Экономическое развитие рынка ИТ-аутсорсинга в России

  • Вид работы:
    Дипломная (ВКР)
  • Предмет:
    Эктеория
  • Язык:
    Русский
    ,
    Формат файла:
    MS Word
    868,43 Кб
  • Опубликовано:
    2014-11-28
Вы можете узнать стоимость помощи в написании студенческой работы.
Помощь в написании работы, которую точно примут!

Экономическое развитие рынка ИТ-аутсорсинга в России

Федеральное государственное автономное образовательное учреждение высшего профессионального образования

КАЗАНСКИЙ ( ПРИВОЛЖСКИЙ ) ФЕДЕРАЛЬНЫЙ УНИВЕРСИТЕТ

ЭКОНОМИЧЕСКИЙ ФАКУЛЬТЕТ

КАФЕДРА ЭКОНОМИКИ

Специальность: 080101.65 - Экономическая теория







ВЫПУСКНАЯ КВАЛИФИКАЦИОННАЯ РАБОТА

(Дипломная работа)

Экономическое развитие рынка ИТ-аутсорсинга в России


Работа завершена:

И.Ф. Муллина





Казань - 2011 г.

Оглавление

Введение

Глава 1. Экономическое содержание рынка ИТ-аутсорсинга и его место в современной экономики

1.1  Теоретические основы ИТ-аутсорсинга

1.1.1  Понятие, сущность и цели ИТ-аутсорсинга

1.1.2 Рынок ИТ-аутсорсинга в структуре экономической системы

1.2  Виды ИТ-аутсорсинга в современной экономике

1.3    Зарубежный опыт ИТ-аутсорсинга на мировом рынке

Глава 2. Качественная характеристика ИТ-аутсорсинга в России

.1 Институциональные основы развития рынка ИТ-аутсорсинга в России

.2 Оценка экономической эффективности и качества ИТ-аутсорсинговых услуг в России

Глава 3. Особенности развития ИТ-аутсорсинга в современной России

.1 Состояние и перспективы развития рынка ИТ-аутсорсинга в России

.2 Офшорный ИТ-аутсорсинг как прогрессивный рынок услуг в экономике России

Заключение

Список использованных источников

Введение

В современном мире компании сталкиваются с беспрецедентным усилением конкуренции. Выживают и добиваются успеха те компании, которые, ведут свой бизнес наиболее эффективным способом. Одной из наиболее современных и успешных моделей хозяйствования, позволяющих добиться конкурентных преимуществ, является аутсорсинг. Аутсорсинг начал распространяться в 80-е годы ушедшего столетия - как эффективный способ снижения затрат и увеличения доходности. В 90-х пришло осознание того, что аутсорсинг - это не только способ повышения доходности предприятий, но и мера, способствующая глубокой оптимизации их структур и деятельности - за счет сосредоточения на основном предмете и передаче побочных, служебных функций внешним специалистам. Актуальность проблем возрастающего значения аутсорсинга как формы организации бизнеса предопределили выбор темы дипломной работы. Так как тема аутсорсинга столь обширна, что её невозможно изучить в одной дипломной работе, мы попытались сузить объект исследования, и рассмотреть один из видов аутсорсинга, а именно аутсорсинг информационных технологий. Компании передают узкоспециализированным обслуживающим компаниям некоторые функции, которые были прерогативой подразделений самих компаний: обслуживание внутренней информационной сети, обработка входящей информации и многое другое. Аутсорсинг в его современном виде был создан в 1963 г. Компанией Electronic Data System (EDS), специализирующейся на аутсорсинге информационных технологий, или ИT-аутсорсинге. Однако объектом научных исследований аутсорсинг стал лишь в 90-х гг.

С переходом к информационной экономике процесс распространения ИТ-аутсорсинга принял взрывной характер, охватив область внедрения систем обработки информации, информационных технологий и управления предприятиями. В условиях современного рынка применение инновационных информационных технологий позволяет предприятиям получить ощутимые преимущества, повысить свою конкурентоспособность. Однако их применение приводит к росту сложности и масштабов ИТ-проектов, изменению ИТ-инфраструктуры предприятий, повышению насыщенности предприятий аппаратными и программными средствами инфокоммуникационных технологий, увеличению доли ИТ-издержек в издержках предприятия. Управленческими инновациями, позволяющими решить проблему увеличивающихся ИТ-издержек и привести к их сокращению, являются аутсорсинг и инсорсинг ИТ-услуг. Таким образом, актуальность темы исследования обусловлена необходимостью внедрения аутсорсинга информационных технологий во все возможные сектора экономики страны с целью формирования экономики нового инновационного типа.

В центре анализа в работе находится, с одной стороны, теоретические аспекты данного экономического явления, а с другой стороны, развитие ИТ-аутсорсинга в России, а также основные проблемы данного рынка.

Объектом исследования является ИТ-аутсорсинг как элемент хозяйственного механизма рыночной экономики. Предметом исследования является условия развития рынка ИТ аутсорсинга в России, зарубежный опыт применения ИТ-аутсорсинга.

Цель дипломной работы состоит в раскрытии эволюции рынка ИТ-аутсорсинга, как эффективной формой бизнеса, в том числе в российской экономике.

Достижение поставленной цели потребовало решения следующих задач:

·        на основе опыта экономически развитых стран выявить основные направления развития ИТ-аутсорсинга;

·        выявить особенности и место ИТ-аутсорсинга за рубежом;

·        определить состояние и перспективы развития рынка ИТ-аутсорсинга в России и разработать предложения, направленные на дальнейшее расширение его масштабов и совершенствование форм.

·        выявить особенности и трудности использования ИТ-аутсорсинга в России, возникающие в связи со спецификой российских рынков.

Вопросы развития аутсорсинга отразили в своих работах целый ряд ученых: Аалдерс Р., Киселев А.Н., Аникин Б.А. Готтшальк П., Молоткова Н.В. Спарроу Э., Карачаровский В., Калинина Л. и др. Проводились и проводятся опросы предпринимателей по проблемам аутсорсинга. Однако большинство работ на эту тему носят не теоретический, а информационный и прикладной характер. То есть, накоплен большой материал, требующий теоретического обобщения и систематизации. Современные реалии требуют новых научных подходов к исследованию влияния аутсорсинга на хозяйственный механизм и структуру экономики. До сих пор остается множество вопросов, требующих дальнейшей разработки. Терминология в данной области экономических исследований еще не устоялась и требует уточнения и систематизации. Таким образом, недостаточная степень научной разработанности проблемы, несомненная практическая значимость для российской экономики обусловили выбор темы исследования и определили его цель.

В дипломной работе использовались информационные и аналитические материалы научно-исследовательских учреждений, информационных агентств и служб, экспертные оценки и расчеты научных и практических работников, материалы периодической печати, источники интернета.

Методологической основой исследования явились методы общенаучного познания: сравнение и описание, систематизация и логическое познавательное осмысление, группировка, а также традиционные приемы экономического анализа.

Дипломная работа состоит из введения, трех глав, заключения и списка использованной литературы. В первой главе раскрывается понятие и сущность ИТ-аутсорсинга, рассматриваются виды ИТ-аутсорсинга, а также место ИТ-аутсорсинга в современном рыночном механизме. Во второй главе работы проводится анализ институциональной основы развития рынка ИТ-аутсорсинга в России, рассматриваются необходимые изменения в этой сфере. В третьей главе изучаются отечественный рынок ИТ-аутсорсинга и основные сферы его развития. Также подробно рассматривается офшорный ИТ-аутсорсинг, как перспективный рынок услуг для России. В заключении обобщены результаты проведенных анализов, и подведены итоги по проделанным в дипломной работе исследованиям.

Глава 1. Экономическое содержание рынка ИТ-аутсорсинга и его место в современной экономике

.1      Теоретические основы ИТ-аутсорсинга

1.1.1 Понятие, сущность и цели ИТ-аутсорсинга

Для начала дадим определение «Аутсорсингу» (Оutsourcing), данный термин переводится с английского как «заключение договора подряда с внешними компаниями». Аутсорсинг - неологизм, появившийся на Западе только в начале 80-х гг., но с тех пор широко распространившийся в мире. По аналогии были созданы термины "ауттаскинг" (outtasking) - передача вовне отдельных задач организации и "аутплейсмент" (outplacement) -"вывод персонала за пределы фирмы. И так аутсорсинг - это способ оптимизации деятельности предприятия за счет передачи непрофильных функций внешним специализированным компаниям.

К определению аутсорсинга информационных технологий существуют различные подходы. В них данное понятие рассматривается как с разных позиций практики аутсорсинга: снижения затрат, качества обслуживания, набора услуг, доступа умениям и навыкам, рисков, степени технологической зрелости, так и различных теоретических основ: экономической теории, теории транзакционных издержек, теории управления, теории принятия решений.

Наиболее часто под ИТ-аутсорсингом понимается передача части или всех ИТ-функций внешнему поставщику услуг на условиях заключенного долгосрочного соглашения, в рамках которого проводится передача или продажа ИТ-активов в совокупности с переводом персонала на оговоренный период.

Применение ИТ-аутсорсинга начиналось с поддержки ИТ- инфраструктуры, а со временем распространилась и на обслуживаемые ею прикладные задачи и бизнес-процессы. На сегодняшний день ИТ - аутсорсинг представляет сформировавшийся вид услуг аутсорсинга, который развивается вместе с рынком информационных и коммуникационных технологий.

Основными группами услуг в области ИТ-аутсорсинга являются:

·        Техническая поддержка и управление ИТ - инфраструктурой: поддержка средств вычислительной техники, базовых корпоративных сервисов, телекоммуникационных систем, систем обеспечения информационной и технической безопасности, бизнес-приложений.

·        Разработка и развитие информационных систем: разработка приложений и их интеграция с другими системами, развитие существующих информационных систем.

·        Обучение и развитие персонала организации - клиента в области ИТ: создание и проведение программ обучения, оценка эффективности обучения.

·        Предоставление ИТ - персонала различного уровня квалификации для выполнения поставленных задач: разработчиков, программистов, системных администраторов, администраторов баз данных, менеджеров проектов, аналитиков и т.д.

Постоянные изменения в бизнесе и усложнение ИТ-инфраструктуры приводят к тому, что многим компаниям трудно контролировать и обеспечивать защиту разрастающихся ИТ-систем. ИТ-службы, вместо того, чтобы сфокусировать свои усилия на обеспечении проектов роста компании, загружены поддержкой рутинных функций. Это оборачивается недостатком внимания по отношению к проектам развития, что грозит срывом сроков их реализации. В то же время недостаточное внимание к процессам эксплуатации приводит как минимум к удорожанию эксплуатации, а зачастую и к падению качества поддержки.

Специализирующаяся на услугах ИТ-аутсорсинга компания может обеспечить высокую надежность и эффективность функционирования систем за счет наличия высокотехнологичных ресурсов, опыта и производственного масштаба своей организации. Тщательный контроль над собственными ИТ-системами и тем, что делает аутсорсер, достигается за счет четкой регламентации взаимодействия.

ИТ-аутсорсинг может позволить компании:

         быстро наладить бесперебойную работу ИТ-систем

         зафиксировать требуемое качество сервиса

         оперативно привлекать высококвалифицированных специалистов к решению проблем

         существенно снизить риск потери критически важных данных

         оптимизировать и сделать более предсказуемыми затраты

         сконцентрировать ресурсы компании на профильном бизнесе

Среди целей ИТ-аутсорсинга можно выделить следующие:

ü  снижение TCO: снижение TCO и «скрытых затрат» связаны со стандартизацией, большим масштабом и более эффективным управлением. Помимо всего прочего происходит высвобождение капитала для реинвестирования в основной бизнес;

ü  увеличение прозрачности: стандартизованная инфраструктура и увеличение прозрачности основных средств в сочетании с эффективным управлением бюджетом. Прозрачность SLA увеличивается и сочетается с эффективным управлением рабочими нагрузками;

ü  уменьшение количества поставщиков услуг влечет за собой уменьшение комплексности инфраструктуры, что приводит к упрощению процесса поддержки и к уменьшению операционных рисков;

ü  увеличение качества: комплексные решения уменьшают количество нескоординированных поставщиков, повышая качество предоставляемых услуг и уровень удовлетворенности пользователей;

ü  увеличение масштабируемости: обеспечение гибкости и масштабируемости нуждается в увеличении уровня поддержки основного бизнеса.

ИТ-аутсорсинг позволяет осуществить передачу функций поддержки информационной системы внешнему исполнителю избавляет компанию от расходов на содержание штата ИТ-специалистов. В идеале, настроенная вычислительная техника, периферийное оборудование и программное обеспечение требуют лишь периодического обслуживания, соответственно постоянное содержание штатных специалистов при их слабой загрузке может рассматриваться на уровне компании, как неоправданные расходы. В то же время, в масштабе крупных холдингов, их сокращение может составить существенную экономию. Если стоимость услуг аутсорсинга не превышает величины указанной экономии, есть все причины к нему прибегнуть.

ИТ-аутсорсинг позволяет высвободить управленческие ресурсы для решения профильных для компании задач. Для любой компании, не специализирующейся на информационных технологиях, настройка и поддержка вычислительной и оргтехники, разработка, настройка и внедрение информационных систем являются непрофильными видами деятельности, они не обеспечивают ей конкурентных преимуществ на рынке, однако отнимают энергию и время менеджеров. Логично передать указанные функции специализированным компаниям, а собственных управленцев задействовать на действительно важных для предприятия направлениях. Таким образом, каждый будет заниматься тем, что у него лучше всего получается.

Передача решения ИТ-задач на аутсорсинг избавляет компанию от необходимости расчета затрат на разработку и внедрение программных решений и ведения достаточно непростого учета нематериальных активов. Сегодня многие эксперты признают, что учет программных средств, приобретаемых компанией, исчисление соответствующих налоговых сумм, амортизационных отчислений и т.п. является нетривиальной задачей, так как современное российское законодательство достаточно слабо охватывает объекты интеллектуальной собственности, а методология учета таких комплексных объектов, как, например, интернет-портал, вообще отсутствует. Передавая разработку и настройку программного обеспечения и поддержку интернет-порталов на субподряд, компании одновременно избавляются и от сложностей, связанных с учетом в этой сфере. В результате в документах компании будет значиться лишь сумма, соответствующая оплате услуг партнера по аутсорсингу. Все вопросы бухгалтерского и налогового учета, связанного с программным обеспечением, решаются партнером самостоятельно.

Передача внешней фирме информационной системы в целом позволяет компании избавиться от затрат на программное и аппаратное обеспечение, на соответствующие обновления, ремонты и обслуживание. В последнее время речь начинает идти уже не только об аутсорсинге работ по наладке и настройке, обслуживанию и сопровождению информационной инфраструктуры, но и о передаче сторонним организациям всего комплекса мероприятий по созданию и поддержке корпоративной информационной системы. В последнем случае компания даже не приобретает в собственность аппаратное обеспечение - все предоставляется партнером по аутсорсингу. Такой комплексный аутсорсинг перекладывает на плечи партнера все заботы о поддержании инфраструктуры в рабочем состоянии, периодическом обновлении вычислительной техники и программного обеспечения, оргтехники и расходных материалов.

Однако если говорить об ИТ-аутсорсинге применительно к России, необходимо отметить, что из-за неразвитости отечественного рынка аутсорсинга и отсутствия в его рамках устоявшихся обычаев делового оборота информация о провайдерах практически недоступна. Оценить их квалификацию и ключевые компетенции можно лишь на основе ими же предоставляемых данных. Разумеется, о неуспешных проектах потенциальному заказчику никто не сообщит. В этих условиях компании крайне сложно, во-первых, выбрать из нескольких провайдеров одного, лучшего с ее точки зрения и, во-вторых, заранее определить, насколько уровень оказываемых конкретным провайдером аутсорсинговых услуг соответствует требованиям компании. Таким образом, компания, фактически, вынуждена «покупать кота в мешке», заключая соглашение без подробной информации об истории деятельности провайдера, его достоинствах и недостатках, мнениях предыдущих заказчиков.

Передавая часть функций своего ИТ-подразделения на аутсорсинг, компания при этом не может контролировать процесс формирования команды специалистов партнера по аутсорсингу и навязывать ему свои корпоративные нормы и правила. Поскольку речь идет о критичной для деятельности компании инфраструктуре, отсутствие возможности влиять на подбор персонала и на нормы, которыми он будет руководствоваться, создает для компании дополнительный риск. В первую очередь он связан с опасностью найма и/или включения в рабочую группу сотрудников с недостаточным уровнем квалификации, во вторую - с несогласованностью действий сотрудников компании и сотрудников аутсорсинговой фирмы, вызванная различиями в корпоративных стандартах, которыми они руководствуются.

