Организация исполнения управленческих решений на предприятии

  • Вид работы:
    Курсовая работа (т)
  • Предмет:
    Менеджмент
  • Язык:
    Русский
    ,
    Формат файла:
    MS Word
    191,25 Кб
  • Опубликовано:
    2015-05-05
Вы можете узнать стоимость помощи в написании студенческой работы.
Помощь в написании работы, которую точно примут!

Организация исполнения управленческих решений на предприятии













Курсовая работа

по дисциплине Менеджмент

на тему: «Организация исполнения управленческих решений на предприятии»









Минск 2014

СОДЕРЖАНИЕ

ВВЕДЕНИЕ

. ТЕОРЕТИЧЕСКИЕ ОСНОВЫ ОРГАНИЗАЦИИ ИСПОЛНЕНИЯ УПРАВЛЕНЧЕСКИХ РЕШЕНИЙ НА ПРЕДПРИЯТИИ

.1Характеристика и виды управленческих решений

.2 Организация и контроль управленческих решений

. АНАЛИЗ ОРГАНИЗАЦИИ ИСПОЛНЕНИЯ УПРАВЛЕНЧЕСКИХ РЕШЕНИЙ НА ПРЕДПРИЯТИИ ООО «ШАПЧИЦЫ-АГРО»

.1 Организационно-экономическая характеристика предприятия ООО «Шапчицы-Агро»

.2 Оценка организации системы исполнения управленческих решений на предприятии

. ПРЕДЛОЖЕНИЯ ПО СОВЕРШЕНСТВОВАНИЮ СИСТЕМЫ ИСПОЛНЕНИЯ УПРАВЛЕНЧЕСКИХ РЕШЕНИЙ НА ПРЕДПРИЯТИИ ООО «ШАПЧИЦЫ-АГРО»

ЗАКЛЮЧЕНИЕ

СПИСОК ИСПОЛЬЗОВАННЫХ ИСТОЧНИКОВ

ПРИЛОЖЕНИЕ 1

ПРИЛОЖЕНИЕ 2

ВВЕДЕНИЕ

Принятие решений, так же как и обмен информацией, - составная часть любой управленческой функции. Необходимость принятия решений возникает на всех этапах процесса управления и связана со всеми участками и аспектами управленческой деятельности. Поэтому так важно понять природу и сущность решений.

Каждому из нас ежедневно приходится десятки раз что-то выбирать, на собственном опыте развивая способности и приобретая навыки принятия решений. Примеров можно привести множество: выбор одежды из имеющегося гардероба, выбор блюд из предложенного меню.

Любому поступку индивида или действию коллектива предшествует принятое решение. Решения являются универсальной формой поведения как отдельной личности, так и социальных групп. Эта универсальность объясняется сознательным и целенаправленным характером человеческой деятельности. Однако, несмотря на универсальность решений, их принятие в процессе управления организацией существенно отличается от решений, принимаемых в частной жизни.

Актуальность темы определена тем, что процесс жизнедеятельности каждой организации связан с процессом непрерывного изменения и развития. Организация может реализовывать стоящие перед ней цели только в том случае, если ее изменения адекватны изменениям и требованиям существующей экономической среды рыночных отношений.

Для современного состояния науки характерен переход к глобальному рассмотрению степени разработанности проблемы «Технологии принятия управленческого решения».

Темой данной работы является организация исполнения управленческих решений предприятия ООО «Шапчицы-Агро».

Объектом исследования является деятельность предприятия ООО «Шапчицы-Агро». Предмет исследования - организация исполнения управленческих решений на предприятии.

Цель курсовой работы - изучить и дать оценку организации исполнения управленческих решений на предприятии.

Для достижения поставленной цели необходимо решить следующие задачи:

. Раскрыть теоретические основы организации исполнения управленческих решений.

. Изучить организацию и контроль выполнения решений.

. Проанализировать и оценить организацию исполнения управленческих решений на ООО «Шапчицы-Агро».

. Предложить пути совершенствования системы исполнения управленческих решений на ООО «Шапчицы-Агро».

1. ТЕОРЕТИЧЕСКИЕ ОСНОВЫ ОРГАНИЗАЦИИ ИСПОЛНЕНИЯ УПРАВЛЕНЧЕСКИХ РЕШЕНИЙ НА ПРЕДПРИЯТИИ

.1 Характеристика и виды управленческих решений

Управленческое решение как категория управления выражает сущность процесса воздействия на персонал средствами и методами, адекватными возможностям организации и обеспечивающими наилучшие целевые результаты деятельности.

В середине XX столетия сформировалась «новая школа» управления, приоритетные идеи которой были связаны с выявлением и оценкой факторов, воздействующих на экономические и управленческие процессы. При этом особо выделялись факторы внешней (макроэкономические, микроэкономические, региональные) и внутренней, или внутрисистемной, среды. Разнообразие факторов и разнонаправленность интересов субъектов хозяйственной деятельности обусловливали использование разных вариантов действий менеджера в процессах управления.

С позиций технологии процесс управления стал рассматриваться как определенная последовательность действий менеджера и аппарата управления по выработке, принятию и реализации управленческих решений, содержание которых обусловлено реальными производственно - хозяйственными проблемами.

Управленческое решение рассматривается как вид управленческой деятельности, посредством которой обеспечивается активизация совместной деятельности людей, ее целенаправленность и результативность. Ключевой категорией процесса управления выступает функция или вид управленческой деятельности, отражающей совокупность управленческих отношений по формированию воздействия на персонал. Поэтому функция выступает как объективно необходимая область процесса управления, имеющего целевую, временную, пространственную определенность и конечную результативность и является важнейшей функцией управленческого цикла. Управленческое решение представляет собой наиболее оптимальный вариант из возможных прогнозных альтернатив, принимаемый в установленном порядке, имеющий обязательное значение, определяющий средства достижения цели, организующий деятельность субъектов и объектов управления.

Процесс разработки решения, сочетая в себе формальные и неформальные аспекты, различается степенью участия в нем человека. В связи с этим выделяется два основных подхода к принятию управленческого решения:

Нормативный подход, основанный на дедуктивной логике, рассчитанной на то, как мы должны думать, а не то, что мы думаем на самом деле. Чем больше количественной определенности изучаемого явления, тем больше доля формальной стороны при разработке и принятии решений. Данный подход позволяет принимать рациональные решения, в которых учитывается не прошлый опыт, а лишь объективный аналитический процесс.

Дескриптивный подход, основанный на том утверждении, что в конфликте чувства и разума всегда побеждает чувство, поэтому процесс принятия решения венчает неформальный аспект. Оставаться беспристрастным к содержанию и качеству решений менеджеру не позволяет социальная среда, в которой осуществляется процесс управления. Чем менее определенно происходящее, хуже количественные представления о проблемной ситуации, тем больше доля творчества людей.

Процесс выработки и реализации управленческого решения - это деятельность, осуществляемая по определенной технологии с использованием различных методов и технических средств, направленная на поиск выхода из определенной управленческой ситуации путем формирования, а затем реализации воздействия на объект управления.

Можно выделить такие виды решений как:

. Организационное решения - выбор, который должен сделать руководитель, чтобы выполнить обязанности, обусловленные занимаемой им должностью. Целью организационного решения является обеспечение достижения поставленных перед организацией задач. Организационные решения можно классифицировать как запрограммированные и незапрограммированные решения.

