Организация систеймы сервисного обслуживания и ремонта (на материалах ООО 'Симона' г. Мытищи Московской обл.)

  • Вид работы:
    Дипломная (ВКР)
  • Предмет:
    Менеджмент
  • Язык:
    Русский
    ,
    Формат файла:
    MS Word
    935,55 Кб
  • Опубликовано:
    2014-08-27
Вы можете узнать стоимость помощи в написании студенческой работы.
Помощь в написании работы, которую точно примут!

Организация систеймы сервисного обслуживания и ремонта (на материалах ООО 'Симона' г. Мытищи Московской обл.)















Тема выпускной квалификационной работы:

Организация системы сервисного обслуживания и ремонта (на материалах ООО «СИМОНА» г. Мытищи Московской обл.)

Содержание

Введение

1. Анализ востребованности услуг по обслуживанию и ремонту компьютерной техники

1.1 Основные этапы развития услуг по обслуживанию и ремонту компьютерной техники

1.2 Востребованность услуг по обслуживанию и ремонту компьютерной техники в Московском регионе

2. Разработка технологической схемы сервисного обслуживания и ремонта в ООО «Симона»

2.1 Технологическая схема сервисного обслуживания компьютерной техники

2.2 Особенности технологического процесса оказания услуг, предоставляемых ООО «Симона»

. Выбор технических средств для организации системы сервисного обслуживания и ремонта в ООО «Симона»

3.1 Современные технические средства, используемые для оказания сервисных услуг по обслуживанию компьютерной техники

.2 Выбор оборудования для организации системы сервисного обслуживания и ремонта в ООО «СИМОНА»

. Технико-экономическое обоснование организации системы сервисного обслуживания и ремонта в ООО «Симона»

4.1 Основные направления деятельности ООО «Симона»

.2 Технико-экономические показатели предприятия сервиса

.3 Анализ экономических показателей

.4 Расчет экономической эффективности

Заключение

Список использованных источников и литературы

Приложение

Введение

Развитие сферы услуг связано с обострением проблемы реализации продукции и ростом требований к подразделениям фирм, занимающихся сервисным обслуживанием и ремонтом. Необходимость сервиса и его постоянного совершенствования вытекает, прежде всего, из стремления производителя сформировать стабильный рынок для своего товара. Высококачественный сервис продукции непременно вызывает расширение спроса на нее, способствует коммерческому успеху предприятия, повышает его престиж.

Актуальность выбранной темы обусловлена тем, что современный покупатель предъявляет производителю товара жесткое требование: сервис должен обеспечивать работоспособность купленного оборудования, машин и механизмов в течение всего срока службы. Заботящийся о себе и своей репутации продавец (производитель) стремится оправдать ожидания покупателя. Организация сильной сервисной службы и ее эффективное функционирование - предмет заботы всех фирм, успешно выступающих на внешнем и внутреннем рынках.

Выходящие на рынок сервисные службы и вообще специалисты по сервису являются основным источником маркетинговой информации, необходимой для создания идей новых товаров и модификаций уже производимой.

В последнее время производители столкнулись с феноменом «конкуренции по-новому». Вот что об этом говорит американский экономист Т. Левитт: «Конкуренция по-новому - это не конкуренция между собой того, что произведено фирмами на своих заводах и фабриках, а того, чем они дополнительно снабдили свою продукцию в виде упаковки, услуг, рекламы, консультаций для клиентов…и прочих ценимых людьми вещей» /28/.

Немыслимо рассчитывать на успех в продаже товара, если вы не обслуживаете её после реализации. В этом направлении предоставляется необозримый простор для деятельности. Все уважающие себя фирмы, прежде всего, уважают своих клиентов, подтверждая это организацией центров сервисного обслуживания.

Сервисное обслуживание потребителей товара - это совокупность работ, выполняемых службой сервисного обслуживания организации-изготовителя с целью обеспечения правовой защищенности и социально-экономической удовлетворенности покупателя в результате использования им приобретенного товара /10/.

Принцип современного сервиса заключается в том, что хорошая фирма-производитель товара берёт на себя ответственность на поддержание работоспособности выпущенного изделия в течение всего времени его эксплуатации. Высокая конкурентоспособность товара в значительной степени определяется высококачественным сервисом, и поэтому фирмы не должны рассматривать это весьма хлопотливое дело как обременительное, а наоборот, должны не жалеть сил и средств на его обеспечение /36/. Ведь сервис при умелой организации способен стать важной (а порой и решающей!) статьёй дохода: по американским данным, каждый вложенный в него доллар даёт вдвое больше прибыли, чем вложенный в производство обслуживаемой техники.

Один из наиболее эффективных способов дифференцирования компании сферы услуг - постоянное предложение более качественного в сравнении с конкурентами сервиса. Ключ к привлечению целевого сегмента покупателей к потреблению услуг конкретной компании - удовлетворение ожидание клиентов относительно качества обслуживания.

Целью выпускной квалификационной работы является определение основных требований к высококачественному сервису и разработка системы сервисного обслуживания и ремонта на предприятии сервиса.

Задачи исследования заключаются в следующем:

провести анализ востребованности услуг по обслуживанию и ремонту компьютерной техники;

выявить основные этапы развития услуг по обслуживанию и ремонту компьютерной техники;

оценить востребованность услуг по обслуживанию и ремонту компьютерной техники в Московском регионе;

разработать технологическую схему сервисного обслуживания и ремонта в ООО «Симона»;

осуществить выбор технических средств для организации системы сервисного обслуживания и ремонта в ООО «Симона»;

дать технико-экономическое обоснование организации системы сервисного обслуживания и ремонта в ООО «Симона»;

Объектом исследования является ООО «Симона», предоставляющее сервисные услуги по ремонту компьютерной техники.

Предметом исследования являются особенности сервисного обслуживания и ремонта компьютерной техники.

Теоретико-методологической основой исследования выступают работы отечественных и зарубежных исследователей, таких как: Аванесовой Г.А., Глухова В.В., Заельдович Б.З., Орлова С.В., Павловой И.П., Романович В.К., Веснина В.Р., Фроловой Т.В., Квартальнова В.А. и других.

Данная работа состоит из введения, 5 глав, заключения. В работу включены 13 рисунков, 11 таблиц и 5 приложений. При написании дипломной работы, были использованы учебная и научная литература, периодические издания журналов и газет, собственные наблюдения, изученная документация предприятия (учредительные документы, годовые отчеты, статистическая отчетность, бизнес-план, договора), и другие исследовательские методы сбора данных.

1. Анализ востребованности услуг по обслуживанию и ремонту компьютерной техники

В современных условиях развития науки и техники применение новейших технологий и оборудования является очевидным конкурентным преимуществом. Поэтому использование современных систем <#"826464.files/image001.gif">

Рисунок 1- Группировка сервисного обслуживания и ремонта

Во-первых, это эксплуатация техники собственными силами. При всех очевидных выгодах такого подхода (оперативность взаимодействия, знание нюансов производства и пр.) он доступен далеко не всем. Для того чтобы организовать отдельное структурное подразделение, занимающееся исключительно сервисным обслуживанием сложной техники, необходимо сделать значительные первоначальные вложения, поддерживать штат квалифицированных специалистов разных специальностей и иметь хорошо организованное складское хозяйство. Для большинства производств такие расходы являются нерациональными. Тем не менее, на очень крупных предприятиях, имеющих на балансе большое количество сложной техники, такой подход практикуется /10/.

Во-вторых, организация разовых работ по сервисному обслуживанию подрядными организациями. Такие компании имеют постоянный штат квалифицированных специалистов и ремонтную базу. Но, несмотря на то, что это весьма распространенный путь, к его очевидным недостаткам относятся отсутствие системного подхода и потеря преимуществ ИПИ, поскольку у «разового» специалиста зачастую нет возможности судить о происходящих событиях в динамике процесса. Кроме того, сторонние фирмы, занимающиеся сервисным обслуживанием сложной техники, часто имеют проблемы с аутентичными запчастями и принадлежностями, что может привести к невыполнению взятых обязательств и нарушению сроков работ. Возможность сэкономить, вызвав специалиста «по факту» уже возникшей проблемы, с лихвой компенсируется стоимостью работ и оборудования, если эта проблема чревата поломкой и серьезным ремонтом /10/.

В-третьих - фирменное гарантийное и постгарантийное сервисное обслуживание. Как правило, отношения со специализированными сервисами завязываются уже при покупке нового оборудования, при начале эксплуатации в рамках гарантийного срока. Фирменное сервисное обслуживание удобно тем, что именно в нем наиболее ярко выражены преимущества ИПИ-технологий, поскольку агрегат находится под пристальным вниманием специалистов непосредственно от сборочного конвейера до места работы /10/. Дополнительным преимуществом сервисов является возможность оперативной работы с фирмой-производителем, более дешевые аутентичные запчасти и принадлежности и высокая квалификация персонала именно в области эксплуатации данной марки техники.

Применение ИПИ-технологий позволяет создавать системы сложной архитектуры, позволяющие эксплуатировать и обслуживать сложную технику наиболее эффективно, до минимума снижая издержки на сервисное обслуживание и ремонт. При этом необходимо высокий уровень обслуживания задается уже на стадии производства и монтажа современных высокотехнологичных агрегатов.

В конце 80х годов с вопросами упорядочивания всех процедур и процессов, связанных с обслуживанием компьютеров (и в частности с вопросами абонентского обслуживания компьютеров, то есть осуществляемого на регулярной основе), уже сталкивались в Великобритании.

Тогда Правительство Великобритании поручило одному из своих ведомств разработать принципы эффективного и рентабельного использования ИТ ресурсов (аббревиатура ИТ означает информационные технологии) в государственных учреждениях. Результатом явилась Библиотека передового опыта организаций (IT Infrastructure Library - ITIL), которая выросла из собрания лучших методов индустрии ИТ услуг /36/.

В настоящее время стандартом «де-факто» в области организации и управления информационными технологиями, обобщившим в себе лучший международный опыт, является Information Technology Infrastructure Library (ITIL).

Издателем Библиотеки ITIL является OGC (The Office of Government Commerce) - британская правительственная организация, отвечающая за повышение эффективности работы государственных структур Великобритании, а также за развитие кооперации с компаниями частного сектора.

Развитие и популяризация Библиотеки поддерживаются не только её издателем (OGC) но и независимым профессиональным сообществом itSMF (IT Service Management Forum). Эта некоммерческая организация объединяет как частных лиц, профессионалов в области управления ИТ, так и организации, в том числе компании-вендоры. В числе крупнейших корпоративных членов Форума (Global members) компании Microsoft, SUN, HP и IBM.

Библиотека ITIL первоначально была результатом работы Центрального агентства по вычислительной технике и телекоммуникациям (Central Computer and Telecommunications Agency - CCTA) при правительстве Великобритании.В апреле 2001 г. ССТА было объединено с Государственной торговой палатой (Office of Government Commerce - OGC), являющейся в настоящее время новым владельцем библиотеки ITIL. Целью OGC является помощь заказчикам из государственного сектора экономики Великобритании в модернизации их деятельности по закупкам и улучшении обслуживания путем максимального использования ИТ и других инструментариев. «Задачей OGC является модернизация закупок правительственными службами и работа по улучшению использования финансовых средств». OGC способствует использованию «передового опыта» в различных сферах деятельности (например, Управление Проектами, Управление Закупками и ИТ Сервис-менеджмент). OGC выпускает несколько книжных серий (библиотек), написанных экспертами из Великобритании и других стран мира, представляющими ряд компаний и организаций.

Принадлежащая OGC библиотека ITIL состоит из ряда доступных и детальных «Собраний практических руководств» для предоставления эффективных и рациональных ИТ-услуг (сервисов).

Каждая из книг библиотеки ITIL рассматривает вопросы отдельной части структурированной процессной основы. В них дается описание того, что необходимо для организации ИТ Сервис-менеджмента /36/.

Библиотека ITIL определяет цели и виды деятельности, входные и выходные параметры каждого из процессов в ИТ-организации. Однако, библиотека ITIL не дает конкретного описания способов осуществления этой деятельности, так как они могут различаться в каждой организации. Акцент делается на проверенном практикой подходе, который может быть реализован различными способами в зависимости от обстоятельств. Библиотека ITIL не является методом; наоборот, она предлагает структурированную основу для планирования наиболее часто используемых процессов, ролей и видов деятельности, определяя связи между ними и необходимые виды коммуникации.

