Экономический анализ финансовой деятельности предприятия

  • Вид работы:
    Курсовая работа (т)
  • Предмет:
    Эктеория
  • Язык:
    Русский
    ,
    Формат файла:
    MS Word
    277 Кб
  • Опубликовано:
    2015-04-20
Вы можете узнать стоимость помощи в написании студенческой работы.
Помощь в написании работы, которую точно примут!

Экономический анализ финансовой деятельности предприятия















Курсовая работа

Экономический анализ финансовой деятельности предприятия

Содержание

Введение

. Исходные данные

2. Анализ производства и реализации продукции

2.1 Факторный анализ реализации

.2 Анализ ассортимента и структуры продукции

.3 Анализ ритмичности работы предприятия

.4 Анализ качества произведенной продукции

.5 Анализ невыполнения договорных обязательств

.6 Общие потери производства и реализации продукции

3. Анализ использования трудовых ресурсов предприятия

3.1 Анализ обеспеченности предприятия трудовыми ресурсами

.2 Динамика движения трудовых ресурсов предприятия

.3 Анализ производительности труда

.4 Оценка резервов повышения производительности труда

.5 Анализ трудоемкости продукции

3.6 Квалификация рабочих

3.7 Анализ фонда заработной платы

.8 Анализ динамики средней заработной платы

.9 Соотношение темпов роста производительности труда и средней заработной платы

4. Анализ основных фондов предприятия

4.1 Анализ состояния основных фондов

.2 Показатели движения основных фондов

.3 Анализ использования машин и оборудования

4.4 Резерв увеличения выпуска продукции за счет оборудования

4.5 Анализ фондоотдачи

.6 Резервы увеличения выпуска продукции за счет фондоотдачи

5. Анализ себестоимости товарной продукции

5.1 Анализ динамики и структуры затрат

.2 Затраты на рубль продукции

.3 Анализ постоянных и переменных затрат

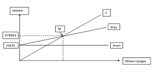
.4 Построение графика безубыточного объема продаж

.5 Выявление резервов снижения затрат на производство продукции

5.6 Определение прибыли предприятия

.7 Анализ рентабельности предприятия

.8 Общие резервы увеличения выпуска продукции и резервы снижения себестоимости

Заключение

Список использованной литературы

реализация продукция себестоимость трудовой

Введение

Анализом хозяйственной деятельности называется научно разработанная система методов и приемов, посредством которых изучается экономика предприятия, выявляются резервы производства на основе учетных и отчетных данных, разрабатываются пути их наиболее эффективного использования.

Каждое предприятие, прежде чем начать производство продукции, определяет, какую прибыль, какой доход оно сможет получить и целью любого коммерческого предприятия является максимизация прибыли при минимальных совокупных затратах.

Прибыль предприятия, фирмы зависит от двух показателей: цены продукции и затрат на ее производство.

Целью данной курсовой работы является выявление резервов улучшения результатов деятельности предприятий.

Задачами курсовой работы являются:

·        изучение производства и реализации продукции,

·        изучение трудовых ресурсов предприятия,

·        изучение основных фондов предприятия,

·        изучение затрат и себестоимости продукции,

·        определение безубыточного объема продаж предприятия.

Курсовая работа состоит из введения, 4-х разделов, заключения и списка использованной литературы.

Содержание разделов:

I.       Анализ резервов производства и реализации продукции;

II.      Анализ резервов улучшения трудовых ресурсов предприятия;.        Анализ резервов улучшения использования основных фондов предприятия;

IV.    Анализ резервов снижения себестоимости продукции;

Заключительным этапом выполнения курсовой работы является определение общих резервов по всем разделам и их влияния на снижение себестоимости.

1. Исходные данные

 

12 вариант

Единицы измерения

План

Факт

1

Выпуск товарной продукции

тыс. руб.

109080

107950

2

Реализовано

тыс. руб.



3

Остаток продукции

тыс. руб.




На начало года

тыс. руб.

3910

4300


На конец года

тыс. руб.

3100

4500

4

Выпуск продукции





1-й квартал

%

25

20


2-й квартал

%

25

22


3-й квартал

%

25

28


4-й квартал

%

25

30

5

Среднесписочная численность работников

чел.

1500

1480


рабочих

чел.

1250

1200

6

Отработано дней одним рабочим в год

дни

254

252

7

Средняя продолжительность рабочего дня

час

8

7.9

8

Непроизводительные затраты рабочего времени

%

1.0

3.8

9

Среднегодовая зарплата работников

руб./чел.

18180

19300


В течение года премиальные доплаты

%

30

28

10

Среднегодовая З./пл. рабочих

руб./чел.

17000

16980


В течение премиальные доплаты

%

35

34

11

Стоимость ОПФ,на начало года

тыс. руб.

47380

49530


Поступило ОПФ

тыс. руб.

3800

2400


Выбыло ОПФ

тыс. руб.

4200

3500

12

Активная часть на начало года

%

49

51


На конец года

%

53

49

13

Коэффициент сменности оборудования

 

1.5

1.3

14

Количество оборудования

шт.

1900

1800

15

Отработано

дни

254

252

16

Отработано часов в смену

час

8

7.7

17

Себестоимость товарной продукции

тыс. руб.

88500

90130


В том числе материальные затраты

%

49

45


Зарплата с начислениями

%

22

23


амортизация

%

5

6


Прочие

%

24

26

18

Операционный доход

тыс. руб

315

316

19

Операционные расходы

тыс. руб.

270

280

20

Внереализационные доходы

тыс. руб.

93

95

21

Внереализационные расходы

тыс. руб.

90

94

22

Начисление амортизации на начало года

тыс. руб.

27480

28150


На конец года

тыс. руб.

28310

29300

23

Удельный вес переменных затрат

%

62

68

24

Ассортимент продукции стоимость , сумма

%




А


30

27


В


35

36


С


35

37


цена





А

руб/т

9150

3280


В

руб/т

10300

10500


С

руб/т

11500

12800

25

Брак

%

1.0

3.5


А

%

0.3

1.0


В

%

0.3

1.0


С

%

0.4

1.5

26

Принято на работу

чел.

130

250


выбыло

чел

180

190


В том числе по собственному желанию

чел

160

150


За прогулы

чел.

10

20


За нарушения

чел.

10

20

27

Квалифицированных рабочих

 




1-й разряд

%

25

40


2-й разряд

%

25

50


3-й разряд

%

350

400


4-й разряд

%

450

380


5-й разряд

%

250

200


6-й разряд

%

150

130

28

Выполнение долговых обязательств, недоставка продукции

 

1.5

2.3


1-й квартал

%

0.3

0.4


2-й квартал

%

0.3

0.4


3-й квартал

%

0.3

0.6


4-й квартал

%

0.6

29

Трудоемкость ед. продукции

руб./т.




2. Анализ производства и реализации продукции


Объем производства и реализации продукции являются взаимосвязанными показателями. Предприятия должны производить только те товары и в таком объеме, в котором оно может реализовать. Темпы роста объема производства и реализации продукции, повышения ее качества влияют на величину издержек, прибыль и рентабельность предприятия. Поэтому анализ данных показателей имеет важное значение.

Объектом анализа является объем товарной, валовой, реализованной продукции и качество продукции.

Цель анализа: выявить резервы увеличения производство и реализации продукции, и повышение ее качества.

Основные задачи анализа:

1.            Оценка степени выполнения плана и динамика производства и реализации продукции.

2.      Определение влияния факторов на изменение величины этих показателей.

.        Анализ состава, структуры и ассортимента выпускаемой продукции.

.        Анализ качества и конкурентоспособности.

.        Анализ ритмичности выпуска продукции.

.        Анализ выполнения плана (реализации) и ее динамики.

.        Анализ выполнения договорных обязательств.

.        Анализ резервов увеличения продукции.

Источниками информации для анализа производства и реализации продукции служат:

· бизнес-план предприятия,

·        информация отдела контроля качества,

·        рекламации,

·        графики поставки,

·        оперативные планы-графики,

·        отчетность формы №1-П (годовая) "Отчет по продукции",

·        форма №1-П (квартал) "Квартальная отчетность промышленного предприятия о выпуске отдельных видов продукции в ассортименте",

·        форма №1-П (месячная) "Срочная отчетность промышленного предприятия по продукции",

·        форма №2 ("отчет о прибылях и убытках", ведомость №16 "Движение готовых изделий, их отгрузка и реализация").

Объем производства и реализации продукции может выражаться в натуральных, трудовых и стоимостных измерителях. Обобщающие показатели объема производства продукции получают с помощью стоимостной оценки. Основными показателями объема производства служат товарная и валовая продукция.

Валовая продукция - это стоимость всей произведенной продукции и выполненных работ, включая незавершенное производство. Выражается в сопоставимых и действующих ценах.

Товарная продукция отличается от валовой тем, что в нее не включают остатки незавершенного производства.

Объем реализации продукции определяется или по отгрузке продукции покупателям или по оплате (выручке). Может выражаться в сопоставимых, плановых и действующих ценах.

Важное значение для оценки выполнения производственной программы имеют и натуральные показатели объемов производства и реальной продукции (штуки, метры, тонны и т.д.). Их используют при анализе объемов производства и реализации продукции по отдельным видам и группам однородной продукции. Выполнение плана по выпуску и реализации продукции за год представлен в таблице 1.

Таблица 1. Выполнение плана по выпуску и реализации продукции за год

изделие

объем производства, тыс.руб

реализованая продукция, тыс.руб


план

факт

Абс, тыс.руб

Отн,%

план

факт

Абс, тыс.руб.

Отн,%

А

32724

29146,5

-3577,5

89,07

32967

29092,5

-3874,5

88,25

В

38178

38862

684

101,79

38461,5

38790

328,5

100,85

С

38178

39941,5

1763,5

104,62

38461,5

39867,5

1406

103,66

итого

109080

107950

-1130

98,96

109890

107750

-2140

98,05



Из таблицы видно, что по объему производства по продукции А было недовыполнение плана на 10,93% или на 3577,5 тыс. руб. По продукции В план переполнен на 1,79% или на 684 тыс. руб. По продукции С было перевыполнение плана на 4,62% или на 1763,5 тыс. руб. Всего по объему производства произошло недовыполнение плана на 1,04% или на 1130 тыс. руб.

По реализации продукции произошло недовыполнение плана по продукции А на 11,75% или на 3874,5 тыс. руб. По продукции В произошло перевыполнение плана на 0,85% или на 328 тыс. руб. По продукции С было перевыполнение плана на 3,66% или на 1406 тыс. руб. Всего по реализации продукции было недовыполнение плана на 1,95% или на 2140 тыс. руб.

Резерв невыполнения плана по объему производства продукции составляет 3577,5 тыс. руб. Резерв невыполнения плана по реализации продукции равен 3874,5 тыс. руб.

.1 Факторный анализ реализации

Возможны два варианта методики анализа реализации продукции.

Если выручка на предприятии определяется по отгрузке товарной продукции, то баланс готовой продукции будет иметь вид:

ГПн+ТП=ГПк+РП, (1)

Отсюда:

РП= ГПн+ТП-ГПк (2)

Если выручка определяется после оплаты отгруженной продукции, то товарный баланс можно записать так:

ГПн+ТП+ОТн=ГПк+ОТк+РП, (3)

Отсюда:

РП= ГПн+ТП+ОТн - ГПк - ОТк (4)

где ГПн - остатки готовой продукции на начало года;

ТП - товарная продукция;

ГПк - остатки готовой продукции на конец года;

РП - реализованная продукция;

ОТн - остаток отгруженной продукции на начало года;

ОТк - остаток отгруженной продукции на конец года.

Расчет влияния данных факторов на объем реализации продукции производится сравнением фактических уровней факторных показателей с базовыми и вычислением абсолютных и относительных приростов каждого их них. Для изучения влияния этих факторов анализируется баланс товарной продукции (табл.2).

Таблица 2. Изменение объема реализации продукции.

показатели

план

факт

отклонение




Абс, тыс.руб.

Отн,%

товарная продукция

109080

107950

-1130

157

остатки на начало года

3910

4300

390

110

остатки на конец года

3100

4500

1400

145

реализованная продукция

109890

107750

-2140

155


Факторный анализ:

)        РПпл= ГПн пл+ТПпл-ГПк пл

РПпл =3910+ 109080+3100=109890

)        РПГПн= ГПн ф+ТП пл-ГПк пл

РПГПн= 4300+109080-3100=110280

)        РПТП =ГПн ф+ ТП ф-ГПк пл

РПТП =4300+107950-3100=109150

)        РПГПк= ГПн ф + ТП ф-ГПк ф

РПГПк =4300+107950-4500=107750

Теперь вычитаем из последующего значения предыдущее, чтобы определить резервы.

)        РПГПн - РПпл =110280-109890=390 тыс. руб.

)        РПТП - РПГПн = 109150-110280=-1130 тыс. руб.

)        РПГПк - РПТП = 107750-109150=-1400 тыс. руб.

)        ∆РП=390-1130-1400=-2140 тыс. руб.

Из таблицы видно, что план реализации продукции недовыполнен на 2140 тыс. руб. Из этого за счет уменьшения объема товарной продукции реализованная продукция увеличилась на 390 тыс. руб. за счет увеличения остатков продукции на начало года реализованная продукция уменьшилась на 1130 тыс. руб. за счет увеличения остатков продукции на конец года реализованная продукция уменьшилась на 1400 тыс. руб.

2.2 Анализ ассортимента и структуры продукции


Большое влияние на результаты хозяйственной деятельности оказывают ассортимент и структура производства и реализации продукции.

Ассортимент (номенклатура) - это определенная совокупность производимых продуктов разных по свойству, назначению и количеству.

Структура продукции (состав) - это соотношение отдельных изделий в общем их выпуске.

При формировании ассортимента и структуры выпуска продукции предприятия должны учитывать спрос на данные виды продукции и наиболее эффективное использование ресурсов, имеющихся в его распоряжении.

