Виробництво як об’єкт моделювання

  • Вид работы:
    Реферат
  • Предмет:
    Менеджмент
  • Язык:
    Украинский
    ,
    Формат файла:
    MS Word
    52,97 Кб
  • Опубликовано:
    2014-08-19
Вы можете узнать стоимость помощи в написании студенческой работы.
Помощь в написании работы, которую точно примут!

Виробництво як об’єкт моделювання

Зміст


. Виробництво як об’єкт моделювання

. Виробнича функція Кобба-Дугласа

Список використаних джерел

1. Виробництво як об’єкт моделювання

 

Виробництвом називають будь-яку діяльність щодо використання природних ресурсів, у тому числі й ресурсів самої людини, для отримання як відчутних на дотик, так і невідчутних ("нематеріальних") благ. Звісно, між різними видами виробництва благ чимало "технологічних" відмінностей. Загалом виробництво - це процес перетворення (трансформації) одних благ в інші блага. Під трансформацією розуміють:

) зміну структури благ;

) рух благ у просторі;

3) рух благ у часі.

Виробничі послуги праці, капіталу і природних ресурсів роблять їх факторами виробництва. Технологія - це особливий спосіб поєднання факторів виробництва. Технологія не стоїть на місці, а постійно розвивається, вдосконалюється. Це зумовлено двома причинами. По-перше, науковими відкриттями, які дають змогу створювати нові, більш продуктивні машини, устаткування та інструменти; більш розумно застосовувати старі механізми; економити різного виду сировину та матеріали. По-друге, неухильним підвищенням освітнього рівня населення.

Відношення між певною комбінацією економічних ресурсів (факторів виробництва) і максимально можливим обсягом продукції називають виробничою функцією. Вона характеризує суто технічну залежність між кількістю застосовуваних ресурсів і обсягом продукції за одиницю часу (день, місяць, рік). Виробнича функція описує множину технічно ефективних варіантів виробництва.

У теорії виробництва традиційно використовують двофакторну виробничу функцію виду:

 

Q=f(L,K),

яка характеризує залежність між максимально можливим обсягом випуску (Q), наявними кількостями застосовуваних ресурсів праці (L,) і капіталу (K). Відсутність серед ресурсів матеріалів пояснюється не тільки зручністю графічного зображення у двовимірному просторі, а й тим, що питома вага витрат матеріалів у багатьох випадках незначною мірою залежить від обсягу випуску. Ресурси L і К, а також випуск Q розглядаються як потік, тобто в одиницях використання (випуску) за одиницю часу.

Графічно кожний варіант виробництва може бути представлений точкою, координати якої характеризують мінімально необхідні для виробництва даного обсягу випуску кількості ресурсів L і К. За певної технології відбувається певне поєднання цих ресурсів. Виробнича функція тоді матиме вигляд лінії однакового випуску, або ізокванти (від грецьк. "ізо" - однаковий, рівний, "кванта" - кількість, обсяг). Ізокванта - це крива, на якій зображена нескінченна множина комбінацій величин обох факторів виробництва, здатних виробити однаковий максимальний обсяг продукції. Карта ізоквант - це набір ізоквант. Кожна iзокванта виражає свою, притаманну тільки їй максимальну величину загального продукту, яку підприємство може виробити, використовуючи нескінченні комбінації величин виробничих ресурсів. Карта ізоквант є альтернативним методом опису виробничої функції.

Ізокванти певною мірою, принаймні зовні, аналогічні кривим байдужості, якими ми користувалися при вивчені теорії споживчого вибору. На відміну від кривих байдужості кожна iзокванта характеризує певний обсяг випуску. Чим далі від початку координат розташована iзокванта, тим більший обсяг випуску вона представляє (графік 1).

На графіку наведено три ізокванти, які відповідають випуску 100, 200 і 300 одиниць продукції, отже, ми можемо сказати, що для випуску 200 одиниць продукції необхідно або Κι одиниць капіталу і L1 одиниць праці, або К2 одиниць капіталу і L2 одиниць праці, або якась інша їх комбінація з множини, що представлена ізоквантою Q2 = 200.


