Сущность и методы экстраполяционного прогнозирования
Содержание
Введение
1. Сущность и методы экстраполяционного прогнозирования
1.1 Задачи и принципы экстраполяционного прогнозирования
1.2 Методы и модели экстраполяционного прогнозирования
1.3 Метод скользящего среднего
1.4 Метод экспоненциального сглаживания
1.5 Прогноз по методу экспоненциального сглаживания Хольта
2 Экономическое прогнозирование доходов ооо
"уфа-аттракцион" с помощью эстраполяционных методов
2.1 Характеристика ООО "Уфа-аттракцион"
2.2 Экономическое прогнозирование доходов ООО "Уфа-аттракцион"
на 2014 год с помощью методов скользящих средних
2.3 Прогноз доходов ООО "Уфа-аттракцион" по методу
экспоненциального сглаживания
2.4 Прогноз доходов ООО "Уфа-аттракцион" по методу
экспоненциального сглаживания Хольта
Заключение
Список использованнойлитературы
Введение
Желание человека заглянуть в будущее существует столько,
сколько существует сам человек. Понимание будущего, основанное на
закономерностях развития природы, общества и мышления, связано с
прогнозированием. Объективность в формировании образа будущего зависит от
знания этих закономерностей и правильного их использования.
Экономическое прогнозирование есть процесс разработки
экономических прогнозов, основанный на научных методах познания экономических
явлений и использовании всей совокупности методов, средств и способов
экономической прогностики.
Прогнозирование, соотносится с более широким понятием -
предвидения как опережающего отображения действительности, основанного на
познании законов природы, общества и мышления. В зависимости от степени
конкретности и характера воздействия на ход исследуемых процессов различают три
формы предвидения: гипотезу (общенаучное предвидение), прогноз, план.
Поскольку экономические условия с течением времени
изменяются, менеджеры должны прогнозировать влияние, которое эти изменения
окажут на их компанию. Одним из методов, позволяющих обеспечить точное
планирование, является прогнозирование. Несмотря на большое количество
разработанных методов, все они преследуют одну и ту же цель - предсказать
события, которые произойдут в будущем, чтобы учесть их при разработке планов и
стратегии развития компании.
Современное общество постоянно испытывает
необходимость в прогнозировании. Например, чтобы выработать правильную
политику, члены правительства должны прогнозировать уровни безработицы,
инфляции, промышленного производства, подоходного налога отдельных лиц и
корпораций. Чтобы определить потребности в оборудовании и персонале, директора
авиакомпаний должны правильно предсказать объем авиаперевозок. Для того чтобы создать
достаточное количество мест в общежитии, администраторы колледжей или
университетов хотят знать, сколько студентов поступят в их учебное заведение в
следующем году.
Объектом исследования являются методы
экстраполяционного прогнозирования. Объект прогнозирования: ООО
"Уфа-аттракцион". Цель работы: изучить методы и принципы
экстраполяционного прогнозирования, спрогнозировать доходы ООО
"Уфа-аттракцион" методами экспоненциального сглаживания, скользящего
среднего и методом Хольта. Проанализировать проделанную работу, и сделать
выводы на её основании.
1. Сущность и
методы экстраполяционного прогнозирования
1.1 Задачи и
принципы экстраполяционного прогнозирования
Прогнозирование - это разработка прогноза;
в узком значении - специальное научное исследование конкретных перспектив
развития какого-либо процесса.
Необходимость прогноза обусловлена
желанием знать события будущего, что невозможно на 100 % в принципе, исходя из
статистических, вероятностных, эмпирических, философских принципов. Точность
любого прогноза обусловлена:
объёмом истинных (верифицированных)
исходных данных и периодом их сбора;
объёмом неверифицированных исходных
данных, периодом их сбора;
свойствами системы, объекта,
подвергающихся прогнозированию;
методиками и подходами прогнозирования.
При возрастании совокупности факторов, влияющих на точность
прогноза он практически замещается рутинным расчётом с некоторой установившейся
погрешностью.
Прогнозы делятся (условно)
· по срокам: краткосрочные, среднесрочные,
долгосрочные, дальнесрочные;
· по масштабу: частные, местные,
региональные, отраслевые, страновые, мировые (глобальные).
· по ответственности (авторству): личные, на
уровне предприятия (организации), на уровне государственных органов.
Одним из наиболее распространенных методов краткосрочного
прогнозирования экономических явлений является экстраполяция. Использование
экстраполяции в прогнозировании имеет в своей основе предположение о том, что
рассматриваемый процесс изменения переменной представляет собой сочетание двух
составляющих - регулярной и случайной.
