Тестирование гетероскедастичности случайного возмущения

  • Вид работы:
    Реферат
  • Предмет:
    Менеджмент
  • Язык:
    Русский
    ,
    Формат файла:
    MS Word
    54,63 Кб
  • Опубликовано:
    2014-07-04
Вы можете узнать стоимость помощи в написании студенческой работы.
Помощь в написании работы, которую точно примут!

Тестирование гетероскедастичности случайного возмущения

Федеральное государственное образовательное бюджетное

учреждение высшего профессионального образования

«Финансовый университет

при Правительстве Российской Федерации»

(Финансовый университет)

Кафедра «МЭиИС»








Теоретико-практическая работа

по дисциплине «Эконометрика»

на тему:

«Тестирование гетероскедастичности случайного возмущения»

Выполнил:

студент группы Б3-4

Иван Алексеев Андреевич

Научный руководитель:

профессор, д.э.н.

Бабешко Людмила Олеговна


Москва 2013

Содержание

1.      Гетероскедастичность случайного возмущения. Причины и последствия

2. Тесты на наличие или отсутствие гетероскедастичности

.2 Тест Голдфеда-Квандта

2.3 Тест Глейзера

Выводы

Список используемых источников

.        Гетероскедастичность случайного возмущения. Причины и последствия

В соответствии со второй предпосылкой теоремы Гаусса-Маркова нужно соблюдение условия гомоскедастичности (одинаковый разброс), или однородности дисперсий случайных возмущений во всех наблюдениях. То есть независимость дисперсии возмущения от номера наблюдений является вторым условием Гаусса Маркова для классической регрессионной модели. Гетероскедастичность (неодинаковый разброс) является нарушением данного условия Гаусса-Маркова для классической регрессионной модели.

Гетероскедастичность - ситуация, когда дисперсия ошибки в уравнении регрессии изменяется от наблюдения к наблюдению. В этом случае приходится подвергать определенной модификации МНК (иначе возможны ошибочные выводы).

При наличии гетероскедастичности количественные характеристики вектора возмущений равны:

·

E{ε}=0,

·        Сεε =


где , t = 1,…..,n - значения дисперсии возмущений.

Причины гетероскедастичности

Неоднородность исследуемых объектов (напр, при анализе зависимости спроса от дохода потребителя выясняется, что чем больше доход, тем больше индивидуальное значение спроса колеблется относительно ожидаемого значения)

Характер наблюдений (напр, данные временного ряда)

Последствия гетероскедастичности

Последствия нарушения условия гомоскедастичности случайных возмущений:

.        Потеря эффективности оценок коэффициентов регрессии, т.е. можно найти другие, отличные от МНК и более эффективные оценки.

При наличии гетероскедастичности МНК (метод наименьших квадратов) обеспечивает несмещенные оценки параметров, но оценка дисперсии возмущений - смешенная, то есть:


Это приводит к неадекватным оценкам:

Автоковариационной матрицы оценок параметров: Сββ =s2(XTX)-1;

Границ доверительных интервалов параметров модели и значений зависимой переменной, т.е. последствия такие же, как и от автокорреляции.

.
Тесты на наличие или отсутствие гетероскедастичности

В основу идей тестов моделей на присутствие гетероскедастичности лежит предположение о том, что гетероскедастичность есть результат зависимости дисперсий случайных возмущений от абсолютных значений регрессоров. Для проверки применяют различные статистические тесты, такие как:

тест ранговой корреляции Спирмена;

тест Голдфеда - Квандта;

тест Глейзера Доугерти.

гетероскедастичность случайный возмущение тест

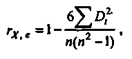
2.1 Тест ранговой корреляции Спирмена

Тест ранговой корреляции Спирмена использует наиболее общие предположения о зависимости дисперсий ошибок регрессии от значений регрессоров:


где n - объем выборки, Dt - разность между рангами Хt и et, t = 1,…..,n .

Для проверки нулевой гипотезы об отсутствии гетероскедастичности используется следующий вид тестовой статистики, которая имеет стандартное распределение, при условии, что коэффициент корреляции для генеральной совокупности равен нулю:

выч = rX, e *

Таким образом, если rвыч › rкр на заданном уровне значимости, то нулевая гипотеза об отсутствии гетероскедастичности отклоняется.

.2 Тест Голдфеда-Квандта

)        Случайное возмущение распределено нормально

)        Отсутствует автокорреляция

)        Дисперсия возмущений пропорционально одному из регрессоров

Алгоритм теста

I шаг: Данные упорядочиваются по величине модуля регрессора |Xtj|, t=1,…,m, вызывающего гетероскедастичность.

II шаг: По первым и последним m данным оцениваются две частные регрессии и вычисляются статистика: ESS1 , ESS2

Замечание!: k ‹ m ≤ n/2,        где n - объем выборки, k - число параметров

III шаг: Вычисление статистик:

 

 

IV шаг: Проверка выполнение неравенств

GQ ≤ Fкр

GQ ≤ Fкр

Замечание!: Если справедливы оба неравенства, то вторая предпосылка Гаусса-Маркова признается адекватной, в противном случае делается вывод о гетероскедастичности случайных возмущений.

.3 Тест Глейзера

Это статистический тест <#"827218.files/image009.gif"> , где t = 1,…..,n .

Варьирование значений γ от -1 до +1 позволяет подобрать наиболее адекватную модель. Проверка наличия или отсутствия гетероскедастичности возмущений в данном тесте сводится к проверке статистической значимости оценки параметра b: если МНК - оценка параметра b значимо отличается от нуля, то гипотеза отвергается. Меняется значение γ, и процедура вновь повторяется. При определении характера гетероскедастичности ориентиром служит наилучшая из значимых оценок

Заключение

Из всего вышеприведенного можно сделать выводы о том, что гетероскедастичность (неодинаковый разброс) является нарушением второй предпосылкой теоремы Гаусса-Маркова для классической регрессионной модели. Причинами гетероскедастичности являются Неоднородность исследуемых объектов и характер данных. А в качестве последствий нарушение условия гомоскедастичности случайных возмущений можно выделить: потеря эффективности оценок коэффициентов регрессии и смещенность стандартных ошибок коэффициентов в связи с некорректностью процедур их оценки. А также для проверки случайных возмущений на гетероскедастичность обычно используют 3 теста: 1) Тест ранговой корреляции Спирмена, 2) Тест Голдфеда-Квандта, 3) Тест Глейзера

Список используемых источников

2.         Елисеевой И. И. Эконометрика: Учебник - М.: Финансы и статистика, 2004. - 344 с: ил.

3.         Различные интернет-ресурсы

Похожие работы на - Тестирование гетероскедастичности случайного возмущения

 

Не нашли материал для своей работы?
Поможем написать уникальную работу
Без плагиата!
Без нейросетей!