Зависимость объемов производства овощных консервов от валового сбора овощей, товарной продукции овощей, государственных закупок овощей и времени
Министерство
образования и науки Российской Федерации
Федеральное
государственное бюджетное образовательное учреждение
высшего
профессионального образования
«Российский
экономический университет имени Г.В. Плеханова»
Финансовый
факультет
Кафедра
математических методов и моделей
Контрольная
работа
по
дисциплине: «Эконометрика»
Вариант 20.
Москва -
2011
Изучается зависимость объемов производства
овощных консервов У от валового сбора овощей, товарной продукции овощей,
государственных закупок овощей и времени.
Табл.1.
|
год
|
Валовой
сбор овощей млн.т.
|
Товарная
продукция овощей млн.т.
|
Государственные
закупки овощей млн.т.
|
пр-во
овощных консервов, муб
|
Время
|
пр-во
консервов в предыдущем году
|
|
Х3
|
Х2
|
Х1
|
У
|
Х4
|
|
|
1953
|
11,4
|
5,1
|
2,5
|
615,9
|
1
|
570
|
|
1954
|
12,8
|
6
|
3
|
850
|
2
|
|
|
1955
|
14,1
|
6,9
|
3,9
|
961
|
3
|
|
|
1956
|
14,3
|
6,9
|
3,8
|
1022,3
|
4
|
|
|
1957
|
14,8
|
7
|
4
|
1137,5
|
5
|
|
|
1958
|
14,9
|
7,1
|
4,2
|
1279,2
|
6
|
|
|
1959
|
14,8
|
7,3
|
4,5
|
1372,3
|
7
|
|
|
1960
|
16,6
|
8
|
5,1
|
1724,7
|
8
|
|
|
1961
|
17
|
8,2
|
5,5
|
2095,5
|
9
|
|
|
1962
|
16
|
8,8
|
5,9
|
2152
|
10
|
|
|
1963
|
15,2
|
8,4
|
6,3
|
2232,1
|
11
|
|
|
1964
|
19,5
|
10,4
|
7,9
|
2942
|
12
|
|
|
1965
|
17,6
|
9,9
|
7
|
2600
|
13
|
|
|
1966
|
14
|
|
|
|
14
|
|
|
1967
|
15
|
|
|
|
15
|
|
|
1968
|
16
|
|
|
|
16
|
|
Задание:
1. Заполнить пропуски в таблице данных;
. Отобрать факторы в регрессивную модель
и выбрать форму модели;
. По МНК оценить коэффициенты линейной
регрессии и построить регрессионную модель y
=b0+b1x1+b2x2+ε;
. Проверить выполнение предпосылок МНК;
. Оценить качество и надежность
построенной модели;
. Провести экономическую интерпретацию
результатов моделирования;
. Спрогнозировать значение объясняемой
переменной Упрогн.
регрессия детерминация
автокорреляция
.
Заполнить пропуски в таблице данных
Производство овощных консервов зависит от
валового сбора овощей, товарной продукции, государственных закупок и времени.
Фактор времени приобретает значение от 1 до 16.
Пропуски в динамических рядах заполним,
используя методы интерполяции и экстраполяции.
Табл.2.
|
год
|
Валовой
сбор овощей млн.т., Х3
|
Товарная
продукция овощей млн.т., Х2
|
Государственные
закупки овощей млн.т., Х1
|
пр-во
овощных консервов, муб, У
|
Время,
Х4
|
пр-во
консервов в предыдущем году
|
|
1953
|
11,4
|
5,1
|
2,5
|
615,9
|
1
|
570
|
|
1954
|
12,8
|
6
|
3
|
850
|
2
|
|
|
1955
|
14,1
|
6,9
|
3,9
|
961
|
3
|
|
|
1956
|
14,3
|
6,9
|
3,8
|
1022,3
|
4
|
|
|
1957
|
14,8
|
7
|
4
|
1137,5
|
5
|
|
|
1958
|
14,9
|
7,1
|
4,2
|
1279,2
|
6
|
|
|
1959
|
14,8
|
7,3
|
4,5
|
1372,3
|
7
|
|
|
1960
|
16,6
|
8
|
5,1
|
1724,7
|
8
|
|
|
1961
|
17
|
8,2
|
5,5
|
2095,5
|
9
|
|
|
1962
|
16
|
8,8
|
5,9
|
2152
|
10
|
|
|
1963
|
15,2
|
8,4
|
6,3
|
2232,1
|
11
|
|
|
1964
|
19,5
|
10,4
|
7,9
|
2942
|
12
|
|
|
1965
