Нечеткая логика. Моделирование оценки показателей проекта, с использованием теории нечетких множеств

  • Вид работы:
    Контрольная работа
  • Предмет:
    Менеджмент
  • Язык:
    Русский
    ,
    Формат файла:
    MS Word
    144,1 Кб
  • Опубликовано:
    2015-06-02
Вы можете узнать стоимость помощи в написании студенческой работы.
Помощь в написании работы, которую точно примут!

Нечеткая логика. Моделирование оценки показателей проекта, с использованием теории нечетких множеств

Лабораторная работа №1


Тема: Нечеткая логика. Моделирование оценки показателей проекта, с использованием теории нечетких множеств

Пусть эксперт определяет успеваемость студента с помощью понятия «низкая», «средняя» и «высокая», при этом минимальная успеваемость равняется 5 балам, а максимальная - 100.

Описание лингвистической переменной

Формализация приведена с помощью лингвистической переменной.

Лингвистической переменной называется набор <β,T,X,G,M>,

Где β - имя лингвистической переменной;

Т - множество его значений (терм-множество), представляющие имена нечетких переменных, областью определения, которых является множество X.

Множество T называется базовым терм-множеством лингвистической переменной;- синтаксическая процедура, позволяющая оперировать элементами терм-множества T, в частности, генерировать новые термы (значения). Множество T∩G(T), где G(T) - множество сгенерированных термов, называется расширенным терм-множеством лингвистической переменной;

М - семантическая процедура, позволяющая преобразовать новое значение лингвистической переменной, образованной процедурой G, в нечеткую переменную, то есть сформировать соответствующее нечеткое множество.

β - успеваемость студента.

Τ = {«низкая», «средняя», «высокая»}

Х = [5;100]

G - процедура образования новых термов с помощью связок «и», «или» и модификаторов «очень», «слегка».

М - семантическая процедура задания на Х нечетких подмножеств:А1 = «низкая успеваемость», А2 = «средняя успеваемость», А3 = «высокая успеваемость», а также нечетких множеств из G(Т), соответствующих правилам трансляции связок и модификаторов. А1= [5;35], А2= [30;75], А3= [70;100].

Вместе с рассмотренными выше базовыми значениями лингвистической переменной «рейтинг» (Т - {«низкая калорийность», «средняя калорийность», «высокая калорийность»}) существуют значения, зависящие от области определения Х. В данном случае значения лингвистической переменной «успеваемость студента» может быть определено в виде нечетких чисел, то есть «40 успеваемость », «70 успеваемость», «100 успеваемость».

Рис. 1.1 Функция принадлежности нечетких множеств: А1 = «низкая успеваемость», А2 = «средняя успеваемость», А3 = «высокая успеваемость»

Рис. 1.2 Функция принадлежности: «средняя или высокая успеваемость» = А2∩А3

Вывод: в ходе выполнения данной лабораторной работы были получены навыки работы с лингвистической переменной и представления ее в нечетком и графическом виде.

Лабораторная работа №2

Тема: «Построение функции принадлежности на основе экспертной информации»

Построить функции принадлежности термов «низкий», «средний», «высокий», используемых для лингвистической оценки переменной «рост мужчины». Результаты опроса пяти экспертов приведены в табл.2.1

Результаты обработки экспертных мнений представлены в таблице 2.2. Числа над пунктирной линией - это количество голосов, отданных экспертами за принадлежность нечеткому множеству соответствующего элемента универсального множества. Числа под пунктирной линией - степени принадлежности, рассчитанные по формуле (2.2). Графики функций принадлежностей показаны на рис. 2.1.

Таблица 2.1

В1

k

термы

[160, 165)

[165, 170)

[170, 175)

[175, 180)

[180, 185)

[185, 190)

[190, 195)

[195, 200)

Эксперт 1

низкий

1

0

0

0

0

0

0

0


средний

1

1

1

0

0

1

0

0


высокий

1

0

0

0

0

0

0

1

Эксперт 2

низкий

0

1

1

1

0

0

0


средний

1

0

0

0

0

1

1

0


высокий

1

1

1

1

1

0

0

1

Эксперт 3

низкий

0

0

0

0

1

1

1

0


средний

0

1

0

1

0

1

0

1


высокий

0

0

0

0

0

0

1

0

Эксперт 4

низкий

1

0

1

0

0

1

0

0


средний

0

0

0

0

0

0

0

1


высокий

0

1

0

1

1

1

0

Эксперт 5

низкий

1

0

1

1

0

1

0

0


средний

1

1

0

1

1

0

1

0


высокий

0

0

1

0

1

0

0

1


Результаты обработки экспертных мнений представлены в таблице 2.2. Числа над пунктирной линией - это количество голосов, отданных экспертами за принадлежность нечеткому множеству соответствующего элемента универсального множества. Числа под пунктирной линией - степени принадлежности, рассчитанные по формуле (2.2). Графики функций принадлежностей показаны на рис. 2.1.