Создание библиотеки ITIL вызвано необходимостью предоставления высококачественных услуг, уделяя при этом особое внимание отношениям с заказчиком. ИТ-организация должна выполнять соглашения с заказчиком, что означает поддержание хороших отношений с заказчиками и партнерами, такими, как поставщики.

Частично философия библиотеки ITIL имеет в своей основе системы качества, такие как стандарты серии ISO-9000, и общие схемы обеспечения качества (Total Quality frameworks), как предлагаемые Европейской организацией Управления Качеством (European Foundation of Quality Management - EFQM). Библиотека ITIL поддерживает эти системы путем предоставления четкого описания процессов и передового опыта ИТ Сервис-менеджмента. Это может значительно сократить время, необходимое для прохождения сертификации ISO.

Первоначально библиотека ITIL состояла из нескольких комплектов книг, в каждом из которых описывалась конкретная область сопровождения и эксплуатации ИТ-инфраструктуры. Ядром ITIL считались десять книг, в которых описывались такие области, как поддержка услуг и предоставление услуг /36/. Библиотека включала также около 40 других книг по вспомогательным предметам, имевшим отношение к ИТ Сервис-менеджменту, от монтажа кабелей до Управления Отношениями с Заказчиком. Для управления книгами используется book manager. Однако, в первоначальных сериях книг вопросы ИТ Сервис-менеджмента рассматривали главным образом с точки зрения ИТ. Для заполнения разрыва между бизнес-практикой и ИТ-организацией в библиотеку была включена серия книг, рассматривающая бизнес-аспекты ИТ Сервис-менеджмента. Более того, в определенных частях библиотеки ITIL в то время использовался несколько устаревший подход.

В настоящее время была сделана переработка центральных книг по ITIL и они были переизданы в виде двух книг: одна - по поддержке услуг и другая - по их предоставлению. Это позволило исключить повторы и встречавшуюся местами несогласованность ранних серий, что улучшило структурное единство издания, которое теперь дает более четкое представление об ИТ Сервис-менеджменте.

Начатый после выпуска указанного издания пересмотр всей серии публикаций ITIL еще не завершен. В настоящее время ITIL состоит из восьми томов /36/: Service Support, Service Delivery, Planning to Implement Service Management, Application Management, ICT Infrastructure Management, Security Management, Software Asset Management.Business Perspective: The IS View on Delivering Services to the Business.

Парадигма ITIL включает следующие составляющие:

·              задача ИТ-службы - обеспечение основного бизнеса всеобъемлющим набором информационных сервисов;

·              соглашение об уровне предоставления сервисов (Service Level Agreement) -согласованный и утвержденный документ, на основании которого сервисы поставляются бизнесу;

·              качество сервиса - измеряемая величина;

·              деятельность ИТ-службы организуется на основании процессного подхода.

К преимуществам ITIL можно отнести:

·        использование лучших знаний и проверенных практик;

·        Ориентация работы IT на решение задач бизнеса;

·        IT службы представляются поставщиками IT-услуг для бизнес подразделений;

·        деятельность IT регламентируется соглашением об уровне услуг;

·        определение стандартов и правил для IT-персонала;

·        нацеленность на обеспечение максимально возможного качества IT-услуг для пользователей;

·        внедрение подходов менеджмента качества в управления IT-сервисами;

·        возможность подтвердить и объяснить стоимость IT в соответствии с согласованным уровнем обслуживания.

Библиотека ITIL постоянно перерабатывается и обновляется, аккумулируя новый опыт и новые знания. Сегодня рекомендациями и методологиями ITIL пользуются большинство крупнейших компаний по всему миру, повышая эффективность управления IТ инфраструктурой.

.2 Востребованность услуг по обслуживанию и ремонту компьютерной техники в Московском регионе

Компания IDC подвела итоги исследования российского рынка персональных компьютеров за 2012 год. По данным IDC Quarterly PC Tracker, в Россию за этот период было поставлено около 3,95 млн. настольных и портативных ПК. Это на 40,6% больше, чем за 2011 год.

В пятерке лидеров рынка не произошло значительных перестановок. Компания Acer c долей 19,3% возглавила список ведущих поставщиков, обогнав ближайшего конкурента, ASUS, всего на 0,2%. Места с третьего по пятого распределились между HP (13,1%), Lenovo (11%), и Samsung (8,7%).

Рисунок 2 - Основные поставщики оргтехники на российский рынок

Сегмент настольных ПК в 2012 году показал отрицательную динамику, окончательно уступив мобильным устройствам - поставки десктопов сократились на 13,2% до 855 тысяч штук. Лидером этого сегмента по-прежнему остается НР, основную конкуренцию которой составляют российские компании DNS и DEPO Computers, а также международные вендоры Acer Group и Lenovo. Доля настольных ПК интернациональных брендов продолжает расти, составив во втором квартале 27,4% против 19,8% годом ранее. Исключение из общей тенденции по десктопам составляют моноблоки. Поставки этих устройств выросли за год на 45,8% до 75 тысяч штук /26/.

Сегмент ноутбуков увеличился на 69,6% по сравнению с показателями второго квартала 2011 года до 3,09 млн. штук. Значительная часть отгрузок второго квартала рассчитана на сезон активных продаж под начало учебного года. Стоит отметить, что поставки отдельных производителей, отправленные с заводов во втором квартале, фактически прибыли в Россию только в июле-августе. В ряде случаев транзитные показатели достигали 65-70 % на конец второго квартала.также подвела итоги 2012 года по рынкам планшетных устройств и устройств для чтения электронных книг. По данным IDC Quarterly Tablet Tracker, в Россию за этот период было поставлено около 536 тысяч ридеров и 716 тысяч планшетов. Еще год назад объем поставленных в Россию устройств для чтения был меньше в два раза, а планшетов - в четыре раза. Среди крупнейших поставщиков устройств для чтения в нашей стране представлены такие компании как Wexler, Texet, PocketBook, Ritmix, в то время как Amazon, лидер рынков многих стран мира, пока не осуществляет в Россию официальные поставки. Что касается рынка планшетов, то только на долю Apple и Samsung приходится больше половины всего рынка.

Рисунок 3 - Динамика поставок основных видов оргтехники

«Рынок десктопов сдался под напором высокой конкуренции со стороны ноутбуков. Ценовая разница между устройствами в данных форм-факторах уже не столь значительная как раньше, и потому предпочтение отдается более легким, мобильным решениям, - отмечает старший аналитик IDC Зарина Камытбаева. - Дополняют картину всеобщей «мобилизации» планшетные устройства. Этот рынок активно наращивается, представляя собой серьезную угрозу рынку ноутбуков, претендуя как минимум на его частичное поглощение».

Общая численность компьютерной техники в эксплуатации в России с 2007 по 2011 гг выросла на 15,6%: с 294,7 млн до 340,8 млн штук. Рост количества эксплуатируемой компьютерной техники связан с развитием систем связи и коммуникации в России, а также ростом материального благосостояния населения.

В то же время на фоне финансовой нестабильности в стране с 2007 по 2011 годы наблюдалось увеличение среднего срока эксплуатации компьютерной техники. Увеличение среднего срока эксплуатации является показателем изменения потребительских настроений россиян: они предпочитали сбережение тратам на обновление или приобретение новой техники.

Спрос на компьютерную технику в России в 2007-2011 годы имел разнонаправленную динамику. Усредненное значение спроса с 2007 по 2011 годы составляло 63,6 млн шт.

За 2010-2011 годы число компьютерных пользователей в Москве выросло на 84%. Эти данные огласили в Комитете по информатизации и связи администрации Москвы. В целом число персональных компьютеров на территории Москвы составляет сейчас 10 млн 600 тыс., а плотность их распространения - 84,8 единиц на 100 жителей /26/.

На 22% вырос среднесуточный показатель аудитории Интернета. В этом году общее число пользователей сети составило 580 тыс. Количество персональных компьютеров, имеющих выход в Интернет, достигло миллиона.

На территории города Москвы расположены 980 фирм по продаже, обслуживанию и ремонту персональных компьютеров и их комплектующих. Структура рынка компьютерных продаж (степень влияния отдельного продавца (покупателя) на рыночную цену) в городе Москве - ближе всего к рынку чистой конкуренции.

Рынок чистой конкуренции характеризуется следующими чертами:

·              Имеется множество продавцов и покупателей одного итого же товара, при этом каждый из них продает (покупает) очень малую долю общего рыночного объема;

·              Товар с точки зрения покупателей является совершенно однородным, покупателю безразлично, у какого продавца покупать товар;

·              Все покупатели с точки зрения продавцов одинаковы;

·              Отсутствуют препятствия для вступления в отрасль новых производителей и выхода из неё;

·              Все участники рыночных сделок осведомлены о технологии, ценах, отсутствует сговор продавцов или покупателей;

·              Ни один покупатель, продавец не может оказать существенного влияния на уровень текущей рыночной цены. Продавец не может завысить цену своего товара по сравнению с текущей рыночной ценой, так как покупатели имеют возможность купить товар у других продавцов по рыночной цене. Продавец не будет снижать цену своего товара, так как он может продать весь товар по рыночной цене.

В условиях совершенной рыночной конкуренции отдельная фирма может контролировать только свои объемы производства и свои затраты но не цену. Уровень текущей рыночной цены единицы продукции складывается под действием спроса и предложения в отрасли. В зависимости от соотношения между текущей рыночной ценой и затратами каждая конкретная фирма предлагает (или не предлагает) рынку определенный объем продукции.

Большинство предприятий города, занимающихся торговлей компьютерных комплектующих - это предприятия малого и среднего бизнеса, имеющие некоторый опыт работы в данной области продаж. Каждое из торгующих предприятий имеет сервисное и гарантийное обслуживание.

Сервис - это система обслуживания покупателей, цель которого предложить покупателям имеющийся товар и оказать им помощь в получении наибольшей пользы от приобретенного товара. Основными функциями сервиса, как инструмента маркетинга являются: привлечение покупателей; поддержка и развитие продаж товара; информирование покупателя.

Сервис как систему обслуживания разделяют на два вида: техническое обслуживание и торговое обслуживание, причем сервисные услуги могут оказываться до и после покупки товара.

Техническое обслуживание заключается в осуществлении услуг по восстановлению функций товара, в оказании помощи покупателю при решении проблем эксплуатации товара, в проверке совместимости товара или его элементов с другими изделиями, а также в предоставлении консультаций по надежной эксплуатации и сохранности товара.

После покупки товара фирма-изготовитель или фирма, продавшая товар, выполняют послепродажный сервис: доставку, монтаж, контроль, техническое обслуживание и ремонт.

Для организации сервисного обслуживания могут создаваться сервисные центры по оказанию до и после продажных услуг. Такие сервис - центры могут организовываться фирмой изготовителем.

Перечислим основные услуги, которые оказывают предприятия города при продаже компьютера и его комплектующих.

1.      Бесплатная доставка. При покупке компьютера и компьютерных комплектующих, на сумму >30000руб., все фирмы города предоставляют возможность бесплатной доставки, но только в черте города. Доставка покупки осуществляется в течение дня.

.        Гарантийное обслуживание. При покупке компьютера и любых компьютерных комплектующих, все фирмы города дают гарантийные обязательства на покупаемый товар (т.е. на время гарантийных обязательств фирма, продавшая товар, берет на себя затраты, связанные с устранением возможных неполадок, возникающих в процессе пользования приобретенным продуктом.) Гарантийный срок варьируется в зависимости от: фирмы изготовителя, фирмы продавшей товар, самого изделия. Обычно, гарантию на комплектующие дает сам изготовитель, но иногда торгующие предприятия сами оказывают такую услугу. Гарантийный срок на мониторы известных торговых марок - 3 года, на процессоры, память, МВ, и т.п. - от полугода до года, на мыши, клавиатуру - от 3 до 6 месяцев.

.        Бесплатная отладка и настройка компьютеров. Такая услуга предоставляется только при покупке "целого" компьютера. Качество и время наладки зависят от фирмы продающей компьютер. В большинстве случаев наладка является удовлетворительной, т.е. практически всегда устраивает покупателя.

.        Установка программного обеспечения. Все фирмы занимающиеся продажей компьютеров имеют в продаже и программное обеспечение для них. При покупке компьютера фирма предлагает установить лицензионное программное обеспечение на компьютер за высокую плату. Цена лицензионного Windows ХР - от 2500 рублей, при том, что систему подобного же качества можно купить на радио-рынке за 80 руб. Особенность данной услуги и в том, что тестируют и производят наладку компьютера при установленной лицензионной версии Windows, которую затем стирают.