Формализованные методы прогнозирования базируются на
математической теории, которая обеспечивает повышение достоверности и точности
прогнозов, значительно сокращает сроки их выполнения, позволяет облегчить
деятельность по обработке информации и оценке результатов. В состав
формализованных методов прогнозирования входят: методы экстраполяции и методы
математического моделирования.
Термин "экстраполяция" имеет несколько толкований.
В широком смысле экстраполяция - это метод научного исследования, заключающийся
в распространении выводов, полученных из наблюдений за одной частью явления, на
а другую его часть. В узком смысле - это определение по ряду данных функции
других ее значений вне этого ряда.
Экстраполяция заключается в изучении сложившихся в прошлом и
настоящем устойчивых тенденций экономического развития и перенос их на будущее.
В прогнозировании экстраполяция (экстраполирование) применяется при изучении
временных рядов и представляет собой нахождение значений функции за пределами области
ее определения с использованием информации о поведении данной функции в
некоторых точках, принадлежащих области ее определения.
Различают перспективную и ретроспективную экстраполяцию.
Перспективная экстраполяция предполагает продолжение уровней ряда
динамики на будущее на основе выявленной закономерности изменения уровней в
изучаемом отрезке времени. Ретроспективная экстраполяция характеризуется
продолжением уровней ряда динамики в прошлое.
Понятием, противоположным экстраполяции, является интерполяция,
интерполирование, которое предусматривает нахождение промежуточных значений
функции в области ее определения. При изучении временных рядов в случае
необходимости может производиться интерполирование промежуточных уровней.
Разграничивают формальную и прогнозную экстраполяцию.
Формальная экстраполяция базируется на предположении и сохранении в будущем
прошлых и настоящих тенденций развития объекта. Прогнозная экстраполяция увязывает
фактическое состояние исследуемого объекта с гипотезами о динамике его развития.
Она предполагает необходимость учета в перспективе альтернативных изменений
самого объекта, его сущности.
При формировании прогнозов с помощью экстраполяции исходят из
статистически складывающихся тенденций изменения тех или иных количественных характеристик
объекта. Экстраполируются оценочные функциональные системные и структурные
характеристики, например, количественные характеристики экономического,
научного, производственного потенциала. Степень реальности такого рода
прогнозов в значительной мере обусловливается аргументированностью выбора
пределов экстраполяции и стабильностью соответствия "измерителей" по
отношению к сущности рассматриваемого явления. Последовательность действий при
статистическом анализе тенденций и экстраполировании состоит в следующем:
. Четкое определение задачи, выдвижение гипотез о возможном
развитии прогнозируемого объекта, обсуждение факторов, стимулирующих или
препятствующих развитию данного объекта, определение необходимой экстраполяции
и её допустимой дальности.
. Выбор системы параметров, унификация различных единиц
измерения, относящихся к каждому параметру в отдельности.
. Сбор и систематизация данных. Перед сведением их в
соответствующие таблицы проверяется однородность данных и их сопоставимость.
. Выявление тенденций или симптомов изменения изучаемых
величин в ходе статистического анализа и непосредственной экстраполяции данных.
В экстраполяционных прогнозах предсказание конкретных
значений изучаемого объекта или параметра в какой-то определенный период
времени не считается основным компонентом. Особо важным здесь является
своевременное фиксирование объективно намечающихся сдвигов, выявление
закономерных тенденций развития явления или процесса. Под тенденцией развития
понимают некоторое его общее направление, долговременную эволюцию. Обычно
тенденцию стремятся представить в виде более или менее гладкой траектории.
Для повышения точности экстраполяции используются различные
приемы. Например, экстраполируемая часть общей кривой развития (тренд)
корректируется с учетом реального опыта функционирования отрасли - аналога
исследований или объекта, опережающих в своем развитии прогнозируемый объект.
1.2 Методы и
модели экстраполяционного прогнозирования
Экстраполяционные методы прогнозирования
основной упор делают на выделение наилучшего в некотором смысле описания тренда
и на определение прогнозных значений путем его экстраполяции. Методы
экстраполяции во многом пересекаются с методами прогнозирования по
регрессионным моделям. Иногда их различия сводятся лишь к различиям в
терминологии, обозначениях или написании формул. Тем не менее, сама по себе
прогнозная экстраполяция имеет ряд специфических черт и приемов, позволяющих
причислять ее к некоторому самостоятельному виду методов прогнозирования.
Специфическими чертами прогнозной
экстраполяции можно назвать методы предварительной обработки числового ряда с
целью преобразования его к виду, удобному для прогнозирования, а также анализ
логики и физики прогнозируемого процесса, оказывающий существенное влияние как
па выбор вида экстраполирующей функции, так и на определение границ изменения
ее параметров.
экспоненциальное сглаживание хольт экстраполяционный
Предварительная обработка исходного
числового ряда направлена на решение следующих задач (всех или части из них):
снизить влияние случайной составляющей в исходном числовом ряду, т.е.
