Экономико-статистический анализ трудовых ресурсов, занятости и безработицы в Кировской области
Министерство
сельского хозяйства Российской Федерации
ФГБОУ
ВПО «Вятская государственная сельскохозяйственная академия»
Экономический
факультет
Кафедра
статистики и математического моделирования
экономических
процессов
КУРСОВАЯ
РАБОТА
ПО
СТАТИСТИКЕ
«Экономико-статистический
анализ трудовых ресурсов,
занятости
и безработицы в Кировской области»
Выполнила
студентка: Локтина К.О.
Специальность
(Профиль): 080100.62 - Экономика (Маркетинг)
Группа: Курс:
IV
КИРОВ
2014
Оглавление
Введение
Глава
1. Понятие занятости и безработицы
1.1Статистика
трудовых ресурсов
1.2
Статистика занятости и безработицы
1.3
Государственное регулирование безработицы
Глава
2. Характеристика рынка труда в Кировской области
Глава
3. Экономико-статистический анализ трудовых ресурсов, занятости и безработицы в
Кировской области
3.1
Показатели динамики рынка труда за 2000-2012г.г.
3.2
Выявление основной тенденции изменения показателей
3.3
Корреляционно-регрессионный анализ
Заключение
Список
использованной литературы
Приложение
А
Приложение
Б
Приложение
В
Приложение
Г
статистический безработица рынок труд
Введение
Развитие экономики характеризуется тем,
насколько эффективно используются имеющиеся ресурсы, и, прежде всего, рабочая
сила. Поддержание занятости - важнейшая цель экономической политики. Рыночной
экономике присущ определенный уровень безработицы, хотя количество безработных
колеблется из года в год. Дж. М. Кейнс считал, что при капитализме не
существует никакого механизма, характеризующего полную занятость, экономика
может быть сбалансирована при значительном уровне безработицы. Рынок труда
(рабочей силы) - важная и многоплановая сфера экономической и социально
политической жизни общества. На рынке труда получает оценку стоимость рабочей
силы, определяются условия ее найма, в том числе и величина заработной платы,
условий труда, возможность получения образования, профессионального роста,
гарантия занятости. Рынок труда отражает некоторые тенденции в динамике
занятости, ее основных структур, то есть в общественном разделении труда,
мобильность рабочей силы, масштабы и динамику безработицы [5].
Современный этап социально-экономического
развития страны, характеризующийся одновременным проведением ряда
фундаментальных реформ - административной, бюджетной, социальной, - выдвигает
требование существенно повысить эффективность деятельности федеральных органов
управления, их территориальных органов и подведомственных организаций.
Особое место в данном процессе занимает
совершенствование деятельности органов Службы занятости населения, которые, как
известно, способствуют обеспечению необходимого баланса между спросом и
предложением на общероссийском и региональных рынках труда и поэтому в
определенной мере предопределяют эффективность реформирования других сфер.
Повышение эффективности работы органов Службы
занятости должно быть направлено на: создание предпосылок для устойчивых темпов
экономического роста, сокращение различий в социально-экономическом развитии
регионов Российской Федерации, поддержание экономически целесообразного и
социально приемлемого уровня безработицы, преодоление бедности и повышение
уровня жизни населения, повышение обоснованности расходования бюджетных средств
на содействие занятости и др. [7]
Цель курсовой работы - изучить статистику уровня
занятости и безработицы за последние годы. Объект изучения - Кировская область.
Предметом изучения является статистика занятости и безработицы в Кировской
области.
Таким образом, первая глава курсовой работы
посвящена понятию сущности, причинам занятости и безработицы, государственному
регулированию, финансовым мероприятиям по содействию занятости населения, а
вторая анализу, статистике занятости и безработице в Кировской области, а также
мероприятиям, направленным на снижение напряженности на рынке труда [6].
В связи с поставленной целью, необходимо решить
следующие задачи:
дать определение «занятости и безработице»;
рассмотреть виды занятости и безработицы;
рассмотреть причины возникновения безработицы;
рассмотреть методы борьбы с безработицей;
провести анализ уровня безработицы в Кировской
области.
В ходе написания курсовой работы были
использованы методы исследования: метод анализа статистики уровня занятости и
безработицы, методы экономического анализа, метод сравнения.
Информационной основой при написании курсовой
работы послужили: научная, учебная, справочная литература, статьи из
периодических изданий, статистические данные, нормативно-правовые акты,
регламентирующие деятельность Федеральной службы по труду и занятости.
Глава 1. Понятие занятости и безработицы
В любом современном обществе всегда существует
часть населения, которая желает работать (причем неважно, является ли эта часть
населения занятой или ее можно отнести к безработным) и те, кто нанимает этих
желающих работать на работу для производства каких-нибудь товаров или услуг.
И те и другие, а также государство, как один из
самых заинтересованных посредников, устанавливающее основные правила игры,
вступают в непосредственные и опосредованные контакты друг с другом по поводу
купли-продажи рабочей силы, обучения работников и использования их в процессе
производства. Возникающая при этом между ними совокупность отношений носит
название рынок труда. Однако кроме понятия рынок труда существует еще и
понятие. Дадим еще несколько понятий, необходимых нам для понимания сути
рассматриваемого вопроса курсовой.
Экономически активное население страны - часть
населения обоих полов, обеспечивающая предложение рабочей силы для производства
товаров и услуг (включает в себя занятых и безработных).
Занятыми следует называть тех лиц обоего пола,
которые в рассматриваемый период выполняли работу по найму за вознаграждение на
условиях полного или неполного дня, а также выполняли работу не по найму,
самостоятельно или с несколькими компаньонами, выполняли работу без оплаты на
семейном предприятии или временно отсутствовали на работе (из-за болезни, ухода
за больными, отпуска, забастовки и т.д.)
Безработными считаются лица от 16 лет и старше,
которые в рассматриваемый период не имели работы (доходного занятия), занимались
поиском работы в государственных или коммерческих службах занятости,
предпринимали шаги к открытию собственного дела, были готовы приступить к
работе. [10]
.1 Статистика трудовых ресурсов
Трудовые ресурсы - это лица обоего пола, которые
потенциально могли бы участвовать в производстве товаров и услуг. Они имеют
важное значение в условиях рыночной экономики, поскольку интегрируют такие
категории, как экономически активное население, включающее занятых и
безработных лиц, и экономически неактивное население в трудоспособном возрасте.
Численность трудовых ресурсов определяется исходя из численности
трудоспособного населения в трудоспособном возрасте и работающих лиц за
пределами трудоспособного возраста. Человеку труда принадлежит решающая роль в
развитии хозяйственной деятельности, совершенствовании её организации и
управления с целью получения наибольшей отдачи от своей творческой работы.
Трудовые ресурсы каждой произведённой единицы представляет собой часть
распределённых по отраслям народного хозяйства трудовых ресурсов.