.        Наличие станции технического обслуживания. Не все торгующие фирмы в городе имеют подобное подразделение. Большинство крупных компьютерных фирм имеют под руководством станции тех. обслуживания, "молодые" же предприятия, обычно, не имеют подобных структур и при необходимости ремонта и наладки обращаются к тем фирмам, у которых станции тех. обслуживания есть. Не все виды компьютерных комплектующих ремонтируют в нашем городе, часть продукции подлежит ремонту только в Москве, трудные случаи ремонта также отвозят в столицу. Естественно в этом случае стоимость и время ремонта сильно увеличиваются.

.        Наличие у фирм продавцов - менеджеров. Во всех магазинах нашего города можно проконсультироваться у продавцов - менеджеров. Они помогут подобрать покупателю необходимую ему конфигурацию компьютера, сориентироваться в широком товарном ассортименте, пояснить работу комплектующих и компьютерных программ. От работы этих людей очень сильно зависят объемы продаж, особенно у начинающих предприятий. Очень часто покупателю предлагают купить дорогой и ненужный ему товар, рассчитывая на некоторую его некомпетентность. Поэтому, желательно, при покупке компьютера, заранее проконсультироваться у нескольких квалифицированных человек и только затем сделать свой выбор.

7.Возможность последующей модернизации. Разработка и усовершенствование компьютерных комплектующих идет очень быстрыми темпами. Примерно раз в несколько месяцев, на рынке компьютерных товаров, появляется новая модель или даже принципиально новое устройство. Таким образом, мы имеем, что компьютерные комплектующие быстро "морально" устаревают и для качественной работы с новыми программами необходимы более новые совершенные модели.

Большинство компьютерных фирм, зная этот процесс, предоставляют услугу модернизации, т.е. обмена существующей у клиента модели комплектующей, на более новую модель с доплатой разницы в цене. Цену на старую модель фирма определяет сама и зачастую эта цена сильно занижена, поэтому необходимо обратиться в несколько фирм, предоставляющих подобную услугу, чтобы уменьшить разницу доплаты.

. Вызов специалиста. Часто происходит так, что у человека или фирмы недавно купившей компьютер, возникают проблемы с его наладкой, трудности с подключением дополнительных устройств (принтер, сканер, установка сети) и некоторые вопросы, связанные с его обслуживанием. В этих случаях, компьютерные фирмы предоставляют возможность выслать квалифицированного специалиста для устранения имеющихся неполадок или качественной настройки имеющегося оборудования. Цена на данную услугу практически везде одинаковая от 100-150руб. за вызов и 150-200руб за час работы, причем первый час всегда необходимо оплатить. Кроме почасовой оплаты, тарифицируется и выполняемая работа, например, установка Windows стоит от 250 рублей.

. Возможность покупки в кредит. Многие компьютерные фирмы в городе начали предоставлять такую услугу. Фирмы предоставляют возможность покупателю приобрести товар в рассрочку, с первоначальным взносом и выплатой оставшейся суммы в течение двух лет. Сумма первого взноса при рассрочке до 2 лет составляет 20-30% от стоимости покупки с выплатой ежемесячно под 15-30% годовых. При уменьшении рассрочки до года процент ссуды снижается, первоначальный взнос, и проценты к уплате зависят от банка и торгующей организации. Этот вид услуги идет через банки города, в основном это банк "Москвы", "ЮниКредит Банк", "ТрасКркдитБанк" и др. Данный вид услуги завоевал прочное место на рынке.

. Кроме перечисленных услуг, практически все компьютерные фирмы принимают заказы по телефону, предоставляют возможность оплаты по безналичному счету и имеются в наличии различные скидки и призовые фонды при покупке компьютера.

Рассмотрим некоторые характеристики компьютерных фирм города Мытищи. При анализе рынка было посещено более 20 организаций в различных районах города, и сделаны следующие выводы:

·              Практически все фирмы сгруппированы в "экономических центрах" города: район Комсомольской площади - 6 фирм, пл. Горького -10 фирм, Центр Международной торговли -3 фирмы, БЦ Полянка -4 фирмы и т.д. Часть фирм расположена не так далеко от центров города и небольшое количество фирм в отдаленных частях города.

·              Территории, в которых расположены предприятия, колеблются от 15 до 150м2, и насчитывают кроме торговых залов, места сборки компьютеров и складские помещения.

·              Многие торгующие организации имеют корпоративных клиентов, т.е. частные фирмы, с которыми у них заключены договоры, касающиеся продаж и обслуживания компьютеров. Для части фирм корпоративные клиенты это основные покупатели, поэтому многие сбытовые шаги компаний направлены именно на данный сегмент рынка. В целом, для всех предприятий очень выгодно иметь подобных клиентов, и в перспективе, чем больше фирм-покупателей, тем лучше это для фирмы, т.к. это приносит стабильный ожидаемый доход.

·              Практически все фирмы в городе, занимающиеся компьютерными продажами имеют в продаже кроме компьютерных комплектующих, еще и оргтехнику, компьютерные диски, аксессуары к сотовым телефонам и сами сотовые телефоны. Т.о. имея большую товарную номенклатуру фирмы, уменьшают свои риски, стабилизируют объем сбыта, и постоянство в получении прибыли.

·              Часть организаций в Москве занимаются кроме продаж, установкой и наладкой компьютерных сетей. Они составляют смету, подбирают оптимальные конфигурации и подключают сеть к всемирной паутине.

·              В связи с высокой конкуренцией, каждая фирма старается занять свою нишу на городском рынке. Подбирая такой товарный ассортимент, который в чем-то не соответствует "соседу", и будет более интересен покупателю. Снижая цену на одну часть товаров, а на другую поднимая, фирмы играют на интересах, зная что, заинтересовавшись низкой ценой, человек может купить, кроме одного товара и другой "соседний" товар.

·              Важную роль играют скидки и лотереи, устраиваемые компаниями. Величина скидок обычно незначительна в среднем 3-4% от цены дорогостоящего товара. Подарки, которые дарят фирмы при покупке компьютера, зачастую тоже низки (при покупке компьютера мышь или клавиатура бесплатно.) Различные лотереи (акции), проводимые предприятиями, выполняют туже функцию, привлекают покупателя.

·              На рынке компьютерных продаж, кроме официально действующих зарегистрированных фирм присутствуют и конкурирующие с ними нелегальные организации. Цель таких организаций - получение дополнительных прибылей, за счет не уплаты налогов. Продажей компьютеров занимаются также и частные лица, делая закупки на оптовых базах и продавая собранные ими компьютеры по розничным ценам, естественно обходя налоговую базу.

·              Интересна тенденция, фирм торгующих компьютерными комплектующим с каждым годом становиться все больше и больше, существующие фирмы открывают новые филиалы и дочерние предприятия. Часть фирм "умирает", но еще больше "рождается". Это и не удивительно, как уже говорилось ранее, интерес к компьютерам постоянно растет, все больше людей пользуются домашними компьютерами, и в недалёком будущем у каждой семье будет по мощному персональному компьютеру /26/.

сервис ремонт компьютерный

2. Разработка технологической схемы сервисного обслуживания и ремонта в ООО «Симона»

Профессиональное техническое обслуживание компьютеров IT-специалистом - это самый проверенный и эффективный способ решения как текущих, так и глобальных проблем. Независимый IT-специалист берет на себя всю работу, связанную с непрерывным функционированием сетей и офисной техники: настройка компьютерной сети, устранение технических неполадок, обеспечение информационной безопасности и повышение эффективности IT-инфраструктуры организации. Обслуживание компьютеров позволяет организациям раз и навсегда решить технические проблемы с компьютерными сетями, не прилагая к этому никаких усилий и не тратя лишние деньги. Опытный IT-специалист, который будет заниматься обслуживанием компьютеров, заинтересован в конечном результате и несет полную ответственность за свою работу.

.1 Технологическая схема сервисного обслуживания компьютерной техники

Комплексное обслуживание оргтехники - это одно из основных направлений деятельности ООО «Симона». Преимуществами обращения в компанию являются:

использование для оказания таких услуг как ремонт и техническое обслуживание оргтехники только самого современного оборудования и проверенных методов;

профессионализм и высокая квалификация мастеров, которыми осуществляются ремонт оргтехники;

использование исключительно оригинальных запасных деталей и расходных материалов, необходимых для проведения операций, которые подразумевают ремонт и обслуживание оргтехники;

возможность обслужить любую модель любого производителя;

удобство обращения в сервис. Даже самый сложный ремонт проводится оперативно. Поэтому хозяину оргтехники не приходиться долго обходится без своей техники, пока она находится в ремонте;

разумное соотношение цены на сервис с его качеством.

В целом весь процесс оказания услуги разделен на следующие этапы:

Этап 1 - Определение бюджета времени.

Этап 2 - Назначение на обслуживание.

Этап 3 - Встреча клиента и проведение диагностики оргтехники.

Этап 4 - Оформление заказ-наряда.

Этап 5 - Непосредственное выполнение ремонта или обслуживания.

Этап 6 - Выдача отремонтированного изделия.

Этап 7 - Контроль удовлетворения клиента.

Особое внимание уделяется такому этапу, как контроль удовлетворения клиентов. Вся информация заносится в базу данных.

Анализ этих показал, что системе организации сервисного обслуживания существуют некоторые проблемы, а именно.

% клиентов не довольны временем, затраченным на обслуживание оргтехники.

% клиентов не довольны слишком долгим ожиданием обслуживания - сервисное обслуживание осуществляется по записи, но поскольку заказом больше, чем пропускная способность центра, то клиентам приходится ждать своей очереди иногда около 2 недель.

% клиентов не довольны качеством самого технического обслуживания.

И 10 % клиентов отмечают слабую культуру обслуживания (рисунок 4).

Таким образом, не смотря на то, что функционирование ООО «Симона» осуществляется на основе алгоритмов, используется современное оборудование и качественные запасные части и комплектующие, можно сделать вывод что организация сервисного обслуживания требует совершенствования.

Рисунок 4 - Оценка качества сервисного обслуживания

2.2 Особенности технологического процесса оказания услуг, предоставляемых ООО «СИМОНА»

Эффективность работы службы сервиса можно оценить по следующим критериям:

· номенклатура и количество;

· качество;

· время;

· цена;

· надежность предоставления сервиса.

Критерий «номенклатура и количество» сервиса характеризует количество отказов покупателей от уже оформленной покупки или какой-либо услуги в общей массе покупок или услуг за анализируемый период. Оценка критерия осуществляется путем сравнения относительной величины критерия у продавца со среднерыночным значением. Например, если по первому виду сервиса - сервису удовлетворения потребительского спроса - среднерыночное значение этого критерия равно 3 % отказов от объема оформленных продаж за анализируемый период, а у отдельного продавца - 4%. Значит, последнему необходимо принимать меры по улучшению этого критерия путем улучшения качества сервиса и других факторов конкурентной борьбы.

Любой критерий по каждому виду сервисного обслуживания для анализа и оценки рекомендуется подразделять на пять зон:

) критерий больше верхнего предела (например, 3- или 5-процентного уровня);

) критерий меньше верхнего уровня;

) критерий равен среднему рыночному значению данного критерия;

) критерий больше нижнего предела (находится между средним рыночным значением и нижним пределом);

) критерий меньше нижнего предела (рис. 5).

Рисунок 5 - Зоны для оценки эффективности сервиса

Динамика точек А, Б, В и Г на рис. 5 показывает, что изготовитель принимает меры по улучшению сервисного обслуживания потребителей.

Аналогично можно проводить анализ и оценку сервисного обслуживания и по критериям: «качество» (насколько товар по уровню качества отвечает требованиям либо рынка, либо стандарта, либо договора и т. д.); «время» поставок или выполнения других услуг в соответствии с нормативными или другими документами; «цена», «надежность предоставления сервиса» (по времени, количеству и качеству).

Персоналу службы сервиса следует ясно представлять, какое именно качество работы от него ожидают. Для этого на ООО «Симона» разработаны стандарты обслуживания для каждого сотрудника.

