Организация управления чрезвычайными ситуациями в управлении проектами
МИНИСТЕРСТВО
ОБРАЗОВАНИЯ И НАУКИ РОССИЙСКОЙ ФЕДЕРАЦИИ
ГУБКИНСКИЙ
ФИЛИАЛ ФЕДЕРАЛЬНОГО ГОСУДАРСТВЕННОГО БЮДЖЕТНОГО ОБРАЗОВАТЕЛЬНОГО УЧРЕЖДЕНИЯ
ВЫСШЕГО ПРОФЕССИОНАЛЬНОГО ОБРАЗОВАНИЯ
«БЕЛГОРОДСКИЙ
ГОСУДАРСТВЕННЫЙ ТЕХНОЛОГИЧЕСКИЙ УНИВЕРСИТЕТ ИМ. В.Г. ШУХОВА»
КАФЕДРА
ЭКОНОМИКИ И УЧЕТА
КУРСОВОЙ
ПРОЕКТ
по
дисциплине «Управление проектами»
на
тему «Организация управления чрезвычайными ситуациями в управлении проектами »
студентки Стариковой Натальи
Ивановны
Преподаватель: Гайворонская
Татьяна Николаевна
г.
Губкин, 2014 г.
Содержание
ВВЕДЕНИЕ
. Организация управления чрезвычайными ситуациями в
управлении проектами
1.1
Понятие и сущность проекта
1.2 Организация управления проектами
1.3
Система проектного управления в условиях чрезвычайных ситуаций
2. Разработка сетевого графика организации
инвестиционной деятельности на ОАО «Комбинат КМАруда»
. Расчет эффективности инвестиционного проекта
ЗАКЛЮЧЕНИЕ
СПИСОК
ИСПОЛЬЗОВАННЫХ ИСТОЧНИКОВ
ВВЕДЕНИЕ
Актуальность темы курсового проекта заключается
в том, что проблема управления деятельностью по предупреждению и ликвидации
чрезвычайных ситуаций и их последствий на текущий момент можно назвать, без
страха быть уличенным в тавтологии, по настоящему чрезвычайной.
Целью данного курсового проекта является
рассмотрение и систематизация знаний об управлении чрезвычайными ситуациями в
управлении проектами.
В данном курсовом проекте были решены следующие
задачи:
· изучены понятие и сущность проекта;
· рассмотрена организация управления
проектами;
· изучена система проектного
управления в условиях чрезвычайных ситуаций;
· разработан сетевой график
организации инвестиционной деятельности в управлении проектами;
· произведен расчет экономической
эффективности предложенного мероприятия.
Предметом курсового
проекта является разработка концепции инвестиционного проекта.
Объектом курсового
проекта является предприятие ОАО «Комбинат КМАруда».
Информационной
базой для написания данного курсового проекта послужили труды отечественных и
зарубежных ученых, а также данные предприятия.
1. Организация
управления чрезвычайными ситуациями в управлении проектами
.1 Понятие и сущность проекта
Современная организация способна существовать и
успешно конкурировать на рынке лишь при условии постоянного развития и
адаптации под изменяющиеся условия ведения бизнеса. Ускорение ритма современной
жизни, изменчивость окружающей среды усиливает нестабильность функционирования
компаний, заставляет их проводить частые и быстрые изменения, подстраиваться
под изменения внешних условий. Справляться с этой задачей позволяет проектная
деятельность. «Преуспевающая компания сегодня - это компания, успешно
реализующая проекты».
Управление проектами за последнее время
завоевало признание как наилучший метод планирования и управления реализацией
инвестиционных проектов. В настоящее время значимая часть деятельности
организаций является проектной.
Существует множество определений понятия
«проект». Вот некоторые из них. Проект - «это что-либо, что задумывается или
планируется, например, большое предприятие», это временное предприятие,
предназначенное для создания уникальных продуктов или услуг.
Временное означает, что у любого проекта есть
начало и завершение, когда достигаются поставленные цели либо возникает
понимание, что эти цели не могут быть достигнуты.
«Проект представляет собой комплексное системное
мероприятие направленная на внесение изменений во все стороны жизни людей ».
Авторитетная в области управления проектами
организация Project Management Institute определяет проект как “совокупность
действий (процессов), приносящих результат, во время которых людские,
финансовые и материальные ресурсы определенным образом организуются с тем,
чтобы результат соответствовал утвержденным спецификациям, стоимостным и
временным затратам как по качественным, так и по количественным показателям”.
Под проектом понимается система сформулированных в его рамках целей,
создаваемых или модернизируемых для их реализации физических объектов,
технологических процессов; технической и организационной документации для них,
материальных, финансовых, трудовых и иных ресурсов, а также управленческих
решений и мероприятий по их выполнению.
Работа в плане проекта представляет некоторую
деятельность, необходимую для достижения конкретных результатов (конечных
продуктов нижнего уровня). Таким образом, работа является основным элементом
(дискретной, компонентой) деятельности на самом нижнем уровне детализации, на
выполнение которого требуется время, и который может задержать начало
выполнения других работ. Момент окончания работы означает факт получения
конечного продукта (результата работы). Работа является базовым понятием и
предоставляет основу для организации данных в системах управления проектами. На
практике для ссылки на детальный уровень работ часто используется термин
задача. В общем смысле эти два термина являются синонимами. Термин задача,
однако, принимает и другие формальные значения в специфических контекстах
планирования. Например, в аэрокосмической и оборонной областях задача часто
относится к верхнему суммарному уровню работ, который может содержать
множественные группы пакетов работ. Далее термин задача используется только в
своем общем смысле, как синоним работы.