Статистической характеристикой наличия трудовых ресурсов предприятия,
учреждения, объединения, отрасли промышленности, сельского хозяйства,
строительства или транспорта в отдельности или всего народнохозяйственного
комплекса, является списочная численность занятых в них работников.
Статистика каждой отрасли народного хозяйства
изучает следующие вопросы, связанные с применением живого труда:
статистика трудовых ресурсов и их использование.
статистика производительности труда.
статистика заработной платы.
Статистика трудовых ресурсов делится в свою
очередь на две части:
.Статистику рабочей силы - основными задачами
является изучение численности и состава работников, изучение изменения
численности работников; оценка обеспеченности предприятия трудовыми ресурсами;
изучение организации труда и использования работников по соответствующей
квалификации; изучение трудовой дисциплины.
.Статистику рабочего времени - задачами является
определение общей величины отработанного времени; изучение использования
рабочего времени, и выявление потерь рабочего времени.
Основное внимание экономическая статистика
уделяет той части трудовых ресурсов, которая принимает участие в общественном
труде. Не менее важной задачей остаётся определение занятых работников в отрасли
народного хозяйства [9].
Выделяются две группы трудовых ресурсов: занятые
физическим трудом и занятые умственным трудом.
Показатели движения трудовых ресурсов раскрывают
процессы роста или уменьшения, перемещения работающих на предприятии, перемещения
работающих на предприятиях и организациях, а также в целом по отрасли, регионам
или страны в целом.
Для того чтобы рассчитать численность трудовых
ресурсов, берется общая численность трудоспособного населения по возрасту, к
которой прибавляется число работающих пенсионеров и работающих подростков
(моложе 16 лет) и исключается количество неработающих инвалидов I и II групп
(рабочего возраста), а также численность пенсионеров трудоспособного возраста,
получающих пенсию на льготных условиях.
В статистике естественное движение трудовых
ресурсов определяется как изменение их численности, не связанное с процессом
миграции населения (вступление в трудоспособный возраст подростков; привлечение
к занятости пенсионеров, а также лиц моложе 16 лет; естественное выбытие за
счет смертности лиц трудоспособного возраста, перехода на пенсию или
инвалидности лиц трудоспособного возраста и т.д.).
Изменение численности трудовых ресурсов за счет
миграции - это так называемое механическое движение трудовых ресурсов.
Для того чтобы рассчитать интенсивность
изменения численности трудовых ресурсов и проводить статистический анализ,
используются следующие относительные показатели: коэффициент естественного
пополнения (Кеп ), коэффициент естественного выбытия (Кев ), коэффициент естественного
прироста (Кпр ) и коэффициент миграционного прироста (Кмп ) трудовых ресурсов.
Коэффициент естественного пополнения трудовых
ресурсов рассчитывается как отношение числа вступивших в трудоспособный возраст
и привлеченных к общественному труду пенсионеров и подростков к среднему
количеству трудовых ресурсов (%) за определенный период:
(1)
Коэффициент естественного выбытия рассчитывается
как отношение количества выбывших из состава трудовых ресурсов к средней величине
трудовых ресурсов (%):
(2)
Коэффициент естественного прироста
рассчитывается как разность между коэффициентами пополнения и выбытия трудовых
ресурсов:
(3)
Коэффициент миграционного прироста трудовых
ресурсов рассчитывается как отношение миграционного прироста к средней величине
трудовых ресурсов (%):
(4)
Статистический анализ количественных
характеристик формирования трудовых ресурсов осуществляется с помощью следующих
показателей.
Абсолютный прирост трудовых ресурсов (АПтр )
рассчитывается как разность численностей трудовых ресурсов на конец и начало
года:
(5)
где ТРп - численность трудовых ресурсов на конец
года;
ТР0 - численность трудовых ресурсов на начало
года
Темп роста (Тр ) рассчитывается как отношение
абсолютных величин численности трудовых ресурсов на конец и начало года.
Определяем вначале коэффициент роста:
(6)
затем определяем темп роста, который равен
коэффициенту роста, умноженному на 100%:
(7)
Темп прироста (Тпр ) равен темпу роста минус
100%:
(8)
При составлении баланса трудовых ресурсов
большое значение придается статистическому анализу распределения трудовых
ресурсов, прежде всего занятого населения. Состав занятых исследуется по таким
важнейшим характеристикам, как пол, возраст, уровень образования. Занятое
население ранжируется на группы по половым и возрастным признакам как в целом
по народному хозяйству, так и по регионам и отдельным отраслям. Важнейшим
показателем является показатель уровня образования, который определяется числом
лиц из расчета на 1000 человек, имеющих высшее, незаконченное высшее и среднее
специальное образование [8].
На основе данных о численности экономически
активного населения и занятого населения в статистике рассчитывают коэффициент
занятости населения Кзан, который равен отношению численности занятых Тзан к
численности экономически активного населения Тэа :
(9)
При расчете коэффициента по отдельным возрастным
группам в знаменателе формулы коэффициента занятости берется численность
населения данной группы вместо численности экономически активного населения
[9].
.2 Статистика занятости и безработицы
В соответствии с концепцией рабочей силы,
отвечающей международным стандартам, занятость и безработица рассматриваются
как две взаимодополняющие характеристики. Равновесию экономической системы
соответствует определенный уровень занятости. При этом обычно спрос на труд
превышает существующий объем занятости, что обусловливает наличие безработицы.
Вместе с тем это превышение не беспредельно для обеспечения экономической и
социальной стабильности общества. Поэтому в странах с рыночной экономикой
занятость и безработица изучаются систематически. Статистические данные
необходимы при регулировании рынка труда, обеспечении социальной защиты
населения, организации своевременной профессиональной подготовки и
переподготовки кадров.
Задачи занятости и безработицы:
) сбор данных о численности занятых и
безработных как составных частях рабочей силы;
) измерение уровня занятости и безработицы с
целью изучения состояния, тенденций на рынке труда;
) изучение трудоустройства населения для оценки
ситуации на рынке труда и ее прогнозирования;
) изучение состава занятых и безработных с тем,
чтобы разработать программу занятости;
) измерение взаимосвязи между занятостью,
доходом, содержанием и другими мотивациями труда с целью разработки программы
занятости.
Выполнение этих задач создает условия для
измерения предложения рабочей силы и ее фактического использования. Их решение
основывается на сочетании ряда источников информации.
В соответствии с рекомендациями МОТ, как было
отмечено ранее, статистика рассматривает численность занятых и безработных как
две составные части экономически активного населения, т. е. рабочей силы.