Под стандартами обслуживания понимаются правила работы сотрудников. Эти правила обязательны для исполнения, чтобы гарантировать высокое качество всех производимых операций и удовлетворять требования потребителей. Стандарты обслуживания - это организационно-инструктивные и отчасти методические документы. В них отражаются требования к целям, организации, технологии и обеспечению отдельных видов сервисных работ, выполнение которых гарантирует высокую степень удовлетворенности покупателя. У этих документов многоцелевое назначение, поскольку они одновременно выступает и как рабочая инструкция, и как контрольно-оценочный материал и даже как мини-учебник для начинающих работников. Система таких стандартов формирует основу качественного сервиса /10/.

Для того чтобы сотрудники службы сервиса овладели стандартами обслуживания, применяют систему обучения и тренировку. Во время освоения стандартов обучаемые знакомятся с состоянием дел на предприятии, его продукцией, престижными покупателями, описанием наиболее рациональных приемов деятельности. Основная часть обучения посвящается освоению правил и способов грамотного ведения сервиса, умению создавать благоприятный психологический климат общения между сотрудником-продавцом и покупателем-посетителем сервисного пункта. Подробно разбираются типичные ошибки и даются рекомендации, как их избежать. Часто занятия проводятся методом деловой игры.

В стандарт обслуживания для оценки качества работы сотрудника сервисной службы могут входить, например, следующие показатели:

· динамика роста продаж в натуральном и денежном выражениях;

· достижение намеченного объема продаж;

· обеспечение заданного отношения «объем запасов запчастей /оборот», и т. п.

Мониторинг качества работы сотрудников сервисной службы проводится регулярно, а затем на его основе вырабатываются и принимаются организационные и иные меры, чтобы ошибка (а тем самым и неудовлетворенность клиента) больше не повторялась.

Основная задача службы сервиса - нуль «проколов». Чем длиннее цепочка прохождения заказа, тем больше вероятность совершения ошибки. Поэтому возникает необходимость в уменьшении до предела (но без ущерба для качества обслуживания) числа элементов, из которых состоит служба сервиса, и в мотивации сотрудников достичь «нуля дефектов» в своей работе.

Удовлетворенность клиента - зеркало работы службы сервиса, ибо клиент - единственный, кто может дать ей объективную оценку. Таким образом, существует необходимость в систематическом опросе клиентов и использовании всех возможных каналов связи, чтобы обеспечить клиенту оперативный контакт с работниками службы сервиса, независимо от их иерархического уровня.

Стандарты позволяют оценивать качество работы на основе максимально объективных данных. Если стандарты разработаны с точки зрения клиентов, то получаемая информация близка к оценке работы предприятия самими клиентами. Этот механизм обратной связи помогает принимать верные решения, предпринимать самые актуальные усовершенствования, оценивать конкурентные преимущества так, как это делают клиенты.

Внедренная система клиентских стандартов дает основу для предоставления гарантий на качество обслуживания, при этом ориентированность на клиентов помогает сформулировать гарантии в наиболее ценной, значимой для них форме.

Кроме стандартов, заданных в числовом виде (количественных) иногда используются и оценки качества обслуживания на основе непосредственного опроса клиентов. Такие интервью, конечно, могут помочь оценить степень удовлетворения клиента, но для обработки этих субъективных оценок все равно понадобится условная числовая шкала.

Также оценка работы персонала с клиентами позволяет решать следующие задачи /27/:

. выявлять проблемы и возможности для улучшения как в работе персонала, так и в общем в системе обслуживания или принятых процедурах взаимодействия с клиентами;

.материально и нематериально стимулировать персонал к более качественной работе с клиентами;

.выявлять грубые систематические нарушения принятых принципов обслуживания и принимать соответствующие кадровые решения;

.даже сам факт существования системы оценки такого рода стимулирует сотрудников более внимательно относиться к работе с клиентами и к выполнению принятых стандартов обслуживания.

Эти вид оценки эффективен тогда, когда реализуются понятным для персонала образом, требования к персоналу четко сформулированы и выполнимы, персонал получает информацию о результатах оценки, заранее оговорены возможные решения по итогам оценки.

Оценка персонала должна служить прежде всего для стимулирования сотрудников к повышению квалификации и качества собственной работы, а также для систематического обеспечения сотрудников обратной связью - ведь каждому человеку важна оценка его работы, это один из самых значимых факторов формирования продуктивной мотивации.

Можно сделать вывод, что правильно организованный сервис, сопровождающий изделие на всем протяжении его жизненного цикла у потребителя, обеспечивает его постоянную готовность к нормальному потреблению и работоспособность. Сервис позволяет покупателю выбрать для себя оптимальный вариант приобретения и потребления изделия, экономически выгодно эксплуатировать его в течение разумно обусловленного срока, диктуемого интересами потребителя.

Потребителями услуг ООО «Симона» являются юридические и физические лица (население), находящиеся на территории города Мытищи и района. Население, в большинстве, является платёжеспособным.

Для анализа конкурентной среды ООО «Симона» необходимо выделить наиболее конкурентоспособные магазины на рынке города (рис. 6).

Рисунок 6 - Схема расположения конкурентов ООО «Симона»

Для сравнения выберем следующие фирмы. Магазин компьютерных комплектующих ИП Суркова Л.А также известная в городе фирма, расположена по адресу ул. Б Покровская, 74. Уровень цен в фирме чуть ниже среднего, имеется система скидок, и постоянно проводятся различные лотереи. Оптовых продаж не имеет.

Фирма "Арткомп", расположенная по адресу ул. Октябрьской Революции д. 64, есть также филиал по адресу Бойновский, 17.Фирма входит в состав компании "Mechanics" Цены предприятия чуть ниже среднего уровня. Это солидная фирма, которая также ведет оптовые продажи.

Фирма "Оргцентр Мытищи", расположенная по адресу ул. Белобородова, 3. Имеет уровень цен чуть выше среднего. Известная в городе фирма, уже 7 лет существующая на рынке. Оптом не торгует. Имеет сервис-центр. Имеет клиентов на абонентском обслуживании.

Фирма "Upcomputers <javascript:void(0)>" расположенная по адресу Олимпийский проспект, 21 к 1. Менее известное предприятие, с ценами выше среднего. Небольшое предприятие, удобное для сравнения.

Фирма "Элемонт+" также известная в городе фирма, расположена по адресу ул. Б Покровская, 74 известная более 8 лет в городе фирма, отличается высоким качеством работы и высокими по городу ценами. В основном работает с корпоративными клиентами. Для примера, приведем перечень предоставляемых ею услуг:

ü бесплатная доставка и установка оборудования по адресу клиента;

ü  бесплатное гарантийное обслуживание на территории заказчика;

ü  обслуживание оборудования заказчика, купившего технику в других фирмах, с истекшим сроком гарантии;

ü  различные формы оплаты:

ü  частичная предоплата

ü  скидки в зависимости от объемов закупок;

ü  льготы по техническому обслуживанию:

ü  приоритет в планировании графика работы технического специалиста

ü  обслуживание на территории заказчика

ü  подмена неисправного оборудования на время ремонта

ü  консалтинговая и информационная поддержка:

ü  консультации специалистов

ü  информирование о новинках, маркетинговых программах компании

ü  рассылка "свежих" прайс-листов

ü  предоставление рекламной продукции,

ü  приглашение на семинары и презентации, проводимые компанией и вендорами.

Фирма "R-Style" также известная, долгосуществующая в городе фирма, расположенная по адресу ул. Советская, 3. Имеет высокий уровень цен, есть сервис-центр. Оптом не торгует.

Данные фирмы были выбраны по следующим критериям. Во-первых, необходимо было наличие фирм с разными ценовыми уровнями: дешево, цена ниже среднего уровня, цена выше среднего уровня, дорого. Во-вторых, фирмы известные и менее известные, с различным качеством сервиса. В-третьих, фирмы должны быть расположены в различных местах города, и обладать неравными экономическими возможностями.

Оценим преимущества каждого приведенного выше предприятия, в таблице 1. В таблицу вносятся среднее значение оценки от 0 (наиболее слабые позиции по данному фактору конкурентоспособности) до 5 баллов (демонстрирующие позиции на рынке).

Как известно, конкурентоспособность фирмы - это реальная и потенциальная способность предприятия с учетом имеющихся у него для этого возможностей проектировать, изготовлять и реализовывать в конкретных условиях товары, которые по своим потребительским и стоимостным характеристикам в комплексе более привлекательны для потребителей, чем товары конкурентов.

Для объективной оценки параметров необходимо использовать те же критерии, которыми оперирует потребитель, выбирая товар на рынке. Следовательно, необходимо решить задачу определения номенклатуры параметров, подлежащих анализу и существенных с точки зрения потребителя.

Таблица 1 - Оценка сравнительных преимуществ предприятия

Факторы конкурентоспособности

Симона

ИП Суркова Л.А (<средн)

Арткомп (дешево )

Оргцентр Мытищи (<средн)

Upcomputers <javascript:void(0)> (>средн)Элемонт+ (>средн)

R-Stуle (дорого)


Данные фирмы

1 Известность организации

1

5

5

3

5

2

5

2 Географическое расположение предприятия на территории города

1

5

5

2

5

4

5

3 Время существования фирмы

1

5

5

5

5

3

5

4 Наличие сети магазинов

1

3

1

2

1

1

3

5Площадь торгового зала

2

5

5

5

5

2

5

6 Продажная цена

4

4

5

4

3

4

1

7 Наличие оптовых продаж

1

2

5

4

2

1

3

8 Надежность

5

5

5

5

5

5

5

Сервис: торговое обслуживание

9 Количество продавцов в магазине-салоне

1

3

3

3

3

2

3

10 Наличие прайс-листов

5

4

2

4

3

5

2

11 Вежливость и предупредительность персонала

5

4

4

4

4

5

4

12 Профессиональные консультации

5

4

4

4

4

4

4

13 Бесплатная доставка

5

5

5

5

5

5

5

14 Возможность модернизации

5

5

5

5

5

5

5

15 Условия кредитования

5

5

5

5

5

5

16 Время доставки, после сборки и отладки компьютера

5

2

3

4

5

5

5

17 Наличие скидок при покупке

3

4

1

3

4

4

1

Сервис: Техническое обслуживание

18 Гарантийный срок

5

4

5

5

5

5

5

19 Наличие сервис центров

1

5

5

5

5

5

5

20 Качество сборки компьютеров

4

5

5

5

4

5

4

21 Установка программного обеспечения

2

2

2

2

2

2

2

22 Стоимость работы по вызову

4

3

4

3

3

3

2

Общее количество баллов:

16

19

21

20

19

19

18


Для более точного анализа рынка компьютерных продаж приведем еще таблицы, анализирующие конкурентоспособность конкретной фирмы, в сравнении с другими фирмами.

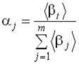
Заполним таблицу 2. На основании полученных оценок относительной важности различных консументных, маркетинговых показателей системы рассчитаем среднее значение степени важности каждого параметра. Для этого можно воспользоваться формулой:

=, (1)

Где,  - среднее значение степени важности каждого параметра;

i - номер заказчика;- номер параметра;

 - степень ценности параметра;- количество оцениваемых заказчиков.

Для получения относительной оценки важности каждого параметра производят нормирование по общей сумме баллов. Для этого необходимо воспользоваться формулой:

, (2)

Где  - удельный вес j-го параметра из общего числа m - параметров;

m - количество оцениваемых параметров.

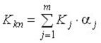
Соответствие свойств существующей услуги и услуги-эталона количественно может быть определено по формуле:

, (3)

Где  - частный консументный показатель по j-му параметру, база - услуга-эталон;

 - величина j-го параметра анализируемой услуги;

 - величина j-го параметра услуги-эталона (например, товара конкурента).

Формирование требований к услуге эталону основывается на сравнении характеристик анализируемой продукции с конкретной потребностью и выявлении их соответствия друг другу. Для объективной оценки необходимо использовать те же критерии, которыми оперирует потребитель, выбирая товар на рынке. Следовательно, должна быть решена задача определения номенклатуры параметров, подлежащих анализу и существенных с точки зрения потребителя. После расчета всех частных показателей определяется общий показатель по консументным параметрам по следующей формуле:

, (4)

где  - общий показатель по консументным параметрам, база - услуга-эталон.

Рассчитанный показатель  показывает, насколько интересующий нас товар соответствует эталонному товару по заданному критерию.

Величину, определяющую соответствие свойств существующей услуги и услуги-конкурента количественно можно определить по формуле:

, (5)

где  - частный консументный показатель по j-му параметру база - услуга - конкурента;

 - величина консументного j-го параметра анализируемой услуги;

 - величина j-го консументного параметра услуги-конкурента.