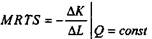
Кожна ізокванта виражена кривою з від'ємним (спадним) нахилом. Нахил ізоквант характеризує граничну норму технічного заміщення (MRTS; marginal rate of technical substitution - англ.) одного фактора іншим за незмінної величини кінцевого продукту і певної технології.


або для неперервного випадку


Гранична норма технічного заміщення одного фактора виробництва іншим вимірює ту кількість одного з факторів, яка може бути замінена одиницею величини іншого фактора, коли загальний обсяг виробництва залишається постійним.

Оскільки співвідношення двох змінних - це відносна величина, гранична норма технічного заміщення або заміщення капіталу робочою силою, або робочої сили капіталом повинна бути позитивною (в математиці, як ви знаєте, два мінуси дають плюс) (MRTS > 0).

Ізокванти (як і криві байдужості) можуть мати різну конфігурацію. Лінійна ізокванта (графік 2А) припускає досконалу замінність виробничих ресурсів, отже, даний випуск може бути отриманий або тільки за допомогою праці, або тільки капіталу, або з використанням різних комбінацій певного ресурсу за постійної норми їх заміщення. Ізокванта, зображена на графіку 6.2Б, характерна для випадку жорсткої доповненості ресурсів. Відомий лише один метод виробництва даного продукту: праця і капітал комбінуються в єдино можливому співвідношенні, гранична норма заміщення дорівнює нулю. Цю ізокванту іноді називають ізоквантою леонтьєвського типу, за іменем В.В. Леонтьєва, який поклав цей тип ізокванти в основу розробленого ним методу "затрати-випуск".

На графіку 2В показана ламана ізокванта, яка припускає наявність лише декількох методів виробництва (Р). При цьому гранична норма технічної заміщення при русі вздовж такої ізокванти згори донизу праворуч спадає. Ізокванта подібної конфігурації використовується в лінійному програмуванні. Нарешті, на графіку 6.2Г показана ізокванта, яка припускає можливість неперервного, але недосконалого заміщення ресурсів у певних межах, за якими заміщення одного фактора іншим технічно неможливе (або неефективне).


Ламана ізокванта найбільш реалістично демонструє виробничі можливості більшості сучасних виробництв. Однак традиційна економічна теорія звичайно оперує гладкими ізоквантами, що подібні до ізоквант на графіку 6.2Г, оскільки їх аналіз не вимагає застосування складних математичних методів. На графіку різні набори (K1, L1) та (К2, L2) ресурсів, що належать одній і тій же ізокванті Q1 дають один і гой же обсяг випуску. Куту нахилу ізокванти відповідає норма технічного заміщення одного ресурсу іншим

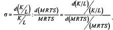
Гранична норма технічного заміщення має той недолік, що вона залежить від одиниць, в яких вимірюються обсяги ресурсів, що застосовуються. Цього недоліку не має показник еластичності заміщення. Він показує, на скільки відсотків повинно змінитися відношення між кількостями ресурсів, щоб гранична норма заміщення змінилася на 1%. Еластичність заміщення (σ) визначається як відсоткова зміна в граничній нормі технічного заміщення:


Показник еластичності заміщення не залежить від одиниць, з яких вимірюються L і К, оскільки і чисельник, і знаменник правої частини представлені відносними величинами.

Ще однією характеристикою виробничої функції є інтенсивність застосування різних ресурсів у певному виробничому процесі. Зона визначається нахилом лінії, проведеної з початку координат до точки на ізокванті, яка нас цікавить (графік 6.).


На графіку 3 виробничий варіант Р 1 більш капіталоінтенсивний, ніж Р2. Вочевидь, тут  Верхня частина ізокванти відображає капіталпіталоінтенсивні, а нижня - працеінтенсивні виробничі методи. Залежно від заданого проміжку часу окремі економічні фактори та технологія їх використання мають властивість змінюватися. Часовий фактор відіграє провідну роль у розумінні виробництва із застосуванням виробничої функції. Причому час, про який буде йти мова, - не календарний, а економічний.