приблизить его к тренду; представить информацию, содержащуюся в числовом ряду,
в таком виде, чтобы существенно снизить трудность математического описания
тренда. Основными методами решения этих задач являются процедуры сглаживания и
выравнивания статистического ряда.
Процедура сглаживания направлена на
минимизацию случайных отклонений точек ряда от некоторой гладкой кривой
предполагаемого тренда процесса. Наиболее распространен способ осреднения уровня
по некоторой совокупности окружающих точек, причем эта операция перемещается
вдоль ряда точек, в связи с чем обычно называется скользящая средняя. В самом
простом варианте сглаживающая функция линейна и сглаживающая группа состоит из
предыдущей и последующей точек, в более сложных - функция нелинейная и
использует группу произвольного числа точек.
Сглаживание производится с помощью
многочленов, приближающих по методу наименьших квадратов группы опытных точек.
Наилучшее сглаживание получается для средних точек группы, поэтому желательно
выбирать нечетное количество точек в сглаживаемой группе.
Сглаживание даже в простом линейном
варианте является во многих случаях весьма эффективным средством выявления
тренда при наложении на эмпирический числовой ряд случайных помех и ошибок
измерения. Для рядов со значительной амплитудой помехи имеется возможность
проводить многократное сглаживание исходного числового ряда. Число
последовательных циклов сглаживания должно выбираться в зависимости от вида
исходного ряда, от степени предполагаемой его зашумленности помехой, от цели,
которую преследует сглаживание. Надо иметь при этом в виду, что эффективность
этой процедуры быстро уменьшается (в большинстве случаев), так что
целесообразно повторять ее от одного до трех раз.
Линейное сглаживание является достаточно
грубой процедурой, выявляющей общий приблизительный вид тренда. Для более
точного определения формы сглаженной кривой может применяться операция
нелинейного сглаживания или взвешенные скользящие средние. В этом случае
ординатам точек, входящих в скользящую группу, приписываются различные веса в
зависимости от их расстояния от середины интервала сглаживания.
Если сглаживание направлено на первичную
обработку числового ряда для исключения случайных колебаний и выявления тренда,
то выравнивание служит целям более удобного представления исходного ряда,
оставляя прежними его значения.
Наиболее общими приемами выравнивания
являются логарифмирование и замена переменных.
В случае если эмпирическая формула
предполагается содержащей три параметра либо известно, что функция
трехпараметрическая, иногда удается путем некоторых преобразований исключить
один из параметров, а оставшиеся два привести к одной из формул выравнивания.
Можно рассматривать выравнивание не только
как метод представления исходных данных, но и как метод непосредственного
приближенного определения параметров функции, аппроксимирующей исходный
числовой ряд. Зачастую именно так и используется этот метод в некоторых
экстраполяционных прогнозах.
В том случае, если вид функции нам
неизвестен, выравнивание следует рассматривать как предварительную процедуру, в
процессе которой путем применения различных формул и приемов выясняется
наиболее подходящий вид функции, описывающей эмпирический ряд.
Одной из разновидностей метода
выравнивания является исследование эмпирического ряда с целью выяснения
некоторых свойств функции, описывающей его. При этом не обязательно
преобразования приводят к линейным формам. В простейшем случае предлагается
использовать следующие три типа дифференциальных функций роста:
. Первая производная, или абсолютная
дифференциальная функция роста;
. Относительный дифференциальный
коэффициент, или логарифмическая производная;
. Эластичность функции.
1.3 Метод
скользящего среднего
Метод скользящих средних является одним из широко
известных методов сглаживания временных рядов. Применяя этот метод, можно
элиминировать случайные колебания и получить значения, соответствующие влиянию
главных факторов.
Сглаживание с помощью скользящих средних основано на том, что
в средних величинах взаимно погашаются случайные отклонения. Это происходит
вследствие замены первоначальных уровней временного ряда средней арифметической
величиной внутри выбранного интервала времени. Полученное значение относится к
середине выбранного интервала времени (периода).
Затем период сдвигается на одно наблюдение, и расчет средней
повторяется. При этом периоды определения средней берутся все время
одинаковыми. Таким образом, в каждом рассматриваемом случае средняя
центрирована, т.е. отнесена к серединной точке интервала сглаживания и
представляет собой уровень для этой точки.
Выбор интервала сглаживания зависит от целей исследования.
При этом следует руководствоваться тем, в какой период времени происходит
действие, а следовательно, и устранение влияния случайных факторов.