При формировании ассортимента и структуры выпуска продукции предприятие должно учитывать, с одной стороны, спрос на данные виды продукции, а с другой - наиболее эффективное использование трудовых, сырьевых, технических, технологических, финансовых и других ресурсов, имеющихся в его распоряжении. Система формирования ассортимента включает в себя следующие основные моменты:

· определение текущих и перспективных потребностей покупателей:

·        оценку уровня конкурентоспособности выпускаемой или планируемой к выпуску продукции;

·        изучение жизненного цикла изделий и принятия своевременных мер по внедрению новых, более совершенных видов продукции и изъятие из производственной программы морально устаревших и экономически неэффективных изделий;

·        оценку экономической эффективности и степени риска изменений в ассортименте продукции.

Основными причинами, влияющими на невыполнение плана по ассортименту продукции, являются:

.  Внутренние причины:

· недостатки в организации производства;

·        плохое техническое состояние оборудования;

·        простои;

·        аварии;

·        недостаток средств;

·        недостатки в системе управления и материального стимулирования.

2. Внешние причины:

· конъюнктура рынка;

·        изменение спроса на отдельные виды продукции;

·        состояние материально-технического обеспечения;

·        несвоевременный ввод в действие производственных мощностей предприятия по независимым от него причинам.

Оценка выполнения плана по ассортименту продукции обычно производится с помощью одноименного коэффициента, который рассчитывается путем деления общего фактического выпуска продукции, зачтенного в выполнение плана по ассортименту, на общий плановый выпуск продукции (продукция, изготовленная сверх плана или не предусмотренная планом, не засчитывается в выполнение плана по ассортименту) (табл.3).

Таблица 3. Выполнение плана по ассортименту продукции.

изделие

товарная продукция в плановых ценах, тыс.руб

выполнение плана, %

Товарная продукция, зачтенная в выполнение плана по ассортименту, тыс. руб.


план

факт



А

32724

29146,5

89,07

29146,5

В

38178

38862

101,79

38178

С

38178

39941,5

104,62

38178

итого

109080

107950

98,96

105502,5



Из таблицы видно, что произошло недовыполнение плана по продукции А на 10,93% и перевыполнение плана по продукциям В на 1,79% и С на 4,62%. Однако в общем было недовыполнение на 1,04%. Получилось что товарная продукция зачтенная в выполнении плана по ассортименту в общем была ниже плановой. Общее выполнение плана по ассортименту составило 96,72%, то есть было недовыполнено на 3,28%. Значит, общие потери составили: 2577,5 тыс. руб.

Увеличение объема производства (реализации) по одним видам и сокращение по другим видам продукции приводит к изменению ее структуры, т.е. соотношения отдельных изделий, в общем, их выпуске. Выполнить план по структуре производства - значит сохранить в фактическом выпуске продукции запланированные соотношения отдельных ее видов.

Изменение структуры производства оказывает большое влияние на все экономические показатели:

· объем выпуска в стоимостной оценке;

·        материалоемкость;

·        себестоимость товарной продукции;

·        прибыль;

·        рентабельность.

Если увеличивается удельный вес более дорогой продукции, то объем ее выпуска в стоимостном выражении возрастает, и наоборот. То же происходит с размером прибыли при увеличении удельного веса высокорентабельной и соответственно при уменьшении доли низко рентабельной продукции.

Расчет влияния структуры производства на уровень перечисленных показателей можно произвести способом цепной подстановки, который позволяет абстрагироваться от всех факторов, кроме структуры продукции (табл. 4).

Таблица 4. Анализ структуры товарной продукции

Изделие

оптовая цена, руб.

объем пр-во продукции, шт

структура продукции

выпуск продукции в ценах плана, руб.

изменение выпуска продукции за счет структуры, руб.


план

факт

план

факт

план

факт

план

факт при план структуре

факт


А

9150

3280

3576,39

8886,13

30

27

32724000

32723962

29146500

-3577462

В

10300

10500

3706,6

3701,14

35

36

38178000

31177983

38862000

7684017

С

11500

12800

3319,83

3120,43

35

37

38178000

38178041

39941500

1763459

итого



10602,82

15707,7

100

100

109080000

102079986

107950000

5870014



Факторный анализ структуры продукции:

ВП=V*Ц, (5)

где ВП - выпуск продукции;- объем производства продукции;

Ц - цена продукции.

Изделие А:

)        ВПпл = Vпл*Цпл

ВПпл = 3576,39*9150=32723968

)        ВПус = Vф*Цпл

ВПус = 8886,13*9150=81308089

)        ВПф = Vф*Цф

ВПф = 8886,13*3280=29146506

)        ∆ВПv = ВПус - ВПпл

∆ВПv = 81308089-32723968=48584121

)        ∆ВПц = ВПф - ВПус

∆ВПц = 29146506-81308089=-52161583

)        ∆ВП=∆ВПv +∆ВПц

∆ВП = 48584121-52161583=-357746

Изделие В:

)        ВПпл = 3609,51*10300=37177953

)        ВПус = 3701,14*10300=38121742

)        ВПф =3701,14*10500=38861970

)        ∆ВПv =381417-37177953=943789

)        ∆ВПц =38861970-32121742=6740288

)        ∆ВП =943789+6740288=7684017

Изделие С:

)        ВПпл = 3319,83*11500=38178045

)        ВПус = 3120,43*11500=35884945

)        ВПф =3120,43*12800=39941504

)        ∆ВПv =35884945-38178045=-2293100

)        ∆ВПц =39941504-35884945=4056559

)        ∆ВП =-2293100+4056559=1763459

Выпуск продукции А уменьшился на 3577462 тыс. руб. Это изменение произошло за счет того что фактическая оптовая цена уменьшилась по сравнению с плановой, а объем производства продукции увеличился. Выпуск продукции В увеличился на 7684017 тыс. руб. Выпуск продукции увеличился за счет увеличения оптовой цены, тогда как объем производства продукции немного уменьшился. Выпуск продукции С увеличился на 1763459 тыс. руб. за счет увеличения оптовой цены и небольшого увеличения объема производства продукции. Всего выпуск продукции увеличился на 5870014 тыс. руб., на это изменение в большей степени повлияло изменение оптовой цены, чем изменение объема выпускаемой продукции. В общем, структура выпускаемой продукции улучшилась, несмотря на ухудшение структуры изделия А.

Резерв за счет изменения структуры товарной продукции составляет 3577462 руб.

.3 Анализ ритмичности работы предприятия

Ритмичность - равномерный выпуск продукции в соответствии с графиком, в объеме и ассортименте, предусмотренных планом.

Ритмичная работа является основным условием своевременного выпуска и реализации продукции. Не ритмичность ухудшает все экономические показатели: снижается качество продукции; увеличиваются объем незавершенного производства и сверхплановые остатки готовой продукции на складах, и, как следствие, замедляется оборачиваемость капитала; не выполняются поставки по договорам, и предприятие платит штрафы за несвоевременную отгрузку продукции; несвоевременно поступает выручка; перерасходуется фонд заработной платы в связи с тем, что в начале месяца рабочим платят за простои, а в конце - за сверхурочные работы. Все это приводит к повышению себестоимости продукции, уменьшению суммы прибыли, ухудшению финансового состояния предприятия..

Цель: оценить степень ритмичности выпуска продукции и определить потери, резервы выпуска продукции и экономические потери, связанные с нарушением ритмичности.

Задачи:

.  Анализ динамики показателей ритмичности

2.      Анализ причин неритмичной работы.

.        Выявление проблем, связанных с нарушением ритмичности и разработка мероприятий по обеспечению ритмичной работы.

Источники информации:

· плановые графики производства работ,

·        данные о фактических объемах работ по кварталам, месяцам,

·        данные о потерях от брака,

·        уплата штрафов,

·        доплата за сверхурочные работы.

Для оценки выполнения плана по ритмичности используются прямые и косвенные показатели.

Прямые показатели - коэффициент ритмичности, коэффициент вариации, коэффициент аритмичности, удельный вес производства продукции за каждую декаду к месячному выпуску, за каждый месяц к квартальному выпуску, за каждый квартал к годовому объему производства.

Косвенные показатели - наличие доплат за сверхурочные работы, оплата простоев по вине предприятия, потери от брака, уплата штрафов за недоставку и несвоевременную отгрузку продукции, наличие сверхнормативных остатков незавершенного производства и готовой продукции на складах.

Один из наиболее распространенных показателей - коэффициент ритмичности. Величина его определяется путем суммирования фактических удельных весов выпуска за каждый период, но не более планового их уровня (табл.5).

Таблица 5. Ритмичность выпуска продукции

квартал

выпуск продукции, тыс.руб.

удельный вес продукции, %

выполнение плана, коэффициент

доля продукции, зачтенная в выполнении плана по ритмичности


план

факт

план

факт



1

27270

21590

25

20

0,79

20

2

27270

23749

25

22

0,87

22

3

27270

30226

25

28

1,11

25

4

27270

32385

25

30

1,19

25

итого

109080

100

100

0,99

92


Величина потерь составит: фактический выпуск продукции умноженный на долю продукции не зачтенную в выполнении плана.

Величина потерь = 107950*0,08=8636 тыс. руб.

Из таблицы видно, что коэффициент ритмичности равен 92%, он не достиг верхнего предела, т.е. 100%, т.к. в 1- ой и 2-ой декаде план по выпуску продукции не выполнен, но в 3-ей и 4-ой декаде план был перевыполнен. Таким образом, предприятие работало не ритмично.

2.4 Анализ качества произведенной продукции

Важным показателем деятельности промышленных предприятий является качество продукции. Его повышение - одна из форм конкурентной борьбы , завоевания и удержания позиций на рынке. Высокий уровень качества продукции способствует повышению спроса на продукцию и увеличению суммы прибыли не только за счет объема продаж, но и за счет более высоких цен.

Качество продукции - понятие, которое характеризует параметрические, эксплуатационные, потребительские, технологические, дизайнерские свойства изделия, уровень его стандартизации к унификации, надежность и долговечность.

Объект анализа: качество продукции.

Цель: оценить уровень качества и найти резервы его роста.

Задачи:

.  Оценка динамики показателей качества.

2.      Анализ темпов обновления продукции.

.        Анализ динамики косвенных показателей.

.        Анализ причин снижения качества.

.        Оценка экономических потерь и разработка мероприятий по повышению качества.

Различают: обобщающие, индивидуальные и косвенные показатели качества продукции.

Обобщающие показатели - характеризуют качество всей произведенной продукции, независимо от ее вида и назначения (удельный вес новой продукции в общем ее выпуске, удельный вес высшей категории качества и т.д.).

Индивидуальные (единичные) показатели характеризуют одно из ее свойств:

. Полезность (жирность молока и т.п.);

. Надежность (долговечность);

. Технологичность - эффективность конструкторских технологических решений;

. Эстетичность изделий.

Косвенные показатели - это штрафы за некачественную продукцию, объем и удельный вес забракованной продукции, удельный вес зарекламированной продукции, потери от брака и другие.

Косвенным показателем качества продукции является брак. Он делится на: исправимый и неисправимый, внутренний (выявленный на предприятии) и внешний (выявленный потребителями). Выпуск брака ведет к повышению себестоимости продукции, уменьшению объема выпущенной и реализованной продукции, снижению прибыли и рентабельности. В процессе анализа изучают динамику брака по абсолютной сумме и удельному весу в общем выпуске продукции; определяют потери от брака. Затем изучаются причины понижения качества и допущенного брака продукции по местам их возникновения и центрам ответственности и разрабатываются мероприятия по их устранению.

Основными причинами понижения качества является: плохое качество сырья, низкий уровень технологии и организации производства, квалификации рабочих, аритмичность производства

На выпуск продукции оказывает влияние уровень производственного брака. Обычно на предприятиях брак анализируют по отдельным видам продукции и полуфабрикатов, по местам его обнаружения и возникновения, по виновникам и причинам, по размерам нанесенного ущерба.

Брак - это изделия или работы, которые не отвечают установленным требованиям и непригодны для использования по прямому назначению.

В зависимости от характера дефекта различают исправимый (частичный) брак и неисправимый (окончательный) брак, когда исправление невозможно по техническим причинам или экономически не выгодно.

По месту обнаружения различают внутренний (обнаруживается на самом предприятии) и внешний (выявляется заказчиком).

Различают также брак по виновникам: брак по вине работников предприятия и брак по вине поставщиков. Знание этих различий необходимо для точного определения экономических потерь от брака.

Объем произведенного брака определяется путем суммирования себестоимости окончательно забракованных изделий и расходов на исправление брака. При этом внутренний окончательный брак оценивается по цеховой или производственной себестоимости, внешний брак учитывается по полной себестоимости. Расходы на исправление брака включают в себя дополнительные затраты на материалы, заработную плату, а также и общехозяйственные расходы.

Аналитическая оценка размера производственного брака дается исходя из его абсолютной величины в рублях и относительной величины в процентах к производственной себестоимости товарной продукции.

Размер потерь продукции из-за производственного брака определяется путем умножения процента производственного брака по себестоимости продукции на фактический объем товарной продукции предприятий.

На некоторых предприятиях (например, при производстве керамических изделий) производственный брак предусматривается в плане. Это так называемый планируемый брак. Потери продукции из-за производственного брака в этом случае определяются путем умножения процента сверхпланового брака на фактический объем товарной продукции в оптовых ценах.

При анализе следует выявить основные причины брака (недостаточный уровень квалификации рабочих, работа на неисправном оборудовании, использование несовершенных приспособлений и инструментов, средств измерительной техники, отступление от технологического процесса, использование материалов и полуфабрикатов со скрытыми дефектами, несовершенство упаковки, маркировки, нарушения условий хранения, перевозки и т.д.).

Показатели качества продукции анализируются путем сравнения фактических данных с данными предыдущих отчетных периодов, планом, аналогичными данными других родственных предприятий. (табл. 6).

Таблицы 6. Брак в производстве

изделие

объем пр-во продукции, тыс.руб

удельный вес брака, %

объем брака, тыс.руб.