Виробництво в короткому періоді

В економічній теорії розрізняють переважно три періоди: миттєвий, короткий і довгий (тривалий) періоди.

Під миттєвим періодом розуміють такий часовий відрізок, за якого всі незалежні величини, що визначають максимальний обсяг виробництва, є постійними, незмінними. Звідси - в миттєвому проміжку часу і максимальний обсяг виробництва також постійний. У межах цього періоду розширення виробництва неможливе.

Короткий період характеризується як час, протягом якого хоча б один незалежний фактор виробництва постійний, а інші фактори виробництва - змінні. В короткому періоді можна збільшити обсяг застосування лише змінного ресурсу. В цьому випадку змінюються пропорції, в яких застосовуються виробничі ресурси. Розширення виробництва в короткому періоді досліджується за допомогою поняття спадної віддачі (спадної продуктивності) змінного ресурсу, або закону змінних пропорцій.

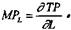
Вплив цієї зміни пропорцій на зростання випуску зручно досліджувати за допомогою понять середнього (АР; average product - англ.) та граничного (МР; marginal product - англ.) продукту змінного ресурсу. Називатимемо розмір випуску загальним продуктом (ТР; total productангл.).

Загальний продукт - це певна максимальна величина в натуральному виразі продукту, виробленого певною величиною змінного фактора, який використовує постійний фактор виробництва за умови незмінності технологічного процесу.

Середній продукт змінного фактора - це частка від ділення загального продукту на кількість змінного фактора (за фіксованої кількості постійного ресурсу):


Середній продукт вимірює продуктивність змінного фактора.

Граничним продуктом змінного ресурсу називають зміну величини загального продукту внаслідок зміни одиниці змінного фактора, що використовується у виробництві. Він визначається як часткова похідна загального продукту по даному ресурсу:


Зростання випуску в короткому періоді найкраще аналізувати за допомогою кривої загального продукту (ТР), яка характеризує залежність випуску від кількостей змінного ресурсу, коли інші залишаються постійними. Зобразимо криву ТР (графік 6.4 верхній).


Конфігурація отриманої кривої загального продукту характеризує його величину за змінюваної кількості змінного фактора (L) і фіксованої кількості постійного (К), тобто зростання випуску в короткому періоді.

На графіку крива ТР виходить з початку координат. Але це не обов'язково. На ділянці землі можна отримати урожай, і не застосовуючи добрив. У такому разі (якщо добрива розглядати як змінний ресурс) крива TР почнеться трохи вище від початку координат. З іншого боку, 2-3 робітники не зможуть забезпечити виплавки чавуну в доменній печі. В цьому випадку крива ТР почнеться дещо правіше від початку координат.

При даній кривій загального продукту можна побудувати криві середнього і граничного продукту змінного ресурсу (графік 4 нижня частина).

Графічно величина граничного продукту визначається тангенсом кута нахилу дотичної до кривої загального продукту в точці, що відповідає певному його обсягу; величина середнього продукту -тангенсом кута нахилу лінії, що виходить з початку координат до тієї ж точки.

У принципі граничний продукт змінного ресурсу може бути позитивним, нульовим і від'ємним. Однак економічна теорія концентрує увагу на ефективній частині виробничої функції, тобто на тій частині кривої ТР, для якої граничний продукт даного ресурсу позитивний. Раціональний підприємець не буде збільшувати обсяг застосування змінного ресурсу вище L4, оскільки це зумовить скорочення величини ТР (праворуч від точки а' MPL < 0).

