Организация авиационных перевозок по воздушным линиям

  • Вид работы:
    Курсовая работа (т)
  • Предмет:
    Эктеория
  • Язык:
    Русский
    ,
    Формат файла:
    MS Word
    67,61 Кб
  • Опубликовано:
    2014-06-30
Вы можете узнать стоимость помощи в написании студенческой работы.
Помощь в написании работы, которую точно примут!

Организация авиационных перевозок по воздушным линиям

Министерство транспорта Российской Федерации

Федеральное агентство воздушного транспорта

ФГБОУ ВПО «Санкт-петербургский государственный
университет гражданской авиации»









КУРСОВАЯ работа

по дисциплине: «Экономика воздушного транспорта»


Выполнил:

Беспалов С.А.


 

 

Санкт-Петербург

Содержание

Введение

. Расчет эксплуатационных показателей

1.1 Основные эксплуатационные показатели рейса

. Расчет себестоимости рейса

.1 Собственные расходы авиакомпании

.2 Оплата труда летного состава и бортпроводников

.3 Страховые взносы на социальные нужды

2.4 Услуги сторонних организаций

Введение

Цель курсовой: приобретение навыков самостоятельного решения вопросов комплексного экономического обоснования целесообразности организации авиационных перевозок по воздушным линиям в конкретных условиях деятельности авиационного предприятия.

Для расчетной части курсовой работы по моему варианту используются исходные данные в соответствии с летно-техническими характеристиками ВС.

В данной курсовой работе показан порядок и определен подход к формированию тарифа на услуги по перевозке пассажиров воздушным транспортом в соответствии с законодательством Российской Федерации.

1. Расчет эксплуатационных показателей

Исходные данные

Тип ВСA320-210

Маршрут полета

Протяженность пути, км

Коммерческая загрузка




Пассажиры

Груз, т

Почта, т

Предельная коммерческая загрузка, т




Максимальное количество кресел

Занято кресел




1.

Санкт-Петербург - Казань

1522

150

123

1

0,2

20,7


Данный тип ВС был выбран на основании его летно-технических характеристик, таких как дальность полета с максимальной платной нагрузкой, и компоновкой салона. А именно возможность перевезти 123 пассажиров за один раз, так как по методике написания курсовой работыразрешено выбрать только один ВС и кол-во выполнения рейсов равно одному.

.1 Основные эксплуатационные показатели рейса

воздушный транспорт рейс себестоимость

Таблица 1

Показатель

Единица измерения

Значение

1.

Пассажирооборот фактический

пасс.км

187206

2.

Пассажирооборот предельный

пасс.км

228300

3.

Грузооборот

ткм

1826,4

4.

Общая коммерческая загрузка

т

11,27

5.

Эксплуатационные ткм

ткм

17152,94

6.

Предельные ткм

ткм

31505,4

7.

Коэффициент занятости кресел

%

82

8.

Коэффициент коммерческой загрузки

%

54,45


Пассажирооборот фактический определяется по формуле:

ПОФ = Nпасс хL

где: ПОф - пассажирооборот, пасс.км;пасс - количество перевезенных пассажиров, чел.;- протяженностьпути, км.

Исходя из этого ПОф= 123 х 1522 = 187206пасс.км

Пассажирооборот предельный определяется по формуле:

ПОпр = NкрхL

где: ПОпр - пассажирооборот, пасс.км;кр - количество кресел в ВС, чел.;- протяженностьпути, км.

Таким образом ПОпр = 150 х 1522 = 228300пасс.км

Грузооборот рассчитывается аналогично:

ГОФ = Gгр,пчтх L

где: ГОф - грузооборот фактический, ткм;гр, пчт - перевезено груза и почты, т.;- протяженностьпути, км.

Следовательно ГОф = 1,2 х 1522 = 1826,4

Для характеристики всей коммерческой загрузки используется показатель «Общая коммерческая загрузка», который рассчитывается следующим образом:

общ =Gпасс +Gгр,пчт

где: Gобщ - общая коммерческая загрузка, т;пасс - перевезено пассажиров, т;гр, пчт - перевезено груза и почты, т.;

Следовательно Gобщ = 11,07+ 0,2= 11,27 тонн

В свою очередь Gпасс находится по формуле:

пасс = Nпасс х 0,09

пасс = 123 х 0,09= 11,07

где: Gпасс - перевезено пассажиров, т;пасс - количество перевезенных пассажиров, чел.;

,09 - коэффициент, переводящий пассажиров в весовую категорию, равный 90 кг: 70 кг - средний вес пассажира, 20 кг - вес бесплатного багажа.

