Анализ и прогнозирование производства фильмов в Российской Федерации

  • Вид работы:
    Курсовая работа (т)
  • Предмет:
    Менеджмент
  • Язык:
    Русский
    ,
    Формат файла:
    MS Word
    203,71 Кб
  • Опубликовано:
    2015-07-24
Вы можете узнать стоимость помощи в написании студенческой работы.
Помощь в написании работы, которую точно примут!

Анализ и прогнозирование производства фильмов в Российской Федерации

Министерство культуры Российской Федерации

Федеральное государственное бюджетное образовательное учреждение

Высшего профессионального образования

«Санкт-Петербургский государственный

Университет кино и телевидения»

Институт экономики и управления




КУРСОВАЯ РАБОТА

по дисциплине «Прогнозирование развития хозяйства»

на тему «Анализ и прогнозирование производства фильмов в Российской Федерации»












Санкт-Петербург

Содержание

Введение

Глава 1. Теоретические основы прогнозирования и российского кинематографа

.1 Прогнозирование, его основные подходы и виды

.2 Теоретические основы российского кинематографа

Глава 2. Текущее состояние российского кинематографа, его проблемы и тенденции

.1 Текущее состояние российского кинематографа

.2 Проблемы и тенденции российского кинематографа

Глава 3. Прогнозирование числа выходящих фильмов

.1 Прогнозирование числа выходящих кинофильмов методом экстраполяции временного ряда

.2 Прогнозирование числа выходящих российских фильмов методом наименьших квадратов

Заключение

Список использованной литературы

Введение

«Важнейшим из искусств для нас является кино», - говорил Владимир Ильич Ленин, и общий смысл этой фразы не потерял актуальности. Не смотря на развитие телевидения с его программами и сериалами, Интернета с короткими видео, по-прежнему большое количество людей продолжают ходить в кинотеатры. Другое дело, что чаще всего они ходят на зарубежные кинофильмы, а фильмы, сделанные нашими соотечественниками, в Российской Федерации они зачастую считают не интересными, в подавляющем большинстве случаев эти картины выходят в ограниченный прокат. Правда ли, что зритель охладел к российскому кино? Или это всего лишь чье-то суждение, выдаваемое за истину в последней инстанции?

Актуальность данной работы состоит в том, что поскольку кинобизнес может при правильном стечении обстоятельств оказывать положительное влияние и в финансовом и репутационном плане, нужно немедленно выяснить, что нужно и можно сделать, что сделать российское кино интересным для зрителей.

Таким образом, объектом нашего исследования является российский кинематограф - система производства и проката российских художественных фильмов.

Предметом нашего исследования является количество художественных фильмов российского производства, выходящих в кинопрокат.

Целью курсовой работы является прогнозирование количества выходящих на экраны кинотеатров Российской Федерации фильмов отечественного производства на 2013-2015 годы на основе данных за 2008-2012 годы. Достигать данную цель мы будем при помощи метода экстраполяции временного ряда и метода наименьших квадратов.

Задачи курсовой работы:

Изучить теоретические основы прогнозирования, основные методы и положения.

Разобрать ключевые составляющие кинематографа Российской Федерации и его главные принципы.

Изучить текущее положение дел в кинематографе Российской Федерации.

Сформулировать основные проблемы кинематографа Российской Федерации и выявить тенденции его развития.

Спрогнозировать уровень количества выпускаемых на экранах кинотеатров кинофильмов в Российской Федерации в ближайшие несколько лет методом экстраполяции.

Спрогнозировать уровень количества выпускаемых на экранах кинотеатров кинофильмов в Российской Федерации в ближайшие несколько лет методом наименьших квадратов.

Глава 1. Теоретические основы прогнозирования и российского кинематографа

.1 Прогнозирование, его основные подходы и виды

Под прогнозированием (от греческого Prognosis - знание наперед) принято понимать род предвидения (предсказания), так как имеет дело с получением информации о будущем. Предсказание «предполагает описание возможных или желательных аспектов, состояний, решений, проблем будущего. Кроме формального, основанного на научных методах прогнозирования, к предсказанию относятся предчувствие и предугадывание. Предчувствие - это описание будущего на основе эрудиции, работы подсознания. Предугадывание использует житейский опыт и знание обстоятельств». В широком плане как научное прогнозирование, так и предчувствие и предугадывание входят в понятие “прогнозирование деятельности предприятия»./2, с. 12/

Прогноз представляет собой результат процесса прогнозирования, выраженный в словесной, математической, графической или другой форме суждения о возможном состоянии объекта (в частности предприятия) и его среды в будущий период времени./4, с. 27/

Прогнозы принято классифицировать по четырем основным критериям: временной охват, тип, степень вероятности события и степень представления результатов прогноза (табл. 1.1.).

Таблица 1.1.

Виды прогнозов

Признаки классификации прогнозов

Виды прогнозов

Временной охват (горизонт прогнозирования)

краткосрочные, среднесрочные, долгосрочные

Типы прогнозирования

поисковые, нормативные, основанные на творческом видении

Степень вероятности будущих событий

вариантные, инвариантные

Способ представления результатов прогноза

точечные, интервальные


Для конкретных прогнозов могут применяться и другие признаки классификации прогнозов. Например, для прогноза рыночной конъюнктуры важно выделить такой признак, как охват объектов исследования - в зависимости от него прогноз может быть глобальным, региональным, локальным (системным). Иначе говоря, он может охватывать весь рынок страны или ограничиваться рынком определенного региона, он может также охватывать локальный рынок отдельного предприятия. Он может рассматривать рыночную ситуацию в целом или же его предметом будет рынок отдельного товара./10, с. 43/

Ниже дана характеристика каждого из перечисленных в табл.1 видов прогнозов.

