Особенности управления персоналом в ИП 'Агарков В.П.'

  • Вид работы:
    Отчет по практике
  • Предмет:
    Менеджмент
  • Язык:
    Русский
    ,
    Формат файла:
    MS Word
    115,99 Кб
  • Опубликовано:
    2015-05-26
Вы можете узнать стоимость помощи в написании студенческой работы.
Помощь в написании работы, которую точно примут!

Особенности управления персоналом в ИП 'Агарков В.П.'

Министерство образования и науки Российской Федерации

Государственное образовательное учреждение высшего профессионального образования

Оренбургский государственный университет

Факультет экономики и управления

Кафедра управления персоналом, сервиса и туризма





ОТЧЕТ

по организационно-экономической практике

на базе ИП Агарков В.П.



Исполнитель: В.В. Головкова

студентка группы 10УП-1

Руководитель от кафедры Л.В. Горьканова

Руководитель от предприятия В.Н. Агаркова




Оренбург, 2013

Содержание

1. Организационно-экономическая характеристика предприятия ИП «Агарков В.П.» за 2010-2012 гг.

. Анализ кадрового потенциала ИП «Агарков В.П.» за 2010-2012 гг.

.1 Анализ состава, структуры и движения кадров

.2 Анализ обеспеченности предприятия кадрами за 2010-2012 гг.

. Особенности управления персоналом в ИП «Агарков В.П.»

.1 Характеристика, основные задачи и функции отдела кадров

3.2 Планирование персонала

.3 Организация найма персонала

.4 Управление адаптацией персонала

.5 Мотивация и стимулирование персонала

. Подведение итогов и предложения в сфере совершенствования управления персоналом ИП «Агарков В.П.»

Список использованных источников

Приложение А Организационная структура ИП «Агарков В.П.»

1. Организационно-экономическая характеристика предприятия ИП Агарков В.П.

Предприятием ИП «Агарков В.П.» руководит индивидуальный предприниматель без образования юридического лица - Агарков Владимир Петрович. Организационно-правовая форма - индивидуальный предприниматель. Его предпринимательская деятельность подтверждается Свидетельством о внесении записи в Единый государственный реестр индивидуальных предпринимателей записи об индивидуальном предпринимателе серии 56 №001665493 от 31.03.2004г.

Юридический адрес: 461904, Оренбургская область, г. Сорочинск, ул. Фурманова, 113.

Основной целью работы ИП «Агарков В.П.» является получение прибыли, как ключевой показатель предприятия.

Основными видами деятельности предприятия ИП «Агарков В.П.» являются:

пассажирские перевозки городским, пригородным транспортом;

междугородние пассажирские перевозки;

грузовые перевозки;

оказание услуг по техническому обслуживанию автотранспорта.

На балансе предприятия находится 62 единицы подвижного состава (ПС), в том числе автобусов 49, легковых автомобилей 4, грузовых 4, прочие (специальные АТС (автотранспортные средства), прицепы и полуприцепы) 5.

Организационная структура предприятия состоит из следующих элементов:

директор;

главный инженер;

главный экономист;

главный бухгалтер;

юрисконсульт;

отдел кадров;

инженер по ТБ и БДД;

зам. по эксплуатации.

Директор предприятия руководствуется следующими внутренними документами: свидетельство индивидуального предпринимателя, коллективный договор, положения об оплате труда, правила внутреннего трудового распорядка, трудовые договоры.

Предприятие ИП «Агарков В.П.» несет ответственность по своим долгам и своим обязательствам всем принадлежащим ему имуществом.

Прибыль от деятельности используется на возмещение материальных затрат, осуществление обязательных платежей и отчислений (уплату налогов, оплату труда работникам и т.д.). Оставшаяся чистая прибыль направляется на развитие и расширение предприятия, и другие цели по усмотрению предпринимателя.

Численность персонала ИП «Агарков В.П.» определяется исходя из функциональной целесообразности; общая численность работающих, согласно штатному расписанию, составляет 95 человек.

Вопросы найма и увольнения, формы, системы и размеры оплаты труда, а также другие виды доходов работников решаются директором предприятия ИП «Агарков В.П.» самостоятельно на основе законодательства РФ.

Система оплаты труда для персонала построена на использовании повременно-премиальной формы. Оплата труда работников построена на основе должностных окладов и зависит от величины фактически отработанного времени.

Руководство деятельностью предприятия ИП «Агарков В.П.» осуществляет директор, который:

заключает договора с юридическими и физическими лицами;

осуществляет оперативное руководство деятельностью отделов;

защищает имущественные интересы и деловую репутацию предприятия;

заключает и расторгает трудовые договора (контракты) с работниками с соблюдением действующего законодательства и штатного расписания;

определяет состав, численность и заработную плату работникам.

При приеме на работу в предприятие ИП «Агарков В.П.»обращается особое внимание на наличие у работника среднего специального, или высшего образования.

Решение о приеме на работу принимается директором. После чего оформляются следующие документы:

приказ о приеме на работу;

заключается трудовой договор;

договор о полной индивидуальной материальной ответственности;

обязательство о неразглашении и соблюдении конфиденциальности информации, составляющей коммерческую тайну;

запись в трудовой книжке.

Время успешного обучения зависит от личных способностей новичка, желания и стремления обучаться, коммуникабельности, предыдущего опыта, особенно в торговле и внутренних внешних коммуникациях.

Таблица 1

Основные показатели деятельности ИП «Агарков В.П.» в период 2010- 2012 гг.

Показатели

Ед. изм.

2010

2011

2012

Отклонение

Темп изменения

Выручка

тыс. руб.

12182

14352

14333

- 19

99,9

Прибыль

тыс. руб.

816

-728

-2035

-1307

279,5

в % к выручке

%

6,7

5,07

14,2

9,13

280

Среднегодовая стоимость основных фондов

тыс. руб.

11896

9882

13828

3946

1394,4

Среднегодовая стоимость оборотных средств

тыс. руб.

796

601

1015

414

168,9

Издержки обращения

тыс. руб.

15515

21711

22073

362

101,7

В том числе расходы на оплату труда

тыс. руб.

3814

5310

7209

1899

135,8

Среднесписочная численность работников

чел.

