Анализ исходов хоккейных матчей на предмет случайности
Министерство образования и науки
Республики Казахстан
Северо-Казахстанский государственный
университет им. М. Козыбаева
Факультет информационных технологий
Кафедра «Математика и информатика»
Курсовая
работа защищена
с оценкой
«______________»
«___»___________
2014 года
Заведующий
кафедрой
__________
Таджигитов А.А.
КУРСОВАЯ РАБОТА
ПО ИНЖЕНЕРНЫМ ПРИЛОЖЕНИЯМ
ВЕРОЯТНОСТНО-СТАТИСТИЧЕСКИМ МЕТОДАМ
На тему: «Анализ исходов хоккейных
матчей на предмет случайности»
по специальности 5В060200 -
«Информатика»
Выполнил Т.Г.
Адельбеков студент группы Ин(е)-12
Научный
руководитель В.П. Куликова к.т.н., доцент
Петропавловск 2014
СОДЕРЖАНИЕ
ВВЕДЕНИЕ
.
ОСНОВНЫЕ ПРАВИЛА В ХОККЕЕ
.1
Штрафы в хоккее
.2
Проверка статистической гипотезы:
. ДОГОВОРНЫЕ
МАТЧИ
.1
Тест последовательностей
.2
Реализация в SPSS
ЗАКЛЮЧЕНИЕ
СПИСОК
ИСПОЛЬЗОВАННОЙ ЛИТЕРАТУРЫ
ПРИЛОЖЕНИЕ
ВВЕДЕНИЕ
Общая характеристика работы
Континентальная хоккейная лига - международная лига,
созданная для развития хоккея на территории России и других стран Европы и
Азии. Решение о создании Лиги было принято в феврале 2008 года. После
переговоров и подготовительной работы Федерации хоккея России (ФХР) 27 марта
2008 года официально передала КХЛ права на проведение национального чемпионата
в течение 3 лет. В настоящее время действует уже второй трёхлетний договор
между ФХР и КХЛ (от 20 декабря 2011 года). В ходе Чемпионата КХЛ определяется
чемпион России, которым станет лучший российский клуб по итогам чемпионата.
Лига разделена на две конференции - Запад и Восток - и
на четыре дивизиона, носящие имена прославленных тренеров и игроков: Всеволода
Боброва, Анатолия Тарасова, Валерия Харламова и Аркадия Чернышева. Седьмой
Чемпионат КХЛ, в котором принимают участие 28 клубов из России, Белоруссии,
Казахстана, Латвии, Словакии, Хорватии и Финляндии, проходит с сентября 2014
года по апрель 2015. Главный трофей Лиги - Кубок Гагарина - будет вручен лучшей
команде Лиги по окончании финальной серии. Чемпионат КХЛ разделяется на два
этапа: регулярный чемпионат и плей-офф [1].
Основными проблемами проведения чемпионата КХЛ не раз
являлись ошибки судейства. ФХР совместно с руководством лиги изменяют правила
проведения игр перед каждым сезоном, что позволяет обеспечить меньшую
зависимость хоккейного матча от решения судьи.
Актуальность выбранной темы обусловлена тем, что в
нынешнее время при увеличении числа команд, участвующих в КХЛ, расширяется круг
зрителей, которые хотят наблюдать за проведением честных хоккейных поединков, а
именно отсутствие договорных матчей.
Объект и предмет исследования
Объектом исследования является судейские решения.
Предмет исследования - наличие или отсутствие мотива
при принятии не правильного решения у судьи.
Цель выполняемого исследования
Целью курсовой работы является изучение характера проведения
игр регулярного чемпионата КХЛ ХК Авангард.
Задачи исследования
· ответить на вопрос, существуют ли
договорные матчи?
· исследовать средства массовой
информации на предмет судейских решений;
· определить степень ответственности
судьи за исход матча.
Основные положения, выносимые автором на защиту: анализ дихотомической
переменной, характеризующей последовательность исходов хоккейных матчей.
Практическая значимость
Исследования, проведенные в курсовой работе, непременно имеют
практическую значимость, а именно в разработке инструмента, который необходим
для выявления договорных матчей, что позволит обеспечить честный исход матчей
регулярного чемпионата КХЛ.
Структура работы: обложка, титульный лист, аннотация, техническое задание
на работу, содержание, введение, основная часть, заключение, список
использованных источников.
Объем работы - 24с.
1. ОСНОВНЫЕ
ПРАВИЛА В ХОККЕЕ
Хоккей с шайбой - это спортивная командная игра с клюшками и шайбой на
специальной ледяной площадке с целью забить наибольшее количество шайб в ворота
противника. По наибольшему количеству голов и определяется победитель.
Правила игры претерпевали изменения: количество игроков на площадке в
разные времена было 7 и 9 человек, отсутствовали запасные игроки, у игроков
были разные функции - например, нападающий мог играть только у ворот
противоположной команды.
Шайба вводилась в игру другими способами: первоначально ее клал на лед
судья, затем, разводя клюшки соперников, подавал сигнал и отходил в сторону.
