Расчет годовой выработки электроэнергии и отпуска тепла
CОДЕРЖАНИЕ
Введение
Исходные
данные
. Определение
потребности района в электрической энергии и построение суточных графиков
нагрузки
.
Определение мощности станции. Выбор типа и единичной мощности агрегатов
3.
Расчет годовой выработки электроэнергии и отпуска тепла
4. Определение
капиталовложений в сооружение электростанции
. Определение
годовых эксплуатационных расходов
6. Технико-экономическое
сравнение вариантов состава оборудования
. Калькуляция
себестоимости энергии
. Определение
прибыли и рентабельности
. Технико-экономические
показатели ТЭС
. Анализ
хозяйственной деятельности электростанции
. Распределение
нагрузки между агрегатами станции
Заключение
Список
литературы
ВВЕДЕНИЕ
Начавшаяся в стране перестройка экономики
неизбежно привела к изменению состава и структуры отношений в
электроэнергетике.
Для успешного функционирования на рынке
необходимо снижать издержки производства и в первую очередь - затраты на
топливо. Расход топлива на ТЭС зависит от структуры генерирующих мощностей,
степени загрузки оборудования и многих других факторов.
Данный курсовой проект выполняется на тему
«Технико-экономическое обоснование выбора основного оборудования ТЭЦ» и его
целью является закрепление у студентов полученных теоретических знаний по
дисциплине «Экономика и организация энергетического производства» и выработка
навыков решения важнейших технико-экономических вопросов проектирования: выбора
основного оборудования тепловой электростанции, организации его эксплуатации,
расчета основных технико-экономических показателей станции.
Задача курсового проекта состоит в выявлении
причины изменения итоговых показателей (себестоимости, прибыли) хозяйственной
деятельности станции и определении путей по улучшению этих показателей.
В процессе выполнения курсового проекта студенты
должны приобрести следующие навыки:
· овладение методом технико-экономического анализа
при выборе тех или иных решений;
· умение пользоваться экономической
литературой и справочно-нормативными материалами при выполнении экономических
расчетов;
· умение сопоставить плановые и
фактические результаты деятельности предприятия;
· умение сформулировать пути повышения
эффективности производства.
ИСХОДНЫЕ ДАННЫЕ
Таблица
1
Отрасли промышленности
|
№
|
Наименование
потребителей
|
Объём
выпуска продукции, т
|
Удельная
норма расхода эл.-энергии на ед. продукции, Эпром, кВтч
|
Коэф-т
заполнения годового графика нагрузки, KЗ
|
%
осветительн. нагрузки от год. максимума промышленной нагрузки, k
|
Отношение
нагрузки по сменам III:I:II
|
|
1
|
Черная
металлургия
|
750
тыс.
|
200
|
0,78
|
5
|
1:1:1
|
|
2
|
Производство
алюминия
|
40
тыс.
|
2000
|
0,95
|
2
|
1:1:1
|
Численность городского населения составляет Нчел=550
тыс. чел.
Таблица
2
Виды коммунально-бытовой нагрузки
|
Виды
коммунально-бытового потребления
|
Удельный
расход электроэнергии на 1 человека в год, Эгор, кВтч
|
Число
часов использования максимальной нагрузки, ч,
|
|
Освещение
(бытовое, улиц, учреждений)
|
200
|
2000
|
|
Бытовые
приборы
|
80
|
3000
|
|
Городской
транспорт
|
50
|
5000
|
|
Водопровод
и канализация
|
70
|
4000
|
|
Мелкомоторная
нагрузка
|
30
|
4000
|
Таблица
3
Тепловые нагрузки, покрываемые из отборов турбин
|
Тепловые
нагрузки пара, т/ч
|
Число
часов использования максимума тепловой мощности отборов, ч
|
|
10-13
ата
|
1,2-2,5
ата
|
Технологическая
|
Отопительная
|
|
Технологическая
|
Отопительная
|
|
|
|
115
|
177
|
6500
|
3150
|
Таблица
4
Связь электростанции и высоковольтных сетей
района с энергосистемой
|
Зима
|
Лето
|
|
Станция
отдает в систему (в % то нагрузки района)
|
Район
получает электроэнергию из системы (в % от нагрузки района)
|
|
-10
|
+15
|
Летний максимум нагрузки принять 75% от зимнего
максимума нагрузки.
Таблица
5
Показатели топливной базы ТЭЦ
|
Вид
топлива
|
Калорийность
топлива, , ккал/кг
|
Наименование
энергосистемы
|
Транспорт
топлива
|
Цена
топлива, д.е./ т.н.т
|
Стоимость
перевозки, д.е./ 50т
|
Потери
топлива при перевозке, выгрузке α, %
|
|
Донецкий
энергетический уголь
|
5940
|
Киевэнерго
|
600
|
960
|
9200
|
0,8
|
Таблица
6
Суточный диспетчерский график работы станции
Зима:
|
Часы
|
0-6
|
6-11
|
11-14
|
14-19
|
19-24
|
|
Мощность,
МВт
|
|
|
|
|
|
Лето:
|
Часы
|
0-7
|
7-11
|
11-14
|
14-20
|
20-24
|
|
Мощность,
МВт
|
|
|
|
|
|
Таблица
7
Отклонение фактических показателей от плановых
(расчетных)
|
Наименование
показателей
|
Единица
измерения
|
±Δ
|
|
1.
Выработка электрической энергии
|
%
|
-2
|
|
2.
Отпуск электрической энергии
|
%
|
-2,5
|
|
3.
Удельный расход топлива на отпуск электрической энергии,
|
|
0
|
|
4.
Цена 1т.у.т.
|
д.е.
т.у.т.
|
-0,3
|
|
Постоянные
расходы, отнесенные на отпуск электрической энергии
|
тыс.
д.е.
|
-20
|
1. Определение потребности района в
электрической энергии и построение суточных графиков нагрузки
Расчет годовой потребности района в
электрической энергии
Годовая потребность в электрической энергии
рассчитывается для следующих основных групп потребителей в районе:
. Основные отрасли промышленности (включая
производственное освещение)
2. Бытовое освещение (квартиры,
общественные учреждения, улицы)
. Бытовые электрические приборы
. Элекрифицированный городской транспорт
. Водопровод и канализация
. Мелкомоторная нагрузка городского
хозяйства
Потребность в электрической энергии
промышленностью Эпром, рассчитываем по формуле:
где, П - годовая продукция отрасли
промышленности , натуральные единицы;
Эпром - норма удельного расхода
электроэнергии, кВтч на единицу продукции.
Годовое потребление электроэнергии городским
хозяйством и населением рассчитывается по нормам удельных расходов на одного
жителя района:
где, Нчел - численность населения в
районе, человек;
Эгор - норма удельного расхода
электроэнергии, кВтч на одного жителя района.
Годовая потребность в электрической энергии
районом энергопотребления:
Расчет годовых максимумов нагрузки
Годовой максимум электрической нагрузки отрасли
промышленности определяем по формуле:
где,
-
годовой показатель использования максимума электрической нагрузки
рассматриваемой отрасли промышленности, определяется по формуле:
,
где, KЗ
- коэффициент заполнения годового графика нагрузки отрасли промышленности.