В зависимости от горизонта прогнозирования прогноз может разрабатываться на очень короткий период времени - до месяца (например, недельные и месячные прогнозы объемов продаж, движения наличности), на год, а также на 2-3 года (среднесрочный прогноз), 5 и более лет (долгосрочный прогноз)./14, с. 57/

Долгосрочные прогнозы называют также перспективными. Нередко пятилетние прогнозы относят к среднесрочным.

По типам прогнозирования выделяют поисковые, нормативные и основанные на творческом видении прогнозы.

Поисковое прогнозирование - способ научного прогнозирования от настоящего к будущему: прогнозирование начинается от сегодняшнего дня, опирается на имеющуюся информацию и постепенно проникает в будущее.

Существуют два вида поискового прогнозирования:

экстраполятивное (традиционное),

альтернативное (новаторское).

Экстраполятивный подход предполагает, что экономическое и прочее развитие происходит гладко и непрерывно, поэтому прогноз может быть простой проекцией (экстраполяцией) прошлого в будущее. Для составления такого прогноза необходимо вначале оценить прошлые показатели деятельности предприятия и тенденции их развития (тренды), затем перенести эти тенденции в будущее./14, с. 56/

Экстраполятивный подход очень широко применяется в прогнозировании и так или иначе отражается в большинстве методов прогнозирования.

Альтернативный подход базируется на том, что внешняя и внутренняя среда бизнеса подвержена постоянным изменениям, вследствие чего: развитие предприятия происходит не только гладко и непрерывно, но и скачкообразно и прерывисто; существует определенное число вариантов будущего развития предприятия.

Исходя из этого, в рамках альтернативного подхода:

во-первых, альтернативное прогнозирование может объединять в единой логике два способа развития предприятия - гладкий и скачкообразный, создавая синтетическую картину будущего;

во-вторых, создаются прогнозы, включающие сочетание различных вариантов развития выбранных показателей и явлений. При этом каждый из вариантов развития лежит в основе особого сценария будущего./10, с. 43/

Альтернативный подход сравнительно молод (стал широко применяться в 80-е годы) и в настоящее время быстро распространяется в практике внутрифирменного планирования./12, с. 87/

Оба вида поискового прогнозирования опираются как на количественные, так и на качественные методы прогнозирования.

Нормативное (нормативно-целевое) прогнозирование предполагает:

во-первых, определение общих целей и стратегических ориентиров предприятия на будущий период;

во-вторых, оценку развития предприятия, исходя из этих целей.

Нормативное прогнозирование применяется чаще всего тогда, когда предприятие не располагает необходимыми историческими данными. В силу этого оно опирается на качественные методы исследования и, как и экстраполятивное, является в большой степени традиционным подходом к предсказанию будущей среды предприятия.

Прогнозирование, основанное на творческом видении будущего, - использует субъективное знание прогнозиста, его интуицию./8, с. 14/

Прогнозы такого рода часто имеют формы “утопий” или “антиутопий” - литературных описаний вымышленного будущего. Несмотря на кажущуюся отдаленность от мира экономики, подобные произведения являются хорошим дополнением к сухому количественному прогнозу.

Данный вид прогнозирования может использоваться для непосредственного предсказания будущих результатов деятельности предприятия./16, с. 84/

В зависимости от степени вероятности будущих событий прогнозы делятся на вариантные и инвариантные.

Инвариантный прогноз предполагает только один вариант развития будущих событий. Он возможен в условиях высокой степени определенности будущей среды. Как правило, такой прогноз базируется на экстраполятивном подходе (простом продолжении сложившейся тенденции и в будущем).

Вариантный прогноз основывается на предположении о значительной неопределенности будущей среды и, следовательно, наличии нескольких вероятных вариантов развития./3, с. 49/

Каждый из вариантов развития учитывает специфическое состояние будущей среды предприятия и, исходя из этого, определяет основные параметры данного бизнеса. Такого рода вариант будущего состояния предприятия называют сценарием.

По способу представления результатов прогнозы делятся на точечные и интервальные./12, с. 65/

Точечный прогноз исходит из того, что данный вариант развития включает единственное значение прогнозируемого показателя, например, среднедневной товарооборот в следующем месяце возрастет на 5%.

Интервальный прогноз - это такое предсказание будущего, в котором предполагается некоторый интервал, диапазон значений прогнозируемого показателя, например: среднедневной товарооборот в следующем месяце возрастет на 5-8%./15, с. 121/

Подводя итоги, следует отметить, что мы весьма подробно рассмотрели основные понятия, составляющую суть науки прогнозирования, этот запас знаний мы используем впоследствии для прогнозирования производства кинофильмов на территории Российской Федерации.

.2 Теоретические основы российского кинематографа

Кинематограф - отрасль человеческой деятельности, заключающаяся в создании движущихся изображений. Иногда также упоминается как синематограф и кинематография. Кинематограф был изобретён в конце XIX века и стал крайне популярен в XX веке./1, с. 5/

В понятие кинематографа входят киноискусство - вид современного изобразительного искусства, произведения которого создаются при помощи движущихся изображений, и киноиндустрия (кинопромышленность) - отрасль экономики, производящая кинофильмы, спецэффекты для кинофильмов, мультипликацию, и демонстрирующая эти произведения для зрителей. Произведения киноискусства создаются при помощи кинотехники. Изучением кинематографа занимается наука киноведение. Сами кинофильмы могут сниматься в различных жанрах игрового и документального кино.