Потом шайбу стали просто вбрасывать на ледовую площадку.
Площадка для игры в хоккей с шайбой выглядит как прямоугольник
поверхность которого - ледяная. Размер площадки для игры в хоккей с шайбой
следующие: 56-61 м - длина, ширина - 26-30 м. Площадка ограждена бортиком
высотой 1,20-1,22 м, с закруглениями в углах. На лицевых бортах за воротами по
всей ширине всего поля крепится защитный экран высотой 1,6-2 м. В средней части
борта расположены дверцы - для выхода с поля, которые открываются наружу.
Ледяное поле для игры разграничено красными линиями со специальной
судейской зоной. Хоккеисты не имеют права находиться в судейской зоне во время
общения судьи с кем-либо по поводу различных ситуаций, возникающих на поле во
время игры. Такие нарушения наказываются дисциплинарными штрафами.
Ворота состоят из стоек обтянутых сеткой, глубиной 6-10 см. Рама ворот
должна быть белого цвета и имеет штыри, которыми прикручена к полю, благодаря
чему надежно зафиксирована.
Шайба для игры представляет собой плоский твердый диск из резины,
изготовленной из специального материала. Практически всегда шайба черного
цвета, чтобы ее легко было заметить на льду. Высота шайбы - 2,54 см, диаметр -
7,62 см, масса - 156-170 г. Шайба всегда вводится в игру вбрасыванием.
Клюшка для хоккея с шайбой отличается от клюшки полевого игрока размером
крюка. Правилами запрещается игра сломанной клюшкой: так, если у хоккеиста
сломалась клюшка, он может продолжить игру только в том случае, если бросит
сломанные части на лед. Вратарь не подчиняется этому правилу, он должен играть
всегда, пока судья не объявит конец игры.
В экипировку игрока входят коньки, униформа и специальная защитная
амуниция.
Цвет шлема также должен совпадать с основным цветом формы у всех игроков,
кроме вратаря. Также запрещено находится на игровом поле в шлеме с расстегнутым
ремешком.
Хоккейный матч продолжается 60 минут чистого игрового времени делится на
3 периода по 20 минут с перерывами длительностью по 15 минут между ними. После
каждого периода происходит обмен воротами. На протяжении матча командам
разрешено взять по 1 тайм-ауту.
На матч может быть заявлено не более 22 игроков, однако на поле выводится
не более 6 игроков.
Контроль за игрой осуществляют судья и 2 помощника. Решения судей
являются окончательными и не полежат обсуждению.
Непосредственное влияние на ход игры оказывает судейский состав: главный
судья и его помощники. Они выходят на поле, чтобы следить за игрой, носят
формы, коньки и хоккейные шлемы. Главный судья контролирует процесс игры, также
ему принадлежит право окончательного принятия решения. Ассистенты главного
судьи фиксируют нарушения на игровом, в том числе положение «вне игры» и
различные ситуации, в ходе которых контролируется положение всех участников
матча в различных участках поля.
Судейская бригада состоит из: двух судей, осуществляющих надзор за
воротами обеих команд, судьи, который следит за счетом, судьи, контролирующего
время, оставшееся до конца матча, судьи-информатора, нескольких судей для
оштрафованных игроков и судьи, который ведет видеозапись игры. Последний
необходим для разрешения спорных моментов, возникающих у ворот - для принятия
окончательного решения главным судьей требуется просмотреть видеозапись игры.
Перед началом матча в обязанности судьи входит: осмотреть ледовую
площадку и убедиться в возможности проведения на ней игры, проверить документы
на спортивный инвентарь, контролировать устранение выявленных нарушений,
проверить готовность видеооборудования к записи соревнований, проверить форму
игроков обеих команд на предмет их соответствия регламенту и правилам игры в хоккей.
Дискутировать с судьей во время игры может только капитан команды и его
помощники, если они не находятся на скамье для оштрафованных игроков.
Запрещается оспаривать решения судьи, если он накладывает на команду штраф.
Обращения к судье по таким вопросам караются штрафными санкциями в отношении
обратившегося по этому поводу игрока.
Голы засчитываются только главным судьей только в том случае, если шайба
полностью прошла в ворота. Если она остановилась на одной из линий, которыми
расчерчено игровое поле, то относится к тому участку, который данная линия
очерчивает. Очень часто в игре возникают моменты, когда попавшая в ворота шайба
попала в них не от клюшки нападающего игрока, а случайно отскочила от конька
хоккеиста. Такой гол засчитывается только в том случае, если не было
преднамеренного удара коньком по шайбе.
Также возникают ситуации, когда участники матча забивают гол в свои
ворота. Такие голы засчитываются, если не было отскока шайбы от ворот.
Несмотря на то, что по существующим правилам ворота должны быть так
закреплены на игровой площадке, чтобы их нельзя было сдвинуть с места, иногда
их по разным причинам сдвигают. Гол, попавший в такие ворота, считается
признанным главным судьей, если ворота оказались сдвинутыми во время или до
того, как в них оказалась шайба.