79

85

95

16

116,8

Выработка 1го среднесписочного работника

тыс. руб./чел.

132,4

156,0

159,3

3,3

102,1

Среднегодовая зарплата

тыс. руб.

41,46

57,72

80,1

22,38

138,77

Показатель эффективности использования трудового потенциала

-

2,283

2,185

1,594

-0,591

73

Показатель эффективности финансовой деятельности

-

0,153

-0,111

-0,226

-0,115

203,6

Показатель эффективности трудовой деятельности

-

3,194

2,703

1,988

-0,715

73,5

Интегральный показатель эффективности хозяйственной деятельности

-

1,037

-0,868

-0,895

-0,027

103,1

Оборачиваемость оборотных средств

обороты

15,30

23,88

14,12

-17,51

59,1

Фондоотдача

руб.

1,0

1,45

1,0

-0,45

68,9

Затратоотдача

руб.

0,78

0,66

0,7

0,04

106,1

Показатели эффективности рассчитываются по следующим формулам:

Эитп = В/[Рот+ (Соф+ Сос)*0,12]

Эфд = П/[Рот+ (Соф+ Сос)*0,12]

Этд = В/Ч/Вч;эхд = 3 Эитд * Эфд * Этд;

где Эитд - показатель эффективности трудового потенциала;

Эфд - показатель эффективности финансовой деятельности;

Этд - показатель эффективности трудовой деятельности;эхд - интегральный показатель эффективности хозяйственной деятельности;

В - выручка предприятия;

П - прибыль/убыток предприятия;

Рот - расходы на оплату труда;

Соф - среднегодовая стоимость основных фондов;

Сос - среднегодовая стоимость оборотных средств;

Ч - среднесписочная численность работников;

Вч - выработка одного среднесписочного работника.

Себестоимость проданной продукции предприятия составила 22073 тыс. руб. (увеличение к уровню 2011 г. - 1,6%). Опережающий рост себестоимости к выручке объясняется более быстрыми темпами роста цен на энергоносители, ГСМ, запасные части, шины к росту тарифа на перевозку пассажиров, который планировали повысить на 20% с 01.01.2012г., а фактическое повышение произошло с 15.07.2012 г.

Выручка предприятия (без учета финансирования) за 2012 год составила 14333 тыс. руб. (уменьшение к 2011г. на 0,13%).

В то же время, если бы органы местного самоуправления территорий выполняли свои договорные обязательства по финансированию программ перевозок автотранспортных предприятий, то результат финансово-хозяйственной деятельности был бы положительный.

Таблица 2

Динамика основных реализационных показателей деятельности ИП «Агарков В.П.»

Показатели

Ед. изм.

2010 факт

2011 факт

2012 факт

2011/2010

2012/2011

2012/2010

Выручка АТП всего

тыс. руб.

12182

14352

14333

117,8

99,9

117,7

В т.ч. выручка от пассажирских перевозок

тыс. руб.

8656

9402

11879

108,6

126,4

137,2

Себестоимость всего

тыс. руб.

15515

21711

22073

139,9

101,7

142,3

В т.ч. себестоимость пассажирских перевозок

тыс. руб.

16184

17253

19888

106,6

115,3

122,9

Прибыль (убыток) от продаж

тыс. руб.

-3333

-7359

-7740

-220,8

-105,2

-232,2

Субсидии (ФФП, краевой бюджет УКК)

тыс. руб.

4625

7140

7465

154,4

104,6

161,4

Сальдированный результат операционных и внереализационных расходов и доходов

тыс. руб.

983

-537

-2004

-54,6

-373,2

-203,9

Чистая прибыль (убыток)

тыс. руб.

816

-728

-2035

89,2

-279,5

-249,4

Данное предприятие является убыточным. Убыточность является признаком кризисного состояния предприятия.

2. Анализ кадрового потенциала ИП «Агарков В.П.» за 2010-2012 гг.

.1 Анализ состава, структуры и движения кадров

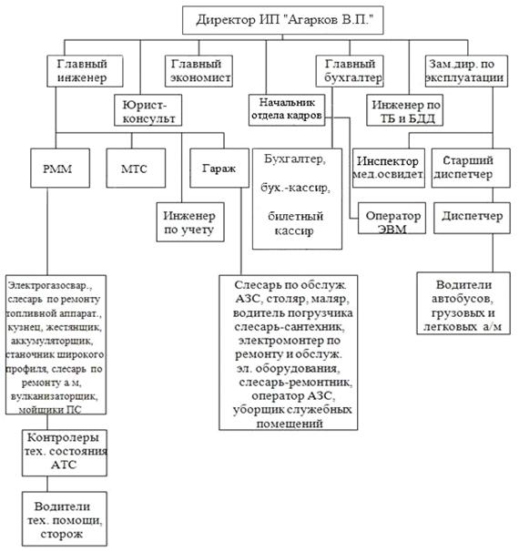
Во главе предприятия стоит директор Агарков Владимир Петрович. Он распоряжается всеми средствами предприятия, контролирует и направляет деятельность всех подразделений, несет ответственность за соблюдение финансовой дисциплины.

В прямом подчинении у директора находится главный инженер, главный экономист, главный бухгалтер, юрисконсульт, начальник отдела кадров, инженер по технике безопасности и безопасности дорожного движения и заместитель директора по эксплуатации.

Главный инженер ответственен за воплощение в жизнь технической политики на предприятии. В его подчинении находятся старший мастер РММ (ремонтно-механическая мастерская), старший кладовщик МТС (материально-технический склад), начальник гаража.

Главный экономист руководит работой по планированию и экономическому стимулированию на предприятии, улучшению организации производства, труда и заработной платы.

Главный бухгалтер осуществляет организацию бухгалтерского учета хозяйственно-финансовой деятельности и руководство работниками бухгалтерского отдела.

Юрисконсульт разрабатывает документы правового характера, участвует в разработке и осуществлении мероприятий по укреплению договорной, финансовой и трудовой дисциплины, обеспечению сохранности имущества предприятия, осуществляет информирование работников предприятия о действующем законодательстве и изменениях в нем.