Для определения полного объема перевозки в ткмрассчитывают показатель «Эксплуатационные ткм»:

эксп=Gобщ хL

эксп=11,27 х1522 = 17152,94ткм.

где: Rэксп - эксплуатационные ткм, ткмобщ - общая коммерческая загрузка, т;- протяженность пути, км.

Для расчета показателя «Предельные ткм» следует воспользоваться формулой:

пр=Gпр хL

пр=20,7 х1522 = 31505,4ткм

где: Rпр - предельные ткм, ткмпр - предельная (платная) загрузка, т;- протяженность пути, км.

Также рейс можно охарактеризовать с помощью относительных показателей.

2. Расчет себестоимости рейса

В данном разделе определяется себестоимость рейса. Показатель включает в себя собственные расходы авиакомпании, которые рассчитываются путем умножения себестоимости летного часа (без НДС) на полетное время и оплату услуг сторонних организаций.

Изначально, до проведения расчетов, сведем в таблицу необходимые технические характеристики рейса и ВС.

Таблица 2. Исходные данные

Тип ВС A320-210

Показатель

Единица измерения

 Данные

1.

Протяженность пути

км

1522

2.

Рейсовая скорость ВС

км/ч

850

3.

Время рейсовое

ч

1,79

3.

Количество членов экипажа


8

3.1.

Летный экипаж

чел.

2

3.2.

Кабинный экипаж (бортпроводники)

чел.

6

4.

Стоимость планера

руб.

1900000000

5.

Стоимость двигателя

руб.

150000000

6.

Количество двигателей

шт.

2

7.

Среднегодовой производственный налет часов

ч

3500

8.

Межремонтный ресурс:



8.1.

Планер

ч

11000

8.2.

Двигатель

ч

8000

9.

Амортизационный ресурс:



9.1.

Планер

ч

60000

9.2.

Двигатель

ч

25000


Время рейсовое будет зависеть от двух составляющих: дальности полета и скорости рейсовой:

где: tр - время рейсовое, ч.- протяженность воздушно линии, км;р - скорость рейсовая, км/ч.

.1 Собственные расходы авиакомпании

Собственные расходы авиакомпании рассчитываются путем умножения себестоимости летного часа на полетное время. К собственным расходам относятся такие расходы как:

Q  амортизационное отчисление на полное восстановление (износ) основных фондов;

Q  расходы на капитальный и текущий ремонт;

Q  расходы на периодическое техническое обслуживание;

Q  расходы на оплату труда летного состава и бортпроводников;

Q  страховые взносы на социальные нужды;

Q  расходы на обязательное страхование ВС и членов экипажа;

Q  накладные (общехозяйственные, общепроизводственные) расходы.

Амортизационные отчисления

При расчете себестоимости рейса объектами для начисления амортизации являются: самолеты, вертолеты и авиационные двигатели (именуемые далее СВАД), находящиеся в авиакомпании на праве собственности, хозяйственного ведения или оперативного управления.

Амортизационные отчисления за летный час определяются по формуле:


где: АО - амортизационные отчисления по типу ВС, в расчете на летный час, руб./ч.;

Спл - стоимость планера, руб.;дв- количество двигателей для данного типа ВС, шт.;

Сдв - стоимость авиационного двигателя, руб.;

Тпр - производственный налет по данному типу ВС, час;

Спи - срок полезного использования, лет.

Следовательно:

Капитальный и текущий ремонт

Для определения расходов на капитальный ремонт необходимо рассчитать количество капитальных ремонтов.

Определение количества капитальных ремонтов

Таблица 3

№ п/п

Наименование объекта

Амортизационный срок службы, ч

Межремонтный ресурс, ч

Количество капитальных ремонтов

1.

Планер

60000

11000

5

2.

Двигатель 1

25000

8000

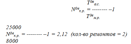
2

3.

Двигатель 2

25000

8000

2


Количество капитальных ремонтов планера, определяется по формуле:


где: nплк.р.- количество капитальных ремонтов планера;

Тпла.с.-амортизационный срок службы планера, ч

Тплм.р.-межремонтный ресурс планера, ч.