Заключая контракт на аутсорсинговое обслуживание, компания теряет возможность контроля качества и сроков выполнения передаваемых внешней фирме ИТ-функций. В настоящее время деятельность аутсорсинговых компаний совершенно непрозрачна и точек контроля их деятельности просто не существует. Таким образом, качество и сроки выполнения ими своих обязательств по контракту можно проконтролировать лишь post factum, что практически не позволяет компании осуществлять оперативное планирование, так как о степени и качестве выполнения переданных на аутсорсинг функций до конца отчетного периода можно лишь строить предположения. Это же относится и к календарному планированию комплексов работ, часть из которых передана на аутсорсинг. Определить соответствующие ресурсы времени не представляется возможным.

Для крупных компаний, как правило, содержание собственных специалистов обходится дешевле привлечения аутсорсеров. В частности, в компании "Комплексные энергетические системы" вывод ИТ-подразделения в отдельное юридическое лицо привел к пятипроцентному росту затрат холдинга на информационные технологии. В то же время было отмечено, что для этого решения был целый ряд причин, не только экономического характера. Кроме того, руководству аутсорсинговой фирмы (входящей в холдинг) была поставлена задача снизить уровень ИТ-затрат на 15%.

Сотрудники партнера по аутсорсингу, работающие в компании в соответствии с контрактом, подчиняются своему непосредственному начальству, а не руководству компании-заказчика аутсорсинговых услуг. Это может создавать трудности при необходимости проведения каких-либо оперативных действий, например, восстановления работы информационной системы после сбоя. В этом случае компания-заказчик обладает информацией об оптимальной для себя последовательности восстановления функций информационной системы, а сотрудники аутсорсинговой фирмы действуют только по указаниям их собственного руководства. Поэтому наличие в компании сотрудников, выполняющих функции персонала, но подчиняющихся менеджменту внешней фирмы, создает дополнительные риски. Реализация этих рисков может обернуться для компании существенными потерями, возникшими в результате несогласованности действий персонала компании и ее партнера по аутсорсингу.

Допуск к бизнес-процессам компании третьих лиц создает существенные риски информационной безопасности. Эти риски связаны как с возможностью потери информации, так и с возможностью ее разглашения по вине сотрудников провайдера услуг аутсорисинга. Это очень важный фактор, так как даже подписание специального соглашения об ответственности партнера по аутсорсингу за нарушение целостности или конфиденциальности информации компании не является гарантией того, что этого не случится. Как правило, следующие за этим судебные разбирательства, и даже их успешное завершение, не могут компенсировать потери компании. Поэтому сегодня отечественные фирмы крайне настороженно относятся к возможности обработки своей внутренней информации третьими лицами.

Подводя итоги относительно эффективности ИТ-аутсорсинга можно выделить основные плюсы и минусы как самостоятельной поддержки ИТ, так и аутсорсинга (табл. №1).

Табл. №1

Самостоятельная поддержка ИТ

ИТ-аутсорсинг

Плюсы

Минусы

Плюсы

Минусы

1. формальный контроль над персоналом и процессами в ИТ; 2. отсутствие необходимости взаимодействовать с подрядчиком.

1. отсутствие реального контроля над персоналом; 2. сложность внедрения инноваций; 3. высокая стоимость владения и поддержки;  4 непрозрачность затрат на ИТ; 5. необходимость поиска ИТ-специалистов и управления ими.

1. финансовая ответственность за качество сервиса; 2. быстрый доступ к технологиям и легкость внедрения инноваций; 3. возможность снизить стоимость владения и поддержки; 4. полная прозрачность затрат; 5. нет проблемы поиска ИТ-персонала; 6. фиксированный уровень сервиса.

1. страх потери оперативного контроля над системами;  2. страх утечки коммерческой информации; 3. зависимость от провайдера.


Сегодня трудно найти компанию, которая не использовала бы в своей повседневной работе ИТ. Обслуживание и настройка техники, консультирование пользователей, установка и сопровождение бухгалтерских и кадровых программ, офисного ПО - вот стандартный перечень работ, которые выполняют ИТ-специалисты практически в каждой компании, независимо от ее размера, вида деятельности и количества сотрудников. Малые предприятия развиваются, а чтобы идти в ногу со временем, необходимо расширение спектра используемых ИТ, что нередко приводит к увеличению объема их обслуживания и сопровождения. Обеспечение должного уровня развития и обслуживания ИТ-инфраструктуры обходится небольшим предприятиям достаточно дорого и отнимает много времени. Поэтому многие ищут экономически выгодные способы решения этой задачи. Один из них - передача технической поддержки сторонней организации, для которой данные услуги являются основным видом деятельности, то есть на аутсорсинг. В любом случае, передаче должны подлежать лишь те ИТ-функции, которые не создают конкурентного преимущества компании на рынке. Вторые целесообразнее всего оставить у себя и развивать собственными силами, так как никакой провайдер услуг аутсорсинга не будет так заинтересован в усилении конкурентных преимуществ компании, как сама эта компания.

На сегодняшний день основным потребителем услуг по ИТ-аутсорсингу является крупный бизнес. Но экономический эффект от их использования минимален или отсутствует, чаще всего это делается для поднятия престижа. С финансовой стороны передача мероприятий по поддержке ИТ-инфраструктуры сторонним компаниям выгоднее всего сектору СМБ. Сколь популярно это решение сегодня среди российских компаний сектора малого бизнеса? В России ИТ-аутсорсинг для малых компаний пока менее популярен, чем в других странах, в основном из-за финансовых соображений, российские компании все чаще приходят к выводу, что нанимать штатного ИТ-специалиста дороже и проблематичнее, чем купить эти услуги у ИТ-фирмы. ИТ-аутсорсинг постепенно получает и будет получать в нашей стране все большее распространение по мере того, как приходит понимание экономической выгоды от его использования.

1.1.2 Рынок ИТ-аутсорсинга в структуре экономической системы

В ХХ веке произошел рывок в технологическом развитии средств передвижения, а также электронные средства обмена информацией (Интернет). В результате образовалась новая ситуация на рынках, так как появились не только сетевые товары, но, сетевые организации, сетевые рынки. Для сетевых рынков характерны следующие черты: виртуализация, сетевая организация равноправных участников, кооперация на базе информационных систем. Вместе с тем сегодня необходимо перейти к изучению их влияния на модели хозяйствования, особенно ИТ-аутсорсинг. С одной стороны, происходит разделение труда, углубляется специализация, появляются и обособляются новые сферы хозяйственной деятельности, отрасли, подотрасли и т.д. С другой - с развитием производительных сил происходит укрепление и усложнение связей между различными видами труда, сферами деятельности и т.п. Эти два процесса органически взаимосвязаны и взаимодополняют друг друга. Диалектическое единство двух процессов лежит в основе формирования сетевой структуры экономики. Одной из главных особенностей сетевой экономики является возможность установления прямых длительных связей между всеми участниками совместной деятельности. Создание такого рода связей в реальном пространстве требует, либо компактного географического расположения участников, либо больших затрат ресурсов и времени на их географические перемещения. ИТ-аутсорсинг неизбежно возникает как гибкая форма организации сетевых связей. Если сетевой доступ к экономическим объектам и агентам обеспечен, то проблема установления и поддержания нужных связей между ними в сетевой экономике превращается в проблему организации эффективного процесса непрерывных контактов и обмена информацией, что дает большой потенциал развитию ИТ-аутсорсинга. Сегодня место ИТ-аутсорсинга, в структуре экономической системы довольно неоднозначно и определить его достаточно сложно. Для того чтобы рассмотреть рынок ИТ-аутсорсинга, как систему экономических отношений, удобно, как нам кажется, использовать кластерную форму организации экономики.

В целом приводят три определения кластеров, каждое из которых особо подчеркивает какую-то его черту:

·        Это регионально ограниченные формы экономической активности внутри родственных секторов, обычно привязанные к тем или иным научным учреждениям (НИИ, университетам и т. д.);

·        Это вертикальные производственные цепочки; довольно узко определенные секторы, в которых смежные этапы производственного процесса образуют ядро кластера (например, цепочка «поставщик - производитель - сбытовик - клиент»). В эту же категорию попадают сети, формирующиеся вокруг головных фирм;

·        Это отрасли промышленности, определенные на высоком уровне агрегации (например, «химический кластер») или совокупности секторов на еще более высоком уровне агрегации (например, «агропромышленный кластер»).

Теория В. Фельдмана базируется на тезисе о том, что механизмы, которые ведут к образованию кластеров основаны на диверсификации, которая, в свою очередь, следует модели «затраты-выпуск». Компании выигрывают, имея возможность делиться положительным опытом и снижать затраты, совместно используя одни и те же услуги и поставщиков. Постоянное взаимодействие способствует формальному и неформальному обмену знаниями, сотрудничеству между организациями с взаимодополняющими активами и профессиональными навыками.


Рисунок 1. Участники кластера

Если рассматривать экономическую систему в данной интерпретации, у рынка ИТ-аутсорсинга, в отличие от остальных отраслей экономики, выявляется одна особенность: при прочих равных условиях, все участники кластеров являются потенциальными «покупателями» на рынке ИТ-аутсорсинга, а значит, все эти кластеры по отношению к данному рынку, находится внутри последнего, как это видно на рис. 2.

Рисунок 2. Рынок ИТ-аутсорсинга

Теперь, при рассмотрении рынка ИТ-аутсорсинга как системы экономических отношений логично выделить объекты и субъекты рынка (экономических агентов).

Субъектами рынка ИТ-аутсорсинга являются:

·        с одной стороны - аутсорсеры, предлагающие свои услуги

·        с другой - все отросли экономики (не включая, отросли, требующие секретности на государственном уровне, например, военная промышленность и т.п.)

Объектом рынка является - ИТ-ифраструктура.

Подводя итоги, можно сказать, что у рынка ИТ-аутсорсинга есть своя специфическая черта. Особенность заключается в том, что потенциальными потребителями этого рынка, в отличие от остальных, являются все кластеры экономики: инжиниринговые фирмы, производители, поставщики, кредитные организации, профессиональные объединения, органы власти и общественные организации и т.д. В России на сегодняшний день развитие рынка ИТ-аутсорсинга только точечное, поэтому данную трактовку можно использовать скорее с общей - теоретической точки зрения, хотя в некоторых странах ИТ-аутсорсинг востребован почти во всех отраслях экономики.

1.2    Виды ИТ-аутсорсинга в современной экономике

Прежде чем рассмотреть виды ИТ-аутсорсинга, хотелось бы отметить, что существуют полный и частичный ИТ-аутсорсинг.

Полный ИТ-аутсорсинг представляет собой комплекс услуг по решению задач, связанных с построением, развитием или сопровождением информационной инфраструктуры предприятия. В штате компании заказчика, как правило, нет своих ИТ-специалистов, все ИТ-функции выполняют фирмы подрядчики на договорной основе с указанием объектов обслуживания и классификацией уровня сервиса.

Полный ИТ-Аутсорсинг подразумевает прежде всего обслуживание следующих объектов ИТ инфраструктуры:

Обслуживание пользовательского оборудования и программного обеспечения:

·       Ремонт и обслуживание компьютеров.

·              Консультирование пользователей, удаленная поддержка, выезд в офис.

·              Настройка пользовательского ПО, консультирование.

Обслуживание серверного оборудования и программного обеспечения:

·       Администрирование серверной инфраструктуры (почтовые сервера, базы данных, интернет-ресурсы и др.).

·              Администрирование и обслуживание локальной сети в офисе/активного оборудования.

·              Обеспечение безопасности информационных систем компании.

Офисная телефония:

·              Помощь в выборе АТС, подключении, консультации.

·              Настройка АТС.

Полный ИТ-Аутсорсинг подразумевает самое плотное сотрудничество.

Частичный ИТ-Аутсорсинг, представляет собой определенный набор услуг, по решению задач, связанных с построением, развитием или сопровождением информационной инфраструктуры предприятия, но на аутсорсинг передаются не все ИТ-процессы, связанные с информационной системой, а только некоторые из них. Основную деятельность и контроль ведут свои штатные специалисты ИТ-службы Заказчика.

Частичный ИТ-Аутсорсинг подразумевает прежде всего обслуживание следующих объектов ИТ-инфраструктуры по выбору:

·              Ремонт и обслуживание компьютеров.

·              Консультирование пользователей, удаленная поддержка, выезд в офис.

·              Настройка пользовательского ПО, консультирование.

·              Администрирование и обслуживание локальной сети в офисе/активного оборудования.

Реже встречается (как правило в крупных компаниях этим управляет центральный офис):

·              Администрирование серверной инфраструктуры (почтовые сервера, базы данных, интернет-ресурсы и др.).

·              Обеспечение безопасности информационных систем компании.

·              Помощь в выборе АТС, подключении, консультации.

·              Настройка АТС.

·              Поддержка 1С.

·              ИТ-Консалтинг.

Виды ИТ-аутсорсинга в большинстве случаев тесно взаимосвязаны, взаимозависимы и взаимообусловлены, что способствует некоторой терминологической неопределенности, сложившейся в научно-практической литературе посвященной данной проблематике. В зависимости от конкретных видов деятельности, в которых специализируется аутсорсер, в вышеуказанных группах ИТ-аутсорсинга можно выделить следующие отдельные типы:

Ø  офшорное программирование;

Ø  управление CRM/SCM/ERP приложениями клиента;

Ø  аутсорсинг хранения данных;

Ø  аутсорсинг доступа к приложениям;

Ø  хостинг (e-business Hosting Services);

Ø  аутсорсинг службы поддержки пользователей;

Ø  поддержка сетевого оборудования (Network Outsourcing Services);

Ø  поддержка рабочих станций клиента (NetWorkStation Management Services) и др.

Поэтому обоснованной можно считать лишь ту структуру видов ИТ-аутсорсинга, которая в наименьшей степени содержит дублирующиеся или пересекающиеся позиции. Полностью избавиться от таких пересечений невозможно, поэтому на наш взгляд методически обоснованной можно считать укрупненную структуру, когда виды ИТ-аутсорсинга делятся на:

1)      Application service providing - ASP

)        Офшорное программирование

)        Тестирование программного обеспечения

)        Электронный бизнес

Раскроем каждый из этих видов.

Application service providing - ASP

В классическом понимании под ASP понимается доступ через интернет (или по другим каналам) к программным средствам и данным (приложениям), размещенным у провайдера (аутсорсера), на условиях периодической оплаты.

На массовом интернет рынке практически каждый из нас встречался с реализацией ASP, самый наглядный пример интернет-почта. Такая модель снимает с потребителя проблемы и затраты, связанные с эксплуатацией и развитием необходимых приложений и сопутствующей технической базы. Услуги ASP нацелены на решение следующих задач:

         хостинг web-сайтов, почтовых служб;

         эксплуатация сложных систем управления ресурсами предприятия и планирования его деятельности (ERP-системы);

         предоставление виртуальных «торговых площадок» для осуществления продаж через интернет;

         доступ к свободным каталогам интернет-продавцов для осуществления покупки через интернет;

         поддержка процесса обмена электронными данными (EDI)

         предоставление защищенного доступа к корпоративным данным.

Необходимо отметить, что сложились некоторые стандарты практической деятельности ASP, по которым: размер оплаты, как правило, зависит от количества пользователей, работающих со сдаваемым в аренду приложением; процессы резервного сохранения данных не прерывают функционирования приложений; арендатору по оговоренному регламенту предоставляется полная статистика по использованию арендованных приложений.

Офшорное программирование

Офшорное программирование (далее ОП) - это разработка программных комплексов на заказ в ситуации, когда заказчик и исполнитель территориально удалены друг от друга. Виды ОП в значительной степени различаются в зависимости степени концентрации данного рода услуг в компании-аутсорсере. Следует заметить, что есть компании, которые занимаются ОП-услугами общего назначения в полном объеме, а есть такие, которые делают уникальный программный продукт, ориентированный на конкретный вертикальный рынок или отдельного заказчика. В мире лидером офшорной разработки ПО признана Индия.

Тестирование программного обеспечения

Данный вид ИТ-аутсорсинга оформился в самостоятельное направление, благодаря развитию выше описанного офшорного программирования, что побудило разработчиков последнего получать стандарты, дающие полноценно выходить на мировой рынок. Устойчивые тенденции развития аутсорсинга тестирования ПО обусловлены следующими причинами:

·        высокими темпами разработки программных средств;

·        часто изменяемыми требованиями к ПО;

·        работой в интернете;

·        дефицитом основных видов ресурсов.

В самом общем виде все тестовые исследования имеет смысл разделить на две основные группы: функциональное тестирование и тестирование качественных характеристик. К первой относятся проверка соответствия проектируемой и реальной функциональности ПО, а также приемо-сдаточные испытания. Ко второй группе можно отнести исследования на эргономичность, производительность, безопасность, надежность и др.