Голы не засчитываются также в случаях, если на участке у ворот игрового
поля находится нападающий игрок из противоположной команды, кроме тех случаев,
когда он туда попадает в результате действий игроков из команды-соперника.
1.1 Штрафы в хоккее
Правила игры в хоккей ограничены рядом запретов и штрафов за их
нарушение. Например, разрешено толкать противника, владеющего шайбой, но нельзя
делать ему навстречу более 2 шагов, использовать руки, колено или коньки для
ограничения противника. Хоккеисту запрещено играть сломанной клюшкой, ложиться
на шайбу, действовать клюшкой ниже уровня плеч, бить ею по конькам, бросать
клюшку, чтобы удержать противника. Штрафы бывают следующих видов: малые,
большие, за недисциплинированное поведение, в том числе и до конца игры,
штрафной бросок.
Самый распространённый в хоккее штраф - удаление с поля на 2 минуты без
замены. Такие штрафы накладываются на игроков за следующие нарушения: задержку
противника клюшкой, коньком, выбивание клюшки из рук противника, за поднятие
клюшки выше плеча, за игру сломанной клюшкой, за прижимание шайбы, если никто
из противников на нее не нападает, за толчок противника, который не участвует в
борьбе за шайбу, толчок на борт, толчок руками, попытку сбить противника, упав
под него, использование рук при борьбе за шайбу.
Команда может освободить своего игрока от устранения с поля по следующим
причинам: при забрасывании шайбы во время того, когда команда-соперник
находится в меньшинстве по причине удаления игроков в поля за штрафы. В этом
случае хоккеист, оштрафованный первым, возвращается на лед либо, в случае
получения двойного малого штрафа, начинает отбывать второй штраф, при этом
действие первого заканчивается. Штраф с удалением игрока с поля на 5 минут
назначается за следующие нарушения: если противнику нанесены повреждения
клюшкой, поднятой во время игры выше плеч, если при предпринятой попытке
задержать противника ему нанесены повреждения, за бросок клюшки или шайбы в
противника и за толчок вратаря в его зоне. На 10 минут удаляются игроки по
решению судьи за недисциплинированное поведение, включающее в оскорбление
любого лица, если игрок оспаривает решения судьи или проявляет неуважение к
решениям судей, если умышленно выбивает или отбрасывает шайбу за пределы поля
или бьет клюшкой по борту, выражая недовольство принятым решением составом
судей. Удаления с поля до конца игры могут быть назначены за следующий ряд
нарушений: умышленно грубая игра на игровом поле (в этом случае игрок подлежит
замене только через 5 минут) и если в результате умышленно грубой игры
противник получил повреждения (замена в этом случае происходит через 10 минут).
До момента выхода на лед игрока вместо оштрафованного, команда играет в меньшем
составе. Общие правила при наложении штрафов во время игры таковы: из команды
нельзя удалить более двух игроков одновременно, в случае появления третьего
нарушителя - он подлежит замене запасным игроком сразу же.
За нарушения команде оштрафованных судья может назначить штрафной бросок.
В нем принимают участие только 2 человека - по одному из каждой команды:
вратарь - из команды оштрафованных и полевой игрок из противоположной команды,
который этот бросок будет выполнять. Задача вратаря - не дать шайбе попасть в
свои ворота, задача игрока - забить гол. Требование, предъявляемое к игроку,
выполняющему штрафной бросок заключается в следующем: он не может остановиться,
чтобы прицелиться перед воротами.
Решение о наложении штрафа на игрока может принять только главный судья.
Самыми распространенными штрафами являются дисциплинарные, они
накладываются на игроков, виновность которых легко установить и бывают двух
видов - малые скамеечные (сроком на две минуты без замены) и непосредственно
дисциплинарные, которые делятся на просто дисциплинарные (нарушитель удаляется
на 10 минут с игрового поля) и дисциплинарные с удалением до конца игры.
К дисциплинарным штрафам за неспортивное поведение относятся: попытки
оспорить решение какого-либо из судей и попытку устранить любого игрока из
противоположной команду путем наложения на него штрафа. В случае неподчинения
игрока первоначальному решению судьи (скамеечному штрафу) или продолжит
обсуждать решения судей, на него будет наложен дисциплинарный штраф с удалением
из зоны игрового поля до окончания игры.
Также малый скамеечный штраф накладывается в случаях: при неподчинении
решению судей, при использовании оскорбительных выражений в отношении любого из
судей, при попытке вмешиваться в действия судей, находящихся на игровом поле.
Отбывать малый скамеечный штраф может любой игрок команды (не обязательно
нарушитель), определенный решением капитана. Назначенный игрок должен
немедленно покинуть поле и уйти в штрафную зону, в противном случае данный
штраф судья может применить к нему.
Дисциплинарный штраф накладывается за виновность игрока в следующих
действиях: использование оскорбительных выражении о отношению к любому из
участников игры, при отбрасывании шайбы, которую один из судей на поле
намеревается поднять, при попытке бросить любое снаряжение, кроме сломанной
клюшки, за удары по бортику, установленного вдоль игрового поля любым
предметом, при умышленной задержке игры различными способами.
