Получение математических моделей детерминированных и стохастических объектов на основе данных пассивного эксперимента

  • Вид работы:
    Курсовая работа (т)
  • Предмет:
    Менеджмент
  • Язык:
    Русский
    ,
    Формат файла:
    MS Word
    777,98 Кб
  • Опубликовано:
    2014-08-12
Вы можете узнать стоимость помощи в написании студенческой работы.
Помощь в написании работы, которую точно примут!

Получение математических моделей детерминированных и стохастических объектов на основе данных пассивного эксперимента

Реферат

Пояснительная записка 42 стр.; 4 табл.; 7 рис.; 4 использованных источника; 1 приложение.

Ключевые слова: идентификация, математическое моделирование; переходная характеристика; аппроксимация; регрессия; пассивный эксперимент.

Представленная работа посвящена получению математических моделей детерминированных и стохастических объектов.

Объектами исследований выбраны третий корпус выпарной установки и ректификационная колонна, предназначенная для разделения изопентан-пентан-гексановой фракции.

Целью данной работы является получение математической модели детерминированного и стохастического объекта управления, которая применяется в алгоритмах управления технологическими процессами.

В работе решены следующие задачи: получена математическая модель детерминированных и стохастических объектов по данным пассивного эксперимента. Была проведена аппроксимация экспериментальной кривой разгона последовательностью одинаковых апериодических звеньев и методом Симою и проверка адекватности полученного уравнения регрессии.

Содержание

математический моделирование детерминированный стохастический

Вступление

. Методы моделирования технологических объектов

.1 Математическое моделирование детерминированных объектов управления

.2 Математическое моделирование стохастических объектов

.3 Основные теоретические положения теории идентификации

. Идентификация объектов управления по переходной характеристике

.1 Сглаживание экспериментальной кривой разгона

.2 Аппроксимация переходной характеристики

.2.1 Аппроксимация последовательностью одинаковых апериодических звеньев

.2.2 Аппроксимация сглаженной переходной характеристики методом Симою

.3 Идентификация объекта по переходной характеристике

Выводы по разделу

. Математическое моделирование объектов статистическими методами по данным пассивного эксперимента

.1 Метод наименьших квадратов (МНК)

.2 Метод множественной линейной регрессии

.3 Математическое моделирование объекта по данным пассивного эксперимента

Выводы к разделу

Выводы

Список источников информации

Вступление

Объектом управления называют технологический процесс или аппарат, режим которого зависит от внешних влияний и может поддерживаться на заданном уровне автоматической системой управления. Примером объекта управления является теплообменный аппарат, конденсатор ректификационная колонна, абсорбер, часть трубопровода и др.

Входы объекта управления делятся на управляющие влияния - управления и возмущающие влияния - возмущения. Управляющие влияния являются результатом действий регулятора. Они обеспечиваются через исполняющий устройство или регулирующий орган. Таким образом, управляющее влияние является выходом регулятора и входом объекта управления.

Объекты управления могут иметь несколько выходных и входных параметров. Одни входные параметры влияют на выходные значительнее, другие влияют меньше. Для оценки силы влияния входных параметров на выходные используют понятие чувствительности. Чувствительность канала влияния оценивается отношением изменения выходной величины ΔУ на смену входной величины ΔХ. Отношение ΔУ/ΔХ называют коэффициентом передачи объекта. Чем больший коэффициент передачи (чувствительность канала), тем эффективнее управление за этим каналом.

Объект управления может работать в стационарном и динамическом режимах. В процессе нормальной эксплуатации объекты управления, как правило, находятся в неустановившихся, переходных, динамических режимах. Поведение объекта управления в динамическом режиме определяют его динамические свойства, основные из которых такие: аккумулирующая способность самовыравнивание и быстродействие.

Аккумулирующая способность - это свойство объектов накапливать вещество или энергию в переходных режимах. Объект управления может иметь одну или несколько аккумулирующих емкостей. Например, ресивер имеет одну емкость, а рекуперативный теплообменник - две.

Самовыравнивание объекта управления - способность объекта самостоятельно возвращаться в равновесное состояние после изменения своей входной величины. Исходя из критерия самого выравнивания, объекты управления делят на объекты с самим выравниванием и без самого выравнивания.