Кинематограф занимает значительную часть современной культуры многих стран. Во многих странах киноиндустрия является значимой отраслью экономики. Производство кинофильмов сосредоточено на киностудиях. Фильмы демонстрируются в кинотеатрах, по телевидению, распространяются «на видео» в форме видеокассет и видеодисков, а с появлением скоростного интернета стало доступным скачивание кинофильмов в форме видеофайлов на специализированных сайтах или посредством пиринговых сетей (что может нарушать права правообладателей кинофильма)./11, с. 35/

Российское кино - киноискусство и киноиндустрия Российской Федерации. В начале 1990-х наступило затишье российского кинематографа. Но в последние годы Эпохи 90-х все сегменты отрасли кинематографии Российской Федерации демонстрируют постоянный рост, что вызывает интерес к российскому рынку со стороны как отечественных, так и зарубежных инвесторов, профильных и непрофильных. Эти процессы являются естественным результатом последовательного возрождения различных отраслей кинематографии в России - кинопоказа, кинопроката, кинопроизводства./5, с. 42/

Первым этапом стало открытие в 1996 году первого кинотеатра западного типа «Кодак-Киномир» в Москве; с тех пор киносеть России серьезно увеличилась, появились качественные площадки для кинопроката. В 1998-м оживилась отрасль кинодистрибьюции, доказавшая (благодаря выходу фильма «Титаник», собиравшему полные залы во всех, даже несовременных, кинотеатрах страны) возможность пробуждения интереса к кино у российских зрителей. В 2004-м отечественные кинопродюсеры смогли переориентироваться на производство коммерческих блокбастеров, которые благодаря широким рекламным кампаниям и поддержке со стороны ведущих федеральных телеканалов привлекли в кинозалы большую аудиторию (самым громким таким проектом стал фильм «Ночной дозор»). А в 2005 году инвестиции потекли и в отрасль кинопроизводственного сервиса: начался процесс восстановления инфраструктуры, и к 2008 году острый дефицит павильонных площадей, кинооборудования и услуг монтажно-тонировочного периода был устранен./6, с. 34/

Мировой финансово-экономический кризис 2009-го оказал негативное воздействие на все сферы киноиндустрии в России: снизился объем производства кино- и телефильмов, как финансировавшихся за счет федерального бюджета, так и частными инвесторами и телеканалами; начали происходить процессы укрупнения игроков в сфере кинопроизводства (продюсерских компаний) и кинопроката (в том числе появились и новые вертикально интегрированные структуры); остановились проекты строительства новых киностудийных комплексов на территории страны; замедлился рост рынка кинопоказа, произошел переход от интенсивных методов развития киносетей (направленных на открытие кинотеатров в новых регионах и городах) к экстенсивным (прежде всего за счет установки цифровых кинопроекторов в уже действующих кинотеатрах)./7, с. 123/

Однако все эти процессы расцениваются отечественными специалистами в сфере кинематографии неоднозначно. Многие говорят о благотворном влиянии кризиса, который позволяет оздоровить индустрию. С рынка ушли слабые игроки, а также лишние непрофильные инвестиции, в последние годы способствовавшие постоянному росту себестоимости как кинопроизводства в России, так и цены лицензии на прокат фильмов, приобретаемой российскими компаниями на международных кинорынках. Рост рынка кинопоказа в России также происходил за счет открытия кинотеатров в крупных городах, что привело к чрезмерной конкуренции в городах-миллионниках при сохранении дефицита в более мелких населенных пунктах./11, с. 87/

Рассмотрим краткие характеристики конкретных ветвей отрасли кинематографии в России.

Все действующие на рынке кинопроизводства РФ кинокомпании можно разделить на несколько категорий, в зависимости от реализуемых ими функций: кинопроизводящие компании; киностудийные комплексы (обладают собственными киносъемочными павильонами); компании, предоставляющие кинооборудование в аренду съемочным группам; центры по оказанию монтажно-тонировочных услуг./1, с. 96/

Производящие компании (продюсерские центры, имеющие собственные кинопрокатные подразделения; продюсерские компании; государственные и частные киностудии; телеканалы, а также голливудские студии-мейджоры) за период с 01.01.2006 по 01.07.2009 инвестировали в кино- и телепроизводство более 61 млрд руб. (около 17,5 млрд руб. в год в среднем), большая часть которых была вложена в создание игровых телефильмов и телесериалов (52%), а также в производство кинофильмов (около 40%)./7, с. 34/

Пик производства полнометражных теле- и кинофильмов был достигнут в 2008 году (158 и 106 наименований соответственно)./13, с. 43/

Лидером киноиндустрии по объему инвестиций в России остается рынок телесериалов и телефильмов (объем инвестиций за последние 3,5 года составил 32 млрд руб., при этом было произведено более 9 000 эпизодов телесериалов и более 450 телефильмов), что связано с ростом себестоимости производства в этом секторе (порядка 30% в год - до кризиса 2009-го), а также с ростом в 2007-2008 годах числа производимых телефильмов. Однако в 2009 году проявилась нехарактерная для рынка тенденция: число производимых кинофильмов превысило число телефильмов, поскольку телевидение оказалось более подвержено воздействию финансово-экономического кризиса по причине меньшей продолжительности производственного цикла и большей чувствительности к заказам на запуск производства со стороны телеканалов./5, с. 48/