Годовой максимум электрической нагрузки
потребителей городского хозяйства и населения определяем по формуле:
Годовой максимум промышленной осветительной
нагрузки определяется по формуле:
Все результаты расчетов сводятся в таблицу 8
Таблица
8
Сводная таблица электропотребления и максимума
нагрузки
|
Потребители
|
Выпуск
прод. пром., П и число жителей района, Нчел
|
Норма
расхода эл. энергии на ед. продукции или 1 жителя, Э
|
Эгод,
млн. кВтч
|
hmax, ч
|
Pгор, тыс. кВт
|
K, %
|
Pпром, тыс. кВт
|
, тыс. кВт
|
, тыс. кВт
|
|
Промышленность
|
|
|
230
|
|
|
|
|
|
32,85
|
|
1
|
750000
|
200
|
150
|
|
|
5
|
21,95
|
1,098
|
23,05
|
|
2
|
40000
|
2000
|
80
|
|
|
2
|
9,613
|
0,192
|
9,805
|
|
Город
|
|
|
236,5
|
|
88,92
|
|
|
|
|
|
1
|
|
200
|
110
|
2000
|
55
|
|
|
|
|
|
2
|
|
80
|
44
|
3000
|
14,67
|
|
|
|
|
|
3
|
|
50
|
27,5
|
5000
|
5,5
|
|
|
|
|
|
4
|
|
70
|
38,5
|
4000
|
9,625
|
|
|
|
|
|
5
|
|
30
|
16,5
|
4000
|
4,125
|
|
|
|
|
Построение зимнего суточного графика
электрической нагрузки
Суточные графики электрической нагрузки всех
промышленных потребителей рассчитываются для зимних суток (декабрь).
Таблица
9
Типовые суточные графики электрической нагрузки
городского хозяйства
|
Потребители
|
Часы
суток
|
|
0
|
2
|
4
|
6
|
8
|
10
|
12
|
14
|
16
|
18
|
20
|
22
|
24
|
|
1.
Освещение
|
65
|
30
|
30
|
50
|
30
|
25
|
15
|
20
|
60
|
100
|
90
|
80
|
65
|
|
2.
Бытовые приборы
|
30
|
10
|
0
|
20
|
50
|
60
|
25
|
15
|
40
|
100
|
80
|
60
|
30
|
|
3.
Городской транспорт
|
60
|
15
|
5
|
25
|
100
|
70
|
70
|
70
|
100
|
90
|
65
|
65
|
60
|
|
4.
Водопровод и канализация
|
20
|
25
|
40
|
45
|
75
|
60
|
65
|
70
|
80
|
40
|
30
|
25
|
20
|
|
5.
Мелкомоторная нагрузка
|
15
|
5
|
5
|
15
|
70
|
80
|
30
|
90
|
100
|
60
|
25
|
15
|
15
|
Нагрузка в таблице 9 указана в % от городского
максимума в зимний день.
Рисунок 1 - Суточный график электрической
нагрузки промышленного производства
Рисунок 2 - Суточный график электрической
нагрузки коммунального хозяйства
Рисунок 3 - Суточный график электрической
нагрузки района
Таблица
10
Суточный график электрической нагрузки
промышленного производства и города
|
Потребители
|
мВт
|
Соотношение
нагрузок по сменам
|
3-я
смена
|
1-я
смена
|
|
|
|
0
|
2
|
4
|
6-8
|
8
|
10
|
12
|
14-16
|
16
|
18
|
20
|
20-24
|
|
Станкостроение
|
23,05
|
1:1:1
|
23,05
|
23,05
|
23,05
|
|
Производство
строительных материалов
|
9,805
|
1:1:1
|
9,805
|
9,805
|
9,805
|
|
1.
освещение
|
55
|
1:1:1
|
35,75
|
16,50
|
16,50
|
27,50
|
16,50
|
13,75
|
8,25
|
11,00
|
33,00
|
55,00
|
49,50
|
44,00
|
|
2.
бытовые приборы
|
14,67
|
1:1:1
|
4,40
|
1,47
|
0,00
|
2,93
|
7,34
|
8,80
|
3,67
|
2,20
|
5,87
|
14,67
|
11,74
|
8,80
|
|
3.
городской транспорт
|
5,5
|
1:1:1
|
3,30
|
0,83
|
0,28
|
1,38
|
5,50
|
3,85
|
3,85
|
3,85
|
5,50
|
4,95
|
3,58
|
3,58
|
|
4.
водопровод и канализация
|
9,625
|
1:1:1
|
1,93
|
2,41
|
3,85
|
4,33
|
7,22
|
5,78
|
6,26
|
6,74
|
7,70
|
3,85
|
2,89
|
2,41
|
|
5.
мелко-моторная нагрузка
|
4,125
|
1:1:1
|
0,62
|
0,21
|
0,21
|
0,62
|
2,89
|
3,30
|
1,24
|
3,71
|
4,13
|
2,48
|
1,03
|
0,62
|
|
88,92
|
1:1:1
|
45,99
|
21,40
|
20,83
|
36,76
|
39,44
|
35,48
|
23,26
|
27,50
|
56,19
|
80,95
|
68,73
|
59,40
|
|
|
121,775
|
1:1:1
|
78,96
|
54,30
|
53,72
|
69,73
|
72,82
|
68,94
|
56,34
|
61,04
|
89,80
|
114,25
|
101,77
|
92,37
|
|
2. Определение мощности станции.
Выбор типа и единичной мощности агрегатов
Зимний максимум электрической нагрузки
определяется по расчетным данным из таблицы 10:
Летний максимум электрической нагрузки принимаем
75% от зимнего максимума:
При определении мощности станции следует
учитывать величину потерь энергии в высоковольтных сетях и подстанциях,
распределительных сетях, расход энергии на собственные нужды станции и
принимаем эту величину равной 18%. Определяем максимальную электрическую
нагрузку станции с учетом потерь по формуле:
где,
-
величина отдачи в энергосистему или получения мощности из энергосистемы зимнего
и летнего максимума нагрузки района, %, дана в таблице 4.
Исходя из максимальной зимней электрической
нагрузки, а также данных тепловой нагрузки из таблицы 3 производим выбор
единичной мощности, количества и типа турбоагрегатов станции.
Таблица
11
Варианты оборудования станции
|
Вариант
1
|
Вариант
2
|
|
ПТ-50-90
х 2шт и К-50-90 х 2шт
|
ПТ-50-90
х 2шт и Т-50-90 х 2шт
|
|
|
|
|
Nу =200 МВт
|
Nу =200 МВт
|
Для окончательного выбора состава оборудования
необходимо для всех рассматриваемых вариантов определить капиталовложения в
сооружение станции, годовые эксплуатационные расходы, а также денежные
поступления от реализации продукции.
3. Расчет годовой выработки
электроэнергии и отпуск тепла
Суточная выработка электрической энергии
определяется, исходя из заданного диспетчерского графика нагрузки станции по
данным таблицы 6:
Определяем суточную выработку электроэнергии в
зимний и летний дни:
Коэффициент использования установленной мощности
за зимние и летние сутки определяем по формулам:
Коэффициент использования установленной мощности
за январь можно принять 0,9 от KИ.дек
=
0,9∙0,77 = 0,69
Годовую выработку электроэнергии ТЭЦ по месяцам
года определяется по формуле:
где, Mк
- количество дней в месяце;
KИ
- коэффициент использования установленной мощности по месяцам года.
Коэффициент использования для остальных месяцев
года определяем графическим путем.