Быстродействие объекта управления - это скорость появления реакции объекта на возмущающий влияние. Объекты с мгновенной реакцией на ступенчатое возмущения называются безынерционными. Объекты, которые имеют значительную часовую задержку на возмущение, называют инерционными.

Задержка по времени реакции объекта на ступенчатое возмущение может иметь две причины: инерционность объекта то наличие чистого или транспортного запаздывания. Постоянной времени объекта называется время, за которое его исходная величина достигала бы нового постоянного значения после нанесения возмущения, если бы скорость ее изменения оставалась бы равной начальной. Постоянная времени объекта определяет его динамические свойства. Чем она больше, тем большая длительность переходного процесса, и, напротив.

Целью данной работы является получение математической модели объекта управления, которое применяется в алгоритмах управления технологическими процессами.

. Методы моделирования технологических объектов

Моделирование является наиболее распространенным методом исследования свойств промышленных объектов. Процесс моделирования - это изучение свойств объекта моделирования путем анализа аналогичных свойств его модели. Различают два основных метода моделирование: физический и математический.

Физические модели воспроизводят все свойства изучаемых явлений. Математические модели сравнительно с физическими являются более универсальными дешевыми, удобными в применении. Использование ЭВМ при исследовании математических моделей дает значительный выигрыш во времени и средствах. Математическое моделирование является основным методом исследования технологических процессов. Математические модели применяются в системах автоматизации проектирование (САПР) технологических процессов, в автоматизированных системах научных исследований (АСНИ) и в автоматизированных системах управление технологическими процессами (АСУТП).

.1 Математическое моделирование детерминированных объектов управления

Детерминированные объекты регулирования - объекты, в которых существует однозначная зависимость между входом и выходом.

В практике инженерных расчетов более распространенные экспериментальный метод получения математических моделей объектов управление. Позволяет получить математическое описание действующего объекта без исследования его внутренней структуры. Если существует однозначная зависимость между входами и выходами объекта, то получают детерминированную математическую модель. Задачами экспериментальных методов исследования динамики является выявление реакции объекта на возмущение определенной формы. Экспериментальные данные фильтруют от помех и заменяют (аппроксимируют) математическими выражениями.

Экспериментальные методы получения динамических моделей более простые, менее трудоемкие и более точные чем аналитические методы. Однако получены экспериментальным путем динамические характеристики конкретный объект не отображают внутренние взаимосвязи в объекте, и его структуру. Это не дает возможность результаты получены на конкретном объекте перенести на другие однотипные объекты.

.2 Математическое моделирование стохастических объектов

В стохастических системах объект представляется в виде "черного ящика" - кибернетической системе, в которой единственной доступной информацией являются её входные и выходные переменные.

Аналитические методы математического моделирования базируются на наиболее общих законах природоведения: законах сохранения материи и энергии, зависимостях теплопередачи, гидростатики, гидродинамики и др.

Аналитические модели учитывают конструктивные характеристики объектов, их физико-химические и технологические особенности. Этот метод позволяет получить математические модели для действующих объектов, объектов что сооружаются и тех, которые только проектируются.

Основной недостаток аналитических моделей их недостаточная точность из-за упрощений и предположений, которые принимаются во время разработки модели.

Повышение точности таких моделей приводит к их осложнению, что затрудняет их использования на практике.

1.3 Основные теоретические положения теории идентификации

Процесс определения характеристик объектов управления по данным экспериментальных исследований называется идентификацией.

Идентификация - это процесс определения структуры и параметров математической модели, которые при одинаковых входных сигналах объекта и модели обеспечивают близость выхода модели к выходу объекта при наличии какого- либо критерия качества.

Методы идентификации разделяют на методы структурной идентификации и параметрической идентификации. Методы структурной идентификации предназначенные для определения структуры и параметров математической модели. В методах параметрической идентификации рассчитываются параметры модели известной структуры.

В данной работе рассматриваются методы параметрической идентификации. В этих методах вид математической модели выбирается на основе предыдущего анализа свойств объекта. Коэффициенты математической модели получают путем обработки и анализа экспериментальных данных. Результатом эксперимента является график динамической характеристики, который отображает реакцию исходной величины объекта моделирования на определенное возмущение.

Наиболее распространенным методом параметрической идентификации объектов управление является методом переходных характеристик. Этот метод базируется на исследовании поведения объекта управления после нанесения возмущения ступенчатой формы.