Следует отметить, что на такого игрока, как вратарь команды, может быть
наложен только один из видов дисциплинарных штрафов - до конца игры. При
наложении других видов дисциплинарных штрафов (скамеечных или простых
дисциплинарных) на вратаря, за него отбывать наказание будет любой другой игрок
команды, которого выберет капитан.
В случае удаления вратаря с поля по причине наложенных на него
соответствующих штрафов, играть за него будет запасной вратарь, либо, при его
отсутствии, любой полевой игрок. Время на переодевании игроков отводится путем
остановки игры и общей продолжительностью - десять минут.
При наложении на любого игрока команды повторного дисциплинарного штрафа
- он будет заменен дисциплинарным с удалением до конца игры с последующей
заменой другим игроком.
По окончании штрафа (кроме того, который распространяет свое действие до
конца игры) игрок может вступить в игру только во время ближайшей ее остановки.
Следует заметить, что наложение дисциплинарного штрафа с удалением с
игрового поля не ведет к дисквалификации игрока. Однако, согласно правилам,
если игрок по какой-либо причине во время конкретного турнира или чемпионата
получает повторный дисциплинарный штраф с удалением до конца игры, принимать
участие в последующем таком турнире (чемпионате) в составе той команды, в
которой данный игрок получил 2 штрафа, он не может.
1.2 Проверка статистической гипотезы
Проверка статистической гипотезы:
Пусть имеются два текста, при написании которых были использованы разные
стили речи русского языка. К примеру, для первого текста был использован
публицистический, а для второго художественный стиль.
"Проблем с договорными матчами в мировом хоккее нет" - так сказал
Рене Фаззель, глава IIHF.И в правду, тяжело вспомнить крупный скандал связанные
с нечестной игрой в хоккее.
О договорных матчах в Европе и говорить не приходится, а вот на
постсоветском пространстве проблема нечестной игры существует, включая и КХЛ.
Давайте обратимся в прошлое. Вспомним 2010 год.
Матч КХЛ между Трактором и Металлургом из Магнитогорска комментировал
Алексей Дементьев. И в конце второго периода комментатор сказал в прямом эфире,
что матч закончится предсказуемой победой Трактора.
Однако это вызвало большой скандал, потому что форма, в которой
высказался Дементьев дала пищу для размышлений, а честный ли матч идет в
Екатеринбурге? На самом деле в том матче было много странных ситуаций, и уже
после слов Дементьева все стали внимательно смотреть, как действуют хоккеисты
на площадке. Трактору в итоге нужна была победа в этом матче, а Металлурга
устроил бы и овертайм. В ключевой момент для Трактора, когда Трактор получил
шанс сыграть в большинстве и на вбрасывание в зоне Металлиста выходит 3 тройка
Трактора, не самая сильная, которая не реализовала ни одного большинства.
Дальше еще интереснее, игрок Металлурга из-за сломавшейся клюшки быстро убежал
на скамейку, когда была атака на его ворота. В итоге тогда Трактор и забил
победную шайбу.
После этого матча сразу же пошли разговоры о том, что матч был договорным
и все стали рьяно смотреть на все матчи КХЛ и искать в них договорной характер.
Но руководство КХЛ быстро оборвало все разговоры о том, что в КХЛ могут быть
договорные матчи и оштрафовала комментатора Дементьева на 500 тысяч рублей.
Еще до конца сезона вспоминали этот матч, но так ни одного договорного в
КХЛ так и не нашли, хотя были разговоры еще и о том что Магнитка часто катает
договорные матчи в КХЛ, но до фактов дело не дошло. В Европе с договорными
матчами куда проще, в Европе хоккей как бизнес поставлен на большую ногу и
"договорняк" там, в принципе сыграть не выгодно. Команды в Европе, а
под Европой я имею ввиду Швецию, Финляндию, Чехию, Швейцарию, зарабатывают на
спонсорских контрактах, атрибутике, билетах и телеправах и т.д.
Проиграв, какой либо матч, ты не зарабатываешь, а тот, кто выигрывает не
честно, смысла нет подкупать другую команду, так как смысл победы, если ты в
итоге по финансам будешь в минусе (от взятки). Схема очень простая, но в России
она не работает, потому что хоккейные команды в основном сидят на
государственных бюджетах. То, что в КХЛ нет договорных матчей, верится с
трудом. Финальная серия в 2012 КХЛ между Авангардом и Металлургом из
Новокузнецка. Наверно мало кто вспомнит открытое письмо болельщиков Авангарда
Третьяку. Но в том письме было написано много очевидных вещей, о том, что
финальная серия была договорной, но на него мало кто обратил свое внимание.
Хотя в Омске все тогда говорили, что Авангард при своих болельщиках
проиграет 5 игру, об этом говорили в каждом дворе, в итоге так оно и произошло.
