Ценообразование на консалтинговые услуги

  • Вид работы:
    Контрольная работа
  • Предмет:
    Менеджмент
  • Язык:
    Русский
    ,
    Формат файла:
    MS Word
    18,81 Кб
  • Опубликовано:
    2014-08-13
Вы можете узнать стоимость помощи в написании студенческой работы.
Помощь в написании работы, которую точно примут!

Ценообразование на консалтинговые услуги

СОДЕРЖАНИЕ

ВВЕДЕНИЕ

Ценообразование на консалтинговые услуги

заключение

список использованных источников

введение

Какой бы известной ни была ваша компания и как бы ни нужны были клиенту ваши услуги, если вы установите на них неверную цену, вы потеряете заказ. Если вы назовете слишком большую цифру, которая, по мнению клиента, будет превышать полученные им выгоды и выходить за рамки его бюджета, вы не получите контракт. Если же у клиента сложится впечатление, что заявленный вами гонорар слишком низок, а потому говорит об отсутствии у вас достаточных знаний и профессионализма, то контракт также не будет получен.

Вам необходимо всегда помнить, что адекватность той или иной цены определяется не вами, а вашим клиентом. Вы также должны четко понимать то, что продаете не активы, которые в случае неудачи могут быть перепроданы, а нечто неосязаемое: свои знания и опыт, которые выражаются в обещании решить проблему клиента. Этот факт имеет и еще одно важное следствие: никогда не начинайте работу без получения предварительной оплаты, т.к. вы продаете невосполнимый ресурс, а именно - свое время.

Необходимо особенно тщательно подходить к ценообразованию еще и потому, что ни одна консалтинговая компания не может вести неограниченное количество проектов одновременно. Если вы беретесь за проект, то это значит, что, пока вы не доведете его до конца, вы не сможете взять новый. Поэтому первоочередной задачей маркетологов консалтинговых компании является поддержание оптимально высоких цен. Как показывает анализ, повышение цены оказывает большее влияние на прибыльность компании, чем рост объемов реализации или рост доли рынка.

ЦЕНООБРАЗОВАНИЕ НА КОНСАЛТИНГОВЫЕ УСЛУГИ

В мировой практике приняты четыре основные формы установления цены на консалтинговые услуги: 1) повременная оплата; 2) фиксированная недифференцированная оплата; 3) процент от стоимости объекта консультирования или результата; 4) комбинированная оплата.

Все эти цены являются рыночными, т.е. устанавливаются в процессе конкурентной борьбы и переговоров. Никаких общегосударственных прейскурантов на консалтинговые услуги не существует, но цена определяется исходя из некоторых разумных соображений, аргументов и обоснований. Клиент должен владеть информацией о ценообразовании на рынке консалтинга, чтобы, с одной стороны, не переплачивать, а с другой, - чтобы не оттолкнуть квалифицированных консультантов низкой оценкой их труда. Последнее для российских условий имеет особенно важное значение, поскольку руководители предприятий далеко не всегда настроены на то, чтобы платить "за слова и бумаги".

Международные организации, нанимающие консультантов для оказания консультационно-технической помощи предприятиям различных стран, обычно сами устанавливают предельные расценки на оплату консультантов. Так, при найме консультантов Европейским союзом эта величина не должна превышать 700 ЭКЮ (770 дол.) за 1 человеко-день. Правда, в эту сумму обычно не входят командировочные, транспортные и накладные расходы, которые оплачиваются дополнительно.

При определении оплаты по всем вышеназванным формам следует иметь в виду, что консультанты продают продукт, который они производят не только во время нахождения на объекте консультирования, но и во время предварительной работы. Известно, что в среднем консультант затрачивает на работу по конкретным проектам всего 120 дней в году. Но это не значит, что остальные 245 дней, т.е. 2/3 года, он отдыхает. В это время он накапливает тот интеллектуальный капитал, который вкладывает, работая над конкретным проектом на объекте. В противном случае он не был бы консультантом.

В консалтинговых фирмах существуют соответствующие нормативы на этот счет. Например, консультант должен прочитывать по специальности не менее четырех журналов в месяц, не менее одной книги в полгода, пройти раз в два года курсы повышения квалификации, посетить определенное количество конференций и т.д.

