Розробка економіко-математичної моделі оптимізації використання машинно-тракторного парку
Зміст
Вступ
. Теоретична
частина
1.1 Багатодисциплінарний характер
науки про прийняття рішень
1.2 Люди і їх роль в процесі
прийняття рішень
.3 Проблеми індивідуального вибору
.4 Альтернативи
.5 Критерії
.6 Процес прийняття рішень
2.
Практична частина
.1
Постановка задачі
2.2
Система змінних та обмежень
2.3
Розробка числової моделі
2.4
Розрахунок МТП, реалізований за допомогою табличного процесора EXCEL
.5
Аналіз
результатів розрахунку
Висновки
Список
використаної літератури
Вступ
Методи прийняття
рішень існують у практиці людської діяльності майже з стародавніх часів.
Можливо, вони навіть ровесники свідомої діяльності людини. Теоретичний інтерес
до методів та процедур прийняття рішень виник у 60-х роках XX ст. З даної
проблематики виконана велика кількість робіт науковцями як нашої країни, так і
закордонними. Прийняття рішення є процесом, який за своєю складністю і
характером порівнюваний з процесом мислення в цілому. Під прийняттям рішення
будемо розуміти одноразовий акт вибору деякої альтернативи з визначеної їх
множини. Таке обмеження проблеми можна виправдати тим, що багато реальних задач
- саме такого типу, і, крім цього, навіть у такому разі проблема залишається
дуже складною. З іншого боку, і навіть надто загальний процес прийняття рішення
можна уявити собі як послідовність виборів таких альтернатив.
Актуальним у
процесі прийняття рішень є дослідження фактору фінансового ризику. Ризик в
економічній діяльності - це об'єктивний фактор, який зумовлений дією
стохастичних причин і чинників, зокрема конфліктністю ситуації прийняття
рішень, невизначеністю цілей і наслідків дій, відсутністю повної і об'єктивної
інформації щодо процесів, що відбуваються тепер чи виявлять себе в майбутньому.
Ризик і невизначеність - постійні джерела небезпеки прийняти несприятливе
рішення. Один із найбільш важливих аспектів процесу обґрунтування і прийняття
фінансових рішень полягає в тому, щоб дати чітке розуміння місця й ролі
невизначеності під час прийняття рішення. Завдання особи, що приймає рішення
(ОПР), полягає в тому, щоб заздалегідь врахувати властиву фінансовим рішенням
невизначеність і звести її до мінімуму.
Кількісна оцінка
пріоритетності альтернативних дій залежить від особистих характеристик
керівника і тому повинна бути відносною величиною. У наукових джерелах ця категорія
називається по-різному: ступінь вигідності, корисність тощо. У наших
дослідженнях приймемо за основний термін вираз вигідність. Існують ґрунтовні
теоретичні дослідження щодо проблематики розробки та використання функції
вигідності при виборі рішень, пов'язаних з ризиком, а також має місце широкий
діапазон наукових джерел, де ці питання розглядаються. Теоретичні результати
необхідно використовувати як методологічну базу для підготовки та прийняття
фінансових рішень у комп'ютерних системах. Тому доцільним і актуальним є
дослідження та застосування функції вигідності для прийняття ризикованих
фінансових рішень.
Актуальною є задача
розробки і впровадження на підприємствах комп'ютерної системи підтримки
прийняття фінансових рішень (СППФР). Розв'язання цієї задачі потребує, у свою
чергу, поглибленого вивчення існуючих і розробки нових методів і принципів
створення організаційного, інформаційного та програмного забезпечення, розробки
економіко-математичних методів та моделей, пов'язаних з управлінням фінансами
на мікрорівні.
1. Теоретична
частина
.1
Багатодисциплінарний характер науки про прийняття рішень
Термін
"прийняття рішень" зустрічається в різних наукових дисциплінах. Перш
за все варто назвати економіку, де досліджуються проблеми розумного, раціонального
використання обмежених ресурсів споживачем (покупцем товарів) і виробником.
Вважається, що у людей є 'внутрішні ваги", на яких "зважується"
привабливість різних об'єктів, товарів, - їх корисність (вигідність). Економіка
визначає правила раціональної поведінки людей в задачах вибору [70].
Термін
"прийняття рішень" активно використовується в когнітивній психології
[90]. Психологи давно вивчають особливості людської системи переробки
інформації. Розглядають гіпотези про те, як впливає організація людської
пам'яті на процес прийняття рішень. Психологи прагнуть експериментально
визначити межі людських можливостей в задачах вибору.
У такій науці як
політологія [135] одним з головних об'єктів вивчення є механізм прийняття
лідерами політичних рішень.
"Прийняття
рішень" - один з основоположних термінів у науковому напрямі, відомому під
назвою "дослідження операцій" [10]. Ми детально дослідимо питання про
зв'язок прийняття рішень і дослідження операцій в подальшому.
Прийняття рішень є
одним з напрямів прикладної математики [100]. Ставляться і розв'язуються задачі
обґрунтування властивостей функції вигідності залежно від тих чи інших умов, що
накладаються на правила вибору. Термін "вирішення проблем", досить
близький за своїм характером до терміну "прийняття рішень", є
центральним для штучного інтелекту [86]. У межах цього напряму створюються
різні комп'ютерні системи, що імітують поведінку людей при розв'язанні тих чи
інших проблем. В інформатиці та обчислювальній техніці останнім часом
приділяється велика увага побудові систем підтримки прийняття рішень, які
допомагають людині в задачах вибору [56; 94].
