Успешное бизнес-планирование

  • Вид работы:
    Контрольная работа
  • Предмет:
    Менеджмент
  • Язык:
    Русский
    ,
    Формат файла:
    MS Word
    12,07 Кб
  • Опубликовано:
    2015-06-27
Вы можете узнать стоимость помощи в написании студенческой работы.
Помощь в написании работы, которую точно примут!

Успешное бизнес-планирование















Контрольная работа

по дисциплине "Бизнес планированию"

Вариант 3












Екатеринбург, 2014

1. Планирование потребности в кадрах

персонал планирование бизнес окупаемость

Кадровое планирование занимает третье по значимости место после стратегии развития и стратегического анализа организации и формирования кадровой политики организации. Планирование персонала (кадровое планирование, планирование рабочего состава предприятия) определяется как:

процесс обеспечения организации необходимым количеством квалифицированного персонала, принятого на определенные должности в конкретные временные рамки.

целенаправленная, научно обоснованная деятельность организации с целью предоставление рабочих мест в нужный момент времени и в необходимом количестве в соответствии со способностями работников и предъявляемыми требованиями.

целенаправленная деятельность организации по подготовке кадров, обеспечению пропорционального и динамичного развития персонала, расчету его профессионально-квалификационной структуры, определению общей и дополнительной потребности в персонале, контролю над его использованием.

Сущность кадрового планирования - предоставление рабочих мест в нужный момент времени и в необходимом количестве в соответствии с их способностями, склонностями и требованиями производства. Рабочие места должны позволить работающим оптимальным образом развивать свои способности, повышать эффективность труда, отвечать требованиям создания достойных человека условий труда и обеспечения занятости. В результате интересы работодателя и работника уравновешиваются.

Кадровое планирование включает в себя:

прогнозирование перспективных потребностей организации в персонале (по отдельным его категориям);

изучение рынка труда (рынка квалифицированной рабочей силы) и программы мероприятий по его освоению;

анализ системы рабочих мест организации;

разработка программ и мероприятий по развитию персонала.

Пути покрытия потребности в персонале. Способы приобретения персонала у определенного источника покрытия кадровой потребности.

Активные:

) организация набирает персонал в учебных заведениях при помощи заключения двустороннего соглашения с самим заведением и участниками обучения;

) организация представляет заявки по вакансиям в местные или межрегиональные службы занятости;

) использует услуги консультантов по персоналу и специализированных посреднических фирм по найму персонала;

) вербует новый персонал через своих сотрудников (из их семейного круга; в других организациях; в учебных заведениях);

) заключает лизинговые соглашения с другими работодателями на определенных условиях предоставления кадровых ресурсов.

Пассивные:

) Организация сообщает о вакантных местах через рекламные объявления в СМИ и Специализированных изданиях;

) ожидает претендентов после проведения рекламной кампании местного характера.

Требования к кадровому планированию:

Гибкость или эластичность планирования, способность приспособления к альтернативным ситуациям.

Устранение пробелов в информации и неопределенности в исходной ситуации.

Учет в планах вероятных факторов влияния на плановые показатели.

Координации отдельных планов и их взаимозависимости.

Выявление и учет наиболее слабых звеньев производства.

Наличие, анализ и учет всесторонней информации о кадрах.

Планирование потребности в персонале - одно из важнейших направлений кадрового планирования, позволяющее установить на заданный период времени качественный и количественный состав персонала.

Начальной ступенью процесса кадрового планирования является планирование потребности в персонале. Оно базируется на данных об имеющихся и запланированных рабочих местах, плане проведения организационно-технических мероприятий, штатном расписании и плане замещения вакантных должностей.

Существует четыре категории работников, по которым ведется планирование:

. Действующий персонал;

. Новички;

. Потенциальные сотрудники;

. Персонал, покинувший организацию.

В отношении каждой из этих категорий менеджмент компании должен принимать разные действия.

Категории работников.

