Расчет организации производства экструдера-измельчителя

  • Вид работы:
    Курсовая работа (т)
  • Предмет:
    Эктеория
  • Язык:
    Русский
    ,
    Формат файла:
    MS Word
    721,55 Кб
  • Опубликовано:
    2015-04-01
Вы можете узнать стоимость помощи в написании студенческой работы.
Помощь в написании работы, которую точно примут!

Расчет организации производства экструдера-измельчителя

МИНИСТЕРСТВО ОБРАЗОВАНИЯ И НАУКИ

РОССИЙСКОЙ ФЕДЕРАЦИИ

ФЕДЕРАЛЬНОЕ ГОСУДАРСТВЕННОЕ

БЮДЖЕТНОЕ ОБРАЗОВАТЕЛЬНОЕ УЧРЕЖДЕНИЕ

ВЫСШЕГО ПРОФЕССИОНАЛЬНОГО ОБРАЗОВАНИЯ

"ВЯТСКИЙ ГОСУДАРСТВЕННЫЙ УНИВЕРСИТЕТ"

Факультет экономики и менеджмента

Кафедра государственного и муниципального управления




КУРСОВАЯ РАБОТА

По дисциплине " Экономика и финансовое обеспечение инновационной деятельности"


Выполнила: Алыпова С. Н.

№ группы ИН - 41

Руководитель: Соболева О.Н.




Киров 2013

Оглавление

Введение

1.      Экономические вопросы создания предприятия

2. Определение планируемой производственной мощности и производственных площадей

3.      Определение амортизационных отчислений по инвестиционному проекту

.        Определение необходимой численности персонала фирмы и организация оплаты его труда

.        Обоснование выбора организационной и производственной структуры предприятия

.        Определение себестоимости и цены товара

.        Определение выручки и прибыли предприятия

.        Определение потока реальных денег

.        Определение эффективности проекта

Библиографический список

Приложения

Введение

Для модернизации и существенного роста российской экономики необходимо не только активное участие в инновационных процессах крупных фирм и компаний, располагающих большими объемами ресурсов, но и всемерное развитие малых инновационных предприятий в производственной сфере, поддержка взаимосвязей и взаимодействия со средним и крупным бизнесом в промышленности.

Малым инновационным предприятием (компанией) принято называть наукоемкое предприятие, профиль деятельности которого относится к так называемому high tech - высоким технологиям - и которое производит товар или услугу, конкурентные на рынке технических инноваций.

Главным признаком малой инновационной компании (МИК) является "малоформатность" производства (а иногда - и производство единичных изделий), малочисленность занятого персонала и удовлетворение новых потребностей клиентов на вновь формирующихся рынках наукоемкой продукции.

Малые инновационные фирмы являются неотъемлемой и важной частью национальной инновационной системы. Для поддержки МИК государство создало специализированную финансовую инфраструктуру, ядром которой выступает венчурный инновационный фонд, имеющий свои филиалы и отделения в регионах России[1].

Целью курсовой работы является обоснование и расчёт организации производства экструдера-измельчителя.

Задачей курсовой работы является теоретическое обоснование и расчёт финансовой стоимости и издержек, а также возможной прибыли при создании инновационного предприятия.

1.      Экономические вопросы создания предприятия

амортизационный отчисление прибыль инвестиционный

Для малого инновационного предприятия предпочтительнее является форма общества с ограниченной ответственностью в виду следующих факторов:

)        Возможность государственной поддержки для ООО

)        Более низкий налог

Общество с ограниченной ответственностью (ООО) - юридическое лицо, учрежденное одним или несколькими лицами, уставный капитал которого разделен на определенные доли (размер которых устанавливается учредительными документами).

ООО обладает рядом преимуществ:

·        Участники ООО, которые полностью оплатили свои доли, не отвечают по обязательствам общества, несут риск убытков, связанных с деятельностью организации, в размере стоимости доли принадлежащих им;

·        Уставной капитал ООО не менее 10000 рублей, в случае если общество признают банкротом, учредители будут обязаны оплатить кредиторам задолженность на сумму 10.000 рублей, если даже общая сумма задолженности значительно больше;

·        Имидж, т. к. ООО вправе давать любое название своему обществу, с ООО более активно сотрудничают;

·        Регистрация ООО никак не связана с местом регистрации его учредителей;

Перед регистрацией ООО нужно принять решение относительно названия предприятия, адреса расположения, вида экономической деятельности (ОКВЭД), количества участников, кто будет осуществлять функцию генерального директора, какова сумма уставного капитала, и выбрать систему налогообложения.

Необходимые документы: Устав организации и учредительный договор. Состав учредителей формы будет состоять из 2х человек (минимум требуемый законом), соответственно их паи будет 50% и 50%.

На предприятии планируется производство экструдеров-измельчителей. Предлагаемое устройство имеет следующие преимущества:

·        получать экструдированные текстураты заданного состава с введением необходимых дополнительных компонентов для их дальнейшего использования в качестве белковых обогатителей при производстве хлебобулочных изделий вареных колбас, комбикормов и т.п.;

·        снизить удельные энергозатраты на производство измельченных текстуратов за счет последовательного использования совмещенных механизмов для отрезания, измельчения, перемешивания и достижения более равномерной обработки вследствие использования рациональных конструкций дорна с расширяющимися изогнутыми каналами, крестообразного ножа, волнообразных лопастей, сетки;

·        снизить материальные затраты и повысить производительность экструдера-измельчителя вследствие устранения вспомогательных и перегрузочных операций.

Техническим результатом данного устройства является повышение степени деструкции обрабатываемого материала. Указанный технический результат достигается применением в конструкции экструдера лопаток, закрепленных на корпусе и на валу шнека. [2].

Таблица 1. Инвестиционные затраты

Статья затрат

Сумма млн. руб.

Площадь Оборудование Материалы с учетом ТЗР Регистрация ООО Итого

7,946 1,5 0,318 0,02 9,784


Источник финансирования - заемные средства в коммерческом банке. Ставка кредитования в Сбербанке 16,5%. Кредит берется на 4 года. Сумма выплаты процентов составляет 161400000 рублей. Расчет выплат по кредиту представлен в таблице 2.

Таблица 2 - Процентные выплаты по кредиту

Периоды

Сумма кредита на 01.01…, млн.руб.

Процентная ставка по кредиту, %

Процентная плата за кредит, млн. руб.

0-й

-

-

-

1-й

9,784

16,5

1,614

2-й

8,17

16,5

1,35

3-й

6,82

16,5

1,13

4-й

5,69

16,5

0,99

5-й

4,7

16,5

0,78

Итого

Х

Х

5,864


2.                                                                                                     Определение планируемой производственной мощности и производственных площадей

Важнейшей характеристикой потенциальных возможностей и степени использования основных производственных фондов является производственная мощность участка, цеха, предприятия. Под производственной мощностью понимается максимально возможный годовой (суточный) объем выпуска продукции при заданных номенклатуре и ассортименте с учетом наилучшего использования всех ресурсов, имеющихся на предприятии.

Производственная мощность предприятия определяется, как правило, в расчете на год по мощности основных (ведущих) цехов, участков или агрегатов, т.е. тех из них, которые выполняют основные технологические операции по изготовлению продукции.

На плановый период производственная мощность рассчитывается исходя из номенклатуры и ассортимента, установленных в плане. Наличная мощность за отчетный период рассчитывается в номенклатуре и ассортименте, соответствующих фактическому выпуску продукции.

