Х
|
|
Прочие
|
2
|
2
|
Х
|
Х
|
Примечание - Источник собственная разработка.
Данные таблицы 2.1 отражают кадровую
обеспеченность предприятия. Так, четко прослеживается постепенное увеличение
среднесписочной численности работников.
К 2013 г. отмечается общее увеличение кадрового
состава на 3 человека за счет персонала основной деятельности - численность
которого увеличилась на 5 человек.
Таким образом, Экспериментальная база
«Белоусовщина» имеет ряд преимуществ для организации сельскохозяйственной
деятельности.
Это обусловлено расположением базы,
климатическими условиями, наличием рабочих и другое.
.2 Организационно-экономический и
производственно-хозяйственный анализ предприятия
Основной задачей предприятий Республики Беларусь
является наиболее полное обеспечение спроса населения высококачественной
продукцией. Темп роста объема производства продукции, повышение ее качества,
непосредственно влияют на величину издержек, прибыль и рентабельность
предприятия. Поэтому анализ экономической эффективности деятельности
организации очень важен для разработки долгосрочной стратегии развития, а также
для привлечения инвестиций в эту отрасль.
Таблица 2.2 - Динамика наличия основных
производственных фондов, млн. руб.
|
Показатели
|
На
начало года
|
|
2011
|
2012
|
2013
|
|
млн.
руб.
|
Уд.
вес. %
|
млн.
руб.
|
Уд.
вес. %
|
млн.
руб.
|
Уд.
вес. %
|
|
Здания
и сооружения
|
48
160
|
66,62
|
81
798
|
59,92
|
153
644
|
64,49
|
|
Передаточные
устройства
|
22
|
0,03
|
816
|
0,60
|
1
030
|
|
Машины
и оборудование
|
18
570
|
25,69
|
39
726
|
29,10
|
65
108
|
27,33
|
|
Транспортные
средства
|
1
902
|
2,63
|
6
295
|
4,61
|
7
282
|
3,06
|
|
Рабочий
скот и животные основного стада
|
3
597
|
4,98
|
7
838
|
5,74
|
11
118
|
4,67
|
|
Многолетние
насаждения
|
42
|
0,06
|
42
|
0,03
|
42
|
0,02
|
|
Прочие
основные средства
|
2
|
0,003
|
5
|
0,003
|
6
|
0,003
|
|
ИТОГО:
|
72
295
|
100
|
136
520
|
100
|
238
230
|
100
|
Для более полного изучения работы
Экспериментальной базы «Белоусовщина» рассмотрим основные показатели работы
предприятия представленных в таблице 2.2.
По данным таблицы можно сделать следующие
выводы:
· «Э/Б Белоусовщина» обеспечена
основными средствами
· наибольший удельный вес занимают
здания и сооружения (более 59% от общего состава)
· наибольшую долю основных средств
занимают машины и оборудование.
На конец года показатели динамики наличия
основных производственных фондов составили 136 520 млн. руб., 238 230 млн. руб.
и 276 412 млн. руб. соответственно. Исходя из данных таблицы видно, что
наращивается производство, о чем свидетельствуют увеличение показателей наличия
основных производственных фондов. Стоимость основных средств на начало года с
каждым годом возрастает, по сравнению с 2011 годом - 72 295 млн. руб.
увеличилась на 165 935млн. руб. в 2013 году.
Рассчитаем среднегодовую стоимость основных
производственных фондов за 2011-2013 гг:
Также по данным таблицы можно рассчитать
показатели фондоемкости и фондоотдачи по следующим формулам

(2.1) 
где: ВП - стоимости валовой
продукции.
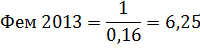
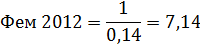
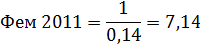
Таким образом, в 2011 году фондоёмкость
составила - 7,14, в 2012 году - 7,14, в 2013 году - 6,25. По сравнению с 2012
годом фондоёмкость в 2013 году уменьшилась на 0,89. Фондоотдача за данные годы
составила - 0,14, 0,14 и 0,16, что свидетельствует о том, что она значительно
не изменялась.
Таблица 2.3 - Основные технико-экономические
показатели работы «Э/Б «Белоусовщина» 2011-2013 гг
|
Показатели
|
Значение
|
Темп
роста, %
|
|
2011
г.
|
2012
г.
|
2013
г.
|
2012
г. к 2011 г.
|
2013
г. к 2012 г.
|
|
1.Годовой
объем производства в стоимостном выражении (в действ. ценах), млн. руб.
|
14662
|
26475
|
42022
|
180,56
|
1,58р
|
|
2.
Годовой объем производства в стоимостном выражении (в сопост. ценах), млн.
руб.
|
29677
|
52646
|
65467
|
177,39
|
124,35
|
|
3.
Затраты на производство, млн. руб.
|
28629
|
52386
|
65809
|
182,98
|
1,25р
|
|
4.
Среднесписочная численность работников, чел.
|
178
|
169
|
181
|
94,94
|
107,10
|
|
5.
Фонд оплаты труда, млн. руб.
|
3808
|
7722
|
9831
|
202,78
|
127,31
|
|
6.
Выручка от реализации товаров, продукции, работ, услуг, млн. руб.
|
18006
|
34581
|
44831
|
192,05
|
129,64
|
|
7.
Себестоимость реализованной продукции, товаров услуг, млн. руб.
|
15130
|
29270
|
38691
|
193,45
|
132,18
|
|
8.
Прибыль от реализации, млн. руб.
|
972
|
2127
|
8144
|
2,18р
|
3,82р
|
|
9.
Рентабельность продаж, %
|
Х
|
4,95
|
5,66
|
Х
|
114,34
|
Примечание - Источник собственная разработка.
В «Э/Б Белоусовщина» заметен рост показателей. К
примеру, годовой объем производства в 2011 году составлял 14662 млн. руб., а в
2013 году показатель имел значение 42 022 млн. руб. Фонд оплаты труда также
значительно увеличился на 202,78% по отношению 2012 к 2011 году и на 127,31% по
отношению 2013 к 2012 году.
Рассчитаем рентабельность себестоимости по
формуле:

(2.2)
Также рассчитаем рентабельность от
реализации по формуле:
Рентабельность=Прибыль/Выручка от
реализации (2.3)
Проанализируя показатели
рентабельности от реализации и по себестоимости, можно утверждать, что
рентабельность увеличивается из года в год. Этому свидетельствуют увеличения
показателей.
Выручка от посевов зерновых культур на
предприятии с каждым годом увеличивается. Более детально это показано в таблице
2.4.
Из таблицы 2.4 заметно, что
животноводство является для предприятия более прибыльным по сравнению с
растениеводством. По животноводству наиболее прибыльным является производство,
и продажа цельного молока, что составляет 73% в среднем за 3 года по
животноводству. В растениеводстве наибольшую прибыль приносит предприятию
производство и продажа зерновых и зернобобовых культур, что составляет 34% в
среднем за 3 года. Второе место занимает картофель - 21%, что также является не
малоприбыльным показателем.
Таблица 2.4 - Размер товарной
сельскохозяйственной продукции в 2011-2013 гг
|
Отрасли,
вид продукции
|
Денежная
выручка
|
|
|
2011
г. Сумма, млн. руб.
|
2011
г. в % к итогу
|
2012
г. Сумма, млн. руб.
|
2012
г. в % к итогу
|
2013
г. Сумма, млн. руб.
|
2013
г. в % к итогу
|
В
среднем за 3 года, %
|
|
|
Растениеводство
|
|
|
Растениеводство
всего Зерновые и зернобобовые
|
1
738
|
36,1
|
5610
|
23,1
|
10381
|
44,0
|
34,4
|
|
|
Злаковые
|
1
738
|
23,04
|
3
177
|
13,09
|
7
064
|
29,94
|
22,02
|
|
|
Тритикале
|
581
|
12,08
|
2433
|
10,0
|
3100
|
13,1
|
11,7
|
|
|
Горох
и пелюшка
|
4
|
0,08
|
1992
|
8,2
|
217
|
0,9
|
3,1
|
|
|
Люпин
|
45
|
0,9
|
1800
|
7,4
|
Х
|
Х
|
Х
|
|
|
Рапс
|
603
|
12,5
|
114
|
0,5
|
2382
|
10,1
|
7,7
|
|
|
Картофель
|
1
643
|
34,1
|
1949
|
8,0
|
5025
|
21,3
|
21,2
|
|
|
Другая
продукция
|
825
|
17,1
|
11351
|
46,8
|
5807
|
24,6
|
29,5
|
|
|
Всего
по хозяйству
|
4
809
|
100
|
24278
|
100
|
23595
|
100
|
100
|
|
|
Животноводство
|
|
|
Продукция
Животноводства в том числе: Продано на мясо (в живой массе): Крупный рогатый
скот
|
2
499
|
22,5
|
4
643
|
20,9
|
4
068
|
20,2
|
21,2
|
|
|
Продано
на племенные цели и прочее (живая масса): КРС
|
481
|
4,3
|
1
362
|
6,1
|
1
498
|
7,4
|
6,0
|
|
Животноводство
|
|
Лошади
|
71
|
0,6
|
20
|
0,1
|
Х
|
Х
|
Х
|
|
Молоко
цельное
|
8
031
|
72,4
|
16
228
|
72,9
|
14
545
|
72,2
|
72,5
|
|
Другая
продукция животноводства
|
3
|
0,03
|
2
|
0,01
|
2
|
0,01
|
0,01
|
|
Итого
по животноводству
|
11
085
|
100
|
22
255
|
100
|
20
133
|
100
|
100
|
|
Итого
по хозяйству
|
15
894
|
100
|
46
533
|
100
|
43
728
|
100
|
100
|
|
|
|
|
|
|
|
|
|
|
|
|
|
|
|
|
Примечание - Источник: [годовые отчёты
предприятия]
В таблице 2.5 представлены основные показатели
эконмической эффективности трудовых ресурсов
Таблица 2.5 - Показатели экономической
эффективности использования трудовых ресурсов
|
Показатель
|
Ед.
изм.
|
2011
год
|
2012
год
|
2013
год
|
Отклонение
+,-
|
Темп
роста (снижение), %
|
|
|
|
|
|
2012г
к 2011г
|
2013г
к 2012г
|
2012г
к 2011г
|
2013г
к 2012г
|
|
1.Стоимость
валовой продукции в сопоставимых ценах, в том числе:
|
млн.
руб.
|
14662
|
26457
|
42022
|
11795
|
15565
|
180,08
|
158,83
|
|
растениеводство
|
млн.
руб.
|
8193
|
14570
|
19565
|
6377
|
4995
|
177,83
|
134,28
|
|
животноводство
|
млн.
руб.
|
6469
|
11905
|
22457
|
5436
|
10552
|
184,03
|
188,63
|
|
2.Среднегодовая
численность работников всего
|
чел.
|
178
|
169
|
181
|
-9
|
12
|
94,94
|
107,10
|
|
3.Отработано
чел/час, всего в том числе:
|
чел/час
|
Х
|
401
|
408
|
Х
|
7
|
Х
|
101,74
|
|
растениеводство
|
чел/час
|
Х
|
164
|
167
|
Х
|
3
|
Х
|
101,82
|
чел/час
|
Х
|
237
|
241
|
Х
|
4
|
Х
|
101,68
|
|
4.Выход
продукции на 1 чел/час, в том числе:
|
млн.
руб.
|
Х
|
66022
|
102995
|
Х
|
36973
|
Х
|
156,00
|
|
растениеводство
|
млн.
руб.
|
Х
|
88841
|
117156
|
Х
|
28315
|
Х
|
131,87
|
|
животноводство
|
млн.
руб.
|
Х
|
50232
|
93183
|
Х
|
42951
|
Х
|
185,50
|
|
|
|
|
|
|
|
|
|
|
|
Примечание - Источник собственная разработка.
Изучая показатели экономической эффективности
использования трудовых ресурсов по таблице 2.5 мы видим, что среднегодовая
численность работников изменилась в сторону уменьшения на 9 человек в 2012 году
и увеличилась на 12 человек в 2013 году. Наблюдается также рост в 2012 году
относительно 2011 года на стоимости валовой продукции в сопоставимых ценах на
11795 млн. рублей и рост в 2013 году по сравнению с 2012 годом на 15565 млн.
рублей, в том числе в растениеводстве по отношению 2012 к 2011 году - 6377 млн.
руб., 2013 к 2012 - соответственно на 2621 млн. рублей, а в животноводстве на
2012 к 2011 году - 5436 млн. рублей и 10552 млн. рублей. Выход продукции на 1
чел/час, по отношению 2013 к 2012 году, увеличился на 185,50%.
Проанализируем производственный потенциал
предприятия.
Таблица 2.6 - Структура земельных фондов и
сельскохозяйственных угодий
|
Показатели
|
2011г.,
га
|
Уд.
вес,%
|
2012г.,
га
|
Уд.
вес,%
|
2013г.,
га
|
Уд.
вес,%
|
|
Общая
земельная площадь
|
13
731
|
100
|
13
713
|
100
|
13
713
|
100
|
|
Площадь
леса
|
4
789
|
34,9
|
4
789
|
34,9
|
4
789
|
34,9
|
|
Пруды
и водоемы
|
4
475
|
32,6
|
4
466
|
32,6
|
4
466
|
32,6
|
|
Приусадебные
участки, коллективные сады и огороды работников хозяйств
|
2
935
|
21,4
|
2
924
|
21,3
|
2
924
|
21,3
|
|
Наличие
орошаемых земель
|
452
|
3,3
|
454
|
3,3
|
808
|
5,9
|
|
Наличие
осушенных земель
|
1
080
|
7,9
|
1
080
|
7,9
|
726
|
5,3
|
Примечание - Источник: [годовые отчёты
предприятия]
По результатам таблицы 2.6 можно сделать вывод о
том, что общая земельная площадь предприятия за 3 года практически не
изменилась.
Таблица 2.7 - Структура затрат на производство
продукции в ОАО «Э/Б «Белоусовщина»
|
Элементы
затрат, млн. руб.
|
2011
|
Удельный
вес, %
|
2012
|
Удельный
вес, %
|
2013
|
Удельный
вес, %
|
|
Материальные
затраты
|
20
533
|
69,2
|
37
017
|
67,2
|
43
391
|
63,1
|
|
Затраты
на оплату труда
|
3
808
|
12,8
|
7
722
|
14,0
|
9
831
|
14,3
|
|
Отчисления
на социальные нужды
|
1
129
|
3,8
|
2
162
|
3,9
|
2
587
|
3,8
|
|
Амортизация
основных средств и нематериальных активов
|
3
994
|
13,5
|
7
857
|
14,3
|
12
708
|
18,5
|
|
Прочие
затраты
|
213
|
0,7
|
298
|
0,5
|
259
|
0,4
|
|
Итого
затрат
|
29
677
|
100
|
55
056
|
100
|
68
776
|
100
|
Примечание - Источник собственная разработка.
Наибольший удельный вес в структуре затрат на
производство продукции составляют материальные затраты, а именно сырье,
топливо, электрическая энергия, тепловая энергия. Прослеживается их постепенное
увеличение от 20 533 млн. руб. в 2011 году до 43 391 млн. руб. в 2013 году,
соответственно 69,2% и 63,1% удельного веса от общей структуры затрат. Также
увеличились и затраты на амортизацию основных средств и нематериальных активов,
по сравнению с 2011 годом на 2013 год они увеличились с 3 994 млн. руб. до 12
708 млн. руб.
Чтобы сделать анализ финансовых результатов
работы предприятия следует выделить наиболее важные показатели экономической
эффективности:
выручку от реализации продукции;
прибыль от реализации продукции;
рентабельность реализованной продукции.
Деятельность предприятия оказывает большое
влияние на платежеспособность и финансовую устойчивость, которые являются
важными характеристиками финансово-экономической деятельности предприятия в
условиях рыночной экономики. Для определения реального положения РСУП «Э/Б
«Белоусовщина» необходимо рассмотреть показатели платежеспособности, которые
отражены в таблице 2.8.
Согласно данным таблицы, в РСУП «Э/Б
«Белоусовщина» с каждым годом улучшается обеспеченность собственными оборотными
средствами, то есть задолженность уменьшается. Коэффициент обеспеченности
собственными средствами характеризует недостаточность у предприятия собственных
оборотных средств, необходимых для финансовой устойчивости. Относится к группе
коэффициентов финансовой устойчивости предприятия. В данном случае он говорит о
необеспеченности собственными оборотными средствами.
Таблица 2.8 - Анализ платежеспособности и
финансового состояния предприятия
|
Показатель
|
2011
|
2012
|
2013
|
Норматив
|
|
|
Наличие
собственных оборотных средств, млн. руб.
|
-22
386
|
22
998
|
26
268
|
-
|
|
|
Коэффициент
обеспеченности собственными оборотными средствами
|
-0,89
|
0,7
|
0,62
|
>=0,3
|
|
|
Коэффициент
текущей ликвидности
|
7,65
|
3,37
|
2,65
|
>=1,7
|
|
Коэффициент
обеспеченности финансовых обязательств
|
0,64
|
0,42
|
0,36
|
≤
0,85
|
|
Коэффициент
платежеспособности
|
0,53
|
0
|
0
|
≥
1
|
Примечание - Источник собственная разработка.
Коэффициент текущей ликвидности характеризует
общую обеспеченность организации собственными оборотными средствами для ведения
хозяйственной деятельности и своевременного погашения срочных обязательств
организации. Коэффициент текущей ликвидности показывает, что предприятие было
ликвидным за все 3 года, т.е. общая сумма текущих активов предприятия была
меньше краткосрочных обязательств (текущих пассивов), необходимых для погашения
обязательств.
Коэффициент платежеспособности показывает, что
предприятие является на протяжении 2011-2013 гг. неплатежеспособным, при этом
данный показатель опустился до отметки 0 в 2012 году и оставался неизменным в
2013 году.
.3 Оценка стратегических позиций предприятия
Проанализируем функциональные стратегии Э/Б
«Белоусовщина» и определим стратегию предприятия.
Для этого исследуем четыре важнейших подсистем
предприятия: маркетинг; финансы; производство; персонал.
. Анализ подсистемы маркетинг.
Подсистема маркетинг направлена на выявление,
обслуживание, удовлетворение потребительских нужд и запросов для решения целей,
стоящих перед предприятием. Она осуществляет анализ, планирование, претворение
в жизнь и контроль над проведением мероприятий, рассчитанных на установление,
укрепление и поддержание связей с целевыми покупателями.
В настоящее время в Э/Б «Белоусовщина» маркетинг
осуществляется в соответствии с концепцией совершенствования производства,
однако наблюдается его переход непосредственно на концепцию маркетинга, цель
которой - выявление с помощью исследований запросов целевого рынка и обеспечение
их желаемого удовлетворения. Проанализируем деятельность подсистемы маркетинг
Э/Б «Белоусовщина» по отдельным показателям.
.1 Занимаемая доля рынка.
Э/Б «Белоусовщина» имеет большое количество
ассортимента продаваемой продукции. Наибольшие продажи имеют молоко, зерно и
зернобобовая продукция.
Определим емкость рынка по данным видам
продукции. Емкость рынка - это возможный объем реализации товара / услуги при
определенном уровне цен. Формула для расчета выглядит следующим образом:

(2.4)
где Е - емкость рынка
К - количество товара
Ц - цена товара
За 2013 год было продано 1 818,1 т
молока и зерна. Стоимость на данные виды продукции за тонну составляла 8 млн.
руб. и 2 млн. руб. соответственно.
Рассчитаем емкость рынка:
Молоко

.
Зерновые и зернобобовые

.
Определим долю рынка по формуле:

(2.5)
где Др - доля рынка, %
Qн - объем
продаж нашего предприятия
Qобщ - общий
объем продаж на рынке
Рассчитаем долю рынка по
производству молока. Производство животноводства на Э/Б «Белоусовщина» в 2013
году составило 20 133 млн. руб., а продажи молока - 14 544,8 млн. руб.
Рассчитаем долю рынка по
производству зерна и зернобобовых, производство растениеводства - 23 595 млн.
руб., а продажи зерна и зернобобовых составили 10 381 млн. руб.
Представим данные о ёмкости
внутренних рынков сбыта и продажах изделий предприятия на них в табл. 2.9.
Таблица 2.9 - Данные о ёмкости
внутренних рынков сбыта и продажах изделий Э/Б «Белоусовщина»
|
Вид
изделия
|
Ёмкость
рынка (оценочно) млн.руб.
|
Продажи,
т.
|
Доля
рынка, %
|
|
1.
Молоко
|
14
544,8
|
1
454,48
|
72,24
|
|
2.
Зерновые и зернобобовые
|
10
381
|
5
190,5
|
43,99
|
По данным таблицы 2.9 видно, что на Э/Б
«Белоусовщина» лидером по продажам на внутреннем рынке является молоко, и
занимает почти половину рынка зерна и зернобобовых.
В таблице 2.10 приведены сравнительные
характеристики продукции Э/Б «Белоусовщина»
Таблица 2.10 - Некоторые характеристики
выпускаемой продукции в сравнении с аналогами
|
Вид
продукции
|
Отпускная
цена, руб.
|
Аналог
|
|
1.
Молоко
|
10
000
|
11
000
|
|
2.
Зерновые и зернобобовые
|
2
000
|
2
100
|
Проанализировав таблицу 2.10, можно сделать
вывод о том, что отпускная цена имеет не значительную разницу, чем цена
аналогичной продукции. Цена на молоко меньше на 18%, а на зерновые и
зернобобовые - на 35% по сравнению с аналогичными товарами.
.2 Разнообразие и качество ассортимента.
Э/Б «Белоусовщина» специализируется на
сельскохозяйственной продукции. В основном специализируется на молочной
продукции. Также большое место занимает продажа КРС в живом и убойном весе.
Специализируется предприятия на разведении лошадей. Растениеводство имеет значительное
количество показателей выращиваемой продукции: рожь, люпин, картофель, рапс,
кукуруза, тритикале, пшеница и другие.
.3 Изменение потребностей и запросов.
Потребности населения имеют свойство меняться.
Однородность ассортимента продукции предприятия влечет за собой уменьшение
клиентов, в том числе и постоянных. Следует разнообразить продукцию, к примеру,
выпуск молока для различных сегментов рынка. Это позволит «удержать»
покупателей.
.4 Маркетинговые исследования.
Маркетинговые исследования - неизбежная работа
на каждом предприятии. Необходимость этих исследований связана, прежде всего,
со сбором, обработки и анализа данных работы других предприятий.
.5 Сбыт, реклама, продвижение товара.
Продукция Э/Б «Белоусовщина», в основном
реализуется физическим лицам, а также крестьянским фермерским хозяйствам.
Основная масса продукции реализуется в качестве сырья для дальнейшей
переработки молокозаводам, плодовоовощным заводам, мясокомбинатам и др.
Основными направлениями предприятия в области
товародвижения является:
1 разделение
продукции на сегменты рынка;
2 создание
баз оптовой торговли на территории России и других стран ближнего зарубежья;
3 создание
и расширение дилерской сети;
4 участие
в конференциях;
5 проведение
экскурсий;
6 проведение
акций.
С целью увеличения объёмов сбыта Э/Б
«Белоусовщина» осуществляет:
7 развитие
всех форм рекламной деятельности;
8 участие
в выставках и ярмарках как на местном рынке, так и за его пределами;
9 проведение
комплекса мероприятий по поддержанию высокого престижа фирмы и торговой марки.
Таким образом, можно выделить следующие сильные
и слабые стороны маркетинговой деятельности на предприятии (табл. 2.11).
Таблица 2.11 - Сильные и слабые стороны
маркетинговой деятельности
|
Сильные
стороны
|
Слабые
стороны
|
|
Своевременное
выявление новых потребностей рынка.
|
Быстрое
изменение потребностей населения
|
. Анализ функциональной подсистемы - финансы.
Финансовая деятельность Э/Б «Белоусовщина»
осуществляется в соответствии с финансовым планом предприятия.
Анализ финансовой деятельности основывается на
расчёте показателей оценки финансово-хозяйственной деятельности с
использованием данных баланса предприятия и отчёта о прибылях и убытках.
Основные показатели финансового состояния
представлены в таблицах 2.3, 2.5, 2.8.
Исходя из анализов данных таблиц, можно выделить
следующие сильные и слабые стороны финансово-хозяйственной деятельности
предприятия.
Таблица 2.12 - Сильные и слабые стороны
финансово-хозяйственной деятельности
|
Сильные
стороны
|
Слабые
стороны
|
|
Предприятие
обеспечено собственными оборотными средствами
|
Предприятие
является не платежеспособным
|
. Анализ функциональной подсистемы -
производство.
Техническая база хозяйства представлена 27 ед.
тракторов, 27 ед. автомобилей и рядом другой сельскохозяйственной техники.
Что касается организационно-технического уровня,
то Э/Б «Белоусовщина» имеет ряд недостатков. Оборудование, техника используемая
на предприятии устаревшие. Существует необходимость в развитии инновационной
деятельности. Устаревшее оборудование требует больших производственных затрат,
ремонтно-технических затрат, что приводит к уменьшению конкурентных преимуществ
на рынке.
Основные сильные и слабые стороны
производственной подсистемы приведены в таблице 2.13.
Таблица 2.13 - Анализ сильных и слабых сторон
производственного процесса Э/Б «Белоусовщина»
|
Сильные
стороны
|
Слабые
стороны
|
|
Оснащенность
необходимым оборудованием
|
Устаревшее
оборудование Большие затраты на производство
|
. Анализ функциональной подсистемы - персонал.
Структура и обеспеченность хозяйства трудовыми
ресурсами в 2011-2013 гг представлена в таблице 2.1.
Таблица 2.14 - Основные технико-экономические
показатели работы «Э/Б Белоусовщина» 2011-2013 гг
|
Показатели
|
Значение
|
Темп
роста, %
|
|
2011
г.
|
2012
г.
|
2013
г.
|
2012
г. к 2011 г.
|
2013
г. к 2012 г.
|
|
Среднесписочная
численность работников, чел.
|
178
|
169
|
181
|
94,94
|
107,10
|
|
Фонд
оплаты труда, млн. руб.
|
3808
|
7722
|
9831
|
202,78
|
127,31
|
Из таблицы 2.14 заметно, что темп роста по
данным показателям не стабилен. Это связано с резким увеличением фонда оплаты
труда в 2012 году.
Предприятие осуществляет повышение квалификации
переподготовку кадров по всем видам деятельности. Большая часть рабочих
отправленных на переподготовку связана с внедрением новшеств. Т.к. существует
необходимость в освоении новой техники и оборудования. На предприятии работают
с разными уровнями образования: среднее, высшее, среднее специальное. Ежегодно
предприятие принимает молодых специалистов для прохождения практики в течение 2
лет после получения диплома о среднем специальном образовании агроном,
электрик, механик.
Основные сильные и слабые стороны персонала
приведены в таблице 2.15.
Таблица 2.15 - Анализ сильных и слабых сторон
организации труда персонала
|
Сильные
стороны
|
Слабые
стороны
|
|
Наличие
необходимого числа работников Увеличение фонда оплаты труда Сохранение
стабильной занятости на предприятии Постоянное движение молодых специалистов
|
Необходимость
в постоянной переподготовке кадров Не большое количество специалистов с