Начальник отдела кадров определяет совместно с руководителями структурных подразделений текущую потребность в кадрах, принимает участие в разработке кадровой политики предприятия, возглавляет работу по подбору, отбору и расстановке кадров на основе оценки их квалификации, личных и деловых качеств.

Инженер по технике безопасности и безопасности дорожного движения отвечает за соблюдение правил безопасного производства; организацию, обучение и проверку знаний промышленного персонала; промышленную санитарию и т.д.

Также, директору подчиняется заместитель директора по эксплуатации. Он руководит технической службой производства, занимается разработкой мероприятий по улучшению организации перевозок. Зам. директору по эксплуатации подчиняются: инспектор по медицинскому освидетельствованию, старший контролер, диспетчерская служба во главе со старшим диспетчером, которой в свою очередь подчиняются водители. Диспетчерская служба предусматривает:

составление сменного суточного плана перевозок;

распределение ПС (подвижного состава) по обслуживаемым объектам;

составление графика работы автомобилей на линии;

контроль работы ПС на линии;

выявление и устранения причин нарушения графиков движения;

оформление путевых листов и товарно-транспортных документов.

Структура управления ИП «Агарков В.П.» представлена в Приложении А. Организационная структура данного предприятия линейная, так как во главе каждого подразделения находится руководитель, наделенный всеми полномочиями, который осуществляет единоличное руководство подчиненными ему работниками.

В соответствии с характером выполняемых функций персонал предприятия подразделяется на следующие две категории:

. Рабочие - это персонал, непосредственно занятый в процессе создания материальных ценностей, осуществляющий перемещение грузов, перевозку пассажиров и т.п. Кроме того, в состав рабочих включают уборщиц, мойщиков ПС, сторожей.

. Служащие - это руководители и специалисты. Руководители - это директор и работники, которые возглавляют структурные подразделения: начальники; главные специалисты (главные инженер, бухгалтер, экономист), а также заместители перечисленных руководителей.

Таблица 3

Численность и структура трудовых ресурсов ИП «Агарков В.П.» в 2010-2012 гг.

Категории персонала

2010

2011

2012


чел.

чел.

чел.

Всего по ИП

79

85

95

1. Рабочие

48

53

56

2. Служащие

31

32

39

Из них:

руководители

7

7

7

специалисты

24

25

32


Общая численность предприятия за 2010-2012 гг. увеличилась на 16 человек или на 17%. Как видно из таблицы 3, повышение произошло за счет увеличения численности, как рабочих (8 чел.), так и служащих (8чел.).

Анализ движения численного состава работников предприятия должен дополнить анализ персонала в целом, чтобы выявить основные тенденции его развития. Движение кадров предназначено для приведения в равновесие потребности производства относительно замещения вакантных рабочих мест потребности в труде соответствующего качества. Показатели движения рабочей силы ИП «Агарков В.П.» в 2010-2012 гг. представлены в таблице 4.

При анализе движения рабочей силы определяют коэффициенты общего оборота, оборота по приему, по выбытию, текучести кадров, постоянства кадров.

Таблица 4

Показатели движения рабочей силы ИП «Агарков В.П.» в 2010-2012 гг.

Показатели

2010

2011

2012

1. Принято на предприятие

17

14

15

12

17

20

в том числе:

по сокращению

0

1

1

на пенсию

0

0

1

по собственному желанию

4

4

5

призыв в армию

1

0

2

за нарушение трудовой дисциплины

0

2

0

перевод на другие предприятия

5

6

7

по окончании сроков договора найма

1

2

1

по другим причинам

1

2

3

3. Среднесписочная численность

79

85

95


Для характеристики движения рабочей силы рассчитывают и анализируют динамику следующих показателей:

. Коэффициент общего оборота = кол-во принятого на работу персонала + кол-во уволившихся работников / среднесписочная численность;

. Коэффициент оборота по приёму персонала = кол-во принятого на работу персонала / среднесписочная численность;

. Коэффициент оборота по выбытию = кол-во уволившихся работников / среднесписочная численность;

. Коэффициент текучести кадров = кол-во уволившихся работников по собственному желанию и за нарушение трудовой дисциплины /

среднесписочная численность;

. Коэффициент постоянства кадров = кол-во работников, проработавших весь год / среднесписочная численность;

В 2010-2012 гг. на данном предприятии наблюдается повышение коэффициента оборота по выбытию, который в 2010 г. составил 15,2%, в 2011 г. - 20%, в 2012 г. - 21,05%, что объясняется увеличением числа выбывших работников, это связано с большим количеством работников, которые ушли по собственному желанию и нашли другую работу.

Таблица 5

Коэффициенты оборота рабочей силы ИП «Агарков В.П.» в 2010-2012 гг.

Коэффициенты

2010 (%)

2011 (%)

2012 (%)

Общего оборота

36,7

36,5

36,9

Оборота по приёму персонала

21,5

16,4

15,8

Оборота по выбытию

15,2

20

21,05

Текучести кадров

5,06

5,8

5,2

Постоянства кадров

94,9

92,9

93,6


г. характеризуется снижением уровня оборота по приему с 16,4% до 15,8%. Коэффициент общего оборота, который характеризует интенсивность движения рабочей силы, за два года повысился всего на 0,2%.

В период 2010 - 2012 гг. мы видим увеличение коэффициента текучести кадров в 2012 г. до 5,2%. Таким образом, наблюдается излишняя текучесть кадров, так как норма составляет 5%, это отрицательно сказывается на моральном состоянии оставшихся работников, на их трудовой мотивации и преданности предприятию. Обычно текучесть характерна для молодых сотрудников и после 3-х лет работы существенно снижается. Коэффициент постоянства, наоборот, понизился с 94,9% до 93,6%.

Значительна доля работников, уволившихся по собственному желанию - 33,3%, 23,5% и 25% в 2010, 2011 и 2012 гг. от общего количества выбывших соответственно, что повлияло на текучесть кадров. Причинами увольнений по собственному желанию могут быть самые разные: тяжелые условия труда, низкая заработная плата, перемена места жительства, болезнь и др. Предприятию необходимо тщательно проанализировать причины ухода работников, т. к. это может негативно сказаться на его деловой репутации.