В целом, каждый вид ИТ-аутсорсинга имеет место быть на данном рынке услуг, однако по всеобщему признанию важнейшим направлением ИТ-аутсорсинга является офшорное программирование. Особенно перспективно его продвижение на российском рынке, что дает новые рабочие места, улучшает общую структуру отечественного бизнеса и увеличивает доходную часть национального бюджета.

1.3 Зарубежный опыт ИТ-аутсорсинга на мировом рынке

Старейшая специализированная ИT-аутсорсинговая компания EDS в 1962 году была основана в Далласе Россом Перро. Первоначально он централизованно подводил балансы для нескольких банков, арендуя ночное время на мэйнфреймах (больших ЭВМ). Но когда EDS принесла General Motors годовую экономию в 44% (больше 4 млрд. долларов), взяв на себя сопровождение всех информационных потоков этой огромной корпорации, Перро понял, что стоит у истоков нового многообещающего бизнеса. Пропагандируемая многими специалистами в области корпоративной стратегии и менеджмента концепция перехода с функциональной модели управления организацией на модель, основанную на бизнес-процессах, потре6овала от крупных компаний более гибкой интеграции внутрифирменных процессов и информационных потоков с внешней средой. Рынок услуг, предоставляемых по схеме аутсорсинга, растет оказывая положительный эффект на развитие бизнеса в целом, хотя не исключены разного рода риски, связанные с потерей и кражей информации, несоблюдением договоров.

Становление мирового рынка аутсорсинга ИТ-услуг, которому всю дорогу предсказывали большое будущее, происходило на деле медленно, а путь его был тернист. Поначалу подавляющее большинство компаний боялись допускать внешнего поставщика слишком близко к своим ИТ-ресурсам - в первую очередь, из соображений информационной безопасности. Проблему доверия дополняли сомнения в целесообразности - действительно ли аутсорсинг позволит сэкономить? В 2003 году половина топ-менеджеров, заключивших аутсорсинговые соглашения, остались не удовлетворены результатами работы внешних провайдеров. Причиной недовольства указывалось то, что сделки не оправдали ожидания - предполагаемые результаты так и не были достигнуты. Вопрос длительных отношений с поставщиками услуг тоже оставался открытым - менее 30% опрошенных Gartner подтверждали свою готовность продолжительно сотрудничать с уже выбранными партнерами.

Проблема неэффективных взаимодействий с аутсорсерами тогда упиралась в слабое понимание ими специфики бизнеса и требований заказчиков, а также в недостаток сервисных компетенций. "Узким местом" было сотрудничество заказчика сразу с несколькими поставщиками ИТ-услуг по разным проектам, когда в итоге требовалось интегрировать усилия разных специалистов. Путь преодоления подобного "ESP-хаоса" (ESP - External Service Provider, внешний поставщик услуг), как назвал его Gartner, виделся в сотрудничестве с одним крупным подрядчиком. 40% крупных компаний, по прогнозам аналитиков, должны были уже за 2005 год прийти к такой модели построения взаимоотношений с аутсорсерами. Автоматически это выстраивало парадигму дальнейшего развития рынка, на котором, предполагалось, править бал будут очень крупные игроки с диверсифицированными портфелями услуг и мощной экспертизой. Тогда же начал обозначаться крен в сторону долговременных стратегических взаимоотношений провайдера с заказчиком. В крупных компаниях аутсорсинговые соглашения могут заключаться на пятнадцать лет. Средней продолжительностью такого рода партнерства считается срок от четырех до восьми лет.

В 2004 г. к уже имеющимся проблемам, тормозящим развитие рынка аутсорсинга в сфере ИТ, добавилась еще одна - как ни странно, политическая. Первыми забеспокоились американцы - их обеспокоила намечающаяся тенденция переноса рабочих мест ИТ-специалистов в развивающиеся страны. В США, по тогдашним прогнозам Gartner, до 25% рабочих мест к 2010 г. должны были уйти за рубеж - и преимущественно в Индию, семимильными шагами наращивающей офшорный аутсорсинг. В Европе уже в 2005 г. около 30% крупнейших представителей бизнеса предполагали использовать удаленные ИТ-услуги, комментировали в Gartner. Здесь самым быстрорастущим направлением обещал стать аутсорсинг контакт-центров. Европейцы, правда, были чуть меньше сконцентрированы на чистом ИТ-аутсорсинге, приоритетом считался аутсорсинг бизнес-процессов в целом (включая управление кадрами, финансами и т.д).

В 2007 г. опрос финансовых директоров ИТ-компаний в США, проведенный BDO Seidman, показал, что почти половина (49%) передают часть вспомогательных функций, главным образом связанных с производством, за рубеж. 51% отдают в ведение иностранцам ИТ-услуги и программирование, 49% - НИОКР, и треть - сопровождение call-центров. При этом в течение 2007 г. Gartner вновь фиксировал смещение фокуса компаний с одного крупного партнера на нескольких мелких подрядчиков. Продекларированный отказ рынка от гигантских многолетних контрактов сразу вызвал снижение цен на аутсорсинговые услуги по управлению ИТ-ресурсами и бизнес-процессами - практически наполовину. Чтобы не потерять уже имеющихся заказчиков крупные провайдеры уровня IBM пошли даже на возможность пересмотра аутсорсинговых контрактов. Включение в договор пунктов, предусматривающих, например, отслеживание роста стоимости услуг, или учет благоприятных/ неблагоприятных сценариев развития, дает заказчикам больше гибкости, резюмировали аналитики IDC. Формируются конкретные целевые показатели, и если подрядчик не может их достичь, возможен пересмотр контракта.

Постепенно аутсорсинг завоевывал своего заказчика, который в первую очередь начал отдавать вовне наименее критичные процессы. Передача на аутсорсинг поддержки ИТ-инфраструктуры перестала быть экзотизмом для отечественного пользователя. Со своей стороны поднаторели в этом сервисе и поставщики услуг. Развитость этого направления особенно ощутима сегодня - в момент кризиса, сопровождаемого сокращением ИТ-бюджетов, меньше всего беспокоятся как раз те ИТ-специалисты, чья деятельность - и со стороны поставщика, и со стороны заказчика, связана с поддержкой. Эта статья расходов, по всеобщему мнению, будет урезаться последней. Правда, перераспределение средств в данном случае может пойти как в пользу "своих", так и в пользу "сторонних". Второй вариант видится для апологетов аутсорсинга в России и более предпочтительным, и более вероятным. В подешевевшем своем варианте - на фоне общего снижения "аппетитов" отрасли - ИТ-аутсорсинг может оказаться действительно выгодным предприятием, с точки зрения сокращения издержек и более оптимального распределения ресурсов.

Вместе с тем, позитивный имидж аутсорсинга ИТ на рынке окончательно так и не сформировался. По данным опроса Forrester, проводимого в 2008 г., удовлетворенность качеством аутсорсинговых услуг так и остается невысокой. В целом компании полагают, что решение использовать аутсорсинг было верным, однако при этом 52% (из почти 1 тыс. респондентов) заявляют, что экономия получилась ниже, чем рассчитывали. Еще 40% говорят о невысоком качестве поставляемых услуг, 35% - о недостаточной гибкости вендора при изменяющихся бизнес-потребностях заказчика.

Выкристаллизовывающаяся идеальная модель аутсорсинга предполагала стратегическое и продолжительное партнерство, гибкое и легко корректируемое с помощью соглашений SLA, в рамках которого поставщик обеспечивает заказчику максимальное влияние технологий при минимальной стоимости их использования. Однако в пункте "минимальной стоимости" и начиналось основное противоречие. В лучшем случае, показывал опыт многих реальных проектов, аутсорсинг позволяет контролировать издержки, но не снижать их - по крайней мере, заметно.

Время внесло поправку: действительно, прибегнув к аутсорсинговой модели, можно сэкономить, но ощутима эта экономия окажется в первую очередь для крупных географически распределенных бизнесов, действительно расходующих на свое обслуживание космические суммы. Традиционно приводимый пример такого рода компании - Shell, тратившая на ИТ в год около 3 млрд долл. и сэкономившая за счет аутсорсинга около 600 млн долл.

Следующую поправку помог сделать глобальный опрос Gartner, проводимый в Северной Америке, Европе и Азиатско-Тихоокеанском регионе. Из почти 1 тыс. респондентов более половины назвали главной целью ИТ-аутсорсинга контроль/снижение эксплуатационных расходов. Это иллюстрировало растущий в разных регионах мира интерес к услуге поддержки ИТ-инфраструктуры внешним провайдером. Правда, его несколько омрачает тот факт, что в собственно момент перехода на аутсорсинговую модель сопровождения ИТ-инфраструктуры могут возникнуть единовременные дополнительные издержки. С другой стороны, высвобождение персонала, его перепрофилирование или сокращение избыточных рабочих мест со временем начинает давать эффект.

Помимо упорядочивания и сокращения издержек, респонденты признались, что ценят в аутсорсинговой модели возможность получения доступа к техническому опыту и знаниям, которые сложно вырастить и культивировать в своей среде. Отсюда появился тезис в поддержку аутсорсинга, даже в случае если контракт не позволяет существенно экономить - это получение за те же деньги более качественного и контролируемого сервиса. И, наконец, компании увидели возможность сфокусировать внимание на ключевых бизнес-процессах, отдав сопровождение обслуживающих вовне.

В новых же экономических условиях рынок ИТ неизбежно поменяет свой облик. Опасения игроков связаны с возможным спадом в отрасли. Уже почти половина крупных европейских и американских компаний сократили свои ИТ-бюджеты, по данным Forrester. Аналитики отмечают, что существенному урезанию подверглись бюджеты в 43% организаций (из 947 респондентов), при этом 16% сократили свои расходы на ИТ-услуги. 24% ожидают подобного шага от своего руководства в ближайшие кварталы - как реакцию на продолжающийся экономический кризис. Объемы сокращения, очевидно, зависят от географии и сферы деятельности организаций. Наиболее уязвимыми оказались предприятия финансовой отрасли, а относительно благополучными в этом смысле пока считаются медиа- и развлекательная индустрии.

В условиях уже происходящего сокращения ИТ-бюджетов и угрозы их дальнейшего урезания компании ищут пути для сокращения издержек на ИТ. И смотрят на аутсорсинг по-новому. 45% организаций, опрошенных Forrester, планируют увеличение использования аутсорсинга приложений, а 43% - аутсорсинга инфраструктуры. При этом 43% предполагают увеличить объем разработки, отдаваемых в офшоринг.

Нужно отметить, что сам рынок услуг, которые предоставляются по аутсорсинговой модели, сегодня серьезно отличается от того, каким он был пять лет назад. Gartner уже говорит об аутсорсинге следующего поколения. По прогнозам аналитиков к 2012 году около четверти всех ИТ-услуг будут предоставляться по так называемой нетрадиционной модели. Нетрадиционным - или альтернативным - способом предоставления услуг (Alternative Delivery and Acquisition Models, ADAM) считается обеспечение доступа к информационных ресурсам через веб.

В первую очередь в фокусе сегодня SaaS - предоставление ПО как услуги. Этот рынок считается сегодня незрелым - и ввиду малого количества предлагаемых по этой модели решений, и ввиду неготовности к их потреблению клиентов. Тем не менее, аналитики Springboard Research в 2008 г. объявили, что лояльность компаний к SaaS достигла исторического максимума. Скорость проникновения технологии в компании начинает набирать обороты - например, в азиатских странах средний ежегодный рост рынка SaaS держится на уровне 60%.

Другие перспективные направления в рамках "нетрадиционного аутсорсинга" - предоставление в качестве услуги дискового пространства и вычислительных мощностей. Всего Gartner выделяет 14 таких альтернативных моделей, относя к ним также Grid-вычисления, коммуникации как услугу (CaaS), инфраструктуру по запросу (infrastructure utilities - IUs) и т.д. Аналитики отмечают, что уровень "модуляризации" ИТ сегодня как никогда высок. Скорость распространения концепции Web 2.0 и виртуализации меняют сами представления о способах получения и оказания ИТ-услуг. И если пока речь идет о рациональном сочетании традиционного и нетрадиционного аутсорсингов, через несколько лет они, видимо, объединятся в единый формат предоставления сервисов.

В основном ИТ-аутсорсинг востребован организациями, достигшими определенного уровня развития своих ИТ-ресурсов, включая и уровень организации управления ими. В экономически развитых странах этот вид аутсорсинга широко распространен среди финансовых учреждений, где требования к ИТ особенно высоки, а также в сфере производства. ИТ-аутсорсинг применяют ведущие международные корпорации такие, как Henkel, Ford, British Petroleum, BASF, Petro SA и многие другие.на основе своих исследований объявил топ-30 стран подходящих для глобального аутсорсинга ИТ-услуг в 2010-2011 гг. Страны оценивались по 10 критериям. Многие организации, решаясь на аутсорсинг ИТ-услуг в страны с более дешевой оплатой труда, хотят знать, какие страны с наименьшим риском смогут осуществлять требуемые операции.   Согласно рейтингу Gartner, в список топ-30 стран для аутсорсинга ИТ-услуг вошли следующие:

·        Регион Америк: Аргентина, Бразилия, Чили, Колумбия, Коста-Рика, Мексика, Панама и Перу.

·        Азиатско-Тихоокеанский регион: Бангладеш, Китай, Индия, Индонезия, Малайзия, Филиппины, Шри-Ланка, Таиланд и Вьетнам.

·        EMEA: Болгария, Чешская Республика, Египет, Венгрия, Маврикий, Марокко, Польша, Румыния, Россия, Словакия, Южная Африка, Турция и Украина.

В течение последнего года Gartner наблюдал значительные усилия многих стран, чтобы упрочить свои позиции и повысить рейтинг на рынке офшорных услуг. Развивающиеся страны вложили большие усилия в услуги управления ИТ и бизнес-процессами, ставшие двигателем их экономического роста, и многие потенциальные торговые партнеры переходят от рецессии к первым признакам роста. И так, опишем и проанализируем результаты данного исследования по каждому из вышеперечисленных региону.

В этом году в списке топ-30 появились восемь стран Латинской Америки вместо семи. «Это указывает на прогресс, достигнутый в регионе, и эти страны становятся привлекательным предложением для крупнейшего рынка, покупающего офшорные услуги - Соединенных Штатов», - пишет Марриот. В прежние годы отсутствие государственной поддержки офшорных инициатив ограничивало привлекательность стран региона Америк. В настоящее время Мексика и Чили имеют рейтинг господдержки «очень хорошо», а Бразилия и Коста-Рика - «хорошо». Мексика лидирует по рейтингу трудовых ресурсов («очень хорошо»), а следом идут Бразилия и Чили (обе «хорошо»). Регион успешно развивал инфраструктуру, при этом Бразилия и Чили получили рейтинг «лучше всех», а Аргентина и Колумбия - «хуже всех». Что касается системы образования, то Чили, Мексика и Коста-Рика имели самый высокий рейтинг («хорошо»), а Панама - самый низкий («неудовлетворительно»).      По ключевому критерию затрат Мексика была единственной страной в регионе с рейтингом «очень хорошо»; все остальные имели рейтинг «хорошо», причем для Аргентины это был шаг вниз с прошлогоднего рейтинга «очень хорошо». По рейтингу политической и экономической обстановки Бразилия явно лидировала («отлично» вместо «очень хорошо» в прошлом году). Защита данных и интеллектуальной собственности и уровень конфиденциальности оставались слабым местом в регионе, и Мексика была единственной страной, превысившей рейтинг «удовлетворительно».

Азиатско-Тихоокеанский

Господдержка, повышающая привлекательность стран для аутсорсинга ИТ-услуг, была сильна в Индии, Китае и Малайзии, а Индонезия продолжает оставаться неудовлетворительной по этому критерию. Сочетание требуемых знаний и навыков, текущего масштаба и потенциала его роста в будущем дали преимущество Индии по критерию трудовых ресурсов перед другими странами региона. Вьетнам улучшил свое положение в этой категории, получив рейтинг «хорошо» наряду с Китаем, Малайзией и Филиппинами. Индонезия также улучшила свой рейтинг с «неудовлетворительно» до «удовлетворительно». Китай и Малайзия были высоко оценены по инфраструктуре, а Бангладеш была худшей по этому критерию («неудовлетворительно»). По рейтингу системы образования Китай, Индия, Малайзия и Филиппины также были первыми.