высшим образованием
|
. Факторы внутренней среды организации.
На основе результатов анализа внутренней среды
сделаем оценку значения факторов внутренней среды для деятельности предприятия
при помощи матрицы «вероятность усиления фактора - воздействие фактора на
предприятие». Результаты анализа сведены в таблице 2.16.
Таблица 2.16 - Оценка факторов внутренней среды
|
Факторы
внутренней среды
|
Значение
|
|
Маркетинг
|
|
1.
Занимаемая доля рынка
|
Н
|
|
2.
Разнообразие и качество ассортимента
|
Н
|
|
3.
Маркетинговые исследования
|
С
|
|
Финансы
|
|
1.
Наличие собственных оборотных средств и платёжеспособность предприятия
|
С
|
|
2.
Оборачиваемость основного капитала
|
С
|
|
Производство
|
|
1.
Прогрессивность оборудования
|
Н
|
|
2.
Загрузка производственных мощностей
|
В
|
|
Персонал
|
|
1.
Профессионализм персонала
|
С
|
|
2.
Уровень занятости
|
В
|
|
3.
Уровень заработной платы
|
С
|
|
4.
Образование работников
|
С
|
Наиболее значимые факторы внутренней среды
определяют сильные и слабые стороны приведены в таблице 2.17.
Таблица 2.17 - SWOT
- анализ внутренней среды ОАО Э/Б «Белоусовщина»
|
Сильные
стороны
|
Слабые
стороны
|
|
Своевременное
выявление новых потребностей рынка. Предприятие обеспечено собственными
оборотными средствами Увеличение фонда оплаты труда
|
Быстрое
изменение потребностей населения Предприятие является не платежеспособным
Устаревшее оборудование
|
|
Наличие
необходимого числа работников Сохранение стабильной занятости на предприятии
Постоянное движение молодых специалистов Оснащенность необходимым
оборудованием
|
|
|
|
Изучив каждую группу факторов внутренней среды
предприятия можно сделать вывод о том, что стратегия Э/Б «Белоусовщина»
направлена на обеспечение государства, населения и других организаций
необхолимой продукцией животноводства и растениеводства. Значит стратегия
производства присуща для Э/Б «Белоусовщина».
Определим стратегическое положение предприятия
методом SPACE. Метод SPACE представляет собой комплексный подход,
предназначенный для диагностирования ситуации и выбора варианта стратегии для
компаний.
Данный метод используется для оценки
привлекательности бизнеса и конкурентоспособности компании на рынке и основан
на построении матрицы стратегического положения и оценки действий компании.
Он позволяет установить стратегическое положение
предприятия на основе двух групп факторов: внутреннего состояния предприятия и
внешнего положения предприятия.
Каждая из этих двух групп факторов состоит из
множества переменных. Поэтому осуществляется их упорядочение в группы и
присвоение им конкретных оценок в рамках условно принятой шкалы.
Метод SPACE заключается в том, что для
предприятия оцениваются четыре группы факторов: факторы стабильности обстановки
(ES), факторы промышленного потенциала (IS), факторы конкурентных преимуществ
(СА), факторы финансового потенциала (FS). Каждый фактор оценивается экспертно
в шкале от 0 до 6.
Оценив значение каждого фактора, необходимо
вычислить среднее значение факторов внутри каждой из групп, а затем координаты
стратегического состояния предприятия на оси координат по формуле:
x = CA-(6-IS): y = FS-(6-ES)
В результате получится четырехугольник одного из
видов.
Если максимально удаленной от центра координат
является сторона в квадранте FS - IS , то компания находится в агрессивном
стратегическом состоянии. Если максимально удалена сторона в квадранте IS - ES
, то компания находится в конкурентном стратегическом состоянии. Если
максимально удалена сторона в квадранте CA - FS , то компания находится в
консервативном стратегическом состоянии. Если максимально удалена сторона в
квадранте CA - ES , то компания находится в оборонительном стратегическом
состоянии.
В зависимости от стратегического состояния,
наиболее целесообразными являются следующие группы механизмов стратегии:
Агрессивное - это состояние типично в привлекательной
отрасли промышленности с незначительной неопределенностью обстановки.
Рисунок 2.1 - Графическое представление
различных стратегических состояний
Компания получает конкурентные преимущества,
которые она может сохранить и приумножить с помощью финансового потенциала.
Угрозы незначительны, необходимо сконцентрироваться на обеспечении интересов.
Механизмы направлены на:
расширение производства и продаж;
ценовую войну с конкурентами;
освоение новых секторов рынка;
продвижение брендов.
Конкурентное - состояние характерно для
привлекательной отрасли. Организация получает конкурентные преимущества в
относительно нестабильной обстановке. Критическим фактором является финансовый
потенциал. Необходимо парировать угрозы, связанные с потерей финансирования.
Основные механизмы:
поиск финансовых ресурсов;
развитие сбытовых сетей.
Консервативное - состояние обычно наблюдается на
стабильных рынках с низкими темпами роста. В этом случае усилия концентрируются
на финансовой стабилизации. Важнейшим фактором является конкурентоспособность
продукта. Основные механизмы:
снижение себестоимости при повышении качества
товара;
сокращение производства и выход на более
перспективные рынки.
Оборонительное - такое состояние возникает в
ситуации, когда организация работает в привлекательной отрасли, но ей недостает
конкурентоспособности продукции и финансовых средств. Ключевой стратегией
является:
особое внимание механизмам парирования угроз;
уход с рынка.
Оценим стратегическое состояние (исходную
кейс-ситуацию) организации, выбранной нами методом SPACE в баллах по шкале от 0
до 10.
Таблица 2.18
- SPACE-анализ
предприятия
|
№п/п
|
Критерий
|
Экспертная
оценка
|
|
|
Критерий
финансовой силы предприятия
|
|
|
1
|
Себестоимость
продукции
|
низкая
|
5
|
высокая
|
|
|
2
|
Динамика
прибыли
|
низкая
|
7
|
высокая
|
|
|
3
|
Уровень
финансовой устойчивости
|
несбалансированная
|
6
|
сбалансированная
|
|
|
4
|
Затраты
предприятия
|
Малые
|
6
|
Большие
|
|
|
5
|
Поток
средств
|
Малый
|
5
|
Большой
|
|
|
6
|
Собственный
капитал
|
Малый
|
8
|
Большой
|
|
|
Итого
|
37
|
|
|
|
Критерии
конкурентоспособности предприятия
|
|
|
1
|
Доля
предприятия на рынке
|
Малая
|
7
|
Большая
|
|
|
2
|
Качество
продукции
|
Низкое
|
9
|
высокое
|
|
|
3
|
Связи
с потребителями
|
Низкие
|
8
|
Высокие
|
|
|
4
|
Конкурентоспособность
продукции
|
Низкая
|
6
|
Высокая
|
|
|
5
|
Стадия
жизненного цикла продукции
|
Начальный
|
6
|
Конечный
|
|
|
6
|
Цикл
замены продукта
|
Фиксированный
|
5
|
Сменяемый
|
|
|
Итого
|
41
|
|
|
|
Критерии
привлекательности отрасли
|
|
|
1
|
Потенциал
роста
|
Низкий
|
4
|
Высокий
|
|
|
2
|
Потенциал
прибыли
|
Низкий
|
5
|
Высокий
|
|
|
3
|
Финансовая
стабильность
|
Низкая
|
6
|
Высокая
|
|
|
4
|
Уровень
технологии
|
Простая
|
4
|
Сложная
|
|
|
5
|
Степень
использования ресурсов
|
Низкие
|
5
|
Высокие
|
|
|
6
|
Производительность,
|
Малая
|
6
|
Большая
|
|
|
Итого
|
30
|
|
|
Критерии
стабильности отрасли
|
|
1
|
Уровень
инфляции
|
Низкий
|
4
|
Высокий
|
|
2
|
Технологические
изменения
|
Мало
|
5
|
Много
|
|
3
|
Уровень
занятости
|
Низкая
|
3
|
Высокая
|
|
4
|
Давление
конкурентов
|
Слабое
|
6
|
Сильное
|
|
5
|
Стабильность
прибыли
|
Низкая
|
7
|
Высокая
|
|
6
|
Стабильность
продаж
|
Низкая
|
7
|
Высокая
|
|
Итого
|
32
|
|
|
|
|
|
|
|
|
Исходя из проставленных экспертных оценок,
составляется график и их значения отмечаются на координатных осях модели SPACE-метода.