Доля работников, которые попали под сокращение штата, невелика - от 0 до 6%. За нарушение трудовой дисциплины за 3 года было уволено 2 человека в 2011 г., что говорит об активной работе с кадрами, об эффективных профилактических мерах по предупреждению нарушений.

Высокий коэффициент текучести кадров (5,2%) негативно сказывается на результатах деятельности предприятия. Текучесть кадров означает, что в течение года предприятие принимает и готовит новых специалистов, которые, как правило, не сразу начинают выполнять нормы выработки. Их производительность ниже, чем у постоянных кадров в силу отсутствия или недостатка опыта. Делая выводы по проведенному анализу движения ИП «Агарков В.П.» трудовыми ресурсами в 2010-2012 гг., следует отметить, что прослеживается тенденция увеличения численности персонала.

2.2 Анализ обеспеченности предприятия кадрами за 2010-2012 гг.

Обеспеченность предприятия трудовыми ресурсами определяется сравнением фактического количества работников по категориям и профессиям с плановой потребностью. В процессе анализа изучают изменение в составе рабочих по возрасту (табл. 6) и образованию (табл. 8). От обеспеченности предприятия персоналом и эффективности его использования зависят объём и своевременность выполнения всех работ, степень использования оборудования, машин и как результат объём производства продукции, её себестоимость, прибыль.

Таблица 6

Распределение работников ИП «Агарков В.П.» по возрасту в 2010-2012 гг.

Категории персонала

2010

2011

2012


20-30

31-40

41-50

51-60

Св. 60

20-30

31-40

41-50

51-60

Св. 60

20-30

31-40

41-50

51-60

Св. 60

Рабочие

20

16

11

1

0

20

20

13

0

0

22

21

12

1

0

Руководители

1

4

2

0

0

1

5

1

0

0

2

5

0

0

0

Специалисты

11

6

5

2

0

12

7

4

2

0

14

11

5

2

0

Итого:

32

26

18

3

0

33

32

18

2

0

38

37

17

3

0


79 чел.

85 чел.

95 чел.

Как видно из таблицы 6 среди руководителей преобладают работники в возрасте от 31 до 40 лет (4 человека - в 2010 г., 5 - в 2011 г. и 5 - в 2012 г.) - наиболее энергичная и продуктивная категория работников. Это люди уже набравшие опыт работы в своей отрасли, готовые и желающие работать и достигать высокие результаты.

Среди специалистов преобладают работники 20-30 лет (11, 12 и 14 человека в 2010, 2011 и 2012 гг.).

Таблица 7

Распределение работников ИП «Агарков В.П.» по возрасту в 2010-2012 гг.

Возраст, лет

2010

2011

2012


чел.

уд. вес %

чел.

уд. вес %

чел.

уд. вес %

20-30

32

40,6

33

38,8

39

40,6

31-40

26

32,9

32

37,7

37

38,5

41-50

18

22,8

18

21,2

17

17,7

51-60

3

3,7

2

2,3

3

3,2

Св. 60

0

0

0

0

0

0

Всего:

79

100

85

100

95

100


Из таблицы 7 видно, что в 2010 и 2012 гг. наибольший удельный вес имели работники в возрасте от 20 до 30 лет - 40,5% и 40,6%. Непосредственно в самом процессе производства в первую очередь важны опыт и профессионализм.

Средний возраст работников предприятия 40 лет.

Доля работников пенсионного возраста (свыше 60 лет) самая низкая, равная 0%, что связано с необходимостью выхода на пенсию.

Большее внимание уделяется уровню образования работников. В этом плане ИП «Агарков В.П.» за 2010-2012 гг. наметилась тенденция повышения уровня образования работников, которая наглядно представлена в таблице 8.

Таблица 8

Распределение работников ИП «Агарков В.П.» по образованию в 2010-2012 гг.

Категории персонала

2010

2011

2012


высш.

ср/спец

сред.

нез. сред.

высш.

ср/спец

сред.

нез. сред.

высш.

ср/спец

сред.

нез. сред.

Рабочие

6

24

17

1

14

25

14

0

12

27

16

1

Руководители

6

1

0

0

6

1

0

0

7

0

0

0

Специалисты

20

4

0

0

18

6

1

0

20

10

2

0

Всего:

32

29

17

1

38

32

15

0

39

37

18

1


Таблица 8.1

Динамика изменения уровня образования работников ИП «Агарков В.П.» в % за 2010-2012 гг.

Год

высшее

ср /спец - ное

среднее

нез. среднее

2010

40,5

36,8

21,5

1,2

2011

44,7

37,7

17,6

0

2012

41,1

38,9

18,9

1


Как видно из табл. 8.1 на предприятии за 2010-2012 гг. наблюдается увеличение доли работников с высшим образованием с 40,5% в 2010 г. до 41,1% в 2012 г. Доля работников со среднеспециальным образованием тоже увеличилась с 36,8% в 2010 до 38,9% в 2012, а количество работников со средним образованием снизилось на 2,6% за 2 года (21,5% в 2010 до 18,9% в 2012).

кадровый планирование мотивация стимулирование

3. Особенности управления персоналом в ИП «Агарков В.П.»

.1 Характеристика, основные задачи и функции отдела кадров

Отдел кадров (далее ОК) является самостоятельным структурным подразделением ИП «Агарков В.П.», подчиненным непосредственно начальнику службы управления персоналом. В своей работе ОК руководствуется трудовым законодательством Российской Федерации, приказами и распоряжениями по предприятию.

ОК возглавляет начальник отдела - Агаркова Валентина Николаевна. На ОК не допускается возложение обязанностей, не предусмотренных настоящим стандартом.

К основным должностным обязанностям начальника отдела кадров относится осуществление следующих функций:

. руководство работой отдела кадров;

. разработка необходимой документации, предложений, рекомендаций, инструкций и т.п.;

. проведение работы по защите информации, составляющей государственную, коммерческую и служебную тайну;

. обеспечение рационального распределения нагрузки между работниками отдела;

. создание условий для роста и повышения квалификации персонала;

. осуществление контроля за соблюдением работниками правил внутреннего трудового распорядка, правил и норм охраны труда и противопожарной безопасности, производственной и трудовой дисциплины;

. внесение предложений о поощрении отличившихся работников, наложении взысканий на нарушителей производственной дисциплины

. контроль за своевременным составлением отчетности

ОК имеет бланки удостоверений, свидетельств, сертификатов, заявлений, договоров, справок.

