Статическая обработка результатов пластометрических исследований
Министерство
образования и науки Российской Федерации
Государственное
образовательное учреждение высшего профессионального образования
«Южно-Уральский
государственный университет»
Факультет
«Физико-металлургический»
Кафедра
«Обработка металлов давлением»
Контрольная
работа
на тему
«Статическая обработка результатов пластометрических исследований»
по дисциплине
«Основы научных исследований, организация и планирование эксперимента»
Выполнил: Мирсаитов А.И.
Проверил: Крайнов В.И.
Челябинск
2012
Оглавление
Приведение
логарифмированием уравнения к линейному виду
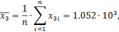
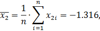
Нахождение
средних значений арифметических переменных
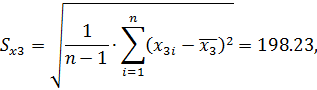
Определение
средних квадратичных отклонений
Корреляционный
анализ экспериментальных данных с помощью критерия Стьюдента
Нахождение коэффициентов
регрессии по методу наименьших квадратов
Регрессионный
анализ исходного уравнения с использованием критерия Фишера
Преобразование
уравнение регрессии в уравнении натуральным переменными
Библиографический
список
(1)
где
,
,
,
- коэффициенты, которые характеризуют индивидуальные
свойства материала;
- скорость деформации,
;
степень деформации логарифмическая;
температура,
;
сопротивление деформации, МПа.
Для приведения уравнения (1) к линейному виду прологарифмируем его:
обозначим
Тогда уравнение (1) примет вид:
(2)
Таким образом, получим:
Нахождение средних значений арифметических переменных
Дальнейшие расчеты ведутся с помощью средств программного обеспечения
«MathCad»
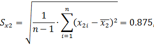
Определение средних квадратичных отклонений
Корреляционный анализ экспериментальных данных с помощью
критерия Стьюдента
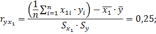
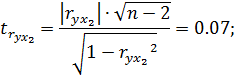
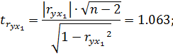
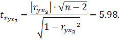
Для оценки корреляции с помощью критерия Стьюдента необходимо найти
коэффициенты корреляции:

Корреляция будет значима, если рассчитанный критерий
будет больше табличного значения, при
и
Табличное значение критерия при
составляет:
Таким образом, по критерию Стьюдента, коэффициенты корреляции являются
значимыми, так как реальные меньше табличных значений.
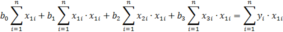
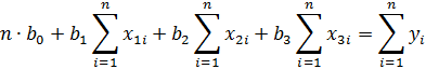
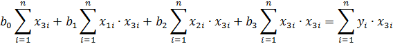
Нахождение коэффициентов регрессии по методу наименьших
квадратов
Значение коэффициентов регрессии
можно найти по методу наименьших
квадратов, решив систему так называемых нормальных уравнений:
(3)
Регрессионный анализ исходного уравнения с использованием
критерия Фишера
Для проверки уровня надежности описания зависимости
от
уравнением регрессии (3) критерием
Фишера, необходимо вычислить остаточную дисперсию, характеризующую разброс
измеренных экспериментальных точек
, относительно средней арифметической
[3]:
где
Далее необходимо найти дисперсию, характеризующую разброс измеренных
экспериментальных точек y, относительно
:
Расчетный критерий Фишера равен:

Так как вычисленное значение критерия Фишера меньше табличного, то
уравнение регрессии с надежностью 95% описывает зависимость y от
.
Преобразование уравнение регрессии в уравнении натуральным
переменными
Это преобразование производится с помощью операции с учетом замены
(4)
Для проверки правильности проведенных расчетов построим графики уравнения
регрессии, зависимости сопротивления деформации от степени деформации и
температуры по экспериментальным данным, и полученной зависимостью (4) (Рисунок
1).
логарифмирование
регрессия квадратичный корреляционный
Рисунок 1 - Диаграмма сравнения опытных и расчетных данных
Библиографический список
1. Пластометрические
исследования на автоматизированном цифровом пластометре: Учебное пособие для
самостоятельной работы/ Составители: В.И. Крайнов, С.В. Кропачев. - Челябинск:
Изд-во ЮУрГУ, 2004. - 25с.
. Хензель
А., Шпиттель Т. Расчет энергосиловых параметров в процессах обработки металлов
давлением: Справ.изд./ Пер. с нем. - М.: Металлургия, 1982. - 360 с.