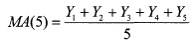
Предположим, что мы хотим вычислить пятилетние скользящие
средние значения по данным, измеренным в течение n = 11 лет. Поскольку L =
5, пятилетние скользящие средние образуют последовательность средних значений,
вычисленных по пяти последовательным значениям временного ряда. Первое из
пятилетних скользящих средних значений вычисляется путем суммирования данных о
первых пяти годах с последующим делением на пять:
(1);
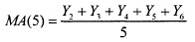
Второе пятилетнее скользящее среднее вычисляется путем
суммирования данных о годах со 2-го по 6-й с последующим делением на пять:
(2);
Этот процесс продолжается, пока не будет вычислено скользящее
среднее для последних пяти лет. Работая с годовыми данными, следует полагать
число L (длину периода, выбранного для вычисления скользящих средних)
нечетным. В этом случае невозможно вычислить скользящие средние для первых (L
- 1) /2 и последних (L - 1) /2 лет. Следовательно, при работе с
пятилетними скользящими средними невозможно выполнить вычисления для первых
двух и последних двух лет. Год, для которого вычисляется скользящее среднее,
должен находиться в середине периода, имеющего длину L. Если n=
11, a L = 5, первое скользящее среднее должно соответствовать третьему
году, второе - четвертому, а последнее - девятому. На рис.1 показаны графики 3
- и 7-летних скользящих средних, вычисленные для доходов компании
CabotCorporation за период с 1982 по 2001 годы.
Необходимо обратить внимание на то, что при вычислении
трехлетних скользящих средних проигнорированы наблюдаемые значения,
соответствующие первому и последнему годам. Аналогично при вычислении
семилетних скользящих средних нет результатов для первых и последних трех лет.
Кроме того, семилетние скользящие средние намного больше сглаживают временной
ряд, чем трехлетние. Это происходит потому, что семилетним скользящим средним
соответствует более долгий период. К сожалению, чем больше длина периода, тем
меньшее количество скользящих средних можно вычислить и представить на графике.
Следовательно, больше семи лет для вычисления скользящих средних выбирать
нежелательно, поскольку из начала и конца графика выпадет слишком много точек,
что исказит форму временного ряда.
Рис.1. Графики 3 - и 7-летних скользящих средних, вычисленные
для доходов компании CabotCorporation
Для прогноза с помощью экспоненциального сглаживания
используется формула:
, (3)
где t+1 - прогнозный период; t - период, предшествующий прогнозному, Уt+1 - прогнозируемый показатель; mt-1-скользящая средняя за два периода до прогнозного, n - число уровней, входящих в интервал сглаживания, Уt - фактическое значение исследуемого явления за
предшествующий Уt-1 - фактическое значение исследуемого
явления за два периода, предшествующего прогнозному.
1.4 Метод
экспоненциального сглаживания
Для выявления долговременных тенденций, характеризующих
изменения данных, кроме скользящих средних, применяется метод экспоненциального
сглаживания. Этот метод позволяет также делать краткосрочные прогнозы (в рамках
одного периода), когда наличие долговременных тенденций остается под вопросом.
Благодаря этому метод экспоненциального сглаживания обладает значительным
преимуществом над методом скользящих средних.
Метод экспоненциального сглаживания получил свое название от
последовательности экспоненциально взвешенных скользящих средних. Каждое
значение в этой последовательности зависит от всех предыдущих наблюдаемых
значений. Еще одно преимущество метода экспоненциального сглаживания над
методом скользящего среднего заключается в том, что при использовании
последнего некоторые значения отбрасываются. При экспоненциальном сглаживании
веса, присвоенные наблюдаемым значениям, убывают со временем, поэтому после
выполнения вычислений наиболее часто встречающиеся значения получат наибольший
вес, а редкие величины - наименьший. Несмотря на громадное количество
вычислений, Excel позволяет реализовать метод экспоненциального сглаживания.
Уравнение, позволяющее сгладить временной ряд в пределах
произвольного периода времени i, содержит три члена: текущее наблюдаемое
значение Yi, принадлежащее временному ряду, предыдущее
экспоненциально сглаженное значение Ei-1 и присвоенный вес W.
E1 = Y1Ei
= WYi + (1 - W) Ei-1, I = 2, 3, 4, … (4);
Где Ei - значение экспоненциально сглаженного
ряда, вычисленное для i-го периода, Ei-1 - значение
экспоненциально сглаженного ряда, вычисленное для (i - 1) - гo периода, Yi - наблюдаемое значение
временного ряда в i-ом периоде, W - субъективный вес, или
сглаживающий коэффициент (0 <W< 1).
Выбор сглаживающего коэффициента, или веса, присвоенного
членам ряда, является принципиально важным, поскольку он непосредственно влияет
на результат. К сожалению, этот выбор до некоторой степени субъективен. Если
исследователь хочет просто исключить из временного ряда нежелательные
циклические или случайные колебания, следует выбирать небольшие величины W
(близкие к нулю). С другой стороны, если временной ряд используется для
прогнозирования, необходимо выбрать большой вес W (близкий к единице). В
первом случае четко проявляются долговременные тенденции временного ряда. Во
втором случае повышается точность краткосрочного прогнозирования (рис.2).