Кроме того, как уже отмечалось, оплата работы консультанта не является его зарплатой. Обычно консультанты объединены в фирмы, на содержание которых (аренду помещений, оборудование, управленческий и технический персонал, покупку информации и т.д.), а также на прибыль и налоги направляется определенная часть денег, получаемых от клиента. Эта часть может составлять до 70-80%, поэтому цена консалтинговых услуг - это плата не консультанту, а фирме за использование ее консультантов. Если же речь идет об оплате индивидуального консультанта, то в нее должны включаться его расходы на оборудование, покупку информации, повышение квалификации и другие платные услуги, а также налоги.

Вышеуказанные формы определения цены имеют следующие особенности.

. Повременная оплата осуществляется на основе расчета количества рабочего времени, которое необходимо затратить на реализацию консалтингового проекта (в человеко-часах, человеко-днях или человеко - месяцах), и стоимости единицы рабочего времени консультантов с учетом их квалификации.

Расценки за единицу рабочего времени консультанта устанавливаются каждой консалтинговой фирмой, но они опираются при этом на отчетные статистические данные по рынку консультационных услуг (такие данные обычно публикуются национальными ассоциациями консультантов или статистическими органами). Так, по данным Американской ассоциации консультантов (АКМЕ), уровень почасовой оплаты составлял в зависимости от квалификации консультантов и размера консалтинговых фирм от 60 (для ассистента-исследователя) до 250 дол. в час (для старшего персонала консалтинговых фирм), т.е. соответственно от 480 до 2 тыс. дол. за человеко-день. Аналогичные показатели характерны и для других развитых стран. Следует отметить также, что для отдельных консультантов в зависимости от уникальности их квалификации, а также стоимости и значимости проекта гонорар может быть гораздо выше среднестатистических величин.

Цены на услуги российских консультантов пока ниже мировых, однако, существует явная тенденция к их росту. При этом иностранные консалтинговые фирмы, работающие в России, устанавливают свои цены на уровне, принятом в их странах. Правда, их оплата часто производится не российскими клиентами, а иностранными фирмами, выходящими на наш рынок, а также за счет средств международных организаций и правительств зарубежных государств, направляемых на консультационно-техническое содействие России. Вместе с тем уже сложился определенный слой российских клиентов, самостоятельно оплачивающих консультационные услуги иностранных фирм по мировым ценам. Прежде всего, это предприятия нефтегазовой и других добывающих отраслей, а также банки.

В российских условиях применение повременной формы оплаты затруднено, так как руководители российских предприятий морально не готовы оплачивать работу консультантов по дневным ставкам, намного превышающим среднюю месячную зарплату в России.

Таким образом, российские консультанты, применяя расчеты на основе повременной оплаты для своих внутренних калькуляционных целей, часто предпочитают не раскрывать эту смету клиентам, используя в переговорах с ними другие формы установления цен, описанные ниже.

. Фиксированная (недифференцированная) оплата. При этом способе консультант, определив для себя объем работ и затраты времени на них, называет клиенту общий размер оплаты, но ссылается не на калькуляцию человеко-дней, а на другие обоснования. В России в качестве таких обоснований применяются цены аналогичных проектов данной или других консалтинговых фирм, а также (что характерно для процессного и обучающего консультирования) на существующие расценки за обучение в школах бизнеса и на курсах менеджмента. Так, ряд российских банков при получении от потенциальных клиентов заявки на предоставление кредита требует от них предварительной оплаты разработки бизнес-плана в размере от 15 тыс. до 25 тыс. дол. Консультанты при переговорах с клиентами о фиксированной цене могут ссылаться на эти данные. Если же речь идет о процессном или обучающем консультировании, то консультанты в качестве ориентира для клиента используют данные о стоимости семинаров по менеджменту, публикуемые в экономической прессе. Если плата за обучение одного человека на семинаре составляет 400-500 дол. за рабочую неделю (4-5 дней), а в совместной работе с процессным консультантом участвует 20 представителей клиента, то цена работы консультантов составит 8-10 тыс. дол. Может добавляться также некоторая сумма за конкретные проекты, разрабатываемые в ходе совместной работы консультантов и клиентов.

В России иногда ее называют паушальной (от нем. pauschal - взятый в целом, целиком). В англоязычных странах применяется термин «Lump-Sum» (от англ. lump - глыба, кусок).