Крім того, виділяють ту частину кривої ТР, якій відповідає позитивна, але спадна величина граничного продукту, причому MPL > APL. При цьому максимум граничного продукту досягається за обсягом застосування змінного ресурсу L2, а максимум середнього продукту - за обсягом застосування змінного ресурсу L3, коли середній продукт дорівнює граничному (АРL = MPL), тобто в точці а'3. У верхній частині графіка точці а'3 відповідає точка а 3, в якій дотична до кривої ТР збігається з лінією, що виходить з початку координат. А це означає, що за обсягу випуску TP3 граничний і середній продукти змінного фактора рівні. На II стадії зростання загального продукту граничний продукт стає меншим від середнього продукту змінного ресурсу (MPL<APL). Нарешті, на III стадії граничний продукт став від'ємним (MPL < 0) і, хоча APL > О, загальний обсяг випуску правіше точки а 4 (верхня частина графіка 6.4) при збільшенні обсягу змінного ресурсу вище L4 скорочується.

На II стадії виконуються, таким чином, умови


або інакше


тобто граничний продукт ресурсу L позитивний, а його крива має від'ємний нахил.

Тому раціональний підприємець, а водночас і економіст, не затримуються на І стадії виробництва, де APL < MPL, - адже залучення кожної додаткової одиниці змінного ресурсу збільшує загальний продукт. Він завжди намагається перебувати і залишатися на II стадії, де залучення додаткової одиниці змінного ресурсу обіцяє хоча й спадний, але позитивний приріст випуску.

Отже, кількість змінного ресурсу, що використовується раціональним підприємцем, знаходитиметься в інтервалі із L3 -L4 а обсяг випуску - в інтервалі ТР3 - ТРтск. Обсяги застосування змінного ресурсу, за яких досягається максимум середнього продукту (L3), і нульовий граничний продукт часто називають відповідно екстенсивною і інтенсивною межею використання фіксованої кількості постійного ресурсу. Наприклад, інтенсивність використання ділянки землі можна збільшувати до тих пір, поки граничний продукт змінного ресурсу (праці або добрив) не знизиться, до нуля. Якщо ж праця або добрива будуть застосовуватися в меншому обсязі, можемо говорити про екстенсивне використання земельної ділянки. Межею такого використання буде точка, яка відповідає максимальному середньому продукту праці або добрив.

Таким чином, для підприємства, що орієнтується на максимі-зацію прибутку, вибір обсягів виробництва обмежений екстенсивною (APL = max) та інтенсивною (MPL = 0) межею використання змінного ресурсу.

Виникає ще одне запитання: чим визначається S-подібна форма кривої ΤΡ? Крива загального продукту зобов'язана своїй S-подібній формі припущенню про безпосередній перехід від зростаючої віддачі змінного ресурсу до спадної після досягнення деякого критичного обсягу його (ресурсу L) застосування.

Розглянутий причинно-наслідковий зв'язок між різними незалежними і залежними факторами, що утворюють виробничу функцію, коли один виробничий фактор постійний, виражається в законі спадної граничної продуктивності. Цей закон може застосовуватися тільки для короткого періоду часу.

Закон спадної граничної продуктивності полягає в тому, що із збільшенням використання одного фактора, в той час як інші залишаються постійними, граничний продукт змінного фактора зменшується. Закон зменшення граничної продуктивності показує, що граничний продукт змінного фактора за інших незмінних факторів виробництва через певний час починає знижуватися.

Твердження закону досить переконливі й очевидні. Припустимо, що закон не виконується. Це повинно було б означати, наприклад, що кількість працівників, зайнятих на одному гектарі землі, могла б зростати до нескінченності. Якщо граничний продукт не зменшується, то додаткові працівники сприятимуть збільшенню випуску продукції пропорційно зростанню їх кількості. Звідси висновок: можливо виробляти продовольство для населення всього світу на одному гектарі землі. Це, певна річ, хибне твердження.

Виробництво в довгостроковому періоді

У довгостроковому періоді всі ресурси змінюються, тобто зростання випуску можливе за рахунок збільшення використання всіх виробничих ресурсів. Це і є зміна масштабу виробництва.

Припустимо, що співвідношення між випуском і застосовуваними ресурсами описується виробничою функцією

Qo = f(K,L).

Якщо збільшити обсяги ресурсів (масштаб виробництва) в λ раз, то новий обсяг випуску становитиме

Q1 =.f(λK,λL).