Рисунок 4 - Определение коэффициента
использования
Таблица
12
Годовая выработка электроэнергии
|
Месяцы
|
Nу, МВт
|
Mк, дней
|
KИ
|
Эмес,
МВтч/м
|
|
Январь
|
200
|
31
|
0,69
|
102672
|
|
Февраль
|
200
|
28
|
0,67
|
90048
|
|
Март
|
200
|
31
|
0,65
|
96720
|
|
Апрель
|
200
|
30
|
0,63
|
90720
|
|
Май
|
200
|
31
|
0,61
|
90768
|
|
Июнь
|
200
|
30
|
0,58
|
83520
|
|
Июль
|
200
|
31
|
0,62
|
92256
|
|
Август
|
200
|
31
|
0,65
|
96720
|
|
Сентябрь
|
200
|
30
|
0,68
|
97920
|
|
Октябрь
|
200
|
31
|
0,71
|
105648
|
|
Ноябрь
|
200
|
30
|
0,74
|
106560
|
|
Декабрь
|
200
|
31
|
0,77
|
114576
|
|
Итого
за год: Эгод =1168128 МВтч/год
|
Определим число часов использования
установленной мощности ТЭЦ по формуле:
Годовой расход пара на технологические нужды
определяем по формуле:
Годовой расход пара на отопление определяем по
формуле:
Годовой отпуск тепла определяем по формуле:
где, Δi
- теплосодержание отпускаемого тепла для отопительной нагрузки равное 0,6
Гкал/т пара и 0,55 Гкал/т пара для технологической нагрузки.
4. Определение капиталовложений в
сооружение электростанции
Для определения капитальных затрат в сооружение
станции воспользуемся методом стоимости отдельных агрегатов станции. В
соответствии с этим методом стоимость станции определяется как сумма затрат,
относимых к турбинам, котлам и в целом по станции. Последние включают в себя
стоимость подсобных и обслуживающих объектов, затраты на освоение, планировку и
благоустройство территории, стоимость корпуса управления станцией и некоторые
другие затраты.
По узлам турбоагрегата и котлоагрегата
капитальные затраты определяются для первого агрегата и последующих. К первому
агрегату отнесена стоимость оборудования и главного корпуса, техводоснабжения,
топливного хозяйства.
Все исходные данные для расчетов приведены в
приложении 4. Котлы следует подобрать, исходя из номинальных расходов пара
турбинами; их количество должно быть равно количеству турбин плюс резервный
котел, принимаем котел марки:
Вариант: 3хБКЗ-420 и 2хБКЗ-220.
Вариант: 3хБКЗ-420 и 2хБКЗ-320.
Определяем капитальные вложения в станцию по
формуле:
где, KТ1,
KК1
- затраты, относимые соответственно на первый турбоагрегат и котел;
∑KТП,
∑KКП
- затраты, относимые соответственно на все последующие турбоагрегаты и котлы;
Kобщест
- общестанционные затраты.
По данным таблицы 6 топливом данной ТЭЦ -
является газ, значит следует вводить коэффициент 0,85:
Определяем удельные капиталовложения по
проектируемой ТЭЦ по формуле:
5. Определение годовых
эксплуатационных расходов
Годовые эксплуатационные расходы определяются по
следующим элементам затрат:
· топливо;
· амортизация;
· ремонт;
· заработная плата;
· страховые взносы;
· прочие расходы.
Расчет расхода топлива
Годовые затраты электростанции на топливо
определяются по формуле:
где,
-
калорийность топлива (смотреть таблицу 5);
- годовой расход топлива на
электростанции, который определяется в курсовом проекте приближенно по
топливным характеристикам турбоагрегатов, т. у.т. (смотреть приложение 5);
- прейскурантная цена топлива
(смотреть таблицу 5);
- затраты на транспортировку 1 т
натурального топлива (по железнодорожному тарифу на перевозку топлива),
смотреть таблицу 5;
- процент потерь топлива при
перевозках по железным дорогам, разгрузке вагонов, хранении и т.д. Для твердого
топлива принимается, в зависимости от расстояния, от 0,5 до 2% (смотреть
таблицу 5).
Таблица
13
Тепловая нагрузка между теплофикационными
агрегатами
|
Виды
турбин
|
Тепловая
нагрузка технологическая
|
Тепловая
нагрузка отопительная
|
Годовая
тепловая нагрузка Технологическая
|
Годовая
тепловая нагрузка Отопительная
|
Итог
|
|
Вариант
1
|
700000
|
660000
|
1360000
|
|
Заданная
|
100
т/ч
|
200
т/ч
|
|
|
|
|
1.
ПТ-50-90
|
30
|
120
|
210000
|
396000
|
|
|
2.
ПТ-50-90
|
70
|
80
|
490000
|
264000
|
|
|
1.
К-50-90
|
-
|
-
|
-
|
-
|
|
|
2.
К-50-90
|
-
|
-
|
-
|
-
|
|
|
Вариант
2
|
700000
|
6600000
|
136000
|
|
Заданная
|
100т/ч
|
200т/ч
|
|
|
|
|
1.
ПТ-50-90
|
80
|
30
|
560000
|
99000
|
|
|
2.
ПТ-50-90
|
20
|
70
|
140000
|
231000
|
|
|
1.
Т-50-90
|
-
|
50
|
-
|
165000
|
|
|
1.
Т-50-90
|
-
|
50
|
-
|
165000
|
|
Годовой расход пара из отбора одной турбины
определяется как:
где,
и
- часовые расходы пара из
отопительного и производственного отборов одной турбины.
Рассчитаем годовой расход топлива на
турбину В, для газа он принимается с коэффициентом 0,96:
Вариант 1:
ПТ-50-90:
В том числе:
К-50-90:
Вариант 2:
ПТ-50-90:
В том числе:
Т-50-90:
В том числе:
Расчет амортизации
Норма амортизации может быть приближенно
определена по формуле:
где,
- число часов использования
установленной мощности станции.
Величина амортизационных отчислений
составит:
где, Kст -
капитальные вложения в сооружение станции.
Затраты по заработной плате
В нашем случае учитывается
заработная плата только эксплуатационного персонала основных цехов.
Затраты по заработной плате
определяются по формуле:
где,
- штатный коэффициент, принимаем из
приложения 6, равный 1,29;
- удельный фонд заработной платы,
равный 150000 д.е./чел.год.;
- мощность электростанции, МВт.
Страховые взносы
Страховые взносы составляют 30 % от
затрат по заработной плате, получаем:
Затраты на капитальный и текущий
ремонты
Затраты на капитальный и текущий
ремонты принимаем в размере 2 % от капиталовложений в сооружение станции:
Прочие расходы
Прочие расходы принимаем в процентах
от суммы затрат на топливо, амортизацию, заработную плату и ремонт - для
электростанций мощностью от 100 до 500 МВт - 5%;
Годовые эксплуатационные расходы
Полная величина годовых
эксплуатационных расходов определяется как сумма перечисленных затрат:
6. Технико-экономическое сравнение
вариантов состава оборудования
Обоснование выбора состава
оборудования
Принимаем горизонт расчета Трасч = 10
годам; ставку дисконта Е = 10%; срок строительства станции Тстр = 4
годам. Частичную эксплуатацию начать с четвертого года. Распределение
инвестиций по годам произвести следующим образом:
· затраты на приобретение внеоборотных активов
(капитальные вложения в основные фонды) распределять равномерно в течение
четырех лет;
· в первый год эксплуатации к
инвестиционным затратам на приобретение оборудования добавить затраты на
приобретение внеоборотных активов (стоимость месячного запаса топлива).
В первый год эксплуатации объем продаж принять
равным 0,8 от номинального; величину амортизационных отчислений рассчитать по
норме амортизации:
от суммы инвестиций за предыдущие три года
строительства.