Скандалы с допингом у хоккеистов Металлурга, интервью молодых ребят из
Авангарда, которые лишнее взболтнули о том, что помимо опыта, им выиграть
помешали и кабинетные интриги. Если даже Финальная серия КХЛ была договорной,
то, что говорить о молодежной лиге? Что говорить о низших лигах?
Там расписать матч ничего не стоит. Внимания со стороны прессы мало, а в
букмекерских конторах принимают ставки на такие игры. В Волжске не раз ставили
на то, что будет Овертайм в матче их любимой команды Ариада-Акпарс. В общем, то
эта команда побила своеобразный рекорд на эту ставку в букмекерских конторах и
по суммам, которые ставили на такое событие.
В конце сезона и вовсе некоторые букмекерские конторы убрали возможность
поставить на то, что будет овертайм в матчах Ариада-Акпарс.
Договорные матчи, увы, не искоренить, но их можно свести к минимуму. А
как это сделать, это уже пусть решают верха, а мы и дальше будем ходить на
стадионы, платить за кабельное, чтобы смотреть этот цирк, под названием
отечественный спорт!
Никогда не разговаривайте с неизвестными
Однажды весною, в час небывало жаркого заката, в Москве, на Патриарших
прудах, появились два гражданина. Первый из них, одетый в летнюю серенькую
пару, был маленького роста, упитан, лыс, свою приличную шляпу пирожком нес в
руке, а на хорошо выбритом лице его помещались сверхъестественных размеров очки
в черной роговой оправе. Второй - плечистый, рыжеватый, вихрастый молодой
человек в заломленной на затылок клетчатой кепке - был в ковбойке, жеваных
белых брюках и в черных тапочках.
Первый был не кто иной, как Михаил Александрович Берлиоз, председатель
правления одной из крупнейших московских литературных ассоциаций, сокращенно
именуемой МАССОЛИТ, и редактор толстого художественного журнала, а молодой
спутник его - поэт Иван Николаевич Понырев, пишущий под псевдонимом Бездомный.
Попав в тень чуть зеленеющих лип, писатели первым долгом бросились к
пестро раскрашенной будочке с надписью «Пиво и воды».
Да, следует отметить первую странность этого страшного майского вечера.
Не только у будочки, но и во всей аллее, параллельной Малой Бронной улице, не
оказалось ни одного человека. В тот час, когда уж, кажется, и сил не было
дышать, когда солнце, раскалив Москву, в сухом тумане валилось куда-то за
Садовое кольцо, - никто не пришел под липы, никто не сел на скамейку, пуста
была аллея.
Необходимо выяснить влияет ли использование разных стилей речи, при
написании статьи, на среднюю длину слова. В общем, употреблено 113348 слова, из
которых 630 взяты из новостей спорта и 112718 из художественного произведения
Михаила Булгакова «Мастер и Маргарита». Так как длина слова измеряется
количеством букв, а для проверки статистической гипотезы в дальнейшем будет использован
непараметрический тест Колмогорова-Смирнова [2], то необходимо перейти от
количественной шкалы к шкале наименований. Использование шкалы наименований
позволяет наделять объекты или их свойства (признаки) именами. Также необходимо
отметить, что с каждой из шкал связан определенный набор допустимых
математико-статистических операций. Поскольку в шкале наименований числа - не
более чем ярлыки, «наклеиваемые» на объекты, с этими числами нельзя производить
никаких действий. Их нельзя складывать или вычитать, делить или умножать.
Возможен только подсчет числа объектов с одинаковыми именами или с одинаковыми
свойствами.
Статистическая обработка данных, представленных в шкале наименований,
чаще всего начинается с построения таблицы сопряженности, показывающей
распределение «имен» в соответствии с числом типов объектов или их свойств. Для
данного примера определенной длине слова соответствует «имя», необходимые
данные представлены в таблице 1.
Таблица 1
Таблица сопряженности
|
Шкала наименований
|
1
|
2
|
3
|
4
|
5
|
6
|
7
|
|
Количественная шкала
|
1
|
2 и 3
|
4
|
5
|
6
|
7
|
>7
|
После перехода к шкале наименований, подсчитано количество слов в обеих
статьях определенной длины. Результаты продемонстрированы в таблице 2.
Таблица 2
Количество слов в тексте
|
Количество слов заданной длины
|
|
|
Итого
|
|
1
|
2
|
3
|
4
|
5
|
6
|
7
|
|
|
Спортивная
|
84
|
117
|
51
|
74
|
79
|
71
|
154
|
630
|
|
Художественная
|
12538
|
20148
|
8301
|
12163
|
13934
|
14429
|
31205
|
112718
|
|
Итого
|
12622
|
20265
|
8352
|
12237
|
14013
|
14500
|
31359
|
113348
|
Можно ли на основании полученных данных сделать вывод о том, что между художественном
стилем и официально-публицистическим существуют различия в использовании слов
одинаковой длины?