Запрограммированные решения - результат реализации определенной последовательности шагов или действий, подобных тем, что предприняли при решении математических уравнений. Как правило, число возможных альтернатив ограничено, и выбор должен быть сделан в пределах направлений, заданных организацией.

Незапрограммированные решения требуются в ситуациях, которые в определенной мере новые, внутренне неструктурированны или сопряжены с неизвестными фактами.

. Компромиссы. Эффективно работающий руководитель понимает и принимает как факт то, что выбранная им альтернатива может иметь недостатки, возможно значительные. Он принимает данное решение, поскольку с учетом всех факторов оно представляется намного желательным с точки зрения конечного эффекта.

. Интуитивное решение- выбор, сделанный на основе ощущения того, что он правильный. Лицо, принимающее решение не нуждается в понимании ситуации, человек просто делает выбор.

. Решения, основанные на суждении - выбор, обусловленный знанием или опытом.

. Рациональные решения

В управлении принятие решений - более систематизированный процесс, чем в частной жизни. Это связано с много большей ответственностью. Менеджеры принимают решения, связанные со многими людьми и с большой материальной ответственностью. Поэтому они не могут принимать непродуманных решений.

Как было замечено выше, решения, принимаемые руководителем для выполнения обязанностей, обусловленных занимаемой должностью называют организационными решениями. Организационные решения квалифицируют как запрограммированные и незапрограммированные.

Запрограммированным решением называют решение, принятое как результат реализации определенной последовательности действий или шагов, подобных тем, что принимаются при решении математического уравнения. Как правило, число возможных альтернатив ограничено, и выбор должен быть сделан в пределах направлений, заданных организацией.

Незапрограммированные решения - решения, принимаемые в ситуациях, которые в определенной степени новы, внутренне не структурированы или сопряжены с неизвестными факторами.

Очень редко решения, принимаемые руководителем, могут рассматриваться как запрограммированные или незапрограммированные в чистом виде. Даже самое структурированное решение подразумевает некоторую личную инициативу лица, принимающего решение, а для принятия незапрограммированного решения почти всегда могут быть использованы моменты методологии принятия запрограммированных решений.

Необходимо отметить, что любое решение не может иметь чисто положительных результатов. В любом результате есть отрицательные моменты. Поэтому любое организационное решение - это компромисс. В каждом случае руководитель должен сделать выбор между неизбежными отрицательными моментами. Причем на хорошего руководителя существование отрицательных элементов в любом решении не должно оказывать психологического влияния, то есть помешать руководителям и в дальнейшем принимать решения.

В различных организациях различные решение могут приниматься как одним человеком, так и коллегиально. Это зависит от уровня решения, от структуры организации, уровня делегирования полномочий. Обычно самые сложные решения стратегического плана принимаются коллегиально, что позволяет уменьшить риск принятия неоптимального решения и снизить моральную нагрузку на людей, принимающих решение.

Процесс принятия решения включает в себя следующие операции: подготовка к работе; выявление проблемы и формулирование целей; поиск информации; ее обработка; выявление возможностей ресурсного обеспечения; ранжирование целей; формулирование заданий; оформление необходимых документов; реализация заданий.

Применение системного подхода к процессу принятия управленческого решения позволяет определить структуру проблемы, систему ее решения, взаимосвязи компонентов системы и очередность их совершенствования.

С целью экономии времени и средств на разработку управленческого решения рекомендуется следующая очередность совершенствования (формирования, отработки) компонентов «черного ящика».

Сначала необходимо четко сформулировать, что нам следует получить, какими параметрами должно обладать решение.

К параметрам качества управленческого решения относятся:

показатель энтропии, т.е. количественной неопределенности проблемы. Если проблема формулируется только качественно, без количественных показателей, то показатель энтропии приближается к нулю.

Если все показатели проблемы выражены количественно, показатель энтропии приближается к единице;

степень риска вложения инвестиций;

вероятность реализации решения по показателям качества, затрат и сроков;

степень адекватности (или степень точности прогноза, коэффициент аппроксимации) теоретической модели фактическим данным, на основании которых она была разработана.

После предварительной регламентации параметров качества управленческого решения и его эффективности (устанавливается предел, минимально допустимая эффективность, ради которой стоит приниматься за решение проблемы) анализируются факторы внешней среды, оказывающие влияние на качество и эффективность решения. Затем анализируются параметры «входа» системы и принимаются меры по их улучшению и повышению качества входящей информации.

После уточнения требований «выхода», уточнения факторов «внешней среды», влияющих на качество и эффективность решения, отработки «входа» системы следует смоделировать технологию принятия решения, проанализировать параметры процесса, принять меры по их улучшению и приступить непосредственно к разработке решения. Если качество «входа» оценивается на «удовлетворительно», то при любом уровне качества «процесса» в системе качество «выхода», т.е. качество решения будет «удовлетворительным».

К основным условиям обеспечения высокого качества и эффективности управленческого решения относятся:

применение к разработке управленческого решения научных подходов менеджмента;

изучение влияния экономических законов на эффективность управленческого решения;

обеспечение лица, принимающего решение, качественной информацией, характеризующей параметры «выхода», «входа», «внешней среды» и «процесса» системы разработки решения;

применение методов функционально-стоимостного анализа, прогнозирования, моделирования и экономического обоснования каждого решения;

структуризация проблемы и построение дерева целей;

обеспечение сопоставимости (сравнимости) вариантов решений;

обеспечение многовариантности решений;

правовая обоснованность принимаемого решения;

автоматизация процесса сбора и обработки информации, процесса разработки и реализации решений;

разработка и функционирование системы ответственности и мотивации качественного и эффективного решения;

наличие механизма реализации решения.

Альтернативные варианты управленческих решений должны приводиться в сопоставимый вид по следующим факторам:

фактор времени (время осуществления проектов или вложения инвестиций);

фактор качества объекта;

фактор масштаба (объема) производства объекта;

фактор освоенности объекта в производстве;

метод получения информации для принятия управленческого
решения;

условия применения (эксплуатации)объекта;

фактор инфляции;

фактор риска и неопределенности.

Сопоставимость альтернативных вариантов по перечисленным восьми факторам обеспечивается, как правило, при обосновании технических, организационных или экономических мероприятий, направленных на улучшение частных показателей целевой подсистемы системы менеджмента (показателей качества и ресурсоемкости продукции, организационно-технического уровня производства, уровня социального развития коллектива, проблем экологии), а также развитие обеспечивающей, управляемой или управляющей подсистем, улучшение связей с внешней средой системы.

В каждом конкретном случае альтернативные варианты управленческого решения могут отличаться не по всем факторам. Задача специалиста, менеджера или лица, принимающего решение, заключается в проведении комплексного анализа конкретных ситуаций с целью обеспечения сопоставимости по максимальному количеству факторов. Чем меньше учтенных факторов, тем меньше точность прогноза эффективности инвестиций.