Розгляд процесів і
проблем прийняття рішень у різних наукових Дисциплінах виправданий. Центральним
для цих проблем є сам акт вибору людиною одного з варіантів рішень. На відмінну
від інших наукових дисциплін в науці про прийняття рішень основним предметом є
дослідження процесу вибору. Ця наука вивчає, як людина приймає рішення і як
варто їй у цьому допомагати, створюючи спеціальні методи і комп'ютерні системи.
Прийняття рішень -
це прикладна наукова дисципліна. Створення методів прийняття рішень вимагає
розгляду математичних, психологічних і комп'ютерних проблем. У зв'язку з цим в
розвитку прийняття рішень як наукового напряму беруть участь математики,
економісти, фінансисти, психологи, політологи, спеціалісти з штучного
інтелекту, теорії організацій, інформатики, обчислювальної техніки
Міждисциплінарний характер багато у чому визначає специфіку прийняття рішень як
наукового напряму.
.2 Люди і їх роль в
процесі прийняття рішень
Як у житті окремої
людини, так і в повсякденній діяльності організацій прийняття рішень є важливим
етапом, який визначає їх майбутнє. Людина вибирає професію, друзів, партнерів
по шлюбу, роботу, будинок і багато що інше, причому історія її життя є
послідовність вдалих чи невдалих рішень. Керівники країн, президенти,
прем'єр-міністри, королі, царі вирішують, з ким співпрацювати і з ким воювати,
чи проводити реформи, забороняти чи дозволяти, страчувати чи милувати. Ці
рішення складають основний зміст підручників з історії.
Для більшості
людських рішень неможливо точно розрахувати і оцінити наслідки. Можна лише
припускати, що певний варіант рішення приведе до найкращого результату. Однак,
таке припущення може виявитися помилковим, тому що ніхто не може заглянути в
майбутнє і знати все напевне. Тому людські рішення є виключно важливим для
практики і цікавим для науки об'єктом дослідження. Поступаючись комп'ютеру в
швидкості і точності обчислень, людина тим не менше володіє унікальним вмінням
швидко оцінювати обстановку, виділяти головне і відкидати другорядне,
співвимірювати суперечливі оцінки, заповнювати невизначеність своїми
здогадками. Ці цінні якості рятували людей протягом усієї людської історії. Як
людина приймає рішення, чому одні досягають успіхів там, де інші зазнають
поразок, в усьому цьому потрібно розібратися. Розглянемо сучасні знання про
людину, що робить вибір, і засоби, які можуть допомогти їй у цьому.
У процесі прийняття
рішень люди можуть грати різні ролі. Будемо називати людину, яка фактично
здійснює вибір найкращого варіанта дій, особою, що приймає рішення (ОПР).
Поряд з ОПР варто
виділити як окрему особистість власника проблеми - людину, котра, на думку
оточуючих, повинна її вирішувати і нести відповідальність за прийняті рішення.
Але це далеко не завжди означає, що власник проблеми є також і ОПР. Звичайно,
він може бути таким, і історія дає нам багато прикладів сумісництва цих двох
ролей. Але бувають ситуації, коли власник проблеми є лише одним з декількох
людей, що беруть участь у її вирішенні. Він може бути головою колективного
органа, що приймає рішення, змушеним йти на компроміси, щоб досягти згоди.
Іноді особистості
ОПР і власника проблеми просто не співпадають. Отже, власник проблеми і ОПР
можуть бути як одною особою, так і різними особистостями.
Третьою роллю, яку
може фати людина в процесі прийняття рішень, є роль керівника або учасника
активної групи - групи людей, які мають спільні інтереси і які прагнуть
вплинути на процес вибору і його результати. Так, намагаючись вплинути на
економічну політику країни, одні активні групи організовують страйки, інші -
кампанію підтримки уряду в засобах масової інформації, треті виділяють засоби
для підтримки уряду - дають позики.
Якщо рішення
приймається малою групою, члени якої формально мають рівні права (журі,
комісія), то людина є членом групи, шо приймає рішення. Головне в діяльності
такої групи - досягнення згоди при виробленні спільних рішень.
У процесі прийняття
рішень людина може виступати в якості експерта, тобто професіонала в певній
області, до якого звертаються за оцінками і рекомендаціями усі люди, які
включені в цей процес. Його роль зводиться до розумної організації процесу
прийняття рішень: допомоги ОПР і власнику проблеми у правильній постановці
задачі, виявленні позицій активних груп, організації роботи з іншими
експертами. Консультант (або аналітик) зазвичай не вносить свої пріоритети,
оцінки в прийняття рішень, він лише допомагає іншим зважувати усі
"за" та "проти" І виробити розумний компроміс.
Крім того, у
прийняття рішень неявно бере участь оточення ОПР, співробітники тієї
організації, від імені якої ОПР приймає рішення. Зазвичай ця група людей має
спільні погляди, спільні ціннісні установки. Саме цій групі ОПР в першу чергу
пояснює логічність, доцільність, обґрунтованість свого рішення. У зв'язку з
цим, хоча ОПР приймає індивідуальні рішення, вона враховує політику і
пріоритети даної групи осіб.
.3 Проблеми
індивідуального вибору
На практиці
індивідуальні задачі прийняття рішень досить розповсюджені в суспільстві. Незважаючи
на існування колегій, правлінь і рад, зазвичай є центральна фігура - ОПР, яка
визначає курс, тактику і стратегію дій на майбутній період. Від прозорливості
цього лідера, його особистих якостей залежить дуже багато. Серед таких якостей
у успішних ОПР обов'язково присутні вміння домовлятися з людьми, переконувати
їх у правильності і обґрунтованості своїх дій. Те ж саме ми бачимо в урядах,
політичних партіях - там завжди висуваються лідери, і саме вони приймають
основні рішення.