Рынок игрового кино занимает второе место по объему инвестиций (около 25 млрд руб. за последние 3,5 года). Производство большинства фильмов осуществляется в России во многом на безвозвратные вложения и в первую очередь на средства Министерства культуры РФ (из 341 произведенного фильма за период с 01.01.2006 по 01.07.2009 господдержку получили 198; при этом в 2009 году в производство не был запущен ни один фильм, получивший государственную поддержку, а все бюджетное финансирование было направлено на завершение проектов). Государственная поддержка игровых фильмов составляла в среднем 19 млн руб. на один фильм. В период с 2006 года в стране наблюдается устойчивая тенденция роста количества создаваемых кинофильмов; в среднем ежегодно в России производится 100 полнометражных игровых картин, при этом в кинотеатральный кинопрокат выходит в среднем 72 фильма. Рост кинопроизводства в период 2006-2008 годов также спровоцировал и рост себестоимости производства - преимущественно за счет увеличения заработной платы членов съемочных групп, поскольку многие специалисты в России оказывались дефицитными. Завышенные производственные бюджеты и нередко слабые кассовые сборы кинопроката отечественных кинокартин привели к тому, что большинство российских фильмов не окупилось по результатам кинотеатрального проката, а продюсерские компании понесли убытки./7, с. 65/ Хотя до 2009 года многие из них могли получить высокие дополнительные доходы из других источников - от продажи прав на издание фильма на DVD, показ по телевидению, выпуск компьютерных игр и других сопутствующих товаров. Разразившийся финансово-экономический кризис снизил все дополнительные доходы продюсеров как за счет сократившихся объемов закупок таких прав, так и за счет падения цен на этих рынках. Зато, как заметил кино- и телепродюсер Александр Цекало настоящие профессионалы могут работать и в кризис, и это подходящее время для того, чтобы бизнес покинули слабые игроки, не могущие сделать ничего полезного и коммерчески прибыльного для киноиндустрии./13, с. 142/ Мы абсолютно согласны с Александром Евгеньевичем и считаем, что до кризиса в киноотрасли появилось много людей, пытающихся продвигать низкопробную продукцию.

Подведем итоги: нами были изучены основы российского кинематографа и накопленная информация поможет нам выявить причины существующего в настоящий момент отношения зрителей к российскому кино и понять, как эти проблемы решить.

Глава 2. Текущее состояние российского кинематографа, его проблемы и тенденции

.1 Текущее состояние российского кинематографа

Чтобы адекватно рассуждать о российском кинематографе, уровне его популярности и тенденциях его развития, рассмотрим предыдущий киногод по вышедшим фильмам и реакции на них зрителей, выражающейся в покупательной способности билетов на фильмы(табл. 2.1)

Таблица 2.1

Российские кинофильмы 2012 года

Номер фильма в порядке выхода в прокат

Дата начала проката

Название фильма

Кассовые сборы

1

2

3

4

1

02.01.2012

Мой парень - ангел

2.372.984

2

05.01.2012

Моя безумная семья

2.707.096

3

19.01.2012

Камень

4.069.176

4

24.01.2012

Поклонница

Нет данных

5

25.01.2012

Ржевский против Наполеона

7.805.333

6

26.01.2012

Шапито-шоу: Любовь и дружба

0.393.816

7

26.01.2012

Шапито-шоу: Уважение и сотрудничество

Нет данных

8

02.02.2012

На Байкал

0.307.200

9

02.02.2012

Безразличие

Нет данных

10

09.02.2012

Фауст

0.783.664

11

09.02.2012

Дом на обочине

0.023.547

12

14.02.2012

Zолушка

5.169.134

13

16.02.2012

4 дня в мае

0.037.000

14

21.02.2012

Август. Восьмого

9.940.171

15

23.02.2012

Кастинг для злодея

0.034.427

16

01.03.2012

Мамы

7.787.355

17

01.03.2012

Самоубийцы

1.979.000

18

08.03.2012

8 первых свиданий

7.455.211

19

08.03.2012

Тайна для двоих

Нет данных

20

15.03.2012

Тот еще Карлосон!

10.353.078

21

15.03.2012

Бедуин

0.021.560

22

29.03.2012

Атомный Иван

0.050.384

23

29.03.2012

Дирижер

0.375.124

24

05.04.2012

Шпион

4.588.176

25

12.04.2012

901 километр

0.008.580

26

19.04.2012

Свидание

0.849.776

27

19.04.2012

Воин.com

0.021.000

28

26.04.2012

Няньки

5.741.208

29

01.05.2012

Матч

2.204.000

30

03.05.2012

Белый тигр

3.290.813

31

10.05.2012

Олимпийская деревня

0.179.424

32

31.05.2012

Небесный суд

0.004.270

33

14.06.2012

Кококо

0.495.379

34

21.06.2012

Багровый цвет снегопада

0.017.734

35

02.08.2012

Большая ржака!

