Приёмка продукции по качеству и количеству

  • Вид работы:
    Контрольная работа
  • Предмет:
    Менеджмент
  • Язык:
    Русский
    ,
    Формат файла:
    MS Word
    187,56 Кб
  • Опубликовано:
    2015-02-26
Вы можете узнать стоимость помощи в написании студенческой работы.
Помощь в написании работы, которую точно примут!

Приёмка продукции по качеству и количеству

Министерство образования и науки Российской Федерации

Федеральное государственное бюджетное образовательное учреждение высшего профессионального образования

«Тамбовский государственный технический университет»

Кафедра: «Управление качеством и сертификация»








Контрольная работа по статистическим методам контроля и управление качеством


Выполнила: студентка группы ССГ-51з. Никифорова Е.С.







Тамбов 2014

Задание № 1. Дайте подробные ответы на теоретические вопросы

. На какие стандарты ссылается ГОСТ Р 50779.11-2000

Настоящий стандарт устанавливает термины и определения понятий в области статистических методов управления качеством продукции, процессов и услуг.

Термины, установленные настоящим стандартом, обязательны для применения во всех видах документации и литературы по статистическим методам, входящих в сферу работ по стандартизации и (или) использующих результаты этих работ.

Нормативные ссылки

В настоящем стандарте использованы ссылки на следующие стандарты:

ГОСТ Р 50779.10-2000 (ИСО 3534.1-93) Статистические методы. Вероятность и основы статистики. Термины и определения

ГОСТ Р 50779.30-95 Статистические методы. Приемочный контроль качества. Общие требования

ГОСТ Р 50779.72-99 (ИСО 2859-2-85) Статистические методы. Процедуры выборочного контроля по альтернативному признаку. Часть 2. Планы выборочного контроля отдельных партий на основе предельного качества LQ

ИСО 8402-941) Управление качеством и обеспечение качества.

. Что понимается под статистическим управлением качеством

Статистические методы управления качеством основываются на контроле качества и статистической обработке полученных данных с применением широкого арсенала методов математической статистики и специальных инструментов, выполняются по всем процессам производства и направлены на экономичное изготовление продукции, максимально полезной и имеющей сбыт. Так как на основе информации о контроле качества в реальном масштабе времени принимаются решения по корректированию параметров продукции и регулированию производственных процессов.

Под статистическим управлением качеством понимается совокупность методов обнаружения неслучайных факторов, позволяющих диагностировать состояние процесса, провести его корректировку и, в конечном счете, способствующих улучшению качества продукции. Простейшая схема регулирования качества процессов и продукции для приведения их в соответствие с техническим регламентом, стандартами и другими нормативными документами

. Для чего необходимы критерии приёмки продукции или услуги

Приёмка продукции по качеству и количеству проводится в соответствии со стандартами и другими обязательными для сторон правилами, а также по таким сопроводительным документам, удостоверяющим качество, как сертификат, удостоверение о качестве. Если документы, подтверждающие качество, отсутствуют, это не является причиной приостановки приёмки. В этом случае должен быть составлен акт о фактическом количестве и качестве продукции в соответствии с ГОСТом.

В случае обнаружения отклонений качества поступившего материала от требуемых стандартов предприятие составляет акт. При поставках продукции, не отвечающей требованиям качества и комплектности, предприятие предъявляет поставщику претензию, к которой прилагаются следующие документы:

§   акт приёмки продукции;

§   документы поставщика, удостоверяющие качество и комплектность продукции;

§   документ, подтверждающий полномочия представителя, участвующего в приёмке продукции;

§   другие документы, которые могут свидетельствовать о причинах появления некачественной продукции или её некомплектности.

Приёмка продукции по количеству осуществляется в момент выгрузки или в момент получения от поставщика. При получении материала предприятие устанавливает соответствие фактически поставленной продукции условиям контракта и имеет право отказаться оплачивать излишки продукции, не предусмотренные контрактом.

При выявлении недостачи приёмка продукции приостанавливается. Предприятие вызывает представителя поставщика для составления акта приёмки. Результат приёмки оформляется актом.

. Что понимается под единицей продукции

Единица продукции отдельный экземпляр штучной продукции или определенное количество нештучной продукции. Таким образом, единица продукции может быть штучной или нештучной, в упаковке или без нее. Единица продукции в упаковке называется упаковочной единицей продукции, например контейнер, цистерна, бочка, мешок, ящик, коробка, пакет и т.п.

. Что понимается под объёмом партии продукции

Объем партии

Число единиц продукции, составляющих партию

Чем отличается отдельная партия продукции от пробной партии продукции

Особая партия отличается тем, что может быть произведена или собрана в особых условиях, например с изменениями технологических параметров производства.

Партия, выделенная из последовательности партий, в которой она была произведена или собрана, и не составляющая часть текущей последовательности проверяемых партий, называется отдельной.

Допуск - технологически необходимого значения параметра - определяется потерей способности к удовлетворению требований при размахе величины от минимального до максимального значения. Допуск должен иметь по возможности наибольшую величину. Первый шаг в управлении уровнями качества процесса это определение способности процесса удовлетворять требованиям допусков. Величина допуска определяется потерей потребительских свойств продукции при отклонении величины параметра продукции от требуемого или оптимального значения. Производителю выгодно иметь большую величину допуска, а потребителю наоборот.