Широка
розповсюдженість задач індивідуального вибору, можливість враховувати
колективні пріоритети, привілеї і інтереси активних груп при рішенні цих задач
роблять зараз проблеми індивідуального вибору найбільш практично важливим
класом задач прийняття рішень. Тому особливу увагу варто приділяти саме
процесам прийняття індивідуальних рішень.
.4 Альтернативи
Варіанти дій
прийнято називати альтернативами. Альтернативи -невід'ємна частина проблеми
прийняття рішень: якщо немає з чого вибирати, то немає і вибору. Отже, для
постановки задачі прийняття рішень необхідно мати хоча б дві альтернативи.
Альтернативи
бувають залежними і незалежними. Незалежними є ті альтернативи, будь-які дії з
якими (виключення з розгляду, виділення у якості єдиної кращої тощо) не
впливають на якість інших. При залежних альтернативах оцінки одних з них
впливають на якість інших. Є різні типи залежності альтернатив. Найбільш
простим і очевидним с безпосередня групова залежність: якщо вирішено розглядати
хоча б одну альтернативу з групи, то потрібно розглядати і всю групу.
Задачі прийняття
рішень суттєво відрізняються також залежно від наявності альтернатив на момент
вироблення політики і прийняття рішень. Зустрічаються задачі , коли всі
альтернативи вже задані, визначені, і необхідно лише вибрати кращі з цієї
множини. Особливістю цих задач є замкнута множина альтернатив, що не
розширяється. Але існує багато задач іншого типу, де всі альтернативи або їх
значна частина з'являються після прийняття основних рішень. Наприклад,
необхідно розробити правило відкриття кредитів в банку для організацій чи
приватних осіб. Тут альтернативи (конкретні організації або особи) принципово
з'являються лише після вироблення і оголошення правил. Коли альтернатив багато
(сотні і тисячі), увага ОПР не може зосередитися на кожній з них. У таких
ситуаціях зростає необхідність у чітких правилах вибору, в процедурах
використання експертів, у розробці сукупності правил, які дають змогу втілювати
в життя несуперечливу і послідовну політику В усьому цьому існує потреба і
тоді, коли число альтернатив невелике (понад порядок). У таких задачах, як
наприклад, управління капіталом, основних альтернатив, з розгляду яких
починається вибір порівняно небагато. Але вони не є єдино можливими. Часто на
їх основі в процесі вибору виникають нові альтернативи. Первинні, основні
альтернативи не завжди задовольняють учасників процесу вибору. Однак вони
допомагають їм зрозуміти, чого конкретно не вистачає, що реалізується при даній
ситуації, а що ні. Цей клас задач можна назвати задачами з конструйованими альтернативами.
.5 Критерії
У сучасній науці
про прийняття рішень вважається, що варіанти рішень характеризуються різними
показниками їх привабливості для ОПР. Ці показники називають ознаками,
факторами, атрибутами або критеріями. Приймемо для подальшого викладу термін
"критерій".
Будемо називати
критеріями оцінки альтернатив показники їх привабливості (або непривабливості)
для учасників процесу вибору.
У більшості задач
вибору є досить багато критеріїв оцінок варіантів рішень. Ці критерії можуть
бути незалежними або залежними. Залежними називаються ті критерії, при яких
оцінка альтернативи по одному з них визначає (однозначно або великою мірою
ймовірності) оцінку по іншому критерію. Залежність між критеріями приводить до
появи цілісних образів альтернатив, які мають для кожного з учасників процесу
вибору певний зміст.
На складність задач
прийняття рішень впливає також кількість критеріїв. При невеликій кількості
критеріїв (два - три) задача порівняння двох альтернатив досить проста і
прозора, якості за критеріями можуть бути безпосередньо зіставлені і порівняно
легко знайти компроміс. При великій кількості критеріїв вони зазвичай можуть
бути об'єднаними в групи, які мають конкретне змістовне значення і назву.
Основою для природного групування критеріїв є можливість виділити плюси і
мінуси альтернатив, їх переваги і недоліки (наприклад, вартість і
ефективність). Такі групи, як правило, незалежні. Вплив структури на множині
критеріїв робить процес прийняття рішень більш осмисленим і ефективним.
Оцінка за критеріями.
Використання критеріїв для оцінки альтернатив вимагає визначення градацій
якості. Існують шкали оцінок за критеріями.
У прийнятті рішень
прийнято розрізняти шкали неперервних і дискретних оцінок, шкали якісних і
кількісних оцінок. Так, для критерію „вартість” можна використати неперервну
кількісну шкалу оцінок (у грошових одиницях). Для критерію "наявність
розрахункового рахунку в банку" може бути використана якісна двійкова
шкала: є або немає. Крім категорій "якісні - кількісні", "неперервні
- дискретні" в прийнятті рішень розрізняють такі типи шкал.
.Шкала порядку -
оцінки впорядковані по зростанню чи спаданню якості. Прикладом може служити
шкала для ціни товару:
1низька
ціна товару;
2доступна
ціна товару;
3висока
ціна товару.
2.
Шкала рівних інтервалів -
інтервальна шкала. Для цієї шкали є рівні відстані за зміною якості між
оцінками. Наприклад, шкала додаткового прибутку для підприємця може бути такою.
І мли.. 2 млн, 3 млн. і т. д. Для інтервальної шкали характерно, що початок
відліку вибирається довільно, так само, як і крок (відстань між оцінками)
шкали.
3.
Шкала пропорційних оцінок - близька
до ідеальної шкали. Прикладом є шкала оцінок за критерієм вартості, відлік в
якій починається з встановленого значення (наприклад, з нульової вартості). У прийнятті
рішень найчастіше використовуються порядкові шкали і шкали пропорційних оцінок.