Основные правила обеспечения сопоставимости альтернативных вариантов управленческого решения:

количество альтернативных вариантов должно быть не менее
трех;

в качестве базового варианта решения должен приниматься
наиболее новый по времени вариант решения. Остальные альтернативные варианты приводятся к базовому при помощи корректирующих коэффициентов;

формирование альтернативных вариантов должно осуществляться на основе условий обеспечения высокого качества и эффективности управленческого решения;

для сокращения времени, повышения качества решения и снижения затрат рекомендуется шире применять методы кодировании и современные технические средства информационного обеспечения процесса принятия решения.

1.2 Организация и контроль выполнения решений

Организовать выполнение решения - задача не из легких, требующая знания людей, их возможностей, сил, средств и методов исполнения.

Организация выполнения решений - это специфическая деятельность руководителя, завершающая управленческий цикл. И если на этапе подготовки и принятия решения руководитель оперирует идеальными отображениями предметов и явлений, то в процессе организации исполнения решения он сталкивается с реальной ситуацией, которая чаще всего отличается от идеальной.

Недостаточно опытный руководитель, мысленно оперирующий вещами и событиями, привыкает к легкости манипулирования идеальными представлениями и неосознанно допускает свободную манеру обращения с реальными ситуациями. В результате такого менеджмента принимаемые решения оказываются непосильными и на практике не выполняются. Здесь следует учитывать, что руководитель организует не свою собственную деятельность, а труд других людей.

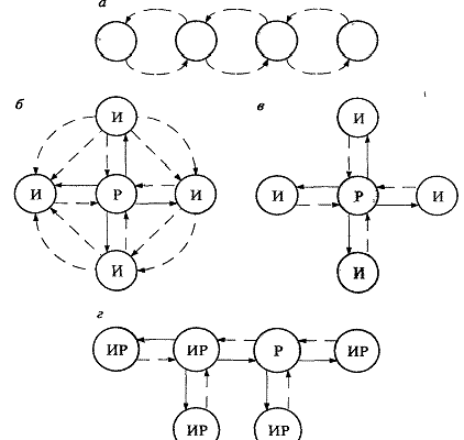
Рис. 1.1 - Цепочная структура коммуникаций, отношения координации ярко выраженное командное действие

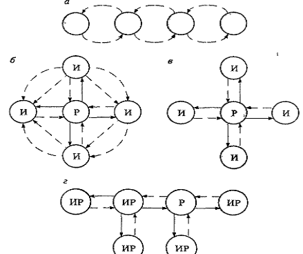
Рис. 1.2 - Многосвязная структура коммуникаций И - исполнитель, Р - руководитель

Это суть две разные вещи, ибо организацию выполнения решений также нужно организовывать. Исполнители должны получить четкую информацию о том, кто, где, когда и какими средствами должен осуществлять действия, соответствующие принятому решению. Необходимо разработать план его реализации, которым предусматривается система мер, обеспечивающих достижение целей решения с минимальными издержками. Одним из механизмов, обеспечивающих успешное выполнение решений, является установление и структуризация коммуникаций в фирме. Задача состоит в оптимальном построении структуры коммуникаций управленческих работников и исполнителей.

Структуры таких коммуникационных сетей могут быть различными, а связи между передающей стороной (коммутатором-руководителем) и воспроизводящей стороной (исполнителем) могут существенно различаться. В связи с этим можно выделить наиболее часто встречающиеся в организации коммуникации: цепочную, многосвязную, звездную и иерархическую. При цепочной структуре коммуникаций (рис. 1.1.) решение, передаваемое с одного конца на другой, становится известно всем исполнителям и всеми обсуждается. Все связи в такой коммуникации одинаковы, а командный стиль руководства отсутствует. Такая структура взаимоотношений распадается, если нарушается связь между двумя участниками коммуникации.

В многосвязной структуре коммуникаций (рис. 1.2.) все ее участники связаны между собой. Ее отличает достаточная устойчивость и скорость передачи информации. Отношения командования ярко выражены. В практике управления наиболее часто встречается на уровне первичного коллектива.

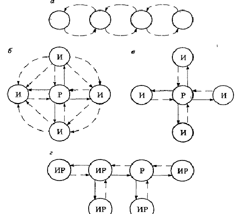
Рис. 1.3 - Звездная структура коммуникации

В звездной структуре коммуникаций (рис. 1.3.) ярко выражен "коммутатор-руководитель", через которого передаются все задачи. Все связи замыкаются на нем (Р). Устойчивость и скорость передачи информации невысокие.

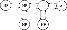
Рис 1.4 - Иерархическая структура коммуникации

Для иерархической структуры коммуникаций (рис. 1.4.) характерны ярко выраженные командные отношения. Промежуточные ступени одновременно являются и подчиненными и командными.

Организационно-управленческие решения оформляют в виде приказа или распоряжения, после чего они приобретают силу закона. Однако великое множество решений мигрируют в организации в виде устных указаний, заданий, пожеланий и т.п. управляющих директив. Главная задача менеджера и состоит в том, чтобы организовать исполнение такого решения, обеспечить координацию и контроль выполнения.

Эффективность управленческих решений - это 1) совокупность показателей, свидетельствующая о достижении целей организации, получении определенных результатов в ее деятельности; 2) основной результат деятельности управляющих по преобразованию системы управления и процессов, происходящих в организации.

Эффективность управленческих решений определяется тремя основными группами показателей деятельности организации:

) Показатели экономической эффективности:

прибыль;

выручка от реализации;

доходность;

себестоимость;

рентабельность;

ликвидность;

управленческие затраты.

) Показатели качества и результативности труда:

качество продукции или услуги;

производительность труда;

соотношение темпов роста производительности труда и заработной платы;

фонд оплаты труда (ФОТ);

средняя заработная плата;

потери рабочего времени на 1 работника (чел.-дни);

качество труда персонала (баллы или %).

) Показатели социальной эффективности:

текучесть персонала (отношение числа уволенных работников к общей численности персонала),

уровень трудовой дисциплины (отношение числа случаев нарушения трудовой и исполнительской дисциплины к общей численности персонала),

соотношение управленческого персонала, рабочих и служащих,

равномерность загрузки персонала,

коэффициент трудового участия (КТУ) или вклада (КТВ)

социально-психологический климат в коллективе.

Таким образом, организация исполнения решений немыслима без контроля.

Контроль исполнения решений является заключительной (завершающей) стадией управленческого цикла. Он принимает форму обратной связи, посредством которой можно получить информацию об исполнении решения, достижении организацией поставленных целей.

Главное назначение контроля состоит в своевременном обнаружении возможных отклонений от заданной программы реализации решения, а также своевременное принятие мер по их ликвидации. В процессе контроля первоначальные цели организации могут модифицироваться, уточняться и изменяться с учетом полученной дополнительной информации о выполнении принятых решений. Т.е. основная задача контроля состоит в том, чтобы своевременно выявить и спрогнозировать ожидаемые отклонения от заданной программы реализации управленческих решений.

С помощью контроля не только выявляются отклонения от заданий, сформулированных в решениях, но и определяются причины этих отклонений. Выделяются и другие функции контроля за исполнением принятых решений.

Диагностическая. Главная, ведущая функция контроля - кто бы что ни проверял, какие бы задачи ни ставились, в любом случае сначала нужно четко представить себе подлинное состояние дел, т.е. поставить диагноз.