|
17,6
|
9,9
|
7
|
2600
|
13
|
|
|
1966
|
14
|
8,9
|
5,3
|
1954
|
14
|
|
|
1967
|
15
|
9,2
|
5,8
|
2144
|
15
|
|
|
1968
|
16
|
9,5
|
6,3
|
2334
|
16
|
|
.
Отобрать факторы в регрессионную модель и выбрать форму модели
Установка продолжительности отчетных
динамических рядов дает возможность определить число факторов, подлежащих
включению в модель. На каждый фактор модели должно приходиться не менее 5 точек
наблюдения, тогда влияние факторов на результирующий показатель можно назвать
неслучайным.
В нашем случае продолжительность рядов
составляет 16 точек наблюдений (т.е. 16 лет) и мы можем взять не более 3
факторов, которые можно включить в модель.
На основе коэффициента парной корреляции
рассчитаем взаимозависимости между зависимой (У) и переменными (х1,
х2, х3, х4), а также переменных между собой.
Результаты расчетов представлены в таблице 3.
Табл.3.
|
|
Y
|
X1
|
X2
|
X3
|
x4
|
|
Y
|
1
|
0,988729
|
0,969317
|
0,846825
|
0,889863
|
|
X1
|
|
1
|
0,971383
|
0,877547
|
0,858587
|
|
X2
|
|
|
1
|
0,832044
|
0,92089
|
|
X3
|
|
|
|
1
|
0,602934
|
|
x4
|
|
|
|
|
1
|
В модель можно выбрать 3 фактора. Так как
коэффициент парной корреляции между факторами х3 и х4 минимален, то включаем их
в модель.
Максимально возможное число факторов модели
равно 3, однако, добавление любого из оставшихся факторов невозможно, в связи с
их сильной взаимозависимостью.
. По МНК оценить коэффициенты линейной
регрессии bi,
i=0,1,2 и построить
регрессионную модель y
=b0+b1x1+b2x2+ε
Для определения оценок b0,
b1,
b2
воспользуемся матричным МНК. Представим данные наблюдений и коэффициенты в
матричном виде. Тогда вектор оценок коэффициентов регрессии найдем по формуле
В = (Хт Х)-1 Хт У
Следовательно коэффициенты регрессии следующие:
b0
= - 1702;
b1
= 175,62;
b2
= 86,79.
Уравнение регрессии имеет вид:
У = -1702 + 175,62*Х1 + 86,79*Х2
, где
Х1 - валовой сбор овощей
Х2 - время
. Проверка выполнения предпосылок МНК
Применение МНК для получения оценок параметров
предполагает выполнение следующих предпосылок:
. Уравнение должно быть линейно
относительно параметров;
. Отсутствует статистическая линейная
зависимость между параметрами х;
. Переменные хi
наблюдаются без ошибок;
. Математическое ожидание случайных
отклонений ui
= 0;
Табл.4.
|
y
|
ŷ
|
y-ŷ
|
|
615,9
|
386,62
|
229,28
|
|
850
|
719,24
|
130,76
|
|
961
|
1034,3
|
-73,3
|
|
1022,3
|
1156,2
|
-133,9
|
|
1137,5
|
1330,78
|
-193,28
|
|
1279,2
|
1435,12
|
-155,92
|
|
1372,3
|
1504,34
|
-132,04
|
|
1724,7
|
1907,22
|
-182,52
|
2064,2
|
31,3
|
|
2152
|
1975,4
|
176,6
|
|
2232,1
|
1921,7
|
310,4
|
|
2942
|
2763,56
|
178,44
|
|
2600
|
2516,7
|
83,3
|
|
1954
|
1971,32
|
-17,32
|
|
2144
|
2233,7
|
-89,7
|
|
2334
|
2496,08
|
-162,08
|
|
|
Sui
= 0,0
|
5. Отклонение ui
имеет постоянную по времени дисперсию (гомоскедастичность) и не
автокоррелированы.
. Распределение ui
не
зависит от х, если х - случайные переменные.
. Случайные отклонения подчинены
нормальному закону распределения.
Тест на гомоскедастичность