В
данном случае рассматриваются две эмпирические кумулятивные функции
распределения (значения накопленных к данному разряду таблицы относительных частот):
для первой выборки и
для
второй выборки. Вычисляются величины расхождений между ними, и находится
значение D - максимальное (по модулю) значение различий между эмпирическими кумулятивными
функциями распределения для первой (n1) и второй (n2) выборки, по формуле (1).
(1)
Далее
для применения непараметрического теста Колмогорова-Смирнова необходимо
вычислить накопленную относительную частоту, расчеты показаны в таблице 3.
Таблица
3
Накопленная
относительная частота
|
Количество слов заданной длины
|
Итого
|
|
1
|
2
|
3
|
4
|
5
|
|
|
|
|
Спортивная
|
84
|
117
|
51
|
74
|
79
|
71
|
154
|
630
|
|
Относительная частота
|
0,13
|
0,19
|
0.08
|
0.12
|
0,13
|
0,11
|
0,24
|
|
|
Накопленная относительная частота 0,130,320,40,520,650,761
|
|
|
|
|
|
|
|
|
|
Художественная
|
12538
|
20148
|
8301
|
12163
|
13934
|
14429
|
31205
|
112718
|
|
Относительная частота
|
0,11
|
0,18
|
0,07
|
0,11
|
0,12
|
0,13
|
0,28
|
|
|
Накопленная относительная частота 0,110,290,360,470,590,721
|
|
|
|
|
|
|
|
|
|
0,020,030,040,050,060,040
|
|
|
|
|
|
|
|
|
Далее
необходимо выбрать уровень значимости
и
сформулировать соответствующие гипотезы.: Нет различий в длине среднего слова
при использовании публицистического и художественного стилей.: Существует
различия в длине среднего слова при использовании публицистического и
художественного стилей.
На
основании последней строки таблицы 1 находим значение
Это
эмпирическое значение сравнивается с критическим, которое определяется на
основе таблицы критических значений для теста Колмогорова-Смирнова для двух
независимых выборок (см. табл. 1, Приложение 1, случай большой выборки и
двусторонней критической области). Если эмпирическое значение D меньше
критического, то нет оснований отвергнуть нулевую гипотезу. Если эмпирическое
значение D больше критического или равно ему, то нулевая гипотеза отвергается и
принимается альтернативная.
Из
таблицы 1 следует, что для уровня значимости
критическое
значение D находится по формуле (2):
(2)
Результат
для данного примера продемонстрирован на рисунке 1:
Рисунок
1. Вычисление критического значения
Поскольку
эмпирическое значение D(0,06) больше критического (0,054), нулевая гипотеза
отвергается и принимается альтернативная. Следовательно, имеются различия в
длине среднего слова в текстах написанных публицистическим и художественным
стилем.
2. ДОГОВОРНЫЕ МАТЧИ
хоккейный статистический матч переменный
Исходом хоккейного поединка в регулярном чемпионате КХЛ может быть
выигрыш или проигрыш. Результат матча зависит от нескольких факторов, например,
физического состояния команд, наличие травмированных игроков, текущего
положения в таблице распределения мест, также в последнее время стал важным тот
показатель работы менеджеров клуба, которую они ведут в межсезонье.
2.1 Тест последовательностей
Проверка случайного характера последовательности дихотомических значений.
Для анализируемой последовательности, образованной дихотомической
переменной, принимающей, например, значения 0 и 1, определяется, сколько раз в
ней встречаются значение 0 (n0), значение 1 (n1) и количество серий r из нулей
и единиц (включая единичные значения нулей и единиц).
С начала седьмого регулярного сезона КХЛ зафиксированы исходы двадцати
восьми матчей хоккейного клуба Авангард, необходимые данные представлены в таблице
4:
Таблица 4
Результаты матчей ХК Авангард
|
Соперник
|
Счет
|
Результат
|
|
1
|
Металлург Нк
|
0:1
|
Проигрыш
|
|
2
|
Адмирал
|
4:2
|
Выигрыш
|
|
3
|
Витязь
|
8:5
|
Выигрыш
|
|
4
|
Амур
|
4:1
|
Выигрыш
|
|
5
|
Сибирь
|
5:3
|
Выигрыш
|
|
6
|
Металлург Нк
|
1:2
|
Проигрыш
|
|
7
|
Амур
|
4:0
|
Выигрыш
|
|
8
|
Амур
|
1:2
|
Проигрыш
|
|
9
|
Локомотив
|
4:2
|
Выигрыш
|
|
10
|
Сочи
|
8:1
|
Выигрыш
|
|
11
|
Трактор
|
4:2
|
Выигрыш
|
|
12
|
Югра
|
2:3
|
Проигрыш
|
|
13
|
Нефтехимик
|
4:3
|
Выигрыш
|
|
14
|
Лада
|
1:3
|
Проигрыш
|
|
15
|
Металлург Нк
|
0:2
|
Проигрыш
|
|
16
|
Амур
|
4:1
|
Выигрыш
|
|
17
|
Сибирь
|
1:3
|
Проигрыш
|
|
18
|
Салават-Юлаев
|
6:2
|
Выигрыш
|
|
19
|
СКА
|
2:3
|
Проигрыш
|
|
20
|
Йокерит
|
2:1
|
Выигрыш
|
|
21
|
Динамо Р
|
2:3
|
Проигрыш
|
|
22
|
Трактор
|
3:0
|
Выигрыш
|
|
23
|
Югра
|
4:1
|
Выигрыш
|
|
24
|
Лада
|
1:0
|
Выигрыш
|
|
25
|
Нефтехимик
|
5:1
|
Выигрыш
|
|
26
|
Динамо Мск
|
4:5
|
Проигрыш
|
|
27
|
Салават-Юлаев
|
2:1
|
Выигрыш
|
|
28
|
Барыс
|
3:1
|
Выигрыш
|
В случае выигрыша приписаны значения (1), а случае поражения (0), в
результате была получена такая последовательность:
,1,1,1,1,0,1,0,1,1,1,0,1,0,0,1,0,1,0,1,0,1,1,1,1,0,1,1.