Список топ-30 в этом году включал 13 стран из региона EMEA: несколько членов Евросоюза, ряд европейских стран, не входящих в ЕС, и три африканские страны. Из этих стран только Египет поднялся выше рейтинга «хорошо» по господдержке, отражая всё еще требуемый объем внимания, чтобы создать среду, которая позволит этим странам стать частью глобальной модели предоставления ИТ-услуг. Впрочем, Южная Африка улучшила свой рейтинг с «удовлетворительно» до «хорошо». По критерию трудовых ресурсов EMEA также демонстрирует определенные ограничения в плане качества либо объема требуемых ресурсов, и ни одна из стран не достигла рейтинга выше, чем «хорошо». При сравнительном анализе всех стран списка топ-30 Gartner наблюдал некоторое ухудшение в рейтингах системы образования в EMEA в 2010 году. Россия сместилась вниз с рейтинга «очень хорошо» на «хорошо», а Венгрия и Румыния - с «хорошо» на «удовлетворительно».

Изучив историю становление мирового рынка аутсорсинга ИТ-услуг, необходимо отметить, что, несомненно, в некоторых странах данный рынок начал развиваться намного раньше, нежели в России, однако в свое время формировался он также неспешно и неуверенно. Мировая практика показывает, что значительную часть рынка ИТ-аутсорсинга составляет разработка программного обеспечения иностранной компанией - офшорное программирование. Наиболее широко использование офшорного программирования распространено в США. Офшорные модели также используются в Великобритании, Нидерландах, Франции, Германии и в странах Северной Европы. Активными поставщиками услуг офшорного программирования являются Индия, Китай, Мексика, Ирландия и страны Восточной Европы. В целом оказанием аутсорсинговых услуг в области информационных технологий занимаются крупнейшие производители компьютерных технических и программных средств, сетевых технологий и приложений, системные интеграторы, ведущие консалтинговые компании "Большой четверки" и другие консалтинговые компании, для которых ИТ-аутсорсинг является одним из видов деятельности. К их числу относятся IBM, EDS, HP, Siemens Business Services, Infosys, Capgemini, Accenture, Computer Sciences Corp.(CSC), и др.

Глава 2. Качественная характеристика ИТ-аутсорсинга в России

2.1 Институциональные основы развития рынка ИТ-аутсорсинга в России

Специфика информационных технологий состоит в том, что их внедрение и эксплуатация относится к доходному, но рискованному бизнесу. Государство не может ставить задачу вложений собственных инвестиций в информационный сектор, его роль - как показывает мировая практика, - создать необходимые условия для развития в этой области частных инвестиций, в том числе с привлечением иностранных и межнациональных компаний. Правительство Российской Федерации, учитывая опыт развитых стран, разработала федеральную целевую программу «Электронная Россия» на период 2002-2010 гг. Отличительная особенность большинства западных программ и стратегий их реализации состоит в том, что все используемые онлайновые технологии - электронную коммерцию, электронный бизнес, электронное правительство и т.д. - они рассматривают ни как самостоятельные изолированные сферы деятельности, а как интегрированную среду, представляющую собой единый фундамент для перехода к цифровой экономике и информационному обществу.

Принципиальное значение имеет непроработанная законодательная база в этой сфере. Для российских компаний само понятие аутсорсинг до сих пор остается размытым и непонятным, что вызывает недоверие к данным услугам. В России не существует правового института «аутсорсинг». При этом одним из основополагающих принципов гражданского права является свобода договора. Для оформления правоотношений по данным услугам используется схема гражданско-правового договора возмездного оказания услуг. Еще одним важным фактором сдерживающим развитие ИТ-бизнеса в России, является большая налоговая нагрузка, а именно страховые взносы (до 2010 года ЕСН). Поскольку доля заработной платы в производстве программных и других информационных продуктов достигает 75%, эти взносы более чем на треть увеличивает затраты средней компании по производству и разработки информационных технологий, что снижает ее конкурентоспособность . Это стимулирует вывод бизнеса за границу, даже в Белоруссию или Украину. Такая тенденция стратегически не выгодна для России, так как создаваемая интеллектуальная собственность, в конечном счете, капитализируется за пределами страны.

Поэтому для стимулирования количественного и качественного роста российского ИТ-сектора представляется насущным:

·              уменьшить выплаты по страховым взносам (с учетом того, что резкое повышение социальных налогов временно отложено);

·              снизить размер НДС на экспорт ИТ-услуг и продажи на внутреннем рынке - вплоть до нулевой ставки;

·              ввести режим «налоговых каникул» для начинающих ИТ-компаний;

·              упростить систему бухгалтерского учёта и отчетности, трудоёмкость которых в значительной степени превышает ведение учёта в других странах.

Эти меры - необходимая поддержка инновационно ориентированного бизнеса со стороны государства, которое должно быть заинтересовано в его развитии на отечественной рынке.

Необходимо развивать практику аутсорсинга - от создания ИТ-инфраструктуры до сервисной модели. Эффективность работы организаций и государственных структур сегодня во многом определяется степенью использования практики аутсорсинга, в том числе и в области ИТ. Создание соответствующей ИТ-инфраструктуры и её последующее сопровождение является непрофильной специфической деятельностью для государственных и коммерческих структур, не работающих в сфере ИТ. Общемировая практика направлена на выделение ИТ-услуг в отдельную отрасль со своими предприятиями, стандартами и правилами работы, подобно рынку услуг телекоммуникаций и энергетики. Специально разработанный мировой стандарт ISO 20000 дает детальные рекомендации по организации отношений между поставщиком и потребителем ИТ-услуг, основных процессов проектирования, производства и предоставления ИТ-услуг. Рынок этих услуг постоянно растет. Капитальные затраты на создание и развитие собственной инфраструктуры частично или полностью уступают место операционным расходам на потребляемые услуги в области ИТ, освобождая компании от непрофильной деятельности и специалистов, повышая эффективность затрат.

В развитых странах процесс формирования аутсорсинговых ИТ-предприятий идёт уже многие годы. Крупные организации применяют аутсорсинг как корпоративный стандарт, начав с выделения своих ИТ-подразделений во внешние компании или продажи их специализированным ИТ-компаниям. В последнее время эти процессы стартовали в России, но по структуре ИТ-рынка Россия сегодня еще отстает от общемирового уровня, где объем сервисных контрактов уже заметно опережает затраты клиентов на приобретение и создание собственных инфраструктур.

Способствовать развитию ИТ-аутсорсинга могло бы формирование бюджетов государственных организаций в части ИТ-затрат в большей степени по статьям, направленным не на капитальные затраты, а на приобретение услуг, как в случае с услугами связи.

Безусловная сфера государственного патронажа - это кадровое обеспечение модернизации экономики Российской Федерации. Успех модернизации экономики сегодня находится в прямой зависимости от обеспеченности квалифицированными кадрами. Наиболее востребованы кадровые ресурсы по приоритетным для модернизации экономики направлениям, в том числе ИТ-специалисты. Согласно результатам исследования АП КИТ, при развитии страны по модернизационному сценарию требуемое число ИТ-специалистов практически в три раза превысит современные параметры выпуска учреждениями высшего и специального образования по соответствующим направлениям подготовки . Недостаточное количество ИТ-специалистов в ИТ-индустрии и других отраслях экономики при реализации модернизационного сценария может стать тормозом формирования информационного общества и становления инновационной экономики России.

Для создания национальной интегрированной системы ИТ-образования, направленной на массовую подготовку конкурентоспособных специалистов международного уровня, требуется интеграция усилий науки, образования, индустрии и государства.

Конкретными шагами в этом направлении могут стать:

·              разработка и использование современных профессиональных и образовательных стандартов ИТ-сферы;

·              увеличение числа бюджетных мест в вузах и ссузах по ИТ-специальностям;

·              повышение квалификации преподавателей ИТ-дисциплин;

·              финансирование разработки современных учебно-методических комплексов по ИТ-дисциплинам;

·              повышение качества обучения за счет адаптации образовательных программ ведущих индустриальных компаний и привлечения к преподаванию ИТ-дисциплин высококвалифицированных представителей ИТ-отрасли;

·              организация сети и системы переподготовки и повышения квалификации граждан в области информационных технологий и подготовки ИТ-специалистов, в том числе за счет высвобождающихся кадровых ресурсов по другим направлениям;

·              построение устойчивых интегративных связей с ведущими мировыми университетскими и исследовательскими центрами и ИТ-корпорациями для обеспечения соответствия уровня подготовки российских специалистов требованиям и темпам развития глобального рынка информационных технологий;

·              усиление профессионально ориентированной работы среди российской молодежи.

Совершенствование системы профессиональной подготовки кадров для отрасли ИТ и приведение ее в соответствие с основными международными стандартами является критическим фактором развития отрасли. Меры, направленные на совершенствование системы образования, помогут решить проблему с обеспечением отрасли квалифицированными кадрами в долгосрочной перспективе. Необходимо обеспечить реализацию программы адаптации высшего профессионального образования к потребностям отрасли ИТ, привести учебные программы по подготовке специалистов в области ИТ в соответствие с лучшей международной практикой а также организовать на базе вузов курсы повышения квалификации по специальностям, востребованным отраслью ИТ. Для решения этой задачи необходимо обеспечить привлечение представителей ведущих мировых и российских компаний отрасли ИТ к участию в разработке программ обучения специалистов в области ИТ и организацию прохождения ими практики в этой области.

В целях обеспечения доступности финансовых ресурсов для отрасли ИТ необходимо обеспечить развитие венчурного финансирования как наиболее важного механизма для коммерциализации и внедрения новых разработок в промышленное производство и эксплуатацию. Кроме принятия специализированного законодательства, для развития венчурного финансирования представляется целесообразным создание фонда совместного инвестирования в компании отрасли ИТ, в котором государство может выступить в роли миноритарного инвестора для демонстрации стратегической роли отрасли в экономике страны . В качестве соинвесторов данного фонда необходимо привлечь ведущие западные венчурные фонды и российский капитал. Принципиальным условием эффективного функционирования фонда является управление средствами фонда профессионалами с опытом работы в ведущих иностранных венчурных компаниях. Участие ведущих международных фондов позволит предотвратить возможные злоупотребления и повысить качество управления имеющимися ресурсами.

Важной мерой институционального развития отечественной отрасли ИТ является принятие программы действий по защите интеллектуальной собственности и борьбе с нелегальным использованием ИТ-продуктов ("пиратством").

И так, основными проблемами развития ИТ-аутсорсинга, как экономического института в России можно назвать:

·        отсутствует правовое поле, нет понятия «аутсорсинг» в законодательстве РФ;

·        не регламентированы методологии, индустриальные стандарты, ценообразование;

·        взаимное недоверие заказчиков и поставщиков, нет страхования рисков аутсорсинговых контрактов;

·        нет возможности выкупа ИТ-инфрастуктуры, нет покрытия территории РФ ни одним поставщиком, нет «покрытия» большинства компетенций;

·        нет координации усилий государства, бизнеса и заказчиков.

Нормативно-правовое регулирование является главным рычагом воздействия на все направления информационного развития. Только активным участием государства можно повысить инвестиционную и социальную привлекательность ИТ-индустрии, улучшив тем самым предпринимательский климат в этой сфере. Следует выработать и юридически закрепить механизмы эффективного партнерского сотрудничества государственных предприятий и организаций с коммерческими структурами, работающем на отечественном и мировом рынках ИТ-аутсорсинга с целью развития и стимулирования отечественного производства социально значимых информационных продуктов. Требуется обеспечить правовое регулирование в области формирования, хранения и использования национальных информационных ресурсов и усовершенствовать нормы, регулирующие ответственность за правонарушение в сфере производства, хранения, использования и распространения информации. Дальнейшему совершенствованию подлежат институты защиты интеллектуальной собственности в области производства и потребления информации, прежде всего производителей, распространителей и пользователей информационных продуктов и услуг.

Отсюда следует, что для успешного применения ИТ-аутсорсинга необходимо учитывать не только обычные в мировой практике трудности его использования, но и российскую специфику этого, только начавшего формироваться, института: несовершенство законодательной базы, слабую культуру договорных отношений, недоверие предпринимателей к данной сфере услуг.

2.2 Оценка качества и экономической эффективности ИТ-аутсорсинговых услуг в России

Оценка качества ИТ-аутсорсинговых услуг

Качество услуги определяет (ГОСТ Р 50646-94) как «совокупность характеристик услуги, определяющих её способность удовлетворять установленные или предполагаемые потребности потребителя». Уровень качества услуги (обслуживания) - это «относительная характеристика качества услуги (обслуживания), основанная на сравнении фактических значений показателей её (его) качества с нормативными значениями этих показателей». Показатель качества услуги (обслуживания) - это «количественная или качественная характеристика одного или нескольких свойств услуги (обслуживания), определяющих её способность удовлетворять требованиям потребителя». Оценка качества услуги (процесса оказания услуги) - это «количественное или качественное определение степени соответствия показателя качества услуги (процесса оказания услуги) установленным требованиям» .

Процесс оценки качества ИТ-аутсорсинговых услуг начинается с определения номенклатуры необходимых показателей качества, обеспечивающих возможность оценки уровня качества услуги. Показатели качества услуги должны соответствовать требованиям потребителей, а также характеризовать свойства услуги на стадиях её жизненного цикла, обусловливающих её способность удовлетворять определённые потребности потребителей.

Для каждого этапа жизненного цикла результата услуги могут быть выбраны свои показатели качества. Исходными данными и высшим приоритетом при выборе показателей качества в большинстве случаев являются назначение, функции и функциональная пригодность услуги. Принципиальные и технические возможности и точность измерения значений показателей качества всегда ограничены их содержанием. Это определяет рациональные диапазоны значений, которые могут быть выбраны и зафиксированы в качестве оптимальных в спецификациях требований реальных технических заданий.

Подготовка исходных данных с выделением номенклатуры базовых, приоритетных показателей качества, характеризующих функциональную пригодность услуги для каждой группы потребителей, сопровождается ранжированием по приоритетам самих потребителей, которым необходимы определенные показатели качества услуги с учетом их специализации и профессиональных интересов.

Согласно ГОСТ Р 52113-2003 показатели качества распределены по основным группам, характеризующим свойства

услуг:

• назначение;

• безопасность;

• надежность;

• профессиональный уровень персонала .

Подгруппа показателей применения группы показателей назначения характеризует свойства услуги, определяющие основные функции, для выполнения которых она предназначена. Однако эти показатели, а также специфические показатели ГОСТ Р 52113-2003 не определяет, так как области распространения, номенклатура и функции ИТ-аутсорсинговых услуг настолько различны и охватывают столь разнообразные сферы деятельности человека, что невозможно выделить и унифицировать небольшое число характеристик для их оценки и сравнения. Поэтому в зависимости от специфических особенностей услуг и условий их предоставления показатели применения и специфические показатели определяются в каждом конкретном случае индивидуально. Кроме того, некоторые группы показателей качества в номенклатуре могут отсутствовать вовсе. Что касается таких видов ИТ-аутсорсинговых услуг, как разработка разных видов программного обеспечения; разработка, внедрение и поддержка информационных систем; системная интеграция, то в этом случае в качестве показателей применения используются характеристики качества программных средств - функциональная пригодность и корректность, регламентируемые первой частью международного стандарта ISO 9126-1-4 (ГОСТ Р ИСО МЭК 9126-93).

После фиксирования исходных данных выполняемых потребителем оценок качества, процессы выбора номенклатуры продолжаются на основе ранжирования характеристик для конкретного проекта и их потребителя. Затем для каждых отобранных показателей должны быть установлены и согласованы характеристика и шкала оценок с выделением требуемых, допустимых и неудовлетворительных значений. Исходя из принципиальных возможностей измерения, все показатели качества могут быть отнесены к следующим типам характеристик:

• категорийные, или описательные (номинальные) характеристики (наиболее адекватны показателям назначения и безопасности предоставленных ИТ-аутсорсинговых услуг);

• количественные характеристики (применимы для измерения большей части показателей надёжности предоставленных ИТ-аутсорсинго-вых услуг);

• качественные характеристики (в наибольшей степени соответствуют показателям профессионального уровня персонала предоставленных ИТ-аутсорсинговых услуг).

Для показателей, представляемых качественными признаками, необходимо определить и зафиксировать в спецификациях описания условий, при которых следует считать, что данная характеристика реализована. Выбранные значения характеристик качества должны быть предварительно проверены разработчиками на их реализуемость и при необходимости откорректированы с учетом доступных ресурсов конкретного проекта. Подготовленная исходная номенклатура показателей качества, отражающая специфику вида услуги, с учетом установленных приоритетов и требуемых значений, фиксируется в контрактах (договорах) на предоставление услуг.