Соединение полученных точек дает
четырехсторонний многоугольник, отображающий стратегическое состояние
предприятия.
Рис.2.2 - Графическое представление состояния
предприятия
Исходя из полученного графика, можно сделать
вывод о том, что предприятие находится в консервативном состоянии, так как
важнейший фактор является конкурентоспособность продукции. Отрасль является
конкурентоспособной (сумма критериев 41 балл). Критерий финансовой системы
имеет оценку 37 баллов. Критерий стабильности отрасли получил оценку 32 балла,
и наконец, критерий привлекательности был оценен в 30 баллов. Суммарная оценка
критериев равна 140 баллов. На основании суммарной оценки, можно считать, что
предприятие находится на низком уровне по всем критериям SPACE-анализа.
Это связано, прежде всего, с тем, что работа предприятия основывается на
«устаревших» принципах. Ему необходимо улучшать свою деятельность и стремиться
к совершенствованию инновационной стратегии.
3 РАЗРАБОТКА ПРЕДЛОЖЕНИЙ ПО СОВЕРШЕНСТВОВАНИЮ
ИННОВАЦИОННОЙ СТРАТЕГИИ ПРЕДПРИЯТИЯ (НА ПРИМЕРЕ РСУП Э/Б БЕЛОУСОВЩИНА)
3.1 Система мероприятий по усовершенствованию
работы Э/Б «Белоусовщина»
На сегодняшний день предприятие «Э/Б
Белоусовщина» стабильно приносит доход. Тем не менее, предприятию необходимо
постоянно совершенствовать свою деятельность во всех областях. Это есть
недостаток в инновационной деятельности предприятия. При формировании
инновационной деятельности в «Э/Б Белоусовщина» необходимо учитывать такие
факторы, как новые продукты (услуги), новые технологии, новые ресурсы
(материальные, информационные, интеллектуальные и др.), новые рынки и другие
факторы.
Разработаем ряд мероприятий по внедрению
инновационной деятельности на предприятии.
Существуют определенные нормы потребления
продукции, отображенные в таблице 3.1.
Таблица 3.1 - Нормы потребления, кг
|
Вид
продукции
|
Норма
потребления
|
Потребление
в 2013 году
|
Отклонение
от нормы
|
|
1
|
2
|
3
|
4
|
|
Мясо
|
80
|
88
|
+8
|
|
Молоко
|
393
|
281
|
-112
|
|
Яйцо,
шт
|
294
|
310
|
+16
|
|
Рыба
|
18,2
|
13,1
|
-5,1
|
|
Сахар
|
33
|
41
|
+8
|
|
Растительное
масло
|
13,2
|
17,4
|
+4,2
|
|
Овоще-бахчевые
культуры
|
124
|
145
|
+21
|
|
Плоды
и ягоды
|
78
|
64
|
-14
|
|
Картофель
|
170
|
186
|
+16
|
|
Хлебные
изделия
|
105
|
85
|
-20
|
|
Белки
|
88
|
97
|
+9
|
|
Жиры
|
105
|
96
|
-9
|
|
Углеводы
|
392
|
420
|
+28
|
Исходя из таблицы 3.1, можно сделать вывод о
том, что не все виды продукции в изобилии потребляет население. Примером тому
служит молоко. По данным таблицы в 2013 году отклонения от нормы составили 112
кг на душу населения. Это связано, прежде всего, с ценой на данную продукцию.
Цена во многом зависит от затрат на производство, себестоимости продукции и от
прочего.
Сформируем мероприятие, которое позволит
уменьшить цену на молоко и уменьшить отклонение от нормы потребления.
Замена доильного оборудования.
«Э/Б Белоусовщина» имеет все необходимое
оборудование для производства. Но у этого есть главный недостаток - оно
устаревает. В настоящее время существует множество заводов-изготовителей
нового, усовершенствованного оборудования.
В таблице 3.2 представлены сравнение технических
характеристик имеющегося на предприятии оборудования и нового доильного
аппарата.
Таблица 3.2 - Сравнительные характеристики
аппаратов
|
Показатель
|
Действующий
аппарат «Доильный аппарат АД-01 (Майга) тандем»
|
Новый
аппарат «Милка»
|
|
1
|
2
|
3
|
|
Рабочее
вакууметрическое давление, (к Па)
|
48
|
40-50
|
|
Емкость
доильного ведра, (л)
|
20
|
22,6
|
|
Напряжение,
(В)
|
220
|
220
|
|
Полезная
мощность электродвигателя, (к Вт)
|
0,75
|
0,55
|
|
Длина,
(мм)
|
750
|
1000
|
|
Ширина,
(мм)
|
440
|
390
|
|
Высота,
(мм)
|
650
|
780
|
|
Масса
нетто не более, (кг)
|
47
|
45
|
|
Производительность
(коров/ч)
|
7
|
8-10
|
|
Гарантийный
срок (мес)
|
12
|
12
|
Сравнив технические характеристики данных
доильных аппаратов, можно сделать вывод о том, что аппарат «Милка» является
более экономным в плане производительности, емкость ведра на 2,6 литра больше,
чем у действующего аппарата АД-01. Установка аппарата «Милка» во многом
повлияет на прибыль предприятия.
Рассмотрим план-проект поэтапно.
Таблица 3.3 - План-проект по замене доильного
оборудования
|
№
|
Название
этапа
|
Содержание
|
|
1
|
2
|
3
|
|
1
|
Фундаментальные
исследования
|
Детально
изучить новшества рынка.
|
|
1
|
2
|
3
|
|
2
|
Прикладные
исследования
|
Проанализировать
потребность предприятия в данном оборудовании, потенциальные возможности
предприятия по разработке продукции.
|
|
3
|
Опытно-конструкторские
работы
|
Установка
нового оборудования для промышленного производства.
|
|
4
|
Внедрение
|
Необходимо
выполнить первую пробную партию на новом оборудовании.
|
|
5
|
Рост
|
Постепенное
увеличение количества выполненных работ на данном оборудовании.
|
|
6
|
Замедление
роста
|
Предприятия-конкуренты
приобретают более усовершенствованное оборудование.
|
|
7
|
Спад
объема продаж
|
Спад
связан, прежде всего, с устареванием данного оборудования. Также изменяются
вкусы и потребности потребителей в продукции, изготовленной да «устаревшем»
оборудовании.
|
Затем, сформулируем затраты на 5 лет за замену
оборудования и представим их в таблице 3.4.
Таблица 3.4 - Затраты связанные с заменой
доильного оборудования, млн. руб.
|
№
п/п
|
Показатели
|
Сумма
|
|
1
|
2
|
3
|
|
1
|
Затраты
на приобретение основного средства
|
10
|
|
2
|
Затраты
на доставку оборудования
|
2
|
|
3
|
Затраты
на установку оборудования
|
3
|
|
4
|
Итого
объем инвестиций
|
15
|
Таблица 3.5 - Источники финансирования проекта
(на начало реализации проекта, млн. руб.)
|
№
п/п
|
Наименование
источников
|
Средства
на начало реализации проекта, млн. руб.
|
|
|
1
|
2
|
3
|
|
|
Собственные
средства
|
|
|
|
1
|
Взнос
в УК в денежной форме
|
3
|
|
|
2
|
Нераспределенная
прибыль (фонд накопления)
|
2
|
|
|
3
|
Неиспользованная
амортизация основных средств
|
3
|
|
|
4
|
Амортизация
нематериальных активов
|
|
|
5
|
Результат
продажи основных средств
|
4
|
|
|
6
|
Собственные
средства, всего (сумма стр. 1-5)
|
15
|
|
|
Заемные
и привлеченные средства
|
|
|
|
7
|
Кредиты
банков
|
-
|
|
|
8
|
Заемные
средства других организаций
|
-
|
|
|
9
|
Долевое
участие в строительстве
|
-
|
|
|
10
|
Прочие
|
-
|
|
|
11
|
Заемные
и привлеченные средства, всего
|
-
|
|
|
12
|
Предполагаемая
государственная поддержка проекта (сумма стр. 7-11)
|
-
|
|
13
|
Итого
(стр.6+стр.12)
|
15
|
Исходя из технических характеристик нового
доильного аппарата «Милка», условий содержания и нормы кормления скота, можно
предположить, как изменяться основные экономические показатели предприятия по
производству молока. Ожидаемый экономический эффект представлен в таблице 3.6.
Таблица 3.6 - Ожидаемый экономический эффект от
внедрения нового доильного аппарата «Милка» млн.руб.
|
Основные
показатели (данные за 2013 год)
|
До
введения мероприятия
|
После
введения мероприятия
|
Отклонение
|
|
Себестоимость
реализованной продукции
|
38
691
|
41
450
|
2
759
|
|
Выручка
от реализации продукции
|
44
831
|
64
580
|
19
749
|
|
Прибыль
от реализации продукции
|
8
144
|
11
300
|
3
156
|
|
Чистая
прибыль
|
7 417
|
9 480
|
2 063
|
Далее определим среднегодовой рентабельности
инвестиций в проект, взяв среднегодовую сумму чистой прибыли равной 9
480
млн. руб.