Основные задачи отдела кадров:

. Осуществляет работу по подбору, отбору и расстановке кадров на основе оценки их квалификации, личных и деловых качеств.

. Организует своевременное оформление приема, перевода и увольнения работников в соответствии с трудовым законодательством, положениями, инструкциями, приказами руководителей, учет личного состава, выдача справок о настоящей и прошлой трудовой деятельности работников, хранение и заполнение трудовых книжек, ведение установленной документации по кадрам, а также подготовку материалов для представления персонала к поощрениям и награждениям.

. Организует медицинский осмотр и ознакомление вновь поступающих работников с правилами внутреннего трудового распорядка, осуществляет необходимый инструктаж через существующие подразделения предприятия.

. Подбирает руководящих, инженерно-технических работников и служащих на различные должности и оформляет на них необходимые документы.

. Осуществляет по указанию директора и начальника службы управления персоналом замещение вакантных должностей руководителей, перемещение ИТР и служащих.

. Оформляет необходимые материалы для привлечения к ответственности нарушителей трудовой дисциплины.

. Организует табельный учет и обязательное медицинское страхование на предприятии.

ОК выполняет следующие функции:

. оформление приема, перевода и увольнения работников в соответствии с трудовым законодательством РФ

. учет личного состава

. хранение и заполнение трудовых книжек, ведение документации по делопроизводству

. контроль за исполнением руководителями подразделений приказов и распоряжений по работе с личным составом

. анализ деловых качеств специалистов организации с целью рационального использования кадров

. создание условий для повышения образовательного и квалификационного уровня специалистов

. работа по созданию резерва на выдвижение

. подготовка предложений по улучшению расстановки и использованию работников

. принятие мер по трудоустройству высвобождаемых работников

. ведение всей отчетности по кадровым вопросам

Рис. 1 - Структура отдела кадров ИП «Агарков В.П.»

.2 Планирование персонала

Основной целью планирования потребности в персонале является обеспечение предприятия необходимой рабочей силой при минимизации издержек. То есть при планировании определяется когда, где, сколько, какой квалификации и с какими затратами потребуется работников на данном предприятии. При этом можно говорить о стратегическом (долгосрочном) планировании и о тактическом (ситуационном).

На предприятии ИП «Агарков В.П.» используется стратегическое планирование потребности в персонале, которое состоит в составлении потенциала специалистов, необходимых для реализации, стратегии развития и фактического состояния человеческих ресурсов предприятия, а также в определении потребности в этих ресурсах в будущем. При этом взаимосвязь с общей стратегией развития предприятия обязательна.

Этапы планирования персонала на данном предприятии выглядят следующим образом:

) оценка наличных резервов, их количества и структуры;

) оценка будущих потребностей; отслеживание изменений в профессионально-квалификационной структуре кадров, выявление потребности в рабочей силе с указанием количественных и качественных показателей;

) разработка программы будущих потребностей.

На первом этапе проводятся: анализ использования трудовых ресурсов предприятия; уточнение задач по отдельным группам исполнителей; формирование адекватных квалификационных требований.

На втором этапе осуществляется определение потребности в персонале на планируемый период, т.е. определение необходимой численности, их профессионального и квалификационного состава.

Вся названная информация собирается в результате учета персонала. Учет персонала - это система способов наблюдения количественных измерений и регистрации состояния и использования всех категорий работников предприятия. Обычно потребность в персонале определяется на стадии подготовки и разработки бизнес-плана.

На подготовительной стадии осуществляется согласование перспектив организационно-экономического и производственного развития предприятия. На стадии разработки бизнес-плана осуществляется увязка его разделов между собой и балансировка по срокам, исполнителям, ресурсам и источникам их отступления. В числе прочих разрабатываются разделы, имеющие непосредственное отношение к персоналу. Это разделы «Персонал» и «Управление».

На третьем этапе кадрового планирования осуществляется разработка кадровых мероприятий, направленных на реализацию кадровых целей, задач, кадровой стратегии, кадровых планов.

Кадровые мероприятия представляют собой комплекс мер, направленных на решение кадровых задач, воплощение разработанных кадровых планов. Кадровое планирование призвано решать задачи профессионального и должностного роста работников, создавать условия карьерного роста, которого на данном предприятии нет. Реальные возможности системы планирования человеческих ресурсов определяются, главным образом, характером информационной базы, содержанием банка данных. На предприятии должен быть создан обширный банк данных, характеризующих подробно каждого работника, прежде всего его профессионально-квалификационные способности. Поэтому предполагается существование на предприятии надежной системы сбора и постоянного обновления информации.

В целях оценки потребности в кадрах по каждому структурному подразделению, и в целом по предприятию анализируются технологический процесс планирования труда и численности работающих, т.к. он имеет прямое отношение к планированию потребности предприятия в кадрах.

В процессе планирования выполняются следующие плановые расчеты:

·   анализируется выполнение плана по труду и численности за предшествующий период;

·   рассчитываются плановые показатели производительности труда;

·   определяется нормативная трудоёмкость;

·   насчитывается плановый баланс рабочего времени одного работающего;

·   рассчитывается потребность в кадрах, его плановая структура и движение;

·   планируется развитие кадров.

.3 Организация найма персонала

Оформление на работу производится на основании «Приказа о приеме» на работу. Поступающие на предприятие предъявляют в отдел кадров паспорт, трудовую книжку, диплом или удостоверение/справку об образовании и военный билет. Лица, поступающие на работу впервые и не имеющие трудовой книжки, предъявляют справку о своем последнем занятии. Инспектор отдела кадров на основании заявления заполняет на принимаемого «приказ о приеме» на работу /форма Т-1/ и личную карточку для отдела кадров. Инспектор отдела кадров после приема на работу и отметки о прохождении инструктажей вызывает начальника службы УП. Начальник в «приказе о приеме» дает заключение о возможности приема, указывает должность и ее шифр, на которую может быть принято лицо, оформляющееся на работу, на какой оклад и по какому разряду с указанием вида тарифной ставки и формы заработной платы.