Одной из предпосылок является предположение о
постоянстве дисперсий случайных отклонений во времени (гомоскедастичность). Для
проверки гипотезы о присутствии гомоскедастичности проводится тест ранговой
корреляции Спирмена.
Выдвигается нулевая гипотеза об отсутствии
гетероскедостичности случайного члена и рассчитывается коэффициент r
по формуле:
Табл.5.
|
y
|
x3
|
ранг
х
|
u
|
ранг
u
|
Di
|
Di2
|
|
615,9
|
11,4
|
1
|
229,28
|
15
|
-14
|
196
|
|
850
|
12,8
|
2
|
130,76
|
12
|
-10
|
100
|
|
961
|
14,1
|
4
|
-73,3
|
8
|
-4
|
16
|
|
1022,3
|
14,3
|
5
|
-133,9
|
5
|
0
|
0
|
|
1137,5
|
14,8
|
6
|
-193,28
|
1
|
5
|
25
|
|
1279,2
|
14,9
|
8
|
-155,92
|
4
|
4
|
16
|
|
1372,3
|
14,8
|
6
|
-132,04
|
6
|
0
|
0
|
|
1724,7
|
16,6
|
13
|
-182,52
|
2
|
11
|
121
|
|
2095,5
|
17
|
14
|
31,3
|
10
|
4
|
16
|
|
2152
|
16
|
11
|
176,6
|
13
|
-2
|
4
|
|
2232,1
|
15,2
|
10
|
310,4
|
16
|
-6
|
36
|
|
2942
|
19,5
|
16
|
178,44
|
14
|
2
|
4
|
|
2600
|
17,6
|
15
|
83,3
|
11
|
4
|
16
|
|
1954
|
14
|
3
|
-17,32
|
9
|
-6
|
36
|
|
2144
|
15
|
9
|
-89,7
|
7
|
2
|
4
|
|
2334
|
16
|
11
|
-162,08
|
3
|
8
|
64
|
|
|
|
|
|
SDi2
= 654
|
Тогда Р=1-(6*654)/(16*255)=0.03.
Если r
≥ tтабл., то
гипотеза об отсутствии гетероскедастичности отклоняется. Так как r
= 0,116 < tтабл. = 0,425,
то гипотеза об отсутствии гетероскедастичности не отклоняется.
Тест на наличие автокорреляции
Для проверки наличия автокорреляции
проводится тест Дарбина-Уотсона, который устанавливает наличие или отсутствие
статистической зависимости между ошибками ui . т.е.
проверяется некоррелированность соседних значений ui.
Формула:
DW=2,78
Табл.6.
|
ui
|
ui
- ui-1
|
(ui
- ui-1)2
|
ui
* ui-1
|
|
229,28
|
|
|
|
|
130,76
|
-98,52
|
9706,19
|
29980,65
|
|
-73,3
|
-204,06
|
41640,48
|
-9584,71
|
|
-133,9
|
-60,6
|
3672,36
|
9814,87
|
|
-193,28
|
-59,38
|
3525,984
|
25880,19
|
|
-155,92
|
37,36
|
1395,77
|
30136,22
|
|
-132,04
|
23,88
|
570,2544
|
20587,68
|
|
-182,52
|
-50,48
|
2548,23
|
24099,94
|
|
31,3
|
213,82
|
45718,99
|
-5712,88
|
|
176,6
|
145,3
|
21112,09
|
5527,58
|
|
310,4
|
133,8
|
17902,44
|
54816,64
|
|
178,44
|
-131,96
|
17413,44
|
55387,78
|
|
83,3
|
-95,14
|
9051,62
|
14864,05
|
|
-17,32
|
-100,62
|
10124,38
|
-1442,76
|
|
-89,7
|
-72,38
|
5238,864
|
1553,604
|
|
-162,08
|
-72,38
|
5238,864
|
14538,58
|
По
таблице Дарбина-Уотсона найдем критические точки. Тогда d1=0,73; d2=1,2.1
< DW и d2 < DW < 4 - d2, следовательно
0,73<2,78 и 1,2< 2,78 < 2,8
Следовательно,
имеются основания считать, что автокорреляция отсутствует. Это является одним
из подтверждений высокого качества модели.
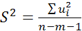
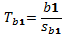
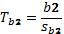
. Оценить
качество и надежность построенной модели
Оценить
статистическую значимость найденных эмпирических коэффициентов регрессии.
Данная
оценка заключается в проверке нулевой гипотезы Н0 о значимости
отличия коэффициентов b2, b1 и b0 от нуля с
использованием критерия Стьюдента.
Для
этого вычислим значения