Второй год эксплуатации принять годом нормальной
эксплуатации, начиная с этого года объем и величина издержек производства будут
номинальными и постоянными во все последующие годы; амортизационные отчисления,
рассчитанные от полной суммы капитальных вложений в сооружение станции, в
дальнейшем остаются постоянными.
Для каждого варианта рассчитать потоки наличности
и представить в таблице 14. Для расчета чистой прибыли можно величину налогов
принять в размере 20% от балансовой прибыли. В дальнейшем для выбранного
варианта налоги рассчитать подробно.
Для расчета выручки от продаж принимаем тариф на
электроэнергию: τэ=3у.е./1кВтч,
тариф на тепловую энергию: τq=1000д.е./Гкал.
По данным таблиц 14,15 рассчитаем
показатели эффективности - ЧДД, ИД,
, ВНД для каждого варианта и выберем
лучший.
Для расчета ВНД необходимо
рассчитать ЧДД при различных ставках дисконтирования, используя табличные
значения коэффициента дисконтирования из приложения 7.
Таблица
14
Поток реальных денег варианта 1
|
№
|
Наименование
показателя
|
Значение
показателя по годам, тыс. д.е.
|
|
|
годы
|
|
|
1
|
2
|
3
|
4
|
5
|
6
|
7
|
8
|
9
|
10
|
|
1
|
2
|
3
|
4
|
5
|
6
|
7
|
8
|
9
|
10
|
11
|
12
|
|
1
|
Операционная
деятельность
|
-
|
-
|
-
|
323533
|
1009514,4
|
1009514,4
|
1009514,4
|
1009514,4
|
1009514,4
|
1009514,4
|
|
1.1
|
Объём
продаж
|
|
|
|
0,8
|
1
|
1
|
1
|
1
|
1
|
1
|
|
Отпуск
эл.эн. Эотп
|
-
|
-
|
-
|
+
|
+
|
+
|
+
|
+
|
+
|
+
|
|
Отпуск
тепл..эн. Qотп
|
-
|
-
|
-
|
+
|
+
|
+
|
+
|
+
|
+
|
+
|
|
1.2
|
Цена
продаж
|
|
|
|
|
|
|
|
|
|
|
|
Тариф
на эл.эн. τэ =
3у.е./1кВтч
|
|
|
|
|
|
|
|
|
|
|
|
Тариф
на тепл. эн.τq = 1000
д.е./Гкал
|
|
|
|
|
|
|
|
|
|
|
|
1.3
|
Выручка
от продаж
|
-
|
-
|
-
|
3429907,2
|
4287384
|
4287384
|
4287384
|
4287384
|
4287384
|
4287384
|
|
1.4
|
Суммарные
издержки
|
-
|
-
|
-
|
3187841
|
3187841
|
3187841
|
3187841
|
3187841
|
3187841
|
3187841
|
|
1.4.1
|
Переменные
издержки Ит
|
-
|
-
|
-
|
2674578
|
2674578
|
2674578
|
2674578
|
2674578
|
2674578
|
2674578
|
|
1.4.2
|
Амортизац.
отчисления Иам
|
-
|
-
|
-
|
129880
|
129880
|
129880
|
129880
|
129880
|
129880
|
129880
|
|
1.4.3
|
Прочие
постоянные издержки
|
-
|
-
|
-
|
293853
|
293853
|
293853
|
293853
|
293853
|
293853
|
293853
|
|
1.5
|
Прибыль
балансовая
|
-
|
-
|
-
|
242066,2
|
1111153
|
1111153
|
1111153
|
1111153
|
1111153
|
1111153
|
|
1.6
|
Налоги
0,2 п 1.5
|
|
|
|
48413,2
|
219908,6
|
219908,6
|
219908,6
|
219908,6
|
219908,6
|
219908,6
|
|
1.7
|
Прибыль
чистая
|
-
|
-
|
-
|
193653
|
879634,4
|
879634,4
|
879634,4
|
879634,4
|
879634,4
|
879634,4
|
|
2
|
Инвестиционная
деятельность К = Косн+Коб
|
1298800
|
1298800
|
1298800
|
1610466,58
|
-
|
-
|
-
|
-
|
-
|
-
|
|
2.1
|
Затраты
на приобретение внеоборотных активов Косн
|
1298800
|
1298800
|
1298800
|
1298800
|
-
|
-
|
-
|
-
|
-
|
-
|
|
2.2
|
Затраты
на приобретение оборотных активов Коб
|
-
|
-
|
-
|
222882
|
-
|
-
|
-
|
-
|
-
|
-
|
Таблица
15
Поток реальных денег варианта 2
|
№
|
Наименование
показателя
|
Значение
показателя по годам, тыс. д.е.
|
|
|
годы
|
|
|
1
|
2
|
3
|
4
|
5
|
6
|
7
|
8
|
9
|
10
|
|
1
|
2
|
3
|
4
|
5
|
6
|
7
|
8
|
9
|
10
|
11
|
12
|
|
1
|
Операционная
деятельность
|
-
|
-
|
-
|
315910,5
|
1001891,9
|
1001891,9
|
1001891,9
|
1001891,9
|
1001891,9
|
1001891,9
|
|
1.1
|
Объём
продаж
|
|
|
|
0,8
|
1
|
1
|
1
|
1
|
1
|
1
|
|
Отпуск
эл.эн. Эотп
|
-
|
-
|
-
|
+
|
+
|
+
|
+
|
+
|
+
|
+
|
|
Отпуск
тепл..эн. Qотп
|
-
|
-
|
-
|
+
|
+
|
+
|
+
|
+
|
+
|
+
|
|
1.2
|
Цена
продаж
|
|
|
|
|
|
|
|
|
|
|
|
Тариф
на эл.эн. τэ =
3у.е./1кВтч
|
|
|
|
|
|
|
|
|
|
|
|
Тариф
на тепл. эн.τq = 1000
д.е./Гкал
|
-
|
-
|
-
|
3429907,2
|
4287384
|
4287384
|
4287384
|
4287384
|
4287384
|
4287384
|
|
1.4
|
Суммарные
издержки
|
-
|
-
|
-
|
3224491
|
3224491
|
3224491
|
3224491
|
3224491
|
3224491
|
3224491
|
|
1.4.1
|
Переменные
издержки Ит
|
-
|
-
|
-
|
2657425
|
2657425
|
2657425
|
2657425
|
2657425
|
2657425
|
2657425
|
|
1.4.2
|
Амортизационные
отчисления Иам
|
-
|
-
|
-
|
151577,5
|
151577,5
|
151577,5
|
151577,5
|
151577,5
|
151577,5
|
151577,5
|
|
1.4.3
|
Прочие
постоянные издержки
|
-
|
-
|
-
|
312956
|
300953
|
300953
|
300953
|
300953
|
300953
|
300953
|
|
1.5
|
Прибыль
балансовая
|
-
|
-
|
-
|
205416,2
|
1062893
|
1062893
|
1062893
|
1062893
|
1062893
|
1062893
|
|
1.6
|
Налоги
0,2 п 1.5
|
|
|
|
41083,2
|
212578,6
|
212578,6
|
212578,6
|
212578,6
|
212578,6
|
212578,6
|
|
1.7
|
Прибыль
чистая
|
-
|
-
|
-
|
164333
|
850314,4
|
850314,4
|
850314,4
|
850314,4
|
850314,4
|
850314,4
|
|
2
|
Инвестиционная
деятельность К=Косн+Коб
|
1515775
|
1515775
|
1515775
|
1827441,6
|
-
|
-
|
-
|
-
|
-
|
-
|
|
2.1
|
Затраты
на приобретение внеоборотных активов Косн
|
1515775
|
1515775
|
1515775
|
1515775
|
-
|
-
|
-
|
-
|
-
|
-
|
|
2.2
|
Затраты
на приобретение оборотных активов Коб
|
-
|
-
|
-
|
221452,1
|
-
|
-
|
-
|
-
|
-
|
-
|
электроэнергия мощность
себестоимость рентабельность
Показатели эффективности варианта 1:
Чистый дисконтированный доход ЧДД определяется
по формуле:
где, τ
- год приведения;
t - год вложения
средств;
- горизонт расчета;
- норма дисконта;
- чистая прибыль;
- амортизационные отчисления;
- капиталовложения в t год.