Инспектор отдела кадров на основании «Приказа о приеме» делает отметки в личной карточке /форма Т-2/, заполняет алфавитную карточку по форме Т-4, направляет личную карточку Т-2 в отдел и перекладывают ее из раздела оформляемых в основную картотеку, а расчетный отдел бухгалтерии открывает на работника лицевой счет.

Основным документом учета личного состава является личная карточка работающего - ЛКР (форма Т-2), заполняемая на каждого работника предприятия. Учет личного состава осуществляется в картотеке ЛКР и картотеке вспомогательных алфавитных карточек, необходимых для быстрейшего отыскания в картотеке ЛКР нужных карточек.

Личная карточка работающего /по форме Т-2/ заполняется на основании приказа о приеме и соответствующих документов: паспорта, трудовой книжки, диплома или удостоверения и т.п., предъявляемых поступающим при оформлении на работу на предприятие.

Все сведения, содержащиеся в личной карточке, сгруппированы в десять основных разделов:

раздел I - общие сведения;

раздел II - сведения о воинском учете;

раздел III - прием на работу и перевод на другую работу;

раздел IV- аттестация;

раздел V - повышение квалификации;

раздел VI - профессиональная переподготовка;

раздел VII - поощрения и награды;

раздел VIII - социальные льготы

раздел IX - дополнительные требования;

раздел X - основание увольнения.

Верхнее поле на лицевой стороне личной карточки справа предназначено для особых отметок отдела кадров. Здесь для более быстрого отыскания нужных карт рекомендуется указать в виде условных обозначений некоторые сведения, не подлежащие механизированной обработке, но которые могут быть необходимы в процессе учета кадров.

Раздел I - общие сведения:

Заполнение данных по каждой строке личной карточки производится полностью, без сокращения.

Строки 1-4, 9, 11, 12 заполняются на основании паспорта работающего.

В строке 6 «Образование» пишется: «высшее», «незаконченное высшее» (указывается сколько закончено курсов), «среднее специальное», «профессионально-техническое», «среднее общее», «неполное среднее», «обязательное девятилетнее».

Последующие графы заполняются только на специалистов с высшим, средним специальным и профессионально-техническим образованием, а также окончивших школу мастеров. На основании диплома (удостоверения) об окончании высшего, среднего специального учебного заведения и т.д., в строке указывается полное наименование соответствующего учебного заведения, факультета, № диплома (удостоверения), отделения (дневное, вечернее, заочное) и дата окончания. По строке 10 указывается специальность по образованию, полученная по окончанию высшего или среднего специальных учебных заведений.

По строке 8:

а) «Общий стаж работы» - дата начала трудовой деятельности - указывается условная дата начала трудовой деятельности, определенная путем сложения даты (год, месяц, число) фактического начала работы и времени перерывов (число лет, месяцев, дней), не включаемых в трудовой стаж.

б) «Непрерывный стаж» указывается дата (год, число, месяц) начала непрерывного стажа;

По строке 7 «Основная профессия (специальность)» указывается специальность по опыту работы для инженерно-технических работников, практиков и инженерно-технических работников с высшим и средним специальным образованием, работающим не по своей специальности. По строке «Другая профессия» указывается вторая профессия, которой владеет рабочий. Если рабочий владеет более чем одной второстепенной профессией, то указывается та, по которой квалификация наивысшая.

Раздел II - сведения о воинском учете:

Данные в этот раздел вносятся на основе военного билета или приписного.

Раздел III - прием на работу и переводы на другую работу:

При оформлении приема на работу на основании приказа о приеме в данном разделе производится соответствующая запись:

графа 1 - дата приема (перевода) на предприятии;

графа 2 - структурное подразделение;

графа 3 - профессия (должность), разряд, класс (категория), квалификация;

графа 4 - оклад (тарифная ставка), надбавка к основному окладу;

графа 5 - основание приема (перевода) - № приказа о приеме;

графа 6 - подпись владельца трудовой книжки.

В дальнейшем в этом разделе на основании приказа о переводе указываются все перемещения по работе, изменения квалификации, оклада и т.д.

Раздел IV - аттестация:

Данный раздел заполняется на основании сведений, полученных в результате проведения определенного вида мероприятий, в данном случае - аттестации.

Разделы V-VI:

Данный раздел заполняется в результате обучения работника, на основании документа, выданного в образовательном учреждении.

Раздел VII - поощрения и награды:

В данном разделе указывается наименование награды и наименование, номер и дата документа, на основе которого выдана награда.

Раздел VIII - отпуск:

В данном разделе указывается вид отпуска (ежегодный, учебный, без сохранения заработной платы и т.д.), количество дней, дата начала и окончания, а также основание отпуска.

Раздел IХ - социальные льготы:

В данном разделе указывается наименование льготы и основание, на основе которого она присваивается.

Раздел Х - дополнительные сведения:

В этом разделе осуществляются служебные пометки ОК.

Раздел ХI - основание увольнения:

Данный раздел заполняется на основании приказа о прекращении трудового договора при увольнении работника с предприятия. В случае увольнения работника по собственному желанию, указывается причина увольнения, выясненная в результате собеседования с увольняющимся работником.

Перевод работника из одного подразделения в другое производится на основании «приказа о переводе» (форма Т-5). Данный приказ выписывает инспектор отдела кадров на основании заявления работающего. В приказе указываются личные данные работника (фамилия, имя, отчество), на каких условиях переведен (временно или постоянно), а также данные о прежнем месте работы и новом (отдел, участок, профессия, должность, размер тарифной ставки, оклада, надбавки к окладу), основание для перевода (заявление, докладная), вид перевода, форма и система оплаты труда и продолжительность рабочего дня. Соответствующие изменения вносят в личную карточку переводимого работника, а также производится запись в лицевом счете или карточке- справке в отделе бухгалтерии и личная карточка с изменениями передается из отдела, где он работал в отдел, где будет работать.