Обратная связь при контроле за выполнением поставленных задач позволяет руководителю не выпускать из рук бразды правления, дает ему возможность оказывать влияние на ход работы.

Ориентирующая функция контроля проявляется в том, что те вопросы, которые чаще всего контролируются начальником, приобретают особое значение в сознании исполнителей, направляют их усилия в первую очередь на объект повышенного внимания руководителя. Вопросы, выпадающие из поля зрения руководителя, зачастую не решаются подчиненными.[15,с.109]

Если ориентирующая функция контроля при умелом руководстве позволяет менеджеру держать работы в поле зрения, то стимулирующая функция нацелена на выполнение и вовлечение в процесс труда всех неиспользованных резервов.

Корректирующая функция связана с теми уточнениями, которые вносятся в решения на основе материалов контроля. Здесь складывается сложная психологическая ситуация: руководитель полагает, что он проверяет работу подчиненного, на самом же деле последний уже проверил на практике эффективность решения руководителя. Иными словами, контроль уже, можно сказать, состоялся, причем по самому надежному критерию - по соответствию принятого решения практике.

Педагогическая функция. Контроль, если он построен умело, побуждает исполнителей к добросовестному труду.

В практике управления организацией применяются три основные разновидности контроля:

предварительный - предшествует принятию окончательного решения. Его цель - дать более глубокое обоснование принимаемому решению;

текущий - с его помощью вносятся коррективы в процесс исполнения принятых решений;

последующий - служит для проверки эффективности принятия решений.

Таким образом, контроль является объективной необходимостью, так как даже самые оптимальные планы не могут быть реализованы, если их не довести до исполнителей и за их исполнением не наладить объективный и постоянный контроль.

В заключение данной главы хотелось бы отметить:

Решение - это выбор альтернативы.

Принятие решений - это интегрированная часть управления организации любого рода.

Сущность управленческого решения может быть рассмотрена в экономическом, организационном, социальном, правовом и технологическом аспектах.

Как свидетельствуют опросы руководителей в деловых организациях, лишь 20-25% затрат их рабочего времени уходит на непосредственное принятие решений в явном виде. Хронометраж рабочего времени руководителей, сделанный специалистами по организационному поведению, показывает, что эти действия занимают даже меньшую долю: в среднем 10-15% их общего рабочего времени.

На самом деле собственно выбор решений может занимать доли секунды, однако все процессы, взаимосвязи, действия, связанные с ним, заставляют расширять границы процесса принятия решений.

2. АНАЛИЗ ОРГАНИЗАЦИИ ИСПОЛНЕНИЯ УПРАВЛЕНЧЕСКИХ РЕШЕНИЙ НА ПРЕДПРИЯТИИ ООО «Шапчицы-Агро»

.1 Организационно-экономическая характеристика предприятия ООО «Шапчицы-Агро»

Колхоз «Советская Белоруссия» организован в 1930 году. В 1946 году произошло объединение колхозов «Пролетарска перамога», «Советская Белоруссия», «им.Калинина», «Новая Слободка» в колхоз «Слободской». На основании решения Минского областного решения Минского областного исполнительного комитета от 16 июля 2003 года № 537 колхоз «Слободской» преобразован в сельскохозяйственный кооператив «Шапчицы». На основании Указа Президента Республики Беларусь от 14 июня 2004 года № 280 и решения областного комитета от 28 августа 2004 года № 832 СПК «Шапчицы» преоборазован в Общество с Ограниченной Ответственностью «ШАПЧИЦЫ-АГРО», решением Минского областного исполнительного комитета № 710 от 30 июля 2004 года.

Общество с Ограниченной Ответственностью «ШАПЧИЦЫ-АГРО» является коммерческой организацией.

Форма собственности - частная.

Краткое наименование на русском языке - ООО «ШАПЧИЦЫ-АГРО».

Юридический адрес: 222932 Республика Беларусь, Минская область, Стародорожский район, деревня Шапчицы, ул. Коммунистическая 1.

Общество является юридическим лицом, имеет расчетный и другие счета в учреждениях банков, самостоятельный баланс, печать со своим наименованием. В своей деятельности Общество руководствуется Уставом и действующим законодательством.

Право распоряжаться имуществом, произведенной продукцией и денежными средствами общества принадлежит только Обществу - его органам управления.

Общество несет самостоятельную ответственность по обязательствам всем принадлежащим ему имуществом, включая основные средства.

Управление обществом осуществляется общим собранием (собранием уполномоченных) участников Общества, директором Общества.

С августа месяца 2009 года хозяйство возглавляет - Казецкий Сергей Иванович. Образование высшее.

Центральная усадьба хозяйства - д. Шапчицы, расположена в 5 километрах от районного центра - г. Старые Дороги.

На 01.01.2014 г. в землепользовании хозяйства насчитывается 2354 га сельскохозяйственных угодий, из них пашни - 1225 га, сенокосы и пастбища - 1129 га. Распаханность сельскохозяйственных угодий составляет 52 %.

Машино-тракторный парк насчитывает 16 единиц тракторов, в том числе 10 единиц тракторов МТЗ-80/82/100/892/920/850/1021,1523, 4 единицы - Беларус-1220/1221, 1 - К-700, 1 - Джон-Дир. Парк зерноуборочной техники предствален 1 единицей КЗС-10К, 1 - КЗС-12 одним комплексом КЗС-7. Имеется 5 грузовых автомобилей. Хозяйство обеспечено всем комплексом прицепных агрегатов для выполнения различных видов сельскохозяйственных работ.

Квалификационная структура управленческого персонала представлена в следующей таблице:

Таблица 1 - Квалификационная структура управленческого персонала

Квалификация управленческого персонала

Количество человек

Руководители

16

Специалисты

10

Служащие

77

Всего управленческого персонала:

103


В настоящее время в ООО «Шапчицы-Агро» среднесписочная численность работников составляет 105 человека. Из них рабочих - 78 человек, а служащих - 27. В свою очередь служащие делятся на руководителей численностью - 16 человек и специалистов - 11.

Численность работников в возрасте до 30 лет составляет 25 человек, 31-40 лет - 24 человека, 41-50 лет - 25 человек, старше 50 лет - 31 человек и работающих пенсионеров - 13 человек.

Основной контингент работников 87,6% находится в трудоспособном возрасте. Из численности работников к категории молодых специалистов относится 0,95% (1 человек).

Доля работающих со стажем выше 10 лет = 26,7 %

Коэффициент приёма кадров = 0,048

Коэффициент выбытия кадров = 0,171

Коэффициент текучести кадров =0,152

Коэффициент стабильности кадров = -0,136

Среднемесячная заработная плата составляет 1 022 000 руб.

На предприятии используется повременная форма оплаты труда, а система - повременно-премиальная.

Среднемесячная заработная плата работников составляла в 2011 году - 1 022 тыс. руб., в 2011г. - 1 025 тыс. руб. Производительность труда в 2011г. - 34,26 млн. руб., а в 2012г. - 35,94 млн. руб.

2.2 Оценка организации системы исполнения управленческих решений на предприятии

Структура управления предприятием линейно - функциональная и представляет собой трехуровневую систему.

На верхнем уровне находится директор, который осуществляет общее руководство предприятием.