Индекс доходности ИД
рассчитывается по формуле:
Определяем окупаемость инвестиций Ток1,
или срок возврата средств, графическим способом.
Срок окупаемости - минимальный
временной интервал (от начала осуществления проекта), за пределами которого ЧДД
становится (и в дальнейшем остается) положительным.
Для расчета срока окупаемости можно
построить зависимость ЧДД от времени (шагов расчета), рисунок 5.
Из рисунка 5, следует что окупаемость инвестиций
составляет Ток1 = 7лет 9 месяцев.
Внутренняя норма доходности ВНД
равна ставке дисконтирования
при которой чистый дисконтированный
доход (ЧДД) проекта равен нулю.
Рисунок 5 - Изменение ЧДД по шагам расчета
Если весь проект выполняется только за счет
заемных средств, то ВНД равна максимальному проценту, под который можно взять
заем с тем, чтобы суметь расплатиться из доходов от реализации проекта за
расчетный период.
ВНД можно рассчитать по формуле:
где, при которых ЧДД1
положителен - первая ставка
и ЧДД2 отрицателен -
вторая ставка
Вариант 2:
Чистый дисконтированный доход ЧДД
определяется по формуле:
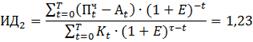
Индекс доходности ИД
рассчитывается по формуле:
Окупаемость инвестиций Ток2,
или срок возврата средств, найдем графическим способом:
Рисунок 6 - Изменение ЧДД по шагам расчета
Из рисунка 6, следует что окупаемость инвестиций
составляет Ток2 = 9 лет 1 месяц. ВНД можно рассчитать по
формуле:
Сравниваем показатели эффективности:
Вариант 1: Вариант 2:
ЧДД1 = 2547000 тыс. д.е. > ЧДД2
= 1466000 тыс. д.е.
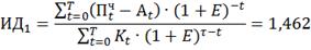
ИД1 = 1,462 > ИД2 =
1,23
Ток1 = 7лет 9мес. < Ток2 =
9лет 1мес.
Евн1 = 0,393 > Евн2 =
0,270
По полученным показателям выбираем 1вариант
оборудования т.к. у него меньше капиталовложения, издержки на амортизацию и
капитальные ремонты, срок окупаемости инвестиций, больше чистый
дисконтированный доход, индекс доходности и внутренняя норма доходности.
Рассчитаем показатели эффективности выбранного
варианта и занесем их в таблицу 16.
Таблица
16
Интегральные показатели эффективности
|
Наименование
показателей
|
Значение
показателей по годам, тыс. д. е.
|
|
1
|
2
|
3
|
4
|
5
|
6
|
7
|
8
|
9
|
10
|
|
1
|
2
|
3
|
4
|
5
|
6
|
7
|
8
|
9
|
10
|
11
|
|
1.
Капитальные вложения
|
1298800
|
1298800
|
1298800
|
1610466,6
|
-
|
-
|
-
|
-
|
103904
|
-
|
|
2.
Доход
|
|
|
|
323533
|
1009514,4
|
1009514,4
|
1009514,4
|
1009514,4
|
1009514,4
|
-
|
|
3.
Коэффициент дисконтирования при Е1=0,15
|
0,247
|
0,247
|
0,247
|
0,247
|
0,247
|
0,247
|
0,247
|
0,247
|
0,247
|
-
|
|
4.
Дисконтированные капитальные вложения
|
320804
|
320804
|
320804
|
397785
|
-
|
-
|
-
|
-
|
25664
|
-
|
|
5.
Суммарные дисконтированные капитальные вложения нарастающим итогом
|
320804
|
641608
|
962412
|
1360197
|
1360197
|
1360197
|
1360197
|
1360197
|
1385861
|
-
|
|
6.
Дисконтированный доход
|
-
|
-
|
-
|
89913
|
269350
|
269350
|
269350
|
269350
|
269350
|
-
|
|
7.
Суммарный дисконтированный доход нарастающим итогом
|
-
|
-
|
-
|
89913
|
359263
|
628613
|
897963
|
1167313
|
1436663
|
-
|
|
8.
Чистый дисконтированный доход
|
-320804
|
-641608
|
-962412
|
-1270284
|
-1000934
|
-731584
|
-
462234
|
-192884
|
50802
|
-
|
|
9.
Индекс доходности
|
1,037
|
|
10.
Ток (срок окупаемости)
|
7
лет
9
месяцев
|
|
11.
Коэффициент дисконтирования при Е2=0,20
|
0,162
|
0,162
|
0,162
|
0,162
|
0,162
|
0,162
|
0,162
|
0,162
|
0,162
|
-
|
|
12.
Дисконтированные капитальные вложения
|
210406
|
210406
|
210406
|
260896
|
-
|
-
|
-
|
-
|
16832
|
-
|
|
13.
Дисконтированный доход
|
-
|
-
|
-
|
55412
|
173541
|
173541
|
173541
|
173541
|
173541
|
-
|
|
14.
Суммарные дисконтированные капитальные вложения нарастающим итогом
|
210406
|
420812
|
631218
|
892114
|
892114
|
892114
|
892114
|
892114
|
908946
|
-
|
|
15.
Суммарный дисконтированный доход нарастающим итогом
|
-
|
-
|
-
|
53412
|
226953
|
400494
|
574035
|
747576
|
921117
|
-
|
|
16.
Чистый дисконтированный доход
|
-210406
|
-420812
|
-631218
|
-838702
|
-665161
|
-491620
|
-318079
|
-144538
|
12171
|
-
|
|
17.
Индекс доходности
|
|
18.
Срок окупаемости
|
7
лет 9 месяцев
|
|
19.
Внутренняя норма доходности
|
0,136
|
Таблица
17
Калькуляция себестоимости энергии ТЭЦ
|
№
|
|
Элементы
затрат, млн. д.е.
|
Распределение
затрат
|
|
|
Топливо
|
Зарплата
|
Амортизация
и ремонт
|
Прочие
|
Всего
|
На
электроэнергию
|
На
тепло-энергию
|
|
|
|
|
|
|
|
млн.
д.е.
|
%
|
млн.