Под экономически активным населением (рабочей
силой) подразумевается часть населения, обеспечивающая предложение рабочей силы
для производства товаров и услуг. Численность экономически активного населения
измеряется по отношению к определенному периоду и включает занятых и
безработных. Численность экономически активного населения оценивают по данным
выборочных обследований населения по проблемам занятости. Чтобы иметь
представление об уровне экономической активности населения страны (региона),
определяется доля экономически активного населения в общей численности
населения. В Кировской области в конце 2012 г. уровень экономической активности
населения был равен 688 тыс. чел. Это значит, что в общей численности населения
страны 688 тыс. чел. составляют жители, обеспечивающие предложение рабочей
силы. В их числе 639 тыс.человек были заняты всеми видами экономической
деятельности и 49 тыс. человек не имели занятия, но активно его искали и в
соответствии с методологией МОТ классифицировались как безработные. Правильное
измерение экономически активного населения зависит от того, как точно
определены его две составные части: занятые и безработные.
К занятым относятся лица обоего пола в возрасте
16 лет и старше, а также лица младших возрастов, которые в рассматриваемый
период:
) выполняли работу по найму за вознаграждение
(на условиях полного либо неполного рабочего времени), а также иную приносящую
доход работу (самостоятельно или у отдельных граждан);
) временно отсутствовали на работе из-за
болезни, травмы, по случаю отпуска и другим причинам;
) выполняли работу без оплаты на семейном
предприятии.
К безработным относятся лица 16 лет и старше,
которые в рассматриваемый период:
) не имели работы (доходного занятия);
) занимались поиском работы (обращались в службу
занятости, к администрации предприятия, использовали личные связи, помещали
объявления в печати и др.) или предпринимали шаги к организации собственного
дела;
) были готовы приступить к работе.
При отнесении к безработным должны
присутствовать все три критерия, перечисленных выше. К безработным относятся
также лица, обучающиеся по направлению служб занятости или выполняющие
оплачиваемые общественные работы, получаемые через службы занятости. По
методологии МОТ к безработным могут быть отнесены и учащиеся, студенты,
пенсионеры и инвалиды, если они занимались поиском работы и были готовы к ней
приступить. В составе безработных выделяются лица, не занятые трудовой
деятельностью, зарегистрированные в службе занятости в качестве ищущих работу,
а также признанных безработными [6].
Ситуация на рынке труда оценивается не только
через абсолютную численность занятых и безработных, но и через уровень
безработицы и уровень занятости, которые определяются как удельный вес
соответствующей категории рабочей силы в численности экономически активного
населения на начало (конец) периода.
Занятость - одна из важнейших
социально-экономических проблем рыночной экономики. Ее статистическое отражение
неоднократно обсуждалось на международных конференциях статистиков труда (1949,
1957, 1982, 1993 гг.), проводимых Международным бюро труда (г. Женева) -
основным рабочим органом Международной организации труда (МОТ).
Уровень занятости характеризует степень
использования трудоспособного населения в сфере общественно полезного труда.
Величина данного показателя отражает сложившуюся экономическую ситуацию в
стране. Она зависит от развития производительных сил, научно-технического
прогресса в обществе, уровня благосостояния населения. Различают полную,
частичную и скрытую занятость.
Полная занятость предполагает создание таких
условий жизни, при которых каждому трудоспособному человеку предоставляется
возможность при его желании быть занятым или незанятым. Полная занятость не
означает, что все трудоспособное население в трудоспособном возрасте должно
быть обязательно занятым. В силу ряда обстоятельств отдельные трудоспособные
лица могут и не участвовать в процессе труда (женщины, ухаживающие за детьми;
люди, не работающие потому, что желают сменить профессию и др.). Полная
занятость достигается, когда спрос на рабочую силу совпадает с ее предложением,
что является довольно редким событием в условиях рыночной экономики.
Частичная занятость предполагает заранее
обусловленную работу в течение неполного рабочего дня, неполной рабочей недели.
Она присуща странам с высоким уровнем экономического развития, где состояние
науки создает экономические условия для частичной занятости.
Особого внимания заслуживает скрытая занятость
(потенциальная безработица), при которой работники трудятся не по своей воле в
режиме неполной занятости, пользуются отпусками по инициативе администрации без
сохранения или с частичным сохранением заработной платы. Такая неполная видимая
занятость преуменьшает реальное число безработных.
Изменения в отраслевом составе занятых за рассматриваемый
период достаточно заметны. Интенсивность структурных сдвигов может быть
измерена, например, с помощью квадратического коэффициента абсолютных
структурных сдвигов:
, (10)
где
и
-
удельные веса численности занятых в отдельных отраслях народного хозяйства за
отчетный и базисный периоды;
число групп, принятых в отраслевой
классификации.
Общее количество безработных и официально
зарегистрированных учитывается при расчете уровня безработицы, когда
рассчитываются два основных коэффициента: общий коэффициент безработицы Коб и
коэффициент официально зарегистрированной безработицы Кофб .
Общий коэффициент безработицы (общий уровень
безработицы) рассчитывается как отношение общего числа безработных Боб к
численности экономически активного населения Тэа :
(11)
Коэффициент официально зарегистрированной
безработицы (уровень официально зарегистрированной безработицы) рассчитывается
как отношение официально зарегистрированных безработных к численности
экономически активного населения: [9]
(12)
Известно, что безработица - это не только
сложное социально-экономическое явление, но и достаточно неоднородное. В
зависимости от вызывающих безработицу причин можно выделить такие ее виды:
фрикционная (добровольная безработица, вызванная
естественной миграцией рабочей силы);
сезонная (обусловлена сезонными колебаниями
спроса на рабочую силу);
структурная (вызывается несоответствием
структуры предложения рабочей силы изменившейся структуре рабочих мест,
характерной для эффективной экономики);
технологическая (сопровождается сокращением
рабочих мест, где используется неквалифицированная рабочая сила);
циклическая безработица (вызывается спадом
производства).
Статистическая информация, классифицируемая по
видам безработицы, дает возможность проанализировать общее состояние занятости
на рынке труда, а также обеспечивает статистической информацией соответствующие
государственные службы о причинах невостребованности рабочей силы, о масштабах
и тенденциях безработицы, вызванной структурными и циклическими факторами, что,
в свою очередь важно для своевременного профессионального переобучения рабочей
силы.
Таким образом, безработица является характерной
чертой рыночной экономики. Поэтому полная занятость - нонсенс, не совместимый
с идеей рыночного хозяйства. В то же время понятие “полная занятость” не означает
полного отсутствия безработицы. Экономисты считают фрикционную и структурную
безработицу совершенно неизбежной, следовательно, уровень безработицы при
полной занятости равен сумме уровней фрикционной и структурной безработицы.
Другими словами, уровень безработицы при полной занятости достигается в том
случае, когда циклическая безработица равна нулю. Уровень безработицы при
полной занятости называется естественным уровнем безработицы.
.3 Государственное регулирование безработицы
Государство проводит политику содействия
реализации прав граждан на полную, продуктивную и свободно избранную занятость.