Для оценки качества результатов ИТ-аутсорсинговых услуг, таких как разработка разных видов программного обеспечения; разработка, внедрение и поддержка информационных систем; системная интеграция применимы методологии и стандартизации оценки характеристик качества готовых программных средств и их компонентов (программного продукта) на различных этапах жизненного цикла, регламентированные международным стандартом ISO 14598:1998-2000. Реализация процессов оценки должна коррелировать с этапами жизненного цикла конкретного проекта программного средства в соответствии с применяемой, адаптированной версией стандарта ISO 12207.

Применяемые методы контроля и оценки показателей качества ИТ-аутсорсинговых услуг согласно ГОСТ Р 52113-2003 классифицируются по следующим признакам:

− цели применения;

− физико-статистические признаки и процедуры;

− методы формирования результатов.

По цели применения методы контроля и оценки качества услуг подразделяются на три группы:

• определение соответствия качества услуг требованиям нормативной документации и/или потребителя - при формировании стандартов на услуги (процесс предоставления услуги, предприятие, персонал), оценке соответствия услуг и систем качества;

• установление факторов (условий), способствующих достижению требуемого уровня качества услуг - при управлении качеством;

• сравнительная оценка (ранжирование) качества выполнения одинаковых услуг различными предприятиями.

По физико-статистическим признакам и процедурам методы контроля и оценки показателей качества аутсорсинговых услуг в области информационных технологий подразделяются на группы:

• инструментальный - в виде результата соответствующих измерений;

• органолептический - через реакцию органов чувств контролера, результат оценки может носить качественный

(альтернативная или градационная оценка) или количественный характер;

• модельно-расчетный - с использованием зависимости оцениваемого показателя качества от показателей, определяемых другими методами (детерминированный) или моделированием случайного процесса формирования показателей качества (стохастический);

• экспертный - на основе анализа суждений (качественных и количественных оценок) экспертов.

Методы формирования результатов контроля и оценки показателей качества подразделяют на группы:

• определение различий единичных показателей качества: детерминированной разности значений или мгновенной разности; разности статистических характеристик (математическое ожидание, дисперсия); разности прогнозных значений показателя на определенный момент времени или разности скоростей изменения (тренда) математического ожидания этого показателя. Эти методы используются при всех способах получения значений показателей качества;

• формирование обобщенных показателей: метод квалиметрии - с использованием взвешенного суммирования единичных показателей и определением «весов» экспертным путем; метод выбора определяющего показателя, соответствие которого установленным требованиям является главным условием признания услуги качественной, небольшие отклонения значений других показателей признаются несущественными (определяющим показателем рекомендуется принимать показатель безопасности); метод выбора в качестве определяющего показатель с наибольшей скоростью изменения. Эти группы методов используют при всех способах получения значений показателей качества.

Изложенный ниже способ измерения качества ИТ-аутсорсинговых услуг поможет вычислить результирующий показатель, объединив значения как количественных, так и номинальных, и качественных характеристик показателей качества:

• Определение факторов, влияющих на оценку качества ИТ-аутсор-синговых услуг.

• Определение критериев по каждому фактору.

• Определение требуемых (эталонных) значений показателей качества (номинальных, качественных, количественных).

• Оценка ИТ-аутсорсинговых услуг по каждому критерию.

• Сравнение полученных значений с эталонными, ранжирование по уровню удовлетворения требований и начисление баллов для каждой оценки по предварительно разработанной шкале.

• Определение для нефункциональных (конструктивных) показателей качества значений (вектора) их приоритетности (Р) для каждой группы заинтересованных сторон (актеров). Для функциональных характеристик качества значение Р = 1.

Всю совокупность показателей качества услуг условно можно представить как принципиально различные группы:

• функциональные (первичные) показатели качества, определяющие назначение, основные функции и область применения - показатели применения (функциональная пригодность ПС). Состав, содержание и характеристики качества этой группы трудно унифицировать, так как для каждой услуги они определяются специфическим назначением и сферой применения конкретной услуги. Назначение и функциональная пригодность являются основной целью и базовой характеристикой качества услуги, для поддержки и обеспечения которой все остальные показатели качества объединены условно в группу нефункциональных;

• нефункциональные (вторичные) характеристики улучшают первичные характеристики, повышают удобство и расширяют сферы применения услуги пользователями. Номенклатура, шкалы и меры показателей качества этой группы инвариантны к функциям услуги и могут быть стандартизированы. Их влияние может значительно изменять или полностью исключать возможность и целесообразность применения по назначению конкретного результата ИТ-услуги. Поэтому важен баланс между первичными и вторичными характеристиками качества. К ним можно отнести способность к взаимодействию, защищенность, надёжность, эффективность, практичность, сопровождаемость, мобильность.

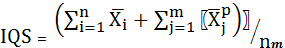
Вычисление интегрального показателя качества ИТ-аутсорсинговых услуг (IQS) возможно по следующей формуле:


где  - средняя взвешенная i-й функциональной характеристики качества;  - средняя взвешенная j-й нефункциональной характеристики качества; n, m - количество функциональных и нефункциональных характеристик, соответственно; Р- вектор приоритетности.

Ранжирование полученных значений IQS производится по шкале, исходя из минимально и максимально возможных значений. Целесообразно сравнение полученных значений с расчётным эталонным и/или между собой при оценке ИТ-аутсорсинговых услуг разных поставщиков в случае выбора поставщика услуг. Предложенная методика отвечает следующим требованиям, а именно:

• опирается на действующие нормативные документы, которые определяют применяемую терминологию, классифицируют требования к услугам и приводят номенклатуру показателей их качества (ГОСТ Р 52113-2003 «Услуги населению. Номенклатура показателей качества», ГОСТ Р 50646-94 «Услуги населению. Термины и определения», ГОСТ Р ИСО 9000-2001 «Системы менеджмента качества. Основные положения и словарь», ОК 002-93 «Общероссийский классификатор услуг населению»);

• универсальна и применима кроме прямого назначения еще и в следующих случаях: при оценке деятельности сервисной организации для сравнения качества ее работы с другими фирмами; при категорировании (классификации) услуг по уровню качества;

• предоставляет возможность прямого сравнения, сопоставления оценок качества услуг;

• система оценок проста и понятна потребителям различного уровня подготовленности;

• определяет интегральный показатель качества, максимально учитывающий все характеристики качества и позволяющий увидеть состав и количественное выражение его составляющих;

• учитывает возможное изменение количества характеристик качества, входящих в интегральный показатель;

• позволяет объективно оценить качество полного ИТ-аутсорсинга, а также отдельных его составляющих.

Таким образом, предложенный способ позволяет интегрировать несоизмеримые между собой характеристики качества, а также различные представления о качестве услуг в одном показателе. Более того, видится возможным его использование и за пределами области ИТ-аутсорсинга: везде, где необходимо оценить качество продукта, опираясь лишь на использование словесных описаний или «приблизительных методов».

Оценка эффективности внедрения ИТ-аутсорсинговых услуг

Так как аутсорсинг одна из самых быстро развивающихся отраслей, то четких методов определения эффективности на настоящий момент не существует. Для многих руководителей компаний возврат на инвестицию в информационные технологии не является главнейшим критерием для принятия решения о реализации проектов. Оценивают чаще эффективность систем с точки зрения повышения производительности труда. Однако, в международной практике сложилось несколько различных методологических подходов к оценке эффективности от эксплуатации информационных систем.

Инвестиции в аутсорсинг информационных технологий дают отдачу в виде роста рыночной капитализации компании за счет ее большей управляемости, прозрачности, новых компетенций, производственной культуры, привлекательности для клиентов и сотрудников, уменьшения бизнес-рисков. В долгосрочной перспективе инвестиции в ИТ снижают дисконт на поток наличности от операционной деятельности компании, повышая ее биржевую стоимость, а также снижают ставку банковского процента за счет уменьшения рискованности бизнеса.

Сравнение видов деятельности в области информационных технологий с промышленными стандартами и лучшими методами организации производственных работ в других организациях помогает определить, где может быть достигнуто повышение производительности, а какие виды деятельности могут быть с выгодой переданы поставщику услуг аутсорсинга. Определение эффективности - это управленческий процесс, используемый организациями для получения сведений, изучения, оценки, улучшения и применения лучших методов организации производственных работ. В процессе определяются сильные и слабые стороны видов деятельности, связанных с информационными технологиями.

При определении эффективности также могут быть предоставлены критерии оценки производительности, по которым будут оцениваться виды деятельности, передаваемые поставщику услуг аутсорсинга.

Портфельный подход

Наиболее часто используемый подход оценки проектов по внедрению информационных технологий в компании -это так называемый портфельный подход. Его форма представляет собой простую таблицу правильно составленного ИТ-портфеля для предприятия. Такая таблица содержит исчерпывающий перечень бизнес-процессов компании с указанием всевозможных средств их автоматизации и оптимизации в сравнении. Портфельный подход применяется для оценки эффективности ИТ руководством компании на основании оценки, проведенной специалистами ИТ-подразделения. Оценка эффективности ИТ-портфеля осуществляется, как правило, с точки зрения производительности труда (естественно, при оптимизации бизнес-процессов командой внедрения в рамках проектов по интеграции соответствующих ИТ-решений на предприятии). Таблица также содержит сведения о стоимости проектов по внедрению и поддержке ИТ-решений. Портфельный подход создан для руководителя предприятия, который в простой и доступной форме получает всю минимальную и достаточную информацию для выбора стратегического направления для развития ИТ на предприятии.

Бюджетный подход

Бюджетный подход применяется на основе предпосылок о гарантированной эффективности ИТ при правильно построенных процедурах бюджетирования ИТ, мотивации персонала и контроля за расходованием средств. Данный подход применяется компаниями с уже сформировавшимся ИТ-хозяйством, когда большая часть ИТ-бюджета уходит не на внедрение новых ИТ-решений, а на поддержание уже внедренных ИТ (более 70 % от бюджета). Как правило, компании определяют долю в процентах от, например, дохода компании, которая уходит на инвестиции в ИТ. При этом ключевым параметром в обосновании для формирования такого бюджета является рост производительности труда. Стоит заметить, что на предприятиях, не освоивших ИТ-системы, такой подход не применим, так как бюджетировать расходы на ИТ в непроизводительный труд не имеет никакого смысла, сначала необходимо изменить суть бизнес-процессов, привести предприятие в соответствие с современными требованиями к ИТ-оснащенности. Инвестиции в ИТ распределяются по функциональным подразделениям, которые при должной мотивации формируют обоснование применения соответствующего ИТ-решения в привязке к росту производительности труда. Часто ИТ-бюджет осваивается функциональными подразделениями по принципу внутреннего подряда к ИТ-подразделению. Каждое из подразделений оценивает, какие решения в области ИТ являются обоснованными и необходимыми и, используя свой бюджет на ИТ, «заказывает» разработку у ИТ-подразделения. Таким образом, при внедрении ИТ-решений достигается эффективное участие в ИТ-проекте и персонала со стороны функционального подразделения, и работников ИТ-подразделения. В свою очередь, ИТ-подразделение, осваивая бюджеты от внутреннего подряда, привлекает внешних субподрядчиков для закупки/интеграции ИТ-решений.

Проектный подход

Современная финансовая теория признает четыре основных способа расчета эффективности проекта и его ценности для компании: срок окупаемости, возврат на инвестиции, внутренняя рентабельность и чистая прибыль от проекта с учетом стоимости капитала, приведенная к сегодняшнему дню. Подробное описание методологий есть в любом серьезном финансовом руководстве. Ирония заключается в том, что расчет NVP (чистая стоимость на данный момент - разница между итоговой экономии средств от реализации проекта консолидации и общей суммой инвестиций) или внутренней рентабельности требует учета многих параметров (стоимость капитала, свободные потоки наличности, эффект от налогов, остаточная стоимость и т.п.), которые при отсутствии уже освоенной на предприятии информационной системы получить сложно (а зачастую и невозможно). В связи с этим наиболее распространенной методологией оценки информационных систем является ROI (показатель возврата инвестиций) с точки зрения наглядности и простоты для руководителей компании и инвесторов. ROI, как правило, рассчитывается по функциональным подразделениям, включенным в проект внедрения информационной системы. Недостаток данной методологии заключается в том, что в рамках горизонта функционального подразделения очень сложно количественно оценить качественное изменение в сути бизнес-процессов (как вариант, важное качественное изменение может быть просто не замечено). В связи с этим такая оценка зачастую бывает притянута за уши или проигнорирована, если проводится самостоятельно функциональными службами без участия специалистов финансового подразделения. Оценка ROI, проведенная в совокупности с оценкой рисков внедрения информационной системы в компании, выдает показатели вероятности того или иного значения ROI (например, 85 % вероятности успеха на 50 % ROI, или 30 % вероятности успеха на 70 % ROI) . Для простоты расчета ROI имеет смысл разделить эффекты от внедрения информационной системы на три вида:

) Расчетный эффект - рассчитывается все до копейки (снижение незавершенного производства при внедрении ERP-системы на миллион долларов, за счет этого экономия банковского процента на сто восемьдесят тысяч, экономия бумаги на производство справочников службы снабжения или сбыта на десять тысяч долларов в год и т.п). Как правило, такой расчет наглядно демонстрирует финансовым руководителям рост производительности капитала.

) Эффект времени и производительности труда за счет более быстрого исполнения сотрудниками своих функций (например, на 15 минут в день для формирования отчетов о производстве основы для начальников смен, 8 часов в месяц для начальников складов и бухгалтеров для инвентаризации). В конце расчета этот эффект трансформируется в тысячи трудодней, обладающих объективной и внушительной стоимостью.

) «Тонкие» эффекты - рассчитываются, исходя из специфики каждой компании. Например, можно рассчитать эффект от внедрения ERP-системы на производстве для получения управленческой информации, которая позволит принять стратегические решения в отношении более эффективного использования производственных мощностей, или замены неэффективных рабочих мест на новые, более эффективные.

Как правило, основной эффект от внедрения информационных систем - это рост производительности труда:

• экономия рабочего времени определенного рода менеджеров;

• эффективное применение человеческих ресурсов на предприятии;

• сокращение стоимости осуществления той или иной трансакции на предприятии.

Для получения более наглядного обоснования в отношении эффективности внедрения информационных систем, как правило, применяют проектный подход с расчетом ROI, привлекая для исполнения таких работ консультантов, специализирующихся в таких оценках.

Производительность труда и капитала

Реализуемый эффект от ИТ представляет собой сложную взаимосвязь экономии капитала, роста производительности труда и создания новой добавленной стоимости. Современная экономическая наука измеряет эффект от ИТ на трёх уровнях:

) макроэкономическом - в первую очередь, как рост производительности труда в экономике целом (аргумент политиков). Такая оценка проводится двояко - ИТ, как отрасль вносит свой вклад в совокупный валовый продукт, и воздействует на повышение эффективности экономики в целом;

) уровне компании - рост производительности капитала в виде таких параметров, как возврат на инвестированный капитал или его производные (ROIC, ROE, ROA, RCE). Рост производительности труда используется, скорее, как вспомогательный наглядный инструмент в виде количества единиц продукции на работника;

) уровне исполнителя - операционный менеджмент, как правило, измеряет эффективность внедрения информационной системы, путем оценки роста производительности труда. Оценка эффективности системы за счёт роста производительности труда имеет одно редко используемое направление - операционный менеджмент компании иногда оценивает сэкономленное время работника, как время, в течение которого работник не создавал добавленную стоимость для компании.

Процесс в целом состоит из следующих ключевых этапов:

)        Определение границ исследования, другими словами, услуги или функции в области информационных технологий, которая будет оценена, и требований к информации. Вам необходимо будет определить данные, которые должны быть собраны, и внешние источники информации, которые будут использоваться. Например, вы можете собрать информацию относительно удовлетворенности клиентов, числа служащих, уровней заработков, используемого оборудования, времени отклика и финансовой эффективности. Проект должен быть планируемым и управляемым. Важно сопоставить количественные методы измерения с качественными оценками и избегать перегруженности числами.

)        Сбор информации из сведений, предоставленных клиентами, отчётов аналитиков, опубликованных отраслевых данных и данных организаций, которые специализируются на определении эффективности. Возможно, будет полезно обратиться к другим организациям, которые предлагают качественные услуги в области информационных технологий, с целью обмена данными о работе и лучших методах организации производства. В особенности стремитесь найти организации, которым были присвоены стандарты качества, такие как ISO 9001 (международный стандарт для систем управления качеством).

)        Анализ и проверка данных. Проверка правильности обычно осуществляется посредством проведения конференции специалистов, на которой участники от различных областей деятельности вашей организации просматривают данные, чтобы выявить какие-либо погрешности или несоответствия. Стандартизация данных - это попытка гарантировать справедливое сравнение результатов деятельности различных организаций. Если вы привлекаете к процессу определения эффективности внешнюю организацию, она будет иметь свои собственные формулы, основывающиеся, к примеру, на стоимости персонала в области информационных технологий в каждом географическом регионе.