д.е.
|
%
|
|
1
|
2
|
3
|
4
|
5
|
6
|
7
|
8
|
9
|
10
|
11
|
|
1
|
Котельный
цех
|
2674,578
|
16,254
|
140,267
|
|
2831,099
|
2697,370
|
95,0
|
133,729
|
5,0
|
|
2
|
Турбинный
и электрический цехи
|
|
11,61
|
109,096
|
|
120,706
|
120,706
|
|
|
|
|
3
|
Всего:
|
2674,578
|
27,864
|
249,363
|
|
2951,805
|
2818,076
|
95,47
|
133,729
|
4,53
|
|
4
|
Общестанционные
расходы
|
|
10,836
|
62,341
|
151,249
|
224,426
|
214,260
|
|
10,166
|
|
|
5
|
Итого
затрат:
|
2674,578
|
38,700
|
311,704
|
151,249
|
3176,231
|
3032,336
|
|
143,895
|
|
|
Распределение
затрат:
|
|
|
|
|
|
|
|
|
|
|
6
|
на
электроэнергию
|
2697,370
|
25,841
|
208,132
|
100,993
|
3032,336
|
|
|
|
|
|
7
|
на
теплоэнергию
|
133,729
|
|
|
10,166
|
143,895
|
|
|
|
|
|
Себестоимость
единицы:
|
|
|
|
|
|
|
|
|
|
|
8
|
электроэнергии,
д.е./100кВтч
|
230,9
|
2,2
|
17,8
|
8,7
|
259,6
|
|
|
|
|
|
9
|
Теплоэнергии,
д.е./Гкал
|
170,8
|
|
|
13
|
183,8
|
|
|
|
|
7. Калькуляция себестоимости энергии
Видом топлива данной станции является газ,
следовательно затраты топливно-транспортного цеха учитываться не будут.
(Таблица 17)
8. Определение прибыли и
рентабельности
Основными экономическими рычагами в хозрасчете
являются прибыль
и рентабельность.
Эффективность деятельности
предприятия оценивается по величине дохода Д, который определяется как сумма
чистой прибыли
и
амортизационных отчислений
:
Источником формирования чистой
прибыли является балансовая прибыль
, представляющая собой сумму прибыли
от реализации продукции (работ, услуг): основных фондов, иного имущества
предприятия и доходов от внереализованных операций, уменьшенных на сумму
расходов по этим операциям:
а) прибыль от реализации продукции
определятся как разница между выручкой от реализации продукции и затратами на
производство и реализацию, включаемыми в себестоимость продукции (в
себестоимость включаются платежи по % за кредит банков и страховые взносы);
б) при определении прибыли от
реализации основных фондов учитывается разница между продажной ценой и
первоначальной стоимостью, увеличенной на индекс инфляции;
в) в состав доходов от
внереализованных операций включаются: доходы от сдачи имущества в аренду,
доходы (дивиденды, проценты) по акциям, облигациям и т.д.
Для исчисления налога на прибыль
рассчитывается прибыль, облагаемая налогом (Пн), или расчетная
прибыль (Прасч), которая определяется как балансовая прибыль,
уменьшенная на сумму отчислений в резервный фонд предприятия (прибыль, не
подлежащая налогообложению Пне обл.), а также уменьшенная на сумму
рентных платежей: имущественный налог, налог на транспортные средства, налог на
землю, экологический налог, целевые сборы на содержание милиции, уборку улиц и
т.д.:
где, Н1 - сумма рентных
платежей;
Пб - прибыль балансовая.
Чистая прибыль
представляет
собой разность между балансовой прибылью и уплаченными налогами:
где, Н2 - налог с
расчетной прибыли (налог на прибыль).
Балансовая, или чистая,
рентабельность производства определяется как отношение соответствующей прибыли
к стоимости основных фондов Фо и нормируемых оборотных средств
:
Для расчета балансовой прибыли и
рентабельности TЭЦ принять:
· средний отпускной тариф за электроэнергию и
теплоэнергию в двойном размере от себестоимости электроэнергии и тепла
соответственно;
· стоимость основных фондов Фо
- равной сумме капиталовложений в ТЭЦ;
· сумму нормируемых оборотных средств
НОС - равной сумме затрат по топливу за месяц эксплуатации;
· в сумму годовых издержек
производства добавить выплату процентов за банковский кредит, приняв ее равной
0,5% от стоимости основных фондов и нормируемых оборотных средств;
Для расчета чистой прибыли принять следующую
систему налогообложения:
· имущественный налог - 2,2%;
· рентные платежи в бюджеты разного
уровня - 50000 д.е./чел.;
· 20% балансовой прибыли не подлежит
налогообложению;
· налог на прибыль - 20%.
Для образования фонда материального поощрения
направить 40% от чистой прибыли.
Принимаем:
· средний отпускной тариф за электроэнергию: τэ
= 519,2 д.е./100кВтч,
на теплоэнергию: τq
= 368 д.е./Гкал.
· стоимость основных фондов: Фо =
5195,2 млн. д.е.
· сумма нормируемых оборотных средств:
НОС = 222,882 млн. д.е.
· сумма годовых издержек производства:
Игодов. =
2971,833+(5195,2+222,882)∙0,5% = 2998,923 млн. д.е.
9. Технико-экономические показатели
станции
В итоге проведенных расчетов необходимо дать
сводку технико-экономических показателей ТЭЦ, характеризующих эффективность ее
эксплуатации и строительства. Часть показателей выписывается из курсового
проекта, а часть рассчитывается по известным из теоретических курсов формулам.
При расчете планового расхода энергии на
собственные нужды станции принимаем:
0,9 - коэффициент, учитывающий
расход электроэнергии на с.н. и потери;
,97 - КПД тепловых сетей;
bн
- нормативный удельный расход топлива на отпущенный кВтч; рассчитывается по
топливным характеристикам с учетом фактической выработки и отпуска
электроэнергии.
Таблица
18
Технико-экономические показатели ТЭЦ
|
№
|
Показатели
|
Единица
измерения
|
План
|
Факт
|
Отклонения
|
|
1
|
2
|
3
|
4
|
5
|
6
|
|
1
|
Установленная
мощность ТЭЦ
|
МВт
|
200
|
200
|
0
|
|
2
|
Состав
оборудования (кол-во и тип турбин)
|
|
ПТ-50-90-2шт.
К-50-90-2шт
|
ПТ-50-90-2шт.
К-50-90-2шт
|
0
|
|
3
|
Число
часов использования установленной мощности
|
ч/год
|
5840,64
|
6084
|
+243,36
|
|
4
|
Удельные
капиталовложения на 1кВт установленной мощности
|
тыс.
д.е./кВт
|
25976
|
27058
|
+1082
|
|
5
|
Численность
персонала: · всего · эксплуатационного
|
человек
|
528 258
|
528
258
|
0
0
|
|
6
|
Основные
фонды
|
тыс.
д.е.
|
1298800
|
1298800
|
0
|
|
7
|
Оборотные
фонды
|
тыс.
д.е.
|
222882
|
242781
|
+19899
|
|
8
|
Фонд
зарплаты
|
тыс.
д.е.
|
79200
|
79200
|
0
|
|
9
|
Отпуск
тепловой энергии
|
Гкал/год
|
783000
|
783000
|
0
|
|
10
|
Удельный
расход топлива на отпущенное тепло
|
кг
у.т./Гкал
|
173,359
|
173,359
|
0
|
|
11
|
КПД
ТЭЦ по отпуску тепла
|
%
|
68
|
68
|
0
|
|
12
|
Годовые
издержки на теплоэнергию
|
тыс.
д.е.
|
143895
|
143895
|
0
|
|
13
|
Себестоимость
отпущенной, Гкал
|
д.е./Гкал
|
183,7
|
183,7
|
0
|
|
14
|
Выработка
электроэнергии
|
Млн.
кВтч/год
|
1168,128
|
1226,534
|
+5%
|
|
15
|
Отпуск
электроэнергии ЭОТП
|
Млн.
кВтч/год
|
1051,315
|
1093,368
|
+4%
|
|
16
|
Расход
электроэнергии на С.Н.
|
Млн.