2. Идентификация объектов управления по переходной характеристике

Реакцию объекта на ступенчатый входной сигнал называют кривой разгона. Переходная характеристика - это частный случай кривой разгона, что бывает при единичном ступенчатом влиянии.

Процесс идентификации объекта управления методом переходных характеристик можно разбить на несколько этапов:

предварительная подготовка и проведение эксперимента по определению переходной характеристики;

предварительная обработка результатов эксперимента;

аппроксимация полученной характеристики передаточными функциями.

Предварительная подготовка к проведению эксперимента: Экспериментальное исследование объекта управления начинается с изучение технологического процесса и определение места объекта в нем его входных и исходных параметров. На предыдущем этапе выбирают метод исследования, каналы влияния, величины и формы возмущающих действий. Возмущение должно быть достаточно существенное, но такое, чтобы не вывело объект моделирование из нормального режима. Как правило, для определения переходных характеристик применяется ступенчатое возмущение величиной 10-15% от номинального значения входного параметра.

Проведение эксперимента: технологическую установку переводят на ручное управление. Стабилизируют все существенные входные возмущения. Вносят ступенчатое возмущение регулирующим органом и на диаграммах всех регистрирующих приборов отмечают время начала эксперимента. Запись значений входных и исходных параметров проводят к получению участка переходной характеристики с устоявшейся скоростью ее изменения. При отсутствии помех при каждом режиме снимают не менее четырех графиков. При наличии значительных внешних возмущений снимают 8-10 графиков.

Предварительная обработка результатов эксперимента: как правило, на промышленные объекты управления действуют разнообразные помехи и внешние неконтролируемые возмущения. Для выделения полезного сигнала из полученных результатов эксперимента нужно отфильтровать сигнал помех, то есть провести приглаживание экспериментальной переходной характеристики. Сглаженные переходные характеристики нужно перестроить к одинаковой величине возмущения, нормировать и усреднить. В результате предварительной обработке результатов эксперимента получают один сглаженный и усредненный график переходной характеристики.

Нормирование переходной характеристики: для нормирования экспериментальной кривой нужно перейти от абсолютных значений ординат Y к приростам переменной ΔY относительно ее начального устоявшегося значения и разделить эти приращения на значение максимального отклонения исходной величины.

Нормирование проводится по формуле:

 (2.1)

где hi - нормируемая переходная характеристика;  - текущее значение приростов исходной величины;  - максимальное отклонение исходной величины.


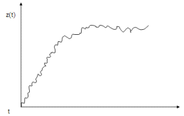
При исследовании динамических характеристик промышленных объектов на последние действуют неучтенные возмущения. Таким образом, экспериментальная переходная характеристика z(t) состоит из полезного сигнала h(t) и сигналу помех f(t).

Z(t)= h(t)+ f(t) (2.2)

Вид такой характеристики приведен на рис. 5.1.

Рисунок 2.1 - Переходная характеристика с помехами.

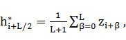
Для выделения полезного сигнала из экспериментальной характеристики используют разные методы приглаживания наиболее простой среди которых метод последовательного усреднения. Метод заключается в потом, что на некотором интервале времени LΔt (L - целое число, лучше парное) выполняют последовательное усреднение ординат Zi (i= 0, 1, 2…..n) используя следующий алгоритм:

 (2.3)

где h* - ординаты усредненной характеристики; zi+β- ордината экспериментально полученной точки; i - порядковый номер точки.

Если L = 2, то усреднения проводят по трем точкам по таким формулам:

 (2.4)


Если L=4, то усреднения проводят по пяти точкам по такими формулам:


На рис. 5.2 приведены результаты сглаживания переходной характеристики.

Рисунок 2.2 - Сглажена переходная характеристика

- экспериментальные точки;

Х - сглаженные точки

.2 Аппроксимация переходной характеристики

Для аппроксимации переходных характеристик существует значительное количество методов. Рассмотрим методы аппроксимации переходных характеристик линейными передаточными функциями. Определение аппроксимирующей передаточной функции начинают с выбора ее формы и порядка, а затем определяют числовые значения ее коэффициентов. Независимо от метода аппроксимации определение коэффициентов начинают с расчета коэффициента передачи объекта. Коэффициент передачи согласовывает размерность исходной и входной величин объекта и рассчитывается по формуле:

 (2.6)

где Δy(∞),Δx(∞) - максимальное отклонение выходной и входной величин объекта.