0.601.026

36

09.08.2012

От винта 3D

1.974.263

37

30.08.2012

Жить

0.113.341

38

30.08.2012

Вождь разнокожих

0.176.529

39

13.09.2012

Сказка. Есть

0.247.247

40

20.09.2012

Орда

2.761.529

41

20.09.2012

Белый мавр, или Интимные истории о моих соседях

0.014.573

42

27.09.2012

Мужчина с гарантией

4.297.576

43

04.10.2012

Духless

13.283.001

44

11.10.2012

Любовь с акцентом

2.562.535

45

11.10.2012

Пока ночь не разлучит

0.224.101

46

18.10.2012

Последняя сказка Риты

0.486.937

47

18.10.2012

Искатели приключений

0.333.696

48

01.11.2012

Стальная бабочка

1.184.000

49

01.11.2012

1812: Уланская баллада

1.242.000

50

01.11.2012

Измена

0.585.208

51

01.11.2012

Искупление

0.040.000

52

15.11.2012

Рассказы

0.809.738

53

22.11.2012

Соловей-Разбойник

5.216.913

54

29.11.2012

Бригада: Наследник

7.882.086

55

29.11.2012

Джунгли

11.812.124

56

29.11.2012

Конвой

0.004.575

57

29.11.2012

Танец Дели

0.043.000

58

29.11.2012

Дочь

0.034.850

59

29.11.2012

День учителя

Нет данных

60

Все просто

0.090.000

61

06.12.2012

Со мною вот что происходит

0.017.459

62

06.12.2012

Я буду рядом

0.038.000

63

13.12.2012

Я тоже хочу

0.226.114

64

13.12.2012

Праздник взаперти

0.030.889

65

27.12.2012

Три богатыря на дальних берегах

31.505.876

66

27.12.2012

Джентльмены, удачи!

9.802.581

67

27.12.2012

С новым годом, мамы!

11.849.415

68

31.12.2012

Снежная королева

7.650.774


Нетрудно заметить, что вышло 68 фильмов./23/ Для сравнения, за последние 5 лет максимальное количество фильмов вышло в 2008-2009 годах: по 78 в каждом. В 2010 году произошел спад: вышло 69 фильмов, в 2011 - 63./24/

Рассмотрим теперь, насколько прибыльны и популярны российские фильмы. С учетом нынешней системы кинопроката, когда правообладатели картины вынуждены отдавать 50 % сборов кинотеатрам, и еще 15 % прокатчикам фильма, фильм при среднем бюджете в 1,5 миллиона долларов должен заработать минимум 5 миллионов только, чтобы выйти в ноль. /6, с. 34/ Изучим, сколько в 2012 году вышло относительно успешных и популярных фильмов(рис.1)

Рисунок 1

Доли фильмов по степени успешности в кинопрокате

Поскольку из 68 вышедших фильмов о сборах 4 из них нет данных, будем отталкиваться от цифры 64.

Под цифрой 1 скрываются фильмы, собравшие меньше миллиона долларов. Таковых 36. То есть 56 %.

- фильмы со сборами от 1 до 5 миллионов долларов. Их 13 или 20 % от общего числа.

- сборы от 5 до 10 миллионов долларов. 10 фильмов, 16 %.

- сборы от 10 до 20 миллионов долларов. 4 фильма. 6 %.

- сборы более 20 миллионов долларов, то есть полноценные блокбастеры. Только один фильм. 2 процента.

Учитывая тот факт, что как минимум половина фильмов убыточна, а другая половина чаще всего ограничивается лишь выходом в ноль, можно сделать вывод, что на данном этапе в массе своей российское кино целевой аудитории кинотеатров (молодежь от 13 до 25 лет) не интересно.

Подведем итоги. Мы изучили современное состояние российского кинематографа и отношение зрителя к нему и на основе этих данных мы можем сформулировать основные тенденции и пути решения наиболее весомых проблем.

.2 Проблемы и тенденции российского кинематографа

К сожалению, в большинстве случаев российская кинопродукция неконкурентоспособна. Ей не удается обогнать по сборам американские блокбастеры, в телевизионном эфире она терпит сокрушительное поражение по цифрам уже при первой трансляции и в дальнейшем может надеяться лишь на показы в раннее утро на каналах с аудиторией меньше 100 тысяч человек, а про продажи на DVD и размещение на платных Интернет-порталах и говорить не приходится. А ведь еще каких-то тридцать лет назад ежегодно зрители всей страны спешили в кинозалы на просмотр нашего кино, которое до сих пор обгоняет по цифрам голливудские блокбастеры.

За период с 1 сентября 2012 года в лидеры уик-энда удалось пробиться только следующим отечественным картинам: «Три богатыря на дальних берегах» (сборы 31 миллион долларов), «Легенда № 17» (сборы более 27 миллионов долларов), «Духless» (сборы 13 миллионов долларов), «Метро» (сборы 12 миллионов долларов), «Джунгли» (сборы более 11 миллионов долларов), «Что творят мужчины!» (сборы 10 миллионов долларов)./26/ Более 30 картин остались без внимания и не смогли окупить даже мизерную часть своих производственных затрат. Сейчас мы попытаемся Вам ответить на вопрос, на который уже двадцать лет никто не может ответить: как сделать российское кино конкурентоспособным. 99 % всех аналитиков и самих участников рынка уверены, что выдвигаемая депутатами идея ввести квоты на российские кино и заставлять кинотеатры его показывать (то есть по сути перенос на отечественную почву схемы, работающей во Франции) - абсолютная глупость, на данном историческом этапе киносети в силу своего опыта и профессионализма с точностью определяют, какие проекты какие сборы принесут, и любые силовые воздействия на данный бизнес уничтожат бизнес кинотеатров, которыми станут заполнены низкопробными комедиями, псевдоинтеллектуальным арт-хаусом и киноверсиями низкопробных телепроектов. На рынке уже были компании, пытавшиеся пробить нетипичные продукты на большие экраны. Мы имеем в виду провал ура-патриотической дилогии «Утомленные солнцем-2» (совокупные сборы двух частей 9 миллионов при затратах в 35 миллионов долларов) Никиты Михалкова, мощнейший обвал сборов замаскированного под западный блокбастер арт-хаус «Москва 2017», которому не помогла протекция сети «Каро» и круглосуточная реклама на ТНТ (все просто: один из режиссеров - заместитель гендиректора ТНТ, а второй - лучший в мире специалист по созданию трейлеров). Вывод: зрителю можно попробовать предложить что-то из ряда вон, но он быстро заметит обман, чем вызовет негативный сарафан и падение сборов в первый же уик-энд. Но это не значит, что не надо пытаться делать арт-хаус. Во-первых, у него узкая аудитория завсегдатаев кинотеатров вроде «Дома кино» и «Родины», во-вторых, есть режиссеры арт-хауса, работы которых смотрят, потому что продюсеры и прокатчики убедили всех, что это модно. Особенно это заметно по творчеству Андрея Звягинцева, чьи фильмы в ТВ-эфире несмотря на сложность для восприятия собирают долю до 30 процентов (то есть цифры, сравнимые с показом «Аватара» или «Глухаря»). К тому же действительно талантливое арт-кино (а не просто набор несвязных псевдоинтеллектуальных депрессивных сцен с отсутствием какой-либо логики) можно попытаться пристроить на западные кинорынки, где зритель уже приучился смотреть подобное кино. Когда в России поднимется рынок массового кино, можно будет думать о развитии рынка авторского, пока закончим этот разговор.