Таким образом, в современном понимании проекты -
это то, что изменяет мир: строительство дома или промышленного объекта,
программа научно-исследовательских работ, разработка новой техники, создание
кинофильма, развитие региона - это все проекты.
1.2 Организация управления проектами
Управление проектом представляет собой
методологию организации планирования и координации использования человеческих и
материальных ресурсов на всем протяжении жизненного цикла проекта, направленную
на эффективное достижение целей проекта путем применения системы современных
методов, техники и технологий управления.
Успех системы управления проектами решающим
образом зависит от организации управления. Никакая самая совершенная
информационная система не сработает, если у менеджера проекта не будет
необходимых полномочий и поддержки, а система принятия решений не обеспечит
оперативности управляющих воздействий. В этой статье мы кратко рассмотрим
различные подходы к организации управления проектами на предприятии,
достоинства, недостатки и области применимости различных организационных
структур с точки зрения организации управления проектами. Информация в этой
статье в основном базируется на стандартах Института управления проектами
(Project Management Institute) Но сначала несколько определений.
Координационный совет - коллективный орган
(часто правление), утверждающий выбор проектов, планы работ и их изменения,
назначающий куратора и утверждающий менеджера проекта.
Куратор проекта - представитель руководства
(обычно член координационного совета), курирующий работы по проекту.
Менеджер проекта - индивидуум, отвечающий за
управление проектом.
Команда проекта - люди, прямо или косвенно
отчитывающиеся по проекту.
Команда управления проектом - члены команды
проекта, непосредственно участвующие в процессах управления проектом.
Функциональная структура
В нашей стране наиболее распространены
функциональные структуры управления предприятиями, в которых у каждого
работника имеется один непосредственный начальник, причем персонал группируется
по своей специализации (отделы маркетинга, капитального строительства,
плановый, финансовый и т. д.). Такие структуры хорошо приспособлены для
управления налаженным производством, но затрудняют управление сложными
проектами, требующими непосредственного оперативного взаимодействия
специалистов разных функциональных подразделений. В функциональных структурах
задания членам команды проекта выдаются только через руководителей
соответствующих подразделений, которые занимаются координацией работы своих
сотрудников
Проектная структура
Прямой противоположностью функциональной
является проектная структура управления, в которой у каждого члена команды
проекта также один непосредственный руководитель, но подразделения организованы
по проектному принципу: команды управления проектами образуют собственные
подразделения, возглавляемые менеджерами соответствующих проектов. Такие структуры
обычно используются проектно-ориентированными организациями, выполняющими
проекты для других, - например, консалтинговыми компаниями.
Сотрудники функциональных подразделений,
входящие в команду проекта, временно покидают свои подразделения и переходят в
подчинение к менеджеру проекта на период его реализации. Крайний случай -
создание специальной компании для управления единственным проектом (управляющей
компании), время жизни которой совпадает со сроком реализации проекта. Обычно
такие компании создаются для очень крупных проектов.
В проектной структуре у менеджера проекта полные
полномочия. Члены команд проектов покидают свои функциональные отделы и
переходят в подчинение к менеджерам проектов в проектно-ориентированные
подразделения. Тем самым достигается полная координация работы команды проекта.
Матричная структура.
В последнее время все большую популярность
приобретают матричные структуры управления проектами. В таких структурах
участники команды проекта не покидают свои функциональные подразделения, но по
работам проекта подчиняются непосредственно менеджеру проекта. Функциональный
руководитель при этом не освобождается от ответственности за качество работы
своих сотрудников, соответствие выпускаемой продукции принятым стандартам и
правилам.
проектный чрезвычайный инвестиционный экономический
1.3 Система проектного управления в условиях
чрезвычайных ситуаций
Чрезвычайная ситуация - это неблагоприятное
сочетание факторов и событий, создающих угрозу жизни людей, нарушающих условия
их нормальной жизнедеятельности, препятствующих производственной,
хозяйственной, бытовой и другим видам деятельности.
Основные особенности функционирования систем
управления в условиях чрезвычайных ситуаций состоят в том, что проблема
(чрезвычайная ситуация) развивается неожиданно, внезапно. Когда она возникает,
перед системой управления встают задачи, не свойственные стационарному режиму
работы организации и ее опыту. Контрмеры должны приниматься срочно, однако
обычный порядок деятельности не позволяет этого сделать по следующим причинам.
Существующие планы работы не соответствуют новой
ситуации. Встают новые задачи, информация, которую следует изучить и
проанализировать, поступает мощным потоком. В этих условиях может возникнуть
всеобщая паника. Руководители нижнего уровня, оказавшись в неожиданной
ситуации, не имея указаний сверху и не зная общей картины, могут поддаться этой
панике и непродуманными решениями способствовать неразберихе. К тому же следует
отметить, что многие руководители не могут изменить стиль своего мышления и
деятельности в условиях скачкообразных, неожиданных изменений. Поэтому
инициатива снизу, часто повышающая в обычных условиях эффективность принимаемых
решений, при чрезвычайных ситуациях теряет свою действенность и может оказаться
небезопасной.