 

Введемо ще одну характеристику виробничої функції- однорідність. Виробнича функція називається однорідною, якщо із збільшенням кількості всіх виробничих ресурсів в λ разів випуск збільшується в λε разів, тобто

 

λεQ0(K,L) = Q1(λK,λL).

Показник ε характеризує ступінь однорідності функції. Якщо ж ця рівність не виконується для даної виробничої функції, то таку виробничу функцію називають неоднорідною.

Базуючись на вищеназваних передумовах і продовжуючи припускати незмінність технології, можна виділити три варіанти зв'язку між застосовуваними ресурсами і загальним продуктом або три варіанти (типи) ефекту (віддачі) від масштабу.

Якщо ε = 1, то віддача від масштабу постійна, а виробничу функцію в цьому випадку звичайно називають лінійною однорідною.

Якщо ε < 1, має місце спадна віддача від масштабу.

Якщо ε > 1, - зростаюча віддача від масштабу.

Що являє собою коефіцієнт λ? Він показує результат впливу на випуск пропорційної зміни обох факторів, який називають віддачею

від масштабу. Показник ε є характеристикою віддачі від масштабу і

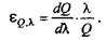
називається еластичністю випуску від масштабу - εQλ. Він показує, на скільки відсотків зміниться випуск, якщо темп зростання обсягів використання обох факторів збільшується на один відсоток:


Згідно з теоремою Вікселя-Джонсона еластичність від масштабу дорівнює сумі еластичностей випуску від використовуваних факторів:

εQ,λ = εQ,L, + εQ,K.

Приклад. Виробнича функція має вигляд: Q = 180L0.75·K0.5. При використанні 50 од. праці і 360 од. капіталу випуск становитиме 64220 од. Якщо кількість праці й капіталу збільшити у 1,2 раза, так щоб L = 60, К = 432, то відповідно до теореми Вікселя-Джонсона випуск повинен зрости у 0,75 + 0,5 = 1,25 раза. Так воно і є: 180 · 600.75 · 4320.5 = 80650; 80650/64220 = 1,25.

Для однорідної виробничої функції віддача від масштабу може бути подана графічно. Показником віддачі є відстань вздовж променя, проведеного з початку координат, між ізоквантами, які відображають кратні Q обсяги випуску - Q, 2Q, 3Q і т.д. (система графіка 5).

 

А - постійна віддача від масштабу (Оа = ab = bc); Б - спадна віддача від масштабу (Оа <ab< bc); В - зростаюча віддача від масштабу (Оа > ab> bc).

(Промені, проведені з початку координат на графіку 6.5, називають лініями зростання. Вони характеризують технічно можливі шляхи розширення виробництва, переходу від більш низької на більш високу ізокванту).

Зростанння виробництва можливе і за рахунок технічного прогресу, який полягає у появі нових, технічно більш ефективних способів виробництва. Розрізняють три типи технічного прогресу: капіталоінтен-сивний, працеінтенсивний і нейтральний (система графіка 6.6).

 

A - капіталоінтенсивним (працезберігаючим) технічний прогрес буде тоді, коли при русі вздовж лінії з постійним співвідношенням K/L гранична норма технічного заміщення MRTSK.L знижується. Це означає, що технічний прогрес супроводжується випереджаючим збільшенням граничного продукту капіталу порівняно з граничним продуктом праці. Нахил ізокванти із наближенням до початку координат стає більш пологим (відносно осі L).

Б- працеінтенсивний (капіталозберігаючий) тип технічного прогресу характеризується зростанням MRTSL,K при русі вздовж тієї ж лінії. Це означає, що технічний прогрес супроводжується збільшенням граничного продукту праці порівняно з граничним продуктом капіталу. Нахил ізокванти із наближенням до початку координат стає більш пологим (відносно осі К).

В- нейтральним технічний прогрес називають утому випадку, коли він супроводжується пропорційним збільшенням продуктів К і L, тобто гранична норма їх технічного заміщення при русі до початку координат залишається незмінною. Не змінюється при цьому і нахил ізокванти.