После расчета всех частных показателей определяется общий показатель по следующей формуле:

, (6)

где  - общий показатель по консументным параметрам, база - услуга - конкурента.

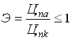
Оценка экономических параметров конкурентоспособности связана с определением цены потребления анализируемого изделия и сравнением её с ценой потребления товара конкурента. Сравнение цен потребления производится по формуле:

, (7)

где Э - общий показатель по экономическим параметрам;

 - цена потребления анализируемой услуги;

 - цена потребления услуги конкурента.

Цена потребления складывается из рыночной цены на товар, а также расходов, связанных с эксплуатацией, использованием этого товара в период его жизненного цикла. Принимая решение о покупке, покупатель обращает внимание не только на цену товара, но и на то, во сколько ему обойдется эксплуатация, содержание этого товара в процессе его использования. Считаем в данном случае, что цена потребления приблизительно равна рыночной цене товара.

Успех товара на рынке определяют все факторы конкурентоспособности, в том числе и маркетинговые параметры. В настоящее время считается, что современная конкуренция "есть конкуренция не между тем, что компании производят на своих заводах, а между тем, что они добавляют к продукту в виде упаковки, услуг, рекламы, консультации покупателей, финансирования организации, доставки, складирования и других, значительных для потребителей преимуществ". [3]

После определения общих показателей конкурентоспособности по качественным, экономическим и маркетинговым параметрам определим интегральный показатель уровня конкурентоспособности по формуле

, (8)

где  - интегральный показатель уровня конкурентоспособности;

 - общий показатель по нормативно-производственным и классификационным параметрам.

Показатель по нормативно-производственным параметрам имеет только два значения - 1 или 0. Если изделие (услуга) соответствует обязательным нормам и стандартам, то этот показатель равен 1, если нет то 0. Общий показатель рассчитывается как произведение частных показателей по каждому параметру. В нашем случае, считаем, что все рассмотренные организации, соответствуют нормативно-правовым параметрам, поэтому =1.

При , считается, что услуга является конкурентоспособной.

Таблица 2 - Расчет консументных, маркетинговых параметров

Консументные, маркетинговые параметры

Степень ценности вij заказчик

j>

бj

Rj

Kj

Rj бj

Kj бj


1

2







1

Известность организации

5

5

5

0,0625

0,20

0,20

0,0125

0,0125

2

Географическое расположение предприятия на территории города

3

2

2,5

0,0313

0,20

0,20

0,0063

0,0063

3

Время существования фирмы

5

5

5

0,0625

0,20

0,20

0,0125

0,0125

4

Наличие сети магазинов

3

1

2

0,0250

0,20

1,00

0,0050

0,0250

5

Площадь торгового зала

3

2

2,5

0,0313

0,40

0,40

0,0125

0,0125

6

Продажная цена

5

5

5

0,0625

0,80

0,80

0,0500

0,0500

7

Наличие оптовых продаж

2

2

2

0,0250

0,20

0,20

0,0050

0,0050

8

Надежность

5

5

5

0,0625

1,00

1,00

0,0625

0,0625

9

Количество продавцов в магазине-салоне

3

1

2

0,0250

0,20

0,33

0,0050

0,0083

10

Наличие прайс-листов

3

2

2,5

0,0313

1,00

2,50

0,0313

0,0781

11

Вежливость и предупредительность персонала

5

5

5

0,0625

1,00

1,25

0,0625

0,0781

12

Профессиональные консультации

5

5

5

0,0625

1,00

1,25

0,0625

0,0781

13

Бесплатная доставка

4

3

3,5

0,0438

1,00

1,00

0,0438

0,0438

14

Возможность модернизации

4

2

3

0,0375

1,00

1,00

0,0375

0,0375

15

Условия кредитования

4

2

3

0,0375

1,00

1,00

0,0375

0,0375

16

Время доставки, после сборки и отладки компьютера

3

2

2,5

0,0313

1,00

1,67

0,0313

0,0521

17

Наличие скидок при покупке

3

3

3

0,0375

0,60

3,00

0,0225

0,1125

18

Гарантийный срок

5

5

5

0,0625

1,00

1,00

0,0625

0,0625

19

Наличие сервис центров

4

5

4,5

0,0563

0,20

0,20

0,0113

0,0113

20

Качество сборки компьютеров

5

5

5

0,0625

0,80

0,80

0,0500

0,0500

21

Установка программного обеспечения

2

5

3,5

0,0438

0,40

1,00

0,0175

0,0438

22

Стоимость работы по вызову

2

5

3,5

0,0438

0,80

1,00

0,0350

0,0438

23

Итого

-

-

80

-

-

-

0,9235


Сравнение с фирмой конкурентом-R-Style. Э=0.869.

Таблица 2 Расчет консументных, маркетинговых параметров - окончание

1

Известность организации

5

5

5

0,0625

0,20

0,50

0,0125

0,0313

2

Географическое расположение предприятия на территории города

3

2

2,5

0,0313

0,20

0,25

0,0063

0,0078

3

Время существования фирмы

5

5

5

0,0625

0,20

0,33

0,0125

0,0208

4

Наличие сети магазинов

3

1

2

0,0250

0,20

1,00

0,0050

0,0250

5

Площадь торгового зала

3

2

2,5

0,0313

0,40

1,00

0,0125

0,0313

6

Продажная цена

5

5

5

0,0625

0,80

1,00

0,0500

0,0625

7

Наличие оптовых продаж

2

2

2

0,0250

0,20

1,00

0,0050

0,0250

8

Надежность

5

5

5

0,0625

1,00

1,00

0,0625

0,0625

9

Количество продавцов в магазине-салоне

3

1

2

0,0250

0,20

0,50

0,0050

0,0125

10

Наличие прайс-листов

3

2

2,5

0,0313

1,00

1,00

0,0313

0,0313

11

Вежливость и предупредительность персонала

5

5

5

0,0625

1,00

1,00

0,0625

0,0625

12

Профессиональные консультации

5

5

5

0,0625

1,00

1,25

0,0625

0,0781

13

Бесплатная доставка

4

3

3,5

0,0438

1,00

1,00

0,0438

0,0438

14

Возможность модернизации

4

2

3

0,0375

1,00

1,00

0,0375

0,0375

15

Условия кредитования

4

2

3

0,0375

1,00

1,00

0,0375

0,0375

16

Время доставки, после сборки и отладки компьютера

3

2

2,5

0,0313

1,00

1,00

0,0313

0,0313

17

Наличие скидок при покупке

3

3

3

0,0375

0,60

0,75

0,0225

0,0281

18

Гарантийный срок

5

5

5

0,0625

1,00

1,00

0,0625

0,0625

19

Наличие сервис центров

4

5

4,5

0,0563

0,20

0,20

0,0113

0,0113

20

Качество сборки компьютеров

5

5

5

0,0625

0,80

0,80

0,0500

0,0500

21

Установка программного обеспечения

2

5

3,5

0,0438

1,00

1,00

0,0438

0,0438

22

Стоимость работы по вызову

2

5

3,5

0,0438

0,80

1,33

0,0350

0,0583

23

Известность организации

-

-

80

-

-

-

0,7025

0,8545


Сравнение с фирмой конкурентом-Элемонт+ Э=0,951.

Таблица 3 - Расчет интегрального показателя конкурентоспособности

Показатель

Арткомп

R-Style

Элемонт+

Общий показатель по маркетинговым и консументным параметрам

База - эталонная услуга 0,7025

0,7025

0,7025



База - услуга конкурента 0,9235

1,1456

0,8545


Общий показатель по экономическим параметрам Э

1,05

0,869

0,951

Интегральный показатель конкурентоспособности 0,88

1,31609

0,9053



Общий показатель по экономическим параметрам считался, как среднее арифметическое для каждой фирмы на одинаковые комплектующие:

·              двух типов винчестеров (60 GB Maxtor MX6Y060L0 ATA133 2048kB 7200rpm, 60 GB Seagate ST360015A Barracuda IV ATA100 7200rpm),

·              трёх типов процессоров (AMD k7 Athlon XP 1700+ (256kB) 3D Socket-A 266Mhz, Celeron 1700 (128KB) 400 MHz In PGA Socket-478 tray, Pentium IV 1700E 256KB (400 MHz) PGA tray Socket-478),

·              двух типов материнских карт (Socket-478 i845E Gigabyte GA-8IE533, FSB533, AGP4x, DDRAM333, Sound AC'97, ATA100, USB2.0, ATX, Socket-A VIA KT333 SOLTEK-75DRV5-C, AGP4x, DDR266, Sound AC'97, ATA133, ATX, retail),

·              трёх типов видеокарт (SVGA 64MB SDRAM GeForce2 MX-400 128bit, oem, SVGA 64MB DDR GeForce 4 MX440, SE, TV-out, SVGA 128MB DDR ATi Radeon 9000 Atlantis RV250LE(250/200) TV-out, Sapphire design).

За эталонную величину принималось значение для всех критериев равное "5" - баллам.

Как видно из таблицы 3, показатель конкурентоспособности получился выше единицы (=1,316) только в одном случае, в двух других он не дотягивает до единицы.

Обработка данных позволяет получить интегральный показатель конкурентоспособности фирмы, усредняя несколько значений. Однако следует упомянуть о том, что наиболее важным критерием при выборе фирмы являются, сначала: цена на товар, затем известность фирмы, а затем сервисные услуги предприятия.

Видно, что первое место занимает фирма "Арткомп", что и неудивительно, т.к. это одна из самых недорогих и известных фирм в городе. Затем следует "Оргцентр Мытищи", менее известная, но не дорогая фирма, также занимающаяся оптовыми продажами. За ними следуют "Upcomputers <javascript:void(0)>", ИП Суркова Л.А. и "Элемонт+" имеющие цены, находящиеся практически на одинаковом уровне, но дороже чем у " Оргцентр Мытищи ". "Upcomputers <javascript:void(0)>" менее известная фирма, но её отличает по некоторым параметрам чуть лучший сервис. Замыкает список "R-Stуle", известная но дорогая фирма, с невыдающимся сервисом, но расположенная в удобном для покупателей месте.

Результат проведенного анализа показывает, что ООО «Симона», является конкурентоспособным предприятием. Руководство организации должно уделить внимание повышению уровня этих критериев, чтобы иметь еще более устойчивую позицию на рынке. А самое главное, руководству необходимо разработать маркетинговую стратегию для увеличения товарооборота, прибыли и ассортимента.

Торговому предприятию можно рекомендовать следующие мероприятия, способствующие росту указанных показателей:

) увеличение рынка сбыта товаров путем открытия дополнительных сервисных центров, как на территории города, так и на территории района. Данная стратегия приведет к увеличению объема продаж, а, следовательно, к увеличению прибыли предприятия;

) расширение перечня оказываемых услуг, подбор сопутствующих товаров. Расширение линейки товаров увеличит количество покупателей, а наличие сопутствующих товаров позволит увеличить объем продаж основной продукции;

) снижение издержек обращения путем выбора наиболее оптимальных поставщиков позволит снизить процентную надбавку на реализуемый товар и привлечет большее количество потребителей;

) внедрение новых методов продажи товаров, таких как, скидка постоянным покупателям или скидка при превышении установленной максимальной суммы покупки, либо праздничные сувениры при совершении покупки, позволят заинтересовать покупателей в том, чтобы следующую покупку они совершали именно в этом магазине.

3. Выбор технических средств для организации системы сервисного обслуживания и ремонта в ООО «Симона»

Современные персональные компьютеры - чрезвычайно тонкая и сложная техника. Порой достаточно одной малюсенькой неисправности, чтобы ПК начал работать с «глюками» или перестал работать совсем. Прежде всего, следует провести диагностику неполадок.

Все неисправности можно условно разделить на аппаратные и программные. В первом случае «виновниками» проблем становятся комплектующие компьютера: блок питания, жесткий диск, материнская плата, видеокарта и т.д. А во втором случае «неадекватное поведение» компьютера вызвано проблемами с программным обеспечением.

3.1 Современные технические средства, используемые для оказания сервисных услуг по обслуживанию компьютерной техники

Выявить причину программных сбоев достаточно просто. Характерным признаком является «подвисание» компьютера только на какой-то определенной программе, в то время как с другими (даже подобными) компьютер работает нормально. Если же «глюки» проявляются независимо от того, какая программа находится в работе, то время браться за специальные программы - утилиты.