Экспоненциально сглаженное значение, полученное для i-го временного интервала,
можно использовать в качестве оценки предсказанного значения в (i+1) - м
интервале:
Ŷi+1 = Ei (4)
Рис. 2 Графики экспоненциально сглаженного временного ряда
(W=0,50 и W=0,25) для данных о доходах компании CabotCorporation за период с
1982 по 2001 годы
Для предсказания доходов компании CabotCorporation в 2002
году на основе экспоненциально сглаженного временного ряда, соответствующего
весу W = 0,25, можно использовать сглаженное значение, вычисленное для
2001 года. Из рис.2 видно, что эта величина равна 1651,0 млн. долл. Когда
станут доступными данные о доходах компании в 2002 году, можно применить
уравнение (3) и предсказать уровень доходов в 2003 году, используя сглаженное
значение доходов в 2002 году:
(5);
Пакет анализа Excel способен построить график
экспоненциального сглаживания в один клик. Пройдите по меню Данные →
Анализ данных и выберите опцию "Экспоненциальное сглаживание"
(рис.3). В открывшемся окне "Экспоненциальное сглаживание задайте
параметры".
Рис. 3. Построение графика экспоненциального сглаживания с
помощью Пакета анализа
1.5 Прогноз
по методу экспоненциального сглаживания Хольта
Метод Хольта используется для
прогнозирования временных рядов, когда есть тенденция к росту или падению
значений временного ряда. А также для рядов, когда данные есть не за полный
цикл, и еще не выделить (например, за неполный год для прогноза по месяцам).
Если временной ряд имеет тенденцию к росту
или падению, то вместе с оценкой текущего уровня ряда (как в простом
экспоненциальном сглаживании) стоит выделить тренд. Для управления уровнем и
наклоном в модели Хольта вводится 2 коэффициента сглаживания - коэффициент
сглаживания ряда и тренда.
Рис. 4. Пример линий тренда
прогнозирования по методу Хольта
Как рассчитать прогноз по методу Хольта:
1. Рассчитываем экспоненциально-сглаженный ряд:
, (6);
где
· Lt -
сглаженная величина на текущий период;
· k - коэффициент
сглаживания ряда;
· Yt - текущие
значение ряда (например, объём продаж);
· Lt-1 - сглаженная
величина за предыдущий период;
· Tt-1 -
значение тренда за предыдущий период;
Коэффициент сглаживания ряда k задается
вами в ручную и находится в диапазоне от 0 до 1.
Для первого периода в начале данных
экспоненциально-сглаженный ряд равен первому значению ряда (например, объему
продаж за первый месяц) L1=Y1; Вводим значение L первого
периода и рассчитываем сглаженную величину для всего массива данных:
Рис. 5. Расчет сглаженной величины для
всего массива данных.
. Определяем значение тренда:
(7);
где: Tt - значение
тренда на текущий период; b - коэффициент сглаживания тренда; Lt -
экспоненциально сглаженная величина за текущий период; Lt-1 - экспоненциально
сглаженная величина за предыдущий период; Tt-1 - значение тренда за
предыдущий период.t (значение тренда на текущий период) =b
(коэффициент сглаживания тренда) * (Lt (экспоненциально сглаженная
величина за текущий период) - Lt-1 (экспоненциально сглаженная
величина за предыдущий период)) + (1-b (коэффициент сглаживания тренда)) *Tt-1
(значение тренда за предыдущий период)
Коэффициент сглаживания тренда b задается
вами в ручную и находится в диапазоне от 0 до 1.
Значение тренда для первого периода равно
0 (T1 =0) (рис.5);

Рис. 5. Значение тренда
. Делаем прогноз по методу Хольта:
Прогноз на p периодов вперед равен:
, (8);
где
· Ŷt+p - прогноз по
методу Хольта на p период;
· Lt - экспоненциально
сглаженная величина за последний период;
· p - порядковый номер периода,
на который делаем прогноз;
· Tt - тренд за последний
период.
Ŷt+p (Прогноз по методу Хольта) = Lt
(экспоненциально сглаженная величина за последний период) + p (количество
периодов вперед, на которое делаем прогноз) *Tt (тренд за последний период) (рис.6).