Государственная политика в области содействия занятости населения направлена на
реализацию многообразных элементов социально-экономических условий
рационального и продуктивного использования наличного трудового потенциала
общества.
В целях содействия полной, продуктивной и
свободно избранной занятости населения государство призвано осуществлять:
разработку мер финансово-кредитной,
инвестиционной и налоговой политики, направленных на рациональное размещение
производительных сил, повышение мобильности трудовых ресурсов, развитие
временной и самостоятельной занятости, поощрение применения гибких режимов
труда и других мер, способствующих сохранению и развитию системы рабочих мест;
правовое регулирование в области занятости на
основе соблюдения законных прав и интересов граждан и соответствующих
государственных гарантий, дальнейшее совершенствование законодательства о
занятости населения [1];
разработку и реализацию федеральных и
территориальных программ содействия занятости населения;
создание государственной службы занятости
населения.
Все перечисленные выше положения закреплены ст.
15 Федерального закона о занятости населения в России[2].
Право каждого гражданина России на свободный
труд закреплено в Конституции Российской Федерации, при этом провозглашается,
что Российская Федерация является социальным государством, политика которого
направлена на создание условий, обеспечивающих достойную жизнь и свободное
развитие человека. Основными нормативными актами, регулирующими реализацию
права граждан на труд и отношения в сфере занятости, являются Конституция
Российской Федерации, Федеральный закон от 19 апреля 1991 г. №1023-1 “О
занятости населения в Российской Федерации” [2].
Закон о занятости предоставил работодателям
право на равных основаниях принимать на работу непосредственно обращающихся к
ним граждан, и имеющих направления органов службы занятости.
Согласно ст. 3 закона основанием для признания
гражданина безработным является его обращение в службу занятости с
предоставлением всех необходимых документов, в том числе справки о среднем
заработке по последнему месту работы за 3 месяца, предшествующих месяцу
увольнения. Нужно утвердить единую для всех служб занятости форму справки о
среднем заработке для определения размера пособия по безработице.
Согласно п. 1 ст. 3 закона “безработными
признаются трудоспособные граждане, которые не имеют работы и заработка,
зарегистрированы в органах занятости в целях поиска подходящей работы, ищут
работу и готовы приступить к ней”. Однако никакой нормативный акт не
предусматривает порядка подтверждения безработными гражданами самостоятельного
поиска работы и его готовности приступить к ней [2].
Конкретные меры, формирующие содержание
государственной политики содействия занятости населения, направлены на развитие
трудовых ресурсов и обеспечение равных возможностей всем гражданам России не
зависимо от национальности, пола, возраста, социального положения, политических
убеждений и отношения к религии в реализации права на добровольные труд и
свободный выбор занятости.
В соответствии с принятыми правовыми основами
регулирования государством положения на рынке труда оно призвано:
обеспечивать социальную защиту в области
занятости населения;
проведение специальных мероприятий,
способствующих созданию условий для занятости граждан особо нуждающихся в
специальной защите и испытывающих трудности в поиске работы[4].
Глава 2. Характеристика рынка труда в Кировской
области
Основой экономики Кировской области являются
сельское хозяйство и промышленность. Продукция области известна более чем в 40
странах дальнего зарубежья, в том числе в США, Англии, Германии, Франции и
Канаде. Ведущее положение среди отраслей промышленности занимают химическая и
нефтехимическая промышленность, а также лесная, деревообрабатывающая и
целлюлозно-бумажная промышленность. Область - один из крупнейших в России
производителей минеральных удобрений, шин, железнодорожных кранов, продукции
лесопереработки, кирпича, продовольствия [3]. Крупнейшие (по числу работающих)
предприятия, а также вошедшие в перечень особо значимых предприятий региона:
ОАО ВМП «Авитек», ОАО «Кировский завод ОЦМ», ОАО «Комбинат искусственных кож»,
ОАО «Кировский машзавод 1 Мая», ОАО «Электромашиностроительный завод «Лепсе»,
ОАО «Нововятский лыжный комбинат», ОАО «Нововятский механический завод», ОАО
Шинный комплекс «Амтел-Поволжье», ОАО «Белохолуницкий машиностроительный завод»
(Белохолуницкий район), ОАО «Машиностроительный завод Молот» (Вятскополянский
район), ООО «Завод полимеров Кирово-Чепецкого химического комбината», ЗАО
«Завод минеральных удобрений Кирово-Чепецкого химического комбината», ОАО
«Электромашиностроительный завод «ВЭЛКОНТ» (Кирово-Чепецкий район), ОАО
«Майсклес» (Мурашинский район), ОАО «Омутнинский металлургический завод»; ОАО
«Силикат» (Оричевский район); ООО «ЛПК» Полеко» (Подосиновский район);
предприятие ОАО «Красный якорь» (Слободской район); ОАО «Уржумский
спиртоводочный завод» (Уржумский район); ОАО «Эликон» (Юрьянский район) [14].
По статистическим данным на конец
2012 года Кировская область находилась на 58 месте по уровню безработицы
<#"827141.files/image015.gif">
Анализ цепных показателей: Абсолютный прирост по
цепной системе показывает на сколько единиц изменился уровень безработицы в
текущем году по сравнению с предыдущим годом. Его значения были положительными
в 2003, 2004, 2006, 2008,2009 годах. Это говорит о том, что в данные периоды
уровень безработицы увеличивался. В остальные периоды уровень абсолютного
прироста по цепной системе меньше нуля, это говорит о том, что безработица в
эти периоды снижалась.
Анализ базисных показателей: абсолютный прирост
по базисной системе показывает, на сколько единиц изменился уровень безработицы
в текущем году по сравнению с базовым 2000 годом. В 2004, 2007, а также с
2009-2011 годы эта величина была больше нуля, что говорит о том, что в данном
периоде безработица выросла, а опустилась ниже базового уровня 2000 года в
период с 2000 по 2003 г.г., 2005 - 2006г.г., в 2008 и 2012 годах. Относительная
скорость изменения уровня явления, то есть интенсивность роста, выражается
коэффициентами роста и прироста, а также темпами роста и прироста.
. Коэффициент роста - это отношение двух уровней
ряда динамики. Он показывает во сколько раз сравниваемый уровень больше
базисного. Коэффициент роста может быть исчислен с переменной и постоянной базой
сравнения.
Если база меняется, то цепные коэффициенты роста
исчисляются по формуле:
(13)
где Kp - коэффициент роста.
Если база постоянная, то базисные коэффициенты
роста исчисляются по формуле:
(14)
Если эти величины выразить в процентах, то
получим темп роста (Тр) по цепной и базисной системам. Темп роста показывает,
на сколько процентов уровень данного периода больше (или меньше) базисного
уровня.