Отправной точкой проектного управления является
осознание цели, т.е. желаемого состояния управляемого объекта. Цель в
управлении проектом, как правило, характеризуется теми или иными элементами
новизны, которые могут вытекать из внутренних свойств желаемого результата
проекта и из внешних условий.
Цель содержит в себе основную идею проекта и
определяет проект и деятельность по его реализации в целом. В проектном
управлении цель разделяется на осознаваемые и управляемые элементы
деятельности, логически и организационно связанные в комплексы и пакеты работ.
Деятельность по предупреждению и ликвидации
чрезвычайной ситуации также является четко целевой.
В рамках структуры системы управления в
чрезвычайной ситуации должно быть реализовано совместное использование двух, казалось
бы взаимоисключающих, принципов: единоначалия (единства полномочий и
ответственности) и распределенных полномочий и ответственности, что
обеспечивает проведение согласований и консультаций, а также создает условия
для устранения неизбежных конфликтов и разногласий. Руководитель в системе
управления чрезвычайной ситуацией (СУЧС) несет персональную ответственность за
состояние дел, однако в работе штаба, в котором решаются вопросы взаимодействия
и координации между руководителями различных уровней и зон развития
чрезвычайной ситуации, реализуется принцип распределенной ответственности. Это
обеспечивает его минимальное вмешательство в оперативную деятельность
руководителей нижестоящих уровней. Проектно-матричные и проектно-целевые
организационные структуры управления, являющиеся базовыми организационными
решениями при применении методологии управления проектом, безусловно, должны
стать стандартным вариантом построения структур управления в условиях ЧС.
Именно в рамках таких структур возможно эффективная координация различных
функциональных служб и силовых структур, задействованных в чрезвычайной
ситуации. Проектно-матричные структуры управления позволяют применить уже
отработанные решения для соединения единоначалии и распределения полномочий в
ходе многоцелевой и разнонаправленной деятельности по ликвидации чрезвычайной
ситуации и ее последствий.
2. Разработка сетевого
графика организации инвестиционной деятельности на ОАО «Комбинат КМАруда»
Сетевой график основан на использовании
математической модели - графа. Графом называют множество вершин и набор
упорядоченных или неупорядоченных пар вершин. Говоря более привычным для
инженера языком, граф - это набор кружков (прямоугольников, треугольников и
проч.), соединенных направленными или ненаправленными отрезками. В этом случае
сами кружки (или другие используемые фигуры) по терминологии теории графов
будут называться "вершинами", а соединяющие их ненаправленные отрезки
- "ребрами", направленные (стрелки) - "дугами". Если все
отрезки являются направленными, граф называется ориентированным, если
ненаправленными - неориентированным.
Работа отражает трудовой процесс, в котором
участвуют люди, машины, механизмы, материальные ресурсы (проектирование
сооружения, поставки оборудования, кладка стен, решение задач на ЭВМ и т. п.)
либо процесс ожидания (твердение бетона, сушка штукатурки и т. п.). Каждая
работа сетевого графика имеет конкретное содержание. Работа как трудовой
процесс требует затрат времени и ресурсов, а как ожидание - только времени. Для
правильного и наглядного отображения порядка предшествования работ при
построении сети используют изображаемые штриховыми линиями дополнительные дуги,
называемые фиктивными работами или связями. Они не требуют ни времени, ни
ресурсов, а лишь указывают, что начало одной работы зависит от окончания
другой.
Событие выражает факт окончания одной или
нескольких непосредственно предшествующих (входящих в событие) работ,
необходимых для начала непосредственно следующих (выходящих из события) работ.
Событие, стоящее в начале работы, называется начальным, а в конце - конечным.
Начальное событие сетевого графика называется исходным, а конечное -
завершающим. Событие, не являющееся ни исходным, ни завершающим, называется
промежуточным. В исходное событие сетевого графика не входит, а из завершающего
не выходит ни одна работа. В отличие от работ, события совершаются мгновенно
без потребления ресурсов.
Под путём понимают любую последовательность
работ в сетевом графике, при которой конечное событие каждой работы совпадает с
начальным событием последующей. Продолжительность пути определяется суммой
продолжительностей составляющих его работ. Путь наибольшей длины между
исходными и завершающими событиями называется критическим. Если критическое
время не соответствует заданному или нормативному, сокращение сроков
производственного процесса необходимо начинать с сокращения продолжительности
критических работ.
Виды работ:
действительная работа в прямом смысле слова
(например - подготовка трассы соревнований), требующая затрат труда, материальных
ресурсов и времени;
ожидание - работа не требующая затрат труда и
материальных ресурсов, но занимающая некоторое время;
фиктивная работа (зависимость) - связь между
двумя или более событиями, не требующая затрат труда, материальных ресурсов и
времени, но указывающая, что возможность начала одной операции непосредственно
зависит от выполнения другой (продолжительность такой работы нулевая).