кВтч/год %
|
116,813
10
|
133,166
10,857
|
+16,353
+0,857%
|
|
17
|
Удельный
расход топлива на выработанный 1 кВтч
|
г.у.т./кВтч
|
517
|
519
|
+2
|
|
18
|
Удельный
расход топлива на отпущенный 1 кВтч
|
г.у.т./кВтч
|
535
|
536
|
+1
|
|
19
|
Нормативный
удельный расход топлива bН
|
г.у.т./кВтч
|
526
|
528
|
+2
|
|
20
|
КПД
ТЭЦ по отпуску электроэнергии
|
%
|
40
|
39
|
1%
|
|
021
|
Цена
1 т.у.т. ЦТ
|
д.е./т.у.т.
|
2750
|
2750
|
0
|
|
22
|
Затраты
на топливо
|
тыс.
д.е.
|
2674578
|
2913374
|
+238796
|
|
23
|
Постоянные
затраты
|
тыс.
д.е.
|
501653
|
501653
|
0
|
|
24
|
Годовые
издержки на электроэнергию
|
тыс.
д.е.
|
3032336
|
3404861
|
+372525
|
|
25
|
Затраты
на топливо, отнесенные на отпуск электроэнергии
|
тыс.
д.е.
|
2697370
|
3069895
|
+372545
|
|
26
|
Постоянные
расходы, отнесенные на отпуск электроэнергии
|
тыс.
д.е.
|
334966
|
334936
|
-30
|
|
27
|
Себестоимость
отпущенного 1 кВтч СОТ
|
д.е/1
кВтч
|
2,884
|
3,114
|
+0,23
|
|
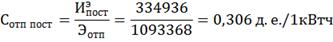
28
|
В
том числе топливная составляющая СТ
|
д.е/1
кВтч
|
2,544
|
2,808
|
+0,264
|
|
29
|
Постоянная
составляющая Спост
|
д.е/1
кВтч
|
0,340
|
0,306
|
-0,036
|
|
30
|
Прибыль
балансовая
|
тыс.
д.е./год
|
1271541
|
1261250
|
-10291
|
|
31
|
Рентные
платежи Н1
|
тыс.
д.е.
|
26400
|
26400
|
0
|
|
32
|
Расчетная
прибыль
|
тыс.
д.е.
|
990833
|
982600
|
-8233
|
Налог
на прибыль Н2
|
тыс.
д.е.
|
198167
|
196520
|
-1647
|
|
34
|
Чистая
прибыль
|
тыс.
д.е.
|
1046974
|
1038330
|
-8644
|
|
35
|
Фонд
материального поощрения ФМП
|
тыс.
д.е./год
|
68,262
|
|
36
|
Фондоотдача
основных средств
|
отн.ед.
|
4,505
|
4,673
|
+0,168
|
|
37
|
Оборачиваемость
оборотных средств
|
раз/год
|
4,425
|
4,593
|
+0,168
|
|
38
|
Длительность
одного оборота
|
дней
|
81
|
78
|
-3
|
|
39
|
Производительность
труда
|
тыс.
д.е./чел
|
11082
|
11494
|
+412
|
|
40
|
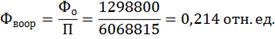
Фондовооруженность
|
тыс.
д.е./чел
|
2460
|
2460
|
0
|
|
41
|
Фондоемкость
|
отн.ед.
|
0,222
|
0,214
|
-0,008
|
|
42
|
Рентабельность
производственных фондов: · по
общей прибыли · по чистой
прибыли
|
%
%
|
84
69
|
82
67
|
-2%
-2%
|
Пример расчета фактических технико-экономических
показателей:
· удельный расход топлива на отпущенное тепло:
· КПД ТЭЦ по отпуску теплоэнергии:
· удельный расход топлива на выработанный 1кВтч:
· КПД ТЭЦ по отпуску электроэнергии:
· себестоимость отпущенного 1кВтч:
· себестоимость постоянной составляющей
отпущенного 1кВтч:
· расчетная прибыль:
· чистая прибыль:
· фондоотдача основных средств:
· производительность труда:
· фондовооруженность:
· фондоемкость:
· рентабельность производственных фондов по общей
прибыли:
· рентабельность производственных фондов по чистой
прибыли:
10. Анализ хозяйственной
деятельности ТЭЦ
Экономический анализ хозяйственной деятельности
является функцией управления производством, который позволяет выявить причины
изменения итоговых показателей хозяйственной деятельности и принять меры для
улучшения этих показателей. Если прибыль характеризует как достижения самого
предприятия, так и общественную значимость продукции через ее цены, то
себестоимость характеризует затраты данного предприятия и в основном связана
только с деятельностью данного коллектива. В связи с этим для электростанции,
работающей в системе, себестоимость может рассматриваться как основной
показатель хозяйственной деятельности.
Анализ проводится в следующем порядке:
Определяется общий результат выполнения плана по
себестоимости:
где, Сф и Спл- фактическая
и плановая себестоимость единицы отпущенной электрической энергии, д.е./1кВтч;
- фактический отпуск электрической
энергии, МВт.
Этот общий результат выполнения
плана по себестоимости складывается из влияния:
· выполнения плана по отпуску электрической
энергии с шин станции;
· изменения топливной составляющей;
· экономии на постоянных затратах.
Влияние выполнения плана по отпуску
электрической энергии
В свою очередь, влияние выполнения плана по
отпуску электрической энергии складывается из двух частей:
а) за счет выполнения плана выработки
электроэнергии:
где,
-
плановая постоянная составляющая себестоимости единицы электроэнергии, д.е.;
- плановый %
расхода электроэнергии на собственные нужды, принимаем 10 %;
- разница между
фактической и плановой выработкой электроэнергии, МВт.
б) за счет выполнения плана по расходу на
собственные нужды:
Влияние топливной составляющей
Общее изменение топливной составляющей:
в том числе:
а) по факторам, не зависящим от деятельности
персонала, за счет изменения удельных расходов:
где,
- нормативный удельный расход
топлива на фактически отпущенную электрическую энергию, рассчитанный по
топливным характеристикам;
- плановая цена 1 т у.т.;
- удельный плановый расход топлива
на отпущенную электроэнергию, рассчитанный первоначально по топливным
характеристикам;
б) по факторам, зависящим от
деятельности персонала:
где,
- удельный фактический расход
топлива на отпущенную электроэнергию;
в) изменение топливной составляющей
под влиянием изменения цены:
Экономия
(перерасход) на постоянных затратах
По результатам анализа делаются выводы. В
выводах отразить:
· влияние различных факторов на себестоимость
электрической энергии;
· оценить работу персонала станции;
· обосновать изменение величины чистой
прибыли;
· оценить эффективность использования производственных
ресурсов станции;
· указать возможные причины изменения
плановых технико-экономических показателей и наметить мероприятия по их
улучшению
Фактическая величина ФМП определяется по
формуле:
Выводы:
· На себестоимость электрической энергии при
неизменной цене 1 т.у.т. влияет увеличение расхода электроэнергии на
собственные нужды станции.
Главнейшие факторы, за счет которых достигается
экономия на снижении себестоимости:
а) Изменение структуры и объема производимой
продукции:
относительное сокращение условно-постоянных
расходов (кроме амортизации);
улучшение использования производственных фондов
(относительное снижение амортизационных отчислений).
б) Повышение технического уровня производства:
снижение удельных расходов топлива на электро- и
теплоэнергию;
изменение цены одной тонны условного топлива;
изменение доли выработки электроэнергии на
гидроэлектростанциях.