Производственная мощность предприятия зависит от следующих факторов: количества и качества действующего оборудования; максимально возможной производительности каждой единицы оборудования и пропускной способности площадей в единицу времени; принятого режима работы (сменность, продолжительность одной смены, прерывное, непрерывное производство и т.п.); номенклатуры и ассортимента продукции, трудоемкости производимой продукции; пропорциональности (сопряженности) производственных площадей отдельных цехов, участков, агрегатов, групп оборудования; уровня внутризаводской и межзаводской специализации и кооперирования; уровня организации труда и производства.

В разделе производится расчет производственной мощности инновационного предприятия в планируемом периоде.

В общем виде производственная мощность предприятия (М) может быть определена по формуле:

 

(1)

где Тэ- эффективный фонд времени работы предприятия (цеха);- трудоемкость изготовления единицы продукции.

Расчет производственной мощности (ПМ) цеха (участка), оснащенного однотипным оборудованием. Этот метод применяется для расчета мощности участка (цеха), выпускающего одинаковую продукцию или перерабатывающего одинаковое сырье на агрегатах станочного типа.

В данном случае возможны 2 варианта расчета.

1) по трудоемкости продукции:

(2)

где М -производственная мощность цеха (участка);- количество единиц оборудования, выполняющих данную операцию;шт - технически расчетная норма времени на обработку (изготовление) единицы изделия;

2) по производительности оборудования:

М= Фэф * N * Поб, (3)

где Поб - производительность оборудования (норма выработки на 1 станко-час).

Для расчета производственной мощности необходимо определить фонд времени работы оборудования. Различают:

Календарный фонд времени (Фк):

Фк= Дк * 24, (4)

где Дк -количество календарных дней в году.

Режимный (номинальный) фонд времени (Фр).

При прерывном процессе производства рассчитывается по формулам:

Фр = Др * Тс * С, (5)

где, Др - количество рабочих дней в году;

Тс - средняя продолжительность одной смены с учетом режима работы предприятия и сокращения рабочего дня в предпраздничные дни;

С - количество смен в сутки.

 

Фр = С * [(Дк -Двых) * Тсм - (Чн * Дпред)], (6)

где Дк - количество календарных дней в году;

Двых - число выходных и праздничных дней в периоде;

Тсм - длительность рабочей смены, ч.;

Чн - количество нерабочих часов в предпраздничные дни;

Дпред - количество предпраздничных дней в периоде.

Эффективный (плановый, действительный) фонд времени (Фэф). Рассчитывается исходя из режимного с учетом остановок на ремонт:

 

Фэф= Фр * (1 - α /100), (7)

где - процент потерь рабочего времени на выполнение плановых ремонтных операций и межремонтного обслуживания (составляет 2-12%).

Фр=1*(365-131)*8-52*1=1924

Фэф=1924*(1-4/100)=1847,04

М=(1847,04*7)/16=808

Таблица 3 - производственная мощность инновационного предприятия

Показатель

Периоды


1-й

2-й

3-й


1 кв.

2 кв.

3 кв.

4 кв.



Оборудование, шт.

7

7

7

7

7

7

Эффективный фонд времени ед. оборудования, час.

461,76

461,76

461,76

461,76

1847,04

1847,04

Производственная мощность, (шт.)

202

202

202

202

808

808


Производим расчет потребной площади, необходимой для функционирования предприятия, по формуле

Sоб = Рi · (Нплi + Sвс)

где Рi - численность персонала по категориям, работающего в первую смену;

Нплi - минимальная средняя норма производственной площади по категориям персонала.

Следует руководствоваться следующими средними нормами производственной площади:

- на 1-го основного рабочего -

 9-11 кв.м

- на 1-го вспомогательного рабочего -

 7- 9 кв.м

- на 1-го работника обслуживающего персонала -

 5- 6 кв.м

- на 1-го специалиста -

 8-10 кв.м

- на 1-го управленца -

20-25 кв.м

вс      - потребная вспомогательная площадь (коридоры, душевые, гардероб, туалеты и т.д.) в расчете на 1-го работника (в первую смену); в среднем можно принять 6-9 кв.м.

Для работы предприятия требуется 15 работников, 1 из них - управленец, 3 - специалиста, 9 - основных рабочих и 2 - вспомогательных.

Sоб = 20 +6 + 3 * (8+6) + 9* (9+6)+2*(7+6)= 251 кв.м

3.                                                                                                     Определение амортизационных отчислений по инвестиционному проекту

Амортизационные отчисления образуются на предприятиях в результате переноса стоимости основных производственных фондов на стоимость готовой продукции. Функционируя длительное время, основные производственные фонды постепенно изнашиваются и переносят свою стоимость на готовую продукцию частями. Поскольку основные производственные фонды не требуют возмещения в натуральной форме после каждого воспроизводственного цикла, предприятия осуществляют затраты на их восстановление по истечении нормативного срока службы. Денежные средства, высвобождающиеся в процессе постепенного восстановления стоимости основных производственных фондов, аккумулируются в виде амортизационных отчислений в амортизационном фонде.

Величина амортизационного фонда зависит от объема основных фондов предприятия и используемых методов начисления. В хозяйственной практике применяют метод равномерной (прямолинейной) и ускоренной амортизации.

Среднерыночная стоимость 1 кв.м составляет 31535 руб. Стоимость необходимого помещения составляет 7915285 руб.

Расчет производится по формулам:

(9)

Аj = Fп а / 100 , (10)

где, На - норма амортизации (в %);

Тп.и - срок полезного использования объекта основных средств;

Аj -сумма амортизации за j-тый год;п - первоначальная стоимость объекта ОС.

На=(1/30)*100=3,33% - норма амортизации здания

Аj=7916*3,33/100=263,6 тыс. рублей

На=(1/5)*100=20% - норма амортизации оборудования

Аj=1500*20/100= 300 тыс. рублей

Результаты амортизационных отчислений оформить в таблице 4.

Таблица 4 - Амортизационные отчисления по инвестиционному проекту

Группы ОПФ

Стоимость ОС (млн.руб)

Норма амортизации, %

Амортизационные отчисления




периоды


0-й

1-й

2-й

3-й

0-й

1-й

2-й

3-й

0-й

1-й

2-й

3-й

Здания и сооружения

7,916

7,916

7,65

7,4


3,33

3,33

3,33


0,263

0,263

0,263

Машины и оборудования

1,5

1,5

1,2

0,96

0

20

20

20

0

0,3

0,3

0,3

Всего

9,416

9,416

8,85

8,36

0

-

-

-

0

0,563

0,563

0,563

Остаточная стоимость Здания и сооружения


7,653

7,39

7,13

-

-

-

-

-

-

-

-

Остаточная стоимость Машины и оборудования

-

1,2

0,9

0,66

-

-

-

-

-

-

-

-


Аj=7,916*0,033=0,263

А1=7,916-0,263=7,653

А2=7,653-0,263=7,39

4.      Определение необходимой численности персонала фирмы и организация оплаты его труда.

Расчет численности работающих является важнейшей задачей определения обоснованной потребности в кадрах для обеспечения бесперебойного производственного процесса на предприятии.

Плановые расчеты каждой категории работающих осуществляются с применением различных методов определения их необходимой численности.