Количество капитальных ремонтов двигателей, определяется по аналогичной формуле:


где: nдвк.р.- количество капитальных ремонтов двигателя;

Тдва.с.-амортизационный срок службы двигателя, ч

Тдвм.р.-межремонтный ресурс двигателя, ч

Расчет затрат на капитальный и текущий ремонт

Таблица 4

№ п/п

Наименование объекта

Количество капитальных ремонтов

Стоимость ремонта, руб.

Межремонтный ресурс, час.

Затраты на 1 час налета

1.

Планер

5

380000000

11000

172727,27

2.

Двигатель 1

2

45000000

8000

11250

3.

Двигатель 2

2

45000000

8000

11250

4.

Итого:


548000


195227,27

5.

Расходы на текущий ремонт, 5%




9761,36


Расходы на текущий ремонт рассчитываются в процентном соотношении от суммы затрат на капитальный ремонт путем отнесения суммы затрат на текущий ремонт к сумме затрат на капитальный ремонт:

Ст.р. = 0,05 х Ссвадк.р.Т.е. Ст.р. = 0,05 х195227,27 = 9761,36руб/ч.

где: Ст.р. - расходы на текущий ремонт в расчете на летный час, руб./ч.;

Ссвадк.р. - расходы на капитальный ремонт СВАД в расчете на летный час, руб./ч.;

,05 - коэффициент, определяющий сумму расходов на текущий ремонт, равный 5%.

.2 Оплата труда летного состава и бортпроводников

Расходы по заработной плате летного состава и бортпроводников включают в себя повременную оплату экипажа за месяц и сдельную заработную плату за налёт часов.

Расчет повременной части заработной платы

Таблица 5

№ п/п

Члены экипажа

Единица измерения

Оклад

Надбавка за классность

Итого

На 1 л.ч.





%

руб.



1.

КВС

руб.

10600

40

4240

14840

185,5

2.

Второй пилот

руб.

8650

40

3460

12110

151,38

3.

Бортмеханик

руб.

-

-

-

-

-

4.

Штурман

руб.

-

-

-

-

-

5.

Повременная оплата бортпроводников

руб.

500





5.1.

Оклад бортпроводника

руб.

5700

20

1140

7080

88,5

5.2.

Количество бортпроводников

чел.

6

-

-

-

-

5.3.

Итого повременная оплата бортпроводников

руб.

-

-

-

-

531



где: ЗПпв - повременная заработная плата в рублях на летный час, руб/ч;

Олс - оклады членов экипажа, руб.;

К - надбавка за классность, руб.;

Нсн - санитарная норма налета при выполнении полетов (80 часов), ч.

Расчет сдельной части заработной платы

Таблица 6

№ п/п

Члены экипажа

Единица измерения

Значение

1.

Расчетная ставка КВС

руб.

990

2.

Расчетная ставка второго пилота

руб.

810

3.

Расчетная ставка бортмеханика

руб.

-

4.

Расчетная ставка штурмана

руб.

-

5.

Сдельная оплата бортпроводников

руб.

500

5.1.

Расчетная ставка бортпроводника

руб.

88,5

5.2.

Количество бортпроводников

чел.

6

5.3.

Итого сдельная оплата бортпроводников

руб.

531


Сдельная часть заработной платы летного состава рассчитывается в соответствии с расчетными ставками, установленными авиакомпанией по формуле:

ЗПсд = РСКВС + РСВП + РСБП х nбп = 990 +810 +88,5 х 6 = 2331 руб.

где: ЗПсд - заработная плата за налет в рублях;

РСКВС - расчетная ставка за час налета командира воздушного судна в рублях;

РСВП - расчетная ставка за час налета второго пилота в рублях;

РСБП - расчетная ставка за час налета бортпроводника в рублях;бп - количество старших бортпроводников;

Расчет фонда оплаты труда

Таблица 7

Члены экипажа

Составные ФОТл.ч.



Повременная часть, руб./ч.

Сдельная часть, руб./ч.

Вознаграждение за выслугу лет

Премия

Кп

Кклс





 %

руб.

 %

руб.

%

руб

%

руб

1.

КВС

185,5

990

10

100,86

30

298,8

1

13,7

1

12,75

2.