)        Заключительный этап должен представлять собой повторение процесса определения эффективности на постоянной основе. Для получения максимальной выгоды определение эффективности должно стать неотъемлемой частью операций в области информационных технологий и может использоваться для демонстрации повышения производительности через какое-то время. Результаты осуществления процесса определения эффективности могут использоваться множеством различных способов: указывать на некоторые улучшения, которые могут быть достигнуты в пределах организации независимо от того, передана ли ИТ-услуга по договору аутсорсинга или нет; в результате процесса определения эффективности могут быть получены базовые данные, которые будут использованы в спецификации требований к выполнению передаваемой по договору аутсорсинга услуги; они могут использоваться как критерии оценки предложений предполагаемых поставщиков услуг аутсорсинга.

Таким образом правомерно сделать вывод, что определение эффективности может помочь организации повысить:

• экономичность, демонстрируя, что другие достигли более высокой продуктивности и/или более низких цен;

• эффективность, сравнивая издержки предоставления услуг в области информационных технологий, переданных по договору аутсорсинга, и вклада этих услуг в ваш бизнес, с тем, что было предоставлено в других организациях;

• результативность, сравнивая деловые цели, достигнутые с помощью аутсорсинга услуг в области информационных технологий, с тем, что планировалось первоначально.

Определение эффективности может первоначально использоваться для сбора базовой информации об услугах ИТ-аутсорсинга. После вступления контракта в действие определение эффективности может стать основой постоянных улучшений по мере развития рынков и технологий. Не имея такой техники измерения, организация будет всё в большей степени зависеть от суждения поставщика о разумных издержках обслуживания и знания новых технологических возможностей.

аутсорсинг информационный рынок

Глава 3. Особенности развития ИТ-аутсорсинга в современной России

.1 Характеристика состояния и перспективы развития рынка ИТ-аутсорсинга в современной России

ИТ-аутсорсинг в последние годы был одной из самых обсуждаемых тем. Повышенный интерес был связан, очевидно, с общей кризисной ситуацией в экономике и желанием российских компаний продолжить оптимизацию своего бизнеса с точки зрения снижения издержек, в частности - на сопровождение ИТ-инфраструктуры. Кризис 2009 года негативно отразился на динамике развития российского ИТ-рынка. Снижение объема продаж отмечают почти все компании, работающие на рынке системной интеграции. Так, в первом квартале 2009 года рынок систем автоматизации замер, но уже во 2-м квартале началось оживление, которое привело к качественным изменениям во взаимодействии с клиентами, партнерами, в самой компании, конкурентной среде и рынке в целом. При этом эксперты рынка отмечают возросший уровень требований заказчиков как по качеству работ и квалификации исполнителя, так и по цене и объемам выполнения бизнес-задач. Что касается таких секторов рынка, как виртуализации, аутсорсинг и управляемые услуги, то рост спроса на них наблюдался на протяжении всего года.

По оценкам ИК «Финам», объем всего рынка ИТ России по итогам 2009 года составил порядка $12,5-13 млрд, продемонстрировав таким образом снижение на уровне 30-33 % к уровню прошлого года . В наибольшей степени спад будет наблюдаться в таких сегментах ИТ-рынка, как сегмент программного обеспечения (спад составит около 40 %) и аппаратных средств (спад на уровне 35 %).

Сложившиеся жесткие рыночные условия на рынке автоматизации пошли на пользу потенциальным клиентам. Конкуренция среди компаний, занимающихся IT- консультированием и внедрением ERP-продуктов, обострилась, при этом «на плаву» остаются те, кто в состоянии измениться, предложить качество за разумную цену. Часть компаний-поставщиков отказалась от широкого спектра предоставляемых услуг и перешла на то, что они делают лучше всех, наиболее профессионально и так, как необходимо заказчикам. На данный момент ситуация выровнялась, и, по прогнозам, кардинальных изменений уже не произойдет.

Ряд экспертов считает, что «перелом» кризиса и «разморозка» бюджетов по настоящему еще не начались, а всплеск активности, как всегда под конец года, не означает, что экономика оттаяла. К сожалению, это означает, что многие компании не использовали ИТ для повышения своей эффективности, соответственно, отложили решение своих проблем «до лучших времен». ИТ - это один из самых эффективных инструментов роста в современном мире. Те компании, которые первыми поймут, что за счёт ИТ они смогут обеспечить себе реальные конкурентные преимущества на фоне кризиса, быстрее выйдут из него и смогут увеличить долю рынка».

Однако есть точка зрения, что «перелом» в кризисе 2009 года наступил уже весной, когда стабилизировался курс рубля и многие заказчики начали понимать, что «жизнь продолжается». Заказчики начали «размораживать» бюджеты в марте-апреле, когда предприятия уже могли строить прогнозы относительно своей работы. Но наибольшая активность, как обычно, наблюдалась в четвертом квартале».

С одной стороны, кризис стал причиной роста конкурентной борьбы среди работающих на российском рынке ИТ-компаний, а с другой - был расценен некоторыми компаниями как хорошее время для выхода на рынок РФ и начала бизнеса в нашей стране. Тенденция преимущественно затронула небольших игроков. Насколько известно, с рынка не ушел никто из игроков. Кризис негативно отразился на ИТ-рынке, но существенно в меньшей степени, чем на других сферах экономики. Таким образом, для покидания рынка объективных причин фактически не было.

Ведущие аналитики советуют участникам рынка воспользоваться временным затишьем с тем, чтобы пересмотреть свое портфолио решений и к моменту восстановления нормальной работы рынка иметь на вооружении новые конкурентные предложения.

Одной из таких подготовительных мер может стать найм на работу редких специалистов, некоторые из которых готовы сменить место работы в силу изменившихся условий. Когда рынок ИТ-услуг начнет восстанавливаться, поставщики будут укомплектованы квалифицированными кадрами, способными обеспечить своим работодателям конкурентные преимущества.

Опрос, проведенный CNews Analytics в 2010 году, показал, что рынок ИТ-аутсорсинга переживает болезни роста, связанные, в частности, с низким уровнем стандартизации в данной сфере. Немаловажным негативным фактором является и сложность точных оценок, во сколько реально обходится сопровождение ИТ-инфраструктуры собственными силами (инсорсинг) и, соответственно, сколько будет сэкономлено при переходе на аутсорсинг. Вместе с тем, рынок все дальше уходит от дилеммы - инсорсинг или аутсорсинг и приходит к разумному совмещению собственных усилий и услуг провайдеров.

Рисунок 1. Критерии выбора поставщика

По итогам опроса оказалось, что при выборе поставщика услуг компании в первую очередь руководствуются стоимостью. На втором месте - успешная история сотрудничества, на третьем - рекомендации. Кроме того, среди значимых для клиента факторов - важность высоких позиций провайдера в рейтинге, индекс упоминаемости в специализированных СМИ.

На развитых западных рынках, где проблема взаимного доверия не стоит так остро как у нас, принципиальными с точки зрения успеха становятся инновации. Одна из них - облачные технологии, в числе которых выделяют SaaS (Software as a Service), т.е. предоставление программного обеспечения в качестве удаленной услуги, PaaS (Platform as a Service) - предоставление в пользование технологической платформы и, наконец, IaaS (Infrastructure as a Service) - предоставление ИТ-инфраструктуры.

Облачные вычисления (cloud computing), как считают некоторые эксперты, могут полностью изменить модель работы на рынке ИТ-аутсорсинга. Вместе с тем, высказываются мнения, что у этой технологии пока есть проблемы использования в бизнесе, поскольку не сформированы общие стандарты, остаются вопросы по обеспечению безопасности и управлению распределенной ИТ-инфраструктурой. Также есть мнение, что облачные вычисления могут быть выгодны только небольшим и средним компаниям, однако, по мнению Everest Research, инвестиции в облачные технологии могут сэкономить предприятию до 40-50% расходов.

На российском рынке ИТ-услуг облачные вычисления скорее всего не найдут своих инвесторов, так как существует вероятность, что с повсеместным приходом этой технологии станет очевидной проблема создания неконтролируемых данных, когда информация, оставленная пользователем, будет храниться годами, либо без его ведома, либо он будет не в состоянии изменить какую-то её часть.

Где более всего распространены услуги ИТ-аутсорсинга? Выделить отрасль, более других использующую ИТ-аутсорсинг, нельзя. Согласно данным исследования рынка и перспектив ИТ-аутсорсинга, почти 70% респондентов-аутсорсеров работали с производственными предприятиями, примерно 60% - с государственными учреждениями и организациями, чуть менее 60% - с банками и страховыми компаниями, а также с торговыми сетями, около половины - с нефтегазовым сектором, энергетикой и телекоммуникационными компаниями.

На рис. 2 представлена диаграмма распределения крупнейших клиентов аутсорсинговых компаний по отраслям. Участники опроса называли в качестве своих крупнейших заказчиков такие промышленные предприятия, как АФК «Система», Ruuki, РОСНАНО, РУСАЛ, «Северсталь», General Electric и General Motors; в нефтегазовом секторе и энергетике ИТ-аутсорсингом активно пользуются ТНК-BP, «Роснефть», «Лукойл», Минэнерго РФ, в финансовом секторе (банки, страхование, лизинг) - Сбербанк, ВТБ, ИФД «Капитал» и Raiffeisenbank, в сфере телекоммуникаций и связи - МТС, «Мегафон», «ВымпелКом» и МТТ.

Рисунок 2. Распределение наиболее крупных компаний, использующих ИТ-аутсорсинг, по отраслям.

Как распредилилось мнение респондентов по поводу факторов влияющих на развитие рынка ИТ-аутсорсинга можно увидеть на рис. 3. Препятствующим развитию фактором большинство участников опроса - 33%, отметили общую незрелость рынка, а стимулирующим фактором - 20,5%, возможность оптимизации издержек.

Рисунок 3. Факторы развития российского рынка ИТ-аутсорсинга.

Сегодня крупный российский бизнес оценил преимущества использования модели аутсорсинга в отношении ИТ-услуг, в особенности таких, как разработка ПО, обслуживание информационных сетей и телекоммуникаций. В ближайшие два года большинство компаний намерены сохранить или расширить объемы потребляемых услуг ИТ-аутсорсинга. Эти выводы были сделаны в результате нового исследования, проведенного аналитической компанией in4media по заказу «Астерос» в марте - июне 2010 года. Участниками исследования стали 99 руководителей ИТ (CIO) и финансовых (CFO) подразделений крупнейших компаний списка ТОП-400 предприятий по версии журнала «Эксперт».

По данным проведенного опроса, к 2012 году абсолютное большинство крупных российских предприятий будут приобретать те или иные услуги ИТ-аутсорсинга. Так, почти три четверти (73%) опрошенных предприятий уже привлекают внешних поставщиков ИТ-услуг, еще более 13% планируют начать использовать ИТ-аутсорсинг в ближайшее время.

Наиболее популярными услугами на крупнейших российских предприятиях остаются аутсорсинг разработки ПО (71%) и аутсорсинг сетевых/телекоммуникационных услуг (51%).

Рисунок 4. Популярность услуг ИТ-аутсорсинга на российских предприятиях

Более 40% опрошенных уже сегодня используют аутсорсинг ИТ-инфраструктуры, а 35% - аутсорсинг приложений. В ближайшие два года список популярных услуг ИТ-аутсорсинга пополнят услуги аренды ИТ-инфраструктуры и Help/Service Desk.

Подавляющее большинство предприятий сотрудничают одновременно с несколькими поставщиками ИТ-услуг. Половина предприятий, использующих ИТ-аутсорсинг, работают по относительно небольшим аутсорсинговым контрактам - до $1 млн. Лишь 9% опрошенных компаний используют ИТ-аутсорсинг в более крупных масштабах с суммами контрактов более $10 млн.

Абсолютное большинство участников (91%) считает свой опыт аутсорсинга ИТ-услуг успешным и утверждает, что ИТ-аутсорсинг помог достичь поставленных целей. Лишь для 3% компаний проект по использованию ИТ-аутсорсинга оказался неудачным. Среди основных причин подобных неудач: срыв сроков, отсутствие грамотного управления проектом со стороны поставщика услуг, а также завышенные ожидания от проектов со стороны высшего руководства и акционеров предприятий-заказчиков.

Подход компаний к выбору поставщика ИТ-аутсорсинга не вызывает удивления. Наиболее важным критерием выбора является цена услуг, это отметили 83% опрошенных. Также для заказчиков играют большую роль известность и репутация поставщика ИТ-услуг, его опыт работы на рынке и отраслевая экспертиза.

По вопросу эффективности аутсорсинга мнения разделились. 70% респондентов считают, что аутсорсинг помогает оптимизировать ИТ-затраты и именно поэтому эти услуги становятся все более востребованными. Остальные же 30% руководителей утверждают, что выгода от применения ИТ-аутсорсинга не доказана и это сдерживает рост рынка аутсорсинга.

Резюмируя, можно сказать, что российский рынок ИТ-аутсорсинга недостаточно цивилизован. Это видно по многим факторам. Основные особенности российского рынка ИТ-аутсорсинга, отличающие его от соответствующих рынков экономически развитых стран, - это:

·              общая незрелость и неразвитость;

·              непрозрачность;

·              отсутствие общепринятых индустриальных стандартов аутсорсинга;

·              низкий уровень знаний в области аутсорсинга у руководства предприятий-заказчиков.

В качестве ключевых тенденций на рынке ИТ-аутсорсинга можно выделить

·              стандартизацию услуг ИТ-аутсорсинга;

·              реструктуризацию всего российского рынка под воздействием экономического кризиса;

·              усиление рыночной кооперации сервис-провайдеров.

Также необходимо отметить тенденции к снижению стоимости аутсорсинговых контрактов, использованию новых технологий управления предприятиями.

Среди перспективных направлений данного рынка услуг можно обозначить во-первых, это полный аутсорсинг, когда в собственности у заказчика, условно говоря, только авторучка и лист бумаги, а все остальное предоставляется разными компаниями. Во-вторых, это все тот же оффшорный аутсорсинг программного обеспечения, сервисов, дата-центров, серверного оборудования, о чем пойдет речь далее.

Вывод: кризис придал серьезный импульс развитию ИТ-аутсорсинга. Бизнес был поставлен в очень жесткие условия: с одной стороны, уменьшились бюджеты, сократился штат ИТ-персонала, с другой - требования к качеству ИТ-услуг остались на прежнем уровне или возросли. В этих условиях многие крупные предприятия были вынуждены пользоваться услугами внешних ИТ-поставщиков, что позволило расширяться данному рынку услуг. С высокой степенью вероятности можно утверждать, что развитие аутсорсинга будет способствовать выходу из кризиса как рынка ИКТ, так и всей экономики России.

.2 Офшорный ИТ-аутсорсинг, как прогрессивный рынок услуг в экономике России

Офшорный ИТ-аутсорсинг - это один из видов ИТ-аутсорсинга, предполагающий передачу процессов в области информационных технологий компаниям-подрядчикам, находящимся на некотором географическом удалении, часто в другой стране. Иными словами - это взаимовыгодное сотрудничество компаний заказчика и подрядчика, при котором физическое расположение их офисов и расстояние между ними не имеют значения.

Европейские компании основной причиной использования офшорных разработчиков называют традиционное снижение издержек, которое может составлять от 20 до 40% экономии на внутреннем штате или на локальных подрядчиках. Также учитываются два фактора - временные ограничения и необходимые навыки.

Офшорный аутсорсинг (офшоринг) - самое молодое направление ИТ-индустрии нашей страны. Прошло всего четыре года со времени, когда местные офшорные компании решились открыто объявить о своем существовании. О поддержке данной отрасли заявляют высшие руководители государства, о ней пишут общественные СМИ, с ее развитием связываются надежды на технологический прорыв страны на мировой рынок. Ведущими потребителями услуг офшоринга являются США, в меньшей степени - страны Западной Европы. Всплеску этого рынка в конце 90-х годов прошлого столетия способствовало много факторов, прежде всего - естественный процесс глобализации. Однако заметную роль тогда сыграла и позабытая сегодня, но очень нашумевшая в то время, когда резко возрос спрос на программистские услуги, причем довольно рутинные. Следующим важным фактором стал наступивший в начале нынешнего века экономический кризис, вынудивший западных заказчиков сокращать расходы на ИТ и искать более дешевые способы решения своих текущих задач.

Вот на таком фоне, в общем-то, благоприятном для нашей страны, и стартовала на рубеже веков отечественная офшоринговая отрасль. К этому нужно добавить, что как раз тогда у нас сменилось политическое руководство, и от новых правителей ждали решительных шагов по выводу России на достойные позиции в мировом сообществе.