Управленческие действия

Действующий персонал

Оценка производительности труда

Распределение работников

Обучение и развитие; Оплата и мотивация; Карьерный рост

Новички

Методы найма; Процедуры отбора; Введение в должность

Условия заключения договоров;

Процесс адаптации; Обучение

Потенциальные сотрудники

Методы найма; Внешние связи

Уровень оплаты труда; Бонусы дня персонала

Персонал, покинувший организацию

Увольнение по инициативе администрации; Выход на пенсию

Текучесть персонала

Планирование привлечения и адаптации персонала - планирование мероприятий по найму и приему персонала для удовлетворения в перспективе потребности организации в кадрах за счет внутренних и внешних источников.

Планирование использования персонала осуществляется за счет разработки плана замещения штатных должностей.

Планирование обучения включает переподготовку и повышение квалификации работников организации.

Обучение на рабочем месте более дешевое и оперативное, тесно связано с повседневной работой и облегчает вхождение в учебный процесс тех, кто не привык обучаться в аудиториях.

Обучение вне рабочего места более эффективно, но связано с дополнительными финансовыми затратами и отвлечением работника от служебных обязанностей, от повседневной работы.

Планирование деловой карьеры и служебно-профессионального продвижения заключается в необходимости организовать планомерное горизонтальное и вертикальное продвижение работника с момента его принятия и до предполагаемого увольнения по системе должностей или рабочих мест.

Планирование безопасности персонала и забота о нем необходима для сохранения хорошего психологического и физического состояния и профессиональных качеств персонала.

Планирование высвобождения или сокращения персонала с целью избежать передачи на внешний рынок труда квалифицированных кадров и создания для этого персонала социальных трудностей, а также всевозможного смягчения перемены сотрудником рода деятельности.

Планирование расходов на персонал: на поиск новых работников, заработная плата, соцстрахование, детские учреждения, здравоохранении, спецодежда и пр.

К преимуществам кадрового планирования можно отнести следующие:

. Организация лучше подготовлена для преодоления факторов внешней среды.

. Позволяет найти новые и более эффективные способы управления персоналом.

. Помогает избежать как избытка, так и дефицита работников.

. Обеспечивает создание и развитие обучения персонала и преемственности руководства.

Прогнозирование потребности в персонале строится на основе анализа прогнозов спроса и предложения в кадровых ресурсов. Главной задачей прогнозирования является установление влияния тенденций развития рынка на изменение потребности в персонале.

При качественном планировании выделяют следующие методы:

) Метод экспертной оценки. Для этого привлекается эксперт, который анализирует проблемы планирования и производит соединение имеющихся переменных планирования и величин, влияющих на данные переменные. Исхода из рекомендаций эксперта, формируются цели планирования, экспертами могут быть либо специалисты в области планирования персонала либо руководители.

) Метод групповых оценок. В этом случае образуются группы, которые совместно разрабатывают планы мероприятий, направленных на решение поставленных задач. К таким методам можно отнести, например, мозговой штурм;

) Метод Дельфи включает в себя экспертные и групповые методы. Сначала опрашивается множество независимых друг от друга экспертов, а затем результаты опроса анализируются в групповых дискуссиях и принимаются соответствующие решения.

) Методы моделированияобычно обеспечивают упрощенный просмотр кадровых потребностей организации. При изменении входных данных кадровые разветвления могут проверяться для различных сценариев потребностей в персонале.

Количественная потребность в персонале планируется посредством определения его расчетной численности и ее сравнения с фактической обеспеченностью на определенный плановый период. Различают:

общую потребность - вся численность персонала, которая необходима (брутто-потребность в кадрах);

дополнительную потребность - количество работников, необходимое в планируемом периоде дополнительно к имеющейся численности базового года, обусловленное текущими нуждами предприятия (нетто-потребность в кадрах).

При количественном планировании используются следующие методы:

. Балансовый метод основывается на взаимной увязке ресурсов, которыми располагает организация, и потребностей в них в рамках планового периода. Такой план представляет собой двухстороннюю бюджетную таблицу, в одной части которой отражаются источники ресурсов, а в другой - их распределение.

. Нормативный метод. Суть его состоит в том, что в основу плановых заданий на определенный период включаются нормы затрат различных ресурсов на единицу продукции.

. Статистически метод устанавливает зависимость рассматриваемого показателя от других переменных (экстраполяция - наиболее простой и часто употребляемый метод, который состоит в перенесении сегодняшней ситуации (пропорций) в будущее).