(3,1)
где ЧПп - среднегодовая сумма чистой
прибыли за период эксплуатации проекта;
ИЗ - сумма инвестиционных затрат на
реализацию инновационного проекта.
Годовая экономия Эр складывается из экономии
эксплуатационных расходов и экономии в связи с повышением производительности
труда пользователя:

(3,2)
Р1 и Р2 - соответственно
эксплуатационные расходы до и после внедрения разрабатываемой программы;
ΔРп - экономия от повышения
производительности труда дополнительных пользователей.
Оценим эффективность проекта.
Критерием эффективности создания и внедрения новых средств автоматизации
является ожидаемый экономический эффект. Он определяется по формуле:

(3,3)
Эр - годовая экономия;
Ен - нормативный коэффициент
(0.235);
Кз - капитальные затраты на
проектирование и внедрение.
Срок окупаемости от мероприятия рассчитываем по
формуле:

(3,4)
где К - капитальные вложения, т.е.
единовременные расходы на мероприятие; П - прибыль от данного мероприятия.
Срок окупаемости от замены доильного
оборудования составит:
Таким образом, срок окупаемости проекта составит
5,2 года или 62 месяца, а эффективность составит 2 857 200 руб.
Рассчитаем коэффициент приведения по формуле:

(3,5)
где:
at -
коэффициент дисконтирования текущего года;
Ek - норма
дисконта (принимается как 25%);
t - текущий
год.
Таким образом, коэффициент
приведения по годам будет соответствовать следующим значениям:


8


5
Предполагается, что внедрение предложенного
мероприятия позволит повысить эффективность деятельности Э/Б «Белоусовщина» и
повлечет за собой увеличение прибыли от реализации продукции предприятия на 28
%.
Прибыль от реализации продукции за 2013 год
составляла 44 831 000 руб. Следовательно, прирост прибыли от реализации
составит руб.:

(3,6)
Но в качестве экономического эффекта выступает
лишь чистая прибыль, остающаяся в распоряжении предприятия после уплаты налогов
на прибыль, которая составит руб.:

(3,7)
Таблица 3.7 - Расчет значений
дисконтированных денежных потоков PV
|
Период
|
2014
год
|
2015
год
|
2016
год
|
2017
год
|
2018
год
|
Итого
|
|
Чистый
денежный поток, NCF (млн.руб.)
|
15
|
-
|
-
|
-
|
-
|
15
|
|
Ставка
дисконтирования, %
|
25
|
25
|
25
|
25
|
25
|
-
|
|
Дисконтный
денежный поток, PV (млн.руб.)
|
12
|
9,6
|
7,68
|
6,144
|
4,9152
|
40,3392
|
Рассчитаем дисконтированные денежные потоки:


;

;

;

Расчет значения NPV
Чистый денежный поток - данные из
отчета о движении денежных средств;
Инвестиции на мероприятие - 15
млн.руб.;
Ставка дисконтирования 25% годовых
для всех периодов;
Шаг расчета - один год.
Таблица 3.8 - Значение показателя
NPV
|
Значение
показателя
|
Комментарий
|
|
NPV
> 0
|
Положительное
значение чистого дисконтированного дохода показывает насколько возрастет
стоимость вложенного капитала в результате реализации проекта.
Предпочтительным считается проект с наибольшим значением показателя NPV.
|
|
NPV
= 0
|
Значение
чистого дисконтированного дохода равное 0 показывает, что проект не принесет
ни прибыли и не убытки. Следовательно, проект отклоняется.
|
|
NPV
< 0
|
Отрицательное
значение чистого дисконтированного дохода показывает какие убытки потерпит
инвестор в результате реализации проекта. Следовательно, проект отклоняется.
|
В данном случае NPV > 0 значит, что данное
вложение капитала является эффективным.
Проведя детальный анализ и изучив все показатели
можно сделать следующие выводы о том, что если заменить действующий доильный
аппарат «АД-01 (Майга) тандем» на усовершенствованный доильный аппарат «Милка»
то изменится ряд показателей:
. За счет большего надоя молока за
единовременное подключение аппарата уменьшатся издержки производства и
себестоимость продукции;
. Надой молока с одной коровы увеличится
за счет улучшения технических характеристик оборудования;
. Поскольку себестоимость и издержки
производства снижаются - снижается и цена на молочную продукцию;
. Снижение цены на данный продукт
способствует его большей окупаемости со стороны потребителей.
. Следовательно, увеличится норма
потребления молока.
Данное мероприятие является прибыльным для
предприятия, а также позволяет потребителям приобретать молоко по более
доступным ценам.
На сегодняшний день в системе кормления, Э/Б
«Белоусовщина» имеет ряд недостатков первый из которых - «устаревший» способ
кормления.
Сформулируем второе мероприятие по внедрению
инноваций на предприятие - замена оборудования подачи корма.
Под «устаревшим» понимается ручной вид
кормления. В основу данного вида ложится применение деревянных металлических
корыт длинной на весь коровник. В настоящее время на многих АПК установлено
механизированное кормление. Оно представляет собой конвейер, который постоянно
движется вдоль загона с животными. Для более детального изучения рассмотрим
таблицу 3.9.
Таблица 3.9 - Сравнительные характеристики видов
кормления
|
Мероприятие
|
Ручное
кормление
|
Механизированное
кормление
|
|
1
|
2
|
3
|
|
Объем
инвестиций
|
Не
значительные
|
Большой
|
|
Затраты
на корм
|
Большие
|
Малые
|
|
Система
подачи корма
|
Засыпается
вручную в корыта работниками
|
Автоматическая
подача корма на конвейерную линию
|
|
Число
занятых работников в кормлении
|
Среднее
|
Минимальное
|
|
Наблюдение
за кормлением
|
Постоянное
|
Систематическое
|
|
«Потеря»
корма
|
Значительная
|
Минимальная
|
|
Энергоемкость
|
Отсутствует
|
Не
значительная
|
|
Продолжительность
срока службы
|
Продолжительный
|
Продолжительный
|
Проанализировав таблицу 3.9 можно подвести
следующие выводы: ручное кормление имеет в свою очередь, как преимущества, так
и недостатки.
Основным преимуществом служит не значительный
объем инвестиций, что не мало важно для масштабного предприятия. Однако, это окупают
затраты на корма, заработная плата работникам, «потеря» корма. Следовательно,
стоит задуматься о механизированном кормлении, основное преимущество которого
это малые затраты на корм. Вложение инвестиций в оборудование окупиться с
учетом минимальной «потери» корма.
Рассмотрим расход кормов и «потерю» кормов при
каждом виде кормления более детально в таблице 3.10.
Таблица 3.10 - Учет кормов тыс. руб.
|
№п/п
|
Показатель
|
Вид
|
|
|
Ручной
|
Механический
|
|
1
|
2
|
3
|
4
|
|
1
|
Затраты
на приобретение оборудования
|
500
|
3
000
|
|
2
|
Затраты
на покупку корма (тонна)
|
440
|
440
|
|
3
|
Затраты
на транспортировку корма
|
80
|
80
|
|
4
|
Затраты
на электроэнергию
|
0
|
50
|
|
5
|
Затраты
на хранение корма
|
100
|
100
|
|
6
|
Выплата
з/п работникам (всего)
|
13
500
|
4
500
|
|
7
|
Итого
|
14620
|
8
170
|
Исходя из данных таблицы 3.10 заметно, что
ручной вид является более затратным, чем механизированный, т.к. он требует
большего числа работников. Следовательно, механический вид будет более
затратным лишь на первой стадии - затраты на приобретение оборудования.
Далее более детально рассмотрим такую категорию
как «потеря» корма. Она осуществляется за счет попадания корма на проход во
время его подачи либо же за счет того, что он высыпается из корыта во время
кормежки животного.
Таблица 3.11 - Расход кормов кг/день
|
№п/п
|
Показатель
|
Вид
|
|
|
Ручной
|
Механизированный
|
|
1
|
2
|
3
|
4
|
|
1
|
Норма
корма
|
4
000
|
4
000
|
|
2
|
«Потеря»
корма
|
60
|
8
|
|
3
|
Дополнительный
корм
|
60
|
8
|
|
4
|
Итого
|
4
060
|
4
008
|
В таблице 3.11 представлены данные по нормам
корма в день по предприятию.
Заметно, что ручной вид имеет больше «потери»
корма на 52 кг чем механизированный, а следовательно и больше затрат на
приобретение.
Рассчитаем дисконтированные денежные потоки за 4
года в таблице 3.12.
Таблица 3.12 - Расчет значений дисконтированных
денежных потоков PV
|
Период
|
2014
год
|
2015
год
|
2016
год
|
2017
год
|
Итого
|
|
Чистый
денежный поток, NCF (млн.руб.)
|
3
|
-
|
-
|
-
|
3
|
|
Ставка
дисконтирования, %
|
25
|
25
|
25
|
25
|
-
|
|
Дисконтный
денежный поток, PV (млн.руб.)
|
2,4
|
1,920
|
1,536
|
1,2288
|
7,0848
|
Рассчитаем дисконтированные денежные потоки:


;


Расчет значения NPV
Таким образом можно сделать
следующие выводы относительно второго мероприятия: со стороны затрат на
приобретение оборудования предприятие не понесет больших затрат, т.к. внедрение
конвейерной системы питания животных вводятся уже давно и это не является
последней инновационной разработкой. Однако, как показывают анализы таблиц,
сократится необходимость в дополнительных кормах. В целом, мероприятие является
выгодным для предприятия и принесет ему дополнительную экономию.
На сегодняшний день содержание скота на Э/Б
«Белоусовщина» не является удовлетворительным в плане удобства использования и
поддержания жизнедеятельности скота. Исходя из этого, разработаем мероприятие
по улучшению системы содержания скота.
На данный момент Э/Б «Белоусовщина» содержит КРС
Беспривязным способом. Молодняк на выращивании и откорме содержат в закрытых
помещениях, часть из которых имеет низкие потолки, полы с плохими жижестоками,
неудовлетворительную вентиляцию и недостаточную освещенность.
Все это отрицательно влияет на микроклимат в
помещениях, ведет к повышению влажности и появлению конденсата и других вредных
веществами, которые отрицательно сказываются на состоянии животных, их
аппетите, сопротивляемости к заболеваниям, особенно легочным.
Следует заменить текущую систему содержания
скота на более усовершенствованную, такую как, беспривязно-боксовое содержание
коров с подпольным хранением навоза.
Особенность такого способа содержания -
устройство в проходах щелевого пола из металлических решеток. Под полом
размещена навозная траншея.
Таблица 3.13 - Сравнительные характеристики
содержания скота до и после реализации инновации
|
Мероприятие
|
Беспривязный
способ содержания КРС
|
Беспривязно-боксовое
содержание коров с подпольным хранением навоза
|
|
1
|
2
|
3
|
|
Объем
инвестиций
|
Малый
|
Большой
|
|
Затраты
труда
|
Большие
|
Малые
|
|
Число
занятых работников
|
Большое
|
Среднее
|
|
Вместимость
КРС
|
Не
большая
|
Большая
|
|
Разность
КРС за счет заболеваний
|
Большая
|
Не
значительная
|
Проанализировав таблицу 3.13, следует заметить,
что наличие заболеваний КРС зависит, прежде всего, от способа содержания и от
чистоты коровников.
Рассмотрим затраты на данные способы содержания
в таблице 3.14.:
Таблица 3.14 - Затраты на мероприятия млн. руб.
|
№
п/п
|
Показатель
|
Способ
содержания
|
Отклонения
|
|
|
Беспривязный
способ содержания КРС
|
Беспривязно-боксовое
содержание коров с подпольным хранением навоза
|
|
|
1
|
2
|
3
|
4
|
5
|
|
1
|
Затраты
на проектирование коровника
|
2
|
3
|
1
|
|
2
|
Затраты
на строительство коровника
|
80
|
95
|
15
|
|
3
|
Затраты
на оплату труда строителям (мес.)
|
4
|
5
|
1
|
|
4
|
Затраты
на проживание строителей (мес.)
|
1
|
1
|
0
|
|
7
|
Итого
|
886
|
467
|
Количество месяцев на строительство составит 4 и
5 месяцев соответственно.
Количество строителей 50 человек.
Таблица 3.15 - Разность КРС, голов в год
|
№
п/п
|
Показатель
|
Способ
содержания
|
Отклонения
|
|
|
Беспривязный
способ содержания КРС
|
Беспривязно-боксовое
содержание коров с подпольным хранением навоза
|
|
|
1
|
Быки
производители
|
25
|
9
|
16
|
|
2
|
Молодняк
|
34
|
12
|
22
|
|
3
|
Молочное
стадо
|
29
|
15
|
14
|
|
4
|
Мясное
стадо
|
18
|
7
|
11
|
|
5
|
Итого
|
106
|
43
|
63
|
Рассчитаем разность КРС в млн. руб.
Стоимость головы КРС в среднем
составляет 10 млн. руб., следовательно, используя беспривязный способ
содержания КРС потери составят: 
., а используя беспривязно-боксовое
содержание коров с подпольным хранением навоза: 
. очевидно, что усовершенствованный
способ содержания будет наиболее экономным.
Рассчитаем дисконтированные денежные
потоки за период эксплуатации равным 10 лет и представим его в таблицу 3.16.
Таблица 3.16 - Расчет значений дисконтированных
денежных потоков PV
|
Период
|
2014
год
|
2015
год
|
2016
год
|
2017
год
|
2018
год
|
2019
год
|
2020
год
|
2021
год
|
2022
год
|
2023
год
|
Итого
|
|
Чистый
денежный поток, NCF (млн. руб.)
|
1
353
|
-
|
-
|
-
|
-
|
-
|
-
|
-
|
-
|
-
|
1
353
|
|
Ставка
дисконтирования, %
|
25
|
25
|
25
|
25
|
25
|
25
|
25
|
25
|
25
|
25
|
-
|
|
Дисконтный
денежный поток, PV (млн.руб.)
|
1
082
|
865
|
692
|
554
|
443
|
354
|
283
|
226
|
181
|
143
|
3
477
|
Рассчитаем дисконтированные денежные потоки:
Расчет значения NPV
Исходя из третьего разработанного мероприятия,
можно сделать выводы, что мероприятие является эффективным (NPV>0).
Это связано, прежде всего, с разностью КРС. При использовании текущего способа
содержания животных разность составляет 106 голов в год, что на 63 головы
больше, чем, если мы построим новый коровник. Затраты на строительство
различны, однако они окупятся, опять же, за счет меньшей разности КРС. Таким образом,
мероприятие является эффективным и позволит предприятия уменьшить затраты.
На основании изученной работы предприятия были
предложены 3 мероприятия для усовершенствования работы Э/Б «Белоусовщина».
Данные мероприятия охватывают животноводческую отрасль, так как она является
наиболее прибыльной для предприятия. Мероприятия были предложены с учетом
новшеств на рынке и возможностью Экспериментальной базы реализовать его. Каждое
мероприятие позволит предприятию улучшить свои показатели на рынке. За счет реализации
нового доильного аппарата «Милка» Э/Б «Белоусовщина» сможет увеличить надой с
одной коровы за единовременное подключение аппарата благодаря увеличению силы
насосов и емкости доильного ведра. Благодаря замены системы ручного кормления
на механизированную (установка конвейера), предприятие сможет уменьшить
показатели «потери» корма и снизить затраты на его покупку. Заменив систему
содержания скота, мы уменьшим разность КРС. Снижение показателей разности
позволит предприятию производить больше продукции животноводства и уменьшить
затраты на покупку КРС. Каждое мероприятие является экономически эффективным.
Значение NPV по каждому
из них составит 25,33 млн. руб., 4,084 млн. руб. и 3 477,89 млн. руб.
соответственно.
ВЫВОДЫ И ПРЕДЛОЖЕНИЯ
Зарубежный опыт теории и практики современного
менеджмента свидетельствует, что переход от потокового внутрифирменного
планирования к стратегическому в странах с рыночной экономикой вызван
ускорением темпов научно-технического и социально экономического развития,
усилением элементов неопределенности и непредсказуемости во внешних отношениях.
Выработка и реализация фирменной стратегии, которая могла бы лучше
соответствовать быстро изменяющимся внешним условиям, стала исключительно
важной частью деятельности руководства большинства компаний. В этой связи
возросла роль стратегического анализа, как инструмента дающего базу для
принятия стратегических решений. Появление новых методов анализа является
важным источником повышения конкурентоспособности фирмы, помогая ей в рамках неопределенности
четко выработать основные направления деятельности.
Стратегический анализ требует понимания со
стороны руководства того, на какой стадии развития находится предприятие,
прежде чем решать, куда двигаться дальше. Для этого необходима эффективная
информационная система, обеспечивающая данными для анализа прошлых, настоящих и
будущих ситуаций. Хорошо проведенная диагностика сильных и слабых сторон
деятельности предприятия дает реальную оценку его ресурсов и возможностей, а
также является отправной точкой разработки стратегии.
Международный опыт показывает, что применение
стратегий развития фирмы зависит от множества факторов, в том числе от сегмента
потребителей. Так на рынках потребительских товаров большую эффективность
приносит стратегия дифференциации, в силу того что доходы населения довольно
высоки и люди готовы получить не то что дадут а то что устраивает их по
качеству. Также в пользу стратегии дифференциации говорит тот факт, что в
отрасли по производству товаров широкого потребления, риск от стратегии низких
издержек значительно выше, так как второе или третье место по издержкам будет
давать лишь незначительные преимущества. Напротив, в отраслях производящих
товары для промышленности более эффективной будет стратегия снижения издержек.
Нет смысла проводить дифференциацию продукта, если в последующей
технологической цепочке дополнительные свойства продукта не могут быть
использованы. Улучшение свойств, еще не готовых к конечному потреблению