Второй уровень составляют заместители директора и главные специалисты, в том числе главный бухгалтер, который осуществляет и общее руководство финансами предприятия.

Третий уровень - это руководители подразделений на местах, которые осуществляют непосредственное управление рабочими.

Связь между директором и основными подразделениями линейная, а затем подчинение происходит по функциональному признаку.

Юридический отдел и отдел снабжения подчиняются непосредственно директору, но их деятельность не требует вертикальной связки с другими отделами и подразделениями.

В отношении производственной деятельности, структура управления вертикальная: от заместителя директора по производству до мастера цеха, и далее через начальника смены к рабочим. В строительной деятельности структура управления также вертикальная, сквозная. Такая структура в наибольшей степени учитывает специфику строительной отрасли и позволяет осуществлять управление с помощью прямых вертикальных коммуникаций.

Исходя из результатов экономического анализа, можно с достаточно большой долей вероятности утверждать, что система принятия управленческих решений в организации имеет существенные изъяны. Разумеется, трудности организации можно объяснить внешними экономическими причинами, однако руководство организации для того и существует, чтобы находить решение возникающих проблем.

Система принятия решения в ООО «Шапчицы-Агро» является вертикальной, решение готовят главные специалисты: экономисты, бухгалтеры, инженеры. Их информация базируется на объективных данных, а также на квалифицированном мнении специалистов нижнего звена: мастеров, прорабов, бригадиров. Таким образом, информация для принятия решения поступает снизу вверх.

Обработка информации завершается в экономическом отделе, в котором сосредоточены наиболее опытные кадры и где разрабатываются возможные варианты решения проблем, после чего подготовленные варианты решений поступают директору. При такой системе сбора и обработки информации и подготовки альтернативных вариантов решения логично было предположить возможность принятия коллективного решения, однако этого не происходит и после завершения подготовительного этапа, дальнейшее и окончательное решение директор принимает единолично.

Принятое решение оформляется в виде приказа или распоряжения, на основании которых экономический отдел в связке с отделом главного инженера, либо с отделом начальника производства готовит план мероприятий для реализации принятого решения. Разработанный план проходит согласование с главным бухгалтером, после чего снова поступает к директору, который визирует (или отправляет на доработку) составленный план.

Принятый окончательный вариант плана доводится до исполнителей.

Далее принятое решение принимается к исполнению, а руководство в процессе исполнения решений выполняет функции контроля, которые можно расчленить на несколько взаимосвязанных функций:

диагностическая, которая позволяет руководству предприятия обеспечивать понимание подлинного состояния дел, т.е. выполнение решения осуществляется поэтапно и получение информации о текущем состоянии выполнения решения является основной задачей руководства с тем, чтобы обеспечивать корректировку решения по срокам, финансам и т.п.

функция обратной связи является дополняющей к диагностической, поскольку без обратной связи информация к руководству поступать не будет. В ООО «Шапчицы-Агро» для реализации этой функции используется руководство среднего звена - мастера, прорабы и начальники функциональных подразделений. Именно они, в силу своего положения, являются главными коммуникаторами между руководством и исполнителями;

ориентирующая функция. Руководство заостряет внимание не на всех, а на ключевых вопросах, которые являются главными, узловыми. Соответственно, исполнители, зная об этом, сосредоточивают усилия именно на главных направлениях. А для того, чтобы второстепенные вопросы не выпадали из поля зрения исполнителей, их выполнение контролируется средним звеном - мастером, который и отслеживает выполнение работ, которые не являются решающими: скрытые работы, вспомогательные работы и т.п.

стимулирующая функция. Эта функция руководства также относится к разряду основных, поскольку в процессе выполнения решений возможны как задержки, так и прорывы. Данная функция направлена, в основном, на использование человеческого фактора, с помощью которого можно значительно ослабить негативные тенденции при выполнении решений. В ООО «Шапчицы-Агро» эта функция, к сожалению, используется нечасто, поскольку руководство, в основном, ориентировано на решение проблем с помощью дисциплинарных методов, что является достаточно недальновидным, поскольку стимуляция интереса к работе, особенно в строительстве, является наиболее эффективным методом стимуляции работников.

корректирующая функция. Она связана с возможными уточнениями, которые вносятся в решения на основе материалов контроля. Данная функция является совершенно необходимой в ООО «Шапчицы-Агро», поскольку не бывает раз и навсегда принятых решений - они неизбежно, в той или иной степени претерпевают некоторые изменения, обусловленные постоянно меняющейся внешней средой. И опять же, руководство ООО «Шапчицы-Агро» на внесение изменений идет очень неохотно, т.к. внесение каких - либо изменений в принятые решения влечет за собой определенные изменения и во всех остальных аспектах деятельности предприятия.

Что касается исполнителей, то, исполняя принятое руководством решение, они используют силы и средства, выделенные непосредственно для реализации конкретного решения. Кроме того, исполнители выполняют порученное в срок, в противном случае наступает дисциплинарная ответственность, которая, наряду с премированием, является основным звеном мотивации работников в ООО «Шапчицы-Агро».

В организации применяется система поощрений и наказаний, ориентированная на исполнение управленческих решений. Применяемая система достаточно проста: за своевременное и точное выполнение принятого решения полагается денежное вознаграждение, не увязанное с заработной платой и, соответственно, за неисполнение, либо несвоевременное и неточное исполнение денежные выплаты не производятся.

Разумеется, применяются и меры поощрения и наказания, предусмотренные Трудовым кодексом Республики Беларусь, однако система поощрений достаточно уязвима, поскольку зачастую невыполнение решений происходит не по вине работника, однако упущенное при этом время не позволяет поощрять работников в полном объеме и в этом случае. Кроме того, отсутствие полной привязки материального поощрения к заработной плате сказывается на энтузиазме работников, которые получают премию по системе «всем поровну». Конечно, бригадир и мастер получают немного больше, но рядовые члены бригад получают примерно одинаково. Такой подход не способствует повышению производительности труда, т.к. квалификация работников в данном случае практически не учитывается.

Можно выделить несколько проблем с процессом принятия управленческих решений в ООО «Шапчицы-Агро», которые взаимодействуют с процессом исполнения управленческих решений, и дают сбои в их реализации:

отсутствует четкое разграничение прав и обязанностей по уровням управления. Нередким является отсутствие на предприятии положений об отделах и должностных инструкций или их неактуальность на текущий момент времени;

система показателей управления непригодна для формирования обоснованных управленческих решений, а методология расчета показателей (таких как себестоимость, нормативы оборотных средств) не соответствует потребностям управления;

отсутствует связь между бюджетом и системой поощрения и оценки деятельности подразделений и их руководства. Или система мотивации построена на неконтролируемых менеджером показателях, то есть показателях, которые от него не зависят и на которые он не может воздействовать, но за их исполнение несет ответственность. Такая система, естественно, не стимулирует руководителей подразделений.

Принятие управленческого решения, по существу, является промежуточной фазой между управленческим решением и управленческим воздействием. Исходя из этого, эффективность управленческих решений следует охарактеризовать как совокупность эффективности разработки управленческих решений и эффективности осуществления этих управленческих решений.

Эффективность - это результативность производства, труда или управления.

Рассчитывается большое количество частных показателей экономической эффективности деятельности коллектива организации (всего таких показателей существует более шестидесяти).