Виды событий:
исходное событие - начало выполнения комплекса
работ;
завершающее событие - конечное событие, означающее
достижение конечной цели комплекса работ;
промежуточное событие, как результат одной или
нескольких работ, представляющих возможность начать одну или несколько
непосредственно следующих работ (продолжительность промежуточного события во
времени всегда нулевая). Существуют некоторые базовые правила составления
сетевого графика:
каждая работа должна быть заключена между двумя
событиями. В сети не может быть работ, имеющих одинаковые коды;
в сети не должно быть событий, из которых не
выходит ни одной работы, если только это событие не является для данного
графика завершающим;
соответственно, в сети не должно быть события, в
которое не входит ни одной работы, если только это событие не является
исходным;
в сетевом графике не должно быть замкнутых
контуров.
Любая последовательность работ в сетевом
графике, в котором конечное событие каждой работы этой последовательности
совпадает с начальным событием следующей за ней работой, называется путем.
Для предложенного мероприятия (внедрение
токарно-винторезного станка 1А616 на предприятии) разработаем сетевой график
его реализации.
Временные параметры сетевых графиков,
используемые в системах СПУ, рассчитываются на основе задаваемых оценок
продолжительности выполнения отдельных работ, составляющих данный комплекс.
Увязка каждой отдельной работы со всем
комплексом работ достигается на основе расчета следующих временных параметров:
- наиболее раннего срока свершения i-го события
сетевого графика
;
наиболее позднего срока свершения i-го события
сетевого графика
;
наиболее раннего срока начала (i-j) работы
сетевого графика
;
наиболее раннего срока окончания (i-j) работы
сетевого графика
; - наиболее
позднего срока начала (i-j) работы
сетевого графика
;
наиболее позднего срока окончания (i-j) работы
сетевого графика
;
резерва времени на свершение i-го события R(i-j);
общего резерва времени (i-j) работы;
частного резерва времени (i-j) работы
первого вида;
частного резерва времени (i-j) работы
второго вида;
полного резерва времени пути
;
коэффициента напряженности (i-j) работ,
лежащих на некритическом пути
;
Результатом построения сетевого
графика должно стать создание эффективной организационной структуры для
управления командой проекта для предприятия.
Все вышеперечисленные параметры
рассчитываются табличным методом. Этот метод характеризуется большей
наглядностью и компактностью. В табличной форме, как правило определяются
следующие параметры:
;
;
;
; R(i-j);
;
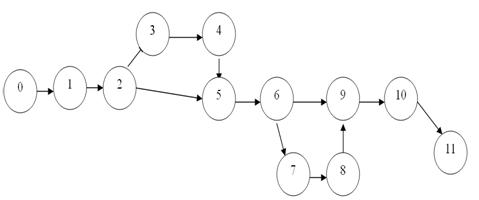
Рис 2.1 Сетевой график мероприятия в
инвестиционной деятельности управления проектами
Составим таблицу перечня работ для
мероприятия и сведем их в таблицу 2.
Таблица 2.1 Перечень работ для мероприятия на
ОАО «Комбинат КМАруда»
|
Код
работы
|
Работа
|
Номера
пред. работ
|
Трудоемкость,
человек недель
|
Численность
исполнителей
|
Продолж.
Выпуска работ, недель
|
|
0-1
|
Создание
команды проекта для распределения денежных средств в управлении проектами
|
0
|
2
|
1
|
2
|
|
1-2
|
Разработка
мероприятия по внедрению нового оборудования
|
0-1
|
24
|
4
|
6
|
|
2-3
|
Рассмотрение
цены предлагаемого оборудования
|
1-2
|
2
|
2
|
1
|
|
3-4
|
Оценка
качества предлагаемого оборудования
|
2-3
|
4
|
2
|
2
|
|
4-5
|
Выбор
наиболее оптимального варианта поставки
|
3-4
|
6
|
2
|
3
|
|
2-5
|
Планирование
предполагаемых затрат на содержание и эксплуатацию оборудования
|
1-2
|
12
|
2
|
6
|
|
5-6
|
Переговоры
специалиста по финансам с руководителем предприятия и инженером
|
2-4,
4-5
|
2
|
2
|
1
|
|
6-7
|
Определение
состава поставщиков
|
5-6
|
2
|
2
|
1
|
|
7-8
|
Переговоры
с поставщиками
|
6-7
|
4
|
2
|
2
|
|
8-9
|
Заключение
договора с поставщиками
|
7-8
|
2
|
2
|
1
|
|
6-9
|
Формирование
заказа на доставку оборудования
|
5-6
|
8
|
2
|
4
|
|
9-10
|
Установка
оборудования
|
6-9,
8-9
|
9
|
3
|
3
|
|
10-11
|
Пуско-наладочные
работы
|
9-10
|
18
|
9
|
2
|
Таблица 2.2 Расчет параметров сетевого графика
|
Количество
предыдущих работ
|
Код
работы
|
     Даты и
|
|
|
|
|
|
|
|
i
|
j
|
|
|
|
|
|
|
|
|
1
|
2
|
3
|
4
|
5
|
6
|
7
|
8
|
9
|
10
|
|
-
|
0
|
1
|
2
|
0
|
2
|
0
|
2
|
0
|
11.01-01.02
|
|
1
|
1
|
2
|
6
|
2
|
8
|
2
|
8
|
0
|
02.02-11.03
|
|
1
|
2
|
3
|
1
|
8
|
9
|
8
|
9
|
0
|
12.03-22.03
|
|
1
|
3
|
4
|
2
|
9
|
11
|
9
|
11
|
0
|
23.03-31.03
|
|
1
|
4
|
5
|
3
|
11
|
14
|
11
|
14
|
0
|
01.04-20.04
|
|
1
|
2
|
5
|
6
|
8
|
9
|
8
|
9
|
0
|
11.03-19.03
|
|
2
|
5
|
6
|
1
|
14
|
15
|
14
|
15
|
0
|
21.04-29.04
|
|
1
|
6
|
7
|
1
|
15
|
16
|
15
|
16
|
0
|
30.04-10.05
|
|
1
|
7
|
8
|
2
|
16
|
18
|
16
|
18
|
0
|
11.05-28.06
|