Утили́та (англ. utility или tool) - компьютерная программа, расширяющая стандартные возможности оборудования и операционных систем, выполняющая узкий круг специфических задач. Существует целый ряд утилит, предназначенных для тестирования исправности рабочих элементов компьютера. Большинство таких утилит бесплатны и доступны для скачивания с сайтов разработчиков.

Хорошая утилита для диагностики компьютерных «глюков» - это S&M (см. рис. 7). S&M позволяет проверить системную память и видеокарты ATI/Nvidia. Нужно установить эту утилиту и после ее запуска настроить параметры тестирования. Установите «ползунок» времени тестирования на длительный режим, установите «галочки» в соответствии с тестируемым оборудованием (можно проверить сразу все оборудование). При помощи инструкции к утилите установите настройки тестирования, приближая их к максимально жестким условиям работы оборудования. Запустите тестирование на несколько часов (2-3). Если проблема в оперативной памяти или в видеокарте, тест эту проблему выявит.

 

Рисунок 7- Внешний вид утилиты S&M

Для того, чтобы проверить как блок питание подает напряжение на компоненты системы, а также проследить за изменениями температуры этих компонентов, пригодится еще одна утилита - Motherboard Monitor 5 (MBM5, см. рис. 8). Настраивать эту утилиту довольно непросто, поэтому из имеющегося в ней списка можно выбрать Вашу модель материнской платы или очень похожую на нее. МВМ5 запускается в работу вместе с S&M, поочередно тестируются все системные компоненты.

 

Рисунок 8- Внешний вид утилиты МВМ5

Во время теста необходимо следить за показаниями датчиков температуры проверяемого устройства. Если Вы проверяете процессор и значения его температуры находятся в пределах 90-100°С, после чего система «падает», налицо проблемы с CPU. Если температура не превышает 80°С, то следует дождаться окончания тестирования всех подсистем процессора (при включенной «галочке» проверки правильности результатов). Если Вы не обнаружили никаких проблем, то запустите в утилите S&M тест PSU (Power Supply Unit). Следует понаблюдать за напряжением на линиях +3,3 В, +5 В и +12 В. Если 12 В не превращаются в 11, а системный блок не начинает неожиданную перезагрузку, программный крэш-тест можно считать успешно пройденным.

Протестировать на работоспособность жесткий диск можно с помощью утилиты MHDD (см. рис. 9). Эта утилита запускается только под MS-DOS, с дискеты. В качестве альтернативного варианта подойдет тот или иной традиционный "диск доктор", например, из комплекта Norton Utilites.

 

Рисунок 9 - Внешний вид утилиты МНDD

Для проверки исправности видеокарты нужна утилита мониторинга и настройки видеоадаптера. Одна из таких утилит - RivaTuner (см. рис. 10). С ее помощью можно отследить динамику температуры графического процессора и видеокарты, а также попробовать снизить тактовые частоты GPU и видеопамяти.

 

Рисунок 10 - Внешний вид утилиты RivaTuner

Если после перевода ускорителя в тихоходный и безопасный режим проблема исчезает, то, значит, проблема кроется в аппаратной части, т.е. в самой графической плате. В остальных случаях попробуйте удалить имеющиеся драйверы видеокарты и поставить более свежие или, наоборот, более старые версии драйверов. Если замена драйверов не помогла, то стоит попробовать на время поменять видеокарту на аналогичную, но заведомо рабочую, или поставить подозрительную видеокарту в другой компьютер и протестировать ее там.

.2 Выбор оборудования для организации системы сервисного обслуживания и ремонта в ООО «Симона»

Для нормального функционирования ООО «Симона» открыто два салона: один площадью 80 кв.м в ТЦ «Бриз» и второй площадью 60 кв.м в ТЦ «Петра». Салоны состоят из: торгового зала, оборудованного стеклянными витринами, мастерской, оборудованной стеллажами и оборудованием для ремонта и настройки техники и складского помещения. Для оказания сервисных услуг по ремонту, сканированию и распечатке текстов используются компьютеры и многофункциональные устройства (таблица 4).

Таблица 4 - Используемое оборудование и их характеристики

Наименование изделия

Цена, руб.

Кол-во, шт

Компьютер FLEXTRON Premiera/ Intel Core 2 Duo E74000/ NVIDIA GeForce 9600GT/ 4 GB/ 500 ГБ/ DVD-RW/Keyb/ Mouse/24"/Windows Vista, Office 2007 (лиц.)

 28 000

 2

Компьютер FLEXTRON/ Intel Core i7 920/ Intel DX58SO/ 1ГБ/ 1000ГБ/ DVD-RW/ Keyb/ Mouse/24"/Windows Vista, Office 2007 (лиц.)

 30 000

 1

Компьютер Formoza/ AMD Athlon X2 5400+/ 4 GB/ 740 ГБ/DVD-R(RW)&CD-RW/Keyb/ Mouse/24"/Windows Vista, Office2007 (лиц.)

 25 000

 1

МФУ Brother DCP-7030R, до 22 стр./ мин, 2400*600 dpi (печать и копирование) 600*2400 dpi (сканирование)

 6 000

 2

Мебель (6 столов и 14 стульев)

20 000

-


Салоны работают с 10 до 18 часов, без перерыва и выходных: продавцы-консультанты и мастера по ремонту по сменам, у бухгалтера - 5-ти дневная рабочая неделя. Закупка товара производится в оптовом магазине в ООО "Ф-Центр" г.Москва. Такой выбор обусловлен специальными условиями сотрудничества с ООО "Ф-Центр, хорошим ассортиментом, а также дополнительной скидкой в 5 процентов.

Для удобства потребителей работают два телефона технической поддержки: один - для решения проблем с ПО и «железом», а второй - для решения проблем с программами 1С. Особое внимание уделяется наладке локальной сети <#"826464.files/image037.gif">

Рисунок 11 - Управленческая структура ООО «Симона»

Общее руководство осуществляет непосредственно директор, в подчинении у которого находится штат из пяти человек, работающих по найму. В штате числятся: главный бухгалтер, два продавца-консультанта и два мастера по ремонту.

Организационная структура ООО «Симона» имеет два уровня:

-й уровень - директор (высший уровень управления), осуществляющий непосредственное управление фирмой;

-й уровень - главный бухгалтер, продавцы-консультанты, мастера по ремонту.

Главный бухгалтер подчиняется директору, ведет всю бухгалтерию деятельности фирмы, уполномочен на ведение бухгалтерского и налогового учета в соответствии со стандартами и нормативными актами, предоставление налоговой, финансовой и статистической отчетности в сроки и органы, установленные действующим законодательством и др.

Продавцы-консультанты занимаются товарным ассортиментом, заявками на изготовление, реализацией, ведут приемку товара, осуществляют выкладку товара на прилавки, осуществляют продажу товара непосредственным потребителям;

Мастера по ремонту осуществляют работу по необходимому ремонту оргтехники после получения заявки, организуют подготовку ремонтных работ, определяют потребность в запасных частях для ремонта оргтехники, выполняют все работы по ремонту оргтехники как на месте так и на выезде, разрабатывают нормативные материалы по профилактическому обслуживанию и ремонту оргтехники (нормативы ремонтно-эксплуатационных затрат, сроков службы запасных частей, номенклатуры сменных и быстроизнашивающихся деталей, нормы и лимиты расхода необходимых материалов), анализируют причины возникновения неисправности в соответствии с техническими нормами, составляют заявки на запасные части, материалы, инструмент, контролирует правильность их расходования, разрабатывают предложениям по вопросам совершенствования организации ремонтных работ и технического обслуживания оргтехники, обобщают и распространяют передовой опыт организации ремонта и эксплуатации оргтехники, ведут учет ремонтных работ, составляют необходимую техническую документацию и ведут установленную отчетность.

Структура управления ООО «Симона» является линейной. Достоинства линейной структуры:

четкая система взаимных связей функций и подразделений;

четкая система единоначалия - один руководитель сосредотачивает в своих руках руководство всей совокупностью процессов, имеющих общую цель;

ясно выраженная ответственность;

быстрая реакция исполнительных подразделений на прямые указания вышестоящих;

согласованность действий исполнителей;

оперативность в принятии решений;

простота организационных форм и четкость взаимосвязей;

минимальные издержки производства и минимальная себестоимость выпускаемой продукции.

К недостаткам можно отнести:

высокие требования к руководителю;

перегрузка высшего уровня управления, что ограничивает возможность эффективно управлять.

.2 Технико-экономические показатели предприятия сервиса

Основные показатели деятельности ООО «Симона» в 2009 -2011 годах представлены в таблице 5.

Таблица 5 - Основные показатели деятельности ООО«Симона» за 2009-2011гг.

Показатели

Года

Изменение, %


2009

2010

2011

2010г. к 2009 г.

2011г. к 2010 г.

2011г. к 2009г.

Численность работников, чел.

4

5

6

114,3

112,5

129,0

1448,0

1610,0

1744,0

111,2

108,3

120,0

Оборотные средства, тыс.руб.

1880,0

2440,0

3628,0

129,8

148,7

193,0

Рентабельность, %

6,0

8,0

12,5

133,3

156,3

208,0


Из таблицы 5 видно, что численность персонала из года в год имеет положительную тенденцию, так за 3 года увеличение на 29%, это произошло за счет открытия второго сервисного центра в ТД "Петра"(г.Мытищи ул.Мира д.30 ) и принятия в штат продавца-консультанта и мастера по ремонту.

Так же происходит устойчивое увеличение основных фондов торговой организации. В 2010 году по сравнению с 2009г. темп роста составил чуть больше 11% (11.2%), в 2011 г. в связи с покупкой нового офиса увеличение составило 8,3%. За весь анализируемый период показатель увеличился на 20 п.п. и это положительная тенденция.

Оборотные средства так же имеют тенденции к увеличению, поскольку предприятие достаточно стабильно работает. Величина оборотных средств в 2011 г. имеет рост на 48,7 % в сравнении с 2010 г. Общий темп роста за три года составил 93%. Это говорит о наращивании товарооборота торговой организации, и является положительной характеристикой его деятельности.

Рост рентабельности наблюдается за весь период. Так, в 2010 г. по сравнению с 2009 г. этот показатель вырос на 33,3%, к 2011 году темп роста показателя составил уже больше 50% (56,3%), к началу 2012 г. рентабельность увеличилась более чем на 100%. Рентабельность торгового предприятия на достаточно высоком уровне, что дает значительное конкурентное преимущество на рынке города и района.

Для оценки деятельности сервисного центра необходимо рассчитать следующие технико-экономические показатели:

▪ Производительность труда одного работающего ПТ, определяется по формуле:

ПТ = V/ Чр., руб., (8)

где Чр. - общая численность работающих.

ПТ = 2 705 742, 4 руб./ 6 чел. = 245976, 6 руб./ 12 мес. = 20498 руб. ▪ Рентабельность производства Рп. определяется по формуле: Рп. = ПБ / Спр. * 100%, (9)

где ПБ - прибыль:

ПБ = V - Спр., руб.

ПБ = 2 705 742, 4 - 2 004 253, 6 = 701 488,8 руб.

Рп. = 701 488,8 руб. / 2 004 253, 6 руб. * 100% = 35,0.

▪ Рентабельность продукции Рс. определяется по формуле:

Рс. = ПБ/ V * 100% (10)

Рс = 701 488,8 руб./ 2 705 742, 4 руб. * 100% = 25, 9.

▪ Фондоотдача основных производственных фондов Фотд. определяется по формуле:

Фотд. = V/ ОФ, руб., (11)

где ОФ - стоимость основных производственных фондов. Фотд. = 2 705 742, 4 руб./ 195 000 руб. = 13,9.

Все технико - экономические показатели сведены в таблице 6.

Таблица 6 - Технико-экономические показатели ООО«Симона»

 Наименование показателей

 Сумма

 1.Объем предоставляемых услуг, тыс. руб.  2.Производительность труда, руб.  3. Средняя заработная плата работающих, руб.  а) руководителей б) специалистов  4. Себестоимость услуг, тыс. руб.  5. Затраты на 1 человеко-час услуг, руб.  6. Рентабельность продукции, %  7. Рентабельность производства, %  8. Капитальные затраты, тыс. руб.  9.Фондоотдача, руб.

 7945, 0  20498  27310,66  26 000  19 950   4 015,  12,8  25,9 35  249,6  13,9


.3 Анализ экономических показателей

В таблице 7 приведены данные по объему и структуре денежной выручки ООО «Симона» в динамике за три года.

