Основы финансовых вычислений
КОНТРОЛЬНАЯ РАБОТА
Основы финансовых вычислений
Задача
По представленной в таблице
информации:
Экономико-математическая модель
Задача о формировании модели
Технология решения
средствами MS Excel задачи оптимизации портфеля ценных бумаг по критерию
минимального риска
Введены данные за 12 месяцев о
доходности безрисковых облигаций mf, рыночном индексе mr, о доходности двух ценных бумаг mi.
Построены точечные графики
доходности обеих бумаг по рыночному индексу, добавлены линии трендов
Вывод: Бета-коэффициент у ценной
бумаги m1 выше. Чувствительность
этой бумаги к рынку больше.
Для дальнейших расчётов потребуются
подробные статистические характеристики изображённых на графике регрессий. Они
рассчитаны в правой части рабочего листа с помощью функции ЛИНЕЙН.
Правая часть рабочего листа в режиме
отображения формул

Функция ЛИНЕЙН возвращает массив,
поэтому вводится клавишами F2, Ctrl+Shift+Enter в выделенный диапазон ячеек, например, в T3:U7.
Результаты расчёта для
первой ценной бумаги.
Модели регрессии для первой и второй
ценной бумаги, соответственно, имеют вид:
m1= 0,3442mr
+ 1,6133
m3 = 0,1276mr + 4,2217
Коэффициент a1= 1,6133
Коэффициент β1= 0,3442
Коэффициент детерминации R2= 0,1788. Поведение доходности ценной бумаги на 17,88%
предсказуемо с помощью индекса рынка.
Собственный, несистематический риск
первой ценной бумаги равен 3,9764. Результаты расчёта для второй ценной
бумаги.
Коэффициент a2= 4,2217
Коэффициент β2= 0,1275
Коэффициент детерминации R2= 0,0242. Поведение доходности ценной бумаги на 2,42% предсказуемо
с помощью индекса рынка.
Собственный, несистематический риск
второй ценной бумаги равен 4,3603.
Для дальнейших расчётов потребуются
вычисления средних значений, дисперсий величин и т.д., поэтому таблица
продолжена вниз.
Основные расчёты параметров портфеля
в режиме отображения формул
Основные расчёты параметров портфеля
в режиме отображения результатов
Дисперсия рыночного индекса σmr2 равна 26,4254.
Дисперсия доходности первой ценной
бумаги σε12 равна 14,3745.
Коэффициент α1 первой ценной бумаги равен 1,2853.
Коэффициент α2 второй ценной бумаги равен 3,7855.
Рыночный, систематический риск
первой ценной бумаги βiσmr. равен 1,7692.
Рыночный, систематический риск
второй ценной бумаги βiσmr. равен 0,6558.
Общий риск первой ценной бумаги σ1 равен 4,1838.
Общий риск второй ценной бумаги σ2 равен 4,2088.
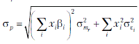
Для минимизации общего риска
портфеля σp составные части
оптимизационной модели введены в ячейки D28:H31. Для расчёта использованы окна
«Поиск решения», «Параметры поиска решения».
Целевая функция σр
находится в ячейке F28, Ограничение
находится в ячейках F30, H30.
находится в ячейках F31, H31.
Получены следующие результаты.
Минимальный риск портфеля равен
3,0634.
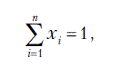
Доля в портфеле первой ценной бумаги
m1 равна 0,5031.
Доходность портфеля
не меньше, чем у безрисковых ценных
бумаг 0,50 и составляет 3,2861.
Доходность первой ценной бумаги m1 равна 2,1616.
Доходность второй ценной бумаги m3 равна 4,425.
Связь между доходом ценной бумаги и
ее бета - коэффициентом линейная и называется линией рынка ценных бумаг
(Security Market Line - SML).Уравнение SML может быть записано в форме:
портфель
риск ценный
На графике SML по
горизонтальной оси отложены коэффициенты β, по
вертикальной - эффективности бумаг или портфелей. Но эта прямая SML отражает
идеальную зависимость между β и эффективностью
бумаг и портфелей. Все точки, лежащие на прямой SML, соответствуют
«справедливо» оцененным бумагам (портфелям), а те, которые лежат выше /ниже
этой линии, - недооцененным / переоцененным. Графическое изображение линии
рынка ценных бумаг приведено на рисунке.
Использованы следующие
ряды данных на рабочем листе.
SML:
mf:
Доходность первой ценной бумаги m1:
Доходность второй ценной бумаги m3:
Список используемой
литературы
1. Оценка и анализ рисков. Компьютерный лабораторный практикум для
студентов шестого курса, обучающихся по специальности 080105.65 «Финансы и
кредит», специализация «Финансовый менеджмент». - М.: ВЗФЭИ, 2011. - 76 с.
. Орлова И.В., Пилипенко А.И., Половников В.А., Федосеев В.В.,
Орлов П.В. Оценка и анализ рисков. Текст лекций и пояснения к решению задач.
Для студентов 5 курса по специальности «финансовый менеджмент». Электронное
издание.
. Оценка и анализ рисков: Учебно-методическое пособие. Для студентов
VI курса (первое высшее образование) и V курса (второе высшее образование) по
специальности 060400 «Финансы и кредит» специализации «Финансовый менеджмент» /
ВЗФЭИ - М: Финстатинформ 2002. - 64 с.
. Финансовая математика: математическое моделирование финансовых
операций: Учебное пособие под ред. Половникова В.А., Пилипенко А.И. - М.:
Вузовский учебник, 2004. - 360 с.