На наш взгляд, одна из основных проблем - отсутствие системного подхода в российском кинорынке. Если бы студии-лидеры вместе бы обсуждали идеи будущих проектов, возможно они бы задумались о том, что можно было бы найти каждому узкую, но глубокую специализацию: например, одним из лидеров 2012 года по сборам стала компания «Энджой-Мувис», работающая без финансовой господдержки и тем не менее выпускающая комедии, которые окупаются в первые 1,5 недели проката: «Что творят мужчины», «Тот еще Карлосон», «Беременный» и другие./23/ Более интеллектуальный уровень комедий предлагают Александр Цекало и «Квартет И», тоже работающие без господдержки и выпускающие популярные фильмы как «День радио» и «О чем говорят мужчины» (по данным Forbes, упомянутые нами Цекало и «Квартет И» - единственные продюсеры в России, чьи фильмы ни разу не провалились)./13, с. 85/ У «Эндожой-Мувис» только один провальный по сборам фильм - «Я буду рядом», который получил гран-при «Кинотавра» в 2012 году. Не будем именно по этой причине комментировать работу Фонда кино, поскольку не видим в ней упомянутой системности. Разумеется, слова Владимира Мединского, министра культуры, о том, что стране нужны патриотические фильмы, мы в расчет брать не будем, учитывая кассовый провал продвигавшегося им фильма «1812: Уланская баллада»./27/ Если удастся делать много успешных проектов в одном жанре, в одной системе координат, только тогда можно будет расширять границы деятельности.

Еще одна важная проблема - отсутствие кадров. Как так вышло, что в большинстве новых компаний должности продюсеров и сценаристов занимают КВНщики без профильного образования, а выпускники ВГИКа и СПБГУКиТа сидят годами без работы? Как заявил Валерий Федорович, руководитель департамента сериалов канала ТНТ, проблема в том, что в упомнятых вузах учат искусству, а не профессии, студенты живут в вымышленном мире, иллюзии, что они будут творить как Тарковский и искренне удивляется, что им придется потом минимум три года заниматься всем подряд на съемках скетчкомов и сериалов про бандитов./5, с. 83/ Еще зачастую в Google студенты могут найти более точную и достоверную информацию, чем та, которую им предоставляют не всегда компетентные и не всегда профпригодные преподаватаели. А студенты продолжают сидеть и мечтать как будут сразу создателями внезапно кассовых авторских картин и внедрять системы «Пиксара» и прочих. А на самом деле будут по 3 месяца работать бесплатно и делать так как удобно начальству, как дешевле. Не все готовы смириться с такой эклектикой существования. А самые напористые понимают: систему не сломать, нужно давать зрителю то, чего он хочет, при этом соблюдая нормы качества и при этом не пытаться воспитать зрителя.

Подведем итоги. Несмотря на редкие кассовые хиты кинематографа, которым удается собрать большую аудиторию, в целом российский кинематограф мало интересен зрителям. Продюсерам следует объединить усилия для создания успешно работающего конвейера, а не штучного производства, которое в подавляющем большинстве случаев не находит отклик у массовой аудитории, что мешает рынку развиваться.

Глава 3. Прогнозирование числа выходящих кинофильмов

.1 Прогнозирование числа выходящих кинофильмов методом экстраполяции временного ряда

Для того, чтобы спрогнозировать методом экстраполяции, сколько составит число выходящих кинофильмов в ближайшие несколько лет на основании данных за последние пять лет, которые мы представляли в предыдущей главе, нам следует выполнить следующие действия:

. Построение графика, отражающего тенденцию изменения числа выходящих кинофильмов во времени по исходным данным. Во-первых, напомним исходные данные: в 2008 году в кинотеатрах эфире вышло в совокупности 78 российских фильмов, в 2009 году - 78, в 2010 - 69, в 2011 - 63, а в 2012 году 68 российских кинофильмов.. Для построения графика необходимо каждому году присвоить порядковый номер: 2008 - 1, 2009 - 2, 2010 - 3, 2011 - 4, 2012 - 5(рис. 2.)

 

Рисунок 2

Число выходящих российских кинофильмов в 2008-2012 гг.