К этим показателям относятся рентабельность, оборачиваемость оборотных средств, фондоотдача, фондоемкость, окупаемость капитальных вложений, производительность труда, соотношение темпов роста производительности труда и средней заработной платы, и др.

Можно оценивать как эффективность деятельности аппарата управления данной организации в целом, так и эффективность отдельных управленческих решений. Также объемные показатели, а также удельные качественные показатели. Здесь эффективность организационно-технических мероприятий, осуществленных в соответствии с принятым управленческим решением, выражается путем соизмерения затрат по этим мероприятиям и результатов, полученных вследствие их проведения.

При оценке эффективности управленческих мероприятий может быть использовано понятие совокупного экономического эффекта, поскольку в составе полученных результатов имеется определенный трудовой вклад членов коллектива организации, имеющих различные профессии.

Наиболее важные показатели финансовых результатов деятельности предприятия представлены в таблице 2. Проанализируем основные показатели деятельности предприятия за 2011-2012гг.

Как видно из данных таблицы, на предприятии наблюдается положительная динамика основных показателей. Выручка от реализации уменьшилась в 2012 году на 1 119 млн. рублей по сравнению с предыдущим годом. Себестоимость тоже уменьшилась на 1 859 рублей в 2012 году по сравнению с 2011, но темпы роста себестоимости (73,2%) несколько ниже темпа роста выручки (84,5%) за аналогичный период.

Прибыль от реализации также увеличивается на 696 млн. рублей в 2012 году.

В целом динамику финансовых показателей следует оценить как отрицательную.

Таблица 2 - Основные показатели деятельности предприятия за 2011-2012 гг.

№ п/п

Показатели

2011г.

2012г.

Темп роста, %

Отклонения (+,-) 2011-2012

1.

Выручка от реализации продукции, млн. руб.

7202

6089

84,5

-1119

2.

Себестоимость реализованной продукции

6930

5071

73,2

-1859

3.

Прибыль (убытки) от реализации, млн. руб.

-606

90

-15

+696

4.

Прибыль (убытки) от внереализационных доходов и расходов, млн. руб.

-1067

-280

26,2

+787

5.

Прибыль (убытки) от операционных доходов и расходов, млн. руб.

796

702

88,2

-94

6.

Прибыль

-877

512


+1389

7.

Налоги и платежи из прибыли, млн.руб.

77

122

158,4

+45

8.

Налоги сборы, включаемые в выручку от реализации продукции, млн. руб.

878

928

105,7

+50

9.

Выручка от реализации работ и услуг, млн. руб. (за минусом налогов, включаемых в выручку)

6324

5161

81,6

-1163

10.

Чистая прибыль, млн. руб.

-954

390


+1344


Необходимым условием получения прибыли является определенная степень развития производства, обеспечивающая превышение выручки от реализации продукции над затратами по производству и сбыту.

Данные табл. 3 свидетельствуют о значительном росте затрат, причем более быстрыми темпами чем финансовые показатели.

Удельный вес материальных затрат увеличился на 0,7%. В 2012 году увеличилась удельный все амортизационных отчислений. Снизились прочие затраты на 13,2 %.

Наибольший удельный вес в структуре затрат занимали в 2011 году «Материальные затраты» - 54,8%. В 2012 году доля статьи «Расходы на оплату труда» увеличились на 8,1%.

Увеличилась доля «Отчислений на социальные нужды» - до 8,9 %.

Таблица 3 - Анализ затрат по экономическим элементам

№ п/п

Элементы

Удельный вес, % 2011г.

Удельный вес, % 2012г.

Темп роста, %

Отклонения (+,-), % 2011-2012

1.

Материальные затраты

54,8

55,5

101,3

+0,7

2.

Расходы на оплату труда

18,1

26,2

144,8

+8,1

3.

Отчисления на социальные нужды

6,3

8,9

141,3

+2,6

4.

Амортизационные отчисления

3,2

5

156,3

+1,8

5.

Прочие затраты

17,6

4,4

25

-13,2


Анализ доходности (рентабельности) хозяйственной деятельности.

Под оценкой организации системы исполнения управленческих решений на предприятии понимается эффективность их решения. В свою очередь эффективности исполнения управленческих решений выражается в таких показателях как прибыль предприятия, рентабельность продаж, продукции, предприятия, также коэффициенты ликвидности т.д.

Рентабельность является основным обобщающим показателем эффективности использования активов предприятия. В данном показателе отражаются все стороны хозяйственной деятельности: изменение объёма выпуска и реализации продукции, её качества и себестоимости, размера и уровня загрузки основных фондов и оборотных средств.

Многообразие затрат и видов прибыли обуславливает необходимость применение системы показателей рентабельности. Рентабельность на 2012 год:

Рентабельность продукции = = 0,018

Показывает, сколько прибыли приходится на единицу затрат на производство и реализацию продукции.

Рентабельность продаж =  = 0,017

Показывает, сколько прибыли приходится на 1 руб. продаж.

Рентабельность предприятия =  =0,0015


Рентабельность собственного капитала = = 0,0015

Отражает эффективность использования собственного имущества. Показывает, сколько прибыли приходится на 1 руб. собственного капитала.

Коэффициент текущей ликвидности = = 1,45

Показатель обеспеченности предприятия оборотными средствами для погашения краткосрочной задолженности. Оптимальное значение больше 1,7. Для этой организации этот коэффициент составляет более 1,15.

Коэффициент абсолютной ликвидности = = 0,37

Показывает, какая часть краткосрочных обязательств может быть погашена немедленно. Оптимальное значение больше 0,2.

Коэффициенты критической (быстрой) ликвидности =  = 0,7

Отражает возможность погашения краткосрочных обязательств денежными средствами, финансовыми вложениями средствами в расчётах. Оптимальное значение больше 1)

Коэффициент ликвидности запасов или товарно-материальных ценностей =  = 0,7

Характеризует возможность мобилизации денежных средств для погашения краткосрочных обязательств за счёт производственных запасов.

Финансовое положение организации характеризуется достаточно общей обеспеченностью собственными оборотными средствами для ведения хозяйственной деятельности и способностью своевременно погашать срочные обязательства.

Организация способна рассчитываться по своим финансовым обязательствам. Реализуемые активы дают суммы, достаточные для погашения обязательств. Предприятие является платёжеспособным.

Отдав распоряжение о выполнении принятого решения, руководитель далее ориентируется на обратную связь - поступающую информацию о ходе реализации решения. Но это не решает всей проблемы.

Во-первых, потому что непосредственный участник событий оценивает их с элементами субъективизма. Мы оцениваем себя чаще всего не по фактическим результатам труда, а по напряжению усилий, которые для этого потребовались. Для руководителя же важна объективная оценка фактического состояния дел.

Во-вторых, руководителя интересует не столько объективная информация отдельных участков, сколько сравнительные данные о степени выполнения его решений в разных коллективах (подразделениях).

В-третьих, исполнительная и контрольная деятельности по своим целям, способам действий, мотивам, результатам и условиям принципиально отличаются и требуют различной профессиональной подготовки и опыта.

В-четвертых, руководителю в разное время требуется различная информация, для этого подчиненные должны обеспечить непрерывное и своевременное представление различной информации, что отрывает их от выполнения прямых обязанностей по выполнению решений.