Типовою формою виробничої функції довгого періоду є виробнича функція Кобба-Дугласа, яка має вигляд:

 

Q = ALαКβ,

де Α, α і β - позитивні постійні числа, що характеризують технологію виробництва.

Показники α і β степеневої виробничої функції дорівнюють коефіцієнтам еластичності випуску по факторах:


Таким чином, збільшення на 1% витрат фактора L зумовлює зростання випуску на α%, а збільшення на 1% витрат фактора К -зростання випуску на β%.

 

2. Виробнича функція Кобба-Дугласа

капітал праця ізокванта виробничий

Нехай Y - обсяг випускаємої продукції, F - фінансові витрати, L - вартість робочої сили. Функцію

Y = aFα L β, 0<α<1, 0< β<1 (1)

називають виробничою функцією Кобба-Дугласа.

У загальному вигляді права частина рівності (1) може містити більшу кількість факторів.

Розглянемо деякі властивості виробничої функції.

. Якщо рівень кожного виробничого ресурсу збільшити на ґ %, тоді обсяг продукції буде


З цієї рівності випливає, що при α + β >1 темпи росту обсягу продукції вище за темпи росту виробничих ресурсів.

При α + β > 1 темпи росту обсягу продукції будуть нижчі за темпи росту ресурсів.


2. Знайдемо частинні похідні першого порядку виробничої функції


Ці рівності означають, що граничний приріст продукції за рахунок приросту кожного ресурсу визначається як добуток коефіцієнта еластичності на середню ефективнність ресурсу.

Параметр a у виробничій функції (1.4) залежить від вибраних одиниць вимірювання Y, F, L, а його числове значення визначається ефективністю виробничого процесу.

.Частинні похідні другого порядку виробничої функції мають вигляд:

 

Поскільки 0< α <1 і 0< β <1, то

 

Ці нерівності означають, що при збільшенні ресурсів граничний приріст обсягу продукції буде зменшуватися.

1.  Якщо обсяг продукції Y у виробничої функції (1.4) вважати сталим, то можна обчислити граничні норми заміщення ресурсів.


Отже, гранична норма заміщення ресурсів у виробничій функції (1.4) визначається як добуток відношення величин ресурсів та їх коефіцієнтів еластичності.

Швидкість зміни норми заміщення ресурсів у зв'язку зі зміною величини ресурсів обчислюється за формулами.

1.  Розглянемо поводження виробничої функції (1.4) при зміні маштабу виробництва.


Якщо витрати кожного ресурсу збільшити в λ раз, то обсяг продукції Y прийме нове значення.


Тобто степінь однорідності виробничої функції дорівнює α+β.

Якщо α+β<1, то з розширенням маштабів виробництва середні витрати ресурсів в розрахунку на одиницю продукції зменшуються, а при α+β>1 - збільшуються.

1.  Якщо до функції прибутку


застосувати метод Лагранжа знаходження екстремуму, то можна знайти значення Y, F та L, що забезпечують максимізацію прибутку.

Висновок: Модель виробничої функції Кобба - Дугласа дозволяє аналізувати виробничу діяльність, визначати шляхи її вдосконалення з метою підвищення ефективності.

 

Список використаних джерел


1.   Алєксєєв Ігор Валентинович, Мороз Анатолій Степанович, Романів Євген Миколайович, Хома Ірина Борисівна. Фінансовий аналіз: техніка розрахунків та моделювання економічних ситуацій: Навч.посіб. / Національний ун-т "Львівська політехніка". - Л. : Бескид Біт, 2003. - 152с

.        Математичне моделювання в інженерних і фінансово-економічних задачах: Зб. наук. пр. / Дніпропетровський держ. технічний ун-т залізничного транспорту / А.А. Босов (гол.ред.). - Дніпропетровськ: Січ, 1998. - 181с.

Похожие работы на - Виробництво як об’єкт моделювання

 

Не нашли материал для своей работы?
Поможем написать уникальную работу
Без плагиата!
Без нейросетей!