Анализ графика позволяет прийти к выводу, что общие условия, определяющие тенденцию изменения числа выходящих кинофильмов в прошлом, не претерпевают существенных изменений в будущем.

Вид кривой свидетельствует о линейной зависимости переменных - тенденция изменения числа выходящих кинофильмов характеризуется аналитическим уравнением прямой. Таким образом, выполняются оба условия для возможности применения метода экстраполяции динамического (временного) ряда при выполнении прогноза о количестве российских фильмов на 2013 год.

. Расчет параметров уравнения прямой.

Кривая числа выходящих кинофильмов по годам близка к линейной зависимости, которая выражается уравнением прямой по формуле:

у=а+bх, (1)

где у- количество выходящих кинофильмов;

х - порядковый номер года;

а - параметр, характеризующий влияние основных факторов на выход кинофильмов (бюджет кинофильма, зрительские ожидания);- параметр, характеризующий влияние вспомогательных факторов на выход фильмов (моды, сезонности и др.).

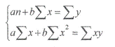
Для нахождения параметров уравнения прямой необходимо составить

и решить систему уравнений по формуле :

 (2)

Для решения системы уравнений необходимо провести дополнительные расчеты(таблица 3.1).

Таблица 3.1

Таблица для расчета параметров уравнения прямой

Порядковый номер года, х

Число выходящих в прокат российских к/ф (шт.), у

ху

х2

1

2

3

4

1

78

78

1

2

78

156

4

3

69

207

9

4

63

252

16

5

68

340

25

Итого: 15

356

1033

55


a + 15b = 356

a + 55b = 78+156+207+256+340

a + 15b = 356 |*3

a + 55b = 1033

a + 55b = 1033

a + 45b = 1068

b = -35= -3.5

a + 15*(-3.5) = 356+ 3*(-3.5) = 71.2- 10,5 = 71.2= 81.7, b = -3,5(2013) = 81.7 - 3.5*6 = 60,7 - 61 фильм(2014) = 81.5 - 3.5*7 = 57 - 57 фильмов(2015) = 81.5 - 3.5*8 = 53.5 - 54 фильма

Как видно из наших расчетов, мы видим отрицательную динамику выхода российских кинофильмов на экраны кинотеатров.

Подведем итоги. С помощью метода экстраполяции нам удалось спрогнозировать количество выходящих в прокат фильмов на 2013-2015 годы. К сожалению, число отечественных лент продолжит уменьшаться. Вполне возможно, что такая тенденция однажды будет символизировать переход от количества к качеству, мы же настаиваем на системности, без поступательного введения которой и речи не идет о создании конкурентоспособной, интересной зрителю киноиндустрии.

.2 Прогнозирование числа выходящих российских фильмов методом наименьших квадратов

Для расчета прогнозируемого числа выходящих российских фильмов в ближайшие несколько лет методом наименьших квадратов нам следует выполнить следующие действия:

. Расчет параметров уравнения прямой.

Для удобства выполнения расчетов составим и заполним табл. 3.2.

Таблица 3.2

Таблица для расчета параметров уравнения прямой

Годы

Условные обозначения периодов, х

Х2

Число выходящих кинофильмов (шт), у

ух

1

2

3

4

5

2008

-2

4

78

-156

2009

-1

1

78

-78

2010

0

0

69

0

2011

1

1

63

63

2012

2

4

68

136

Итого

0

10

356

-35


.1. Столбец 4 содержит исходные данные: в 2008 году в кинотеатрах эфире вышло в совокупности 78 российских фильмов, в 2009 году - 78, в 2010 - 69, в 2011 - 63, а в 2012 году 68 российских кинофильмов.

.2. Столбец 2 - условные обозначения периодов, х .

Число уровней (значений) ряда динамики с 2008 до 2012 гг. содержит 5 уровней. При нечетном количестве, уровень, находящийся в середине ряда (2010 год), принимается за условное начало отсчета времени (этому периоду или моменту времени придается нулевое значение). Даты времени, стоящего выше этого уровня, обозначаются натуральными числами со знаком минус, например, 2009 году соответствует условное обозначение «-1», 2008 году- «-2»; а ниже - натуральными числами со знаком плюс, например, 2011 году соответствует условное обозначение «1», 2012 году «+2».

.3. Заполнение столбца 3 осуществляется последовательным возведением в квадрат значений условных обозначений периодов х. В 2-ом примере для 2009 года: х = (-1) = 1. Требуется вычислить строку «Итого»: 10.

.4. Столбец 1 содержит года, за которые идет учет количества выходящих на киноэкраны российских фильмов.

.5. Заполнение столбца 5 осуществляется последовательным переумножением значений столбцов «Число выходящих кинофильмов» (шт), У и «Условные обозначения периодов», Х (столбцы 4 и 2 соответственно). Допустим, для 2012 года:

у * Х = 68*2 = 136.

Требуется вычислить строку «Итого»: -35.

.6. Решая систему, для О-го варианта задания получаем следующие значения параметров уравнения прямой:= 356/5= 71,2= -35/10 = -3,5

Зная значение параметров, получаем уравнение тренда -уравнение прямой ряда динамики, характеризующего динамику изменения числа выходящих кинофильмов с 2008 года по 2012 год:

^у= 71,2-3,5х (3)

. Используя уравнение прямой (формула 3), выполним прогноз изменения числа выходящих кинофильмов в 2013-2015 годах.