|
1
|
8
|
9
|
1
|
18
|
19
|
18
|
19
|
0
|
31.05-28.06
|
|
1
|
6
|
9
|
4
|
15
|
19
|
15
|
19
|
0
|
29.04-18.05
|
|
2
|
9
|
10
|
3
|
19
|
22
|
19
|
22
|
0
|
29.06-27.07
|
|
1
|
10
|
11
|
2
|
22
|
24
|
22
|
24
|
0
|
28.07-25.08
|
Таблица для расчета параметров сетевого графика
состоит из 10 вертикальных граф. Помимо расчетных параметров графика в таблице
представляются коды работ (графа 2,3), кол-во работ, предшествующих данной
работе (графа 1), календарные даты наиболее раннего начала и окончания работ
(графа 10). Запись кодированных работ производится в определенной
последовательности. Сначала записываются все работы, исходящие из исходного
события, затем из первого, второго и т.д. строго по возрастанию кодов по всем
работам.
Обращает на себя внимание то, что события,
которые раннее для каких-либо работ были последующими, через некоторое время
для других работ становятся предшествующими. Таким образом, одно и то же
событие может выступать в качестве и последующего, и предшествующего событий.
Это в значительной степени облегчает расчет м заполнение таблицы.
До начала расчета в графе 1 проставляется
количество работ, предшествующих данной. Это можно сделать с помощью графика
или кодов записанных работ. Если используется второй случай, необходимо
отыскать первую цифру кода рассматриваемой работы (графа 2), в графе 3 по направлению
вверх от данной работы. Если искомая цифра встретилась только один раз, значит,
данной работе предшествует только одна работа, если два, то две работы и т.д.
После того, как проставлено
количество предшествующих работ сетевого графика в графу 4 данной таблицы
переносят продолжительность выполнения всех работ (
), а затем
приступают к определению наиболее ранних сроков начала (
) и
окончания (
). Рекомендуется
обе графы (5 и 6) заполнять одновременно. Расчет ведется сверху вниз.
Сначала в графе 5 проставляют раннее
начало работ, выводящих из сходного события. Оно принимается равным нулю. Вслед
за этим определяется наиболее раннее окончание этих работ
=
+
и результат
записывается в графу 6. Дальнейшее заполнение таблицы основано на правиле,
согласно которому раннее окончание предшествующей работы является ранним
началом последующей работы, т.е
=
.
Если начальному событию
рассматриваемой работы предшествует не одна, а несколько работ, то в качестве
выбирается
наибольшее значение
=max
.
Одновременно определяется и раннее
окончание работ как сумма их раннего начала и продолжительности самих работ
соответственно.
Таким образом, определяется раннее
начало и раннее окончание для всех работ сетевого графика. Раннее окончание
завершающей работы (6-9), равное 28 неделям, принимается равным и позднему ее
окончанию, и длительности критического пути.
Расчет наиболее поздних сроков
начала и окончания работ ведется снизу вверх в графах 7 и 8. Сначала для
завершающей работы значение ее раннего окончания (графа 6) переносится в графу
8 - наиболее позднее окончание работы. В данном случае
. Наиболее
позднее начало завершающей работы (графа 7) определяется как разность между ее
поздним окончанием и длительности самой работы:
=
-
=26-2=24
После заполнения граф 7 и 8
производится анализ таблицы - выявляются работы с одинаковыми значениями
раннего и позднего окончания. Такие работы являются, как правило, критическими,
не имеют резервом времени. Все остальные работы обладают резервом времени и
частными резервами времени первого и второго порядка.
Величина полного (общего) резерва
времени
определяется
как разность между наиболее поздним (графа 8) и наиболее ранним (графа 6)
сроками окончания работы, или наиболее поздним (графа 7) и наиболее ранним
(графа 5) началом работы. Результат записывается в графу 8. После расчета всех
параметров сетевого графика в графе 10 проставляются календарные даты.
3. Расчет эффективности
инвестиционного проекта
На предприятии ОАО «Комбинат КМАруда» имеется
устаревшее оборудование, которое необходимо заменить. В качестве мероприятия
предлагается оснастить шахту новой буровой установкой НКР-100МВА., которая
наглядно представлена на рисунке 3.1
Рис 3.1 Буровой установка НКР-100МВА
Буровая установка НКР100МА применяется для
подземных выработок при бурении круговым веером. Привод электрический. Высокая
надежность. Простота управления. Возможность бурения скважин d=110
мм и глубиной до 80 м.
Способ бурения - пневмоударный. Пневмоударник
навинчен на став из штанг. Работа пневмоударника с помощью воздушно - водяной
смеси, с давлением сжатого воздуха 0.5 - 0.7 МПа. Привод штанг при помощи
редуктора с пневмозахватом. Подача става с помощью падающего патрона. Перехват
автоматический, с пульта дистанционного управления.