план

факт

план

факт

план

факт

А

32724

29146,5

0,003

0,010

98,17

291,47

В

38178

38862

0,003

0,010

114,53

388,62

С

38178

39941,5

0,004

0,015

152,71

599,12

итого

109080

107950



365,42

1279,21


Общий объем брака составил 1279,21 тыс. руб. из этого по продукции А брак составил 291,47 тыс. руб., по продукции В - 388,62 тыс. руб., по продукции С - 599,12 тыс. руб. Это больше чем должно было быть по плану то есть 365,42 тыс. руб. Величина потерь составила 913,79 тыс. руб.

.5 Анализ невыполнения договорных обязательств

Анализ реализации продукции тесно связан с анализом выполнения договорных обязательств по поставкам продукции. Недовыполнение плана по договорам для предприятия оборачивается уменьшением выручки, прибыли, выплатой штрафных санкций. Кроме того, в условиях конкуренции предприятие может потерять рынки сбыта продукции, что повлечет за собой спад производства.

Особо важное значение для предприятия имеет выполнение контрактов на поставку товаров для государственных нужд. Это гарантирует предприятию сбыт продукции, своевременную ее оплату, льготы по налогам, кредитам и т.д.

В процессе анализа определяется выполнение плана поставок за месяц и с нарастающим итогом в целом по предприятию, в разрезе отдельных потребителей и видов продукции, выполняются причины невыполнения плана и выполняются корректирующие меры по выполнению договорных обязательств (табл. 7).

Таблица 7. Невыполнение договорных обязательств

квартал

выпуск продукции, тыс.руб.

удельный вес недоставки продукции, %

невыполнение договорных обязательств, тыс.руб.


план

факт

план

факт

план

факт

1

27270

21590

0,003

0,004

81,81

86,36

2

27270

23749

0,003

0,004

81,81

95

3

27270

30226

0,003

0,006

81,81

181,36

4

27270

32385

0,006

0,009

163,62

291,47

итого

109080

107950



409,05

654,18


Общая сумма невыполненных договорных обязательств составила 654,18 тыс. руб., что больше чем ожидалось в плане 409,05 тыс. руб. Больше всего невыполнение договорных обязательств произошло в 4-ом квартале, а меньше всего во втором. Потери составляют 245,13 тыс. руб.

.6 Общие потери производства и реализации продукции

Общие потери представлены в таблице 8.

Таблица 8. Сводная таблица потерь

Резервы по факторам за счет:

величина потерь


тыс. руб

в %



к объему выпуска

к объему реализации

Невыполнение плана по объему

3577,50

3,31

3,32

Невыполнение плана по реализации

3874,50

3,59

3,6

Ассортиментные сдвиги

2577,50

2,39

2,39

Изменение структуры

3577,46

3,31

3,32

Неритмичная работа

8636,00

8,000

8,015

Ухудшение качество

913,79

0,08

0,08

Невыполнение договорных обязательств

245,13

0,23

0,23

итого

23401,88




Общие потери предприятия составили 23401,88 тыс. руб. Из этого невыполнение плана составило 3577,5 тыс. руб. Невыполнение плана по реализации составило 3874,5 тыс. руб. Ассортиментные сдвиги составили 2577,5 тыс. руб. Неритмичная работа была 8636 тыс. руб. Ухудшение качества составило 913,79 тыс. руб. Невыполнение договорных обязательств было 245,13 тыс. руб.

 

3. Анализ использования трудовых ресурсов предприятия


К трудовым ресурсам относится та часть населения, которая обладает необходимыми физическими данными, знаниями и навыками труда в соответствующей отрасли.

Достаточная обеспеченность предприятия нужными трудовыми ресурсами, их рациональное использование, высокий уровень производительности труда имеют большое значение для увеличения объёма продукции и повышения эффективности производства.

От обеспеченности предприятия трудовыми ресурсами, и эффективности их использования зависит объём и своевременность выполнения всех работ, эффективность использования оборудования, машин, механизмов и, как результат, объём производства продукции, её себестоимость, прибыль и ряд других экономических показателей.

Анализ трудовых показателей - это один из основных разделов анализа работы предприятий.

Цель анализа: выявить резервы улучшения использования трудовых ресурсов.

Объект анализа: трудовые ресурсы предприятия

Основными задачами анализа являются:

.  Анализ обеспеченности предприятия трудовыми ресурсами.

2.      Анализ динамики и структуры трудовых ресурсов по группам, структурным подразделениям, профессиям, возрасту, уровню образования, статусу работы на предприятии, полу, формам оплаты труда, квалификации.

.        Анализ динамики показателей движения трудовых ресурсов.

.        Анализ показателей использования трудовых ресурсов.

.        Анализ фонда заработной платы, систем оплаты и премирования трудовых ресурсов.

.        Анализ соотношения темпов роста средней заработной платы и показателей производительности труда.

.        Определение ресурсов и направления улучшения использования трудовых ресурсов.

Источниками информации для анализа служат:

· План по труду;

·        Статистическая отчетность "Отчет по труду";

·        Данные табельного учета и отдела кадров.

К трудовым показателям, характеризующим трудовую деятельность предприятия, относятся:

· Производительность труда;

·        Численность персонала;

·        Фонд заработной платы (ФЗП);

·        Средняя заработная плата.

.1 Анализ обеспеченности предприятия трудовыми ресурсами

Цель анализа: оценить выполнение плана по обеспеченности трудовыми ресурсами.

Обеспеченность предприятия трудовыми ресурсами определяется сравнением фактического количества работников по категориям и профессиям в отчетном году с фактическим количеством работников в предыдущем году.

В списочный состав работников государственных предприятий включают всех работников, занятых основной деятельностью предприятия, принятых на постоянную и временную работу на срок более одного дня, а также работников неосновной деятельности, принятых на срок не менее 5 дней, получающих зарплату в данном хозяйстве, несмотря на то, что они находятся в командировке, в отпуске, на курсах повышения квалификации, работают по договору в другом хозяйстве, выполняют общественные обязанности. В списочный состав не включают работников, временно направленных по договору в другие организации, если они не получают зарплату по основному месту работы, учащихся учебных заведений, проходящих производственную практику, совместителей, студентов-стипендиатов хозяйства.

Наряду с численностью по списку важно знать число фактически работавших. Для предприятий определенное значение имеет также явочное число (число явившихся на работу.) Явочное число отличается от числа фактически работавших на величину так называемых целодневных простоев.

Численность персонала определяется характером, масштабами, сложностью, трудоемкостью производственных процессов, степенью их механизации, автоматизации, компьютеризации. Эти факторы задают ее нормативную (плановую) величину, которую на практике почти никогда не удается обеспечить. Поэтому персонал более объективно характеризуется списочной (фактической) численностью, т.е. числом сотрудников, которые официально работают в организации в данный момент. В списочный состав работников на каждый календарный день включаются как фактически работающие, так и отсутствующие по каким-либо причинам.

Списочная численность персонала на определенную календарную дату включает всех работников, в том числе принятых с данной даты, и исключает всех уволенных, начиная с нее. В составе списочной численности выделяют три категории работников:

. Постоянные, принятые в организацию бессрочно либо на срок более одного года по контракту.

. Временные, принятые на срок до 2 месяцев, а для замещения временно отсутствующего лица - до 4 месяцев.

. Сезонные, принятые на работу, носящую сезонный характер, на срок до 6 месяцев.

Не включаются в списочную численность и относятся к работникам несписочного состава внешние совместители, лица, привлеченные для разовых и специальных работ, работающие на основе договоров гражданско-правового характера, направленные на учебу с отрывом от производства и получающие стипендию за счет предприятия и некоторые другие.

Обеспеченность трудовыми ресурсами анализируемого предприятия характеризуется данными аналитической таблицы 9.

Таблица 9. Обеспеченность трудовыми ресурсами

Категории персонала

План, чел.

Факт, чел.

отклонение относит ,%

отклонение аб

структура , %






план

факт

Численность промышленно-производственного персонала, всего

1500

1480

98,7

-20

100

100

В том чиле:







рабочие

1250

1200

96,0

-50

83,33

81,08

прочие

250

280

112,0

30

16,67

18,92



Из таблицы видно что произошло недовыполнение плана по численности промышленно-производственного персонала всего на 1,3% или на 20 человек. Из этого было недовыполнение плана по рабочим на 4% то есть на 50 человек и перевыполнение плана прочих работников на 12% то есть на 30 человек. Структура по плану и по факту также изменилась, вместо 83,33% рабочих, что должны были быть по плану, получилось 81,08% по факту. А вот структура прочих работников изменилась с 16,67% до 18,92%.

.2 Динамика движения трудовых ресурсов предприятия

Состав работников каждого предприятия постоянно меняется, обновляется. Это движение рабочей силы характеризуется показателями оборота рабочей силы по приему (отношение принятых за год к среднегодовому числу) и по выбытию (отношение выбывших к среднегодовому числу).

Показателем, характеризующими неоправданную текучесть рабочей силы, является отношение числа выбывших по собственному желанию и уволенных за нарушение трудовой дисциплины к среднегодовому числу.

На деле персонал не является чем-то застывшим: он находится в постоянном движении вследствие приема на работу одних и увольнения других работников. Процесс обновления коллектива в результате выбытия части его членов и прихода новых называется сменяемостью (оборотом) кадров.

Выбытие может быть обусловлено объективными и субъективными причинами, среди которых: биологические (ухудшение здоровья), производственные (сокращение штатов вследствие комплексной механизации и автоматизации), социальные (наступление пенсионного возраста), личные (семейные обстоятельства), государственные (призыв на военную службу).

Абсолютными показателями движения персонала являются оборот по приему и оборот по выбытию.

Оборот по приему представляет собой число лиц, зачисленных на работу после окончания учебных заведений, по оргнабору, в порядке перевода из других организаций, по распределению, по направлению органов трудоустройства, по приглашению самой организации, а также проходящих производственную практику.

Оборот по выбытию характеризуется численностью лиц, уволившихся из организации за данный период, сгруппированных по причинам увольнения. В зависимости от этих причин он бывает необходимым и излишним. Последний по-другому называется текучестью кадров.

Необходимый оборот по выбытию имеет объективные причины: требования законодательства (например, о воинской службе), естественные моменты (состояние здоровья, возраст), а поэтому неизбежен. Его можно предсказать, спрогнозировать и даже достаточно точно рассчитать (уход в армию или на пенсию). Неблагоприятные последствия такого оборота ослабляются тем, что люди часто не порывают связей с организацией и оказывают ей по мере возможности помощь и содействие.

Текучесть связана с субъективными причинами (уход по собственному желанию, увольнение за нарушения трудовой дисциплины).

Для оценки качества работы с кадрами используют систему показателей, характеризующих интенсивность работы кадров и детализирующих особенности этого оборота. К числу основных показателей этой системы относится:

3) коэффициент текучести - отношение числа выбывших за период работников по перечисленным выше причинам, относимым к текучести кадров, к среднесписочной численности за тот же период;

) коэффициент замещения, равный отношению разности числа принятых и числа выбывших работников к среднесписочной численности. Если разность положительна, то можно полагать, что часть принятых на работу возмещает убыль трудовых ресурсов в связи с увольнениями, а часть используется на вновь созданных рабочих местах. Отрицательная разность возникает в случаях сокращения объемов производства или ликвидации части рабочих мест;


Данные динамики показателей движения трудовых ресурсов представлены в таблице 10.

Таблица 10. Динамика показателей движения трудовых ресурсов

Показатель

план

факт

Отклонение относ. %

отклонение абсолют.

Среднесписочная численность персонала на начало

1500

1480

98,67

-20,00

Поступило за период, чел.

130

250

192,31

120,00

Выбыло за период, чел.

180

190

105,56

10,00

В том числе:

 

 

 

 

по собственному желанию, чел.

160

150

93,75

-10,00

увольнение за прогулы, чел

10

20

200,00

10,00

уволены за нарушение трудовой дисциплины, чел.

10

20

200,00

10,00

Наличие персонала на конец периода

1450

1540

106,21

90,00

Коэффициент интенсивности оборота по приему работников

0,09

0,17

194,91

0,08

Коэффициент оборота по выбытию работников

0,12

0,13

106,98

0,01

Коэффициент текучести кадров

0,12

0,13

106,98

0,01

Коэффициент постоянства кадров

1,03

0,96

92,90

-0,07

Коэффициент замещения

-0,03

0,04

-121,62

0,07


Из таблицы видно, что поступило человек за период по факту гораздо больше чем планировалось на 92,31% или на 120 человек, однако выбыло за этот же период больше всего на 5,56% или на 10 человек. В том числе уволено по собственному желанию получилось меньше чем планировалось на 6,25% или на 10 человек. Уволено за прогулы было на 100% больше чем планировалось или на 10 человек. Уволено за нарушение трудовой дисциплины было также больше на 100% чем планировалось или на 10 человек. Наличие персонала на конец года получилось больше на 6,21% или на 90 человек. Коэффициент интенсивности оборота по приему работников увеличился по сравнению с планом на 94,91% или на 0,08. Коэффициент оборота по выбытия работников так же увеличился на 6,98% или на 0,01. Коэффициент текучести кадров увеличился на 6,98% или на 0,01. Коэффициент постоянства кадров уменьшился на 7,1% или на 0,07. Коэффициент замещения увеличился на 21,62% или на 0,07

.3 Анализ производительности труда

Объект: обобщающие и частные показатели производительности труда.

Производительность труда - эффективность труда. Производительность труда может измеряться количеством времени, затрачиваемым на единицу продукции либо количеством продукции, выпущенной работником за какое-то время. Обычно под производительностью труда в экономической статистике разумеется фактическая производительность труда, однако в экономической кибернетике, в частности, в модели жизнеспособных систем Стаффорда Бира, вводятся понятия наличной и потенциальной производительности труда.

Для оценки уровня интенсивности использования персонала применяется система обобщающих, частных и вспомогательных показателей производительности труда.

К обобщающим показателям относятся среднегодовая, среднедневная, среднечасовая выработка продукции одним рабочим, а также среднегодовая выработка продукции на одного работающего в стоимостном выражении.

Частные показатели - это затраты времени на производство единицы продукции определенного вида (трудоемкость продукции) или выпуск продукции определенного вида в натуральном выражении за один человеко-день или человеко-час.