Под организацией заработной платы (ОЗП) понимается ее построение, обеспечение взаимосвязи количества и качества труда с размерами его оплаты, путем использования совокупности составных элементов (нормирования, тарифной системы, премии, доплат и надбавок).

Основная задача организации зарплаты состоит в том, чтобы поставить оплату труда в зависимость от его коллектива и качества трудового вклада каждого работника и тем самым повысить стимулирующую функцию вклада каждого.

С организацией заработной платы на предприятии связано решение двуединой задачи:

гарантировать оплату труда каждому работнику в соответствии с результатами его труда и стоимостью рабочей силы на рынке труда;

обеспечить работодателю достижение в процессе производства такого результата, который позволил бы ему (после реализации продукции на рынке товаров) возместить затраты и получить прибыль.

Тем самым, через организацию заработной платы достигается необходимый компромисс между интересами работодателя и работника, способствующий развитию отношений социального партнерства между двумя движущими силами рыночной экономики.

Организация заработной платы предполагает реализацию функций, форм и систем заработной платы, использование современных методов ее организации во взаимосвязи с рынком, организацией и нормированием труда, техническим уровнем производства.

В данном разделе рассматриваются следующие вопросы:

1 состав персонала фирмы и определение его потребного количества в целом и по категориям;

2 обоснование выбора системы оплаты труда для каждой категории персонала и расчет фонда оплаты труда по группам работников и в целом по предприятию;

3 расчет средней месячной зарплаты по каждой категории персонала и в целом по предприятию.

В состав персонала предприятия входят основные и вспомогательные рабочие, специалисты, управленческий персонал и служащие.

Потребное количество основных рабочих по каждой профессии, занятых на нормируемых работах, определяется по формуле


Численность вспомогательных рабочих можно принять в размере 30-40 % от расчетной численности основных рабочих. К вспомогательным рабочим относятся: слесари-ремонтники, кладовщики, транспортные рабочие, уборщики производственных площадей, комплектовщики и др.

Необходимо указать профессии вспомогательных рабочих и их количество по каждой профессии.

Число специалистов (технологи, экономисты, бухгалтеры и пр.) рекомендуется принять не более 20 % от численности основных и вспомогательных рабочих.

Служащих (секретари, кассир, курьеры, охрана, операторы ПК и др.) можно принять не более 8% от числа всех рабочих и специалистов.

Управленческий персонал (директор предприятия, его заместители и помощники, мастера и др.) следует принять в размере не более 7% от числа всех рабочих, специалистов и служащих. Для производственного мастера норма управляемости не менее 20 рабочих.

При определении состава персонала необходимо максимально экономить затраты на оплату труда, но и учесть, чтобы работа выполнялась качественно и своевременно.

Fэф=1924*(1-0,16)=1616,16

Р=(808*4/1)/1616=1( слесарь)

Р=(808*8/1)/1616=1 (сборщик)

Р=(808*4 /1)/1616=1 (токарь)

Р = (808*3/1)/1616=1(наладчик)

Вспомогательные р.: 10*0,3=2

Специалисты: 13*0,2=3

Управляющий персонал: 17*0,05=1.

После определения потребного количества работников и на основе принятой организационно-производственной структуры предприятия необходимо составить штатное расписание (см. таблицу 5), рассчитать структуру работающих и данные расчета занести в таблицу 6.

 

Таблица 5 - Штатное расписание предприятия

Наименование должности и профессии

Кол-во штатных единиц

Тарифный разряд

Месячный оклад, руб.

1.Управленческий персонал: 1.1.Директор предприятия 2.Специалисты: 2.1.Технолог 2.2.Экономист 2.3 Бухгалтер 3.Рабочие: 3.1.Основные 3.2.Вспомогательные

 1  1 1 1  9 2

 18  9 10 14  4 4

 81978,8  40442,8 44450,7 61210,8  22407,5

 


Таблица 6 - Структура работающих предприятия

Категории работающих

Количество человек

%

Управленческий персонал Специалисты Рабочие

1 3 11

6,67 20 73,33

ВСЕГО

15

100


100/15*1=6,67

/15*3=20

Для каждой категории персонала необходимо выбрать систему оплаты труда (тарифную, контрактную, долевую) и кратко обосновать этот выбор. На производственных предприятиях чаще используется тарифная система оплаты труда, особенно для рабочих.

При этой системе для основных рабочих (кроме контролеров) применяется обычно сдельно-премиальная форма оплаты труда. В этом случае фонд оплаты труда основных рабочих определятся по формуле

ФОТос=ЗПос + ЗПд + Врк,                    (13)

где ЗПос- основная заработная плата производственных рабочих;

ЗПд - дополнительная заработная плата (оплата отпусков, доплата за сокращенный рабочий день подросткам, можно принять в размере 16-18% ЗПос);

Врк - выплаты по районному коэффициенту (15% от (ЗПос+ЗПд)).

Основная зарплата определяется следующим образом:

ЗПос=ЗПт + П, (14)

где ЗПт - тарифная заработная плата;

П - сумма премии, начисляемая за выполнение установленных количественных и качественных показателей (следует принять в размере 30-50% от ЗПт).

Тарифная заработная плата рассчитывается по формуле

ЗПт = ПТн · Рс,     (15)

где n  - число видов технологических операций (видов работ);

ПТн - годовой объём выпуска узлов в натуральном выражении;

Рс - сдельная расценка за изготовление единицы продукции.

Сдельная расценка определяется по формуле

Рс = Нвр ● Тс, (16)

где Нвр  норма времени (трудоёмкость) на выполнение работ (технологических операций) по узлам;

Тс - часовая тарифная ставка, соответствующая разряду работ и условиям труда.


Тс = Тс1 ● Кт, (17)

где Тс1 - часовая тарифная ставка, соответствующая первому разряду;

Кт - тарифный коэффициент, соответствующий разряду работ.

Значения тарифных коэффициентов ЕТС производственной сферы приведены в приложении 2.

Часовая ставка первого разряда повременщика (базовая) рассчитывается по формуле

Тс1 = ЗПmin / (Др ● ds), (18)

где ЗПmin- минимальная месячная заработная плата, соответствующая оплате труда 1-го разряда, принятая на предприятии на плановый год;

Др- среднее число рабочих дней в месяце (можно принять 21);

ds - длительность смены (принять 8 часов).

Минимальную месячную зарплату, установленную на предприятии на плановый год, следует определить следующим образом:

ЗПmin = МРОТ ● Кп, (19)

где, МРОТ - минимальный размер оплаты труда, установленный по стране органами федеральной представительной власти;

Кп - поправочный коэффициент, размер которого зависит от финансовых возможностей предприятия (принять равным 3,5 - 4,5).

Тарифная система оплаты труда основана на тарифной системе дифференциации заработной платы работников различных категорий, которая, в свою очередь, представляет собой совокупность нормативов, при помощи которых и производится дифференциация заработной платы в зависимости от сложности, интенсивности, условий труда, природно-климатических условий, в которых выполняется работа.

Тарифная система дифференциации заработной платы включает в себя следующие элементы: тарифно-квалификационные справочники работ и профессий; тарифно-квалификационные характеристики; локальный акт тарификации работ на основе оценки рабочих мест; тарифные ставки (оклады); тарифные коэффициенты; тарифную сетку; районные коэффициенты к заработной плате, доплаты и надбавки.

