Определение коэффициентов корреляции между ростом и весом (в норме) у лиц женского и мужского пола в зависимости от возраста

  • Вид работы:
    Другое
  • Предмет:
    Менеджмент
  • Язык:
    Русский
    ,
    Формат файла:
    MS Word
    245,94 Кб
  • Опубликовано:
    2014-09-28
Вы можете узнать стоимость помощи в написании студенческой работы.
Помощь в написании работы, которую точно примут!

Определение коэффициентов корреляции между ростом и весом (в норме) у лиц женского и мужского пола в зависимости от возраста

Министерство здравоохранения РФ

Тихоокеанский государственный медицинский университет

Кафедра физики и математики







Отчет

по научной работе

Определение коэффициентов корреляции между ростом и весом (в норме) у лиц женского и мужского пола в зависимости от возраста


Выполнил: студент 104 группы,

медико-профилактического дела

Ожогова В.А.

Проверил: доцент

Клочкова О.И.

к.ф. - м.н., доцент


Владивосток

Оглавление

Вступление

Определение и формулы характеристик

Коэффициент корреляции

Формула

Вычисление коэффициента в MS Excel

Вычисление ошибки

Определение значимости

Что такое значимость и зачем она нужна

Коэффициент Стьюдента

Характеристики данных

Результаты исследований

Выводы

Список литературы

Вступление

В настоящее время существует представление, что все явления природы носят статистический характер, так как все вероятностно - статистические представления и методы являются наиболее эффективными средствами познания и моделирования окружающего мира, природных и социальных явлений.

Вероятностно - статистическими представлениями занимается особый раздел математики и информатики - математическая статистика. Этот раздел посвящен математическим методам сбора, систематизации, обработки и интерпретации статистических данных.

Но статистика используется не только в математике и информатике. Во многих областях науки: медицины, биологии, а также в различных исследованиях статистический анализ занимает далеко не последнее место. И везде он анализирует связи между объектами, изучает закономерности и влияющие факторы.

Существует два вида проявления количественных взаимосвязанностей между признаками - функциональные и корреляционные.

Определение и формулы характеристик

Корреляционная (лат. correlatio - соответствие, взаимосвязь) или статистическая связь, при которой значения одной величины соответствуют вероятные значения другой.

Термин «корреляция» впервые применил французский зоолог и палеонтолог Кювье при анализе связей между размерами органов для реконструкции вымерших животных.

Корреляционные связи бывают двух типов:

положительная, когда увеличение (уменьшение) значений одного признака сопровождается увеличением (уменьшением) значений другого признака, т.е. изменения однонаправленные (рост и масса).

отрицательная, при которой увеличению (уменьшению) значений одного признака соответствует снижение (увеличение) значений другого признака, т.е. изменения разнонаправленные.

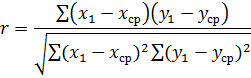
Коэффициент корреляции

Количественной мерой силы связи варьирующих признаков служат специальные коэффициенты. Например, коэффициент парной линейной корреляции.

Коэффициент парной линейной корреляции - это средняя сумма произведений нормированных отклонений. Обозначается буквой r

Формула коэффициента корреляции


бx, бy - средние квадратические отклонения для признаков X и Y.

Учитывая, что:   ,

для выборочного коэффициента корреляции можно записать:


Коэффициент корреляции, r, предоставляет нам как силу, так и направление связи между независимой и зависимой переменными. Значения r находятся в диапазоне между - 1.0 и + 1.0. Когда r имеет положительное значение, связь между х и у является положительной, а когда значение r отрицательно, связь также отрицательна. Коэффициент корреляции, близкий к нулевому значению, свидетельствует о том, что между х и у связи не существует.

Условно считается, что связь сильная, когда  , при

 - связь средняя, если  - слабая.

Причем приведенные соображения о коэффициенте корреляции справедливы только, когда характер связи между варьирующими признаками пропорциональный или линейный. При нелинейной даже явной связи коэффициент корреляции между X и Y может оказаться равным нулю.

Линейная корреляция между двумя переменными х и у определяется знаком и величиной Σi (xi-μx )(yi-μy), где μx и μy среднее значение х и у.

Вычисление коэффициента в MS Excel

В MS Excel для вычисления коэффициента корреляции используется функция КОРРЕЛ со следующими характеристиками:

КОРРЕЛ (массив 1; массив 2),

где:

массив 1 - диапазон данных для первой переменной,

массив 2 - диапазон данных для второй переменной.

В данном случае использована функция КОРРЕЛ для вычисления коэффициента корреляции у мужчин и женщин.

А) Вычисление коэффициента корреляции у мужчин.

 

Б) Вычисление коэффициента корреляции у женщин.


Вычисление ошибки.

Выборочный коэффициент корреляции r, как и всякая выборочная характеристика, имеет свою среднюю ошибку, которая вычисляется по формуле:


и отличается от «генерального» коэффициента корреляции ῤ.

При оценке достоверности выборочного коэффициента корреляции в качестве нулевой гипотезы принимается, что в генеральной совокупности нет никакой корреляции, т.е. ῤ=0.

В) Вычисление ошибки в MS Excel.

 


Для чего нужна значимость.

В большинстве случаев вычисление коэффициента корреляции осуществляется по небольшому объему исходных данных. Вследствие этого может оказаться, что корреляция во всей генеральной совокупности близка к нулю, т.е. связи между двумя изучаемыми признаками нет. Хотя арифметически коэффициент корреляции вычислений по исходным данным одной выборки отличается от нуля.