в) Улучшение организации производства и труда:
совершенствование управления и организации
производства (сокращение административно-управленческих расходов);
улучшение организации труда (рост
производительности труда);
ликвидация непроизводительных расходов и т.д.
· По технико-экономическим показателям работа
персонала ТЭЦ получается не эффективной так как изменение топливной
составляющей равно +30,067 тыс. д.е. Повысить эффективность работы персонала и
увеличить прибыль предприятия можно следующими мероприятиями:
а) использования максимального КПД оборудования;
б) следить за выдачей потребителям качественной
электроэнергии (напряжение, частота);
в) правильное регулирование технологического
процесса
· При сравнении технико-экономических показателей
плановой и фактической чистой прибыли у нас получилось, что она уменьшилась.
Это произошло, потому что увеличился расход электроэнергии на собственные
нужды, а в следствии увеличилась себестоимость электроэнергии при неизменных
основных фондах и иного имущества предприятия с которого оно получало бы доход.
· Эффективность использования
производственных ресурсов проявляется в трех измерениях:
1. в объеме и качестве произведенной и
реализованной продукции;
. в величине затрат ресурсов на производство,
т.е. себестоимости продукции;
. в величине примененных ресурсов, т.е.
авансированных для хозяйственной деятельности основных и оборотных фондов.
Повышение эффективности производства может
достигаться как за счет экономии текущих затрат (потребляемых ресурсов), так и
путем лучшего использования действующего капитала и новых вложений в капитал
(применяемых ресурсов).
Интенсивность использования производственных
ресурсов проявляется в таких обобщающих показателях: как производительность
труда в рассматриваемом варианте увеличилась, фондоотдача основных и
производственных фондов тоже возросла, производительность труда стала выше -
следовательно производственные ресурсы используются эффективно.
· Плановые технико-экономические показатели можно
увеличить снизив себестоимость отпускаемой электроэнергии, а это в свою очередь
можно сделать снижением расхода на собственные нужды электростанции. Снижение
себестоимости в свою очередь приведет к увеличению чистой прибыли. Также
себестоимость можно увеличить используя топливо с меньшей ценой, но лучшими
топливными показателями.
11. Распределение электрической
нагрузки между агрегатами станции
Электрическая нагрузка станции
распределяется по методу относительных приростов, т.е. в порядке возрастания
относительного прироста расхода топлива при увеличении нагрузки на один МВт (
).
Относительный прирост численно равен тангенсу угла наклона часовой расходной
характеристики:
Предположим, что для заданных
выбрано
следующее оборудование:
Таблица
19
Распределение тепловой и электрической нагрузки
по агрегатам
|
Dотоп , т/ч
|
Dтех , т/ч
|
Nн , МВт
|
|
ПТ-50-90
|
2
шт.
|
100∙2
|
50∙2
|
50∙2
|
|
К-50-90
|
2
шт.
|
-
|
-
|
50∙2
|
|
∑
|
200
|
100
|
200
|
Агрегаты имеют следующие топливные
характеристики:
ПТ-50
К-50
Поделив годовые топливные характеристики на
время использования отборов, получим часовые расходные характеристики:
ПТ-50
К-50
Подставив в часовые расходные характеристики
величины часовых отборов, получим:
ПТ-50
К-50
Минимальная нагрузка принимается 10-20% от
номинальной мощности.
Рассчитаем часовые расходы топлива при
минимальной и максимальной нагрузках:
|
ПТ
- 50
|
Nmin
=
5МВт
|
|
|
r1 =
r2 =
0,352
|
Nmax
=
50МВт
|
|
|
т.у.т./МВт∙ч
|
Dотоп = 100 т/ч
|
|
|
Dтех = 50 т/ч
|
|
|
К
- 50
|
Nmin
=
5МВт
|
|
|
r3 =
r4 =
0,392
|
Nmax
=
50МВт
|
|
Выстраиваем относительные приросты в порядке их
возрастания:
r1
= r2
< r3
= r4
В такой последовательности загружаются агрегаты.
Составляем режимную карту станции:
Таблица
20
Режимная карта ТЭС
|
Характерные
точки
|
r, т.у.т./Мвт∙ч
|
Турбоагрегаты
|
∑Nст, МВт
|
∑B, т.у.т./ч
|
|
|
ПТ-50х2
|
К-50х2
|
|
|
|
|
N, МВт
|
B, т.у.т./ч
|
N, МВт
|
B, т.у.т./ч
|
|
|
|
Мин.
нагрузка
|
0,352
|
10
|
20,02
|
10
|
6,52
|
20
|
26,54
|
|
1-й
излом
|
0,352/0,392
|
100
|
51,7
|
10
|
6,52
|
110
|
58,22
|
|
Макс.
нагрузка
|
0,392
|
100
|
51,7
|
100
|
41,8
|
200
|
93,5
|
Зимний максимум нагрузки
распределяется
между агрегатами:
. (ПТ-50) - 50 МВт
.(ПТ-50) - 50 МВт
. (К-50) - 50 МВт
. (К-50) - 50 МВт
Летний максимум нагрузки
распределяем
между агрегатами:
. (ПТ-50) - 50 МВт
. (ПТ-50) - 50 МВт
.(К-50) - 25 МВт
. (К-50) - 25 МВт
На основе полученных данных строим зависимости:
Рисунок 7 - Режимная карта ТЭС в графическом
виде
ЗАКЛЮЧЕНИЕ
В данной курсовой работе были проведены
сравнения технико-экономических показателей выбора основного оборудования ТЭЦ.
Анализ проведенных расчетов показывает, что при
заданной тепловой нагрузке 200 т/ч давлением 1,2-2,5 ата и технологической
100т/ч давлением 10-13 ата оптимальным является выбор двух турбин типа ПТ-50-90
номинальной мощностью 50 МВт и двух турбин типа К-50-90 номинальной мощностью
50МВт и трех котлов БКЗ-420 производительностью 420 тонн пара в час и двух
котлов БКЗ-220 производительностью 220 тонн пара в час.
Расчет капитальных вложений показал, что
наибольшие затраты приходятся на энергетическое оборудование, они составили
5195,2 млн. д.е. Высокая капиталоемкость энергетического оборудования
обуславливает необходимость эффективного использования капиталовложений и
изучения направлений возможного повышения их эффективности.
В данной работе были определены себестоимости
электрической энергии которая составила 3,114 д.е. за 1кВт∙ч отпущенной
электроэнергии и себестоимость 1 Гкал равная 183,7 д.е. /Гкал.
При проведении анализа хозяйственной
деятельности мы получили что, у нас на постоянных затратах экономия денежных
средств составляет - (-30)тыс.д.е., зато топливная составляющая зависящая от
деятельности персонала перерасход (+30,067) д.е.
СПИСОК ЛИТЕРАТУРЫ
1.
Коршунова Л.А. Экономика предприятия и отрасли (в электроэнергетике) / Л.А.
Коршунова, Н.Г. Кузьмина. - Томск: Изд-во ТПУ, 2010. - 184 с.
2.
Коршунова Л.А. Организация производства на предприятиях электроэнергетики /
Л.А. Коршунова, Н.Г. Кузьмина. - Томск: Изд-во ТПУ, 2011. - 200 с.
.
Коршунова Л.А. Планирование на предприятиях электроэнергетики / Л.А. Коршунова,
Н.Г. Кузьмина. - Томск: Изд-во ТПУ, 2011. - 180 с.