.6 Процес прийняття
рішень
Проблеми прийняття
рішень і поведінка особи, яка приймає ці рішення, останнім часом заслуговують
дедалі більшої. Це зумовлено зростаючим динамізмом навколишнього інформаційного
середовища, збільшенням взаємопов'язаності багатьох рішень, різким темпом
науково-технічного прогресу. Керівники, приймаючи рішення, мають справу зі
складним вибором та необхідністю генерування і розгляду множини альтернативних
варіантів дій. Дія оцінки варіантів використовуються знання спеціалістів,
складні аналітичні розрахунки, наукові дослідження, системи й засоби сучасної
інформаційної технології.
Прийняття рішень не
є одномоментний акт. Г. Саймон [149] виділяє у ньому три етапи: пошук
інформації, пошук і знаходження альтернатив і вибір кращої альтернативи. Взявши
за основу класифікацію етапів процесу прийняття рішень за Г. Саймоном, доцільно
сформувати їх так: етап цілевиявлення: етап розробки і прийняття рішень; етап
організації і контролю. На першому етапі збирається вся доступна на момент
прийняття рішення інформація: фактичні дані, думка експертів. Там, де це
можливо, будуються математичні моделі; проводяться соціологічні опитування;
визначаються погляди на проблему зі сторони фахівців, що впливають на її
вирішення.
Рис. 1.1.
Структурна схема підготовки і прийняття рішень
Другий етап
пов'язаний з визначенням варіантів рішень (альтернатив). Третій цього процесу
(цілевиявлення, розробка і прийняття рішень, організація виконання й контроль)
стають дедалі актуальнішими (рис. 1.1). етап включає в себе порівняння
альтернатив, вибір найкращого варіанту (варіантів) рішення і контроль
реалізації рішень. Питання підтримки рішень на всіх стадіях
Фактично проблема
полягає в моделюванні й автоматизації на цій підставі творчої частини праці
відповідальної групи працівників організаційного управління - керівників усіх
рангів і осіб, які приймають рішення, в реальних умовах їх діяльності.
Проблеми прийняття
рішень в організаційному управлінні є унікальними й нестандартними, але вони в
своїй ситуаційній основі мають загальні риси [39; 94]:
1
неповторність ситуації вибору:
2
складний для оцінки характер
альтернатив, що розглядаються;
3
недостатня визначеність наслідків
дій (невизначеність післядій):
4
наявність сукупності різнорідних
факторів, які необхідно враховувати під час прийняття рішень;
5
наявність особи або групи осіб, які
несуть відповідальність за прийняття рішень.
Типові задачі прийняття
рішень
З наведених раніше
етапів процесу прийняття рішень найбільша увага традиційно приділяється
третьому етапові. За визнанням важливості пошуку інформації і виділення
альтернатив йде розуміння того, що ці етапи, більшою мірою, неформалізовані.
Способи проходження етапів залежать не тільки від змісту задачі прийняття
рішень, але й від досвіду, кваліфікації ОПР і її оточення. Хоча ці ж фактори
присутні і при порівнянні альтернатив, тут їх роль значно менша. Науковий
аналіз проблем прийняття рішень починається з моменту, коли хоча б частина
альтернатив і/або критеріїв відома.
У сучасній науці
про прийняття рішень центральне місце займають багатокритеріальні задачі
вибору. Вважається, що врахування багатьох критеріїв наближує постановку задачі
до реального життя. Традиційно прийнято розрізняти три основні задачі прийняття
рішень.
1.
Впорядкування альтернатив. Для низки
задач є достатньо обґрунтованою вимога визначити порядок на множині
альтернатив. Так, керівники підприємств впорядковують за прибутковістю об'єкти
капіталовкладень, керівники банків впорядковують своїх клієнтів за розмірами їх
вкладів тощо. У загальному випадку вимога впорядкування альтернатив означає
визначення відносної цінності кожної з альтернатив.
2.
Розподіл альтернатив за класами рішень.
Такі задачі часто зустрічаються у повсякденному житті. Наприклад, групи товарів
розрізняють за якістю.
3.
Виділення кращої альтернативи. Ця
задача традиційно вважалась однією з основних у прийнятті рішень. Вона часто
зустрічається на практиці. Вибір інвестиційного проекту, вибір банку для
розміщення депозиту тощо. Крім того, такі задачі розповсюджені у світі
політичних рішень, де альтернатив порівняно небагато, але вони досить складні
для вивчення та порівняння. Особливістю багатьох задач прийняття політичних
рішень є конструювання нових альтернатив у процесі рішення проблем.
Узгодженість інтересів ОПР і активних груп.
У зв'язку з цим
розумна ОПР повинна вже на перших етапах вивчення проблеми виділити активні
групи, оцінити за їхніми критеріями наявні альтернативи і спробувати знайти
прийнятне для всіх рішення.
Зазначимо, що в
усіх практичних задачах необхідно проводити пошук рішення, що враховує як
інтереси ОПР, так і інтереси активних груп.
2. Практична частина
.1 Система змінних
Для запису математичної моделі
введемо наступні позначення (змінні)
По умові задачі перша група змінних
(х1-х8), позначає кількість агрегатів відповідного типу, що використовуються на
роботах у агротехнічний період збору урожаю
х1 - МТЗ-82 та БМ-6
виконують Скошування гички;
х2 - ДТ-75М та БМ-6
виконують Скошування гички
х3 - Т-70С БМ-6 виконують
Скошування гички
х4- МТЗ-82 РКС-6виконують
Викопування коренеплодів
х5- ДТ-75М РКС-6виконують
Викопування коренеплодів
х6- Т-70С РКС-6виконують
Викопування коренеплодів
х7- МТЗ-82 ЕКВГ-1,4виконують
Погрузка коренеплодів
х8- МТЗ-82 плоскоріз
виконують Плоскорізний обробіток
2.2 Система обмежень
Перша група обмежень забезпечує
виконання заданих об’ємів робіт за 1 агротехнічний період. Так перше обмеження
вказує, що з допомогою будь-якої комбінації агрегатів тракторів МТЗ-82 та БМ-6
необхідно обов’язково виконати скошування гички на площі 480 га:
х1+63 х2+86 х3=480
Коефіцієнти вказують виробничі
характеристики агрегатів на скошуванні гички за весь період збору урожаю (га).