На основе полученных результатов необходимо выяснить, можно ли
утверждать, что исход хоккейного матча носит случайный характер?
С подобного рода задачами часто приходится иметь дело при наличии
последовательности дихотомических значений какой-либо переменной. Основной
возникающий здесь вопрос - подчиняется ли чередование результатов матчей ХК
Авангард какой-либо закономерности или носит случайный характер.
Для
ответа на данный вопрос чаще всего используется тест последовательностей (или
серий). Также необходимо выбрать уровень значимости, в данном случае
и сформулировать нулевую и альтернативную гипотезы.
Н0:
Чередование исходов матчей ХК Авангард, а именно выигрыша и проигрыша носит
случайный характер.
Н1:
Чередование исходов матчей ХК Авангард, а именно выигрыша и проигрыша носит
неслучайный характер, т.е. имеет какую-либо закономерность.
Для
анализируемой последовательности, образованной дихотомической переменной,
принимающей, например, значения 0 и 1, определяется, сколько раз в ней
встречаются значение 0 (n1), значение 1 (n2).
Для
приведенного примера определено число случаев выигрыша (n1=18) хоккейного клуба
Авангард и проигрыша (n2=10). Затем необходимо определить, из скольких серий
повторяющихся значений 0 или 1 состоит приведенная последовательность:
,
1,1,1,1, 0, 1, 0, 1,1,1, 0, 1, 0,0, 1, 0, 1, 0, 1, 0, 1,1,1,1, 0, 1,1.
Как
видно, последовательность состоит из 18 серий: восемь серий из одного нуля,
пять серий из одной единицы, одна серия из двух нулей, одна серия из двух
единиц, одна серия из трех единиц и две серии из четырех единиц.
Полученное
значение r=18 сравнивается с двумя критическими значениями, которые находятся в
таблице, используемой для проверки последовательностей при известных n1, n2 и
.
Если
полученное значение числа серий r меньше первого критического значения или
равно ему, или же больше второго критического значения или равно ему, нет
оснований принять нулевую гипотезу. Она отвергается на заданном уровне
Последовательность в этом случае признается
неслучайной. В любой последовательности можно найти определенное число серий.
предположения о не случайном характере последовательности возникает тогда,
когда серий или слишком мало, или слишком много. Поэтому вначале проверяется
предположение о том, не слишком ли мало в последовательности серий, чтобы она
могла считаться случайной. Затем предположение о том, не слишком ли много в
последовательности серий, чтобы считаться случайной. Из этого кстати, следует,
что здесь используется двусторонняя критическая область.
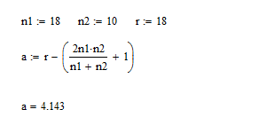
В
нашем примере r=18, n1=18, n2=10 и уровень значимости
По таблице определено, что первое критическое
значение равно восьми, второе критическое значение равно девятнадцати.
Поскольку ни одно из условий для отклонения нулевой гипотезы не выполняется, то
она принимается. Исход матчей ХК Авангард, а именно чередование выигрыша и
проигрыша носит случайный характер.
2.2 Реализация в SPSS
В ряде случаев длина последовательности может быть возможностей
статистических таблиц, рассчитанных для выборки ограниченных размеров. Для
больших выборок (больше 50 значений) используется иной подход к анализу
последовательностей, основанный на свойствах нормального распределения и
реализованный в программе SPSS.
На основании полученных данных о n0, n1 и r вычисляет0ся значение z:

. Если
формула принимает вид:
. Если
формула принимает вид:
Так
как в данном примере выборка меньше 50 то необходимо произвести дополнительные
вычисления, в соответствии с рисунком 2.
Рисунок
2. Расчет дополнительного условия
По
проведенным расчетам видно, что показатель больше нуля, следовательно,
дальнейшие вычисления будут проводиться по формуле.
Ввод
переменной в SPSS продемонстрирован на рисунке 3.
Рисунок 3. Ввод дихотомической переменной в SPSS
Для реализации теста последовательностей в программе SPSS, необходимо
выбрать непараметрический критерий, как показано на рисунке 4.