Срок реализации проекта - 8 лет. В том числе 1-3
года - период инвестирования, 4-8 года - производственный период.
Объем капитальных вложений составит 2000000 руб.
Этапы их освоения по годам:
в 1 год - 30%, 2 год - 40%, 3год - 30%.
Источники финансирования проекта: 1) собственные средства (прибыль - 70%),
кредиты банка - 30%. Условия кредитования: ставка - 15% годовых. 2) Вся сумма
кредита будет получена в 1 и 3 годах сроках реализации проекта. Кредит предоставляется
на 3 года. Период возврата кредита с 4 по 6 года, так как источниками выплаты
процентов и погашения основного долга является прибыль, полученная по проекту и
амортизация, начисляемая на вновь введенные объекты основных средств. И то и
другое имеет место с началом производственного периода. Срок полезного
использования основных средств - 8 лет. Амортизация начисляется линейным
методом.
Объем производства по годам в натуральных
единицах измерения (шт):
4-й год - 5000 шт;
5-8-й год - 6000 шт.
Цена за шт, руб - 136 руб.
Переменные издержки за шт, руб - 500 руб;
Постоянные затраты в год, тыс руб - 460 руб.
Стоимость оборотного капитала составляет 10% от
объема продаж в каждом году реализации проекта. Номинальная ставка
дисконтирования - 20%. Расчет:
. Распределить инвестиции по элементам и годам
осуществления проекта (табл 1).
Таблица 3.1 Распределение инвестиций по
элементам и годам (тыс руб)
|
Элементы
инвестиций
|
Годы
проекта
|
Итого
|
|
Период
инвестирования
|
Период
производства
|
|
|
1
|
2
|
3
|
4
|
5
|
6
|
7
|
8
|
|
|
1
|
2
|
3
|
4
|
5
|
6
|
7
|
8
|
9
|
10
|
|
1.Проектно-изыскательские
работы (5%) от суммы вложений
|
56
|
|
|
|
|
|
|
|
56
|
|
|
2.
Приобретение лицензии (2% от суммы вложения)
|
56
|
|
|
|
|
|
|
|
56
|
|
|
3.
Покупка оборудования
|
564
|
752
|
752
|
|
|
|
|
|
2068
|
|
|
4.
Подготовка производства (8% от стоимости инвестиций)
|
|
|
174
|
|
|
|
|
|
1174
|
|
|
5.
Прирост оборотных средств
|
|
|
|
680
|
136
|
|
|
|
792
|
|
|
Итого
|
676
|
752
|
926
|
680
|
136
|
|
|
|
3170
|
|
Расчет потребности в оборотном капитале по годам
производства:
4-й год: (5000х1360)х 0,1=680 тыс. руб.
5-й год: (6000х1360)х 0,1=816тыс. руб .
Прирост оборотных средств в каждом следующем
производственном году определяется как разница между потребностями в оборотном
капитале текущего года и предыдущего то есть:
5-й год: 816-680=136 тыс. руб. (потребность
предыдущего года).
6-й год: 816-616=0
2. Определить долю кредита по годам
осуществления проекта в стоимостном выражении.
3170х0,3=951 тыс. руб. - сумма кредита в
соответствии с исходными данными.
. Расчет источников финансирования проекта.
Таблица 3.2 Источники финансирования проекта
|
Элементы
инвестиций
|
Годы
проекта
|
Итого
|
|
|
1
|
2
|
3
|
4
|
5
|
6
|
7
|
8
|
|
|
|
1
|
2
|
3
|
4
|
5
|
6
|
7
|
8
|
9
|
10
|
|
|
1.
Прибыль (собственные средства)
|
|
478
|
926
|
680
|
136
|
|
|
|
2219
|
|
2.
Кредит
|
676
|
275
|
|
|
|
|
|
|
951
|
|
Итого
|
676
|
752
|
926
|
680
|
136
|
|
|
|
3170
|
Поскольку потребность в источниках
финансирования 1-ого года составляет 676 тыс. руб, а по исходным данным сумма
кредита предусмотрена в 951 тыс. руб, ввиду этого несоответствия вносим
следующие изменения: в 1 году - 427 тыс. руб кредитных средств, в 2 году -
остальные 275 тыс. руб. Расчет возврата кредита по годам реализации проекта
Таблица 3.3 Возврат кредита по годам реализации
проекта
|
Элементы
погасительного платежа
|
Годы
проекта
|
Итого
|
|
1
|
2
|
3
|
4
|
5
|
6
|
7
|
8
|
|
|
1
|
2
|
3
|
4
|
5
|
6
|
7
|
8
|
9
|
10
|
|
1.
Сумма основного долга
|
|
|
|
317
|
317
|
317
|
|
|
951
|
|
2.
Сумма процентов к уплате
|
|
|
|
387
|
95
|
47
|
|
|
509
|
|
Итого
|
|
|
|
684
|
412
|
364
|
|
|
1460
|
Принимаем способ погашения задолженность банку -
равными частями по основному долгу. Расчет суммы возврата основного долга:
:3=317 тыс руб.
Расчет процентов к уплате:
-й год: 676х0,15х3=305 тыс. руб.