Друге обмеження - виконання
викопування коренів:
х4+225 х5+108
х6=480
Третє обмеження - виконання погрузки
коренеплодів:
х7=480
Четверте обмеження - виконання
плоско різного обробітку:
х8=480
Математичний запис умов по
обов’язковому виконанню об’єму всіх сільськогосподарських робіт має вигляд:
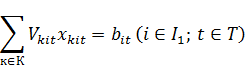
Де κ-
номер
виду агрегату; К - множина, множина номерів видів агрегатів; і - номер
обмеження по виконанню робіт; Іі множина номерів обмежень по обов’язковому
виконанню заданих об’ємів робіт; t - номер розрахункового періоду виконання
робіт; Т - множина номерів розрахункових періодів; xkit - змінна,
яка позначає кількість агрегатів к-го виду, які виконують і-ту роботу в t-й
період; Vkit -техніко-економічний коефіцієнт, що позначає потужність
к-го агрегату, який виконує і-ту роботу за t-й період bit -
константа, позначає заданий об’єм виконаної i-ї роботи в t-й період.
Друга група обмежень відображає
баланс використання тракторів та сільськогосподарських машин різних марок за
кожний період.
Так, восьме обмеження визначає, що
наявні трактори марки ДТ-75М (2 шт) та придбані (х22) (1 шт) повинно
бути не менше необхідної кількості для всіх працюючих в перший період агрегаті,
у склад яких входить цей трактор
х1+9 х4+ 9х7+8х8
≤ 60
Аналогічно будуємо запис умови по
використанню трактора МТЗ-80
х2+9 х5 ≤
60
Аналогічно будуємо запис умови по
використанню трактора Т-40М
Х7+х9 ≤
60
Наступні три обмеження аналогічні
трьом попереднім - кількість борон, культиваторів і катків повинно
забезпечувати всі агрегати в 1 періоді.
х1+ 2х2+3 х3
≤ 60
х4+5х5+6 х6-х23≤
30
Х7 ≤ 30
Х9 ≤ 60
Тут техніко-економічні коефіцієнти
при змінних позначають кількість борон, культиваторів та котків, що входять до
складу агрегату. Константи показують кількість наявних одиниць техніки відповідної
марки.
Останні шість обмежень позначають
собою баланс використання тракторів та машин у 2 періоді
По використанню ДТ-75М
х1+ х4+х7
+ х8≤ 2
Придбання невистачаючих тракторів
ДТ-75М відображається у змінній х22.
По використанню МТЗ-80 та Т-40М:
Х2+ 2х5 ≤
2
Х3+ 2х6 ≤
2
По використанню борони БЗТС-1,0,
зернових сіялок С3-3,6 та картоплесаджалок СН-4Б-1.
Х7 ≤1
Х8≤ 1
Запис обмежень по використанню
тракторів та сільськогосподарських машин по марках та періодах в моделі
оптимізаці
ї доукомплектування машино-тракторного
парку має наступний вигляд:
Де yi - кількість
тракторів та машин i-ї марки; Dj- константа, відображає наявність у
господарстві техніки j-ї марки; lj
kit - техніко-економічний коефіцієнт,
який вказує кількість тракторів та машин j-ї марки, що входять до складу
агрегату k-го виду, який виконує i-ту роботу за t-й період. Ця група обмежень в
модулі оптимального комплектування машино-тракторного парку має вигляд:
Як видно, у запису відсутні змінні
щодо вибування машин yi та немає константи, яка вказує наявність
техніки j-ї марки. Тому змінна xj позначає повну потребу
підприємства в техніці j-ї марки. Математичний запис обмежень по балансу
техніки за марками на кожен період в модулі оптимізації використання парку має
вигляд
Або у випадку відсутності змінних yi
по кількості техніки j-ї марки, яка списується.
Як видно, в моделі оптимізації
використання машинно-тракторного парку відсутні змінні xj позначає
придбання тракторів та сільськогосподарських машин j-ї марки.
В моделі також може бути присутня
третя група обмежень - по виконанню технологічно пов’язаних робіт у визначеній
послідовності.
Де l - індекс взаємозв’язаних між
собою робіт по строкам та способам виконання; L - множина, яка включає номера
обмежень по технологічно пов’язаним роботам; al(l+1) -
коефіцієнт об’ємів робіт l та l+1.
Якщо одна з робіт з номером l,
наприклад скошування зеленої маси кукурудзи вимірюється в га, а наступна -
перевезення зеленої маси - в ц, то коефіцієнт al(l+1)
Буде мати розмірність ц/га.
Потреба введення в модель третьої
групи обмежень виникає, коли окремі види робіт можуть виконуватись не в один, а
за декілька періодів. В цьому випадку першу групу обмежень записують так:
Четверта група обмежень в будь-якій
моделі оптимізації машино-тракторного парку та його використання - це
невід’ємність змінних величин:
Цільова функція
В якості критерію оптимальності
використовується мінімум затрат. Цільова функція по даному критерію буде мати
вигляд:(x)=70x1+63x2+86,8x3+x4+x5+x6+x7+x8®min
Коефіцієнти цільової функції при
змінних, які позначають кількість агрегатів, вказують поточні експлуатаційні
затрати, а при змінних, які позначають кількість придбаних тракторів та
автомобілів, - добуток балансової вартості на нормативний коефіцієнт
ефективності (0,15). Повністю модель оптимальної доукомплектації
иашино-тракторного парку наведена в таблиці.