Формальной точкой отсчета нынешнего этапа российской офшоринговой отрасли можно считать создание четыре года назад ассоциации "Руссофт" (бывшая Ассоциация разработчиков программного обеспечения), которая с тех пор является наиболее заметным и признанным представителем интересов отечественных разработчиков экспортного ПО. Отметим также, что вообще создание экспортного софта включает две составляющие - производство "коробочных" продуктов и разработку программ на заказ. И хотя все эти годы много говорится о необходимости продвижения первого направления, на практике видно, что основное развитие получило пока лишь второе - собственно офшоринг.

Изменение позиций ИТ-компаний на внешнем рынке является наиболее тонким индикатором конкурентоспособности рынка ИТ-услуг. Поставщики ИТ-услуг наращивают экспорт и борются с импортом. Экспортные позиции российских ИТ-компаний - своего рода «высшая проба» их потенциала, так как иностранные заказчики (особенно из стран дальнего зарубежья - Европы и США) являются наиболее требовательными клиентами. В этой связи интересно проследить, как менялись позиции российских ИТ-компаний на внешнем рынке ИТ-услуг в последние годы.

Рисунок 5. Динамика экспорта ИТ-услуг, 2007 - 1 кв. 2010

За 2009 год экспорт российских ИТ-услуг сократился на 21%, причем сокращение касалось как рынков стран дальнего зарубежья, так и СНГ. Падение достаточно глубокое, особенно на фоне фантастических темпов роста экспорта в докризисные годы (например, в 2007 году рост составил 73%). Даже в 2008 г. (начало кризиса) темпы оставались очень высокими (+50%), и это при том, что в Европе и США кризис обозначился уже с начала второго полугодия, а не в последнем квартале, как в России. С учетом этого, темпы роста экспорта российских ИТ-услуг по итогам 2008 года были просто невероятными, а падение 2009 года - не таким уже глубоким; по крайней мере, меньшим, чем на внутреннем рынке.

Заметим также, что ИТ-услуги в 2009 году сохранили свой относительный вес в общем объеме экспортируемых услуг (3,1% в 2009 году, по сравнению с 3,2% в 2008 году) - падение, таким образом, было пропорциональным по всем статьям экспорта. Не стоит обходить вниманием и тот факт, что по абсолютной величине экспорт 2009 года, несмотря на падение, оставался выше показателя в докризисном 2007 году (1,29 млрд долл. в 2009 году против 1,1 млрд долл. в 2007 году). Уже I квартал 2010 года продемонстрировал неплохую восстановительную динамику (рост 8,7% по отношению к I кварталу 2009 года).

Как и прежде, заслуживает внимания то, что более 93% экспорта отечественных ИТ-услуг идёт в страны дальнего зарубежья. Интересно, что восстанавливается, прежде всего, экспорт в страны дальнего зарубежья, а не в страны СНГ (по экспорту в страны СНГ в I квартале продолжилось падение - на 4,8% по отношению к соответствующему периоду 2009 года). Это, безусловно, является хорошей иллюстрацией того, что западные экономики высоко оценивают услуги российских ИТ-компаний, а спрос на них восстанавливается даже с более высокой скоростью, нежели сами экономики.

В 2009 году был очевиден застой - экспорт ИТ-услуг остался на уровне 2008 года. Основная проблема была не в том, что существующие клиенты сворачивали свои проекты и заказанный объем услуг (по нашей практике это случалось не часто и принципиально на объем бизнеса не влияло), а в том, что заключалось мало новых контрактов. Видно, что индустрия ИТ-услуг, в том числе и экспортных, возвращается к докризисным значениям роста.

Другими словами, кризис не изменил главного императива: завоевание российскими компаниями мировых рынков ИТ-услуг, возможности дальнейшего наращивания экспортного потенциала российских ИТ-компаний, как и прежде, связаны с повышением гибкости ценовой политики, наращиванием разнообразия предоставляемых услуг и их комбинаций. В последнее время заказчики стремятся разбить проект на более мелкие, обозримые этапы, оценивать и делать их последовательно, и по результатам выполнения предыдущего этапа, решать, как должен выглядеть следующий. В каком-то смысле это похоже на переход к agile-технологиям на уровне контрактов, а не отдельных инженерных требований. Как и раньше, наиболее востребованы услуги по разработке ПО - та область, где важнее не формальная стоимость человеко-часа, а отношение к проекту клиента как к своему собственному, умение общаться, умение придумывать простые решения для поставленных задач и т.п.

Вместе с тем, экспорт ИТ-услуг нельзя рассматривать в отрыве от импорта, который показывает, насколько в условиях кризиса иностранные ИТ-компании обыгрывают наших разработчиков и консультантов. Увы, анализ тенденций импорта говорит далеко не в пользу наших ИТ-компаний. Между экспортом и импортом ИТ-услуг всегда существовал некий баланс. Например, как видно на рис. 6, в докризисном 2007 году импорт ИТ-услуг на российский рынок составил 0,95 млрд долл, а экспорт российских ИТ-услуг - 1,1 млрд долл., при этом темпы роста импорта лишь немного отставали от экспорта (+66% - рост импорта в 2007 году, против 74% - рост экспорта в том же году). Кризис показал, что западные страны в чистом виде сократили закупку услуг российских ИТ-компаний и, напротив, закупка западных ИТ-услуг в России не только не сократилась по сравнению с 2008 годом, но даже возросла. Темпы роста импорта ИТ-услуг в 2009 году невелики (+0,4% в целом, +2,1% - рост импорта ИТ-услуг из стран дальнего зарубежья).

Рисунок 6. Динамика импорта ИТ-услуг, 2007 - 1 кв. 2010

Впрочем, хотя сами по себе темпы действительно невелики, по сравнению с 20%-ным падением экспорта, выглядят очень убедительно. По сути кризисный 2009 год перевернул чашу весов в пользу импорта не только по темпам роста, но и по абсолютной величине. По итогам 2009 года экспорт российских ИТ-услуг в страны дальнего зарубежья составил, как уже отмечалось, 1,29 млрд долл., а объем экспорта вырос до 1,43 млрд долл. При этом доля импортируемых на российский рынок ИТ-услуг в общей структуре импорта услуг выросла в 2009 году с 1,9% до 2,3%.

Механизм, который до кризиса тормозил вход на российский рынок западных ИТ-услуг, в условиях кризиса, напротив, стал фактором, дающим западным ИТ-компаниям конкурентное преимущество. Основных причин было две - одна связана со спецификой типового российского заказчика ИТ-услуг, другая - с разницей маркетинговых стратегией российских и западных ИТ-компаний. В первом случае скромная (если не сказать незначительная) выручка среднестатистического отечественного предприятия делала для него невозможными высокобюджетные инвестиции в развитие, что заставляло оккупировать низовые или средние ценовые ниши ИТ-услуг, в которых работали в основном российские ИТ-компании. Во втором случае играло роль различие в концепциях работы на рынках. Политика западных ИТ-компаний была основана на крупных, «статусных» внедрениях, тогда как запросы отечественного ИТ-бизнеса были более скромными.

Кризис существенно изменил конъюнктуру - он вывел с поля игры предприятия «средней руки», в результате чего российские разработчики потеряли одного из своих ключевых заказчиков. Потребители же западных ИТ-услуг довольно быстро адаптировались к кризису. Например, добывающие производства практически не пострадали - цены на нефть довольно быстро вернулись к более чем приемлемой отметке 75-80 долларов за баррель, а цены на газ почти не падали. В результате падение в секторе нефтегазодобывающих производств в 2009 году составило менее 1%, по сравнению, например, с машиностроением, падение в котором, даже по наиболее высокотехнологичным отраслям, в 2009 году составило 30-40%! Поэтому ориентация на «статусные» внедрения в высокопривилегированных отраслях российской экономики, безусловно, спасла доходы западных ИТ-компаний.

Наконец, период 2007-2009 гг. привел к нарастанию ещё одной тенденции, неблагоприятной для российских ИТ-компаний. В этот период нарушилось до сих пор стабильно существовавшее соотношение на российском рынке услуг российских и западных ИТ-компаний. До 2007 года это соотношение выглядело как 70/30 - 70% ИТ-затрат предприятий приходились на отечественные ИТ-услуги, 30% - на импортируемые. В 2007 году это соотношение несколько пошатнулось, став 67/33, в 2008 году продолжилось его изменение в пользу импорта - 54/46. Если базироваться на оценках аналитиков, которые в целом сходятся в том, что в 2009 году российский рынок упал на 30%, это означает, что соотношение российских и импортных ИТ-услуг на внутреннем российском рынке стало полностью обратным по отношению к докризисной ситуации - 34/66. Другими словами, лишь 34% всех затрат на ИТ-услуги в 2009 году приходились на услуги российских ИТ-компаний. Пока есть все основания полагать, что такое положение дел является исключительно ситуационным и начнет быстро меняться в обратную сторону по мере того, как кризис будет ослабевать, и деловая активность предприятий среднего бизнеса будет восстанавливаться.

В самое последнее время ситуация стала меняться к лучшему. Рынок офшорного программирования в России стал одним из самых динамичных сегментов экономики страны. Темпы его роста составляют 30-50% в год. Эксперты оценивают объём российского рынка оффшорного программирования в $380-500 млн191. Услугами российских разработчиков прибегают такие компании, как Intel, Motorola, Sun Microsystems, Boeing, Northern Telecom и др.

Более четко выявились преимущества российских программистов: высокий уровень подготовки, относительно невысокая стоимость труда, территориальная близость к странам Западной Европы, развитым странам Юго-Восточной Азии и Ближнего Востока.

Многие иностранные специалисты в области информационных технологий справедливо отмечают, что «ИТ можно назвать еще одним природным ресурсом России». Основным видом офшорных аутсорсинговых услуг в России является офшорное программирование - разработка ПО на заказ. Перечислим современные модели взаимодействия заказчик-исполнитель в сфере офшорного программирования.

В модели Pure Offshore Projects возможность экономии выше, чем в предыдущей, поскольку проект выполняется в стране исполнителя. Объем сохраненных издержек зависит от того, работает ли исполнитель напрямую с заказчиком или через местного системного интегратора.

Модель Onsite-Offshore Projects позволяет избежать трудностей в координации выполнения проектов, свойственных предыдущей модели, поскольку команда исполнителя физически находится у заказчика и способна быстро и качественно реагировать на условия выполнения проекта.Onshore-Offshore Projects. Как и в предыдущих двух моделях, основная работа выполняется удаленным исполнителем, который «поддерживается» включенными в штат представителями исполнителя при создании и тестировании продукта, а также выделением внутренних ресурсов компании. «Включенная» команда сфокусирована, прежде всего, на управлении проектом и изменениями, а также на создании и тестировании части общего проекта. Как правило, эта модель используется в очень сложных проектах. В основном, данный подход распространен в Европе.

Offshore Development Centres (ODCs). Растущая популярность ОП вызвала необходимость создания центров офшорного программирования. Такая модель очень популярна среди американских компаний, которые управляются из индийских центров. Таким образом, через подобные центры проходит достаточно много проектов, как простых, так и сложных в исполнении.

Рассмотрим и проанализируем преимущества на отечественном рынке офшорного программирования по сравнению с другими странами. По данным опроса, проведенного ассоциацией Руссофт, многие иностранные компании, пользующиеся или когда-то пользовавшиеся услугами отечественных команд программистов, выделяли следующие характерные для России черты:

·              Способность российских компаний справляться с нестандартными заданиями, необходимыми для совершенствования продуктов и управления сложными проектами.

·              Большое количество высококвалифицированных профессионалов с математическими и техническими навыками, способные решать сложные задачи с использованием технических знаний.

·              Близкое к идеальному соотношение цена/качество услуг, предоставляемых российскими компаниями.

В опросе принимали участие 20 крупных корпораций США и Европы. Важно отметить, что они сильно отличающиеся друг от друга по размерам и доходам (от нескольких десятков миллионов долларов до 100 миллиардов долларов), большинство имеет опыт использования услуг компаний других стран. Таким образом, перечисленные преимущества России являются признанными не только у нас в стране, но и во всем мире.

Большинство респондентов отмечали цену как ведущий фактор при выборе компании-исполнителя запаса. Тем не менее, нельзя не учитывать требования к качеству продукции или услуг. Один из опрошенных представителей компаний сказал по этому поводу следующее: «Цена важна в любом случае, но навыки специалистов также играют важную роль». Зарплаты российских программистов в разы меньше, чем европейских и американских, и поэтому «эксплуатация умов» стоит сравнительно недорого. Прибавим к этому высокое качество предоставляемых услуг - получим практически идеальное соотношение цена/качество, что является, пожалуй, ведущим фактором при выборе российских исполнителей заказов.

Хотелось бы более подробно проанализировать причины высокого качества предоставляемых российскими программистами услуг. Высокий уровень преподавания технических дисциплин сохранился еще со времен СССР, когда на государственном уровне уделялось значительное внимание НТП и передовым технологиям, связанным со сложными математическими расчетами. Примечательно, что в российских вузах дают классическое образование, которое основывается не на машинальном запоминании данных и фактов, а на умении мыслить и творчески подходить к задаче.

Кроме того, некоторые респонденты отмечают следующее: «Российские программисты способны делать поправки по ходу работы, что очень важно в сфере телекоммуникаций, так как требования меняются очень быстро».

Шесть из двадцати опрошенных отметили, что на выбор в пользу российской компании повлиял фактор сходства культур и часовых поясов России и стран Запада (в этом отношении велики различия между Индией, Китаем и Европой, США). По мнению респондентов, российским программистам легче, чем их индийским коллегам, понять потребности бизнеса и учесть их в разрабатываемом продукте.

Одной из проблем российского офшоринга является явно недостаточный объем статистической информации о его состоянии. Основными же недостатками российского офшорного программирования являются:

1.      Проблема коммуникации с зарубежными заказчиками.

2.      Отсутствие поддержки государства.

.        Небольшое количество программистов в компаниях.

Проблема коммуникации с зарубежными заказчиками связана в основном с недостаточно хорошим знанием английского языка. В то время как программисты из Индии и Китая ведут все переговоры на английском, не испытывая особых затруднений, российским программистам приходится работать на внутренний рынок, не имея возможности договориться с иностранцами. Трудности в коммуникации испытывают даже программисты, продающие свои услуги за рубеж, так как очень часто неверно понимают то, что от них требуется.

Тем не менее, сегодня все больше и больше людей различных профессий, особенно программисты, осваивают английский как средство делового общения. Следует отметить, что повышается уровень преподавания иностранного языка в школах и высших учебных заведениях, поэтому молодые специалисты имеют меньше коммуникационных трудностей, чем их старшие коллеги.

До сих пор не решена, пожалуй, главная проблема российского офшорного программирования - небольшое количество программистов в компаниях, что продемонстрировано диаграммой на рис. 7. К примеру, в Индии даже новорожденная компания редко имеет меньше 100 человек, тогда как по российским меркам это уровень крупной фирмы. Для фирм данной отрасли очень важно число задействованных программистов, так как от этого напрямую зависит, сколько заказов и какого объема она сможет выполнить. Кроме того, многие заказчики предпочитают пользоваться услугами крупных компаний, нежели небольших. По этим причинам проблема низкого уровня концентрации работников в данной сфере сильно тормозит развитие отрасли оффшорного программирования.

Рисунок 7. Численность персонала в российских компаниях, занимающихся оффшорным программированиям.

Что примечательно, с этой проблемой пытается справиться государство, создавая в стране технопарки, которые будут являться базами для развития отечественных фирм и в которых будет работать большое количество программистов.

До недавних пор одной из главных проблем отечественного оффшорного программирования было отсутствие поддержки со стороны государства. В то время как Индия и Китай на государственном уровне поддерживали рынок ИКТ, предоставляли фирмам определенные налоговые льготы, продвигали интересы своих фирм за рубежом с целью установления контрактов с иностранцами, в России государство оставалось в стороне от рынка ИКТ. Однако в последнее время ситуация стала меняться, что связано с реализацией Федеральной целевой программы «Электронная Россия».

Рассмотрим предпринимаемые меры государственной поддержки для развития экспорта ИТ-услуг.

Государственная поддержка развития экспорта продукции и услуг в сфере ИТ включает два основных направления:

·        повышение конкурентоспособности российских компаний отрасли ИТ на экспортных рынках;

·        привлечение в Россию ведущих мировых компаний отрасли ИТ для создания центров перспективных разработок и предоставления услуг.

Развитие экспорта на большинстве сегментов компьютерного оборудования существенно затруднено из-за высокой конкуренции со стороны ведущих западных компаний и низкой стоимости продукции, производимой в Юго-Восточной Азии.