Тарифная ставка 1-го разряда - это размер вознаграждения за простой труд (труд низшего уровня квалификации), произведенный в единицу времени (день, час, месяц). Размер тарифной ставки 1-го разряда не может быть ниже МРОТ, установленного законом. Тарифные ставки 1-го разряда на практике обычно дифференцируются по формам оплаты (сдельная и повременная) и по отдельным профессиональным группам (с обычной и повышенной интенсивностью труда).

Тарифные ставки 2-го и последующих разрядов определяются умножением тарифной ставки 1-го разряда на тарифные коэффициенты соответствующих разрядов. Тарифные коэффициенты также являются элементом тарифной системы. Они показывают, во сколько раз тарифные ставки 2-го и других разрядов выше ставки 1-го разряда. [10]

Таблица 7 - Сдельные расценки по видам работ и по изделиям

Наименование технологических операций

Тс1

Тс, руб.

Нвр,(часы)

Рс, Руб.

Слесарь Сборка Сварка Точение Наладчик

108,44 108,44 108,44 108,44 108,4

146,4 146,4 146,4 146,4 146,4

1 2 1,5 1 1

146,4 292,8 219,6 146,4 146,4

Итого

542,2

732

119

951,6


.Слесарь

ЗПмин=5205*3,5=18217,5

Тс1=18217,5/(21*8)=108,44

Тс=108,44*1,35=146,4

Рс=1*146,4=146,4

Расчёт тарифной заработной платы рабочих - сдельщиков следует свести к форме, указанной в таблице 8.

Таблица 8 - Тарифная зарплата основных рабочих

Наименование технологических операций

ПТн, (шт.)

Рс, руб.

ЗПт, руб.

Слесарь Сборка Сварка Токарь Наладчик

808 808 808 808 808

146,4 292,8 219,6 146,4 146,4

118291,2 236582,4 177436,8 118291,2 118291,2

Итого


951,6

768892,8


1.Слесарь

ЗПт=808*146,4=118291,2

Расчет фонда оплаты труда основных рабочих, занятых на нормируемых работах, следует свести к форме, указанной в таблице 9.

 

Таблица 9 - Расчет ФОТ основных рабочих

Наименование технологических операций

ЗПт

П

ЗПос

ЗПд

Врк

ФОТ, руб

Слесарь Сборка Сварка Токарь Наладчик

118291,2 236582,4 177436,8 118291,2 118291,2

35487,36 70974,72 53231,04 35487,36 35487,36

153778,56 307557,12 230667,84 153778,56 153778,56

24604,57 49209,14 36906,85 24604,57 24604,57

26757,47 53514,94 40136,2 26757,47 26757,47

205150,6 410281,2 307710,89 205150,6 205150,6

Итого

768892,8

230667,8

999559,92

159929,7

173923,54

1333442,09


1.Слесарь

П=118291,2*0,3=35487,36

ЗПос=118291,2+35487,36=153778,56

ЗПд=0,16*153778,56=24604,57

Врк=0,15*(153778,56+24604,57)=26757,47

ФОТ=153778,56+24604,57+26757,47=205150,6

Труд вспомогательных рабочих и контролеров оплачивается по повременно-премиальной форме.

Повременная заработная плата - это такая ее форма, при которой размер платы за труд работника зависит от времени работы, предполагая надлежащее исполнение им должностных функций. По этой системе размер оплаты труда за определенный период времени зависит только от вида требований, предъявляемых к работнику на данном рабочем месте. Повременная оплата ориентируется только на степень сложности труда, определенную путем расчета ценности труда или каким-то иным способом.

Применяется повременная оплата труда, прежде сего там, где затраты на определение планового и учет произведенного количества продукции относительно высоки; работа неоднородна по своему характеру и нерегулярна по нагрузки; качество труда важнее его количества и т. п.

При использовании повременной оплаты труда необходимо соблюдение ряда требований: строгий учет и контроль за фактически отработанным временем каждым работником; правильное присвоение рабочим тарифных разрядов в строгом соответствии с их квалификацией и сложности выполняемых работ, а также присвоение специалистам и служащим должностных окладов в строгом соответствии с действительно выполняемыми ими должностными обязанностями.

При повременно-премиальной системе простая повременная система дополняется премиями за выполнение определенных количественных и качественных показателей работы, которые устанавливаются заранее. Эта форма оплаты труда в настоящее время, считается наиболее распространенной. Применение повременно-премиальной системы возможно лишь при условии правильного выбора показателей премирования. Кроме того, необходимо экономическое обоснование разработанных премиальных положений, иначе использование выбранной системы оплаты труда может быть убыточным для предприятия. [11]

При этой форме фонд оплаты труда за год рассчитывается следующим образом:

ФОТвс = Fэф · Тс · Рвс + П + ЗПд + Врк,                (20)

где Тс- часовая тарифная ставка, соответствующая разряду рабочего;

Рвс - число вспомогательных рабочих определенного разряда.

Расчёт фонда оплаты труда вспомогательных рабочих следует свести к форме, указанной в таблице 10.

Таблица 10 - ФОТ вспомогательных рабочих


1.Комплектовщик

Тс1=18217,5/(21*8)=108,44

Тс=108,44*1,35=146,4

Fэф=1924*(1-0,07)=1789,3

ЗПт=146,4*808=118291,2

П=0,3*118291,2=35487,36

ЗПос=118291,2+35487,36=153778,56

ЗПд=0,16*153778,56=24604,57

Врк=0,15*(153778,56+24604,57)= 178383,13

ФОТ=1789,3*146,4+35487,36+24604,57+178383,13=500428,58

Годовой фонд оплаты труда специалистов следует определить по формуле

ФОТсп = Ом · 12 · Рсп + П + Врк ,                          (21)

где Ом- месячный оклад специалиста по определённой должности и разряду;

Рсп - число специалистов с соответствующим месячным окладом.

Месячный оклад специалиста можно установить по условиям ЕТС бюджетной сферы по формуле

Ом = ЗПmin ● Кт, (22)

где Кт - тарифный коэффициент, соответствующий разряду специалиста по ЕТС бюджетной сферы.

Примечание: Полученные результаты по расчёту месячного оклада следует округлить до целого значения, с нулём на конце числа.

Расчёт фонда оплаты труда специалистов следует свести к форме, указанной в таблице 11.

Таблица 11 - ФОТ специалистов

Наименование должности

Тр

Ом

Рсп

Число месяцев в году

Ог

П

Врк

ФОТ, руб

Технолог Экономист Бухгалтер


40443 44451 61211

1 1 1

12 12 12

485316 533412 734532

145594,8 160023,6 220359,6

94636,6 104015,3 143233,7

725547,4 797450,9 1098125,3

Итого


146105

3

36

1753260

525978

341885,6

2621123,6


.Технолог

Ом=18217,5*2,22=40443

Ог=12*40442,8=485316

П=0,3*485316=145594,8

Врк=0,15*(485316+145594,8)= 94636,6

ФОТ=40443*12*1+145594,8+94636,6=725547,4

Аналогично рассчитывается фонд оплаты труда управленческого персонала и служащих.

Средняя месячная зарплата одного работника предприятия определяется по формуле

ЗПсм = ФОТоб / (12 · Роб), (23)

где ФОТоб-- общий годовой фонд оплаты труда по предприятию (всего персонала);

Роб - общая численность персонала предприятия.

Расчет общего фонда оплаты труда и средней месячной зарплаты следует показать по форме, указанной в таблице 12.