Запис цільової функції моделі
оптимізації доукомплектації машино-тракторного парку має наступний вигляд:
Математичний запис цільової функції
моделі оптимізації комплектування машино-тракторного парку має деякі
відмінності:
Тобто відсутні змінні по вибуванню
(списанню техніки).
Для моделі оптимізації використання
машино-тракторного парку запис цільової функції буде мати вигляд:
Тобто порівняно з моделлю
доукомплектації відсутні змінні по докупці тракторів (машин).
Задачі по оптимізації складу
машино-тракторного парка та його використання можуть бути реалізовані не тільки
симплексним, але й розподільним методом лінійного програмування.
2.3 Розрахунок МТП, реалізований за
допомогою табличного процесора EXCEL
Обсяг робіт у періоді Збирання
врожаю по культурі цукрового буряка
|
Вид роботи
|
Цукровий буряк
|
|
|
|
|
|
Загальні площі
|
Агротехнічні періоди, дні
|
|
|
|
|
|
|
Скошування гички
|
480
|
|
|
|
|
|
480
|
7
|
|
|
|
|
|
|
Викопування коренплодів
|
480
|
|
|
|
|
|
480
|
9
|
|
|
|
|
|
|
Погрузка коренеплодів
|
480
|
|
|
|
|
|
480
|
9
|
|
|
|
|
|
|
Плоскорізний обробіток
|
480
|
|
|
|
|
|
480
|
8
|
|
|
|
|
|
|
Скошування гички
|
МТЗ-82
|
2
|
БМ-6
|
2
|
10
|
14
|
14
|
196
|
3,97
|
7
|
27,79
|
223,79
|
|
ДТ-75М
|
2
|
БМ-6
|
|
9
|
14
|
|
196
|
4,41
|
|
30,87
|
226,87
|
|
Т-70С
|
2
|
БМ-6
|
|
12,4
|
15,6
|
|
218,4
|
3,2
|
|
22,4
|
240,8
|
|
Викопування коренплодів
|
МТЗ-82
|
2
|
|
1
|
32
|
8
|
|
112
|
1,07
|
|
7,49
|
119,49
|
|
ДТ-75М
|
2
|
РКС-6
|
|
25
|
6,7
|
|
93,8
|
1,37
|
|
9,59
|
103,39
|
|
МТЗ-82
|
2
|
РКС-6
|
|
12
|
4
|
|
56
|
2,28
|
|
15,96
|
71,96
|
|
Погрузка коренеплодів
|
МТЗ-82
|
0
|
ЕКВГ-1,4
|
1
|
32
|
2,5
|
|
35
|
0,75
|
|
5,25
|
40,25
|
|
Плоскорізний обробіток
|
МТЗ-82
|
5
|
плоскоріз
|
1
|
30
|
1,6
|
|
22,4
|
0,8
|
|
5,6
|
28
|
|
|
х1
|
х2
|
х3
|
х4
|
х5
|
х6
|
х7
|
х8
|
|
|
|
|
|
Скошування гички
|
га
|
70
|
63
|
86,8
|
|
|
|
|
|
683,2
|
>=
|
480
|
Обмеження по площах посівів
|
|
Викопування коренеплодів
|
га
|
|
|
|
288
|
225
|
108
|
|
|
777,72
|
>=
|
480
|
|
|
Погрузка коренеплодів
|
га
|
|
|
|
|
|
|
288
|
|
0
|
>=
|
480
|
|
|
Плоскорізний обробіток
|
га
|
|
|
|
|
|
|
|
240
|
0
|
>=
|
480
|
|
|
МТЗ-82
|
дні
|
7
|
|
|
9
|
|
|
9
|
8
|
21
|
<=
|
60
|
Обмеження по періоду весняних робіт (30 днів)
|
|
ДТ-75М
|
дні
|
|
7
|
|
|
9
|
|
|
|
41
|
<=
|
60
|
|
|
Т-70С
|
дні
|
|
|
7
|
|
|
9
|
|
|
36,56
|
<=
|
60
|
|
|
БМ-6
|
дні
|
2
|
2
|
2
|
|
|
|
|
|
|
<=
|
60
|
|
|
РКС-6
|
дні
|
|
|
|
1
|
1
|
1
|
|
|
|
<=
|
30
|
|
|
ЕКВГ-1,4
|
дні
|
|
|
|
|
|
|
1
|
|
|
<=
|
30
|
|
|
плоскоріз
|
дні
|
|
|
|
|
|
|
|
1
|
0
|
<=
|
60
|
шт
|
1
|
|
|
|
|
|
|
|
3
|
<=
|
2
|
Обмеження по кількості тракторів
|
|
ДТ-75М
|
шт
|
|
1
|
|
|
|
|
|
|
2
|
<=
|
2
|
|
|
Т-70С
|
шт
|
|
|
1
|
|
|
|
|
|
4
|
<=
|
2
|
|
|
БМ-6
|
шт
|
1
|
1
|
1
|
|
|
|
|
|
9
|
<=
|
2
|
Обмеження по кількості обладнання
|
|
РКС-6
|
шт
|
|
|
|
1
|
|
|
|
|
0
|
<=
|
1
|
|
|
ЕКВГ-1,4