х0,15х2=82 тыс. руб.
-й год: (951-317)х0,15= 95 тыс. руб.
-й год: (951-317х2)х0,15=47 тыс. руб.
. План денежных потоков в разрезе 3-х видов
деятельности
Таблица 3.4 План денежных потоков в разрезе 3-х
видов деятельности
|
Показатели
|
Годы
проекта
|
|
1
|
2
|
3
|
4
|
5
|
6
|
7
|
8
|
|
1
|
2
|
3
|
4
|
5
|
6
|
7
|
8
|
9
|
|
I. Инвестиционная
деятельность
|
|
1.
Проектно-изыскательские работы
|
-56
|
|
|
|
|
|
|
|
|
2.
Приобретение лицензии
|
-56
|
|
|
|
|
|
|
|
|
3.
Покупка оборудования
|
-564
|
-752
|
-752
|
|
|
|
|
|
|
4.
Подготовка производства
|
|
|
-174
|
|
|
|
|
|
|
5.
Прирост оборотных средств
|
|
|
|
-680
|
-136
|
|
|
|
|
6.
Итого по инвестиционной деятельности
|
-676
|
-752
|
-926
|
-680
|
-136
|
|
|
|
|
II. Финансовая
деятельность
|
|
7.
Прибыль
|
|
478
|
926
|
680
|
136
|
|
|
|
|
8.
Кредит
|
676
|
275
|
|
|
|
|
|
|
|
9.
Возврат основного долга по кредиту
|
|
|
|
-317
|
-317
|
-317
|
|
|
|
10.
Итого по финансовой деятельности
|
676
|
753
|
926
|
363
|
-181
|
-317
|
|
|
|
III.
Производственная деятельность
|
|
11.
Выручка
|
|
|
|
6800
|
8160
|
8160
|
8160
|
8160
|
|
12.
Себестоимость продаж, всего А) Пост затраты в год Б) Пер затраты в год
|
|
|
|
-2960
-460 -2500
|
-3460
-460 -3000
|
-3460
-460 -3000
|
-3460
-460 -3000
|
-3460
-460 -3000
|
|
13.
Прибыль от продаж
|
|
|
|
3840
|
4700
|
4700
|
4700
|
4700
|
|
14.
Проценты по кредиту
|
|
|
|
-387
|
-95
|
-42
|
|
|
|
15.
Прибыль до налогообложения
|
|
|
|
3473
|
4605
|
4653
|
4700
|
4700
|
|
16.
Налог на прибыль (20% от продаж)
|
|
|
|
-694
|
-921
|
-928
|
-940
|
-940
|
|
17.
Чистая прибыль
|
|
|
|
2779
|
3684
|
3725
|
3760
|
3760
|
|
18.
Амортизация на вновь введенное оборудование
|
|
|
|
294
|
294
|
294
|
294
|
294
|
|
19.
Чистый денежный поток (Итог по производственной деятельности)
|
|
|
|
3073
|
3978
|
4019
|
4054
|
4054
|
|
20.
Сальдо денежной наличности
|
0
|
0
|
0
|
3390
|
4023
|
3702
|
4054
|
4054
|
|
21.
Поток реальных денег
|
-676
|
-752
|
-926
|
2393
|
3298
|
3566
|
4054
|
4054
|
|
22.
Коэффициент дисконтирования при i=18%
|
0,847
|
0,718
|
0,609
|
0,516
|
0,437
|
0,370
|
0,314
|
0,260
|
|
23.Дисконтированный
поток реальных денег
|
-573
|
-540
|
-534
|
1234
|
1441
|
1319
|
1273
|
1078
|
|
24.Дисконтированный
денежный поток нарастающим итогом
|
-573
|
-1077
|
-1611
|
-377
|
1064
|
2383
|
3656
|
4734
|
|
25.
Коэффициент дисконтирования при i=30%
|
0.769
|
0,592
|
0,455
|
0,350
|
0,269
|
0,207
|
0,159
|
0,123
|
|
26.Дисконтированный
поток реальных денег
|
-519
|
-445
|
-421
|
837
|
887
|
738
|
644
|
498
|
|
27.Дисконтированный
денежный поток нарастающим итогом
|
-519
|
-964
|
-1385
|
-548
|
339
|
1077
|
1721
|
2219
|
|
28.
Коэффициент дисконтирования при i=50%
|
0,667
|
0,444
|
0,296
|
0,198
|
0,132
|
0,088
|
0,059
|
|
29.Дисконтированный
поток реальных денег
|
-451
|
-334
|
-274
|
474
|
435
|
313
|
235
|
158
|
|
30.Дисконтированный
денежный поток нарастающим итогом
|
-451
|
-785
|
-1059
|
-585
|
-150
|
163
|
398
|
556
|
|
31.
Коэффициент дисконтирования при i=80%
|
0,526
|
0,272
|
0,145
|
0,076
|
0,040
|
0,021
|
0,011
|
0,005
|
|
32.Дисконтированный
поток реальных денег
|
-355
|
-204
|
-134
|
188
|
132
|
75
|
44
|
20
|
|
33.Дисконтированный
денежный поток нарастающим итогом
|
-355
|
-559
|
-693
|
-511
|
-379
|
-304
|
260
|
-240
|
|
|
|
|
|
|
|
|
|
|
Расчет выручки от продаж:
-й год: 1360х5000=6800 тыс. руб.