Таблица 12- Фонд оплаты труда управленческого персонала

Наименование должности

Тр

Ом

Рсп

Число месяцев в году

Ог

П

Врк

ФОТ, руб

директор


81979

1

12

983748

295124,4

191830,9

1470703,2

Итого


81979

1

12

983748

295124,4

191830,9

1470703,2


Директор:

Ом=18217,5*4,5=81979

Ог=12*81979=983748

П=0,3*983748=295124,4

Врк=0,15*(983748+295124,4)= 191830,9

ФОТ=983748+295124,4+191830,9=1470703,2

 
Таблица 13 - Средняя заработная плата персонала

Наименование должности

Тр

Ом

Рсп

Число месяцев в году

Ог

П

Врк

ФОТ, руб

директор

 

81978,75

1

12

983745,00

295123,50

191830,28

1470698,78

Итого

 

81978,75

1

12

983745,00

295123,50

191830,28

1470698,78


Директор:

Ом = 18217,5*4,5 = 81978,75 руб.

Ог = 12*81978,75= 983745 руб.

П = 0,3*983745= 295123,5 руб.

Врк = 0,15*(983745+295123,5) = 191830,28 руб.

ФОТ = 983745+295123,5+191830,28= 1470698,78 руб.

Средняя месячная зарплата одного работника предприятия определяется по формуле

ЗПсм = ФОТоб / (12 · Роб), (23)

где ФОТоб- общий годовой фонд оплаты труда по предприятию (всего персонала);

Роб -общая численность персонала предприятия.

Расчет общего фонда оплаты труда и средней месячной зарплаты следует показать по форме, указанной в таблице 14.

 
Таблица 14 - Средняя заработная плата персонала

Категории персонала

ФОТ(руб)

Р(чел.)

Среднемесячная зарплата (руб.)

Управленческий персонал

1470698,78

1

122558,23

Специалисты

2621123,6

3

873707,87

Рабочие

2334317,25

11

21221,06

Итого

6426139,63

15

1017487,16


Управленческий персонал

Среднемесячная зарплата=1470698,78/(1*12)= 122558,23 руб.

. Обоснование выбора организационной и производственной структуры предприятия.

Исходя из количества рабочих для запуска производства, выбираем организационную структуру управления линейно-функционального типа.

Функции бухгалтера:

.        Организация бухгалтерского учёта.

.        Контроль за рациональным и целевым использованием ресурсов.

.        Сохранность собственности организации.

.        Подготовка и принятие рабочих и производственных планов.

.        Предоставление бухгалтерской информации о деятельности предприятия. Обеспечение секретности информации, имеющей ограниченный доступ.

.        Укрепление финансовой дисциплины. Учёт производственных и финансовых операций, операций по кредитам и своевременной их выплате.

.        Оформление бухгалтерских документов. Калькуляция себестоимости продукции.

.        Начисление заработной платы. Начисления налогов в федеральный, региональный и местный бюджет.

Где:

       Связи согласования

       Связи подчинения

Рис .1 Структура управления предприятия.

Функции экономиста:

.        Осуществление экономической деятельности предприятия.

.        Повышение эффективности и рентабельности производства.

.        Контроль за качеством производства продукции и освоение новых видов продукции, контроль за введением инноваций, рационализаторских предложений.

.        Оптимизация использования материальных и финансовых ресурсов.

.        Составление проектов производственной и финансовой деятельности.

.        Составление планов модернизации и развития производства.

.        Маркетинговые исследования. Прогнозирование развития.

.        Ведение договоров с заказчиками и организациями.

.        Проверка сметной документации на проведение работ.

.        Проверка сметной документации на строительство объектов.

.        Экономический анализ деятельности.

Производственная структура управления

Функции технолога:

.        Организация разработки технологических процессов.

.        Освоение новых технологий.

.        Руководство планами внедрения новой техники.

.        Контроль выполнения планов производства, соблюдения технологии производства.

.        Руководство организацией и планированием новых цехов.

.        Расчёт производственных мощностей, трудоёмкости технологических процессов и рабочего времени.

.        Расчёт потребности в материальных, топливных, энергетических ресурсах.

.        Ведение мероприятий по устранению производственного брака, снижению материалоёмкости, энергоёмкости производства продукции.

.        Совершенствование технологии изготовления изделий.

.        Освоение перспективных мощностей.

.        Сокращение сроков изготовления новой продукции.

.        Ведение мероприятий по энергосбережению, охране окружающей среды.

.        Совершенствование методов контроля качества продукции.

.        Определение номенклатуры измеряемых параметров.

Функции мастера:

.        Выполнение планов и заданий по количеству выпускаемой продукции

.        Повышение производительности труда.

.        Обеспечение выпуска продукции высокого качества.

.        Максимальная загрузка и использование мощностей цеха или предприятия.

.        Снабжение участка материалами, инструментами и приспособлениями в соответствии с заданием.

.        Приём полуфабрикатов и продукции от смежных цехов.

.        Сдача полуфабрикатов и продукции в смежные цеха.

.        Учёт количества продукции.

.        Контроль и использование сырья и материалов.

.        Проверка выполнения задания бригадами и рабочими.

.        Контроль за оформлением первичных документов.

.        Проведение инструктажа рабочих, оказание необходимой помощи и консультаций.

.        Проверка соблюдения технологических процессов.

.        Перетарификация работ и пересмотр норм выработки.

.        Проверка состояния оборудования и ограждений.

.        Обеспечение соблюдения трудовой дисциплины

.        Изучение брака и дефектов. Принятие мер к их устранению.

6.                                                                                                     Определение себестоимости и цены товара

Себестоимость продукции - это затраты предприятия на ее производство и реализацию, выраженные в денежной форме. Расчет и анализ себестоимости продукции является важнейшей задачей любого предприятия и входит в систему управленческого учета, т.к. именно себестоимость лежит в основе большинства управленческих решений.  Различают плановую и фактическую себестоимость. Плановая себестоимость продукции включает в себя только те затраты, которые при данном уровне техники и организации производства являются для предприятия необходимыми. Они исчисляются на основе плановых норм использования оборудования, трудозатрат, расхода материалов.

Отчетная себестоимость определяется фактическими затратами на изготовление продукции.

По последовательности формирования различают себестоимость технологическую (операционную), цеховую, производственную и полную. Технологическая себестоимость используется для экономической оценки вариантов новой техники и выбора наиболее эффективного. Она включает затраты, имеющие непосредственное отношение к выполнению операций над определенным изделием. Цеховая себестоимость имеет более широкий спектр затрат: кроме технологической себестоимости включает затраты, связанные с организацией работы цеха и управления им. Производственная себестоимость включает производственные затраты всех цехов, занятых изготовлением продукции, и расходы по общему управлению предприятием. Полная себестоимость включает в себя производственную себестоимость и внепроизводственные (коммерческие) расходы.

На данном этапе необходимо составить калькуляцию на выпуск каждого изделия. Расчет полной себестоимости одного изделия проводится по формуле:

Сп = Спр + Кр, (24)

где Спр- производственная себестоимость;

Кр - коммерческие расходы (затраты на маркетинговые исследования, рекламу, тару и др., можно принять в размере 15-20% от Спр).