Второй пилот

151,38

810

10

82,52

30

244,5

1

11,2

1

10,42

3.

Бортмеханик

-

-

-

-

-

-

-

-

-

-

4.

Штурман

-

-

-

-

-

-

-

-

-

-

5.

Старшие бортпроводники

-

-

-

-

-

-

-

-

-

-

6.

Бортпроводники

88,5

500

10

50,89

30

150,8

1

6,89

1

6,39


В целом расходы на оплату труда учитывают полную заработную плату с вознаграждением за выслугу лет, премией и коэффициентами:

ФОТл.ч. = (ЗПпв + ЗПсд + В + П) х Кп х Кклс

где: ФОТлч - фонд оплаты труда на летный час (заработная плата летного состава на летный час), руб./ч.;

ЗПпв - повременная заработная плата в рублях на летный час, руб./ч;

ЗПсд - сдельная заработная плата, руб./ч;

В - вознаграждение за выслугу лет, руб.;

П - премия, руб;

Кп - коэффициент, учитывающий потери рабочего времени в связи с неявками последующим причинам: ежегодные отпуска, дополнительные отпуска, время прохождения врачебной летной экспертной комиссии, время нахождения на курсах повышения квалификации (КПК), тренажеров, неявки по временной нетрудоспособности, выполнение государственных обязанностей и другим уважительным причинам (1,2);

Кклс- коэффициент учитывающий расходы на оплату труда командно-летного состава (1,1).

.3 Страховые взносы на социальные нужды

Страховые взносына социальные нужды - федеральный налог <#"827584.files/image007.gif">

где: Сстрах- расходы на обязательное страхование, руб/ч.;

Свс- стоимость ВС, руб.;

Тпр - среднегодовой производственный налет, ч.

Стоимость ВС определяется следующим образом:

Свс = Спл+ Сдв х nдв=1900000000 + 150000000 х 2 =2050000000

где: Свс- стоимость ВС, руб.;

Спл - стоимость планера, руб.;

Сдв - стоимость авиационного двигателя, руб.;дв- количество двигателей для данного типа ВС, шт.

Накладные расходы

Учитываются расходы, связанные с обслуживанием и управлением Авиакомпании в целом, которые невозможно отнести на затраты по конкретному виду деятельности и относятся к затратам на производство согласно Учетной политике Авиакомпании.

Расчет накладных расходов

Таблица 10

№ п/п

Статьи расходов

Единица измерения

Даннные

1.

Амортизационные отчисления

руб.

62857,14

2.

Затраты на капитальный и текущий ремонты

руб.

204988,63

3.

Фонд оплаты труда

руб.

3715,35

4.

Отчисления на соц нужды

руб.

966

5.

Периодическое техническое обслуживание ВС

руб.

5000

6.

Расходы на обязательное страхование ВС и членов экипажа

руб.

5857,2

7.

Итого прямые производственные затраты авиакомпании

руб.

283384,32

8.

Накладные (внутрихозяйственные) расходы

%

10


Расчет накладных расходов производится в процентном соотношении к сумме прямых производственных затрат.

Зпрпроизв= АО + Ссвадк.р. + Ссвадт.р. + ФОТл.ч. + СВ + Спто+ Сстрах

Зпрпроизв=62857,14+204988,63+3715,35+966+5000+5857,2=283384,32

где: Зпрпроизв - прямые производственные затраты авиакомпании, руб.;

АО - амортизационные отчисления по типу ВС, в расчете на летный час, руб./ч.;

Ссвадк.р. - расходы на капитальный ремонт СВАД в расчете на летный час, руб./ч.;

Ссвадт.р. - расходы на технический ремонт СВАД в расчете на летный час, руб./ч.;

ФОТлч - заработная плата летного состава в расчете на летный час, руб./ч.;

СВ - оплата страховых взносов на социальные нужды в расчете на летный час, руб./ч.;

Спто - расходы на периодический технический ремонт в расчете на летный час, руб./ч.;

Сстрах- расходы на страхование в расчете на летный час, руб/ч.;

Таким образом, сумма накладных расходов на летный час будет исчисляться по формуле:

Сн.р. = Зпрпроизв х 0,1= 283384,32 х 0,1 = 28338,43руб/час

где: Сн.р. - сумма накладных расходов в расчете на летный час, руб./ч.;

Зпрпроизв - прямые производственные затраты авиакомпании в расчете на летный час, руб./ч.;

0,01 - уровень накладных расходов, равный 10%.