Значение коэффициента k можно определить из графика переходной характеристики объекта с самовыравниванием. Для этого значения максимальных отклонений величин делят на их номинальные значения

 (2.7)

Методы аппроксимации переходных характеристик разделяют на графоаналитические методы и методы аппроксимации на ЭВМ. Графоаналитические методы используют для предыдущей оценки динамических свойств объекта управления. Методы аппроксимации на ЭВМ более универсальные и точные.

Методика аппроксимации переходных характеристик на ЭВМ состоит из следующих этапов:

) Выбирают структуру передаточной функции.

) По экспериментальной переходной характеристике определяют коэффициенты передаточной функции.

) Решают аппроксимирующую передаточную функцию и строят расчетную переходную характеристику.

) Сравнивают расчетную переходную зависимость из экспериментальной и определяют точность аппроксимации.

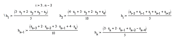
2.2.1 Аппроксимация последовательностью одинаковых апериодических звеньев

Объекты управления, которые имеют S-образные переходные характеристики удобно описывать передаточной функцией вида:

 (2.8)

Исходными данными является переходная характеристика объекта, которая задана в виде набора равноудаленных (с шагом h) приростов ее ординат (узлов аппроксимации).

Функцию W(p) раскладывают в ряд за степенями р по формуле

Ньютона:

 (2.8)

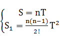
где A1=nT;

Используя экспериментальную переходную характеристику вычисляют S и S1 за формулами:

 (2.10)

Коэффициенты А1 и А2 являются аналогами S и S1. Поэтому на основе выражений (2.9)-(2.10) можно записать:

 (2.11)

Откуда

;  (2.12)

Поскольку по определению n является целым числом, то

 (2.13)

где int(a) - больше всего целое к а число, которое не превышает его.

Вычисленные за (2.12) значение n и Т являются начальными для поиска их оптимальных значений, то есть таких, при которых достигался минимум критерию I:

 (2.14)

Аппроксимирующая переходная характеристика рассчитывается по формуле:

 (2.15)

где

Минимум функции I определяется путем варьирования n с шагом 1. Сначала n увеличивают. Если продвижение в этом направлении приводит к уменьшения І, то n продолжают увеличивать до первого неудачного шага. Потом осуществляется возвращение на один шаг и соответствующее ему значение Т и n считаются оптимальными.

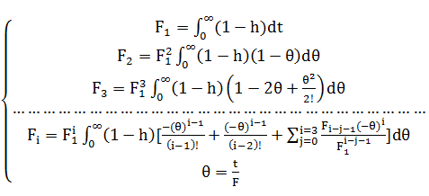
2.2.2 Аппроксимация сглаженной переходной характеристики методом Симою

Метод Симою является универсальным методом аппроксимации, который позволяет получить аппроксимирующие выражения любого порядка. Этот метод очень удобный для обработки на ЭВМ, он легко алгоритмизируется и отличается большой точностью.

Аппроксимирующей зависимостью является дробно-рациональная передаточная функция вида:

 (2.16)

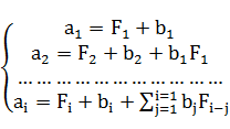
Неизвестныe коэффициенты ai и bi определяют из следующей системы уравнений:

 (2.17)

Коэффициенты Fi в системе уравнений (2.17) рассчитывается по формулам:

 (2.18)

Коэффициенты Fi связаны с переходной характеристикой интегральными зависимостями ( См. рис. 2.3).

Рисунок 2.3 - Связь коэффициента F1 с переходной характеристикой.

.3 Идентификация объекта по переходной характеристике

Возмущающее воздействие - ступенчатое уменьшение расхода жидкости на выходе на 230 кг/час (25%).

Таблица 2.1 - Экспериментальная переходная характеристика

t, мин

Концентрация, b,%

0

27,3

10

27,3

20

27,3

30

27,3

40

27,4

50

27,6

60

28

70

28,8

80

29

90

29,4

100

29,5

110

29,5

120

29,5


Задание:

Провести сглаживание экспериментальной кривой разгона.

Аппроксимировать переходную характеристику:

.1 Последовательностью одинаковых апериодических звеньев

.2 Методом Симою

Сглаживание переходной характеристики проводим в системе MathCad.

Результаты сглаживания приведены ниже.