Вводим формулу прогноза в ячейку. Для
этого к экспоненциальному ряду за последний период прибавляем значение тренда
за последний период, умноженное на номер периода для прогноза. Также
зафиксируем ссылку на последнее значение экспоненциально сглаженного ряда и
тренда - для этого выделяем ссылку и нажимаем F4 (рис.7.):
Рис. 6. Прогноз по методу Хольта
Рис. 7. Ввод формулы прогноза в ячейку
Протягиваем формулу на 3 периода вперед,
получаем прогноз (рис.8):
Рис. 8. результат прогноза по методу
Хольта
При появлении новых
данных прогноз по методу Хольта необходимо пересчитывать. Также при подготовке
данных для прогноза всегда стоит очищать данные от факторов, которые в
прогнозном периоде не повторятся (например, прирост продаж по мероприятию по
стимулированию сбыта) или учитывать запланированные факторы, которые дадут
дополнительный прирост продаж (например, ввод продукции в розничную сеть).
2
Экономическое прогнозирование доходов ооо "уфа-аттракцион" с помощью
эстраполяционных методов
.1
Характеристика ООО "Уфа-аттракцион"
Объектом экономического прогнозирования является ООО
"Уфа-аттракцион". Организационно-правовая форма организации - общество
с ограниченной ответственностью. Фирма ООО "УФА-АТТРАКЦИОН" зарегистрирована
26 марта 2007 года. Регистратор - Инспекция Федеральной налоговой службы по
Советскому району г. Уфы. Классификация по ОКОГУ - организации, учрежденные
гражданами. Юридический адрес 450077 г. Уфа, ул. Цюрупы, 98. Уставный капитал
компании по состоянию на 1 июля 2012 года - 11000 руб. Вид собственности:
Частная собственность. ОГРН: 1070278003311, ИНН: 0278133934, ОКПО: 80005497,
ОКАТО: 80401390000. Директор: Низаметдинходжаев Игорь Низаметдинович.
Учредитель организации - Нихаметдинходжаев Тимур Русланович.
Виды деятельности (по кодам ОКВЭД):
· Прочая зрелищно-развлекательная
деятельность
Дополнительные виды деятельности:
· Прочая зрелищно-развлекательная
деятельность, не включенная в другие группировки.
ООО "Уфа-аттракцион" расположен на территории ООО
Парк культуры и отдыха "Волшебный мир", географическом центре города,
по адресу РБ., г. Уфа, ул. Проспект Октября 79/1. Парк "Волшебный
мир" представляет собой комплекс разнообразных аттракционов и развлечений.
ООО "Уфа-аттракцион" включает в себя билетную кассу и девять
различных аттракционов, а именно:
) Пневматический и страйкбольный тир;
2) Пейнтбольный тир;
) "Пушки";
) Зеркальный лабиринт;
) Комната смеха;
) Автотрек;
) "Каноэ";
) "Иллюзион";
) Аэрохоккей.
За каждое место, которое занимает аттракцион, арендатор
платит арендную плату парку. Арендная плата взимается следующим образом:
апрель, май, сентябрь, октябрь - ежедневно по факту открытия аттракциона; июнь,
июль, август - ежемесячно, единоразовым платежом.
Так как ООО "Уфа-аттракцион" расположен на
территории парка "Волшебный мир", он полностью подчиняется уставу и
правилам парка. Устав ООО "Уфа-аттракцион" практически дублирует
устав ООО "Волшебный мир".
Возле парка предусмотрена небольшая парковка. Режим работы
парка - круглогодичный, но делится на два сезона. Первый сезон - летний. Летний
период это основное время работы парка. Летом функционируют все аттракционы,
включая водные, веревочные и пр. Режим работы в летний сезон таков: апрель, май
- с 12: 00 до 21: 00; июнь, июль, август - с 11: 00 до 23: 00; сентябрь,
октябрь - с 12: 00 до 21: 00. Зимний сезон предусматривает работу с 13: 00 до
19: 00, при этом частным арендаторам, таким как ООО "Уфа-аттракцион"
в этот период работать запрещается. Арендная плата для определенного
аттракциона рассчитывается с учетом специфики аттракционов, и зависит от таких
факторов как площадь, занимаемая аттракционом; проходимость аллеи, на которой
расположен аттракцион; уровень безопасности аттракциона для посетителей.
На протяжении семи лет ООО "Уфа-аттракцион"
существует достаточно уверенно. Изначально было всего три аттракциона -
страйкбольный и пневматический тир, автотрек. Через год, оба тира объединили в
один и неподалеку открылся пейнтбольный тир. Дальше ежегодно ООО
"Уфа-аттракцион" расширялось, открывая все новые аттракционы. В 2009
открылась комната смеха, в 2010 - зеркальный лабиринт. В 2011 было принято
решение построить первый аттракцион на воде - "Каноэ". В 2012
построился и открылся "Иллюзион", и, наконец, в 2013 году рядом с
тиром открыт аэрохоккей.
Численность работающих 27 человек: директор, зам. директора,
2 администратора, менеджер по персоналу, 2 старших оператора, 2 кассира, 18
операторов.