Таблица 11, Сводная таблица по собственным расходам авиакомпании

Статьи затрат

Единица измерения

Сумма

1.

Прямые производственные затраты

руб.

283384,32

2.

Накладные расходы

руб.

28338,43

3.

Итого собственных расходов авиакомпании на летный час

руб.

311722,75

4.

Время рейса

ч.

1,79


Собственные расходы авиакомпании на летный час можно рассчитать по формуле:

Ракл.ч. = Зпрпроизв + Сн.р.= 283384,32 + 28338,43 = 311722,75руб/ч.

где: Ракл.ч. - собственные расходы авиакомпании на летный час, руб./ч.;

Сн.р. - сумма накладных расходов, руб.;

Зпрпроизв - прямые производственные затраты авиакомпании, руб.;

Тогда собственные расходы авиакомпании за рейс определяются следующим образом:

Рак = Ракл.ч. х tр = 311722,75х 1,79 = 557983,72руб

где: Рак- собственные расходы авиакомпании за рейс, руб.;

Ракл.ч. - собственные расходы авиакомпании на летный час, руб./ч.;р - время рейсовое.

.4 Услуги сторонних организаций

Расходы на оплату услуг сторонних организаций рассчитываются за рейс и включают в себя:

Q  расходы на авиационные горюче-смазочные материалы (далее ГСМ);

Q  расходы на аэропортовое и наземное обслуживание;

Q  расходы на аэронавигационное обслуживание;

Q  расходы на питание пассажиров и членов экипажа в полете.

Расходы по этой статье определяются, исходя из норм расхода ГСМ по участкам полетаи действующих цен на авиаГСМ в аэропортах, в которых осуществляется заправка ВС.

Расчет расходов на ГСМ

Таблица 12

Показатель

Единица измерения

Данные

1.

Время рейсовое

ч.

1,79

2.

Часовой расход топлива

т/ч.

2,6

3.

Стоимость ГСМ за тонну

руб./т

23000


Сгсм= Цтгсмх Рчгсмх tр= 23000 х 2,6 х 1,79 = 107042

где: Сгсм - расходы на ГСМ за рейс, руб.;

Цтгсм- стоимость ГСМ за тонну, руб./т;

Рчгсм - часовой расход топлива, т/ч.;р - время рейсовое, ч.

Расходы на аэропортовое и наземное обслуживание

Аэропортовые сборы учитывают сборы в аэропорту оправления и аэропорту назначения.

Расчет аэропортовых сборов

Таблица 13

№ п/п

Наименование расходов

Количество (Максимальный взлетный вес, т или количество пассажиров, чел.)

Ставка сбора, руб./т

Размер сбора, руб.

Расходы в аэропорту отправления


Аэропортовые сборы:





- взлет-посадка

73,5

217,7

16000


- авиабезопасность

73,5

154

11319


- пользование аэровокзалом

123

54

6642

Расходы в аэропорту назначения


Аэропортовые сборы:





- взлет-посадка

73,5

320,4

23549,4


- авиабезопасность

73,5

155,8

11451,3


- пользование аэровокзалом

123

37,9

4661,7


Расчет суммы аэропортовых сборов проводится по формуле:

Рас = Рвп + Раб + Рпа = 16000 + 11319 + 6642 + 23549,4+

+11451,3+4661,7 = 73623,4

где: Рас - сумма аэропортовых сборов, руб.;

Рвп - сбор за взлет посадку, руб.;

Раб - сбор за обеспечение авиационной безопасности в зоне аэропорта, руб.;

Рпа - сбор за пользование аэровокзалом, руб.

Ставка сбора устанавливается на 1 тонну максимальной взлетной массы воздушного судна. Ставка сбора применяется по группам воздушных судов, установленным по максимальной взлетной массе воздушных судов, сучетом коэффициента дифференцирования

Таблица 14. Коэффициент дифференцирования

Тип ВС

Максимальный взлетный вес, т

Коэффициент дифференцирования (КД)

1

Воздушные суда

до 5

0,25



5 - 12

0,5

2

Самолеты

свыше 12

1,0

3

Вертолеты

свыше 12

0,5


Сбор за взлёт-посадку рассчитывается по формуле:

Рвп = Gвс х Gвп х Кд = 73,5 х 217,7 х 1,0 = 16000руб. (На примере а/п Пулково)

где: Рвп - сбор за взлет-посадку, руб.;вс - максимальная взлётная масса ВС, т;

Свп - ставка сбора за взлёт-посадку за 1 т максимальной взлётной массы ВС в аэропорту, руб./т;

Кд - коэффициент дифференцирования по взлётному весу.