Выделяют методы определения необходимой численности кадров предприятия.

Можно выделить несколько основных методов расчета количественной потребности в персонале.

Метод, основанный на использовании данных о времени трудового процесса. Данные о времени процесса дают возможность рассчитать численность рабочих-сдельщиков или рабочих-повременщиков, количество которых определяется непосредственно трудоемкостью процесса.

Метод расчета по нормам обслуживания. В зарубежной литературе агрегат-метод, показывающий зависимость рассчитываемой численности от количества обслуживаемых машин, агрегатов и других объектов.

Метод расчета по рабочим местам и нормативам численности. Как разновидность метода норм обслуживания, так как и необходимое число работников по числу рабочих мест, и нормативы численности устанавливают исходя из норм обслуживания.

Для расчета численности персонала используют некоторые статистические методы:

стохастические методы;

методы экспертных оценок.

Стохастические методы расчета основываются на анализе взаимосвязи между потребностью в персонале и другими переменными величинами (например, объемом производства). В расчет принимаются данные за предшествующий период и предполагается, что потребность в будущем будет развиваться по аналогичной зависимости.

Наиболее часто применяются следующие стохастические методы: расчет числовых характеристик; регрессионный анализ; корреляционный анализ.

Расчет числовых характеристик применяется, как правило, в том случае, когда потребность в персонале в значительной мере связана с каким-либо фактором и эта связь достаточно стабильна:

объемы производства;

трудоемкость ремонта и т.п.

Регрессионный анализ предполагает установление линейной зависимости между численностью персонала и влияющими на нее факторами.

Корреляционный анализ устанавливает тесноту связи между несколькими параметрами. Это может быть зависимость, определяющая степень влияния какого-либо параметра (например, объема производства или услуг) непосредственно на численность персонала.

Применение методов экспертных оценок производится с использованием опыта специалистов и руководителей. Эти методы подразделяются на простую и расширенную оценку, включающую как однократную, так и многократную экспертную оценку.

При простой оценке потребность в персонале оценивается руководителем соответствующей службы. Метод не требует каких-либо существенных затрат, его недостаток в субъективности.

Расширенная экспертная оценка проводится группой компетентных работников (экспертов).

Приведенные методы позволяют определить общую потребность в персонале. Более важной величиной для кадрового планирования является фактическая потребность в персонале, расчет которой учитывает необходимость покрытия планового или внепланового выбытия персонала и плановое поступление. В качестве планового поступления рассматривается возвращение сотрудников после обучения, службы в армии, длительного отпуска и т.п.

. Особенности бизнес-планирования при покупке действующей фирмы

Преимущество приобретения готового бизнеса заключается в быстром выходе на целевой рынок, наличии налаженных бизнес-связей, покупателей товаров, услуг. Кроме того, снижаются затраты, связанные с необходимостью приобретения новых станков, оборудования, технологического опыта, а также затраты на рекламу.

В качестве рисков можно назвать риск покупки готового бизнеса с долгами и риск переоценки стоимости приобретаемой компании.

В случае создания новой компании она будет органично встроена "под зонтик" всей организацией. Вместе с тем в этом случае при планировании затрат необходимо предусмотреть не только затраты на создание нового бизнес-направления, но и на создание каналов сбыта, затраты на рекламу. Кроме того, новая организация должна будет преодолеть барьеры на входе, осуществить капиталовложения в новые производственные мощности, наладить снабжение, нанять и подготовить персонал, создать каналы распределения, расширить потребительскую базу и т.д.

Зато в данном случае отсутствуют риски, связанные с выявлением долгов, и иные риски, связанные с приобретением готового бизнеса.

Среди рисков ошибок в планировании можно назвать следующие:

·              недооценка затрат на создание, приобретение бизнеса;

·              переоценка получаемой прибыли;

·              наличие скрытых рисков (невостребованность нового продукта на рынке, инфляционные ожидания, отсутствие конкурентных преимуществ).

Негативными последствиями неправильного планирования фонда оплаты труда в различных отраслях в диверсифицированной компании могут стать:

·              повышение текучки кадров;

·              невозможность привлечения высококвалифицированных специалистов;

·              неправильное планирование годовых затрат на содержание персонала.