Бухгалтерский учет представляет собой упорядоченную систему
сбора информации в денежном выражении об имуществе, обязательствах организации
и их движении путем сплошного, непрерывного и документального учета всех
хозяйственных операций. Директор ООО "Уфа-аттракцион" решил не
держать штатного бухгалтера, а прибегнуть к услугам внештатного для отчетности
перед государственными структурами. Движение в целом документов небольшое.
Исключением является прием и оформление поступающих расходных материалов, и
ежедневная сдача выручки операторами в кассу.
Для того, чтобы выполнить прогноз дохода организации ООО
"Уфа-аттракцион" на 2014 год экстраполяционными методами: методом
экпоненциального сглаживания, методом скользящих средних и с помощью метода
Хольта.
2.2
Экономическое прогнозирование доходов ООО "Уфа-аттракцион" на 2014
год с помощью методов скользящих средних
Основной показатель успешной деятельности организации это
доход. Доход - денежные средства или материальные ценности, полученные
государством, физическим или юридическим лицом в результате какой-либо
деятельности за определённый период времени. Для прогнозирования деятельности
ООО "Уфа-аттракцион" будут рассматриваться именно доходы.
Доход ООО "Уфа-аттракцион" за последние 7 лет
представлен на рис.9.
Рис. 9. Доход ООО "Уфа-аттракцион" в период за
2007-2013 гг.
Рассчитаем трехлетнее и пятилетнее скользящее среднее за
период с 2007 по 2013 гг. по формулам:
Для прогноза с помощью экспоненциального сглаживания используется
формула:
,
Результаты вычислений представлены на рис.10
Рис. 10. Скользящие средние для доходов ООО
"Уфа-аттракцион" за 2007-2013. Прогноз доходов на 2014-2015 гг.
Прогнозный расчет доходов с помощью экспоненциального сглаживания
с помощью трехлетнего и пятилетнего показателя скользящего среднего показал
отрицательную динамику. По расчетам доходы ООО "Уфа-аттракцион" при
скользящем среднем за три года уже в 2014 году снизятся на 86,2 тыс. руб и
составит 3739,7 тыс. руб. К 2015 - снизится еще на 51,9 тыс. руб. При
скользящем среднем за пять лет доходы за 2014 год по прогнозам снизится аж на
498,7 тыс. рублей. Такие показатели не удивительны. Во-первых к 2014 году не
было открыто ни одного нового аттракциона, а к старым посетители быстро
привыкают и теряют интерес. Во-вторых, с каждым годом парк устаревает и теряет
свою актуальность, в связи с этим количество посетителей с каждым годом стремительно
снижается. ООО "Уфа-аттракцион" удавалась поддерживать положительную
динамику доходов организации в связи с открытием новых аттракционов.
2.3 Прогноз
доходов ООО "Уфа-аттракцион" по методу экспоненциального сглаживания
Доходы ООО "Уфа-аттракцион" на 2014 и 2015 год
рассчитаны с помощью методы экспоненциального сглаживания, по формуле:
Ŷi+1 = Y1Ei
= WYi + (1 - W) Ei-1, I = 2, 3, 4, …;
Результаты расчета представлены на рис. 11.
Рис. 11. Экспоненциально сглаженные доходы ООО
"Уфа-аттракцион" 2007-2013 гг. и прогноз на 2014-2015 гг.
При сглаживающем коэффициенте W=0,5 к 2014 году доходы
возрастут на 202,4 тыс. руб, а к 2015 останутся неизменными. При W=0,5 по прогнозным
расчетам доходы увеличатся на 240,8 тыс. руб.
2.4 Прогноз
доходов ООО "Уфа-аттракцион" по методу экспоненциального сглаживания
Хольта
Рассчитаем прогноз доходов ООО "Уфа-аттракцион" на
2014-2015 гг. по методу Хольта.
1. Рассчитываем экспоненциально-сглаженный ряд по формуле
(результат расчета на рис 12):
, (6);
Рис. 12. Расчет сглаженной величины для всего массива данных.
2. Определяем значение тренда, результаты расчет на рис. 13.
(7);

Рис. 13. Значение тренда
. Делаем прогноз по методу Хольта
Прогноз на p периодов вперед равен:
, (8); (рис. 14)
Рис. 14. Прогноз по методу Хольта
Вводим формулу прогноза в ячейку. Для этого к экспоненциальному
ряду за последний период прибавляем значение тренда за последний период,
умноженное на номер периода для прогноза. Также зафиксируем ссылку на последнее
значение экспоненциально сглаженного ряда и тренда - для этого выделяем ссылку
и нажимаем F4
Протягиваем формулу на 3 периода вперед, получаем прогноз
(рис.15).