Порядок учета отпусков. Очередные и дополнительные, а также учебные и прочие отпуска предоставляются работникам в соответствии с трудовым законодательством и коллективным договором.

На работника, уходящего в отпуск, оформляется «Приказ о предоставлении отпуска». В нем указывается вид отпуска, количество рабочих дней по каждому виду отпуска, общее число отпускных дней, за какой период предоставляется отпуск, дата ухода в отпуск и возвращения, а затем делается соответствующая запись в имеющейся в отделе личной карточке (форма Т-2).

Оформление увольнений. Увольнение работников с предприятия производится в соответствии с действующим законодательством. Инспектор отдела кадров выписывает на увольняющегося «Приказ о прекращении трудового договора» (форма Т-8), который затем визирует начальник отдела кадров. Данный приказ содержит: личные данные увольняющегося, сведения о работе (отдел, участок, профессия, должность, размер тарифной ставки), условия труда, причину увольнения и основание для увольнения. «Приказ о прекращении трудового договора» хранится в бухгалтерии как основание для контроля произведенных расчетов.

3.4 Управление адаптацией персонала

Адаптация - это процесс ознакомления специалиста с особенностями деятельности, требованиями, коллективом, организацией, ее корпоративной культурой, ценностями и особенностями, руководством компании, подчиненными (если они есть) и изменения его поведения в соответствии с требованиями новой среды.

Управление процессом адаптации - это активное воздействие на факторы, предопределяющие ее ход, сроки, снижение неблагоприятных последствий. Разработка мер, положительно влияющих на адаптацию, предполагает знание как субъективных характеристик рабочего (пол, возраст, его психофизиологические характеристики, а также образование, стаж и др.), так и факторов производственной среды, характера их влияния (прямое или косвенное) на показатели и результаты адаптации. Итак, конкретизация подхода к каждому работнику, определение значимости той или иной стороны адаптации для конкретных условий производственной среды, разработка соответствующих мероприятий для облегчения ее прохождения составляют основу процесса управления адаптацией.

На предприятии ИП «Агарков В.П.» система адаптации персонала не развита, так как предприятие небольшое и состав персонала меняется редко. Обычно новички быстро адаптируются на новом месте, но наблюдается низкая эффективность труда новых сотрудников.

Как показывает практика, наиболее высокий процент увольняющихся - люди, проработавшие на предприятии менее двух месяцев. Можно назвать четыре основные причины такого ухода: не сложились отношения с коллективом, низкие результативность и самооценка, несовпадение ожиданий и реальности. На данном предприятии чаще всего причиной увольнения является низкая результативность и несовпадение ожиданий и реальности.

Для успешного завершения адаптации необходимы не только усилия самого работника, но не менее важно, чтобы и предприятие уделяло этому процессу достаточно внимания. Задача сотрудника отдела кадров - помочь работнику закрепиться на новом месте.

Предприятие не уделяет процессу адаптации достаточно внимания и, вследствие этого, 90% работников увольняются уже в первые дни работы на новом месте.

3.5 Мотивация и стимулирование персонала

В управлении персоналом ИП «Агарков В.П.» применяются следующие методы:

. Материальное стимулирование труда работников: премиальные по результатам труда, использование для отдельных категорий работников сдельной формы оплаты труда.

. Использование властной мотивации (издание приказов, отдача распоряжений, указаний) при управлении текущей деятельностью предприятия.

. Стимулирование труда работников посредством гарантированного предоставления социальных гарантий (больничные листы, выплаты пособий и т.п.);

. Оптимизация организации рабочего места, создание комнат отдыха, организация организационных праздников для сотрудников.

Основной акцент в системе стимулирования персонала сделан на материальные методы стимулирования. В соответствии с КЗоТ РФ предприятие самостоятельно устанавливает вид, системы оплаты труда, размеры тарифных ставок и должностных окладов, а также формы материального поощрения.

Основные правила оплаты труда и премирования закреплены Положением об оплате труда работников ИП «Агарков В.П.», утверждаемым приказом директора.

Предприятие ведет политику гарантирования стабильности системы оплаты труда: обеспечивает гарантированный законом минимальный размер оплаты труда, о введении новых и изменении установленных условий оплаты труда работники извещаются.

Предприятие использует оплату труда как важнейшее средство стимулирования добросовестной работы.

В качестве базы используется тарифная система оплаты труда.

Заработная плата работников складывается из:

должностного оклада,

доплат,

премий.

Тарифная часть заработной платы формируется следующим образом:

Должностные оклады руководителям, специалистам и служащим устанавливаются директором предприятия на основе штатного расписания в соответствии с должностью и квалификацией работника.

При оплате труда рабочих применяется повременная оплата, согласно окладам, утвержденных в штатном расписании, размер которых зависит от сложности выполняемой работы и тарифных разрядов.

Конкретные размеры доплат устанавливаются администрацией предприятия в зависимости от конкретных условий (степени тяжести работ и воздействия неблагоприятных факторов, объема работы, ее важности для предприятия, уровня профессионализма работника и др.)

Премирование работников осуществляется ежемесячно.

Основным условием начисления премий работникам является безупречное выполнение трудовых функций и обязанностей, предусмотренных законодательством о труде, правилами внутреннего распорядка, должностными инструкциями и техническими правилами, своевременное выполнение мероприятий по охране окружающей среды, строгое соблюдение санитарного режима территорий.

Работники могут быть полностью или частично лишены премии в следующих случаях:

неисполнение или ненадлежащего исполнения трудовых обязанностей, предусмотренных должностными или техническими инструкциями;

совершение дисциплинарного проступка;

причинение материального ущерба предприятию или нанесение вреда его деловой репутации;

нарушение технологической дисциплины;

нарушение правил техники безопасности и охраны труда;

Конкретный размер снижения премии определяется директором предприятия и зависит от тяжести проступка и его последствий.

Работники полностью лишаются премии в следующих случаях:

совершение прогула,

появление на работе в нетрезвом состоянии, а также в состоянии наркотического или токсического опьянения,

распитие спиртных напитков на территории предприятия,

совершения хищения имущества предприятия.

Полное или частичное лишение премии производится за тот период, в котором, было совершено упущение по работе.