Иногда в качестве аргумента приводится ссылка на мировые цены консалтинговых услуг. Форма такой аргументации в России следующая: "Зарубежная консалтинговая фирма взяла бы за эту работу 120 тысяч долларов. Мы берем 60 тысяч, но при этом обеспечиваем качество не менее, а возможно, и более высокое, чем зарубежные консультанты, так как лучше знаем российские условия. Кроме того, через 2-3 года наши цены будут равны мировым, поэтому используйте этот момент сейчас".

. Процент от стоимости объекта консультирования или результата. При этой форме цена консалтинговых услуг рассчитывается как доля от величины торговой сделки, объема инвестиций или других проектов, осуществляемых клиентом при поддержке консультантов, либо как доля от экономического эффекта, получаемого клиентом (снижение себестоимости, рост прибыли и т.д.).

В России цена на консалтинговые услуги как процент от стоимости объекта консультирования чаще всего применяется по следующим трем видам услуг:

) оценка имущества (при приватизации, продаже и т.д.) - 1-2% стоимости имущества;

) консультирование по составлению контрактов - 1-2% его стоимости при простом содержании контракта и 4-5% - при сложном;

) консультирование по привлечению инвестиций - 1-2% размера инвестиций.

Что касается метода оплаты по конечному результату, то с теоретической точки зрения он наилучший, так как стимулирует консультантов к получению максимального эффекта для клиента, а у клиента снимает сомнение в целесообразности платить деньги "за слова". Но на практике возникает три трудноразрешимых вопроса, которые ограничивают применимость этого метода:

) как правильно рассчитать размер эффекта;

) как определить в общем экономическом эффекте деятельности предприятия ту долю, которая возникла как результат труда консультантов;

) когда оплачивать работу консультантов, если эффект может быть получен через определенный (часто длительный) период времени?

Для решения этих вопросов, помимо высокой экономической культуры клиента, необходимы еще и морально-психологические факторы: взаимное доверие консультанта и клиента, их доброжелательность и т.д.

. Комбинированная оплата. Цена консалтинговых услуг может определяться и как комбинация трех вышеперечисленных методов. Этот метод применяется в России весьма активно, причем как в явном, так и в неявном виде. Например консультант может выдвинуть требование достаточно высоких повременных ставок, зная, что результаты проекта важны для клиента, а ожидаемый экономический эффект многократно перекрывает все затраты на консалтинг. Или как уже упоминалось, консультант может составлять калькуляцию затрат рабочего времени для своей внутренней оценки стоимости проекта, а клиенту сообщать фиксированную цену, ссылаясь на аналоги и другие аргументы.

Комбинация повременной оплаты и фиксированной цены часто применяется при абонементном обслуживании, а комбинация фиксированной цены и процентной оплаты - при осуществлении консультирования по конкретной проблеме

Следует отметить еще один специфический для современного состояния деловой культуры России момент: в условиях кризиса неплатежей и невысоких этических норм бизнеса договор на консалтинговые услуги часто включает так называемую частичную предоплату. Обычно она оформляется в виде платы за организацию работ и составляет от 30 до 50% цены. Оставшуюся часть клиенты выплачивают с большими задержками, а иногда и вообще не выплачивают. Поэтому размер предварительного платежа должен быть таким, чтобы хотя бы минимально заинтересовать консультантов в работе.

Еще одной особенностью оплаты консалтинговых услуг в России является использование бартера. Российские предприятия испытывают недостаток денежных средств и, поскольку покупка консалтинговых услуг не относится у них к числу приоритетных, часто предлагают оплачивать их не деньгами а своей продукцией, которая не находит сбыта на рынке. Один из вариантов бартера -оплата услуг консультантов не деньгами, а акциями предприятий-клиентов. Этот способ получает определенное распространение в России, и хотя он редко применяется в мировой практике консалтинга, для нашей страны можно признать его достаточно полезным, поскольку, с одной стороны, он повышает возможность предприятии в покупке столь необходимых им именно в сегодняшней кризисной ситуации консалтинговых услуг, а с другой, - заинтересовывает консультантов в работе на повышение эффективности деятельности предприятия в целом

Цены на консалтинговые услуги являются ключевым фактором формирования и планирования бюджета консалтинговой фирмы или индивидуального консультанта.