Сбор за обеспечение авиационной безопасности

Ставка сбора устанавливается на 1 тонну максимальной взлетной массы воздушного судна. Ставка сбора применяется по группам воздушных судов, установленным по максимальной взлетной массе воздушных судов, с учетом коэффициента дифференцирования:

Раб = Gвс х Gабх Кд = 73,5 х 154,0 х 1,0 = 11319 руб.

где: Раб - сбор за обеспечение авиационной безопасности, руб.;вс - максимальная взлётная масса ВС, т;

Саб - ставка сбора за обеспечение авиационной безопасности за 1 т максимальной взлётной массы ВС в аэропорту, руб./т;

Кд - коэффициент дифференцирования по взлётному весу.

Сбор за пользование аэровокзалом.

Сбор определяется на основе количества прибывающих, убывающих и транзитных (прямой транзит) пассажиров и установленной ставки сбора в следующем порядке:

§  за взрослых пассажиров (12 лет и старше) - по установленной ставке;

§  за детей от 2 лет до 12 лет - по ставке, определенной в размере 50% от ставки, установленной для взрослого пассажира;

§  за детей до 2 лет - сбор не взимается.

Размер сбора устанавливается следующим образом:

Рпа = ∑Niпасс х Сiпасс= 123 х 54 = 6642 руб.

где: Рпа - сбор за пользование аэровокзалом, руб.;iпасс- количество пассажиров i-готипа,чел;

Сiпасс - ставка сбора за пользование аэровокзалом по i-му типу пассажиров, руб./пасс.

Тарифы за наземное обслуживание

Тарифы за наземное обслуживание учитывают тарифы в аэропорту оправления и аэропорту назначения.

Расчет тарифов за наземное обслуживание

Таблица 15

№ п/п

Наименование расходов

Количество

Цена

Итого

Расходы в аэропорту отправления

1.

обслуживание пассажиров

123

135

16605

2.

тариф за доставку пассажиров

3 подъезда по 50ч

2300

6900

3.

обработка грузов, почты

1200 кг

5

6000

4.

оперативное техническое обслуживание

6

800

4800

5.

обеспечение борпитанием

1

2246

2246

6.

заправка питьевой водой

1

1200

1200

7.

обслуживание санузлов

1

1350

1350

8.

внутренняя уборка ВС

1

5250

5250

9.

обеспечение авиаГСМ

5

950

4750

Расходы в аэропорту прибытия

1.

тариф за доставку пассажиров

3 по 50чел

650

1950

2.

обработка грузов, почты

1200 кг

3,4

4080

3.

оперативное техническое обслуживание

6

800

4800


Расчет тарифов за наземное обслуживание проводится по формуле:

Рно = Роп + Рдп+ Рог + Рото + Роб + Рзпв+ Рос + Рву + Рогсм= 59931

где: Рно - сумма тарифов за наземное обслуживание, руб.;

Роп - оплата тарифа за обслуживание пассажиров, руб.;

Рдп- оплата тарифа за доставку пассажиров, руб.;

Рог - оплата тарифа за обработку груза, руб.;

Рото - оплата оперативного технического обслуживания, руб;

Роб - оплата тарифа за обеспечение бортпитанием, руб.;

Рзпв- оплата заправки питьевой водой, руб.;

Рос - оплата тарифа за обслуживание санузлов, руб.;

Рву - оплата внутренней уборки ВС, руб;

Рогсм- оплата тарифа за обеспечение ГСМ, руб.;

Тариф за обслуживание пассажиров

Тариф устанавливается на 1 убывающего взрослого пассажира (12 лет и старше) отдельно для внутренних и международных перевозок.

Плата определяется на основе количества убывающих пассажиров и установленного тарифа в следующем порядке:

§ за взрослых пассажиров (12 лет и старше) - по установленному тарифу;

§  за детей от 2 лет до 12 лет - по тарифу, определенному в размере 50% от тарифа, установленного для взрослого пассажира;

§  за детей до 2 лет - плата не взимается.