. Коэффициенты прироста показывают относительное
увеличение (уменьшение) прироста. Коэффициенты прироста рассчитываются делением
абсолютного прироста на базисный абсолютный уровень или цепной:
( по цепной
системе) (15)
(по базисной
системе) (16)
Если полученные величины выразить в процентах,
то получим темпы прироста (Тпр) по цепной и базисной системам [9].
Используя исходные данные, рассчитаем
коэффициенты и темпы роста и прироста, а также абсолютное значение одного
процента прироста. Результаты приведем в таблице 3:
Таблица 3 - «Расчет коэффициентов роста и
прироста, а также темпов роста и прироста»
|
№
|
год
|
уi
|
по
цепной системе
|
по
базисной системе к 2000 г
|
|
|
|
Кр
(в разах)
|
Тр,
%
|
Кпр
(в разах)
|
Тпр,%
|
Кр
(в разах)
|
Тр,
%
|
Кпр
(в разах)
|
Тпр,
%
|
|
1
|
2000
|
8,16
|
-
|
-
|
-
|
-
|
-
|
-
|
-
|
-
|
|
2
|
2001
|
7,75
|
0,951
|
95,1
|
-0,05
|
-5
|
0,951
|
95,1
|
-0,05
|
-5
|
|
3
|
2002
|
6,84
|
0,883
|
88,3
|
-0,117
|
-11,7
|
0,838
|
83,8
|
-0,162
|
-16,2
|
|
4
|
2003
|
7,29
|
1,066
|
106,6
|
0,066
|
6,6
|
0,893
|
89,3
|
-0,107
|
-10,7
|
|
5
|
2004
|
8,56
|
1,174
|
117,4
|
0,174
|
17,4
|
1,05
|
105
|
0,049
|
4,9
|
|
6
|
2005
|
7,24
|
0,846
|
84,6
|
-0,154
|
-15,4
|
0,887
|
88,7
|
-0,113
|
-11,3
|
|
7
|
2006
|
7,85
|
1,084
|
108,4
|
0,084
|
8,4
|
0,962
|
96,2
|
-0,038
|
-3,8
|
|
8
|
2007
|
5,76
|
0,734
|
73,4
|
-0,266
|
-26,6
|
0,706
|
70,6
|
0,074
|
7,4
|
|
9
|
2008
|
7,16
|
1,243
|
124,3
|
0,243
|
24,3
|
0,877
|
87,7
|
-0,123
|
-12,3
|
|
10
|
2009
|
10,88
|
1,521
|
152,1
|
0,521
|
52,1
|
1,333
|
133,3
|
0,333
|
33,3
|
|
11
|
2010
|
8,63
|
0,793
|
79,3
|
-0,207
|
-20,7
|
1,058
|
105,8
|
0,058
|
5,8
|
|
12
|
2011
|
8,27
|
0,958
|
95,8
|
-0,042
|
-4,2
|
1,013
|
101,3
|
0,013
|
1,3
|
|
13
|
2012
|
7,1
|
0,859
|
85,9
|
-0,141
|
-14,1
|
0,87
|
87
|
-0,131
|
-13,1
|
Анализ цепных показателей: Рассматривая цепные
показатели роста, мы видим, что они были больше нуля в 2003, 2004, 2006, 2008,
2009 г.г. Это говорит о том, что в эти года уровень безработицы возрастал.
Наибольший прирост наблюдался в 2009 году и составил 52,1% к 2008 году.
Значения остальных коэффициентов роста, а именно меньшие единицы говорят о
снижении уровня безработицы. Наибольшее снижение наблюдалось в 2007 году, в
котором уровень безработицы составил 73,4% от уровня 2006 года.
Мировой финансовый кризис в течение всего 2009
года оказывает негативное влияние на развитие экономики, занятость населения.
Под его воздействием на начало текущего года 172 предприятия и организации с
численностью работающих 62,9 тыс. чел. заявили о предстоящем высвобождении 5,6 тыс.
чел. (9 % занятого на них персонала), 95 предприятий ввели режим неполной
занятости работающих (около 38,3 тыс. чел.) экспертной оценке в течение года с
предприятий и организаций может быть высвобождено 15-20 тыс. чел., в режиме
неполной занятости могут оказаться 45-50 тыс. персонала. Эти процессы, конечно,
привели к значительному сокращению рабочих мест, уменьшению численности занятых
в экономике, увеличению обращаемости граждан в службу занятости, росту общей и
регистрируемой безработицы [13].
Анализ базисных показателей: Рассматривая
базисные показатели роста, мы видим, что в 2004, 2009-2011гг. значение
коэффициента роста было больше единицы, что говорит о том, что уровень
безработицы был больше базового уровня, причем максимальный прирост составил 33,3%
в 2009 году от уровня 2000 года. В период с 2001 по 2003, с 2005 по 2008 и в
2012 годах коэффициент роста стал меньше единицы, что свидетельствовало о
снижении уровня безработицы ниже базового уровня, причем наибольшее снижение
было в 2007 году, когда уровень безработицы составил 70,6% от уровня 2000 года.
Средний коэффициент роста определяют на основе
средней геометрической:
, (17)
где К - средний коэффициент роста;
К1, К2, Кm - коэффициенты роста (по цепной
системе);- число коэффициентов роста.
Рассчитаем средние коэффициенты роста и
прироста, для исходных данных:
Так как произведение К1*К2*…*К12 = y13/y1 то
средний коэффициент роста также можно определить по формуле:
(18)
Средний темп роста представляет собой средний
коэффициент роста, выраженный в процентах:
Тр = Кр *100% = 0,989*100% = 98,9% (19)
Средний темп роста показывает, что уменьшение
уровня безработицы в среднем за 13 лет составило 98,9% от предыдущего года.
Средний коэффициент прироста будет равен:
Кпр = Кр - 1 = 0,989 - 1 = - 0,011 (20)
Средний темп прироста представляет собой средний
коэффициент прироста, выраженный в процентах: [8]
Тр = Кр* 100% = - 0,011*100%= - 1,1% (21)
То есть в среднем за 13 лет безработица в
Кировской области уменьшалась на 1,1% в год.
.2 Выявление основной тенденции изменения
показателей
При анализе рядов динамики необходимо определить
общую тенденцию развития. На развитие явления во времени могут оказывать
влияние различные факторы, одни из них могут формировать в рядах динамики
определенную тенденцию в развитии, другие - оказывать кратковременное
воздействие. Поэтому необходимо определить общую тенденцию развития.
При выявлении общей тенденции развития явления
применяют различные приемы и методы выравнивания:
укрупнение интервалов;
сглаживание рядов динамики на основе скользящих
средних;
аналитическое выравнивание и др.