) заработная плата консультантов;

) накладные расходы (аренда помещений, покупка и амортизация оборудования и расходных материалов, повышение квалификации консультантов, оплата технического персонала, командировочные расходы и т.д., а также прибыль);

) налоги и обязательные платежи.

В российских консалтинговых структурах это соотношение сейчас составляет 20% : 35% : 45%.

Это означает, что консультанты получают около 20% сумм, выплачиваемых клиентом за их использование, а 80% уходит на содержание консалтинговой фирмы в целом и налоги.

Аналогичное положение характерно и для западноевропейских консалтинговых фирм. В США объем налогов несколько ниже.

Однако в большинстве крупных и средних консалтинговых фирм эти гонорары не выплачиваются непосредственно, а применяются системы стабильной ежемесячной заработной платы и премиальных (за нахождение заказа, за качественное завершение проекта и т.д.).

У индивидуальных консультантов и в малых консультационных фирмах размер оплаты консультантов более тесно увязан с суммой выплачиваемых клиентами гонораров.

Для оценки финансовой эффективности работы консалтинговой фирмы, помимо общепринятых, применяются специфические показатели, связанные с природой консалтинговых услуг:

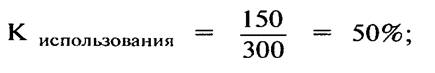
Использование рабочего времени консультантов. Рассчитывается как отношение количества дней работы консультанта, оплаченных клиентами по договорам, к общему количеству рабочих дней за год. Например, если количество рабочих дней в году 300, а клиенты оплатили работу консультанта за 150 дней, то коэффициент использования составит:

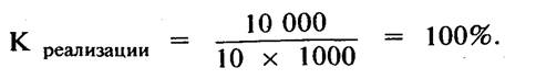
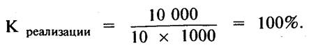
Реализация проекта. Это отношение оплаченного в рамках договора по конкретному проекту времени консультантов к фактическим затратам времени. Например, если клиент платит 10 000 дол. за проект, который планировалось завершить за 10 человеко-дней при оплате 1000 дол. за 1 человеко-день, то:

Если же выполнение договора займет на 1,5 человеко-дня больше, т.е. 11,5 человеко-дней, то коэффициент реализации составит:

В российских условиях на коэффициент реализации влияет и такой фактор, как недобросовестность клиентов. Как уже упоминалось, не все готовы выплачивать окончательную сумму договора, ограничиваясь иногда авансовыми платежами. Хотя справедливости ради следует отметить, что невыплата всей суммы договора может быть вызвана и некачественной работой консультанта.

Поэтому в качестве одного из специфических для России показателя финансовой эффективности консалтинговой фирмы должен рассчитываться и коэффициент собираемости гонораров.

Менеджер проекта должен постоянно контролировать платежи со стороны клиента и в случае любых изменений в выплатах соответственно уменьшать или увеличивать объем работы консультантов.

Отдельно нужно контролировать накладные расходы, постоянно оценивая и оптимизируя их позитивный вклад в получение дохода от консалтинговых проектов в форме гонораров.

заключение

Изучив ценообразование на консалтинговые услуги я получила информацию о принципах и методах формирования стоимости консалтинговых услуг. Я узнала, почему стоит избегать «круглых» цифр при назначении цены и как выбрать правильную тактику переговоров о стоимости работы, почему на рынке некоторых типов консалтинговых услуг низкая ценовая эластичность и по каким причинам никогда нельзя депинговать.

СПИСОК ИСПОЛЬЗОВАННЫХ ИСТОЧНИКОВ

1. Маринко, Г.И. Управленческий консалтинг. Учеб. Пособие/ Г.И. Маринко - М.: ИНФРА-М, 2005. - 381 с.

. Блинов, А.О. Управленческий консалтинг корпоративных организаций. Учебник/ А.О. Блинов, Г.Н. Бутыркин, Е.В. Добренькова - М.: ИНФРА-М, 2002. 192 с.

3. Kubr M. How to Select and Use Consultants. P. 124.

Похожие работы на - Ценообразование на консалтинговые услуги

 

Не нашли материал для своей работы?
Поможем написать уникальную работу
Без плагиата!
Без нейросетей!