Роп= ∑Niпасс х Тiоп = 123 х 135 = 16605 руб.

где: Роп - оплата тарифа за обслуживание пассажиров, руб.;iпасс - количество пассажиров i-го типа, чел.;

Тiоп - тариф за обслуживание пассажиров i-го типа, руб.

Тариф за доставку пассажиров

Тариф устанавливается за предоставление персонала и транспортных средств для доставки пассажиров к/от воздушного судна.

Тариф устанавливается на одно транспортное средство по типам (маркам) транспортных средств различной пассажировместимости.

Плата определяется по установленному тарифу за каждое транспортное средство, предоставленное к прилету или к вылету воздушного судна.

Тариф за обработку грузов

Тариф устанавливается на 1 килограмм обработанного (прибывающего и убывающего) груза (почты) отдельно для внутренних и международных перевозок.

Плата определяется на основе установленного тарифа и веса обработанного (прибывающего и убывающего) груза и почты.

Рог= ∑Gгр.пчтх Тiог = 1200 х 5 = 6000 руб.

где: Рог - оплата тарифа за обработку грузов, руб.;гр.пчт- вес груза (почты), т;

Тiог - тариф за обработку грузов в i-ом аэропорту, руб.

Тариф за обслуживание по формам обеспечение вылета и встречи (оперативное техническое обслуживание)

Тариф устанавливается за инженерно-авиационное обеспечение полетов воздушных судов по обязательному комплексу работ, предусмотренных регламентом технического обслуживания по обеспечению вылета и встречи воздушного судна.

Тарифная ставка устанавливается на 1 нормо-час. Тариф устанавливается по типам воздушных судов на основе тарифной ставки и нормативной трудоемкости (количества нормо-часов) работ, предусмотренной по указанному комплексу регламентом технического обслуживания по типам воздушных судов.

Рото = Тр х Тото= 6 х 800 = 4800

где: Рото - оплата оперативного технического обслуживания, руб;

Тр - нормативная трудоемкость, нормо-час;

Тото - ставка тарифа за 1 нормо-час.

Таблица 16. Трудоемкость оперативного технического обслуживания ВС

Класс ВС

Тип ВС

Трудоемкость при одном обслуживании, нормо-час

1

Ту-154М, Ту-204, Ил-86, Ил-96М, В747-300, А310-300, А330-200

9

2

В737-500, Ту-134Б, А320-210

6

3

Як-40

3

Тариф за предоставление спецавтотранспорта и цена материалов, установленная отдельно в соответствии с действующим законодательством, в настоящий тариф не включаются.

Тариф за обеспечение бортпитанием

Тариф устанавливается на одно обслуживание по типам воздушных судов.

Тариф за заправку питьевой водой

Тариф устанавливается на одно обслуживание по типам воздушных судов.

Тариф за обслуживание санузлов

Тариф устанавливается на одно обслуживание по типам воздушных судов.

Тариф за внутреннюю уборку

Тариф устанавливается на одно обслуживание по типам воздушных судов

Тариф за обеспечение АвиаГСМ

Тариф устанавливается на одну тонну АвиаГСМ.

Плата за обеспечение АвиаГСМ определяется на основе установленного тарифа и веса заправленного АвиаГСМ.

Рогсм = Gгсмх Тогсм = 5х 950 = 4750

где: Рогсм- оплата тарифа за обеспечение ГСМ, руб.;гсм - количество заправленного ГСМ, т;

Тогсм - ставка тарифа за обеспечение ГСМ.

В свою очередь Gгсм находится как произведение часового расхода топлива и продолжительности рейса:

Gгсм = Рчгсм х tр= 2,6х 1,79 = 5.

где: Gгсм - количество заправленного ГСМ, т;

Рчгсм- часовой расход топлива, т/ч;р - время рейсовое,ч.

Аэронавигационные сборы

Аэронавигационные сборы включают в себя:

сбор за аэронавигационное обслуживание на воздушных трассах;

сбор за аэронавигационное обслуживание в районе аэродрома.

Расходы на аэронавигационное обслуживание определяется на основе опубликованных сборов, которые действуют на территории России и различаются для российских и иностранных эксплуатантов.