Таблица 4 - «Выявление основной тенденции
динамики уровня безработицы в период с 2000 по 2011 г.г.»
|
Год
|
Уровень
безработицы
|
Сумма
за 3 года
|
Среднее
значение за 3 года
|
|
2000
|
8,16
|
22,75
|
7,58
|
|
2001
|
7,75
|
|
|
|
2002
|
6,84
|
|
|
|
2003
|
7,29
|
23,09
|
7,69
|
|
2004
|
8,56
|
|
|
|
2005
|
7,24
|
|
|
|
2006
|
7,85
|
20,77
|
6,92
|
|
2007
|
5,76
|
|
|
|
2008
|
7,16
|
|
|
|
2009
|
10,88
|
27,78
|
9,26
|
|
2010
|
8,63
|
|
|
|
2011
|
8,27
|
|
|
Таким образом, определив среднее значение по
укрупненным периодам, можно сделать вывод о том, что тенденция роста уровня
безработицы с 2000 по 2005 г.г. увеличивается, к периоду с 2006 по 2008 г.г.
снижается и в период с 2009 по 2011 (в период восстановления региона после
финансового кризиса 2008г.) резко увеличивается.
Метод скользящей средней заключается в
следующем: формируются укрупненные интервалы, состоящие из одинакового числа
уровней. Каждый последующий интервал получаем, постепенно сдвигаясь от
начального уровня ряда на один уровень. По укрупненным интервалам определяем
среднюю из уровней, входящих в каждый интервал.
Сглаживание рядов динамики на основе скользящих
средних основана на вычислении звеньев подвижной средней из такого числа
уровней ряда, которая соответствует длительности наблюдаемых в ряду динамики
циклов. Для этого выбираем период скольжения, равный трем периодам. Расчет
скользящих средних состоит в определении средних величин из трех уровней ряда с
отбрасыванием при вычислении каждой новой средней одного уровня ряда слева и
присоединением одного уровня справа.
Скользящие средние будут вычисляется по формуле:
yi = (yi-1 + yi + yi+1 + yi+2)/3. (22)
Таблица 5 - « Выявление основной тенденции
динамики уровня безработицы в период с 2000 по 2011 г.г. методом скользящей
средней»
|
Год
|
Уровень
безработицы
|
Формула
|
Среднее
значение за 3 года
|
Среднее
значение
|
|
2000
|
8,16
|
-
|
-
|
7,44
|
|
2001
|
7,75
|
(8.16
+ 7.75 + 6.84)/3
|
7,58
|
|
|
2002
|
6,84
|
(7.75
+ 6.84 + 7.29)/3
|
7,29
|
|
|
2003
|
7,29
|
(6.84
+ 7.29 + 8.56)/3
|
7,56
|
7,71
|
|
2004
|
8,56
|
(7.29
+ 8.56 + 7.24)/3
|
7,7
|
|
|
2005
|
7,24
|
(8.56
+ 7.24 + 7.85)/3
|
7,88
|
|
|
2006
|
7,85
|
(7.24
+ 7.85 + 5.76)/3
|
6,95
|
7,27
|
|
2007
|
5,76
|
(7.85
+ 5.76 + 7.16)/3
|
6,92
|
|
|
2008
|
7,16
|
(5.76
+ 7.16 + 10.88)/3
|
7,93
|
|
|
2009
|
10,88
|
(7.16
+ 10.88 + 8.63)/3
|
8,89
|
9,08
|
|
2010
|
8,63
|
(10.88
+ 8.63 + 8.27)/3
|
9,26
|
|
|
2011
|
8,27
|
-
|
-
|
|
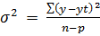
Стандартная ошибка (погрешность) рассчитывается
по формуле:
(23)
где i = (t-m-1, t)
Метод скользящей средней подтвердил
сделанные ранее выводы о том, что уровень безработицы вырос с 2000 по 2005
г.г., с 2006 по 2008 наблюдался уровень снижения безработицы, и, начиная с 2009
г. он вновь начал возрастать.
Аналитическое выравнивание. При
исчислении этого метода фактические уровни рядов динамики (РД) заменяются
теоретическими, вычисленными на основе уравнения определенной кривой,
отражающей общую тенденцию развития явления.
Тенденцию развития
социально-экономических явлений обычно изображают кривой, параболой, гиперболой
и прямой линией.
Если РД выравнивают по прямой, то
уравнение прямой имеет следующий вид:
, (24)
где у - фактические уровни;
уt - выровненный уровень
безработицы;-порядковый номер года;
«а» и «в» - параметры уравнения, «в»
- среднегодовое увеличение или уменьшение уровня безработицы.
Так как «t» известно, то для
нахождения «уt» необходимо определить параметры «а» и «в». Их находят способом
отклонений наименьших квадратов, смысл которых заключается в следующем. Исчисленные
теоретические уровни должны быть максимально близки к фактическим уровням, т.е.
S квадратов отклонений теоретических уровней от фактических должно быть:
Этому требованию удовлетворяет
следующая система нормальных уравнений:
(25)
- количество уровней РД.
Эту систему уровней можно упростить,
если взять t (период времени) таким, чтобы сумма периодов равнялась нулю: Σt = 0.
Для этого необходимо периоды РД
пронумеровать так, чтобы перенести в середину ряда начало отчета времени. В РД
с нечетным числом периодов времени нумерация начинается с середины ряда и с
нуля «0», а с четным числом периодов с «-1» и «+1». Тогда уравнения примут
следующий вид:
(an = Σу, отсюда
получим «а») [8]

. (26)
Таблица 6 - «Аналитическое выравнивание уровня
безработицы методом наименьших квадратов»
|
t
|
y
|
t2
|
y2
|
t
y
|
|
Порядковый
номер года
|
Уровень
безработицы
|
|
|
|
|
1
|
8.16
|
1
|
66.59
|
8.16
|
|
2
|
7.75
|
4
|
60.06
|
15.5
|
|
3
|
6.84
|
9
|
46.79
|
20.52
|
|
4
|
7.29
|
16
|
53.14
|
29.16
|
|
5
|
8.56
|
25
|
73.27
|
42.8
|
|
6
|
7.24
|
36
|
52.42
|
43.44
|
|
7
|
7.85
|
49
|
61.62
|
54.95
|
|
8
|
5.76
|
64
|
33.18
|
46.08
|
|
9
|
7.16
|
81
|
51.27
|
64.44
|
|
10
|
10.88
|
100
|
118.37
|
108.8
|
|
11
|
8.63
|
121
|
74.48
|
94.93
|
|
12
|
8.27
|
144
|
68.39
|
99.24
|
|
78
|
94.39
|
650
|
759.58
|
628.02
|
Для наших данных система уравнений имеет вид:
a0 + 78a1 = 94.39
a0 + 650a1 = 628.02
Из первого уравнения выражаем а0 и подставим во
второе уравнение.