Определенные перспективы на мировом рынке есть у российских компаний-разработчиков прикладных и развлекательных программных продуктов, а также сложных комплексов программного обеспечения, встраиваемого в различное промышленное и бытовое оборудование.

Однако наиболее перспективным направлением развития экспорта российской отрасли ИТ может стать разработка заказного программного обеспечения для зарубежных компаний.

В данном сегменте Россия обладает следующими конкурентными преимуществами: наличием высококвалифицированных специалистов, имеющих фундаментальное образование и опыт решения сложных технических задач, и географической близостью к основным экспортным рынкам. Свидетельством этого являются примеры успешного развития отдельных российских компаний, получающих крупные заказы на разработку программного обеспечения от ведущих мировых компаний.

Лидером по разработке заказного программного обеспечения для зарубежных компаний является Индия. Общий объем экспорта соответствующих услуг индийскими компаниями составил в 2003 году 15 млрд. долларов. В последнее время на этот рынок также вышли страны Восточной Европы, ориентированные на страны ЕС, а также Китай, обеспечивающий потребности в разработке программного обеспечения Японии и Южной Кореи.

Индия занимает наиболее сильную конкурентную позицию на этом рынке благодаря хорошей технической подготовке специалистов, свободному владению ими английским языком, низкому уровню оплаты труда, а также наличию высокого качества управления процессом разработки и опыта успешного выполнения крупных контрактов.

Россия может рассчитывать на значительную долю этого рынка благодаря наличию у российских специалистов навыков разработки сложных алгоритмов и желанию иностранных заказчиков диверсифицировать структуру размещаемых заказов.

Развитие российского экспорта должно быть ориентировано на все основные рынки: США, страны ЕС и Японию, с учетом особенностей каждого рынка. Экспорт в страны СНГ также является особенно перспективным для российских компаний практически по всем сегментам отрасли ИТ. Этому способствует наличие у российских компаний большего по сравнению с местными компаниями опыта в реализации проектов и значительных финансовых возможностей, а также отсутствие языкового барьера.

Другим ключевым направлением развития экспорта является привлечение ведущих мировых компаний для открытия ими в России исследовательских центров и центров перспективных разработок, что позволит использовать финансовые, промышленные и управленческие ресурсы международных компаний, создать в стране новые высокооплачиваемые рабочие места и развивать инфраструктуру, а также способствовать приобретению российскими специалистами передового опыта управления проектами в сфере ИТ. Примером такого взаимовыгодного сотрудничества является открытие в России центров разработки и исследований таких лидеров как "Интел", "Моторола", "Боинг", "Сан Майкросистемс" и других.

Основными мерами стимулирования развития экспорта в сфере ИТ услуг являются: упрощение таможенного администрирования, совершенствование налогового законодательства, а также поддержка продвижения российских компаний отрасли ИТ на мировом рынке.

Важной мерой по стимулированию российского экспорта ИТ-услуг является адаптация таможенного регулирования с целью упрощения процедур таможенного оформления. В частности необходимо обеспечить переход на заявительный порядок экспорта ИТ-продуктов и услуг; отменив требования о получении справок об отсутствии в экспортируемых товарах информации и технологий, составляющих государственную тайну. Необходимо также обеспечить упрощение процедуры временного ввоза, в том числе инновационной техники, технологий и опытных образцов, не получивших сертификата соответствия. Сегодня ввоз опытных образцов необходим многим компаниям, разрабатывающим инновационную продукцию и встроенное программное обеспечение для промышленного и бытового оборудования зарубежного производства. Позиции России в этой сфере особенно сильны, но сложности с временным ввозом мешают расширению экспорта данного вида ИТ услуг.

Также требуется внесение следующих изменений и дополнений в Налоговый кодекс Российской Федерации:

·        определение услуг по разработке программного обеспечения как вида услуг, который может осуществляться на экспорт, и определение порядка доказательства факта экспорта программного обеспечения для использования нулевой ставки налога на добавленную стоимость;

·        осуществление возмещения налога на добавленную стоимость экспортерам продукции и услуг ИТ в порядке, аналогичном для традиционных экспортеров в других отраслях промышленности, с учетом особенностей, возникающих при экспорте продукции и услуг ИТ.

Необходимо также рассмотреть возможность снижения суммарной налоговой нагрузки на фонд оплаты труда для предприятий отрасли ИТ, например, в случае их размещения в технико-внедренческих Особых экономических зонах (ОЭЗ) со специальным режимом налогообложения и ведения предпринимательской деятельности.

Устранение барьеров в фискальном и административном регулировании будет способствовать легализации экспорта, повышению прозрачности деятельности российских предприятий отрасли ИТ и увеличению собираемости налогов.

Важной мерой стимулирования экспорта также является продвижение отечественной отрасли ИТ на мировом рынке и поддержка сертификации компаний-экспортеров по международным стандартам (ISO 9001 и CMMi).

Для продвижения российской отрасли ИТ необходимо обеспечить реализацию целенаправленной маркетинговой стратегии по повышению имиджа России как страны, обладающей квалифицированными кадрами и успешными компаниями, предлагающими конкурентоспособные услуги в сфере ИТ. Необходимо также обеспечить поддержку участия российских компаний в важных международных мероприятиях в области ИТ (выставках, конференциях, семинарах). Целесообразным представляется разработка и реализация совместно с МИДом России и Минэкономразвития России программы поддержки российской отрасли ИТ через систему торговых отделов посольств и торговых представительств Российской Федерации за рубежом. Такая программа может предусматривать информирование о возможностях российских ИТ-компаниях и сбор данных о потенциальных партнерах в стране расположения торгового представительства. Следует также организовать государственную поддержку сертификации экспортеров по международным стандартам, которая может включать софинансирование расходов компаний отрасли ИТ на получение сертификатов качества по стандартам ISO 9001 и CMMi, необходимых для выхода на внешние рынки.

Таким образом, в настоящее время ИТ-аутсорсинг является одним из самых крупных и быстрорастущих сегментов мирового и отечественного рынков ИТ-услуг. Российские поставщики ИТ-услуг уже почти научили клиентов смотреть на аутсорсинг не только как на средство экономии, но и как на метод оптимизации деятельности. В России сложился ряд весомых предпосылок для развития оффшорного программирования и сферы ИТ-аутсорсинга в целом, и этот тезис признается во всем мире. Многие специалисты отмечают, что долгое время важнейшим фактором, сдерживающим это развитие, было отсутствие поддержки отрасли со стороны государства. Однако, если четыре года назад Gartner Group определила уровень поддержки со стороны государства российских офшоринговых компаний, развития инфраструктуры законодательной системы как "низкий", то сейчас наша страна уже упоминается в качестве одного из наиболее перспективных игроков этого рынка. Главный вывод - отрасль сформировалась, получила признание за рубежом, и что еще важнее - внутри страны.

Заключение

Сегодня трудно найти компанию, которая не использовала бы в своей повседневной работе информационные технологии. Обслуживание и настройка техники, консультирование пользователей, установка и сопровождение бухгалтерских и кадровых программ, офисного ПО - вот стандартный перечень работ, которые выполняют ИТ-специалисты практически в каждой компании, независимо от ее размера, вида деятельности и количества сотрудников. Малые предприятия развиваются, а чтобы идти в ногу со временем, необходимо расширение спектра используемых ИТ, что нередко приводит к увеличению объема их обслуживания и сопровождения. Обеспечение должного уровня развития и обслуживания ИТ-инфраструктуры обходится небольшим предприятиям достаточно дорого и отнимает много времени. Поэтому многие ищут экономически выгодные способы решения этой задачи. Один из них - передача технической поддержки сторонней организации, для которой данные услуги являются основным видом деятельности, то есть на аутсорсинг. Исходя из этого, можно сделать вывод о том, что у рынка ИТ-аутсорсинга есть своя специфическая черта. Особенность заключается в том, что потенциальными потребителями этого рынка, в отличие от остальных, являются все сектора экономики: инжиниринговые фирмы, производители, поставщики, кредитные организации, профессиональные объединения, органы власти и общественные организации и т.д. В России на сегодняшний день развитие рынка ИТ-аутсорсинга только точечное, поэтому данную трактовку можно использовать скорее с общей - теоретической точки зрения, хотя в некоторых странах ИТ-аутсорсинг востребован почти во всех секторах экономики.

На сегодняшний день основным потребителем услуг по ИТ-аутсорсингу является крупный бизнес. Но экономический эффект от их использования минимален или отсутствует, чаще всего это делается для поднятия престижа. С финансовой стороны передача мероприятий по поддержке ИТ-инфраструктуры сторонним компаниям выгоднее всего сектору СМБ. Сколь популярно это решение сегодня среди российских компаний сектора малого бизнеса? В России ИТ-аутсорсинг для малых компаний пока менее популярен, чем в других странах, в основном из-за финансовых соображений, российские компании все чаще приходят к выводу, что нанимать штатного ИТ-специалиста дороже и проблематичнее, чем купить эти услуги у ИТ-фирмы.

Изучив историю становление мирового рынка аутсорсинга ИТ-услуг, в заключение можно сказать, что, несомненно, в некоторых странах данный рынок начал развиваться намного раньше, нежели в России, однако в свое время формировался он также неспешно и неуверенно. Мировая практика показывает, что значительную часть рынка ИТ-аутсорсинга составляет разработка программного обеспечения иностранной компанией - офшорное программирование. Наиболее широко использование офшорного программирования распространено в США. Офшорные модели также используются в Великобритании, Нидерландах, Франции, Германии и в странах Северной Европы. Активными поставщиками услуг офшорного программирования являются Индия, Китай, Мексика, Ирландия и страны Восточной Европы.

В России кризис придал серьезный импульс развитию ИТ-аутсорсинга. Бизнес был поставлен в очень жесткие условия: с одной стороны, уменьшились бюджеты, сократился штат ИТ-персонала, с другой - требования к качеству ИТ-услуг остались на прежнем уровне или возросли. В этих условиях многие крупные предприятия были вынуждены пользоваться услугами внешних ИТ-поставщиков, что позволило расширяться данному рынку услуг. По данным проведенного опроса, к 2012 году абсолютное большинство крупных российских предприятий будут приобретать те или иные услуги ИТ-аутсорсинга. Так, почти три четверти (73%) опрошенных предприятий уже привлекают внешних поставщиков ИТ-услуг, еще более 13% планируют начать использовать ИТ-аутсорсинг в ближайшее время. Изучив институциональную основу развития рынка ИТ-аутсорсинга в России можно выделить следующие особенности данного сектора: несовершенство законодательной базы, слабую культуру договорных отношений, недоверие предпринимателей к данной сфере услуг.

В работе перспективным для России рассматривается офшорный ИТ-аутсорсинг. Сложился ряд весомых предпосылок для развития офшорного программирования и сферы ИТ-аутсорсинга в целом, и этот тезис признается во всем мире. В данном сегменте Россия обладает следующими конкурентными преимуществами: наличием высококвалифицированных специалистов, имеющих фундаментальное образование и опыт решения сложных технических задач, и географической близостью к основным экспортным рынкам. Однако для дальнейшего успешного развития необходимо улучшить уровень поддержки со стороны государства российских офшоринговых компаний и развития инфраструктуры законодательной системы данной области.

Мы считаем, что основная цель дипломной работы достигнута, поставленные задачи решены. На основе опыта экономически развитых стран выявлены основные направления развития ИТ-аутсорсинга, определены состояние и перспективы развития рынка ИТ-аутсорсинга в России. Во второй главе выявлены особенности и трудности использования ИТ-аутсорсинга в России, возникающие в связи со спецификой российских рынков. В третьей главе рассмотрена и доказана необходимость развития офшорного ИТ-аутсорсинга в России, разработаны предложения, направленные на дальнейшее расширение масштабов и совершенствование его форм.

Список использованных источников в дипломной работе

Книги одного автора

) Аалдерс Р. ИТ аутсорсинг : практическое руководство; пер. с англ. - М. : Альпина Бизнес Букс, 2003. - 300 с.

) Аникин Б.А. Аутсорсинг: создание высокоэффективных и конкурентоспособных организаций.- М.: Инфра-М, 2003. - 192 с.

) Готтшальк П. ИТ-аутсорсинг: построение взаимовыгодного сотрудничества. - М.: Альпина Бизнес Букс , 2007 . - 390с.

) Ильин В.В. Моделирование бизнес-процессов. Практический опыт разработчика. - М.: ООО «И.Д. Вильямс», 2006. - 176 с.

) Ильин, В.В. Руководство качеством проектов. Практический опыт. - М.: Вершина, 2006. - 176 с.

) Карабутов Н.Н. Информационные технологии в экономике: Анализ информации в экономике. - Первое изд. - М.: Экономика, 2002. - 207 с.

) Спарроу Э. Успешный IT-аутсорсинг; пер. с англ. - М. : КУДИЦ-ОБРАЗ, 2004. - 288 с.

) Хейвуд Дж. Брайан Аутсорсинг: в поисках конкурентных преимуществ; пер. с англ. - М. : Вильямс, 2004. - 176 с.

) Шокина Л.И. Оценка качества менеджмента компаний. - М.: КНОРУС, 2007. - 344 с.

Книга двух авторов

) Гниденко И.Г., Соколовская С.А. Информационные технологии в бизнесе. - М.: Взлет, 2005. - 154с.

) Молоткова Н.В. Качество ИТ-аутсорсинга:организационно-технологические решения. - Тамбов: Издательство ТГТУ, 2008. - 92с - (Учебное пособие для учащихся вузов)

) Попкова Е.Г., Боярский Д.М. Международный информационный бизнес. - Волгоград: Волг ГТУ, 2002. - 92 с.

) Колесова В.П., Дятлова С.А. Информационно-сетевая экономика в XXI веке. - М.; СПб.ТЕИС, 2001 - 170с.

Неопубликованные документы (на правах рукописи)

Автореферат диссертации

Черемисин Д.В. Аутсорсинг как элемент современного хозяйственного механизма: теоретический аспект: автореф. дис. канд. эк. наук; Фин. Акад. при правительстве РФ. - Москва, 2005. - 21с.

Составная часть документа (аналитическое библиографическое описание)

Статья из журналов

автор

) Захаренко М. Лучше меньше, да лучше. Когда нужен аутсорсинг / Системный Администратор. - 2010. - №12 (97) . - С.17.

) Лепихина С.Н. Включение России в международное разделение труда на основе информационных технологий / Вестник ТГУ. - 2008. - №308. С. 37.

) Орлов С. Аутсорсинг услуг ЦОД: стоит ли игра свеч? / Журнал сетевых решений. - 2009. - №07. - С. 34-48.

Электронные ресурсы

Удаленного доступа

) Васильев Р.Б., Калянов Г.Н., Левочкина Г.А. Управление развитием информационных систем информация

2) Гуслистая А. Проблемы аутсорсинга в неконкурентной среде

3) Исследования российского рынка ИТ-аутсорсинга «Крупный российский бизнес оценил преимущества ИТ-аутсорсинга» / Компания Астерос, 2010

4) IT-аутсорсинг в мире и в России

) Карачаровский В. Рынок ИТ-услуг в России / Поставщики ИТ-услуг наращивают экспорт и борются с импортом, 2010

) Калинина Л. Аутсорсинговые услуги в области информационных технологий: оценка качества

) Киселев А.Н. Информационная система субконтрактации - пример эффективного применения информационных технологий для развития малого бизнеса / Всероссийская конференция представителей малых предприятий, 2005.

8) Ледовский А. Методологические подходы к оценке эффективности ИТ-проектов

) Рогуленко В.В. Особенности и развитие оффшорного программирования в России / Глобальное информационное общество: экономические и социально-политические аспекты: материал научной студенческой конф. - Москва, 2007.

) Полянский Ю.А. Критерии оценки эффективности отдельных видов функций, передаваемых на аутсорсинг, перспективы развития рынка аутсорсинга

11) Попова М. ИТ-аутсорсинг: кризис меняет рынок

12) Топ-30 стран для глобального аутсорсинга ИТ-услуг в 2010-2011 гг.

) Уилсон Т. Контроль качества аутсорсинга

14) Виды ИТ-аутсорсинга

) Доклад «О стратегических направлениях развития индустрии информационных технологий в России»

16) Писарев А. Он устоял. Итоги развития российского ИТ-рынка в 2009 году

) Воронин А. ИТ-аутсорсинг в России жаждет роста

) Концепция развития рынка информационных технологий РФ до 2010 г.

19) Рынок ИТ-аутсорсинга

20) Цихан Т.В. Кластерная теория экономического развития

Похожие работы на - Экономическое развитие рынка ИТ-аутсорсинга в России

 

Не нашли материал для своей работы?
Поможем написать уникальную работу
Без плагиата!
Без нейросетей!