Вспомогательные показатели характеризуют затраты времени на выполнение единицы определенного вида работ или объем выполненных работ за единицу времени.

Наиболее обобщающим показателем производительности труда является среднегодовая выработка продукции одним работником. Величина ее зависит не только от выработки рабочих, но и от удельного веса последних в общей численности промышленно-производственного персонала, а также от количества отработанных ими дней и продолжительности рабочего дня.

Отсюда среднегодовая выработка одного работника:

ГВ= Уд*Д*П*ЧВ (9)

где ГВ - среднегодовая выработка одного работника;

УД - удельный вес рабочих;

Д- количество отработанных дней одним рабочим за год;

П - средняя продолжительность рабочего дня;

ЧВ - среднечасовая выработка продукции.

Для определения уровня выработки продукции на одного работника составляется аналитическая таблица (табл. 11).

Таблица 11. Выработка продукции на одного работника

Показатель

План

Факт

Отклонение от плана




абсолютное

% к плану

Выпуск товарной продукции в стоимостном выражении, тыс. руб. (ВП)

109080

107950

-1130

99,0

Среднесписочная численность работников, чел. (Чр)

1480

-20

98,7

в т.ч рабочих

1250

1200

-50

96,0

Удельный вес рабочих(УД)

83,3

81,1

-2,2

97,3

Отработано всеми рабочими, тыс.час.(tч)

2540,00

2388,96

-151,04

94,1

одним рабочим, тыс.час. (tчр)

2,03

1,99

-0,0412

98,0

Продолжительность рабочего дня,.(П)

8

7,9

-0,1

98,8

общее кол-во отработаных дней рабочими за год

317500

302400

-15100

95,2

Отработано дней 1 рабочим в год(Д)

254

252

-2

99,2

Среднегодовая выработка одного работника, тыс. руб. (ГВ)

109,08

107,95

-1,13

99,0

Среднечасовая выработка продукции, руб. (ЧВ)

644,17

668,77

24,59

103,82

непроизводственные затраты рабочего времени, ч

0,08

0,30

0,22

375,25


Факторный анализ:

)        ГВпл= УДпл*Дпл*Ппл*ЧВпл

ГВпл= 83,3*254*8*644,17=109,08 тыс.руб

)        ГВуд= УДф*Дпл*Ппл*ЧВпл

ГВуд=81,1*254*8*644,17=106,16 тыс.руб

)        ГВд= УДф*Дф*Ппл*ЧВпл

ГВд=81,1*252*8*644,17=105,19 тыс.руб

)        ГВп= УДф*Дф*Пф*ЧВпл

ГВп=81,1*252*7,9*644,17=104 тыс.руб

)        ГВф= УДф*Дф*Пф*ЧВф

ГВф=81,1*252*7,9*668,77=107,95 тыс.руб

)        ∆ГВ1= ГВуд - ГВпл = 106,16-109,08=-2,92

)        ∆ГВ2= ГВд - ГВуд = 105,19-106,16=-0,97

)        ∆ГВ3= ГВп - ГВд = 104-105,19=-1,19

)        ∆ГВ4= ГВф - ГВп = 107,95-104=3,95

)        ∆ГВ=∆ГВ1+ ∆ГВ2+∆ГВ3+∆ГВ4=-2,92-0,97-1,19+3,95=-1,13

Из таблицы видно что среднегодовая выработка одного работника снизилась на 1,13 тыс. руб. Положительное влияние на среднегодовую выработку оказало увеличение среднечасовой выработки продукции, отрицательное влияние оказали следующие факторы: снижение удельного веса рабочих, уменьшение отработанных дней одним рабочим, уменьшение продолжительности рабочего дня. Резерв производительности труда составляет 1,13 тыс. руб.

.4 Оценка резервов повышения производительности труда

Резерв роста среднегодовой выработки составляет:

Р↑ГВ = 109,08-107,95=1,13 тыс.руб.

Чтобы рассчитать влияние выработки на изменение объема выпускаемой продукции следует прирост среднегодовой выработки работника умножить на фактическую среднесписочную численность промышленно-производственного персонала:

Р↑ВП=Р↑ГВ*ППП (10)

где ППП - фактическая среднесписочная численность промышленно-производственного персонала.

Р↑ВПуд=Р↑УД*Дф*Пф*ЧВф*ПППф

Р↑ВПуд=2,2*252*7,9*668,77*1480=4334,9 тыс. руб.

Р↑ВПд=УДп*Р↑Д*Пф*ЧВф*ПППф

Р↑ВПд=83,3*2*7,9*668,77*1480=1302,7 тыс. руб.

Р↑ВПп=УДп*Дп*Р↑П*ЧВф*ПППф

Р↑ВПп= 83,3*254*0,1*668,77*1480=2094,2 тыс. руб.

Р↑ВПчв=УДп*Дп*Пп*Р↑ЧВ*ПППф

Р↑ВПчв=83,3*254*8*(-24,59)*1480=-6160 тыс. руб.

Общий резерв увеличения выпуска продукции за счет производительности труда составил 7731,8 тыс. руб.

.5 Анализ трудоемкости продукции

Полноту использования персонала можно оценить по количеству отработанных дней и часов одним работником за анализируемый период времени, а также по степени использования фонда рабочего времени. Такой анализ проводится по каждой категории работников, по каждому производственному подразделению, в целом по предприятию.

Фонд рабочего времени зависит от численности рабочих, количества отработанных дней одним рабочим в среднем за год и средней продолжительности рабочего дня:

Т = ЧР*Д*П, (11)

где Т - фонд рабочего времени;

ЧР - численность рабочих;

Д - количество отработанных дней одним работником;

П - средняя продолжительность рабочего дня.

Динамика фонда рабочего времени представлена в таблице 12.

Таблица 12. Динамика фонда рабочего времени.

Показатель

План

Факт

отклонение




Абс.

Отн., %

среднегодовая численность рабочих (ЧР), чел.

1500

1480

-20

98,67

отработанно за год одним рабочим дней (Д), дн.

254

252

-2

99,21

средняя продолжительность рабочего дня (П), ч.

8

7,9

-0,1

98,75

фонд рабочего времени (Т), ч.

3048000

2946384

-101616

96,67


Фонд рабочего времени уменьшился на 101616 ч. за счет уменьшения среднегодовой численности рабочих, отработанных дней одним работником, средней продолжительности рабочего дня.

Трудоемкость - затраты рабочего времени на единицу или весь объем изготовленной продукции. Трудоемкость единицы продукции рассчитывается делением фонда рабочего времени на изготовление определенного вида продукции на количество изделий этого наименования в натуральном или условно-натуральном измерении.

Снижение трудоемкости продукции - важнейший фактор повышения производительности труда. Рост производительности труда происходит, в первую очередь, за счет снижения трудоемкости продукции, а именно: за счет выполнения плана, внедрения достижений науки и техники, механизации и автоматизации производственных процессов, совершенствования организации производства и труда и т.д.

В процессе анализа изучается динамика трудоемкости, выполнение плана по ее уровню, причины изменения, рассчитывается влияние трудоемкости на уровень производительности труда (табл13).

Таблица 13. Анализ динамики и выполнения плана по уровню трудоемкости продукции.

показатели

План

Факт

отклонение




Абс.

Отн., %

объем товарной продукции

109080

107950

-1130

99

отработано всеми рабочими человеко-часов

2540

2388,96

-151,04

94

удельная трудоемкость

0,023

0,022

-0,001

95

Среднечасовая выработка

42,94

45,19

2,24

105


Трудоемкость продукции снизилась на 5%, значит план предприятия по снижению трудоемкости продукции выполнен.

.6 Квалификация рабочих

Наряду с количественным обеспечением изучается качественный состав рабочих, который характеризуется общеобразовательным, профессионально-квалификационным уровнями, половозрастной и внутрипроизводственной структурами. Важное значение при этом имеет изучение профессионально-квалификационной структуры трудовых ресурсов, определение удельного веса работников по видам деятельности, уровню квалификации и т.п. Показатели профессионально-квалификационной структуры трудовых ресурсов широко применяются при составлении балансовых расчетов потребности в подготовке квалифицированных рабочих и специалистов. Квалификация работника определяется такими факторами, как уровень общих и специальных знаний, стаж работы и данной или аналогичной должности, необходимый для освоения профессии. Квалификация присваивается специальной комиссией на основе всесторонней проверки знаний и опыта данного лица и юридически закрепляется в документах: дипломах, свидетельствах и проч.

Для оценки квалификации рабочих оценивают средние тарифные разряды рабочих.

Тр =, (12)

где Тр - тарифный разряд;

ЧРi - численность рабочих.

Различия в степени квалификации рабочих отражаются в тарифном разряде, более высокий разряд соответствует более высокой квалификации. Иногда, например, на транспорте, последняя характеризуется классностью, но в отличие от первого разряда первый класс считается самым высоким (табл. 14).

Таблица 14. Квалификация рабочих






показатели

прошедший период

отчетный период

отклонение абс., чел

отклонение отн., %

1-й разряд

25

40

15

160

2-й разряд

25

50

25

200

3-й разряд

350

400

50

114

4-й разряд

450

380

-70

84

5-й разряд

250

200

-50

80

6-й разряд

150

130

-20

87


Тр пр ==4,06

ТР от =  =3,87

С 1 по 3 разряд в отчетном году было перевыполнение по сравнению с предыдущим годом на 15, 25, 50 или на 60%, 100%, 14%. С 4 по 6 разряд произошло недовыполнение по сравнению с предыдущим периодом на 70, 50, 20, или на 16%, 20%, 13%. Средние тарифные разряды рабочих уменьшились в отчетном году по сравнению с прошедшим на 0,19, значит общая квалификация рабочих снизилась.

3.7 Анализ фонда заработной платы

Объект: фонд заработной платы.

Задачи:

.        Анализ динамики и структуры заработной платы.

.        Анализ выполнения плана по фонду заработной платы.

.        Анализ динамики средней заработной платы.

.        Анализ соотношения темпов роста производительности труда и средней заработной платой.

.        Анализ систем оплаты и стимулирования труда.

В основу организации оплаты труда должны быть положены следующие принципы.

.Оплата труда в зависимости от его количества и качества.

. Дифференциация заработной платы в зависимости от квалификации работника, условий труда, отраслевой и региональной принадлежности предприятия.

. Систематическое повышение реальной заработной платы, т.е. превышение темпов роста номинальной заработной платы над инфляцией.

. Превышение темпов роста производительности труда над темпами роста средней заработной платы.

. Справедливость, т. е. равная оплата за равный труд.

. Учет вредных условий труда и тяжелого физического труда.

. Стимулирование высокого качества труда и добросовестного отношения к труду.

. Материальное наказание работников за брак и безответственное отношение к своим обязанностям, приведшим к негативным последствиям.

Организация оплаты труда на предприятии предполагает:

·        формирование фонда оплаты труда (ФОТ), включающего фонд заработной платы (ФЗП) и премиальный фонд;

·        нормирование труда;

·        определение форм и систем заработной платы.

Фонд оплаты труда подразделяется на переменную и постоянную части

Анализ использования фонда заработной платы обычно начинают с определения экономии или перерасхода фонда заработной платы по категориям персонала и по всему промышленно-производственному персоналу (табл.12).

Эфз = ФЗотч - ФЗпл , (13)

где Эф3 - экономия (-) или перерасход (+) фонда заработной платы;

ФЗотч, и ФЗпл - соответственно отчетный и плановый фонды заработной платы.

Фонд заработной платы представлен в таблице 15.

Таблица 15. Фонд заработной платы

показатели

база

факт

отклонение


тыс.руб

уд.вес %

тыс.руб

уд.вес в %

Абс., тыс.руб.

Отн, %

по уд.весу

фонд з/п работников

27270

76,92

28564

78,13

1294,00

104,75

101,56

в т.ч рабочих

21250

59,94

20376

55,73

-874,00

95,89

92,97

премиальные работников

8181

23,08

7997,92

21,88

-183,08

97,76

94,79

в т.ч рабочих

7437,5

20,98

6927,84

18,95

-509,66

93,15

90,32

фонд всего

35451

100,00

36561,92

100,00

1110,92

103,13

100,00



Из данных таблицы видно, что план фонда заработной платы работников перевыполнен на 1294 тыс. руб. или на 4,7%, в том числе рабочих не выполнен на 874 тыс. руб. или на 4,11%. Премиальные работников были недовыполнены на 183,08 тыс. руб. или на 2,24%, в том числе рабочих недовыполнены на 509,66 тыс. руб. или на 6,85%. Всего фонд заработной платы был перевыполнен на 1110,92 тыс. руб. или на 3,13%.

.8 Анализ динамики средней заработной платы

Объект: средняя заработная плата работников и рабочих в целом по предприятию, по структурным подразделениям, по группам основных производственных рабочих и рабочих вспомогательного производства, по профессии, по категории работников.

Средняя заработная плата - экономический показатель, характеризующий размер начисленной заработной платы, приходящейся на одного работника предприятия, организации, отрасли, народного хозяйства. Определяется делением общей суммы начисленной заработной платы, т.е. фонда заработной платы, на среднесписочную численность работников.

Динамика средней заработной платы представлена в таблице 16.

Таблица 16. Динамика средней заработной платы

показатели

План

Факт

Отклонение




Абс.

Отн., %

средняя з/п работников за год, тыс.руб

27270

28564

1294

105

в течение года премиальные, %

30

28

-2

93

в течение года премиальные, тыс.руб

8181

7997,92

-183,08

98

средняя з/п рабочих за год

21250

20376

-874

96

в течение года премиальные, %

35

34

-1

97

в течение года премиальные, тыс.руб

7437,5

6927,84

-509,66

93


Из таблицы видно, что средняя заработная плата работников увеличилась на 1294 тыс. руб. или на 5%, премиальные выплаты работников уменьшились на 183,08 тыс. руб. или на 2%. А средняя заработная плата рабочих уменьшилась на 874 тыс. руб. или на 4 %, премиальные рабочих также уменьшились на 509,66 тыс. руб. или на 7%.