В-пятых, руководителю необходимы личные впечатления, живая связь с исполнителем, кроме информации, какой бы объективной она не была.

В заключение этой главы отметим:

Объектом исследования данной курсовой работы является ООО «Шапчицы-Агро».

Организационная структура ОАО «Шапчицы-Агро» линейно - функциональная и представляет собой трехуровневую систему.

В организации применяется система поощрений и наказаний, ориентированная на исполнение управленческих решений.

Принятое решение оформляется в виде приказа или распоряжения.

Предприятию необходимо совершенствовать систему принятия и исполнения управленческих решений.

3. ПРЕДЛОЖЕНИЯ ПО СОВЕРШЕНСТВОВАНИЮ СИСТЕМЫ ИСПОЛНЕНИЯ УПРАВЛЕНЧЕСКИХ РЕШЕНИЙ НА ПРЕДПРИЯТИИ ООО «ШАПЧИЦЫ-АГРО»

управленческий контроль предприятие

Дифференцированный подход при применении поощрений не применяется. Что касается мер наказания, то они применяются гораздо чаще.

Все это свидетельствует о том, что в ООО «Шапчицы-Агро» управленческие решения принимаются единолично, а реализуются с помощью исключительно административных методов воздействия на работников. Данное обстоятельство, с одной стороны, приводит к существующим низким результатам основной деятельности, а с другой стороны позволяет модернизировать систему принятия и реализации управленческих решений.

Развитие систем управления организации предполагает анализ их ключевых бизнес - процессов на базе совершенствования математического и инструментального обеспечения многокритериальных процедур принятия управленческих решений.

Для ООО «Шапчицы-Агро» вопрос совершенствования системы реализации управленческих решений можно разбить на два направления:

совершенствование системы принятия управленческих решений;

совершенствование системы реализации управленческих решений.

По первому направлению в ООО «Шапчицы-Агро» имеется достаточно большое количество резервов совершенствования такой системы. Основным направлением совершенствования системы принятия решения является переход к коллективным формам его принятия, поскольку специалисты, подготавливающие исходную информацию для директора организации, обладают достаточным опытом и знаниями, чтобы выработать собственное мнение по конкретному вопросу. Данное мнение может оказаться полезным, если его выслушать и проанализировать.

Кроме того, в ООО «Шапчицы-Агро» отсутствует учет мнений трудового коллектива, в то время, как большинство рабочих в организации имеют большой опыт практической работы, однако этот опыт совсем не учитывается при принятии управленческих решений.

По второму направлению в ООО «Шапчицы-Агро» имеется также достаточно большое число направлений для работы:

в организации в части реализации принятых управленческих решений осуществляется централизованное планирование мероприятий. Однако, вряд ли целесообразно планировать все и за всех. Структурные подразделения, если им предоставить такую возможность, смогут осуществлять тактическое планирование значительно точнее и быстрее, поскольку на местах проще решить мелкие проблемы, которые при планировании не прослеживаются, а возникают по мере реализации принятого плана.

необходимо в большей степени использовать мотивационные факторы, оказывающие непосредственные влияние на качество работы персонала:

а) повышение зависимости заработной платы от результата работы, поскольку в настоящий момент такая зависимость прослеживается с трудом;

б) диверсификация прямой зависимости уровня доплат и премий от конечного результата работы, с использованием квалификации рабочих, поскольку в настоящее время используется принцип равного распределения дополнительного заработка. Данное направление можно выделить, как наиболее важное, т.к. зависимость дополнительного заработка от трудового вклада и квалификации должна работать постоянно, как основа повышения производительности труда, причем эта зависимость должна существовать не только для рабочих, но также и для управленческого персонала, включая директора. Следует рассмотреть возможность применения системы КТУ (коэффициента трудового участия);

в) использование дополнительных рычагов влияния на персонал: предоставление дополнительных отпусков, предоставление материальной помощи, а также помощи в приобретении жилья, путевок в места отдыха и т.п.;

г) предоставление части полномочий директора мастерам и бригадирам на местах, с тем, чтобы повысить их уровень ответственности за конечный результат.

следует меньше ориентироваться на применение санкций, как мер наказания за неисполнение, либо за несвоевременное либо неполное исполнение управленческих решений, т.к. не всегда невыполнение, ненадлежащее выполнение, либо несвоевременное выполнение является результатом чьей - либо халатности или недосмотра. Применение санкций оправдано при нарушениях трудовой дисциплины с целью ее повышения, но не для наказания за неисполнение каких - либо решений.

Во всяком случае, имеет смысл рассматривать каждый такой случай отдельно с применением методов служебного расследования для уточнения характера и степени вины каждого конкретного работника и если выявятся внешние причины неисполнения, либо стечение обстоятельств, которое данный работник не мог преодолеть самостоятельно, то он должен быть освобожден от санкций со стороны руководства организацией;

для того, чтобы обеспечить эффективность работы по исполнению управленческих решений следует обеспечить обратную связь между принимаемым решением и его исполнением в виде подведения итогов реализации каждого конкретного решения. Помимо воспитательной функции, такое подведение итогов будет способствовать нарабатыванию опыта в части обеспечения реализации управленческих решений. Кроме того, подведение итогов может служить основанием для применения мер поощрительного характера, что будет способствовать повышению ответственности коллектива в целом, особенно если такое повышение ответственности будет сопряжено с существенным материальным или нематериальным поощрением инициативы и качества работы.

Изменение системы реализации управленческих решений - это задача на достаточно длительный период, которая повлечет за собой коренные изменения системы управления предприятием в целом. Следовательно, все, что предложено выше не может быть реализовано единовременно. В данном направлении важна установка: если принять установку на изменение системы реализации управленческих решений, то, в таком случае, стоит разрабатывать план мероприятий по его реализации. Причем, такой план неизбежно будет включать пункты о замене некоторых специалистов, об изменении системы полномочий. Следовательно, когда речь идет о совершенствовании системы реализации управленческих решений, то это следует понимать как совершенствование системы управления предприятием.

В целом для ООО «Шапчицы-Агро» будет целесообразным некоторое изменение стиля и содержания руководства с передачей части полномочий руководства низшим звеньям. Более равномерное распределение полномочий будет способствовать более равномерному распределению и ответственности за реализацию принятых решений, особенно если таковые решения были приняты коллективно. Кроме того, изменение характера руководства будет способствовать улучшению взаимопонимания в коллективе, что, несомненно, скажется в лучшую сторону на экономических показателях работы организации.

В заключение данной главы сделаем несколько выводов:

Основным направлением совершенствования системы принятия решения является переход к коллективным формам его принятия, поскольку специалисты, подготавливающие исходную информацию для директора организации, обладают достаточным опытом и знаниями, чтобы выработать собственное мнение по конкретному вопросу.

В организации в части реализации принятых управленческих решений осуществляется централизованное планирование мероприятий.

Необходимо в большей степени использовать мотивационные факторы, оказывающие непосредственные влияние на качество работы персонала.

Изменение системы реализации управленческих решений - это задача на достаточно длительный период, которая повлечет за собой коренные изменения системы управления предприятием в целом.