|
шт
|
|
|
|
|
1
|
1
|
|
|
3,951111
|
<=
|
1
|
|
|
плоскоріз
|
шт
|
|
|
|
|
|
|
1
|
|
0
|
<=
|
1
|
|
|
грн
|
223,79
|
226,87
|
240,8
|
119,49
|
103,39
|
71,96
|
40,25
|
28
|
|
|
|
|
|
Кількість зв'язок даного типу
|
3
|
2
|
4
|
0
|
3
|
0,951111
|
0
|
0
|
|
|
|
|
|
Витрати
|
671,37
|
453,74
|
963,2
|
0
|
310,17
|
68,44196
|
0
|
0
|
|
|
|
|
|
|
2466,922
|
|
|
|
|
|
|
|
|
|
|
|
|
|
|
|
|
|
|
|
|
|
|
|
|
|
|
Обсяг робіт у періоді Збирання
врожаю по культурі цукрового буряка
|
Вид роботи
|
Цукровий буряк
|
|
|
|
|
|
Загальні площі
|
Агротехнічні періоди, дні
|
|
Скошування гички
|
480
|
|
|
|
|
|
=СУММ(B3:G3)
|
7
|
|
Викопування коренплодів
|
480
|
|
|
|
|
|
=СУММ(B4:G4)
|
9
|
|
Погрузка коренеплодів
|
480
|
|
|
|
|
|
=СУММ(B5:G5)
|
9
|
|
Плоскорізний обробіток
|
480
|
|
|
|
|
|
=СУММ(B6:G6)
|
8
|
|
Склад машино-тракторного парку
|
|
|
|
|
|
|
Вид робіт
|
Марка трактора
|
Кількість тракторів
|
Причіпне та навсне обладнання
|
кількість обладнання
|
Норми виробітку за зміну (7 годин)
|
Паливо за 1 год
|
Вартість 1 л палива
|
|
Скошування гички
|
МТЗ-82
|
2
|
БМ-6
|
2
|
10
|
14
|
14
|
|
ДТ-75М
|
2
|
БМ-6
|
|
9
|
14
|
|
|
Т-70С
|
2
|
БМ-6
|
|
12,4
|
15,6
|
|
|
Викопування коренеплодів
|
МТЗ-82
|
2
|
|
1
|
32
|
8
|
|
|
ДТ-75М
|
2
|
РКС-6
|
|
25
|
6,7
|
|
|
МТЗ-82
|
2
|
РКС-6
|
|
12
|
4
|
|
|
Погрузка коренеплодів
|
МТЗ-82
|
0
|
ЕКВГ-1,4
|
1
|
32
|
2,5
|
|
|
Плоскорізний обробіток
|
МТЗ-82
|
5
|
плоскоріз
|
1
|
30
|
1,6
|
|
|
|
МТЗ-82 БМ-6
|
ДТ-75М БМ-6
|
Т-70С БМ-6
|
МТЗ-82 РКС-6
|
ДТ-75М РКС-6
|
Т-70С РКС-6
|
МТЗ-82 ЕКВГ-1,4
|
|
|
х1
|
х2
|
х3
|
х4
|
х5
|
х6
|
х7
|
|
Скошування гички
|
га
|
=$G11*$I$3
|
=$G12*$I$3
|
=$G13*$I$3
|
|
|
|
|
|
Викопування коренеплодів
|
га
|
|
|
|
=G14*I4
|
=G15*I4
|
=G16*I4
|
|
|
Погрузка коренеплодів
|
га
|
|
|
|
|
|
|
=G17*I5
|
|
Плоскорізний обробіток
|
га
|
|
|
|
|
|
|
|
|
МТЗ-82
|
дні
|
=$I$3
|
|
|
=I4
|
|
|
=I5
|
|
ДТ-75М
|
дні
|
|
=$I$3
|
|
|
=I4
|
|
|
|
Т-70С
|
дні
|
|
|
=$I$3
|
|
|
=I4
|
|
|
БМ-6
|
дні
|
=F11
|
=F11
|
=F11
|
|
|
|
|
|
РКС-6
|
дні
|
|
|
|
=F14
|
=F14
|
=F14
|
|
|
ЕКВГ-1,4
|
дні
|
|
|
|
|
|
|
=F17
|
|
плоскоріз
|
дні
|
|
|
|
|
|
|
|
|
МТЗ-82
|
шт
|
1
|
|
|
|
|
|
|
|
ДТ-75М
|
шт
|
|
1
|
|
|
|
|
|
|
Т-70С
|
шт
|
|
|
1
|
|
|
|
|
|
БМ-6
|
шт
|
1
|
1
|
1
|
|
|
|
|
|
РКС-6
|
шт
|
|
|
|
1
|
|
|
|
|
ЕКВГ-1,4
|
шт
|
|
|
|
|
1
|
1
|
|
|
плоскоріз
|
шт
|
|
|
|
|
|
|
1
|
|
грн
|
=$N11
|
=$N12
|
=$N13
|
=$N14
|
=$N15
|
=$N16
|
=$N17
|
|
Кількість зв'язок даного типу
|
3
|
2
|
4
|
0
|
3
|
0,951111111111113
|
0
|
|
Витрати
|
=C40*C41
|
=D40*D41
|
=E40*E41
|
=F40*F41
|
=G40*G41
|
=H40*H41
|
=I40*I41
|
|
|
=СУММ
|
|
|
|
|
|
|
2.4 Оптимізація МТП, реалізована за
допомогою табличного процесора EXCEL
тракторний парк доукомплектування баланс
Таким чином, рішення даної задачі
оптимізації машино-тракторного парку може бути отримане за допомогою лінійної
моделі, що включає цільову функцію і обмеження.