товаров, должно повлечь и соответствующие изменения способов их обработки.
Понятно, что такого совместного совершенствования всей технологической цепочки
добиться чрезвычайно тяжело. В непредсказуемых условиях развития рыночной
экономики России лишь некоторые предприятия придерживаются определенной организационно-экономической
стратегии своего развития. Подавляющее большинство из них больше озабочены
оперативным реагированием на возникающие сиюминутные проблемы. В силу
несовершенства законодательства и непредсказуемости рынка к выбору стратегии
необходимо подойти очень осторожно. Не стоит строить далеко идущие планы.
Зарубежный опыт показывает, что период формирования стратегии в промышленных
отраслях в стабильно развивающейся экономике около 10-15 лет. В сфере
потребительских товаров около 3-5 лет. Если к этому добавить и нестабильность
российского рынка, то видно, что выбираемая стратегия должна быть гибкой по
отношению к внешним условиям. Например, в российских условиях, возможно, будет
иметь успех стратегия лидерства по издержкам в отраслях потребительских
товаров. С одной стороны в России формируется класс социально обеспеченных
людей, а с другой, большинство населения находится за чертой бедности. Первые,
вероятно, предпочтут товары западных производителей, которые обладают более
высоким качеством, а другие будут искать что-то по низкой цене. В любом случае
при определении стратегии в большой степени надо руководствоваться сегментом
рынка, и смотреть, не сократится ли он в будущем. Высшее руководство фирмы в
современных рыночных условиях должно привлекать к разработке стратегических
решений аналитиков, иначе, без тщательно проведенного стратегического анализа,
такое решение может носить случайный характер, быть не эффективным и способно в
условиях жесткой конкуренции привести к банкротству.
Цель производственной деятельности предприятия
Э/Б «Белоусовщина» - выпуск продукта, его реализация и получение прибыли.
Экспериментальная база «Белоусовщина» имеет ряд преимуществ для организации
сельскохозяйственной деятельности. Это обусловлено расположением базы, наличием
работников, климатическими условиями. Технико-экономические показатели работы
базы увеличиваются. Увеличиваются показатели рентабельности от реализации и
себестоимости. Также заметно увеличивается выручка от реализации продукции.
Заметен рост затрат на производство на 63,1% по состоянию на 2013 год к 2012
году. Что же касается финансового состояния организации, то коэффициент
платежеспособности Э/Б «Белоусовщина» находится ниже нормы, что свидетельствует
о неплатежеспособном состоянии предприятия. Проанализировав все критерии работы
предприятия методом SPACE
анализа, мы определили, что, предприятие находится в консервативном состоянии,
так как важнейший фактор - конкурентоспособность продукции.
Детально изучив работу предприятия, мы выяснили,
что Э/Б «Белоусовщина» имеет все необходимое оборудование и технику для работы
предприятия, однако это имущество устаревшее. В связи с этим мы разработали
несколько мероприятий по внедрению инновационной деятельности.
Изучив потребление продуктов питания и сопоставив
их с нормами потребления мы приняли решение о необходимости замены имеющихся
доильных аппаратов на более усовершенствованные. Для реализации данного
мероприятия предприятие будет использовать собственные средства в размере 15
млн. руб. Планируется после замены оборудования увеличить чистую прибыль на 2
063 млн. руб.
Срок окупаемости составит 62 месяца (5,2 года),
а эффективность составит 2 857 200 руб. Рассчитанные дисконтированные денежные
потоки сроком на 5 лет достаточно велики. NPV
равен 25 339 200 руб., что свидетельствует об эффективном вложении капитала.
Замена оборудования позволит нам увеличит удой молока с одной коровы за счет
более модернизированной системы насосов. Снижение издержек и себестоимости
уменьшат цену на молоко. Снижение цены будет способствовать его окупаемости
потребителями.
Значительных затрат требуют корма КРС. На
предприятии установлена ручная система кормления. Данная система имеет ряд
недостатков, таких как, так называемая «потеря» корма. Исходя из данной
ситуации и изучив новшества на рынке мы сформулировали следующее мероприятие -
замена системы кормления. На сегодняшний день конвейерная система кормления
является обычным оборудованием на предприятии которая имеет массу достоинств,
главное из которых - затраты на корм не требуют превышения сверх нормы. NPV
по данному нововведению составит 4 084 800 руб., что говорит об эффективном
вложении капитала. Детально разработав и изучив данное мероприятие, мы пришли к
выводу о том, что мероприятие является экономически выгодным.
Третье мероприятие мы разработали на основе
системы содержания скота. Текущая система содержания скота не
удовлетворительна. Уборка загонов требует большого количества времени и затрат.
Благодаря введению новой системы содержания скота мы уменьшим количество заболеваний
КРС, а также разность КРС, за счет этого произойдет окупаемость инвестиций. NPV
по данному мероприятию составит 3 477 890 924 руб, значит, вложение капитала
является эффективным.
Таким образом, правильно выбранные инновационные
стратегии во многом помогут обеспечить достижение поставленных целей
предприятия, его рыночный успех и конкурентоспособность в целом.
СПИСОК ИСПОЛЬЗОВАННЫХ ИСТОЧНИКОВ
1. Барнетт
Д., Уилстед У. Формулирование стратегии // Проблемы теории и практики
управления. - 2009 - 118-127с.
2. Бланк
И.А. Финансовая стратегия предприятия. - К.: Ника-Центр, Эльга, 2009 - 711с.
. Богачев
В.Ф., Кабаков В.С., Ходаток А.М. Стратегия малого предпринимательства. - СПб.:
Корвус, 2009 - 265с.
. Винокуров
В.А. Организация стратегического менеджмента на предприятии. - М.: Центр
экономики и маркетинга, 2009 - 28 с.
. Виссема
Х. Стратегический менеджмент / Пер. с англ., под ред. Ю.Х. Джарова, Р.М.
Нуреева. - М.: Финпресс, 2008 - 315с.
. Виссема
Х. Стратегический менеджмент и предпринимательство / Пер. с англ. - М.:
Финпресс, 2008 - 452с.
. Воробьёв
А.Д. Методология стратегического менеджмента. // Менеджмент в России и за
рубежом. 2008 - 127 - 130с.
. Гольдштейн
Г. Я. Стратегический менеджмент. - Таганрог: Изд-во ТРТУ, 2009 - 107 с.
. Горемыкин
В.А., Богомолов О.А. Экономическая стратегия предприятия. -М.:
Информационно-издательский дом “Филин”, Рилант, 2009 - 276с.
. Джексон
Л. Т. Хосин Канри. Как заставить стратегию работать. - М.: Инфра - М, 2008 -
111с.
. Ефремов
В.С. Стратегическое управление в контексте организационного развития //
Менеджмент в России и за рубежом. - 2010 - 127-137с.
. Зайнашева
З.Г. Региональная политика в сфере услуг// Вестн. Моск. - 2009 - 28-34с.
. Зайцев
Л.Г., Соколова М. И. Стратегический менеджмент: Учебник. - М.: Юристь, 2009 -
416с.
. Йеннер
Т. Создание и реализация потенциала успеха как ключевая задача стратегического
менеджмента.// Проблемы теории и практики управления. 2009 - 102с.
. Казакевич
Л.А., Рыжанков М.Ф., Демидчик Г.И. УМК Стратегический менеджмент Минск 2008 - 9с.
. Люкшинов
А. Н. Стратегический менеджмент: Учебное пособие для вузов. - М.: ЮНИТИ - ДАНА,
2008 - 375с.
. Петров
А. Н. Стратегический менеджмент: Учебник для вузов. СПб.: Питер, 2007 - 221с.
. Петров
А. Н. Стратегический менеджмент: Учебник для вузов. СПб.: Питер, 2007 - 22 с.
. Томпсон
А.А., Стрикленд А.Дж. Стратегический менеджмент. Искусство разработки и
реализации стратегии: Учебник для вузов/ Пер. с англ. под ред. Л.Г. Зайцева,
М.И. Соколовой. - М.: Банки и биржи, ЮНИТИ. 2008 - 576с.
. Филатов
О.К. и др. Планирование, финансы, управление на предприятии: Практическое
пособие/ О.К. Филатов, Л.А. Козловских, Т.Н.Цветкова.- М.: Финансы и
статистика, 2007 - 384с.
. Царев
В. В. Внутрифирменное планирование: Учебник для вузов. - СПб.: ПИТЕР, 2008 -
11с.
. О
Государственной программе освоения в производстве новых и высоких технологий на
2011 - 2015 годы: Постановление Совета Министров Республики Беларусь от
03.11.2010 № 1618. // Нац. реестр правовых актов Республики Беларусь -
5.11.2010, N 5/32791.
. О
Государственной программе инновационного развития Республики Беларусь на 2011 -
2015 годы: Постановление Совета Министров Республики Беларусь от 26.05.2011
№669. // Нац. реестр правовых актов Республики Беларусь - 19.09.2011, №107,
5/34468.