лингвистический переменный нечеткий моделирование

Таблица 2.2

Результат обработки экспертных мнений для Х1


[160, 165)

[165, 170)

[170, 175)

[175, 180)

[180, 185)

[185, 190)

[190, 195)

[195, 200)

низкий

3

1

3

2

1

4

1

0

μj(Uj)

0,6

0,2

0,6

0,4

0,2

0,8

0,2

0

средний

3

3

1

2

1

3

2

μj(Uj)

0,6

0,6

0,2

0,4

0,2

0,6

0,4

0,4

высокий

2

2

2

1

3

1

2

3

μj(Uj)

0,4

0,4

0,4

0,2

0,6

0,2

0,4

0,6


Вывод: Таким образом, на основе экспертных оценок определены функции принадлежности.

Лабораторная работа №3

Тема: Нечеткое моделирование конкурентоспособности кинотеатров

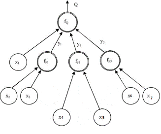
При экспертном сравнении кинотеатров  по критериям

·        корень дерева - конкурентоспособность кинотеатров ();

· терминальные вершины - частные влияющие факторы влияния

();

· нетерминальные вершины (двойные окружности) - свертки влияющих факторов;

·        дуги графа, выходящие из нетерминальных вершин - укрупненные влияющие факторы ().

Свертки и  осуществим посредством логического вывода по нечетким базам знаний.

Рис. 3.1 Иерархическая классификация факторов, влияющих на конкурентоспособность

Таблица 3.1

Влияющие факторы

Наименование фактора

Описание фактора

1

2

- ценаРозничная цена билетов на просмотр фильма на анализируемом рынке


- расположение по отношению к центруПотенциальное качество, заложенное в проект кинотеатра. Определяется: для удобства доступа к кинотеатру.


- расположение от остановочного пункта общественного транспортаОбъективные ограничения достижения место расположения кинотеатра. Определяется: для удобства доступа к кинотеатру.


- вместимость кинотеатраЦелостная совокупность вместимости клиентов, количество мест в кинозалов. Определяется: для возможности максимальной реализации билетов на просмотр фильмов.


- наличие разновидностей заловПредоставление форматов технических характеристик.


-сервисПоблизости кинотеатра другие развлекательные комплексы.


-залыРазновидности залов.


Моделирование кинотеатра Донецк сити

Таблица 3.2

Нечеткая база знаний

у1

х2

х3

Высокое

Высокое

Среднее

Высокое

Высокое

Высокое

Среднее

Среднее

Среднее

Низкое

Среднее

Низкое

Низкое

Среднее


Моделирование кинотеатра Шевченко

Таблица 3.3

Нечеткая база знаний

у2

х4

х5

Высокий

Среднее

Высокое

Высокий

Высокое

Среднее

Средний

Высокий

Низкое

Средний

Средний

Среднее

Низкий

Низкий

Низкое

Низкий

Средний

Низкое


Моделирование кинотеатра Звездочка

Таблица 3.4

Нечеткая база знаний

у3

х6

х7

Высокий

Средняя

Высокий

Средний

Низкая

Средний

Средний

Средняя

Средний

Низкий

Низкая

Средний


Таблица 3.5

Нечеткая база знаний для оценки конкурентоспособности

х1

У1

у2

у3

Высокое

Высокое

Среднее

Среднее

Среднее

Среднее

Низкий

Среднее

Низкий

Низкий

Низкий

Среднее


Таким образом, были проведены сравнения, которые оценивают конкурентоспособность трех кинотеатров на основании основных факторов. В результате сравнения определили, что кинотеатр Донецк сити имеет показатели «высокий» по всем критериям кроме расположения по отношению к центру, кинотеатр Звездочка имеет больше «средний» показателей, а кинотеатр Шевченко имеет больше «низкий» показателей.

Похожие работы на - Нечеткая логика. Моделирование оценки показателей проекта, с использованием теории нечетких множеств

 

Не нашли материал для своей работы?
Поможем написать уникальную работу
Без плагиата!
Без нейросетей!