ЗАКЛЮЧЕНИЕ

Решение - это выбор альтернативы. Необходимость принятия решений объясняется сознательным и целенаправленным характером человеческой деятельности, возникает на всех этапах процесса управления и составляет часть любой функции управления. Принятие решений (управленческих) в организациях имеет ряд отличий от выбора отдельного человека, так как является не индивидуальным, а групповым процессом. На характер принимаемых решений огромное влияние оказывает степень полноты и достоверности информации, которой располагает руководитель.

Необходимые организационные предпосылки для выполнения решения создаются уже в процессе его подготовки и принятия. В самом решении уже определяется, кто, что, когда, где, каким образом, и с какой целью должен выполнять. Вместе с тем, процесс организации выполнения принятых решений имеет свои особенности и требует особых методов реализации.

Система принятия решения в ООО «Шапчицы-Агро» является вертикальной: решение готовят главные специалисты: экономисты, бухгалтеры, инженеры. Их информация базируется на объективных данных, а также на квалифицированном мнении специалистов нижнего звена: мастеров, прорабов, бригадиров. Принятое решение оформляется в виде приказа или распоряжения.

В ООО «Шапчицы-Агро» управленческие решения принимаются единолично, а реализуются с помощью исключительно административных методов воздействия на работников.

Для ООО «Шапчицы-Агро» вопрос совершенствования системы реализации управленческих решений можно разбить на два направления:

совершенствование системы принятия управленческих решений;

совершенствование системы реализации управленческих решений.

В целом для ООО «Шапчицы-Агро» будет целесообразным некоторое изменение стиля и содержания руководства с передачей части полномочий руководства низшим звеньям. Более равномерное распределение полномочий будет способствовать более равномерному распределению и ответственности за реализацию принятых решений, особенно если таковые решения были приняты коллективно. Кроме того, изменение характера руководства будет способствовать улучшению взаимопонимания в коллективе, что, несомненно, скажется в лучшую сторону на экономических показателях работы организации.

СПИСОК ИСПОЛЬЗОВАННЫХ ИСТОЧНИКОВ

1.   Акулич И.Л., Принятие решений и проектирование систем управления. Рига., 2006. - 210 с.

2.      Ансофф И., Стратегическое управление. - М.: Экономика, 2008.

.        Ахутдинов Р.А., Разработка управленческого решения. М.2007.- 155 с.

.        Виханский О.С., Исследование и проектирование управленческих решений: Учебник для вузов - М.: Гардарика, 2007.

.        Гончаров В. И., Менеджмент предприятия. В 2 ч. Ч. 2. - Мн.: МИУ, 2006. - 256 с.

.        Гончаров В. И., Технология и инструменты эффективного управления предприятием. - Мн.: МИУ, 2006. - 160 с.

.        Евланов Л.Г., Теория и практика принятия решений. - М.: Экономика, 2007.

.        Кабушкин Н.И., Основы менеджмента. - М.: Новое знание, 2007. - 336 с.

.        Планкетт Л., Выработка и принятие управленческих решений. - М. 2008.

.        Рейлян Я.Р., Аналитическая основа принятия управленческих решений. - М.2009. - 240 с.

.        Цыгичко В.Н., Руководителю - о принятии решений. - М.: ИНФРА-М, 2006.

.        Чудновская С. Н., Разработка управленческих решений: Учебное пособие - Тюмень: Издательство Тюменского государственного университета, 2006.

.        Шапиро Д.И., Принятие решений в системе организационного управления - М.2006. - 180 с.

.        Эддоус М., Стенсфилд Р., Методы принятия решений / Пер. с англ., Под ред. И.И.Елисеевой. - М.: Банки и биржи, 2007.

.        Эддоус М., Стэнсфилд Р., Методы принятия решений. - М.: 2007.

.        Юкаева В.С., Управленческие решения: Учебное пособие. - М.: Издательский дом «Дашков и К», 2006.

ПРИЛОЖЕНИЕ 1

Численность движения работников на 2012 г.

Наименование показателей

Единица измерения

2011г.

2012г.

1.Численность работников на конец года - всего

чел.

105

125

В том числе: - рабочих

чел.

78

95

- служащих

чел.

27

30

Из них: - руководителей

чел.

16

18

-специалистов

чел.

11

12

-обслуживающий персонал

чел.

---

---

2.Дополнительная потребность в персонале - всего


5

25

В том числе: - рабочих

чел.

2

21

-служащих

чел.

3

4

Из них: -руководителей

чел.

3

3

- специалистов

чел.

--

1

- обслуживающего персонала

чел.

--


3.Высвобождение работников - всего

чел.

2

--

Из них по сокращению численности:

чел.

2


В том числе: - рабочие

чел.

--


-служащие

чел.

2


-обслуживающий персонал

чел.

--


4. Текучесть кадров

%



В том числе: - уволено по собственному желанию и соглашению сторон

15 чел.

13

12

- уволено за прогул и другие нарушения трудовой дисциплины

чел.

3


5. Численность работников - всего

чел.

105


В том числе: До 30 лет


25


31-40 лет


24


41-50лет


25


Старше 50 лет


31


Работающие пенсионеры


13


Имеют стаж работы (организация/отрасли) - до 3 лет


33


-от 3 до 5 лет


23


-от 6 до 10 лет


21


- свыше 10лет


28


6. Имеют образование

чел.



-высшее


17


-среднее специальное


20


-профессионально-техническое


26


- среднее


42


7. Молодых специалистов - всего

чел.

1

3

Из них после: - высшего учебного заведения


--

--

- средне - специального учебного заведения


--

2

-профессионально-технического учебного заведения


1

--

8. Заключен контракт на:

чел.



1 год


96


2 года


8


3 года


--


9. Продлен контракт на:

чел



Менее 1 года


--


1 год


8


2 года


--



ПРИЛОЖЕНИЕ 2

Анализ структуры прибыли организации и направления ее

№ пп

Наименование показателей


За отчетный период

За соответствующий период прошлого года









абсолютное значение, млн.руб.

удельный вес, %

абсолютное значение, млн.руб.

удельный вес, %

1

2


3

4

5

6

1

Прибыль (убыток) (Ф2стр.200)


-1 147

100,0

-102

100,0

1.1

прибыль (убыток) от реализации товаров, продукции, работ, услуг (Ф2 стр.070)


-874

76,2

-134

131,4

1.2

прибыль (убыток) от операционных доходов и расходов (Ф2 стр.120)

796

-69,4

9

-8,8

1.3

прибыль (убыток) от внереализационных доходов и расходов (Ф2 стр.160)

-1 069

93,2

23

-22,5

2

Налог на прибыль (Ф2 стр.250)

-

0,0

-

0,0

3

Прочие налоги, сборы из прибыли (Ф2 стр.260)

70

-6,1

66

-64,7

4

Прочие расходы и платежи из прибыли (Ф2 стр.270)

7

-0,6

-

0,0

5

Чистая прибыль (убыток) (Ф2 стр.300)


-1 224

106,7

-168

164,7

6

Отчисление в резервный фонд (Ф3 строка 020 и графа 4)

-

0,0

165

-161,8


Похожие работы на - Организация исполнения управленческих решений на предприятии

 

Не нашли материал для своей работы?
Поможем написать уникальную работу
Без плагиата!
Без нейросетей!