Методом Хольта рассчитан прогнозируемый доход ООО "Уфа-аттракцион"
в 2014 году составит 3714,2 тыс. руб., сократившись при этом на 111,7 тыс. руб.
К 2015 году ситуация изменится, и доходы увеличатся по сравнению с 2014 годом
на 225,1 тыс. руб. В 2016 году по расчетам в ООО "Уфа-аттракцион"
будет установлен рекорд годового дохода, который составит аж 4164,4 тыс. руб.
Рис. 15. результат прогноза по методу Хольта
Заключение
Оценив результат выполненной работы, можно уверенно заключить
что все цели данной курсовой достигнуты: рассмотрены методы, модели и принципы
экстраполяционного прогнозирования, спрогнозированы доходы ООО
"Уфа-аттракцион" на 2014-2016 гг.
В первой главе курсовой работы рассмотрены основные задачи
цели и задачи, принципы и методы экономического прогнозирования. Дано понятие
экстраполяционного прогнозирования, его актуальность и необходимость.
Рассмотрены такие методы экстраполяционного прогнозирования как: метод
скользящего среднего, метод экспоненциального сглаживания метод Хольта.
Приведены формулы и примеры расчетов по каждому методу, а так же инструкции по
расчетам в MS Excel.
Во второй главе курсовой работы дана характеристика объекта
прогнозирования - ООО "Уфа-аттракцион". Проведен расчет и анализ
прогнозов доходов организации ООО "Уфа-аттракцион" по методам,
описанным в теоретической части. Расчеты были выполнены с помощью MS Excel. При расчете доходов ООО
"Уфа-аттракцион" с помощью метода скользящих средних была отмечена
отрицательная динамика показателя т.е. доходы организации начали уменьшаться.
При прогнозировании с помощью метода экспоненциального сглаживания в результате
наблюдается положительный скачок доходов организации. Рассчитав прогноз доходов
ООО "Уфа-аттракцион" при помощи метода Хольта так же отмечена
положительная динамика т.е. рост доходов.
Анализируя полученные данные можно сделать вывод, что виды и
методы прогнозирования разнообразны, и в зависимости от метода, результат может
быть различен. Это происходит потому, что прогнозирование - это только гипотеза
о дальнейшем развитии организации по определенным параметрам. Результат зависит
от критериев расчета, которые будут более удобны или приемлемы. При
прогнозировании все же не следует ограничиваться одним методом или способом,
необходимо провести комплексный прогноз различными методами, после объединить
их в одну тенденцию, и выяснить среднее значение показателей, или отметить из
критические точки.
Список
использованнойлитературы
1. Антохонова
И.В. Методы прогнозирования социально-экономических процессов: Учебное пособие.
- Улан-Удэ: Изд-во ВСГТУ, 2004. - 212 с.
2. Бутакова
М.М. Экономическое прогнозирование: методы и приемы практических расчетов. -
2-е изд. испр. - Изд.: КНОРУС 2010. - 168 с.
. Владимирова
Л.П. Прогнозирование и планирование в условиях рынка. - М.: Дашков и К, 2010. -
308 с.
. Гольдштейн
Г.Я. Основы менеджмента: Учебное пособие, изд 2-е, дополненное и
переработанное. Таганрог: Изд-во ТРТУ, 2003. - 250 стр.
. Концепция
социально-экономического развития Российской Федерации до 2020 г. [Электронный
ресурс] - Режим доступа: http://www.economy.gov.ru.
. Курс
лекций по социально-экономическому прогнозированию [Электронный ресурс] - Режим
доступа: http://inpos.com.ua/45
. Лапыгин
Ю.Н. Экономическое прогнозирование. - Изд.: Эксмо, 2009. - 256 с.
. Маркетинг
журнал. [Электронный ресурс] - Режим доступа: 4р. http://www.4p.ru/
. Скуфьина
Т.М. Социально-экономическое прогнозирование: проблемы науки и преподавания.
Вопросы экономики - 2005-№3.179 с.
. Орлов
А.И. Эконометрика. Учебник. М.: Издательство "Экзамен", 2002.
[Электронный ресурс] - Режим доступа: http://www.aup.ru/books/m153/14_1. htm
. Панарин
А.С. Глобальное политическоепрогнозирование Фрагменты выступления на
метологическом семинаре в МосГУ. - Журнал "Кафедра", 2004-№1 - 171 с.
. Электронные
книги по менеджменту, маркетингу и финансам. [Электронный ресурс] - Режим
доступа: http://www.aup.ru/books/
. Экономический
сервер Сибири. [Электронный ресурс] - Режим доступа: http://econom. nsc.ru/
15. Forecast4AC
PRO - программа для прогнозирования в MS Excel. [Электронный ресурс] - Режим доступа:
http://www.4analytics.ru/