Поэтому после вычисления коэффициента корреляции нужно выяснить, является ли он значимым, т.е. фактически проверить гипотезу о том, что коэффициент корреляции генеральной совокупности отличен от нуля. Для решения такой задачи используется статистическая гипотеза.

Пусть в (статистическом) эксперименте доступна наблюдению случайная величина <#"826620.files/image013.gif">, распределение <#"826620.files/image014.gif">известно полностью или частично. Тогда любое утверждение, касающееся называется статистической гипотезой. Гипотезы различают по виду предположений, содержащихся в них:

Статистическая гипотеза, однозначно определяющая распределение , то есть , где какой-то конкретный закон, называется простой.

Статистическая гипотеза, утверждающая принадлежность распределения к некоторому семейству распределений, то есть вида , где  - семейство распределений, называется сложной.

На практике обычно требуется проверить какую-то конкретную и как правило простую гипотезу . Такую гипотезу принято называть нулевой. При этом параллельно рассматривается противоречащая ей гипотеза , называемая конкурирующей или альтернативной.

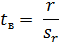
Проверка этой гипотезы проводится по t - критерию Стьюдента при заданном уровне значимости p и числе степеней свободы  (n - число коррелируемых пар).

Коэффициент Стьюдента

критерий Стьюдента - общее название для класса методов статистической <#"826620.files/image024.gif">

Выборочный критерий tв вычисляется как отношение выборочного коэффициента корреляции к его ошибке:

Если выборочное значение критерия равно или превышает теоретически ожидаемое: , то нулевая гипотеза опровергается, значение r признается достоверным или значимым. В противном случае, когда , нулевая гипотеза подтверждается, а значение r считается недостоверным.

Г) Вычисление t - критерия в MS Exсel.


Характеристики данных

В данной работе использовались данные роста, веса мужчин и женщин в зависимости от возраста.

Эти данные заносились в таблицы программы MS Excel.

Таблица 1. Таблица данных мужчин.

рост\возраст

18-24

25-34

35-44

45-54

55-64

65-74

75-79

157

60

64

66

64

61

74

73

160

63

68

72

68

69

70

63

163

58

67

72

72

72

73

62

165

63

71

75

73

68

70

73

168

69

73

73

73

75

72

68

170

68

74

75

76

72

83

173

69

72

72

79

78

68

87

175

73

79

79

78

78

68

67

178

74

81

81

83

73

80

79

180

74

82

84

85

80

83

81

183

75

85

83

83

78

81

83

185

83

85

87

81

97

83

86

188

79

83

96

85

87

84

88


В таблице 1 представлены данные роста и веса мужчин в зависимости от возраста. В первый столбец занесен рост мужчин в см. В первую строку - возраст. В остальных ячейках находится информация о весе мужчин, в зависимости от того, как меняется их возраст или рост.

Рост размещен в диапазоне от 157 до 188, возраст - от 18 до 79, вес - от 58 до 97.

Таблица 2. Таблица данных женщин.

рост\возраст

18-24

25-34

35-44

45-54

55-64

65-74

145

53

51

57

63

57

65

57

147

49

50

54

53

62

64

61

150

51

54

51

59

62

64

59

152

53

56

53

60

68

63

69

155

55

54

54

66

65

66

68

157

57

58

54

63

69

69

61

160

55

58

57

64

68

65

66

163

57

60

57

68

68

71

70

165

60

61

55

68

68

69

168

62

62

60

71

63

74

71

170

61

67

60

72

81

75

73

173

59

67

59

70

71

77

74


В таблице 2 находятся данные роста и веса женщин в зависимости от возраста. В первом столбце представлен рост. В первой строчке - их возраст.

В остальном массиве присутствует вес женщин в зависимости от возраста.

Рост женщин представлен в диапазоне от 145 до 173, возраст, также как и у мужчин, а вес - от 49 до 81.

Результаты исследований

На основе результатов исследований построен график.

При рассмотрении данного графика можно отметить то, что у мужчин коэффициент корреляции в зависимости от возраста снижается, а у женщин он идет скачкообразно, так как существуют другие факторы, которые будут влиять на вес женщины в течении жизни. Например, беременность женщины.

Поэтому у женщины точно проследить зависимость коэффициента корреляции от возраста не удалось.


Рис.2 Корреляция мужчин

Рис.3 Корреляция женщин.

Зависимость одной случайной величины от значений, которые принимает другая случайная величина (физическая характеристика), в статистике называется регрессией.

Выводы

В ходе научной работы корреляционная связь между ростом и весом у мужчин и женщин была исследована в следующей последовательности:

Выявление связи между весом и ростом.

Описание связи в табличной, графической формах.

Измерение тесноты связи ее изменение с возрастом.

По исходным данным можно сделать выводы:

Существует значительная связь между ростом и весом как у мужчин, так и у женщин.

Во - вторых, коэффициенты корреляции у мужчин и женщин разные.

Связь между ростом и весом изменяется с возрастом.

Список используемой литературы и источников

корреляция выборочный зависимость

В.М. Колдаев «Лекционные записки по высшей математике и информатике» //Владивосток, 1998//

<http://ru.wikipedia.org/wiki/T-критерий_Стьюдента>

А.В. Литвинов «Норма в медицинской практике» справочное пособие //МЕДпресс-информ, 2012//

Похожие работы на - Определение коэффициентов корреляции между ростом и весом (в норме) у лиц женского и мужского пола в зависимости от возраста

 

Не нашли материал для своей работы?
Поможем написать уникальную работу
Без плагиата!
Без нейросетей!