-8-й год: 1360х6000=8160 тыс. руб.
Расчет суммы переменных затрат:
-й год: 5000х500=2700 тыс. руб.
-8-й год: 6000х500=3000 тыс. руб.
Расчет годовой суммы амортизации. Способ
начисления линейный. Срок полезного использования - 8 лет. Расчет
первоначальной стоимости амортизационных объектов: 676+752+926=2354тыс. руб.
2354:8=294 тыс. руб.
. Определить сальдо денежной
наличности.
Сальдо денежной наличности по шагам
планирования проекта определяется суммированием итогов по всем видам
деятельности: инвестиционной, финансовой, производственной. (строка 20 таблицы
плана денежных потоков) 6. Оценка финансовой состоятельности проекта .
Финансовая состоятельность проекта
определяется по сальдо денежной наличности. Заданный проект финансово
состоятельный по всем шагам планирования, так как сальдо денежной наличности по
шагам больше или равно 0.
. Определение точки безубыточности.
. Графическое определение точки
безубыточности
. Определить приемлемость проекта по
критерию NPV
Согласно таблице денежных поток
расчетное значение NPV=4734 тыс руб 10. Вычислим индекс
рентабельности и период окупаемости проекта.
. Определить внутреннюю норму
доходности
Принимаем в качестве
и
.
и
Графическое определение IRR
.Построить финансовый профиль
проекта
В целом по всем показателям данный
проект показал состоятельность, поэтому он может рассматриваться как выгодный и
прибыльный.
ЗАКЛЮЧЕНИЕ
Управление проектами за последнее время
завоевало признание как наилучший метод планирования и управления реализацией
инвестиционных проектов. В настоящее время значимая часть деятельности
организаций является проектной.
Проект представляет собой комплексное системное
мероприятие направленная на внесение изменений во все стороны жизни людей.
Чрезвычайная ситуация - это неблагоприятное
сочетание факторов и событий, создающих угрозу жизни людей, нарушающих условия
их нормальной жизнедеятельности, препятствующих производственной,
хозяйственной, бытовой и другим видам деятельности.
Основные особенности функционирования систем
управления в условиях чрезвычайных ситуаций состоят в том, что проблема
(чрезвычайная ситуация) развивается неожиданно, внезапно. Когда она возникает,
перед системой управления встают задачи, не свойственные стационарному режиму
работы организации и ее опыту. Контрмеры должны приниматься срочно, однако
обычный порядок деятельности не позволяет этого сделать по следующим причинам.
В практической части был построен сетевой график
табличным методом и произведен расчет эффективности инвестиционного проекта.
Анализ основных экономических показателей
деятельности ОАО «Комбинат КМАруда» показал, что положительным является факт
нарастающей тенденции в объемах выручки от продаж в исследуемом периоде.
Следовательно, работники комбината осуществляют свою деятельность эффективно.
В целом по всем показателям данный проект
внедрение новой буровой установкой НКР-100МВА показал состоятельность, поэтому
он может рассматриваться как выгодный и прибыльный.
СПИСОК ИСПОЛЬЗОВАННЫХ ИСТОЧНИКОВ
1.
Васина А.А. Финансовая диагностика и оценка проектов./А.А. Васина. - СПб:
Питер, 2014. - 447 с.
.
Воронов К. В. Коммерческая оценка инвестиционных проектов. Основные положения
методики./К.В.Воронов - СПб: ИКФ «АЛЬТ», 2010. - 207 с
.
Воропаев В.И. Управление проектами в России. М.: "Аланс", 2012 - 225
с.
.
Грей К.Ф. Управление проектами./ К.Ф.Грей, Э.У.Ларсон. - М: ДИС, 2011 г. - 528
с.
.
Липсиц И.В., Косов В.В. Инвестиционный проект. Методы подготовки и анализа. М.:
"Бек", 2010 - 294 с.
.
Локк Д. Основы управления проектами./ Д. Локк. - М: Hippo, 2013. - 242 с.
.
Мазур И.И., Шапиро В.Д. и др. Управление проектами (справочник для
профессионалов). М.: "Высшая школа", 2011 - 880 с.
.
Покровский М.А. Основы управления проектами. Учебное пособие. Под ред. Фалько
С.Г. М.: Изд-во МГТУ им. Баумана, 2010, 304 с.
.
Попов Ю.И. Управление проектами: Учеб. пособие/ Ю.И. Попов, О.В. Яковенко. -
М.: ИНФРА-М, 2014. - 208 с.
10.
Потапов С.В. Как управлять проектом. / С.В. Потапов. - М.: Эксмо, 2010. - 160
с.
11.
Управление проектом. Основы проектного управления: учебник / кол. авт.: под.
ред. проф. М.Л.Разу. - М.: КНОРРУС, 2012. - 768 с.
12.
Ципес Г. Л. Управление проектами: стандарты, методы, опыт./ Г. Л. Ципес, А. С.
Товб. - М: Олимп-Бизнес, 2011 г. - 239 с.
13.
Шапиро В.Д. Управление проектами./ В.Д. Шапиро, И.И. Мазур, Н. Г. Ольдерогге. -
СПб.: «ДваТрИ», 2012. - 664 с.