.9 Соотношение темпов роста производительности труда и средней заработной платы

Объектом анализа являются производительность труда и заработная плата на макро- и микроуровнях.

Целью анализа является определение взаимосвязи между производительностью труда и ее оплатой.

Задача анализ: проанализировать динамику производительности труда и заработной платы.

Для расширенного воспроизводства, получения прибыли и рентабельности нужно, чтобы темпы роста производительности труда опережали темпы роста его оплаты. Если такой принцип не соблюдается, то происходит перерасход фонда зарплаты, повышение себестоимости продукции и соответственно уменьшение суммы прибыли.

Изменение среднего заработка работающих за тот или иной промежуток времени характеризуется его индексом:

сз=, (14)

где Iсз - индекс среднего заработка;

СЗ1 - средняя заработная плата за отчетный период;

СЗ0 - средняя заработная плата в базисном периоде.

Аналогичным образом рассчитывается индекс производительности труда:

Iгв=, (15)

где Iгв - индекс производительности труда;

ГВ1 - среднегодовая выработка в отчетном периоде;

ГВ0 - среднегодовая выработка в базисном периоде.

Коэффициент опережения:

Коп = , (16)

где Коп - коэффициент опережения.

Для определения суммы экономии (-Э) или перерасхода (+Э) фонда зарплаты в связи с изменением соотношений между темпами роста производительности труда и его оплаты можно использовать следующую формулу:

Э=ФЗП1*, (17)

где Э - сумма экономии или перерасхода;

ФЗП1 - фонд заработной платы в отчетном году.

Соотношение темпов роста производительности труда и средней заработной платы представлено в таблице 17.

Таблица 17. Соотношение темпов роста производительности труда и средней заработной платы

показатели

План

Факт

Отклонение




Абс.

фонд заработной платы

35451

36561,92

1110,92

103

средняя з/п работников за год, тыс.руб

27270

28564

1294

105

индекс среднего заработка


1,05



Среднегод. Выработка, млн.руб

109,08

107,95

-1,13

99

индекс производительности труда

0,99



коэффициент опережения

0,94



экономия/перерасход з/п

2017,92




Из таблицы видно, что темпы роста оплаты труда опережают темпы роста производительности труда, из-за этого у предприятия оказался перерасход фонда заработной платы на 2017,92 тыс. руб.

4. Анализ основных фондов предприятия


Объект: основные фонда предприятий

Цель: найти пути улучшения использования основных средств

Задачи:

.        Анализ динамики и структуры основных фондов, темпов их обновления и систем износа.

.        Анализ эффективности использования основных фондов.

.        Анализ уровня использования производственных мощностей машин и механизмов.

.        Анализ факторов, оказывающих влияние на использование основных фондов.

.        Оценка резервов улучшения использования основных фондов и разработка мероприятий по реализации резервов.

Информационные источники анализа:

· бизнес-план предприятия;

·        план технического развития;

·        форма №1 "Баланс предприятия";

·        форма №5 "Приложение к балансу предприятия", раздел 2 "Состав и движение основных средств";

·        форма №11 "Отчет о наличии и движении основных средств";

·        форма БМ "Баланс производственной мощности";

·        данные о переоценке основных средств (форма №1 - переоценка);

·        инвентарные карточки учета основных средств;

·        проектно-сметная документация;

·        форма №7 "Отчет о запасах неустановленного оборудования";

·        техническая документация;

·        прочее.

4.1 Анализ состояния основных фондов

Анализ основных средств обычно начинается с изучения объема основных фондов, их динамики и структуры.

При анализе состава и движения основных фондов отчетные данные рассматриваются в динамике. При этом имеется в виду, что производственные основные фонды непосредственно связаны с основной деятельностью предприятия и поэтому имеют наибольший удельный вес.

Для определения изменений в составе промышленно-производственных фондов необходимо проанализировать их структуру (состав). Такой анализ проводится на основе данных раздела 2 формы №1.

Основным производственным фондам принадлежит определяющее место в экономике промышленного производства. Улучшение их использования имеет первостепенное значение для выполнения задания по освоению объемов работ и повышения эффективности производства.

Анализ обычно начинается с изучения объема основных средств, их динамики и структуры. Под структурой основных фондов понимается соотношение стоимости отдельных групп основных производственных фондов, которая изменяется в зависимости от степени и характера технической оснащенности строительных организаций и их специализации.

В соответствии с действующей классификацией в состав основных фондов входят объекты производственного и непроизводственного назначения.

К первым относятся основные фонды промышленного, строительного, сельскохозяйственного назначения, автомобильного транспорта, связи, торговли и прочих видов деятельности материального производства. Непроизводственные основные фонды предназначены для обслуживания нужд жилищно-коммунального хозяйства, здравоохранения, просвещения, культуры.

Структура основных фондов определяется спецификой отрасли и отражает производственно-технические особенности предприятий, связанные с неодинаковым уровнем концентрации, особенностями специализации, формами и методами организации производства.

При анализе структуры фондов выясняется соотношение активной и пассивной части. Активная часть фондов непосредственно воздействует на предмет труда (рабочие машины и оборудование). Пассивную часть образуют фонды, которые создают условия для осуществления процесса производства (здания, склады, транспортные средства, измерительные приборы и устройства и т.д.). (табл. 18, 19)

Таблица 18. Движение основных средств по плану








показатели

наличие на начало года, тыс.руб.

поступило в течение года

выбыло в теч.года

наличие на конец года, тыс.руб.



тыс.руб.

уд.вес, %

тыс.руб

уд.вес %


всего ОФ

47380

3800

8,02

4200

8,86

46980

в т.ч. Пассивная часть

24163,8





22080,6

активная часть

23216,2





24899,4









Таблица 19. Движение основных средств по факту

показатели

наличие на начало года, тыс.руб.

поступило в течение года

выбыло в течение года

наличие на конец года, тыс.руб.



тыс.руб.

уд.вес, %

тыс.руб.

уд.вес, %


всего ОФ

49530

2400

4,85

3500

7,07

48430

в т.ч. Пассивная часть

24269,7





24699,3

активная часть

25260,3





23730,7



Из данных таблиц видно что по плану пассивная часть на начало года меньше чем по факту, активная часть на начало года также по плану меньше чем по факту. Поступило и выбыло основных средств по плану больше чем по факту. А в конце года пассивная часть по плану оказалась меньше чем по факте, а активная по плану больше чем по факту. Всего основных фондов по факту было больше чем по плану.

.2 Показатели движения основных фондов

Степень обновления основных фондов характеризуется отношением стоимости вновь поступивших за отчетный год основных фондов к их стоимости на конец периода. Она показывает величину введенных в действие основных фондов за тот или иной период. Коэффициенты износа и обновления исчисляются как по всем фондам, так и по активной их части, а также по группам оборудования и рассматриваются обычно в динамике за ряд лет.

Более высокий коэффициент обновления активной части фондов по сравнению с аналогичным коэффициентом, исчисленным по всем фондам, показывает, что обновление основных фондов осуществляется на предприятии за счет активной их части и положительно влияет на показатель фондоотдачи. Коэффициент обновления основных фондов показывает удельный вес новых основных фондов, поступивших в течение года в общем их количестве. В сопоставлении с коэффициентом выбытия он характеризует темпы увеличения основных фондов.

Кобновления =, (18)

Где: ОСвв - стоимость вновь поступивших основных фондов;

ОСк - стоимость основных фондов на конец периода.

Коэффициент выбытия исчисляется как отношение выбывших за отчетный год основных фондов к стоимости их на конец периода. Он показывает долю основных фондов, ежегодно выбывающих из производства. Рост коэффициента выбытия означает обновление материальной базы предприятия.

Квыбытия = , (19)

Где: ОСвыб - стоимость выбывших основных фондов;

ОСн - стоимость основных фондов на начало периода.

Коэффициент прироста основных фондов определяет рост основных фондов за данный период в результате обновления.

К прироста = Кобновления - Квыбытия (20)

Коэффициент физического износа основных фондов показывает степень изношенности основных фондов предприятия:

Кизноса = , (21)

где И - сумма износа соответственно на начало и конец периода;

ОС - стоимость основных фондов соответственно на начало и конец периода.

Коэффициент годности показывает, какую долю составляет их остаточная стоимость от первоначальной:

Кгодности = 1- Кизноса (22)

Полученные расчеты показателей движения основных фондов представлены в табл. 20.

Таблица 20. Показатели движения основных фондов.

коэффициенты

предыдущий год

отчетный период

Отклонение абс.

коэффициент обновления

0,08

0,05

-0,03

коэф.выбытия

0,09

0,07

-0,02

коэф.прироста

0,002

0,006

0,003

срок обновления, лет

12,40

20,18

7,78

коэф. износа

0,002

0,006

0,003

коэф.годности

0,998

0,994

-0,003


Из данной таблицы видно, что коэффициент обновления по сравнению с предыдущим годом уменьшился на 0,03. Коэффициент выбытия также уменьшился на 0,02, коэффициент прироста увеличился на 0,003, срок обновления увеличился на 7,78 лет, коэффициент износа увеличился на 0,003, а коэффициент годности уменьшился на 0,003.

.3 Анализ использования машин и оборудования

Изучение обобщающих показателей эффективности использования основных фондов позволяет перейти к более детальному анализу использования производственного оборудования. При анализе основных фондов прежде всего проверяется обеспеченность хозяйствующего субъекта оборудованием, полнота его использования.

Все оборудование хозяйствующего субъекта подразделяется на наличное, установленное и действующее, находящееся в ремонте и на модернизации, и резервное. Оптимальной считается ситуация, при которой по величине наличное, установленное и действующее оборудование примерно одинаково.

К наличному оборудованию относится все имеющееся оборудование, независимо от того, где оно находится (на участке или на складе) и в каком состоянии.

К установленному оборудованию относится смонтированное и подготовленное к работе оборудование, находящееся на участках, в цехах. Часть установленного оборудования может находиться в резерве или на консервации, в плановом ремонте и на модернизации.

К действующему оборудованию относится все фактически работающее в отчетном периоде (независимо от времени его работы).

Для оценки использования имеющееся в наличии оборудование сопоставляют с установленным, а установленное с работающим, так как не все имеющееся оборудование установлено и не все установленное оборудование эксплуатируется. Кроме того, определяются коэффициенты использования наличного и установленного оборудования.

Задача эффективного полного использования оборудования заключается в том, чтобы свести к минимуму количество неустановленного бездействующего оборудования. Ввод в действие новых машин повышает темпы наращивания производственных мощностей, способствует лучшему использо­ванию средств производства.

Разность между количеством наличного и установленного оборудования, умноженная на плановую среднегодовую выработку продукции на единицу оборудования, характеризует потенциальный резерв роста производства продукции за счет увеличения количества действующего оборудования.

Повышение эффективности использования работающего (действующего) оборудования обеспечивается двумя путями: экстенсивным (по времени) и интенсивным (по мощности).

Показателями, характеризующими экстенсивный путь использования оборудования, являются: количество единиц оборудования, структура машин и станков, коэффициент сменности, отработанное время (станко-часы).

Кэкст =  (23)

Показателями интенсивного использования являются показатели выпуска продукции на один машино-час либо на один рубль, т.е. показатели производительности.

Кинт= (24)

Анализ экстенсивного использования оборудования начинается с анализа баланса времени его работы. Баланс времени работы оборудования определяется по цехам, так как режим работы может быть разный и по предприятию. С этой целью рассчитываются следующие фонды времени: календарный, режимный, возможный, плановый и фактический.

Календарный фонд времени определяется как произведение числа календарных дней в отчетном периоде (24 часа) на количество единиц установленного оборудования. Все оборудование одновременно эксплуатироваться не может. Оно требует ремонта, и режим работы оборудования может быть разный. Вследствие этого определяют режимный фонд времени и возможный.

Режимный фонд времени работы оборудования определяют путем умножения количества единиц установленного оборудования на количество рабочих дней (с учетом режима работы) в анализируемом периоде и на продолжительность рабочего дня в часах.

Возможный фонд времени равен разнице между режимным фондом и временем планового ремонта и модернизации.

Фактический фонд времени - это время фактически отработанных машино-часов.

Фонд времени работы оборудования рассчитывается по плану, по факту определяется абсолютное отклонение. Сравнение календарного и режимного фондов времени оборудования позволяет определить возможности лучшего использования оборудования за счет повышения коэффициента сменности. Сравнение возможного и режимного фондов времени позволяет установить возможности лучшего использования оборудования за счет сокращения затрат времени на ремонт в рабочее время. Сравнение фактического и планового календарных фондов позволяет установить степень выполнения плана по вводу оборудования в эксплуатацию по количеству и срокам. Анализ осуществляется по предприятию, цехам, участкам, конкретным видам машин.

Снижение показателей фондов времени работы оборудования и увеличение удельного веса простоев свидетельствует о том, что у хозяйствующего субъекта имеются резервы роста производства (наличие упущенных возможностей). Необходимо усилить контроль за работой оборудования, выяс­нить причины снижения указанных показателей (неисправности и внеплановый ремонт; отключение электроэнергии; наладка и переналадка оборудования в связи с изменением ассортимента).

Экстенсивное использование оборудования характеризует коэффициент сменности. Он определяется как отношение суммы отработанных станко-смен ко всему установленному оборудованию (в том числе находящемуся в ремонте и резерве).

Коэффициент сменности показывает, сколько смен проработал станок. Чем выше коэффициент сменности, тем больше выпуск продукции.

Плохое использование установленного оборудования по количеству единиц и неполное использование действующего оборудования по сменам являются основными причинами низкого уровня коэффициента сменности. Недогрузка машин и оборудования в основном объясняется слабой организацией производства и несопряженностью мощностей отдельных участков и групп оборудования. Использование нового, технически совершенного оборудования наряду с морально устаревшим не обеспечивает равновесную загрузку оборудования и снижает коэффициент сменности его работы. Таким образом, основными причинами низкого коэффициента сменности являются: длительный внеплановый ремонт, неукомплектованность рабочими, неисправность оборудования, отключение электроэнергии, некомплект закупок деталей, узлов, материалов.