Получаем: a0 = 0.101, a1 = 7.207
Уравнение линейного тренда:
= 0.101t + 7.207
Для получения прогноза на 2012 г., подставим
вместо t порядковый номер прогнозируемого периода:= 0.101*13 + 7.207= 8,52
Определим среднюю ошибку прогноза:
(27)
, (28)
где p - число параметров уравнения.
Таким образом, прогноз уровня безработицы в 2012
году находится в пределах 8,52%
1,26%.
.3 Корреляционно-регрессионный анализ
Для того, чтобы выявить связь между экономически
активным населением и безработными проведем корреляционно-регрессионный анализ.
Корреляционный анализ позволяет с помощью
выборки делать выводы о степени статистической связи между признаками.
В качестве мер связи между признаками чаще всего
используется принцип ковариации и принцип сопряженности.
Задачи корреляционно-регрессионного анализа
сводятся к измерению тесноты известной связи между варьирующими признаками,
определению неизвестных причинных связей (причинный характер которых должен
быть выяснен с помощью теоретического анализа) и оценки факторов, оказывающих
наибольшее влияние на результативный признак.
Изучение корреляционной связи имеет 2 цели:
) Измерение параметров уравнения, выражающего
связь средних значений зависимой переменной со значениями независимой
переменной;
) Измерение тесноты связи двух или большего
числа признаков между собой.
Основным методом решения задачи нахождения
параметров уравнения связи является метод наименьших квадратов (МНК).
Исходные данные:
|
№
п/п
|
Экономически
Активные (тыс.чел)
|
Безработные
(тыс.чел)
|
|
1
|
829
|
68
|
|
2
|
824
|
64
|
|
3
|
818
|
56
|
|
4
|
796
|
58
|
|
5
|
803
|
69
|
|
6
|
788
|
57
|
|
7
|
780
|
61
|
|
8
|
761
|
44
|
|
9
|
764
|
55
|
|
10
|
745
|
81
|
|
11
|
736
|
64
|
|
12
|
710
|
59
|
|
13
|
688
|
49
|
Линейное уравнение регрессии имеет вид: y
= bx + a + ε
Здесь ε - случайная
ошибка (отклонение, возмущение).
Для оценки параметров а и b - используют МНК
(метод наименьших квадратов).
Метод наименьших квадратов дает наилучшие
(состоятельные, эффективные и несмещенные) оценки параметров уравнения
регрессии. Но только в том случае, если выполняются определенные предпосылки
относительно случайного члена (ε) и
независимой переменной (x).
Формально критерий МНК можно записать так:
= ∑(yi - y*i)2 → min (30)
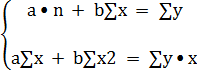
Система нормальных уравнений:
, (31)
где:и b - неизвестные параметры уравнения;-
экономически активное население;- безработные;- количество периодов
исследования.
Из первого уравнения выражаем а и подставим во
второе уравнение:
Получаем коэффициенты регрессии: b = 0.05035, a
= 21.4922
Коэффициент b показывает, на сколько изменится y
при изменении фактора x на единицу, при условии, что влияние других факторов не
учтено. В нашем случае при увеличении экономически активного населения на 1
тыс.чел., численность безработных уменьшится на 0,05035.
Уравнение регрессии (эмпирическое уравнение
регрессии):
= 0,05035 x + 21,4922
Для расчета параметров регрессии построим
расчетную таблицу (см. Таблицу 7 - «Расчет влияния уровня безработных на
экономически активное население»)
Таблица 7 - «Расчет влияния уровня безработных
на экономически активное население»
|
x
|
y
|
x2
|
y2
|
x
• y
|
|
№
п/п
|
Экономически
активные, тыс.чел
|
Безработные,
тыс.чел.
|
|
|
|
|
1
|
829
|
68
|
687241
|
4624
|
56372
|
|
2
|
824
|
64
|
678976
|
4096
|
52736
|
|
3
|
818
|
56
|
669124
|
3136
|
45808
|
|
4
|
796
|
58
|
633616
|
3364
|
46168
|
|
5
|
803
|
69
|
644809
|
4761
|
55407
|
|
6
|
788
|
57
|
620944
|
3249
|
44916
|
|
7
|
780
|
61
|
608400
|
3721
|
47580
|
|
8
|
761
|
44
|
579121
|
1936
|
33484
|
|
9
|
764
|
55
|
583696
|
3025
|
42020
|
|
10
|
745
|
81
|
555025
|
6561
|
60345
|
|
11
|
736
|
64
|
541696
|
4096
|
47104
|
|
12
|
710
|
504100
|
3481
|
41890
|
|
13
|
688
|
49
|
473344
|
2401
|
33712
|
|
Итого
|
10042
|
785
|
7780092
|
48451
|
607542
|
Выборочные средние:
(32)
(33)
(34)
Выборочные дисперсии:
(35)
(36)
Среднеквадратическое отклонение:
(37)
(38)
Найдем коэффициент корреляции:
(39)
Рассчитываем показатель тесноты связи. Таким
показателем является выборочный линейный коэффициент корреляции, который
рассчитывается по формуле:
(40)
Линейный коэффициент корреляции принимает
значения от -1 до +1.
Связи между признаками могут быть слабыми и
сильными (тесными). Их критерии оцениваются по шкале Чеддока:
.1 < rxy < 0.3: слабая;
.3 < rxy < 0.5: умеренная;
.5 < rxy < 0.7: заметная;
.7 < rxy < 0.9: высокая;
.9 < rxy < 1: весьма высокая; [8]
Связь между у и х определяет знак коэффициента
регрессии b (если > 0 - прямая связь, иначе - обратная). В нашем примере
связь между признаком Y фактором X слабая и прямая.= 0,24 показывает, что связь
между признаками прямая и слабая. Это объясняется тем, что с увеличением
численности экономически активного населения появляется большая вероятность
увеличения количества безработных и наоборот, чем меньше численность населения,
тем, соответственно, и меньше будет уровень безработицы в регионе.=
-
значит изменение численности экономически активного населения в 5,57 % случаев
приводит к изменению численности безработных. Другими словами - точность
подбора уравнения регрессии - низкая. Остальные 94,43 % изменения числа
безработных объясняются факторами, не учтенными в модели.
Заключение
В данной работе был проведен
экономико-статистический анализ занятости в Кировской области в период 2000 -
2012 гг.
Первоначально был проведен обзор основных
показателей, характеризующих занятость, а также охарактеризовано общее
состояние занятости в Кировской области. В результате было принято решение
проводить анализ на основе наиболее общего показателя занятости - уровня
безработицы.
Изучена динамика уровня безработицы за 13 лет,
вычислены и прокомментированы основные показатели динамики, и применены
различные методы выявления общей тенденции в рядах, проведен
корреляционно-регрессионный анализ. Были изучены структуры занятого и
безработного населения. Результаты проанализированы и наглядно представлены в
диаграммах.