Сбор за аэронавигационное обслуживание на воздушных трассах

Таблица 17

Показатель

Единица измерения

Данные

1

Максимальный взлетный вес

т

73,5

2

Ставка сбора за 100 км

руб.

517

3

Протяженность пути

км

1522


Ставка сбора устанавливаются на 100 километров расстояния, рассчитанного по ортодромии по маршруту полета воздушного судна (на 100 самолето-километров), дифференцированно для внутренних и международных полетов и по максимальной взлетной массе воздушных судов.

Ставка сбора определяется в соответствии с максимальной взлетной массой типа воздушного судна или его модификации. При этом максимальная взлетная масса округляется до целого в тоннах в следующем порядке: менее 500 кг - округляется в меньшую сторону (до нуля), 500 кг и более - округляется в большую сторону (до 1 тонны).

Таблица 18. Сбор за аэронавигационное обслуживание в районе аэродрома

Аэропорт

Ставка сбора за 1 т, руб.

Максимальный взлетный вес, т

Итого


Санкт-Петербург

69

73,5

5071,5


Казань

124

73,5

9114


Ставка сбора устанавливается на 1 тонну максимальной взлетной массы воздушного судна. Ставка сбора применяется по группам воздушных судов, установленным по максимальной взлетной массе воздушных судов, с коэффициентом дифференциации.

Раноа/д = Gmaxх Саноа/д= (73,5 х 69) + (73,5 х 124) = 14185,5

где: Раноа/д - расходы по аэронавигационному обслуживанию в районе аэродрома, руб.;

Gmax - максимальный взлетный вес, т;

Саноа/д - ставка сбора за аэронавигационное обслуживание в районе аэродрома, руб.

Таблица 19. Общие расходы на аэронавигационное обслуживание

Показатель

Единица измерения

Данные

1

Аэронавигационное обслуживание по воздушной трассе

руб.

7868,74

2

Аэронавигационное обслуживание в районе аэродрома

руб.

14185,5


Таким образомобщие расходы на аэронавигационное обслуживание будут составлять:

Рано = Рановт + Раноа/д= 7868,74 + 14185,5 = 22054,24

где: Рано - расходы на аэронавигационное обслуживание, руб.;

Рановт - расходы по аэронавигационному обслуживанию по воздушной трассе, руб.;

Раноа/д- расходы по аэронавигационному обслуживанию в районе аэродрома, руб.

Расходы на питание пассажиров в полете определяются в зависимости от стоимости рационов (набора продуктов) питания, от сложившегося уровня цен на продукты и на разовую посуду, продолжительности полета и числа пассажиров

Таблица 20

Показатель

Количество, чел

Стоимость за 1 рацион, руб.

Количество приемов пищи, раз

Итого

1.

Расходы на питание членов экипажа

8

350

1

2800

2.

Расходы на питание пассажиров в полета

123

350

1

43050


Расходы на пассажиров и членов экипажа рассчитываются исходя из количества пассажиров, количества членов экипажа, стоимости бортового питания, а также количества приемов пищи в полете:

Рпит= (Nпасс+ Nлэ + Nкэ) х Срац х Nпит= (6+2+123) х 350 х 1 = 45850 руб.

где: Рпит - сумма расходов на питание в полете, руб.;пасс - количество пассажиров на борту, чел.;лэ - количество человек в летном экипаже, чел.;кэ - количество человек в кабинном экипаже, чел.;

Срац - стоимость рациона, руб.;пит - количество приемов пищи в полете, шт.

В зависимости от продолжительности полетов различаю:

до 3 часов - одноразовое питание;

от 3 до 6 часов - двухразовое питание;

свыше 6 часов - трехразовое питание.

Таблица 21. Сводная таблица по расходам сторонним организациям

Показатель

Сумма

1.

Расходы на ГСМ

107042

2.

Аэропортовые сборы

73623,4

3.

Тарифы за наземное обслуживание

59931

4.

Аэронавигационные сборы

22054,24

5.

Расходы на питание в полете

45850


Таблица 22. Себестоимость рейса

Показатель

Сумма

1.

Расходы авиакомпании

557983,72

2.

Услуги сторонних организаций

308500,64


Похожие работы на - Организация авиационных перевозок по воздушным линиям

 

Не нашли материал для своей работы?
Поможем написать уникальную работу
Без плагиата!
Без нейросетей!