Интенсивное использование основных фондов характеризуется как показателями выпуска на один станко-час, так и натуральными и условно-натуральными показателями, принятыми в той или иной отрасли. Это показатели среднесменного съема продукции с единицы оборудования или произ­водственной площади: съем стали в тоннах с одного квадратного метра площади пода мартеновских печей, съем тканей в метро-уточинах на ткацких фабриках, и т.д.

Показатели интенсивного использования оборудования определяются по плану, по факту, определяется абсолютное отклонение. Абсолютное отклонение является объектом анализа. Определяются причины изменения показателей, выявляются резервы роста объема выпуска. Снижение фактических показателей по сравнению с расчетными плановыми исходя из рациональной загрузки оборудования свидетельствует о нерациональном использовании производственной мощ­ности, об упущении реальных возможностей увеличения выпуска продукции.

Коэффициент интегральной загрузки оборудования является показателем, характеризующим использование оборудования комплексно, т.е. по времени и мощности. Коэффициент интегральной загрузки оборудования определяется по формуле (Кинтегр):

Кинтегр = Кэкс. * Кинт. (25)

Показатели рассчитываются по периодам, анализ показателей ведется в динамике. Определяются причины их изменения и резервы упущенных возможностей (табл. 21).

Таблица 21. Определение коэффициента экстенсивной загрузки.

показатели

план

факт

отклонение





абс.

отн.,%

кол-во установленного оборудования, шт

1900

1800

-100

94,74

число рабочих дней

254

252

-2

99,21

продолжительность рабочего дня, ч

8

7,9

-0,1

98,75

выпуск продукции

109080

107950

-1130

98,96

коэф.сменности

1,5

1,3

-0,2

86,67

коэф.экст.

0,80




коэф инт.

0,99




интегр.коэф

0,80





Из данной таблицы видно, что коэффициент экстенсивной загрузки равен 0,8, он не достиг единицы, значит фактический фонд рабочего времени меньше по сравнению с плановым. Это связано с тем, что было установлено меньше оборудования по сравнению с запланированным, было меньше число рабочих дней, продолжительность рабочего дня уменьшилась, коэффициент сменности также уменьшился. Все это привело к тому что коэффициент экстенсивной загрузки не достиг единицы. Коэффициент интенсивности (0,99) также не достиг единицы, из-за того что фактический выпуск продукции был ниже планового.

.4 Резерв увеличения выпуска продукции за счет оборудования

Резервы увеличения выпуска продукции за счет ввода в действие нового оборудования определяются умножением дополнительного его количества на фактическую величину среднегодовой выработки в отчетном периоде или на фактическую величину всех факторов, которые формируют ее уровень:

Р↑ВПк = Р↑К*ГВ1 = Р↑К*Д1*Ксм1*П1*ЧВ1 (26)

Р↑ВПк = 100*252*1,3*7,9*668,77=173,08 тыс.руб.

Сокращение целодневных простоев оборудования приводит к увеличению среднего количества отработанных дней каждой его единицей за год. Этот прирост необходимо умножить на возможное (прогнозируемое) количество единиц оборудования и фактическую среднедневную выработку единицы в текущем периоде:

Р↑ ВПд = Кв * Р ↑ *Д*ДВ1 = Кв * Р ↑ *Д * Ксм1 *П1 • ЧВ1 (27)

Р↑ ВПд =1900*2*1,3*7,9*668,77=26,1 тыс.руб.

Чтобы подсчитать резерв увеличения выпуска продукции за счет повышения коэффициента сменности в результате лучшей организации производства, необходимо возможный прирост последнего умножить на планируемое количество дней работы всего парка оборудования и на фактическую сменную выработку (СВ):

Р↑ВПКсм = Кв*Дв*Р↑Ксм*СВ1 = Кв*Дв*Р↑Ксм*П1*ЧВ1 (28)

Р↑ВПКсм =1900*254*0,2*7,9*668,77=509,94 тыс.руб.

Резерв увеличения выпуска продукции за счет сокращения внутрисменных простоев определяют умножением планируемого прироста средней продолжительности смены на фактический уровень среднечасовой выработки оборудования и на возможное количество отработанных смен всем его парком - СМ (произведение возможного количества оборудования, возможного количества отработанных дней единицей оборудования и возможного уровня коэффициента сменности):

Р↑ВПп=СМв*Р↑П*ЧВ1= Кв*Дв*Ксм в*Р↑П*ЧВ1 (29)

Р↑ВПп=1900*254*1,5*0,1*668,77=48,4 тыс.руб.

Для определения резерва увеличения выпуска продукции за счет повышения среднечасовой выработки оборудования необходимо сначала выявить возможности роста последней за счет обновления и модернизации оборудования, более интенсивного его использования, внедрения достижений научно-технического прогресса и т.д. Затем выявленный резерв повышения выработки за 1 машиночас надо умножить на возможное количество часов работы оборудования Тв (произведение возможного количества единиц, количества дней работы, коэффициента сменности, продолжительности смены):

Р↑ВПЧВ = Тв*Р↑ЧВ= Кв*Дв*Ксм в*Пв*Р↑ЧВ (30)

Р↑ВПЧВ =1900*254*1,5*8*(-24,59)=-17,8 тыс.руб.

Общий резерв увеличения выпуска продукции за счет нового оборудования равен:

Р↑ВП= Р↑ВПк+ Р↑ ВПд+ Р↑ВПКсм+ Р↑ВПп = 173,08+26,1+509,94+48,4= 757,52 тыс.руб.

.5 Анализ фондоотдачи

Фондоотдача - обобщающий показатель использования производственных основных фондов.

На величину и динамику фондоотдачи влияют многие факторы, зависящие и не зависящие от предприятия, вместе с тем резервы повышения фондоотдачи, лучшего использования техники имеются на каждом предприятии, участке, рабочем месте.

Важным резервом повышения фондоотдачи является улучшение использования рабочих машин и оборудования по времени на основе увеличения сменности их работы и сокращение потерь рабочего времени в связи с простоями.

Особое внимание должно быть уделено выявлению факторов, оказывающих влияние на увеличение выпуска продукции за один машино-час. За счет совершенствования организации труда и обслуживания производства, повышения квалификации рабочих, применения прогрессивной технологии, замены старой техники на новую, более производительную и др.

Чтобы проследить взаимосвязь между показателями фондоотдачи, фондовооруженности и производительности труда, необходимо преобразовать формулу фондоотдачи - числитель и знаменатель ее разделить на численность рабочих в наиболее продолжительную смену:

ФО=(П/ОПФ)=(П/ЧР):(ОПФ/ЧР)= ПТ:ФВ, (31)

Фондоотдача активной части рассчитывается по формуле:

ФОакт = , (32)

Где: ОПФ - средняя стоимость производственных основных фондов;

ВП - объем продукции;

ЧР - число рабочих в наиболее продолжительную смену;

ПТ - производительность труда (по числу рабочих в наиболее продолжительную смену);

ФВ - фондовооруженность;

УДакт - удельный вес активной части.

Расчет фондоотдачи представлен в таблице 22.

Таблица 22. Фондоотдача

показатель

предыдущий год

отчетный год

Отклонение




абс

Отн, %

выпуск продукции

109080

107950

-1130

99

ОПФ

49530

48430

-1100

98

уд.вес.активной части

0,49

0,51

0,02

104

фондоотдача

2,20

2,23

0,03

101

фондоотдача активной части

4,49

4,37

-0,12

97


Факторный анализ фондоотдачи:

)        ФОпл =

ФОпл = =2,2

)        ФОп =

ФОп = =2,18

)        ФОф =

ФОф = =2,23

)        ФОп - ФОпл = 2,18-2,2=-0,02

)        ФОф - Фп = 2,23-2,18= 0,05

)        ∆ФО= -0,02+0,05=0,03

Факторный анализ фондоотдачи активной части:

)        ФОакт пл =

ФОакт пл == 4,49

)        ФОакт вп =

ФОакт вп ==4,45

)        ФОакт пл =

ФОакт опф ==4,55

)        ФОакт пл =

ФОакт уд ==4,37

)        ФОакт вп - ФОакт пл = 4,45-4,49=-0,04

)        ФОакт опф - ФОакт вп = 4,55-4,45=0,1

)        ФОакт пл - ФОакт пл = 4,37-4,55=-0,18

)        ∆ФОакт = -0,04+0,1-0,18=-0,12

Из данных таблицы видно, что фондоотдача по сравнению с предыдущим годом увеличилась на 0,03, а фондоотдача активной части по сравнению с предыдущим годом уменьшилась на 0,12. Факторный анализ фондоотдачи показал что уменьшение выпуска продукции на 1130 тыс. руб. привело к уменьшению фондоотдачи на 0,02, а уменьшение стоимости основных производственных фондов на 1100 тыс. руб. привело к увеличению фондоотдачи на 0,05, получается что большее влияние на фондоотдачу оказала стоимость основных производственных фондов.

Факторный анализ активной части фондоотдачи показал что уменьшение выпуска продукции на 1130 тыс. руб. привело к уменьшению фондоотдачи активной части на 0,04, уменьшение стоимости основных производственных фондов на 1100 тыс. руб. привело к увеличению фондоотдачи активной части на 0,1, а увеличение удельного веса активной части на 0,02 привело к уменьшению фондоотдачи активной части на 0,18, значит большее влияние на фондоотдачу активной части оказал удельный вес активной части основных производственных фондов.

.6 Резервы увеличения выпуска продукции за счет фондоотдачи

Резервы роста фондоотдачи определяются следующим образом:

Р↑ФО=ФОв-ФО1= (33)

где Р↑ФО - резерв роста фондоотдачи;

ФОв,ФО1 - возможный и фактический уровень фондоотдачи;

Р↑ВП - резерв увеличения производства продукции;

ОСПд - дополнительная сумма основных средств производства, необходимая для освоения резервов увеличения выпуска продукции;

Р↓ОСП - резерв сокращения основных средств производства за счет реализации и сдачи в аренду ненадобных и списания непригодных.

Резерв роста фондоотдачи активной части равен:

Р↑ФО акт = ФО акт пл - ФО акт ф = 4,49-4,37=0,12

Резерв увеличения выпуска продукции за счет резерва роста фондоотдачи активной части:

Р↑ВП= ОПФ*УДакт* Р↑ФО акт

Р↑ВП=48430*0,51*0,12=2963,92 тыс.руб.

Резерв увеличения выпуска продукции за счет увеличения фондоотдачи активной части равен 2963,92 тыс. руб.

5. Анализ себестоимости товарной продукции


Объектом анализа являются: себестоимость продукции и затраты на производство и реализацию.

Цель анализа: найти пути снижения затрат на производство и реализацию и себестоимости продукции.

Задачи анализа:

)        Анализ динамики и структуры затрат.

)        Анализ затрат на рубль товарной продукции.

)        Анализ себестоимости единицы продукции

)        Анализ факторов, оказывающих влияние на уровень и динамику затрат.

)        Анализ резервов снижения себестоимость, разработка мероприятий по их использованию.

Себестоимость продукции - это выраженные в денежной форме затраты на ее производство и реализацию. В себестоимости продукции как синтетическом показателе отражаются все стороны производственной и финансово-хозяйственной деятельности предприятия: степень использования материальных, трудовых и финансовых ресурсов, качество работы отдельных работников и руководства в целом.

Исчисление этого показателя необходимо по многим причинам, в том числе для определения рентабельности отдельных видов продукции и производства в целом, определения оптовых цен на продукцию, осуществления внутрипроизводственного хозрасчета, исчисления национального дохода в масштабах страны. Себестоимость продукции является одним из основных факторов формирования прибыли. Если она повысилась, то при остальных равных условиях размер прибыли за этот период обязательно уменьшиться за счет этого фактора на такую же величину. Между размерами величины прибыли и себестоимости существует обратная функциональная зависимость. Чем меньше себестоимость, тем больше прибыль, и наоборот. Себестоимость является одной из основных частей хозяйственной деятельности и соответственно одним из важнейших элементов этого объекта управления.

Одно из основных условий получения достоверной информации о себестоимости продукции - четкое определение состава производственных затрат. В нашей стране состав себестоимости продукции регламентируется государством. Основные принципы формирования этого состава определены в Законе РФ "О налоге на прибыль предприятий и организаций" и конкретизированы в Положении о составе затрат. Кроме того, на основе данного Положения министерства, ведомства, межотраслевые государственные объединения, концерны разрабатывают отраслевые положения о составе затрат и методические рекомендации по вопросам планирования, учета и калькулирования себестоимости продукции (работ, услуг) для подведомственных предприятий. Регламентирующая роль государства по отношению к себестоимости продукции проявляется также в установлении норм амортизации основных средств, тарифов отчислений на социальные нужды и др.

Положением о составе затрат определено, что себестоимость продукции (работ, услуг) представляет собой стоимостную оценку используемых в процессе производства природных ресурсов, сырья, материалов, топлива, энергии, основных фондов, трудовых ресурсов, а также других затрат на ее производство и реализацию.

Кроме того, в практике планирования, учета, калькулирования и анализа различают цеховую, производственную и полную себестоимость. Цеховая себестоимость продукции складывается из затрат (прямых и косвенных) всех цехов не ее изготовление. Производственная себестоимость формируется из всех затрат предприятия, связанных с процессом производства и управления. Полная себестоимость состоит из производственной себестоимости и внепроизводственных расходов (т.е. расходов, связанных с реализацией продукции покупателям).

5.1 Анализ динамики и структуры затрат

Все затраты, образующие себестоимость продукции, группируются в связи с их экономическим содержанием по следующим элементам (статьям):

)        материальные затраты (за вычетом стоимости возвратных отходов);

)        затраты на оплату труда;

)        отчисления на социальные нужды;

)        амортизация основных фондов;

)        прочие затраты.