Метод скользящего усреднения по 3 точкам




Метод скользящего усреднения по 5 точкам

На основе визуального анализа сглаживаемых данных избираем наиболее эффективный метод сглаживания ksmooth(VX, VY, b), который - вычислено на основе распределения Гауса. Экспериментальная и сглаженная переходная характеристика получена за методом Гауса приведенная в таблице 2.2.

Таблица 2.2


На таблице 2.3 представлены исходные данные для расчета на ЭВМ последовательностью одинаковых апериодических звеньев

Таблица 2.3

t,мин

исходные данные

сглаженные данные

0

27,3

27,3

10

27,3

27,3

20

27,3

27,3

30

27,3

27,33333333

40

27,4

27,43333333

50

27,66666667

60

28

28,13333333

70

28,8

28,6

80

29

29,06666667

90

29,4

29,3

100

29,5

29,46666667

110

29,5

29,5

120

29,5

29,5


Определяем коэффициент передачи объекта регулирования по экспериментальной переходной характеристике при ступенчатом уменьшении расхода жидкости на выходе на 230 кг/час (25%).

Коэффициент передачи в размерном виде:

 (2.19)

Коэффициент передачи в безразмерном виде:

Результаты аппроксимации переходной характеристики последовательностью одинаковых апериодических звеньев представлены в таблице 2.4, графики экспериментальной и аппроксимированной переходной характеристики представлены на рисунке 2.4.

Таблица 2.4

Оптимальные значения

T

 N

 I

4,393939

5

0,002404263

Время

Исходные данные

Расчетные данные

0

0

0

10

0

0,0000607

20

0

0,00014137

30

0,015151515

0,006031823

40

0,06060606

0,051275011

50

0,166666667

0,184857739

60

0,378787879

0,398925464

70

0,590909091

0,624146398

80

0,803030303

0,798672223

90

0,909090909

0,905955863

100

0,960977733

110

1

0,985377466


Рисунок 2.4 - Результаты аппроксимации переходной характеристики последовательностью одинаковых апериодических звеньев.

Полученная передаточная функция в безразмерном виде имеет вид:

 (2.20)

Аппроксимацию сглаженных значений проводим методом Симою. Исходные данные для расчета те же, что и для аппроксимации последовательностью одинаковых апериодических звеньев. Результаты расчетов приведены на рисунке 2.6.

Рисунок 2.6- Результаты аппроксимации переходной характеристики методом Симою.

Графики экспериментальной и аппроксимирующей зависимостей в приростах расхода приведены на рис. 2.7.

Рисунок 2.7 - Аппроксимация переходной характеристики дробно-рациональной переходной характеристикой (метод Симою).

Полученная передаточная функция в безразмерном виде имеет вид:

 (2.21)

Максимальная погрешность аппроксимации составила 7,63% при t=60°C.

Выводы по разделу

В результате идентификации третьего корпуса выпарной установки по каналу управления получены следующие модели:

В результате аппроксимации последовательностью одинаковых апериодических звеньев:


Методом Симою.


Выбираем метод Симою, как более точный. Так как при аппроксимации последовательностью одинаковых апериодических звеньев получаем ММ более высокого порядка и меньшей точности (І= 0,0024). Но при расчете методом Симою получаем погрешность аппроксимации 7,63%, поэтому целесообразно проверить и другие методы аппроксимации.

. Математическое моделирование объектов статистическими методами по данным пассивного эксперимента

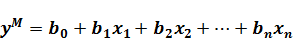
При исследовании объектов химической технологии во многих случаях связь между выходным параметром и факторами аппроксимируется линейной зависимостью. В простейшем случае уравнение имеет вид

=b0+b1x1 (3.1)

В результате идентификации объекта мы должны найти значения коэффициентов b0 и b1. При отсутствии помех доля определения неизвестных коэффициентов достаточно двух опытов.

= b0+b1x11 (3.2)= b0+b1x12

Однако на практике для учета случайных факторов проводят большее число опытов N>2. Система уравнений (3.3) пополняется дополнительными уравнениями.

= b0+b1x11 (3.2)= b0+b1x12= b0+b1x1N

В этом случае полученные экспериментальные данные необходимо усреднить.

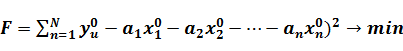
3.1 Метод наименьших квадратов (МНК)

Самым распространенным, хотя и не единственным методом усреднения является метод наименьших квадратов (МНК).