Як неважко відмітити, перед нами
звичайна лінійна модель, підготовка і рішення якої здійснене засобами
електронної таблиці Excel.
У першій (верхній) частині моделі
містяться дані про виконання заданих об’ємів робіт за період збору урожаю
Обмеження по площах посівів.
У другій частині моделі містяться
дані про виконання заданих об’ємів робіт та Обмеження по періоду весняних робіт
(30 днів).
У третій частині моделі знаходяться
керовані змінні (величини яких ми шукаємо), змінні, Обмеження по кількості
тракторів.
У четвертій частині моделі
знаходяться Обмеження по кількості обладнання
Клітинки К22:К39 містять значення
змінних, що виражають відхилення керованих змінних від встановлених цільових
обмежень (у сенсі недовиконання або перевиконання останніх). У клітинках
AЕ7:AЕ31 знаходяться формули для розрахунку лівих частин цільових обмежень.
Записана в клітинку С43 формула
Оскільки знаходження рішення задачі
цільового програмування є ітеративний процес, в якому нам може потрібно
змінювати ваги відхилень, їх слід розташовувати в окремій частині таблиці.
Цільова функція завдання, що має наступний вигляд
=СУММПРОИЗВ(C22:J22;$C$41:$J$41)
записується в клітинку С43.
Для роботи з масивами використовуємо
комбінацію клавш [Ctrl]+[Shift]+[Enter] Дану формулу, використовуючи маркер
авто заповнення копіюємо в діапазон клітинок AЕ7:AЕ32
Рішення побудованою в MS Excel
моделі проводиться з використанням режиму ПОИСК РЕШЕНИЯ (ПОШУК РІШЕННЯ) меню
СЕРВИС (СЕРВІС), що використовує для установки параметрів діалогові вікна, приведені
на Рис. 1 і 2
Активуючи команду меню Данные група
команд Анализ команда Поиск решения. Отримаєм діалогове вікно додавання
обмежень по певних групах обмежень, що активується кнопкою Добавить.
Рис. Діалогове вікно ПАРАМЕТРИ
РЕШЕНИЯ для вирішення завдання цільового програмування.
Рис. Діалогове вікно ПОИСК РЕШЕНИЯ
для вирішення завдання цільового програмування
Аналіз рішення. У приведеному в
першому рішенні задачі цільового програмування ми бачимо, що цільові обмеження
по кількості одиниць техніки машино-тракторного парку виконані в точній
відповідності з поставленими вимогами. Проте набутих в рішенні значень Змінні
по придбанню техніки становлять 2 агрегати БМ-6 на базі трактора Т-70С.
Змінні по придбанню техніки
становлять 2 агрегати РКС-6 на базі трактора ДТ-75М. На базі трактора МТЗ-82 по
одному агрегату ЕКВГ-1,4 та один плоскоріз.
При цьому використання БМ-6 на базі
МТЗ-82 та ДТ-75М є недоцільним.
Висновки
1. При вирішенні
економіко-математичних задач всі питання вирішуються в строго кількісних
пропорціях між усіма сторонами виробництва в єдиній балансової взаємозв’язку
між ними. Перевага їх полягає в забезпеченні оптимальних рішень, а реалізація
їх на ЕОМ дозволяє отримувати ці рішення за короткий проміжок часу. При цьому
забезпечується економічна оцінка плану як єдиного комплексу галузей з
урахуванням усіх що впливають на нього факторів.
. Результати рішення
економіко-математичної моделі показали, що господарство забезпечене технікою та
сільськогосподарськими машинами не на повну потужність.
. Аналогічна ситуація з дефіцитом
техніки та сільгоспмашин характерна не тільки для даного підприємства, але і
для господарств всієї країни. Зрозуміло, господарства самостійно не в змозі
провести інвестиції такого обсягів. Одним із способів виходу із ситуації є
найтісніша інтеграція сільськогосподарських підприємств з сильними
підприємствами.
. Агропромисловому комплексу країни
необхідно враховувати накопичений позитивний досвід оптимізації
машино-тракторного парку підприємств АПК.
Література
1.
Довідник сільського інженера. В.Д. Гречкосій. - К.: Урожай, 1991. - 398с.
.
Ільченко В.Ю. Практикум з машиновикористання в рослинництві. - Дніпропетровськ:
ДДАУ, 1999 - 185 с.
.
Иофинов С.А. Эксплуатация машинно-тракторного парка. - М.: Колос, 1984. - 351
с.
.
Ільченко В.Ю., Кобець А.С., Кухаренко П.М. та ін. Практикум з використання
машин у рослинництві. - Дніпроперовськ: ДДАУ, 2002. - 212 с.
.
Механізовані польові роботи. Методика розрахунку та витрати палива на основний
обробіток грутну. - К.: ТОВ Комплекс Віта, 1997. - 247 с.
.
Механізовані польові роботи. Методика розрахунку, норми витрати палива на
сівбі, садінні, догляду за сільськогосподарськими культурами. - К.: ТОВ
Комплекс Віта, - 1996. - 480 с.
.
Механізовані польові роботи. Методика розрахунку, норми витрати пального на
збиранні сільськогосподарських культур. - К.: ТОВ Комплекс Віта, - 1996. - 655
с.
.
Тракторо-траспортні роботи. Методика розрахунку та норма виробітку і витрату
пального. - К.: ТОВ Комплекс Віта, - 1996. - 486 с.
.
Фере Н.Є. Пособие по эксплуатации машинно-тракторного парка. М.: Колос, 1978. -
256 с.
.
Карасьов П.І. Узгодження роботи зернових комбайнів і транспортних засобів. -
Дніпропетровськ: ДДАУ, - 2002. - 23 с.