Премирование рабочих (депремирование) осуществляется согласно отработанному в текущем месяце времени по табелю и распоряжений начальников. Премирование руководителей, специалистов и служащих производится авансом в текущем месяце, месяцем позже на основании приказа директора предприятия, в случае имеющихся замечаний и нарушений производятся удержания. Работникам, не отработавшим полный календарный месяц при увольнении по собственному желанию, кроме случаев увольнения на пенсию, а также при увольнении за прогул и другие нарушения - премия за данный период не начисляется.

Проведенный анализ условий оплаты труда и премирования показывает, что размер заработной платы сотрудников предприятия поставлен в зависимость от результатов их трудовой деятельности. За каждое нарушение трудовой дисциплины и технологии производства к работнику применяется санкция в виде лишения премии или ее части.


4. Подведение итогов и предложения в сфере совершенствования управления персоналом ИП «Агарков В.П.»

Каждое предприятие, которое хочет выжить в условиях жесткой конкуренции, должно постоянно искать пути усовершенствования своей деятельности.

Залог успешной деятельности предприятия - это его персонал со своими навыками, умениями, квалификацией и идеями. Постоянное развитие персонала, поиск новых подходов к управлению им являются необходимыми атрибутами успешного функционирования предприятия.

Рассматриваемое предприятие ИП «Агарков В.П.» активно развивается в течение последних 3 лет, постоянно увеличивая количество собственного персонала. На предприятии достаточно хорошо сформирована система оплаты труда и поощрения работников, развиты планирование персонала и организация найма персонала.

Но наблюдается много отрицательных сторон. Предприятие испытывает трудности в связи с низкой эффективностью труда новых сотрудников, так как система адаптации недостаточно развита. А также, не происходит развитие персонала - профессиональная подготовка кадров, обучение, управление карьерой сотрудников.

Из предложений, которые можно включить в совершенствование сферы управления персоналом ИП «Агарков В.П.», отметим следующие:

. Ежегодно разрабатывать мероприятия, направленные на повышение профессионального уровня кадрового резерва; составлять общую программу обучения и развития;

. Поддерживать эффективную рабочую среду, корпоративные ценности, культуру и организацию, которые мотивируют каждого человека на достижение максимально высоких результатов.

Далее предлагаю несколько мероприятий в связи с неразвитой системой адаптации:

. Создать специальное подразделение по управлению профессиональной ориентацией и адаптацией персонала. Штат такого подразделения должен состоять как минимум из двух человек: профконсультанта (занимающегося профессиональной ориентацией сотрудников) и менеджера по персоналу (осуществляющего отбор, подготовку и адаптацию работников).

Подразделение по управлению профориентацией и адаптацией должно выполнять следующие функции:

изучать и прогнозировать конъюнктуру рынка труда, проводить мероприятия по адаптации к нему, осуществлять соответствующую переструктуризацию кадрового потенциала;

участвовать в найме и отборе персонала, организовывать тестирование и интервьюирование работников в целях их лучшей профориентации;

участвовать в расстановке кадров по подразделениям, участкам, рабочим местам, проведении внутрипроизводственных перемещений кадров, формировании стабильного трудового коллектива;

участвовать в отборе лидеров из числа молодых работников, обладающих талантом организатора;

организовывать взаимодействие с региональной системой управления профориентацией и адаптацией на взаимовыгодных условиях;

. Новых сотрудников знакомить с правилами и требованиями внутреннего трудового распорядка, разъяснять новым сотрудникам их профессиональные обязанности;

. Постепенное усложнение заданий, выполняемых новыми работниками. Новому работнику нельзя давать трудных заданий, а начать для укрепления уверенности в себе и желания работать с поручений средней сложности, не забывая об инструктировании. Это позволит ему успешно справиться с ними и при этом почувствовать удовлетворение. Трудности, с которыми сталкивается новичок, в первую очередь связаны с недостатком информации. В то же время нельзя перегружать людей ею, ибо новички особо уязвимы в данном отношении.

Существующая система оплаты труда должна быть дополнена системой участия работников в прибыли предприятия и построением управления персоналом по целям, на основании достижения которых будет оцениваться эффективность труда каждого работника.

Под системами участия работников в прибыли предприятия понимается «разделение между ними и предприятием дополнительной прибыли, которая была получена в результате повышения производительности или качества». При этом рассматривается производительность всего предприятия или производственного участка, т.е. групповая или коллективная эффективность, и премирование всех работников, а не избранных. Все эти системы ориентированы на работников, получающих почасовую заработную плату, индивидуальные трудовые усилия которых не всегда напрямую связаны с конечным результатом. Это и служащие, и рабочие-повременщики.

Первоначальной основой создания системы участия работников в прибыли может стать формирование дополнительного премиального фонда. Разделение создаваемого премиального фонда должно осуществляться по нормативам, разрабатываемым с участием работников.

Рационально будет сформировать распределение получаемого фонда по двум направлениям: премирование работников по результатам деятельности предприятия в целом и по результатам индивидуального вклада сотрудников.

Список использованных источников

1. Авдеев В.В. Управление персоналом: технология формирования команды - М.: Финансы и статистика, 2003г.- 544с.

2.      Гадушаури Г.В., Литван Б.Г. Управление современным предприятием - М.:ЭКМОС, 2003.

.        Производственный материал ИП «Агарков В.П.», 2012.

.        Савицкая Г.В. Экономический анализ - Москва: Новое знание, 2004.

- 640 с.

.   Семенов А.К., Набоков В.И. Основы менеджмента: Учебник. - 5-е изд., перераб. и доп. - М.: Издательско-торговая корпорация «Дашков и Ко», 2008

6.      Управление персоналом под редакцией Т.Ю. Базарова, Б.Л. Еремина - М.: ЮНИТИ, 2002 г. - 342 с.

.        Шепеленко Г.И. «Экономика, организация и планирование производства на предприятии» 5-е изд., - М.: ИКЦ «МарТ»; 2004.

Приложение А

Организационная структура ИП Агарков В.П.


Похожие работы на - Особенности управления персоналом в ИП 'Агарков В.П.'

 

Не нашли материал для своей работы?
Поможем написать уникальную работу
Без плагиата!
Без нейросетей!