Суть метода МНК заключается в соблюдении требования минимума суммы квадратов отклонений выходного параметра модели и объекта.

 (3.3)

Или с учетом (3.1)

 (3.4)

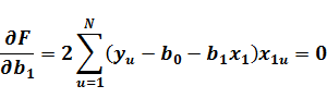
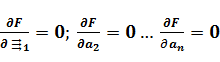
т.о. процедура нахождения коэффициентов уравнения регрессии сводится к задаче нахождения минимума функции.

Необходимым условием минимума функции нескольких переменных является выполнения условия равенства нулю частных производных функции по искомым переменным.

Для нашего случая система уравнений имеет вид

(3.5)


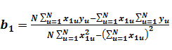
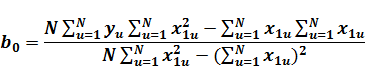
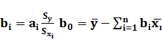
Коэффициенты b0 и b1 рассчитываются по следующим формулам:

(3.6)


В системе MATHCAD коэффициенты b0 и b1 можно рассчитать следующим образом:

b0:=intercept(x, y ) b1:=slope(x, y) (3.7)

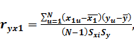
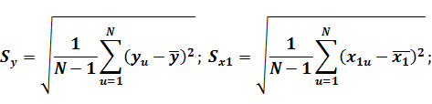
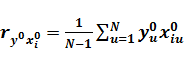
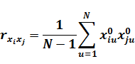
Для оценки тесноты связи линейной зависимости используется выборочный коэффициент парной корреляции ryx1 , рассчитываемый по формуле:

 (3.8)

где N - число экспериментов;, - средние значения фактора и выходного параметра; Sx1,Sy - средние квадратичные отклонения x1 и y.

(3.9)


Коэффициент корреляции изменяется от -1 до +1. Чем ближе он к 1, тем сильнее связь между двумя величинами. Знак "+" означает, что обе переменные одновременно возрастают или убывают. Знак "-" ― наоборот.

3.2 Метод множественной линейной регрессии

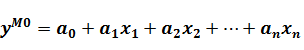
У реальных технологических объектов обычно число факторов больше одного. В общем виде связь между выходным параметром и входными параметрами (факторами) аппроксимируется линейным полиномом вида

 (3.10)

Для идентификации объекта необходимо найти значения коэффициентов b0, b1… bn.

Для приведения уравнения регрессии к стандартизованному виду, выражаем все переменные в новом масштабе, нормируя все значения случайных величин по формулам:

 (3.11)

где , - нормированные значения выходного параметра и факторов; , - текущие значения;  - средние значения

Вычисляем среднеквадратические отклонения для каждой переменной

 (3.12)

Уравнение регрессии в стандартизованном масштабе не имеет свободного члена

 (3.13)

Выборочные коэффициенты корреляции при использовании стандартизованного масштаба имеют следующий вид:

(3.14)


Вычисленный по формулам (3.14) выборочный коэффициент корреляции равен коэффициенту корреляции между переменными, выраженными в натуральном масштабе ryx.

В системе MATHCAD коэффициент парной корреляции вычисляется при помощи встроенной функции


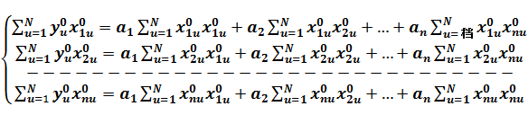
Определяем коэффициенты уравнения регрессии по МНК из условия:

 (3.16)

Необходимым условием минимума функции нескольких переменных является выполнения условия равенства нулю частных производных функции по искомым переменным.

 (3.17)

Продифференцировав, получим следующую систему уравнений:

(3.18)

Умножим левую и правую части уравнений (3.18) на 1/(N-l). В результате при каждом коэффициенте ai, i=1,2...n получим выборочный коэффициент корреляции r. Принимая во внимание, что

 (3.19)

Выражаем систему (3.18) через коэффициенты парной корреляции

 (3.20)

Решить систему линейных уравнений (3.8) относительно а1 и а2. Находим коэффициент множественной корреляции.

 (3.21)

Точность коэффициента множественной корреляции зависит от числа экспериментальных данных (от объема выборки). f=N-l, где N- число опытов (объем выборки); l- число связей (для линейного полинома) l=n+1.