Производственная себестоимость определяется по формуле:

Спр = М + ЗПос + ЗПд + Врк + Осн + Роп + Рох + Зпр,  (25)

где М- затраты на основные материалы и комплектующие детали с учетом ТЗР;

ЗПос- основная зарплата производственных рабочих на одно изделие;

ЗПд - дополнительная зарплата производственных рабочих;

Осн - отчисления на социальные нужды (см. Приложение 3);

Роп - общепроизводственные расходы (можно принять 200-300% от Зпос);

Рох - общехозяйственные расходы (можно принять 300-400% от ЗПос);

Зпр -прочие производственные затраты (можно принять 5-6% от ЗПос).

Расчет основной зарплаты производственных рабочих на одно изделие следует представить по форме, указанной в таблице 12.

После расчета всех статей затрат по обоим изделиям составляется калькуляция по форме, указанной в таблице 13.

Определив полную себестоимость каждого изделия, далее следует спрогнозировать следующие цены на них:

1 цену предприятия - Цпр;

2 отпускную цену (реализации) - Цот.

Цена предприятия на товар рассчитывается по формуле

Цпр = Сп + Пр = Сп + Ур · Сп,                                (26)

где Пр-      прибыль от реализации товара

Ур     -уровень рентабельности изделия, который, в основном, зависит от спроса и предложения на данный товар (можно принять в размере 0,2-0,4).

Отпускная цена товара за безналичный расчёт определяется по формуле

Цот = Цпр + Ндс,         (27)

где, Ндс - налог на добавленную стоимость (ставка налога берется на дату написания курсовой работы)

Таблица 15- Расчет основной зарплаты производственных рабочих

Наименование укрупненных операций

Рс (руб)

П (руб)

ЗПос (руб)

Слесарь Сборка Сварка Токарь Наладчик

146,4 292,8 219,6 146,4 146,4

43,92 87,84 65,88 43,92 43,92

190,32 380,64 285,48 190,32 190,32

Итого

951,6

285,48

1237,08


1.Слесарь

П=35487,36/808=43,92

ЗПос=153778,56/808=190,32

Таблица 16 - Калькуляция изделий

Наименование статей калькуляции

Обозначение

Затраты на материалы и комплектующие с учетом ТЗР Основная зарплата Дополнительная зарплата Выплаты по районному коэффициенту Отчисления на социальные нужды Общепроизводственные расходы Общехозяйственные расходы Прочие производственные затраты Производственная себестоимость Коммерческие расходы Полная себестоимость

М ЗПос ЗПд Врк Осн Роп Рох Зпр Спр Кр Сп

318000 1237,08 197,93 215,26 371,12 2474,16 3711,24 61,85 326268,64 65253,73 391522,37


Все итоговые данные по определению себестоимости и цены на товар необходимо представить по форме, указанной в таблице 17.

 

Таблица 17 - Себестоимость и цена изделия

Наименование показателя

Обозначение

Сумма, руб.

Полная себестоимость Прибыль от реализации Цена предприятия Налог на добавленную стоимость Отпускная цена за безналичный расчет Торговая наценка Розничная цена

Сп Пр Цпр Ндс Цот Тн Цроз

391522,37 117456,03 508978,4 70474,03 579452,43 39152,24 618604,67


Ндс= 391522,37*0,18=70474,03

Пр=0,3* 391522,37=117456,71

Тн=0,1*391522,37=39152,24

Цроз=579452,43+39152,24=618604,67

7. Определение выручки и прибыли предприятия

В условиях рыночной экономики получение прибыли является непосредственной целью производства. Прибыль создает определенные гарантии для дальнейшего существования предприятия, поскольку только ее накопление в виде различных резервных фондов помогает преодолевать последствия риска, связанного с реализацией товаров на рынке.

На рынке предприятия выступают как относительно обособленные товаропроизводители. Установив цену на продукцию, они реализуют ее потребителю, получая при этом денежную выручку, что не означает еще получения прибыли. Для выявления финансового результата необходимо сопоставить выручку с затратами на производство и реализацию, которые принимают форму себестоимости продукции.

Если выручка превышает себестоимость, финансовый результат свидетельствует о получении прибыли. Предприятие всегда ставит своей целью прибыль, но не всегда ее извлекает. Если выручка равна себестоимости, то удается лишь возместить затраты на производство и реализацию продукции. При затратах, превышающих выручку, предприятие превышает установленный объем затрат и получает убытки - отрицательный финансовый результат, что ставит предприятие в достаточно сложное финансовое положение, не исключающее и банкротство.

После расчета себестоимости и цен следует определить предполагаемую сумму выручки и прибыль от продажи туров и предпринимательской деятельности фирмы.

Величина выручки от реализации продукции по отпускной цене (валовая выручка) определяется по формуле

ВРв = S Цот · РТн,      (28)

где РТн  - количество реализованного товара, в шт. (принять равным количеству выпущенных узлов).

ВРв = 579452,43*808= 468197563,44

Величина чистой выручки от продажи товаров по цене предприятия (выручка нетто) определяется по формуле

ВРч = Цпр · РТн, (29)

Прибыль от продажи товаров рассчитывается по формуле

ВРч = 508978,4*808= 411254547,2

Пр =  ( Цпр - Сп ) · РТн,        (30)

Пр = (508978,4-391522,37)*808 = 94904472,24

Далее следует определить прибыль до налогообложения, характеризующую итоги предпринимательской деятельности, по формуле

Пдон = Пр + Ппр + Vд - Vp - Нф, (31)

Где Vд прибыль от прочей реализации (прибыль от реализации ненужного, излишнего оборудования предприятия, можно принять в размере 10-20% от Пр );

Vp - доходы от операционных и внереализационных операций (по ценным бумагам и от долевого участия в совместных предприятиях, полученные штрафы, неустойки за нарушение договорных условий другими фирмами и др., можно принять в размере 7-10% от Пр );

Нф - расходы от операционных и внереализационных операций (штрафы, пени, неустойки, уплаченные за нарушение хозяйственных договоров фирмам, можно принять в размере 2 -3% от Пр ) ;

Ппр- сборы и налоги , относимые на финансовые результаты предприятия(3% от МРОТ).

Пдон = 94904472,24 + 9490447,22 + 6643313,06- 2847134,17- 156,15 = 108190942,2

ФОТм = МРОТ • Роб • 12,                      (32)

где МРОТ- минимальная месячная зарплата по стране;

Роб - общее число работников предприятия.

ФОТм=5205*15*12=936900

Налог на прибыль определяется по формуле

Нпр = Бн * Снпр, (33)

где Бн- налогооблагаемая база;

Снппр - ставка налога на прибыль.

Нпр = 108190942,2*0,2 = 21638188,44 руб.

Выплата экономических санкций, налагаемых на предприятие государственными структурами (налоговой инспекцией, санэпидемстанцией и др.) - Эс, принимается в размере 1% от Пдон.

Оставшаяся прибыль после уплаты налога и других платежей называется чистой прибылью. Следовательно, чистую прибыль можно определить по формуле

Пч = Пдон - Нпр - Эс            (34)

Пч = 108190942,2- 21638188,44 - 1081909,42 = 85470844,34 руб.

Чистая прибыль расходуется предприятием по следующим направлениям:

-- отчисления в резервный капитал;

1 на создание развитие фонда накопления (на техническое развитие);

2 на создание фонда потребления (социальное развитие коллектива, оказание материальной помощи персоналу и др.);

3 на выплату дивидендов;

4 на благотворительные и экологические цели;

5 на прочие цели.