3. Целесообразен ли данный проект к реализации?

Вариант

Стоимость проекта, тыс. руб.

Выручка от реализации по годам, тыс. руб.

Износ, %

Цена капитала, %

Коэффициент рентабельности, %

Коэффициенты дисконтирования, %



1

2

3

4

5




r1

r2

3

9000

4000

5500

7500

6000

6000

20

22

25

23



Текущие расходы по годам прогнозируются в первый год эксплуатации 50%, с последующим ежегодным их ростом на 3%. Ставка налога на прибыль - 20%.

Оценка выполняется в три этапа:

. Расчет исходных показателей по годам;

. Расчет аналитических коэффициентов;

. Анализ коэффициентов.

Этап 1. Расчет исходных показателей по годам

Показатели

Годы


1

2

3

4

5

Объем реализации

4000

5500

7500

6000

6000

Текущие расходы

2000

2060

2122

2185

2251

Износ

1800

1800

1800

1800

1800

Налогооблагаемая прибыль

200

1640

3578

2015

1949

Налог на прибыль

40

328

716

403

390

Чистая прибыль

160

1312

2863

1612

1559

Чистые денежные поступления

1960

3112

4663

3412

3359


Этап 2. Расчет аналитических коэффициентов

а) расчет чистого приведенного эффекта по формуле:

ЧПЭ= (ЧДП1*K1+ЧДП2*K2+….) - I,

где

ЧДП1, ЧДП2,….. - чистые денежные поступления по годам

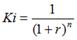
К1, K2, ….. - коэффициенты дисконтирования по годам, которые рассчитываются по формуле:

,

где r - цена капитала, выраженная в долях (в данном случае r=22%, значит в формулу подставляем 0,22); n - порядковый номер года.

Расчет коэффициентов дисконтирования по годам:

Год

1

2

3

4

Коэффициент (Ki)

0,8197

0,6719

0,5507

0,4514

0,37


ЧПЭ = 48,003

б) Индекс рентабельности:= 1,0053

в) расчет внутренней нормы прибыли данного проекта по формуле:

, r2 - коэффициенты(r1) - ЧПЭ при коэффициенте r1(r2) - ЧПЭ при коэффициенте r2

Расчет ЧПЭ при r1 = 21% = 0,21:

Расчет коэффициентов дисконтирования по годам:

Год

1

2

3

4

5

Коэффициент (Ki)

0,826446281

0,6830

0,5645

0,4665

0,3855


ЧПЭ(r1) = 264

Расчет ЧПЭ при r2 = 23% = 0,23:

Расчет коэффициентов дисконтирования по годам:

Год

1

2

3

4

5

Коэффициент (Ki)

0,8130

0,6610

0,5374

0,4369

0,3552



ЧПЭ(r2) = -160

ВНП = 19,8%

г) расчет срока окупаемости проекта:

Срок окупаемости = 4000 + 5500 = 9500 > 9000,

Срок окупаемости составит 2 года.

д) Коэффициент эффективности:

Кэф = 33,36%

Этап 3. Анализ коэффициентов

В нашем примере оценка такова:

а) ЧПЭ = 48,003 > 0 - проект принять

б) RI=1,0053 > 1 - проект принять

в) ВНП = 19,8 < 22 - проект отвергнуть

г) Срок окупаемости = 2 года < 5 - проект принять

д) Кэф = 33,36 > 25 - проект принять

Если оценивать в комплексе, то большинство (4 из 5) критериев указывают на целесообразность приобретения новой линии, но руководство организации может принимать во внимание дополнительные объективные и субъективные факторы.

Список использованных источников

1. Попов В., Ляпунов С., "Бизнес планирование", 2009

2. В. Егоров, "Будущий элитный. Успешное бизнес-планирование", 2011

. Шаш Н.Н. "Бизнес-план предприятия":://www.publicant.ru/Demo/562440.htm#TOC_ID0EBKAC


Похожие работы на - Успешное бизнес-планирование

 

Не нашли материал для своей работы?
Поможем написать уникальную работу
Без плагиата!
Без нейросетей!