Глобальный экономический кризис приводит во всех
странах мира к падению производства, снижению доходов населения и росту
безработицы. Столкнулась с этой проблемой и Россия. Проблемы российского рынка
труда разнообразны по своим причинам, проявлениям и последствиям. Особенно
острой и болезненной является проблема безработицы.
Безработица, если она становится длительной,
негативно влияет на жизненный уровень человека, семьи, на личность, вплоть до
возможного ее разрушения. Массовая безработица может стать дестабилизирующим
фактором, привести к застою, деградации отдельных регионов и даже к социальным
потрясениям всего общества. И в этом плане она представляет собой
социально-политическую проблему. Поэтому проблема безработицы и занятости
должна находиться в центре внимания общества и государства, проводимой
государством социально-экономической политики.
В целях дальнейшего развития повышения качества
и эффективности обучения и роста профессиональной мобильности рабочей силы на
рынке труда и быстрейшего трудоустройства необходимо использовать как
традиционные, так и инновационные направления и формы работы, среди них:
развитие качества рабочей силы посредством
создания эффективного механизма социального партнерства органов службы
занятости населения, органов власти, образовательных учреждений, работодателей;
повышение статуса профессионального обучения,
как инструментария обеспечения социальной защищенности граждан на рынке труда;
обеспечение возрастания роли работодателей в
определении стратегии, направлений и форм профессионального обучения
безработных граждан и незанятого населения по профессиям, требующимся на рынке
труда и соответствующим заявкам работодателей под гарантированное
трудоустройство;
внедрение в профессиональное обучение
безработных граждан и незанятого населения инновационных социальных и
педагогических технологий.
Негативное воздействие кризиса отразилось и на
нашей Кировской области: произошло существенное увеличение числа
зарегистрированных безработных.
В Кировской области действуют эффективные
программы снижения напряженности на рынке труда, состоящие из опережающего
профессионального обучения работников, находящихся под риском увольнения;
общественные работы; адресная поддержка граждан, переезжающих в другую
местность в поисках работы; помощь безработным в организации
предпринимательской деятельности.
Как я считаю, главный путь решения проблемы
безработицы на рынке труда - экономический рост производства (восстановление
законсервированных производственных мощностей), что приведет к увеличению темпа
роста числа занятых в экономике.
Список использованной литературы
Официальные законодательные
документы
[1].
"Конституция Российской Федерации" (принята всенародным голосованием
12.12.1993) (с учетом поправок, внесенных Законами РФ о поправках к Конституции
РФ от 30.12.2008 N 6-ФКЗ, от 30.12.2008 N 7-ФКЗ, от 05.02.2014 N 2-ФКЗ).
[2].
Закон о занятости населения в РФ (в ред. Федеральных законов от 24.07.2009 N
213-ФЗ, от 27.12.2009 N 365-ФЗ, от 27.12.2009 N 367-ФЗ,
с
изм., внесенными Постановлением Конституционного Суда РФ от 16.12.1997 N 20-П)
- статья 15.
[3].
Отчет о деятельности Департамента ГСЗН по Кировской области за 2009-2013гг. -
Киров: Департамент ГСЗН, 2013.
[4].
Программа содействия занятости населения Кировской области на 2009-2013 гг. -
Киров: Департамент ГСЗН по Кировской области, 2013.
Монографии, учебники, пособия
[5].
Адамчук, В.В., Ромашов, О.В., Сорокина, М.Е. Экономика и социология труда
[Текст]: учебник для вузов/ В.В. Адамчук, О.В.Ромашов, М.Е.Сорокина. - М.:
ЮНИТИ, 2004.
[6].
Архипов, А.И. Экономика: учеб. / А.И.Архипов, А.К. Большаков; под ред.
А.И.Архипова. - М.: Проспект, 2008. - 840 с.
[7].
Булатов, А.С. Экономика / А.С.Булатов. - М.: Экономистъ, 2006. - 831 с.
[8].
Громыко, Г.Л. Теория статистики: Учебник/ Под ред. проф. Г. Л. Громыко. - М.:
ИНФРА-М, 2003. - 280с.
[9].
Елисеева, И. И., Юзбашев, М. М. общая теория статистики/Учебник /Под ред. И. И.
Елисеевой. - М.: Финансы и статистика, 2007. - 234с.
[10].
Плакся, В.И. Безработица в рыночной экономике (Вопросы теории, методологии,
государственного регулирования). - М.: Изд-во РАГС,2003 г.
[11].
Бизнес-новости в Кирове, печатное издание, выпуск от 01.04.2014// «Занятость и
безработица», Киров, 2014г.
Электронные ресурсы удаленного доступа
[12].
Федеральная служба государственной статистики (Электронный ресурс)/Режим
доступа: #"827141.files/image042.gif">
Диаграмма 2 - «Вакансии по видам экономической
деятельности»
Приложение Б
Диаграмма 3 - «Состав граждан, направленных на
проф.обучение от ЦЗН»
Диаграмма 4 - «Граждане, снятые с учета ЦЗН»
Приложение В
Диаграмма 5 - «Состав безработных граждан»
Приложение Г
Таблица 1 - «Уровень безработицы по регионам
Кировской области»
|
Район
|
Уровень
безработицы
|
|
Арбажский
|
2
|
|
Афанасьевский
|
3,1
|
|
Белохолуницкий
|
1,8
|
|
Богородский
|
3,8
|
|
Верхнекамский
|
2,4
|
|
Верхошижемский
|
1,5
|
|
Вятскополянский
|
1,5
|
|
Даровский
|
1,2
|
|
Зуевский
|
2,3
|
|
Кикнурский
|
2,6
|
|
Кильмезский
|
3,1
|
|
Кирово-Чепецкий
|
1
|
|
Котельничский
|
1,5
|
|
Куменский
|
1,3
|
|
Лебяжский
|
3,3
|
|
Лузский
|
3,7
|
|
Малмыжский
|
2,1
|
|
Мурашинский
|
2,7
|
|
Нагорский
|
3,2
|
|
Немский
|
3,5
|
|
Район
|
Уровень
безработицы
|
|
Нолинский
|
2,6
|
|
Омутнинский
|
1,8
|
|
Опаринский
|
2,1
|
|
Оричевский
|
1,5
|
|
Орловский
|
2
|
|
Пижанский
|
2,9
|
|
Подосиновский
|
2,5
|
|
Санчурский
|
4,3
|
|
Свечинский
|
2,3
|
|
Слободской
|
1,1
|
|
Советский
|
1,7
|
|
Сунский
|
1,8
|
|
Тужинский
|
3
|
|
Унинский
|
2,5
|
|
Уржумский
|
1,1
|
|
Фаленский
|
2,1
|
|
Шабалинский
|
2
|
|
Юрьянский
|
1,8
|
|
Яранский
|
3,1
|
|
г.Киров
|
0,5
|
|
Кировская
область
|
1,2
|