Исходя из предыдущих вычислений b2 = 86,79, b1 = 175,62
и b0 = -
1702
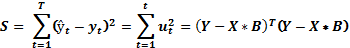
Найдем остаточную сумму квадратов по
формуле:
|
y
|
ŷ
|
y-ŷ
|
(y-ŷ)2
|
|
615,9
|
386,62
|
229,28
|
52569,32
|
|
850
|
719,24
|
130,76
|
17098,18
|
|
961
|
1034,3
|
-73,3
|
5372,89
|
|
1022,3
|
1156,2
|
-133,9
|
17929,21
|
|
1137,5
|
1330,78
|
-193,28
|
37357,16
|
|
1279,2
|
1435,12
|
-155,92
|
24311,05
|
|
1372,3
|
1504,34
|
-132,04
|
17434,56
|
|
1724,7
|
1907,22
|
-182,52
|
33313,55
|
|
2095,5
|
2064,2
|
31,3
|
979,69
|
|
2152
|
1975,4
|
176,6
|
31187,56
|
|
2232,1
|
1921,7
|
310,4
|
96348,16
|
|
2942
|
2763,56
|
178,44
|
31840,83
|
|
2600
|
2516,7
|
83,3
|
6938,89
|
|
1954
|
1971,32
|
-17,32
|
299,9824
|
|
2144
|
2233,7
|
-89,7
|
8046,09
|
|
2334
|
2496,08
|
-162,08
|
26269,93
|
|
|
∑ui=0
|
∑
ui2 = 407297
|
Для графической иллюстрации приближения
корреляционной функции ŷ и выборочных данных yi
воспользуемся
графической интерпретацией результатов:
Дисперсию регрессии найдем по формуле:

= 
= 31330,54
Проверим статистическую значимость
коэффициентов регрессии, предварительно рассчитав 
, где zjj - j-й
диагональный элемент матрицы Z1 = (ХТ*Х)-1
, тогда

=31330,54*5,222=163608,08; 

=31330,54*0,028=877,26; 

=31330,54*0,005=156,66; 
Вычислим значения:

= -1702/404,49 = 4,21

= 175,62/29,62 = 5,93

= 86,79/12,52 = 6,94
Ттабл.= 2,145
Тb0> tтабл
Тb1> tтабл
Тb2> tтабл
Статистическая значимость
коэффициентов b0, b1 и b2 регрессии
подтверждается.
Построить доверительные интервалы
для найденных коэффициентов.
Найдем интервальные оценки
параметров 
, 
и 
при уровне
значимости α = 0,01,
Использую следующую формулу:
Зная уровень значимости α = 0,01 и
число степеней свободы k=13, по таблице Стьюдента 
.
Интервальные оценки параметра 
:

= -2569,64
-834,36
Интервальные оценки параметра 
:

= 112,08
239,16
Интервальные оценки параметра 
:

= 59,93
113,65
Вычислить коэффициент детерминации R2 и оценить
его статистическую значимость.
Для проверки общего качества
уравнения регрессии используется коэффициент детерминации R2:
Проанализировать статистическую значимость
коэффициента детерминации. Для этого проверим гипотезы Н0: R2
=
0; H1:
R2 >
0. Для проверки используем распределение Фишера. Вычислим F-статистику.
|
y
|
ŷ
|
ŷ-y
|
(ŷ-y)2
|
yi-yср
|
(yi-yср)2
|
|
615,9
|
386,62
|
-229,28
|
52569,32
|
1204794
|
|
850
|
719,24
|
-130,76
|
17098,18
|
-863,531
|
745686,2
|
|
961
|
1034,3
|
73,3
|
5372,89
|
-752,531
|
566303,3
|
|
1022,3
|
1156,2
|
133,9
|
17929,21
|
-691,231
|
477800,6
|
|
1137,5
|
1330,78
|
193,28
|
37357,16
|
-576,031
|
331812
|
|
1279,2
|
1435,12
|
155,92
|
24311,05
|
-434,331
|
188643,6
|
|
1372,3
|
1504,34
|
132,04
|
17434,56
|
-341,231
|
116438,8
|
|
1724,7
|
1907,22
|
182,52
|
33313,55
|
11,16875
|
124,741
|
|
2095,5
|
2064,2
|
-31,3
|
979,69
|
381,9688
|
145900,1
|
|
2152
|
1975,4
|
-176,6
|
31187,56
|
438,4688
|
192254,8
|
|
2232,1
|
1921,7
|
-310,4
|
96348,16
|
518,5688
|
268913,5
|
|
2942
|
2763,56
|
-178,44
|
31840,83
|
1228,469
|
1509135
|
|
2600
|
2516,7
|
-83,3
|
6938,89
|
886,4688
|
785826,8
|
|
1954
|
1971,32
|
17,32
|
299,9824
|
240,4688
|
57825,22
|
|
2144
|
2233,7
|
89,7
|
8046,09
|
430,4688
|
185303,3
|
|
2334
|
2496,08
|
162,08
|
26269,93
|
620,4688
|
384981,5
|
|
yср=1713,531
|
|
|
S=407297
|
|
S=7161745
|
При уровне значимости α=0,05
по таблице критических точек Фишера найдем fкр=19,42.
Так как F=101.86
> fкр=19,42,
то R2 статистически
значим.
В множественной регрессии каждая новая
переменная xi
приводит к увеличению R2
,
хотя это не означает, что уравнение регрессии становится более значимым. Чтобы
исключить зависимость от числа переменных, используют скорректированный
коэффициент детерминации:

2=
=1 - 0,06*1,16=1 - 0,07=0,93
На основе проведенных вычислений
можно сделать вывод, что поостренное уравнение регрессии объясняет 94% разброса
зависимой переменной. Рассчитанный для исключения зависимости R2 от числа
переменных скорректированный коэффициент детерминации меньше коэффициента
детерминации.
6. Экономическая интерпретация результатов
моделирования
Коэффициент эластичности показывает, на сколько
изменится У, при изменении Х на 1%.
Формула:

Тогда влияние переменных х1
и х2 найдем по формуле:

Т.о. при увеличение валового сбора овощей (х1)
на 1% производство овощных консервов увеличивается на 157%, а при увеличении х2
(времени) на 1% производство овощных консервов увеличивается на 43%.
.
Прогнозирование
Овощи - необходимый компонент рациона питания
многих людей. Для удобства и простоты потребления производятся овощные
консервы, спрос на которые с каждым годом растет. Мы это можем наблюдать из
статистических данных в таблице. Следовательно, можно предположить, что в
перспективе на 5-6 лет объемы производства сохранят свою тенденцию к
увеличению.
|
год
|
пр-во
овощных консервов, муб
|
Валовый
сбор овощей млн.т.
|
время
|
Модель
|
|
1953
|
615,9
|
11,4
|
1
|
386,858
|
|
1954
|
850
|
12,8
|
2
|
719,516
|
|
1955
|
961
|
14,1
|
3
|
1034,612
|
|
1956
|
1022,3
|
14,3
|
4
|
1156,526
|
|
1957
|
1137,5
|
14,8
|
5
|
1331,126
|
|
1958
|
1279,2
|
14,9
|
6
|
1435,478
|
|
1959
|
1372,3
|
14,8
|
7
|
1504,706
|
|
1960
|
1724,7
|
16,6
|
8
|
1907,612
|
|
1961
|
2095,5
|
17
|
9
|
2064,65
|
|
1962
|
2152
|
16
|
10
|
1975,82
|
|
1963
|
2232,1
|
15,2
|
11
|
1922,114
|
|
1964
|
2942
|
19,5
|
12
|
2764,07
|
|
1965
|
2600
|
17,6
|
13
|
2517,182
|
|
1966
|
1954
|
14
|
14
|
1971,74
|
|
1967
|
2144
|
15
|
15
|
2234,15
|
|
1968
|
2334
|
16
|
16
|
2496,56
|
|
1969
|
2812,97
|
17,31
|
17
|
2812,973
|
|
1970
|
2888,68
|
17,24
|
18
|
2888,677
|
|
1971
|
2972,55
|
17,23
|
19
|
2972,553
|
|
1972
|
3070,43
|
17,29
|
20
|
3070,433
|
|
1973
|
3162,62
|
17,32
|
21
|
3162,622
|