Прочие затраты - это платежи по процентам, износ нематериальных активов, командировочные расходы, компенсационные выплаты сверх оплаты по труду, представительские расходы, расходы на рекламу, расходы на подготовку кадров, арендная плата, обязательные страховые платежи, налоги включаемые в себестоимость (земельный налог, транспортный, на пользование автодорог, с владельцев транспортных средств, гербовый сбор, государственная пошлина, допустимые выбросы загрязняющих веществ), расходы на ремонт основных средств (ремонтный фонд) и др.

Соотношение отдельных элементов в общих затратах определяет структуру затрат на производство.

Анализ структуры затрат на производство начинается с определения удельных весов (в процентах) отдельных элементов затрат в общей сумме затрат и их изменений за отчетный период.

Изучение структуры и динамики затрат позволяет своевременно реагировать на отклонения от плановых, нормативных показателей себестоимости, выявлять негативные тенденции в изменении структуры затрат, делать выводы о необходимости ее изменения в сторону снижения материалоемкости или трудоемкости.

Анализировать абсолютные суммы затрат по элементам в динамике не имеет смысла, так как они даются на разные объемы и структуру производства и показывают все произведенные за период расходы ресурсов, включая расходы на рост остатков незавершенного производства и на затраты, отнесенные на счет расходов будущих периодов и т.д.

Для того чтобы установить, под влиянием каких факторов сформировался данный уровень себестоимости, по каким направлениям изыскать резервы снижения затрат, необходимо сгруппировать их по статьям расходов.

Затраты по статьям себестоимости отличаются от затрат по ее элементам тем, что они отражают затраты, которые связаны с производством и реализацией товарной продукции за данный отчетный период.

Группировка затрат по статьям позволяет выявить роль затрат в технологическом процессе, управлении и обслуживании, выделить прямые и косвенные, переменные и постоянные расходы и определить направления их снижения.

Анализ затрат по статьям себестоимости начинается с определения отклонения фактической суммы затрат от плановой, рассчитанной исходя из плановых норм расхода на фактический объем и фактическую структуру продукции в целом по всей товарной продукции и в разрезе отдельных статей расходов.

Вместе с абсолютным отклонением определяют и отклонения в процентах по формуле .

В процессе дальнейшего анализа в первую очередь определяют неоправданные ростом объема производства перерасходы, непроизводительные затраты и потери (потери от брака, оплата простоев и т.д.).

Себестоимость продукции рассчитывается по формуле:

С/Б=МЗ+З/П+А+ПР, (34)

где С/Б - себестоимость продукции;

МЗ - материальные затраты;

З/П - заработная плата;

А - амортизация;

ПР - прочие затраты.

Динамика и структура затрат представлена в таблице 23.

Таблица 23. Динамика и структура затрат.

показатели

предыдущий период

отчетный период

изменения


тыс.руб

уд.вес, %

тыс.руб.

уд.вес, %

тыс.руб.

Отн,%

уд.вес, %

себестоимость

88500

100

90130

100

1630

101,84

1,00

В том числе: материальные затраты

43365

49

40558,5

45

-2806,5

93,53

0,92

зарплата с начислениями

19470

22

20729,9

23

1259,9

106,47

1,05

амортизация

4425

5

5407,8

6

982,8

122,21

1,20

прочие

21240

24

23433,8

26

2193,8

110,33

1,08



Факторный анализ себестоимости:

)        С/Бпл=МЗпл+З/Ппл+Апл+ПРпл

С/Бпл=43365+19470+4425+21240=88500

)        С/Бмз=МЗф+З/Ппл+Апл+ПРпл

С/Бмз=40558,5+19470+4425+21240=85693,5

)        С/Бз/п=МЗф+З/Пф+Апл+ПРпл

С/Бз/п=40558,5+20729,9+4425+21240=86953,4

)        С/Ба=МЗф+З/Пф+Аф+ПРпл

С/Ба=40558,5+20729,9+5407,8+21240=87936,2

)        С/Бф=МЗф+З/Пф+Аф+ПРф

С/Бф=40558,5+20729,9+5407,8+23433,8=90130

)        С/Бмз-С/Бпл=85693,5-88500=-2806,5

)        С/Бз/п-С/Бмз=86953,4-85693,5=1259,9

)        С/Ба-С/Бз/п=87936,2-86953,4=982,8

)        С/Бф-С/Ба=90130-87936,2=2193,8

10)    ΔС/Б = -2806,5+1259,9+982,8+2193,8=1630

Факторный анализ себестоимости показал, что уменьшение материальных затрат на 2806,5 тыс. руб. привело к уменьшению себестоимости на это же число. Увеличение заработной платы привело к увеличению себестоимости на 1259,9 тыс. руб., увеличение амортизации на 982,8 тыс. руб. привело к увеличению себестоимости на то же число, а увеличение прочих расходов привело к увеличению себестоимости на 2193,8 тыс.руб. Получается что на себестоимость продукции большее влияние оказали материальные затраты, если бы материальные затраты не уменьшились, то себестоимость продукции возросла бы на 2806,5 тыс. руб., а значит на это же число уменьшилась бы прибыли предприятия.

5.2 Затраты на рубль продукции

В большинстве отраслей промышленности задание по себестоимости утверждается предприятием в виде предельного уровня затрат на рубль товарной продукции.

Показатель затрат на рубль товарной продукции характеризует уровень себестоимости одного рубля обезличенной продукции. Он исчисляется как частное от деления полной себестоимости всей товарное продукции на ее стоимость в оптовых ценах предприятия. Это - наиболее обобщающий показатель себестоимости продукции, выражающий ее прямую связь с прибылью. К достоинствам этого показателя можно также отнести его динамичность и широкую сопоставимость.

Непосредственное влияние на изменение уровня затрат на рубль товарной продукции оказывают 4 фактора, которые находятся с ним в прямой функциональной связи:

изменение структуры выпущенной продукции;

изменение уровня затрат на производство отдельных изделий;

изменение цен и тарифов на потребленные материальные ресурсы;

изменение оптовых цен на продукцию.

Важнейший обобщающий показатель себестоимости продукции - затраты на рубль продукции, который характеризует издержкоемкость продукции. Он выгоден тем, что, во-первых, очень универсальный: может рассчитываться в любой отрасли производства и, во-вторых, наглядно показывает связь между себестоимостью и прибылью. Определяется он отношением общей суммы затрат на производство и реализацию продукции к стоимости произведенной продукции в действующих ценах.

ИЕ = , (35)

Где ИЕ - издержкоемкость;

Зобщ - общая сумма затрат на производство и реализацию продукции;

ВП - стоимость произведенной продукции.

Данные для анализа затрат на рубль товарной продукции представлены в таблице 24.

Таблица 24. Динамика и структура затрат на рубль товарной продукции.

показатели

предыдущий период

отчетный период

изменения


тыс.руб

уд.вес,%

тыс.руб.

уд.вес,%

тыс.руб.

Отн,%

уд.вес,%

себестоимость

0,81

100

0,83

100

0,02

102,91

1

В том числе: материальные затраты

0,4

49

0,38

45

-0,02

94,51

0,92

зарплата с начислениями

0,18

22

0,19

23

0,01

107,59

1,05

амортизация

0,04

5

0,05

6

0,01

123,49

1,2

прочие

0,19

24

0,22

26

0,02

111,48

1,08



Из таблицы видно, что в отчетном году было перевыполнение плана затрат на рубль товарной продукции на 2,91% или на 0,02 тыс.руб. Из этого было недовыполнение плана по материальным затратам на рубль продукции на 5,49% или на 0,02 тыс.руб., по остальным показателям план был перевыполнен, что в общей сумме привело к перевыполнению плана затрат на рубль товарной продукции. Резерв снижения себестоимости на рубль товарной продукции составил 0,04 тыс. руб.

.3 Анализ постоянных и переменных затрат

Важное значение в процессе управления затратами имеет их деление на постоянные и переменные в зависимости от объема деятельности предприятия.

Переменные затраты зависят от объема производства и продажи продукции. В основном это прямые затраты ресурсов на производство и реализацию продукции (прямая заработная плата, расход сырья, материалов, топлива, электроэнергии).

Постоянные затраты не зависят от динамики объема производства и продажи продукции. Это амортизация, арендная плата, заработная плата обслуживающего персонала на почасовой оплате, расходы, связанные с управлением и организацией производства.

Предприятию более выгодно, если на единицу продукции приходится меньшая сумма постоянных затрат, что возможно при достижении максимума объема производства продукции на имеющихся производственных мощностях. Если при спаде производства продукции переменные затраты сокращаются пропорционально, то сумма постоянных затрат не изменяется, что приводит к росту себестоимости продукции и уменьшению суммы прибыли.

Динамика и структура постоянных и переменных затрат представлена в таблице 25.

Таблица 25. Динамика и структура постоянных и переменных затрат.

показатели

предыдущий период

отчетный период

изменения


тыс.руб

уд.вес,%

тыс.руб.

уд.вес,%

тыс.руб.

отн

уд.вес,%

себестоимость

88500

100

90130

100

1630

101,84

1,00

В том числе: переменные затраты

54870

62

61288,4

68

6418,4

111,70

1,10

постоянные затраты

33630

38

28841,6

32

-4788,4

85,76

0,84



Из таблицы видно, что переменные затраты увеличились на 6418,4 тыс. руб. или на 11,7%, а постоянные затраты уменьшились на 4788,4 тыс. руб. или на 14,24%. Резерв снижения себестоимости за счет переменных затрат равен 6418,4 тыс. руб.

.4 Построение графика безубыточного объема продаж

Линия затрат при наличие постоянных и переменных расходов представляет собой уравнение первой степени.

=a+b*x, (36)

где Z - сумма затрат на производство продукции;- абсолютная сумма постоянных затрат;- ставка переменных расходов на единицу продукции:

х - объем производства продукции.

График безубыточного объема продаж по плану представлен на рисунке 1, по факту на рисунке 2.

Рис. 1. График безубыточного объема продаж по плану.

Точку безубыточности можно найти по формуле:

Тб = , (37)

где Тб - точка безубыточности;- объем продаж;

Зпост - постоянные затраты;

Зпер - переменные затраты

Рис. 2. График безубыточного объема продаж на факту.

Тб пл = =67669,4

Тб ф == 66724,05

∆Тб = Тб ф - Тб пл = 66724,05 - 67669,4= -945,35

Получается что безубыточный объем продаж по факту меньше чем по плану на 945,35 тыс. руб. Значит, предприятие получило больше прибыли на это же число.

.5 Выявление резервов снижения затрат на производство продукции

Проведенный анализ себестоимости позволил выявить следующие резервы ее снижения:

·      Затраты в отчетном периоде были по всем статьям выше запланированных значений за исключением статьи "материальные затраты". По данной категории затраты не достигли планового значение на 2806,5 тыс.руб.

·        Для выявления резервов снижения затрат на производство продукции необходимо провести расчеты по корректировке затрат по плану на коэффициент изменения объема производства.

Для расчета коэффициента используется следующая формула:

З’ = Зпл * К - Зф, (38)

где Зпл - плановый объем затрат,

Зф - фактический объем затрат,

К - коэффициент изменения объема производства.

К = , (39)

Для выявления резервов необходимо провести корректировку в целом по затратам и в отдельности по каждому виду затрат и сравнить полученные данные с фактическими показателями затрат.

Расчеты по выявлению резервов приведены в таблице 26.

Таблица 26. Резервы снижения затрат.

Наименование

Зпл, тыс. руб.

К

Зпл*К, тыс. руб.

Зф,тыс. руб.

З', тыс. руб.

Материальные затраты

43365

1,01

43798,65

40558,5

3240,15

Амортизация

19470

1,01

19664,7

20729,9

-1065,2

Заработная плата

4425

1,01

4469,25

5407,8

-938,55

Прочие расходы

21240

1,01

21452,4

23433,8

-1981,4

Всего

88500

1,01

89385

90130

-745


Из таблицы видно, что общий резерв снижения себестоимости равен 745 тыс. руб. Из этого резерв снижения себестоимости за счет амортизации равен 1065,2 тыс. руб., за счет заработной платы 938,55 тыс. руб., за счет прочих расходов 1981,4 тыс. руб.

5.6 Определение прибыли предприятия

Прибыль предприятия является важнейшей экономической категорией и основной целью предпринимательской деятельности. Получить прибыль предприятие может только в том случае, если оно производит продукцию или услуги, которые реализуются, т.е. удовлетворяют общественные потребности. Предприятию необходимо произвести продукт, который удовлетворит потребности и притом по такой цене, которая соответствовала бы платежеспособным потребностям. Приемлемая цена возможна только в том случае, когда предприятие выдерживает определенный уровень издержек, когда потребляемые ресурсы, затраты их меньше, чем полученная выручка, т.е. когда оно работает с прибылью. Таким образом, прибыль, являясь непосредственной целью производства, характеризует одновременно результат его деятельности. Если предприятие не получает прибыли, оно вынуждено уйти из сферы производства, признать себя банкротом.

Как экономическая категория прибыль отражает чистый доход, созданный в сфере материального производства, и выполняет ряд функций.

Во-первых, прибыль характеризует экономический эффект, полученный в результате деятельности предприятия. Получение прибыли означает, что все расходы покрываются с избытком доходами.

Во-вторых, прибыль обладает стимулирующей функцией. Это связано с тем, что прибыль является одновременно не только финансовым результатом, но и основным элементом финансовых ресурсов предприятия. Предприятие заинтересовано в получении максимальной прибыли, так как это является основой для расширения производственной деятельности, научно-технического и социального развития предприятия, материального поощрения работников.

В-третьих, прибыль является одним из важнейших источников формирования бюджетов разных уровней.

Расширение производства и процветание национальной экономики требует максимизации прибыли и устойчивого ее роста. Только так предприятие может существовать в конкурентно-рыночной среде. Расширение производства может проявляться в увеличении масштабов самого предприятия, укреплении его позиций на рынке, но оно может выражаться и в поглощении других предприятий, в привлечении новых рынков, наконец, оно может стать следствием простого слияния с другими предприятиями.

На уровне хозяйствующего субъекта возникает целая система прибылей:

·        валовая (балансовая) прибыль,

·        прибыль от реализации основных фондов и иного имущества предприятия,

·        прибыль по внереализационным операциям,

·        чистая прибыль.