Таблица 7 - Объем и структура денежной выручки ООО «Симона»

Вид продукции и услуг

2009 г.

2010 г.

2011г.

В среднем, 2009-2011гг.


тыс. руб

%

тыс. руб

%

тыс. руб

%

тыс. руб

%

Продажа компьютеров и комплектующих

4382,0

75,0

4978,0

71,0

5475,0

69,0

4945,0

72,0

Услуги по ремонту оргтехники

1460,0

25,0

2010,0

29,0

2470,0

31,0

1980,0

28,0

Всего

5842,0

100,0

6988,0

100,0

7945,0

100,0

6925,0

100,0


На рисунке 11 наглядно представлена динамика структуры денежной выручки ООО «Симона». Из таблицы 7 и рисунка 11 видно, что каждый год торговое предприятие снижает продажу за счет увеличения услуг по ремонту. Денежная выручка имеет тенденцию к увеличению, что соответственно ведет к стабильной и прибыльной деятельности предприятия.

Рисунок 11 - Динамика структуры денежной выручки ООО «Симона»

Далее рассмотрим расчет основных показателей ООО «Симона» по персоналу за 2009 - 2011 гг. и приведем их в таблице 8.

Таблица 8 - Основные показатели по персоналу за 2009 - 2011 гг.

Показатель

2009

2010

2011

2011г. в % к 2009 г.

Средняя заработная плата, руб.

24000

25844,40

27310,66

121,4

Численность персонала

4

5

6

128,6

Структура по образованию: - высшее -среднее -начальное

 1 3 -

 2 3 0

 2 4 0

 200,0 133,3 -

Структура по возрасту -от 18- 25 - от 26-35 -от 36-45

 3 1 0

 3 1 1

 3 2 1

 - 200,0 -

Структура по полу работающих: - женщины -мужчины

 4 - 4

 5 1 4

 6 2 4

 114.3 -


Изменение в структуре персонала произошло за счет приема на работу в 2010 году главного бухгалтера с высшим образованием в возрасте старше 36 лет. Нужно отметить, что текучести кадров за анализируемый период в ООО «Симона» не наблюдалось. Коллектив дружный и работает практически с начала открытия магазина. За анализируемый период произошло увеличение средней заработной платы на 21,4% - это коснулось всех категорий персонала магазина.

Заработная плата персонала ООО «Симона» в динамике за три года представлена в таблице 8.

Таблица 8 - Уровень оплаты труд в месяц в ООО «Симона» в 2009 -2011 гг., руб.

Категория работников

2009 г.

2010 г.

2011г.

2011 г. в % к 2009г.

Директор предприятия

36000

42552

49104

136,4

Главный бухгалтер

20000

22220

24440

122,2

Продавец -консультант

20000

21870

23740

118,7

Мастер по ремонту

20000

20710

21420

107,1


Как видно из таблицы 8 в анализируемом предприятии прослеживается стабильная тенденция увеличения заработной платы персонала. Нужно отметить, что самый значительный рост (на 36,4%) прослеживается по заработной плате директора предприятия - собственника магазина. Самый низкий показатель роста заработной платы у мастера по ремонту - всего 7,1%.

.4 Расчет экономической эффективности

Приведем показатели финансовой устойчивости ООО «Симона», систематизированные в таблице 9.

Таблица 9 - Показатели финансовой устойчивости ООО «Симона»

Показатели

2009 г.

2010 г.

2011г.

Изменения, % (+/-)

Дебиторская задолженность, тыс.руб.

5,4

6,8

7,2

+1,8 / 133

Кредиторская задолженность, тыс.руб.

584,2

698,8

794,5

+210,3/135

Повышение дебиторской (+) над кредиторской (-) задолженностью, тыс.руб.

-578,8

-692,0

-787,3

-208,5/136

Оборачиваемость оборотных средств

14 раз

16 раз

18 раз

+4 раза

Период одного оборота

26 дней

22 дня

20 дней

-6 дней


По результатам расчетов можно сделать следующие выводы.

На предприятии существует значительный размер кредиторской задолженности. Это связано с тем, что товары для реализации поступают в магазин на условиях товарного кредита. Рост кредиторской задолженности обусловлен ростом объемов продаж, а, следовательно, и необходимостью увеличения товарных запасов.

Размер дебиторской задолженности за анализируемый период также увеличился (+133%), причем, темпы роста дебиторской задолженности ниже темпов роста кредиторской задолженности.

Показатель оборачиваемости оборотных средств увеличился за анализируемый период, что является положительным фактором. Если в начале анализируемого периода оборотные средства совершали 14 оборотов за год, то в 2011 году уже 18. Предприятие имеет возможность большее количество раз получать выручку от реализации продукции и соответственно, прибыль.

В результате ускорения оборачиваемости оборотных средств сократилась длительность одного оборота оборотных средств в днях. Это является фактором, положительно характеризующим деятельность предприятия. В результате ускорения оборачиваемости у предприятия произойдет высвобождение оборотных средств. Свободные денежные средства предприятие сможет направить на другие важные для предпринимательской деятельности направления.

Наиболее общими коэффициентами эффективности являются:

1. Коэффициент ликвидности - коэффициент, характеризующий платежеспособность фирмы, ее потенциальную возможность возвращать полученные взаймы средства. Численно определяется в виде соотношения частей актива и пассива баланса.


2. Соотношение собственных и заемных средств: отношение общей задолженности к доле собственного капитала в общей сумме активов, формула (13).

 
. Коэффициенты прибыльности. Это отношение результата к выручке от продажи, выраженное в процентах. Коэффициент прибыльности - отношение чистой прибыли предприятия к объему реализации (выручке от продаж) или капиталу предприятия. А именно рассчитаем следующие коэффициенты: прибыль на общие активы (14), прибыль на собственный капитал (15), затраты по отношению к доходам (16).

 


. Коэффициенты оборачиваемости капитала. Коэффициент оборачиваемости - показатель, характеризующий скорость оборота средств или обязательств. Вычислим следующие коэффициенты: оборот суммы активов (17), оборачиваемость запасов (18). Полученные значения расчета коэффициентов сведем в таблицу 10.


Таблица 10 - Общие коэффициенты эффективности ООО «Симона»

№ п/п

Показатель

2011



Начало года

Конец года

1

Текущий коэффициент ликвидности

1,14

0,91

2

Отношение общей задолженности к доле собственного капитала

4,26

4,0

3

Коэффициент прибыли на общие активы

51

64

4

Прибыль на собственный капитал

211

440

5

Затраты фирмы по отношению к доходам

23

17

6

Коэффициенты оборачиваемости капитала

1,05

1,03

7

Коэффициент оборачиваемости запасов

23,18

28,16


Текущий коэффициент ликвидности на первый месяц равен 1,14 - что говорит о возможности фирмы ответить по своим обязательствам перед клиентами, а текущий коэффициент ликвидности на конец года равен 0,91 - что свидетельствует о снижении уровня ликвидности, но в связи с этим надо сказать, что это связано со спецификой деятельности фирмы на рынке компьютерной техники, где практикуется предоплата за услуги 100%.

Отношение общей задолженности к доле собственного капитала в общей сумме активов на начало года равно 4,26. Что означает, что долги фирмы на начало года превышают собственный капитал фирмы в 4 раза, что опять же связано с маркетинговой политикой фирмы, направленной на удовлетворение потребностей клиентов за счет их средств, а не за счет средств фирмы. Общая задолженность по отношению к доле собственного капитала в общей сумме активов на конец года несколько снижается и равна 4,0 что свидетельствует о некотором накоплении средств к концу года.

Важнейшими финансовыми показателями результатов деятельности для коммерческой фирмы являются коэффициенты прибыльности. Коэффициент прибыли на общие активы на начало года равен 51%. Это значит, что прибыль на общие активы на первый месяц составит 51%. Для первого месяца работы очень хороший результат финансовой деятельности. Коэффициент прибыли на общие активы к концу года возрастет до 64%, т.е. прибыль на общие активы возрастет на 13%, что свидетельствует об эффективной деятельности фирмы.

Прибыль на собственный капитал на первый месяц составит 211%, это реально означает, что на каждый вложенный рубль собственного капитала на конец первого месяца будет получено 2,11 рублей прибыли. Прибыль на собственный капитал на конец года составит 440%, это реально означает, что на каждый вложенный рубль собственного капитала к концу года прибыль возрастет до 4,4 рублей. Затраты фирмы по отношению к доходам на первый месяц составят 23% или 23 копейки с каждого рубля. Затраты фирмы по отношению к доходам к концу года будут равны 17% или 17 копеек с каждого рубля. Рассчитанные выше коэффициенты прибыльности доказывают выгодность вложения капитала в данную фирму.

Коэффициенты оборачиваемости капитала. Оборот суммы активов за первый квартал равен 1,05. К концу года, за четвертый квартал, оборот суммы активов будет равен 1,03. Что является вполне удовлетворительным результатом. Что касается коэффициента оборачиваемости запасов, то за первый квартал он составит 23,18, а за четвертый квартал будет равен 28,16. Такие большие значения оборачиваемости запасов планируемой маркетинговой политикой фирмы и спецификой деятельности компании в сфере услуг по обслуживанию оргтехники.

Заключение

Проведенное исследование показало, что возрастающее значение сервиса обусловлено такими устойчивыми объективными тенденциями на современном этапе развития мирового хозяйства, как:

возрастание сложности промышленных изделий и вследствие этого появление дополнительных требований к квалификации кадров эксплуатационников, к качеству проведения ремонтных и обслуживающих работ;

быстрое моральное старение производственного оборудования, вызванное ускорением НТП, которое приводит к необходимости выполнения принудительной модернизации;

повышение требований к качеству промышленных изделий, вследствие изменения ситуации в отношениях между потребителем и производителем в условиях обостряющейся конкуренции;

истощение источников естественных ресурсов и возрастание роли сбора и использования вторичных ресурсов.

Исследование показало, что в век информационно-компьютерных технологий нет таких организаций и даже частных лиц, которые ежедневно не пользовались бы компьютерами для решения бизнес-задач разного масштаба и направленности. По степени своей востребованности услуги по обслуживанию компьютеров вышли сегодня на первый план, ведь для успешной деятельности в любой сфере необходимо полностью исключить вероятность срыва договоренностей и невыполнение работы в срок из-за поломки компьютерной техники. От неполадок в локальной сети или поломок компьютеров не застрахована ни одна организация, но в некоторых случаях даже собственные работники, занимающиеся обслуживанием компьютеров, не способны качественно и быстро восстановить работоспособность офисной техники.

Обслуживание компьютеров организаций IT-специалистом позволяет обеспечивать непрерывный цикл работы любого офиса, ведь даже при возникновении неполадок в компьютерной сети они будут устранены в экстренном порядке. Руководителям компаний нет необходимости пополнять штат своих работников и выплачивать им зарплату, что становится одной из существенных статей расходов. Цены на обслуживание компьютеров IT-специалистом более чем приемлемые для организаций с любым масштабом деятельности, поэтому данный аспект не может стать веской причиной отказаться от услуг по обслуживанию компьютеров. Абонентское обслуживание компьютеров стало непременным условием для нормальной работы офисов, работники которых могут заниматься своими непосредственными обязанностями и не пытаться решать проблемы, находящиеся вне их профессиональной компетенции. Абонентское обслуживание компьютерной сети позволяет не столько решать проблемы, сколько предотвращать их возникновение, и это одно из ключевых преимуществ обслуживания компьютеров независимым IT-специалистом.

Было выявлено, что главным моментом в конкурентной борьбе предприятий сферы сервиса является высокое качество обслуживания населения. Качество обслуживания - это совокупность потребительских свойств бытовых услуг, отражающих удовлетворение индивидуальных потребностей как в процессе производства услуги, так и в процессе обслуживания. Следовательно, качество обслуживания определяет ассортимент услуг; затрачиваемое время на производство услуг; формы обслуживания; качество выполнения работы; степень удобства и уровень культуры в конкретной зоне обслуживания и т. п.

Срок выполнения услуг выступает как важнейший показатель, характеризующий деятельность любого сервисного предприятия. Сокращение сроков положительно влияет на уровень обслуживания населения, на эффективность работы предприятия. Сокращение срока оказания услуги уменьшает потребность в оборотных средствах, ускоряет их оборачиваемость, дает возможность увеличивать объем реализации услуг при данном оборудовании и производственных площадях, тем самым повышает прибыльность. Сокращение сроков исполнения услуги является одним из важнейших элементов достижения конкурентоспособности предприятий сферы сервиса.