Конкретные размеры прибыли, распределенные по вышеуказанным направлениям, студент определяет самостоятельно с кратким обоснованием. Итоговый расчет формирования и использования выручки и прибыли следует показать по форме , указанной в таблице 17.

Таблица 17 - Формирование и использование выручки и прибыли

Наименование показателя

Обозначение

Сумма (руб.)

Валовая выручка от реализации товаров по рыночной цене ( без торговой наценки )

ВРв

468197563,44

Налог на добавленную стоимость

Ндс

70474,03

Чистая выручка от продажи изделий по цене предприятия (выручка - нетто)

ВРч

411254547,2

Полная себестоимость всего выпуска продукции

Сп

316350074,96

Прибыль от реализации всех товаров

Пр

94904472,24

Прибыль от прочей реализации

Ппр

9490447,23

Доходы от внереализационных операций

6643313,06

Расходы от внереализационных операций

Vp

2847134,17

Налоги и сборы, относимые на финансовые результаты

Нф

156,15

Прибыль до налогообложения

Пдон

108190942,2

Налог на прибыль

Нпр

21638188,44

Экономические санкции

Эс

1081909,42

Чистая прибыль - всего

Пч

85470844,34

в том числе направляется :

 

 

 -- на образование резервного капитала

 

 

* на образование фонда накопления

 

 

* на образование фонда потребления

 

 

* на выплату дивидендов

 

 

* на благотворительные и природоохранные цели

 

 

* на другие цели

 

 


8. Определение потока реальных денег

Цель расчета - выявление достаточности денежных средств для финансирования всех затрат, необходимых для обеспечения деятельности предприятия в соответствии с производственной программой, погашения в установленные сроки банковской ссуды и процентов за кредит, выплаты налоговых платежей и платы за пользование природными ресурсами в соответствии с действующими законодательством, осуществления расходов по дальнейшему развитию предприятия, а также определения тенденции изменений доходов и расходов по годам расчетного периода. При осуществлении проекта выделяется три вида деятельности:

·        Инвестиционная.

·        Операционная или производственная.

·        Финансовая.

Представленные выше исходные данные дают возможность определить поток реальных денег по операционной деятельности по годам осуществления инвестиционного проекта. Расчет потока реальных денег по операционной деятельности указать в табл.18.

Таблица 18 - Поток реальных денег по операционной деятельности

Показатели

Условные обозначения

Шаги расчета, периоды



0-й

1-й

2-й

3-й

4-й

1

2

3

4

5

6

7

Объем производ-ства, шт.

V

0

808

808

808

808

Оптовая цена (без НДС), тыс. руб/шт.

Цо

0

508978,4

508978,4

508978,4

508978,4

Выручка от реализации, тыс. руб.

Вр=Цо*V

0

411254547,2

411254547,2

411254547,2

411254547,2

Себестоимость продукции, тыс. руб.

Ис

0

391522,37

391522,37

391522,37

391522,37

Переменные расходы в себестоимости, тыс. руб.

И пер.

0

92136,77

92136,77

92136,77

92136,77

Постоянные расходы в себестоимости, тыс. руб.

И пост.

0

7337,952

7337,952

7337,952

7337,952

Амортизация в постоянных расходах тыс. руб.

А

0

563

563

563

563

Валовая прибыль тыс. руб.

Пв=Вр-Ис

0

410863024,83

410863024,83

410863024,83

410863024,83

Суммы уплаченные в виде процентов за кредит тыс. руб.

Икр

0

1872,55

1872,55

1872,55

1872,55

Налоги, отнесенные на финансовые результаты тыс. руб.

Нфр

0

656,533

656,533

656,533

656,533

Прибыль до налогообложения тыс. руб.

Пно=Пв-Икр-Нфр

0

85470844,34

85470844,34

85470844,34

85470844,34

Налог на прибыль тыс. руб.

Нпр=0,2 *Пно

0

17094168,87

17094168,87

17094168,87

17094168,87

Чистая прибыль тыс. руб.

Пч=Пно-Нпр

0

68376675,47

68376675,47

68376675,47

68376675,47

Денежный поток по операционной деятельности (сальдо денеж-ного потока) тыс. руб.

ДПо=Пч+А

0

68377238,47

68377238,47

68377238,47

68377238,47


Данные табл. 19,20 формируют сальдо денежных потоков по операционной и инвестиционной деятельности, необходимые для оценки эффективности инвестиционного проекта (см. табл.20).

Таблица 19 Поток реальных денег по инвестиционной деятельности

Периоды

Капиталовложения, млн. руб.

0-й

9,784

1-й

-1,614

2-й

-1,35

3-й

-1,13

4-й

-0,99

5-й

-0,78

Итого с 0 по 5-й периоды

5,864

Ликвидационная стоимость основных средств на начало 6-го периода

3,92


Таблица 20 - Сальдо денежных потоков по операционной и инвестиционной деятельности

Шаги расчета, периоды

Денежный поток по операционной деятельности

Денежный поток по инвестиционной деятельности

0-й


9784000

1-й

68377238,47

-1614000

2-й

66763238,47

-1350000

3-й

65413238,47

-1130000

4-й

64283238,47

-990000

5-й

63293238,47

-780000

Итого за 0 - 5 -й периоды

328130192,35

9476000

Ликвидационная стоимость основных средств на 01.01 6-го периода


308000


9. Определение эффективности проекта

Эффективность проекта - та категория, которая отображает соответствие затрат и результатов инновационного проекта интересам и целям участников, здесь могут также учитываться интересы государства и населения. При оценке проектов используются такие виды эффективности, как:

·        Эффективность участия в проекте

·        Эффективность проекта в целом.

Эффективность проекта в целом определяется для того, чтобы определить потенциальную привлекательность проекта для его вероятных участников, а также с целью поиска инвесторов. Этот вид эффективности включает: общественную (социально-экономическую) и коммерческую эффективность.

Эффективность участия в проекте определяется для того чтобы определить возможность реализуемости проекта, а также заинтересованность в проекте его участников.

Здесь включаются такие виды эффективности как: бюджетная эффективность, эффективность участия в проекте предприятия, эффективность инвестирования в акции компании, а также эффективность участия в проекте структур более высокого уровня.

Среди многообразия видов эффективности проектов также можно выделить такие как:

·        Экономическая эффективность - показывает соотношение затрат на реализацию проекта и его результатов в соответствии с интересами и целями участников проекта в денежном эквиваленте;

·        Экологическая эффективность проекта - отражает соответствие затрат и результатов с точки зрения государства и общества;

·        Социальная эффективность - здесь отображено соответствие затрат и общественных результатов рассматриваемого проекта целям и социальным интересам его участников;

·        Другие виды эффективности.

На следующем этапе необходимо определить показатели эффективности инвестиционного проекта:

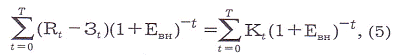
)        Внутренняя норма доходности (Евн) Этот показатель определяется решением уравнения:

 (35)

где, Евн - внутренняя норма доходности, отн. ед.t - результаты, достигаемые на t-м шаге расчёта (реализации проекта);  3t - затраты, осуществляемые на t-м шаге расчёта;  Kt - капитальные вложения на t-м шаге расчёта;  t - номер шага расчёта (0,1, 2, 3... Т);

Т - горизонт расчёта, равный номеру шага расчёта (месяц, квартал, год), в котором производится ликвидация объекта (проекта).