Для коррекции R рекомендуется формула

 (3.22)

Величина R будет мала, если не все факторы, влияющие на y, входят в уравнение регрессии. Чем полнее учитываются переменные факторы в выбранном уравнении регрессии, тем ближе коэффициент множественной корреляции к 1.

Далее переходим к уравнению регрессии в натуральном масштабе по формулам

 (3.23)

Проверяем, имеет ли смысл уравнение регрессии.

Так как параллельные опыты не проводились, то рассчитать дисперсию опыта  нельзя.

Тогда вместо проверки адекватности уравнения регрессии производится оценка качества аппроксимации опытных точек принятым уравнением регрессии, то есть проверяется, имеет ли уравнении смысл.

При этом сравнивают остаточную дисперсию  и дисперсию относительно среднего.

Дисперсия относительно среднего

 (3.24)

Остаточная дисперсия вычисляется при m=1

 (3.25)

где f= N-n-1 -число степеней свободы для линейного полинома.

Уравнение регрессии имеет смысл, если выполняется следующее условие.

 (3.26)

где FT - табличное значение критерия Фишера для выбранного уровня значимости равного 5%, степеней свободы числителя f1 = N- 1 и знаменателя f2 = N -n- 1.

Чем больше F превышает FT , тем эффективнее уравнение регрессии.

.3 Математическое моделирование объекта по данным пассивного эксперимента

Объектом моделирования является ректификационная колонна, предназначенная для разделения изопентан-пентан-гексановой фракции. Для определения зависимости флегмового числа от количества изопентана, пентана и гексана в исходной смеси, используем множественной линейной регрессии. Схема объекта моделирования представлена на рис. 3.1.

Рис. 3.1 - схема периодически действующей ректификационной установки: 1-куб; 2-ректификационная колонна; 3-дефлегматор; 4-делитель флегмы; 5- холодильник; 6-сборники дистиллята.

Расчет проводим в системе MathCad.


Находим коэффициенты парной корреляции:


Находим значение коэффициента множественной корреляции и коэффициентов b0, b1, b2, b3:


Аппроксимируем данные линейным полиномом вида:




Дисперсия относительно среднего:


Определяем остаточную дисперсию:


Производим проверку, имеет ли смысл уравнение регрессии:

> FT на 4,336.

Выводы к разделу

В результате проведенных расчетов методом множественной линейной регрессии:

·        была получена математическая модель процесса разделения изопентан-пентан-гексановой фракции в ректификационной колонне в виде уравнения регрессии вида

.

·        были найдены коэффициенты уравнения b0, b1, b2, b3.

проведена проверка адекватности уравнения регрессии по критерию Фишера: F > FT на 4,336, следовательно, уравнение регрессии адекватно исследуемому процессу и все факторы, влияющие на изменение выходной величины были учтены.

Выводы

В представленной работе было получены математические модели детерминированных и стохастических объектов на основе данных пассивного эксперимента. Объектами исследований были выбраны третий корпус выпарной установки и ректификационная колонна для разделения изопентан-пентан-гексановой фракции.

Была проведена аппроксимация экспериментальной кривой разгона третьего корпуса выпарной установки по каналу "концентрация на выходе корпуса - изменение расхода раствора на выходе корпуса" последовательностью одинаковых апериодических звеньев и методом Симою. На основании полученных расчетов аппроксимирующей был выбран, как более точный, метод Симою.

Для ректификационной колонны была получена математическая модель методом множественной линейной регрессии и проверена его адекватность по критерию Фишера.

Список источников информации

1. Остапенко Ю.О. Идентификация и моделирования технологических объектов управления: Учебник. - К.: "Задруга", 1999 - 420 с.

. Идентификация и моделирование технологических процессов: учебник для студ. высших учебных заведений. / П.П. Рожков [и др.]; редактор И.О. Фурман. - Х.: Факт, 2007. - 240 с.

. Бондарь А.Г. Математическое моделирование в химической технологии. "Высшая школа", 1973, - 280 с.

. Кубрак А.И., Ярощук Л.Д. Программирование и расчет автоматических систем. - К.: Высшая школа, 1992. - 366 с.

Похожие работы на - Получение математических моделей детерминированных и стохастических объектов на основе данных пассивного эксперимента

 

Не нашли материал для своей работы?
Поможем написать уникальную работу
Без плагиата!
Без нейросетей!