Профессиональная этика работников сферы обслуживания выступает как важнейший элемент культуры обслуживания. К составляющим профессиональной этики относятся внешний вид работника, непосредственно обслуживающего заказчика, тактичность и вежливость. Основные пути повышения этики обслуживания заказчика - профориентация, подбор, подготовка и переподготовка кадров, воспитательная работа с людьми, экономическое стимулирование работников.

В ходе исследования разработана технологическая схема сервисного обслуживания и ремонта в ООО «Симона» и осуществлен выбор технических средств для организации системы сервисного обслуживания.

В работе дано технико-экономическое обоснование организации системы сервисного обслуживания и ремонта в ООО «Симона», которое показало, что с реализацией на практике данного пакета услуг прибыль на собственный капитал на конец года составит 440%, это реально означает, что на каждый вложенный рубль собственного капитала к концу года прибыль возрастет до 4,4 рублей. Затраты фирмы по отношению к доходам на первый месяц составят 23% или 23 копейки с каждого рубля. Затраты фирмы по отношению к доходам к концу года будут равны 17% или 17 копеек с каждого рубля. Рассчитанные выше коэффициенты прибыльности доказывают выгодность вложения капитала в данную фирму.

В работе представлена организация безопасности жизнедеятельности и охраны труда на предприятиях, предоставляющих сервисные услуги по ремонту компьютерной техники.

Таким образом, все поставленные цель и задачи выполнены.

Список использованных источников и литературы

1.       Конституция Российской Федерации. Справочно-информационная система «КонсультантПлюс»

2.      Кодекс Российской Федерации об административных правонарушениях от 30.12.2001 N 195-ФЗ (ред. от 30.12.2012) (с изм. и доп., вступающими в силу с 11.01.2013)

.        Федеральный закон от 08.08.2001 N 129-ФЗ (ред. от 29.12.2012) "О государственной регистрации юридических лиц и индивидуальных предпринимателей" Справочно-информационная система «КонсультантПлюс»:

.        Федеральный закон от 26.12.2008 N 294-ФЗ (ред. от 28.07.2012) "О защите прав юридических лиц и индивидуальных предпринимателей при осуществлении государственного контроля (надзора) и муниципального контроля"(с изм. и доп., вступающими в силу с 01.01.2013) Справочно-информационная система «КонсультантПлюс»

.        Федеральный закон от 24.07.2007 N 209-ФЗ (ред. от 06.12.2011) "О развитии малого и среднего предпринимательства в Российской Федерации" Справочно-информационная система «КонсультантПлюс»

.        "Гражданский кодекс Российской Федерации (часть третья)" от 26.11.2001 N 146-ФЗ (ред. от 05.06.2012, с изм. от 02.10.2012) Справочно-информационная система «КонсультантПлюс»

.        "Гражданский кодекс Российской Федерации (часть четвертая)" от 18.12.2006 N 230-ФЗ (ред. от 08.12.2011) Справочно-информационная система «КонсультантПлюс»

.        Федеральный закон от 26.10.2002 N 127-ФЗ (ред. от 29.12.2012, с изм. от 30.12.2012) "О несостоятельности (банкротстве)" Справочно-информационная система «КонсультантПлюс»

.        Федеральный закон от 30.03.1999 N 52-ФЗ (ред. от 25.06.2012) "О санитарно-эпидемиологическом благополучии населения" (с изм. и доп., вступающими в силу с 01.01.2013) Справочно-информационная система «КонсультантПлюс»

10.     Аванесова Г.А. Сервисная деятельность: Историческая и современная практика, предпринимательство, менеджмент: Учебное пособие для студентов вузов. - М.: Аспект Пресс, 2007. - 380 с.

.         Актуальные проблемы малого и среднего предпринимательства в России / Л.А. Мосина, Ю.С. Королева // Экономические науки Вестник Нижегородского университета им. Н.И. Лобачевского, 2010, № 3. - с. 48-51

.         Анализ финансовой отчетности: учебник / Под ред. М.А. Вахрушиной, Н.С. Пласковой и др. - М. : Вузовский учебник, 2008. - 365 с.

.         Бланк И.А. Основы финансового менеджмента . - К. : Ника, 2009. - 592 с.

14.    Басовский Л.Е. Экономический анализ . - М. : ПРИОР, 2008. - 260 с.

.        Бороненкова С.А. Управленческий анализ : учеб. пособие. - М.: Финансы и статистика, 2007. - 325с.

.        Вахрин П.И. Финансовый анализ в коммерческих и не коммерческих организациях : учеб. пособие. - М. : Маркетинг, 2007. - 320 с.

.        Вертакова Ю.В., Симоненко Е.С. Управление инновациями. Теория и практика . - М. : Эксмо, 2008. - 432 с.

.        Галицкая С.В. Финансовый менеджмент. Финансовый анализ. Финансы предприятия . - М. : Эксмо, 2009. - 651 с.

.        Гиляровская Л.Т. Экономический анализ [Текст] : учебник для вузов. - 2-е изд., доп. - М. : ЮНИТИ-ДАНА, 2010. - 615 с.

.        Губина О.В., Губин В.Е. Анализ финансово-хозяйственной деятельности : практикум : учеб. пособие: М. : Инфра - М, 2010. - 192 с.

.        Донцова Л.В. Анализ финансовой отчетности : учебник / Л.В. Донцова, Н.А.Никифорова. - 6-е изд. перераб. и доп. - М. : Дело и Сервис, 2008. - 368 с.

.        Индикаторы инновационной деятельности: 2009. Статистический сборник. - М. : ГУ-ВШЭ, 2009. - 488 с.

.        Ковалев В.В., Волкова О.Н. Анализ хозяйственной деятельности предприятия : учебник. - М. : Проспект, 2008. - 421 с.

.        Макарьян С.Э., Герасименко Г.П., Макарьян Э.А. Финансовый анализ : учеб. пособие. - М. : КноРус, 2009. - 264 с.

.        Переверзев М.П., Лунёва A.M. Основы предпринимательства. - М. : Инфра-М, 2009. - 176 с.

26.     Портал " Эксперт» [Электронный ресурс]: интернет-журнал URL

27.    Рисковник соm [Электронный ресурс]: профессиональный портал для риск-менеджеров URL

28.     Савицкая Г.В. Анализ хозяйственной деятельности предприятий. - М. : ИНФРА-М, 2009. - 536 с.

29.    Техника финансового анализа : учеб. пособие / Под ред. Л.П. Белых; сост. Э. Хелферт. Пер. с англ. - М. : Аудит, 2010. - 663 с.

.        Финансы предприятий / Под ред. Е.И. Бородиной. - М. : Банки и биржи, 2008. - 319 с.

.        Финансовый менеджмент : учеб. пособие / Под ред. Е.И. Шохова. - М.: Пресс, 2008. - 408 с.

.        Шеремет А.Д. Анализ и диагностика финансово-хозяйственной деятельности предприятия : учебник. - М. : ИНФРА-М, 2008. - 367 с.

33.     Хаксевер К., Рендер Б., Рассел Р., Мердик Р. Управление и организация в сфере услуг/ Пер.с англ. под ред. В. В. Кулибановой. СПб.: Питер, 2007. - с. 67

Приложение 1

Бухгалтерский баланс ООО «Симона»

Актив

Код показателя

На начало отчетного года

На конец отчетного периода

1

2

3

4

I. ВНЕОБОРОТНЫЕ АКТИВЫ

 

35

395

Нематериальные активы

110



Основные средства

120

335 446

305 328

Незавершенное строительство

130

26 558

9 773

Доходные вложения в материальные ценности

135

451

451

Долгосрочные финансовые вложения

140



Отложенные налоговые активы

145

1 331

1 367

Прочие внеоборотные активы

150



Итого по разделу I

190

363 821

317 314

II. ОБОРОТНЫЕ АКТИВЫ

 

221 396

105 103

Запасы

210



в том числе:

 

109 897

75 630

сырье, материалы и другие аналогичные ценности

 211



животные на выращивании и откорме

 212



затраты в незавершенном производстве

 213

38 479

18 665

готовая продукция и товары для перепродажи

214

71 613

9 676

товары отгруженные

1 407

1 132

расходы будущих периодов

 216



прочие запасы и затраты

 217



Налог на добавленную стоимость по приобретенным ценностям

 

38 060

47 273


220



Дебиторская задолженность (платежи по которой ожидаются более чем через 12 месяцев после отчетной даты)

 

0

0


 




230



в том числе покупатели и заказчики

 231



Дебиторская задолженность (платежи по которой ожидаются в течение 12 месяцев после отчетной даты)

 

333 142

537 729


 




240



в том числе покупатели и заказчики

 241

204 549

506 809

Краткосрочные финансовые вложения

250



Денежные средства

260

13 635

377

Прочие оборотные активы

270

16 638

2 213

Итого по разделу II

290

622 871

692 695

БАЛАНС

300

986 692

1 010 009

III. КАПИТАЛ И РЕЗЕРВЫ

 

320 644

320 644

 

Уставный капитал

410



 

Собственные акции, выкупленные у акционеров

 411



 

Добавочный капитал

420

7 170

7 170

 

Резервный капитал

430

16 032

16 032

 

в том числе: резервы, образованные в соответствии с законодательством

431

16 032

16 032

 

резервы, образованные в соответствии с учредительными документами

 432



 


 



 

Нераспределенная прибыль (непокрытый убыток)

470

281 753

391 277

 

Итого по разделу III

490

625 599

735 123

 

IV. ДОЛГОСРОЧНЫЕ ОБЯЗАТЕЛЬСТВА

 



 

Займы и кредиты

510



 

Отложенные налоговые обязательства

515

11 626

1 742

 

Прочие долгосрочные обязательства

520



 

Итого по разделу IV

590

11 626

1 742

 

V. КРАТКОСРОЧНЫЕ ОБЯЗАТЕЛЬСТВА

 



 

Займы и кредиты

610



 

Кредиторская задолженность

620

332 609

255 622

 

в том числе: поставщики и подрядчики

 621

171 044

203 490

 

задолженность перед персоналом организации

622

83

170

 

задолженность перед государственными

 

2 177

2 399

 

внебюджетными фондами

 623



 

задолженность по налогам и сборам

 624

41 288

27 473

 

прочие кредиторы

 625

118 077

22 090

 

Задолженность перед участниками (учредителями)

 



 

по выплате доходов

630



 

Доходы будущих периодов

640

5

0

 

Резервы предстоящих расходов

650

16 853

17 522

 

Прочие краткосрочные обязательства

660



 

Итого по разделу V

690

349 467

273 144

 

БАЛАНС

700

986 692

1 010 009

 


Приложение 2

Отчет о прибылях и убытках ООО «Симона»

Показатель

За отчетный период

За аналогичный период преды-дущего года

наименование

код



1

2

3

4

Доходы и расходы по обычным видам

 

 

 

деятельности

 

 

 

Выручка (нетто) от продажи товаров, продукции, работ, услуг (за минусом налога на добавленную стоимость, акцизов и аналогичных обязательных платежей)

 

1 591 048

1 910 651


 




010



Себестоимость проданных товаров, продукции, работ, услуг

 020

(1 229 236)

(1 325 516)

Валовая прибыль

029

361 812

585 135

Коммерческие расходы

030

(81 441)

(79 783)

Управленческие расходы

040

(78 277)

(114 203)

Прибыль (убыток) от продаж

050

202 094

391 149

Прочие доходы и расходы

 



Проценты к получению

060

134

147

Проценты к уплате

070


(348)

Доходы от участия в других организациях

080



Прочие доходы

090

10 986

23 623

Прочие расходы

100

(69 150)

(39 878)

Прибыль (убыток) до налогообложения

140

144 064

374 693

Отложенные налоговые активы

141

35

3 703

Отложенные налоговые обязательства

142

9 884

8 200

Текущий налог на прибыль

150

45 340

84 471

Прочие аналогичные платежи из прибыли

 155

881

112

Чистая прибыль (убыток) отчетного периода

 190

109 524

278 207


Похожие работы на - Организация систеймы сервисного обслуживания и ремонта (на материалах ООО 'Симона' г. Мытищи Московской обл.)

 

Не нашли материал для своей работы?
Поможем написать уникальную работу
Без плагиата!
Без нейросетей!