Кроме того, различают прибыль, облагаемую налогом, и прибыль, не облагаемую налогом.

Вал П=ВП - С/Б, (40)

где Вал П - валовая прибыль;

ВП - выручка от продаж;

С/Б - себестоимость продукции.

ППрод=Вал П - УР, (41)

где ППрод - прибыль от продаж;

УР - управленческие расходы;

ПдН=ППрод + ОД -ОР + ВД - ВР, (42)

где ПдН - прибыль до налогообложения;

ОД - операционные доходы;

ОР - операционные расходы;

ВД - внереализационные доходы;

ВР - внереализационные расходы.

Значения прибыли представлены в таблице 27.

Таблица 27. Динамика прибыли.

показатели

план

факт

отклонение




абсолютное

относительное

выручка от продаж

109080

107950

-1130

98,96

себестоимость

88500

90130

1630

101,84

валовая прибыль

20580

17820

-2760

86,59

управленческие расходы

28310

29300

990

103,5

прибыль от продаж

-7730

-11480

-3750

148,51

операционные доходы

315

316

1

100,32

операционные расходы

270

280

10

103,7

внереализационные доходы

93

95

2

102,15

внереализационные расходы

90

94

4

104,44

прибыль до налогообложения

-7682

-11443

-3761

148,96


Из таблицы видно, что валовая прибыль предприятия уменьшилась на 2760 тыс. руб. это изменение произошло за счет того что выручка от продаж уменьшилось на 1130 тыс. руб., а себестоимость продукции увеличилась на 1630 тыс. руб. Прибыль от продаж уменьшилась на 3750 тыс. руб. за счет увеличения управленческих расходов (амортизационных отчислений) на 990 тыс. руб. Прибыль до налогообложения уменьшилась на 3761 тыс. руб. за счет того что операционные и внереализационные расходы увеличились больше, чем операционные и внереализационные доходы 14 тыс. руб. по сравнению с 3 тыс. руб. Однако прибыль до налогообложения по плану и по факту возрасла по сравнению с прибылью от продаж.

5.7 Анализ рентабельности предприятия

Рентабельность, в отличие от прибыли предприятия, показывающей эффект предпринимательской деятельности, характеризует эффективность этой деятельности. Рентабельность - относительная величина, выражающая прибыльность (доходность) предприятия. В рыночной экономике существует система показателей рентабельности.

Рентабельность продукции можно рассчитать как по всей реализованной продукции, так и по отдельным ее видам.

Рентабельность всей реализованной продукции можно определить как:

·        процентное отношение прибыли от реализации продукции к выручке от реализованной продукции;

·        процентное отношение балансовой прибыли к выручке от реализации продукции

·        отношение чистой прибыли к выручке от реализации продукции.

Эти показатели дают представление об эффективности текущих затрат предприятия и степени доходности реализуемой продукции.

Рентабельность отдельных видов продукции зависит от цены и полной себестоимости. Она определяется как процентное отношение цены реализации единицы данной продукции за вычетом ее полной себестоимости к полной себестоимости единицы данной продукции.

Рентабельность имущества (активов) предприятия рассчитывается как процентное соотношение чистой прибыли к средней величине активов (имущества).

Рентабельность внеоборотных средств определяется как процентное соотношение чистой прибыли к средней величине внеоборотных активов.

Рентабельность оборотных активов определяется как процентное отношение чистой прибыли к среднегодовой стоимости оборотных активов.

Рентабельность инвестиций определяется как процентное отношение валовой прибыли к стоимости имущества предприятия.

Рентабельность собственного капитала рассчитывается как процентное отношение чистой прибыли к величине собственного капитала.

Показатели рентабельности используются в процессе анализа финансово-хозяйственной деятельности, принятия управленческих решений, решений потенциальных инвесторов об участии в финансировании инвестиционных проектов.

Повышение рентабельности может быть достигнуто как посредством увеличения суммы прибыли, так и путем снижения стоимости производственных фондов. Невыполнение плана прибыли и увеличение производственных фондов может привести к снижению уровня рентабельности. Поскольку рентабельность - показатель относительный, его рост или снижение возможны и при различном соотношении темпов изменения прибыли и фондов.

Анализ общей рентабельности имеет большое значение для комплексной характеристики работы с точки зрения эффективности использования всего производственного потенциала, находящего в распоряжении производственного предприятия.

Смысл любой предпринимательской деятельности состоит в достижении положительного экономического эффекта в виде абсолютного показателя - прибыли или относительного - рентабельности. Тем самым рентабельность выступает главным объектом и целью финансового менеджмента предприятий. Чем больше уделяется внимания рентабельности, тем успешнее функционирует предприятие.

Так или иначе рентабельность представляет собой соотношение дохода и капитала, вложенного в создание этого дохода. Увязывая прибыль с вложенным капиталом, рентабельность позволяет сравнить уровень доходности предприятия с альтернативным использованием капитала или доходностью, полученной предприятием при сходных условиях риска. Более рискованные инвестиции требуют более высокой прибыли, чтобы они стали выгодными. Так как капитал всегда приносит прибыль, для измерения уровня доходности прибыль как вознаграждение за риск сопоставляется с размером капитала, который был необходим для образования этой прибыли. Рентабельность является показателем, комплексно характеризующим эффективность деятельности предприятия.

При его помощи можно оценить эффективность управления предприятием, так как получение высокой прибыли и достаточного уровня доходности во многом зависит от правильности и рациональности принимаемых управленческих решений. Поэтому рентабельность можно рассматривать как один из критериев качества управления.

По значению уровня рентабельности можно оценить долгосрочное благополучие предприятия, т.е. способность предприятия получать достаточную прибыль на инвестиции. Для долгосрочных кредиторов, инвесторов, вкладывающих деньги в собственный капитал предприятия, данный показатель является более надежным индикатором, чем показатели финансовой устойчивости и ликвидности, определяющиеся на основе соотношения отдельных статей баланса.

Устанавливая связь между суммой прибыли и величиной вложенного капитала, показатель рентабельности можно использовать в процессе прогнозирования прибыли. В процессе прогнозирования с фактическими и ожидаемыми инвестициями сопоставляется прибыль, которую предполагается получить на эти инвестиции. Оценка предполагаемой прибыли базируется на уровне доходности за предшествующие периоды с учетом прогнозируемых изменений.

Кроме того, большое значение рентабельность имеет для принятия решений в области инвестирования, планирования, при составлении смет, координировании, оценке и контроле деятельности предприятия и ее результатов.

Таким образом, можно сделать вывод, что показатели рентабельности характеризуют финансовые результаты и эффективность деятельности предприятия. Они измеряют доходность предприятия с различных позиций и систематизируются в соответствии с интересами участников экономического процесса.

Рентабельность затрат определяется по формуле:

Рз = , (43)

где Рз - рентабельность затрат;

ПдН - прибыль до налогообложения;

С/Б - себестоимость.

Рентабельность продаж определяется по формуле:

Рп = , (44)

где Рп - рентабельность продаж;

ППрод - прибыль от продаж;

ВП - выручка от продукции.

Динамика рентабельности представлена в таблице 28.

Таблица 28. Динамика рентабельности.

показатель

план

факт

абс

Отн., %

прибыль до налогообложения

-7682

-11443

-3761

148,96

себестоимость

88500

90130

1630

101,84

рентабельность затрат, %

-8,68

-12,7

-4,02

146,26

прибыль от продаж

-7730

-11480

-3750

148,51

выручка от продаж

109080

107950

-1130

98,96

рентабельность продаж, %

-7,09

-10,63

-3,55

150,07


Из таблицы видно что рентабельность затрат снизилась на 4,02%, а рентабельность продаж снизилась на 3,55%.

.8 Общие резервы увеличения выпуска продукции и резервы снижения себестоимости

Резервы увеличения выпуска продукции предприятия представлены в таблице 29.

Таблица 29. Резервы увеличения выпуска продукции.

Резервы по факторам за счет:

тыс. руб

Невыполнение плана по объему производства

3577,50

Невыполнение плана по объему реализации

3874,50

Ассортиментных сдвигов

2577,50

Изменения структуры продукции

3577,46

Неритмичной работы

8636,00

Ухудшения качества

913,79

Невыполнения договорных обязательств

245,13

Производительности труда

7731,8

Нового оборудования

757,52

Фондоотдачи активной части

2963,92

итого

34855,17


Общий резерв увеличения выпуска продукции составил 34855,17 тыс. руб. Если бы предприятие использовало этот резерв то объем продукции был бы равен:

ВПн=107950+34855,17= 142805,17 тыс. руб.

Расчет снижения себестоимости за счет резервов увеличения выпуска продукции:

С/Бед=

С/Бед==0,83

Х= Р↑ВП*С/Бед

Х=34855,17*0,83=28929,8

У=Х- резервы С/Б

У=28929,8-1259,9-982,8-2193,8=24493,3== 24493,3/90130=0,27

Зпер=Z*ВП

Зпер=0,27*107950=29146,5тыс. руб.

Получается переменные затраты за счет резервов выпускаемой продукции уменьшились на 23749 тыс. руб., значит теперь переменные затраты равны 32141,9 тыс. руб. Постоянные затраты остались прежними 28841,6 тыс. руб. получается себестоимость продукции равна:

С/Бн=32141,9+28841,6=60983,5 тыс. руб.

Построим новый график безубыточного объема продаж с учетом всех резервов (рис. 3).

Рис. 3. безубыточный объем продаж с учетом резервов.

Рассчитаем точку безубыточности:

Тб=(142805,17*28841,6)/(142805,17-32141,9)=37218,58 тыс. руб.

Таблица 30. Прибыль предприятия после учета резервов.

выручка от продаж, тыс.руб.

136745,72

себестоимость, тыс.руб.

60983,5

валовая прибыль, тыс.руб.

75762,22

управленческие расходы, тыс.руб.

29300

прибыль от продаж, тыс.руб.

46462,22

операционные доходы, тыс.руб.

316

операционные расходы, тыс.руб.

280

внереализационные доходы, тыс.руб.

95

внереализационные расходы, тыс.руб.

94

прибыль до налогообложения, тыс.руб.

46499,22

налог на прибыль, тыс.руб.

9299,84

чистая прибыль, тыс.руб.

37199,38


Получается что если бы предприятие использовало свои резервы, то получило бы чистую прибыль в размере 37199,38 тыс. руб.

Новая рентабельность предприятия представлена в таблице 31.

Таблица 31. Рентабельность предприятия после учета резервов.

прибыль до налогообложения, тыс.руб.46499,22


Себестоимость, тыс.руб.

60983,5

рентабельность затрат, %

76,25

прибыль от продаж, тыс.руб.

46462,22

выручка от продаж, тыс.руб.

136745,72

рентабельность продаж, %

33,98


Новая рентабельность затрат составила 76,25%, а новая рентабельность продаж составила 33,98%.

Заключение

В курсовой работе у предприятия был выявлен резерв увеличения выпускаемой продукции за счет разных факторов, он составил 34855,17 тыс. руб.

Резерв увеличения выпуска продукции за счет невыполнения плана составил 3577,5 тыс. руб., за счет невыполнения плана по реализации продукции резерв составил 3874,5 тыс. руб. Также на величину резерва выпускаемой продукции оказали влияния ассортиментные сдвиги (2577,5 тыс. руб.), изменения структуры продукции (3577,46 тыс. руб.), неритмичная работа (8636 тыс. руб.), ухудшения качества продукции (913,79 тыс. руб.), невыполнение договорных обязательств (245,13 тыс. руб.).

Еще на объем выпускаемой продукции оказала производительность труда за счет изменения таких факторов как удельный вес рабочих, продолжительность рабочего дня, количество отработанных дней 1 рабочим в год. Общий резерв за счет производительности труда составил 7731,8 тыс. руб.

Также на объем выпускаемой продукции оказала влияние фондоотдача активной части, резерв по ней составил 2963,92 тыс. руб. Анализ использования машин и оборудования выявил резерв выпуска продукции за счет: количества установленного оборудования, числа рабочих дней, продолжительности рабочего дня, коэффициента сменности. Резерв за счет использования машин и оборудования составил 757,52 тыс. руб.

Резерв снижения себестоимости у предприятия равен 4436,5 тыс. руб. Из этого резерв за счет заработной платы с начислениями составил 1259,9 тыс. руб., за счет амортизации - 982,8 тыс. руб., за счет прочих расходов - 2193,8 тыс. руб.

За счет этих резервов уменьшилась точка безубыточности предприятия с 66724,05 тыс. руб. до37218,58 тыс. руб.

Прибыль предприятия увеличилась за счет увеличения объема выручки продукции и снижения себестоимости. До учета резервов был убыток до налогообложения в размере 11443 тыс. руб., а после учета резервов получилась прибыль до налогообложения равная 46499,22 тыс. руб. И также у предприятия осталась чистая прибыль в размере 37199,38 тыс. руб.

Рентабельность затрат предприятия увеличилась с -12,7% до 76,25%. Рентабельность продаж предприятия увеличилась с -10,63% до 33,98%.

Из всего вышеперечисленного можно сделать вывод, что предприятие неэффективно использует имеющиеся у него ресурсы.

Список использованной литературы


1.      Баканов А.И. Мельник М.В. Шеремет А.Д. Теория экономического анализа: учебник. - М.: Финансы и статистика, 2009.

2.      Басовский Л.Е. Теория экономического анализа: учебное пособие. - М.: Инфра - М, 2011

.        Савицкая Г.В. Анализ хозяйственной деятельности предприятия

.        Шеремет А.Д. Теория экономического анализа. - М.: Инфра - М, 2002

.        Волков О.И., Скляренко В.К. "Экономика предприятия: Курс лекций" - М.: ИНФРА-М, 2009.

.        Сафронов Н.А. "Экономика организации (предприятия)": Учебник - М.: Экономистъ, 2011.

Похожие работы на - Экономический анализ финансовой деятельности предприятия

 

Не нашли материал для своей работы?
Поможем написать уникальную работу
Без плагиата!
Без нейросетей!