Прогноз: объем сериалов в 2013 году по методу наименьших квадратов составит:

^y3 = 71,2 -3,5*3 = 60,7

^y4= 57 - в 2014 году

^y5=54 - в 2015 году

Подведем итоги. Полученные в результате прогноза данные оказались приближены тем данным, которые мы получили, пользуясь методом экстраполяции. Таким образом, видна тенденция к уменьшению количества фильмов. Российские продюсеры не могут не замечать, что большинство российских лент проваливаются в прокате, а это значит, что для того, чтобы вернуть к экранам зрителя, нужно заинтересовать его кинопродукцией, которая вызовет у него интерес. И это должен быть не разовый спецпроект, а регулярная вереница качественных конкурентоспособных проектов. И если в силу отличия российской экономики от экономики США российские продюсеры не могут позволить бюджеты уровня блокбастеров вроде «Трансформеров», но хотя бы на уровне режиссуры, драматургии и актерской игрой фильм должен быть сделан качественно и при этом быть понятен для аудитории кинотеатров. И именно такие цели должны себе ставить кинематографисты, а не желание выпустить как можно больше фильмов. Потому что калейдоскоп странных и несуразных фильмов на фоне невероятно успешной «Легенды № 17» индустрией не является и ни о какой полноценной конкурентоспособности речи быть не может.

Заключение

Чтобы четко понимать, как будет развиваться российская киноиндустрия, в первую очередь, нами были изучены теоретические аспекты кинематографа в целом и его развития в постсоветской России для понимания функционирования системы. Кроме того, мы изучили ключевые понятия науки прогнозирование для того, чтобы использовать эти данные для более глубокого и тщательного исследования российского кинематографа.

На основе данных за 2008-2012 годы мы проследили тенденцию уменьшения количества выпускаемых на экран отечественных кинофильмов: в 2008 году в кинотеатрах эфире вышло в совокупности 78 российских фильмов, в 2009 году - 78, в 2010 - 69, в 2011 - 63, а в 2012 году 68 российских кинофильмов. Чтобы выяснить причины такого явления, мы изучили кассовые сборы вышедших в 2012 году российских фильмов и увидели, что 56 % фильмов не смогли добраться до отметки в 1 миллион долларов. А накопленные нами теоретические знания о российском кино и системе проката говорят о том, что такие фильмы считаются коммерчески неуспешными и приносят убытки продюсерам кинофильма.

Изучив вышеупомянутые данные, мы предположили, что ключевой проблемой российского кинопроизводства является отсутствие системного подхода и чрезмерно регулярные попытки предлагать зрителю нестандартный кинопродукт, что является весьма рисковым существованием в рамках текущего положения дел кинопроката.

Наше мнение мы подкрепили прогнозированием количества выходящих на экран российских кинофильмов, что было сделано нами при помощи метода экстраполяции временного ряда и метода наименьших квадратов. Мы получили следующие данные: в 2013 году выйдет 61 фильм, в 2014 - 57, а в 2015 году выйдет 54 фильма. Тенденцию уменьшения количества фильмов практически идентично показали оба метода прогнозирования. Эти данные заставляют задуматься о том, что существующую систему российской киноиндустрии нужно совершенствовать, более тщательно подходя к созданию кинопродукции для целевой аудитории, при этом не забывая, что киноиндустрия - это не ряд разнообразных фильмов, а единая система, цель которой - достичь максимальных финансовых результатов, сохраняя нормы качества и не нарушая существующих общественных принципов.

Список использованной литературы

Астрахан Д.Х. 90-е. Кино, которое мы потеряли. - М.: Зебра-Е, 2007. - 272 с.

Веснин В.Р. Основы менеджмента. Учебник - М.: Триада 2000. - 114 с.

Владимирова Л.П. Прогнозирование и планирование в условиях рынка. Учебное пособие. - М.: Эксмо, 2001. - 256 с.

Градов А.П. Экономическая стратегия фирмы. Учебник - С-Пб.: Специальная литература, 2000. - 421 с.

Закревский Ю.А. Наше родное кино. - М.: ИТРК, 2004. - 208 с.

Кокарев И.Е. Кино как бизнес и политика. - М.: Аспект Пресс, 2009. - 344 с.

Кончаловский А.С. 9 глав о кино и т.д. - М.: Эксмо, 2013. - 176 с.

Кузык Б.Н. Прогнозирование и стратегическое планирование социально экономического развития. - М.: Экономика, 2006. - 299 с.

Литвак Б.Г. Управленческие решения. Учебное пособие - М.: ЭКМОС, 2001. - 198 с.

Мотыгина М.С. Методы социально - экономического прогнозирования. - СПб.: Изд. Университета экономики и финансов, 1998. - 221 с.

Огурчиков П.А. Мастерство продюсера кино и телевидения. - М.: Юнити, 2007. - 864 с.

Писарева О.М. Базовые методы прогнозирования: Учебное пособие. - М.: Эксмо, 2005. - 416 с.

Роднянский А.Е. Выходит продюсер. - М.: Манн, Иванов и Фербер, 2013. - 288 с.

Румянцева З.П. Менеджмент организаций. Учебное пособие. - М.: Инфра-М, 2001. - 286 с. прогнозирование производство фильм

Феоктистов А.Г. Теоретические аспекты прогнозирования экономической деятельности. - СПб: Проспект, 2005. - 305 с.

Черныш Е.А., Молчанова Н.П ., Новикова А.А. , Салтыкова Т.А. Прогнозирование и планирование. - М.: Приор, 2000. - 208 с.

Похожие работы на - Анализ и прогнозирование производства фильмов в Российской Федерации

 

Не нашли материал для своей работы?
Поможем написать уникальную работу
Без плагиата!
Без нейросетей!