Рисунок 4. Тест последовательностей в SPSS
Далее необходимо установить параметры, в соответствии с рисунком 5.
Рисунок 5. Параметры для расчета
Результат вычислений показан на рисунке 6.
Рисунок 6. Результат
По таблице z-распределения определяется вероятность, соответствующая
вычисленному значению z для односторонней критической области.
ЗАКЛЮЧЕНИЕ
В
ходе выполнения курсовой работы по инженерным приложениям
вероятностно-статистическим методам, необходимо было достигнуть цели
поставленной в начале работы, а именно изучить характер проведения игр
регулярного чемпионата КХЛ ХК Авангард на предмет наличия договорных матчей.
Для достижения цели был использован один из непараметрических тестов, тест
серий. Суть, которого заключается в исследовании последовательности
дихотомической переменной, которая принимала значение единицы в случае
очередного выигрыша ХК Авангард и значение нуль в противном случае. По итогам
выполнения данного теста были получены результаты на уровне значимости
которые говорят о том, что исход двадцати восьми проведенных
игр носит случайный характер. Необходимо отметить, что полученный результат не
гарантирует отсутствие договорных матчей в российском хоккее. Для полного
исследования необходимо рассмотреть весь регулярный чемпионат, также нужны
дополнительные инструменты, поскольку данный метод не рассматривает текущее
положение хоккейной команды на момент проведения матча.
В
процессе выполнения работы было проведено исследование, в ходе которого
необходимо было ответить на вопрос, имеются ли различия в длине среднего слова
при использовании публицистического и художественного стилей речи? Для ответа
на данный вопрос был использован непараметрический тест Колмогорова-Смирнова
(случай двух больших независимых выборок n1 и n2, двусторонняя критическая
область), по итогам, которого было получено эмпирическое значение D=0,06.
Данный результат сравнивался с критическим значением. В результате ответом на
поставленный вопрос будет то, что имеются различия в длине среднего слова в
текстах написанных публицистическим и художественным стилем.
Дополнением
к выполненной работе может служить исследование о сравнении средней длины слова
в других стилей речи, к примеру, найти различия в использовании научного и
официально-делового стилей. В вопросе о договорных матчах рекомендуется использовать
больше факторов, которые оказывают влияние на исход хоккейного матча.
СПИСОК
ИСПОЛЬЗОВАННОЙ ЛИТЕРАТУРЫ
1. Официальный сайт Континентальной Хоккейной Лиги, #"826057.files/image023.gif">
|
0,01
|
|
|
0,001
|
|
Таблица 2
Критические значения r для теста последовательностей
|
2
|
3
|
4
|
5
|
6
|
7
|
8
|
9
|
10
|
|
3
|
|
|
|
|
2 -
|
2 -
|
2 -
|
2 -
|
2 -
|
|
4
|
|
|
|
2 9
|
2 9
|
2 -
|
3 -
|
3 -
|
3 -
|
|
5
|
|
|
2 9
|
2 10
|
3 10
|
3 11
|
3 11
|
3 -
|
3 -
|
|
6
|
|
2 -
|
2 9
|
3 10
|
3 11
|
3 12
|
3 12
|
4 13
|
4 13
|
|
7
|
|
2 -
|
2 -
|
3 11
|
3 12
|
3 13
|
4 13
|
4 14
|
5 14
|
|
8
|
|
2 -
|
3 -
|
3 11
|
3 12
|
4 13
|
4 14
|
5 14
|
5 15
|
|
9
|
|
2 -
|
3 -
|
3 -
|
4 13
|
4 14
|
5 14
|
5 15
|
5 16
|
|
10
|
|
2 -
|
3 -
|
3 -
|
4 13
|
5 14
|
5 15
|
5 16
|
6 16
|
|
11
|
|
2 -
|
3 -
|
4 -
|
4 13
|
5 14
|
5 15
|
6 16
|
6 17
|
|
12
|
2 -
|
2 -
|
3 -
|
4 -
|
4 13
|
5 14
|
6 16
|
6 16
|
7 17
|
|
13
|
2 -
|
2 -
|
3 -
|
4 -
|
5 -
|
5 15
|
6 16
|
6 17
|
7 18
|
|
14
|
2 -
|
2 -
|
3 -
|
4 -
|
5 -
|
5 15
|
6 16
|
7 17
|
7 18
|
|
15
|
2 -
|
3 -
|
3 -
|
4 -
|
5 -
|
6 15
|
6 16
|
7 18
|
7 18
|
|
16
|
2 -
|
3 -
|
4 -
|
4 -
|
5 -
|
6 -
|
6 17
|
7 18
|
8 19
|
|
17
|
2 -
|
3 -
|
4 -
|
4 -
|
5 -
|
6 -
|
7 17
|
7 18
|
8 19
|
|
18
|
2 -
|
3 -
|
4 -
|
5 -
|
5 -
|
6 -
|
7 17
|
8 18
|
8 19
|