. Что понимается под выборкой продукции для проведения приёмочного контроля

Выборка

Единицы продукции (наблюдаемые значения), отобранные из контролируемой партии или потока продукции для контроля и принятия решения о соответствии установленным требованиям

Практическое задание №1

Таблица 1

Вариант

х1

х2

х3

х4

х5

f1

f2

f3

f4

f5

D

5

7,8

8,5

9,0

9,4

9,9

1

5

15

5

2

0,06


Таблица 2



Px3



Xср

Z(0,975)=1,96

9,003571






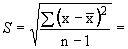
S

1,484924









X=Xср±S*Z/√n




X=9,003571±0,548




Zp=0,21

0,583166




Практическое задание № 2

Объем партии продукции N, объем простой однократной выборки n изделий. Приемочное число равно С. Закон распределения А.

Определить значения накопленной функции распределения А в пяти точках в диапазоне вероятностей несоответствий продукции от 0 % до р4.

Свести данные в таблицу. По данным таблицы построить оперативную характеристику.

Показать зависимость положения оперативной характеристики от приемочного числа для С1 =0 и С2 = 2С.

Показать зависимость положения оперативной характеристики от объема выборки для n1=n/2 и n2=2n.

Определить риски потребителя для уровней несоответствия 2 %, 5 %, 10 % и 40 %.

Таблица 3

Вариант задания

N-объем партии, шт.

n-объем  выборки, шт.

Заявленный уровень несоответствий  в партии p, %

Р4, %

C- приемочное число, шт.

A-  закон распределения

5

1000

12

25

50

1

Биноминальный


Биноминальный закон


Таблица 4

p

1-p

(1-p)(n-1)

(1-p)n

n(1-p)(n-1)p

L(p)

0

1

1

1

1

1

0,05

0,95

0,5688

0,54036

0,34128

0,88164

0,1

0,9

0,313811

0,28243

0,376573

0,659002

0,15

0,85

0,167343

0,142242

0,301218

0,44346

0,2

0,8

0,085899

0,068719

0,206158

0,274878

0,5

0,000488

0,000244

0,00293

0,003174


Рис. 1

Рис. 2

Рис. 3

Рис. 4

Рис. 5

управление качество дисперсия контроль

Практическое задание № 3

Изучить ГОСТ Р 50779.21-2004 - Правила определения и методы расчета статистических характеристик по выборочным данным. В соответствии с вариантом провести:

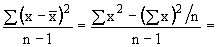
- оценку среднего значения при известной дисперсии

оценку среднего значения при неизвестной дисперсии

сравнение среднего значения с заданным значением m0 при известной дисперсии

сравнение среднего значения с заданным значением m0 при неизвестной дисперсии

сравнение двух средних значений при известных дисперсиях

сравнение двух средних значений при неизвестных дисперсиях

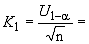
Таблица 5 - Оценка среднего значения при известной дисперсии

Статистические и исходные данные

Табличные данные и вычисления

1 Объем выборки:

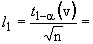
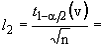
1 Квантиль стандартного нормального закона распределения уровня :

78

1.4

2 Сумма значений наблюдаемых величин:

2 Квантиль стандартного нормального закона распределения уровня :

215.860

1.75

3 Известное значение дисперсии:

3 Вычисляем:

1.635

2.767

4 Выбранная доверительная вероятность:

4 Вычисляем:

0.92

0.1585


5 Вычисляем:


0.1981

Результаты

Точечная оценка параметра :

2.767

Двусторонний симметричный доверительный интервал для :

.

,4431≤2,767≤3,0908

Односторонние доверительные интервалы для :

 или 2,767≤3,0908

. 2,767≥2,4431

Таблица 6. - Оценка среднего значения при неизвестной дисперсии

Статистические и исходные данные

Табличные данные и вычисления

1 Объем выборки:

1 Квантиль распределения Стьюдента уровня  с  степенями свободы:

45

1,345

2 Сумма значений наблюдаемых величин:

2 Квантиль распределения Стьюдента уровня  с  степенями свободы:

158,080

0,6725

3 Сумма квадратов значений наблюдаемых величин:

3 Вычисляем:

618,474

11,2914

4 Степени свободы:

4 Вычисляем:

489,702

5 Выбранная доверительная вероятность:

5 Вычисляем:

0,92

22,129


6 Вычисляем:


0,2005


7 Вычисляем:


0,1002


Результаты

Точечная оценка параметра :

11,2914

Точечная оценка параметра :

489,69

Двусторонний симметричный доверительный интервал для параметра :

.

,0740≤11,2914≤13,508

Односторонние доверительные интервалы для параметра :

 11,2914≤15,728                                                       (1)

или

. 11,2914≥ 6,8545                                                     (2)

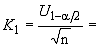
Таблица 7 - Сравнение неизвестного среднего значения с заданным значением  при известной дисперсии

Статистические и исходные данные

Табличные данные и вычисления

1 Объем выборки:

1 Квантиль стандартного нормального закона распределения уровня :

45

0,01

2 Сумма значений наблюдаемых величин:

2 Квантиль стандартного нормального закона распределения уровня :

158,080

0,005

3 Заданное значение:

3 Вычисляем:

3,513

3,512

4 Известное значение дисперсии генеральной совокупности:

1,635

или стандартного отклонения:

0,79

5 Выбранный уровень значимости:

0,99


Результаты

Сравнение выборочного среднего значения  с заданным значением :

В двустороннем случае:

Предположение равенства выборочного среднего и заданного значений (нулевая гипотеза) отклоняется, если:

.

В одностороннем случае:

а) предположение о том, что выборочное среднее не менее чем  (нулевая гипотеза) отклоняется, если:

; 3,512 >3,511

б) предположение о том, что выборочное среднее не более чем  (нулевая гипотеза) отклоняется, если:

.

Похожие работы на - Приёмка продукции по качеству и количеству

 

Не нашли материал для своей работы?
Поможем написать уникальную работу
Без плагиата!
Без нейросетей!