,47/(1+Евн)+65413238,47/(1+Евн)2+64283238,47/(1+Евн)3+63293238,47/(1+Евн)4=9784000 Евн=7,78 2)

Норма дисконта.

Нижняя граница нормы дисконта формируется исходя из банковского процента по депозитным вкладам Ед = 0,10, величины банковского процента по долгосрочным креди-там Ек=0,18 и сумм собственного и заёмного капиталов (в соответствии с формулой (36):

(36)

где, Ен - нижний уровень нормы дисконта, отн. ед.;

Ед - банковский процент по депозитным вкладам, отн. ед.;

Ек - кредитный процент по заёмным средствам, отн. ед.;

Кс - сумма собственного капитала, руб.;

Кз - сумма заёмного капитала, руб.

Ен = (0,10*0+0,18*9784000)/9784000 = 0,18

Оптимальным вариантом для выбора нормы дисконта может быть среднее значение, рассчитанное следующим образом:

(37)

Ес = (0,18+7,78)/2 = 3,98

) Чистый дисконтированный доход (ЧДД).

Этот показатель является основным при оценке эффективности инвестиционного проекта. Расчёт в данном случае ведётся по формуле 38):  Чистый дисконтированный доход при расчёте в текущих (базисных) ценах и постоянной норме дисконта определяется по формуле:

 (38)

Положительное значение ЧДД свидетельствует об эффективности инвестиционного проекта.

ЧДД = 66763238,47/(1+3,98)+ 65413238,47/(1+3,98)2+64283238,47/(1+3,98)3+63293238,47/(1+3,98)4-9784000 =6883322,29 руб.

Положительное значение ЧДД свидетельствует об эффективности инвестиционного проекта.

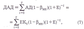
) Дисконтированный альтернативный доход (ДАД).

Дисконтированный альтернативный доход рассчитывается по формуле (39):

(39)

где, АД - альтернативный доход (прибыль) на t-м шаге расчёта;  Kt - сумма первоначального (реального) капитала и приращенного капитала на t-м шаге расчёта;

βнп - ставка налога на прибыль, отн. ед. (1 - βнп) - коэффициент перевода альтернативного дохода в чистый альтернативный доход.

ДАД=7,78* 1614000*(1-0,2)/(1+7,78)+ 7,78*1350000*(1-0,2)/(1+7,78)2+7,78*1130000*(1-0,2)/(1+7,78)3+7,78*990000*(1-0,2)/(1+7,78)4= 1299569,31

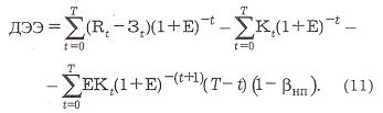
) Дисконтированный экономический эффект (его величина определяется на основании формулы (40):

(40)

ДЭЭ=66763238,47/(1+3,98)+65413238,47/(1+3,98)2+64283238,47/(1+3,98)3+63293238,47/(1+3,98)4-9784000-3,98*9784000*(1+3,98)0*(4-0)*(1-0,2) = -107941701,13  Отрицательное значение дисконтированного экономического эффекта ставит под сомнение вывод о целесообразности реализации инвестиционного проекта. Вместе с тем имеются по крайней мере два обстоятельства, свидетельствующие в пользу целесообразности осуществления проекта.

) Индекс доходности. Данный показатель рассчитывается в соответствии с формулой (41):

(41)

ИД=(66763238,47/(1+3,98)+65413238,47/(1+3,98)2+64283238,47/(1+3,98)3+63293238,47/(1+3,98)4)/9784000=1,7

) Срок окупаемости инвестиций.

Срок окупаемости капитальных вложений при норме дисконта Е = 0,25 определяется количеством лет, дающих сумму денежного потока по операционной деятельности, равную сумме денежного потока по инвестиционной деятельности.

Определяем накопленную сумму дисконтированного денежного потока по операционной деятельности, составит за 1-й - 5-й периоды, формула (42):

(42)

Срок окупаемости равен 7,6 месяцев

Определяем сумму дисконтированных капитальных вложений за 0-й. без - 1-й периоды без учёта ликвидационной (остаточной стоимости) основных средств. Следовательно, для полной окупаемости капитальных вложений необходимая величина дисконтированной прибыли с учётом амортизации за 5-й год реализации проекта, которая определяется как разница между суммой дисконтированных капитальных вложений и накопленной суммы дисконтированного денежного потока.

Степень устойчивости инвестиционного проекта по отношению к возможным изменениям условий его реализации может быть охарактеризована показателем предельного уровня объёмов производства, цен производимой продукции и других параметров проекта.

К наиболее важным показателям данного типа относится точка безубыточности, характеризующая объём производства, при котором выручка от продаж продукции совпадает с издержками производства (суммой условно-постоянных (Ипост) и условно-переменных (Ипер) расходов).

Точка безубыточности определяется по формуле:

(43)

Где, Ипост - общая сумма постоянных расходов;

Ц0 - оптовая цена (без НДС и акцизов);пер - условно-переменные расходы в себестоимости единицы продукции.   Чем дальше значение точки безубыточности (в меньшую сторону) от значения номинального объёма производства виртуальных туров (460 шт.), тем устойчивее инвестиционный проект. Обычно проект считается устойчивым, если в целом уровень безубыточности не превышает 60-70% после освоения проектных мощностей. Близость уровня безубыточности к 100% свидетельствует о недостаточной устойчивости проекта к колебаниям спроса на продукцию. Для укрупненной оценки устойчивости проекта могут быть также использованы показатели внутренней нормы доходности Евн и нижнего уровня нормы дисконта Ен. Устойчивость проекта в рассматриваемом примере рассчитывается по формуле (44):

(44)

Чем выше уровень Уп, тем выше запас устойчивости инвестиционного проекта.

Уп = (7,78 - 0,18)/7,78)*100 = 97,68


1. #"826084.files/image020.gif">

Предлагаемый экструдер состоит из станины 1, на которой закреплены электродвигатель 2, редуктор 3, корпус 4 и загрузочный бункер 5. Торец корпуса 4 имеет фильеру 6. В корпусе 4 размещен с возможностью вращения подающий шнек 7, который соединен через редуктор 3 с электродвигателем 2. На корпусе 4 и на валу шнека 8 закреплены лопатки 9, расположенные перед фильерой 6, которые образуют зону интенсивной обработки.

Данный экструдер - измельчитель работает следующим образом:

В приемный бункер 5 загружают обрабатываемый материал и включают электродвигатель 2, который через редуктор 3 приводит шнек 7 во вращение. Обрабатываемый материал захватывается витками шнека 7 и продвигается к зоне интенсивной обработки, при этом в этой зоне и перед фильерой 6 создается область повышенного давления и происходит нагрев материала за счет трения. При этом, обрабатываемый материал в зоне интенсивной обработки подвергается одновременному воздействию давления 10-14 МПа, температуры 100-150°С и механическому измельчению при помощи лопаток 9, форма которых обеспечивает продвижение материала к фильере 6 и одновременное его измельчение. На выходе из фильеры 6 получается готовый продукт.

Благодаря тому, что на корпусе и на валу шнека имеются лопатки, в процессе работы экструдера - измельчителя происходит интенсивное воздействие на обрабатываемый материал, что повышает степень его деструкции.

Похожие работы на - Расчет организации производства экструдера-измельчителя

 

Не нашли материал для своей работы?
Поможем написать уникальную работу
Без плагиата!
Без нейросетей!