Микроэкономика
МИНОБРНАУКИ
РОССИИ
Федеральное
государственное бюджетное образовательное
учреждение
высшего профессионального образования
«Тульский
государственный университет»
Региональный
центр повышения квалификации и переподготовки кадров
Кафедра
«Мировой экономики»
Контрольная
работа
по
дисциплине «Микроэкономика»
Вариант
№19
Выполнила: ст.гр. Б761132С Губенко А.Е.
Проверил: Доц. Глухарев Ю.Г.
Тула 2013
Содержание
1. Причины существования
несовершенной конкуренции и общие черты ее рыночных структур. Виды
несовершенной конкуренции и их признаки
. Общие черты рыночных структур в
условиях несовершенной конкуренции
. Виды несовершенной конкуренции
. Признаки несовершенной конкуренции
. Контрольные тестовые задания
. Задача
.Список литературы
1. Причины существования несовершенной
конкуренции и общие черты ее рыночных структур. Виды несовершенной конкуренции
и их признаки.
Причины существования несовершенной конкуренции
Несовершенная конкуренция существовала всегда,
но особенно обострилась в конце XIX - начале XX в. в связи с образованием
монополий. В этот период происходит концентрация капитала, возникают
акционерные общества, усиливается контроль за природными, материальными и
финансовыми ресурсами. Монополизация экономики явилась закономерным следствием
большого скачка в концентрации промышленного производства под воздействием
научно-технического прогресса. Профессор П. Самуэльсон особо подчёркивает это
обстоятельство: « Экономике крупного производства, возможно, присущи
определённые факторы, ведущие к монополистическому содержанию организации и
бизнеса. Это особенно наглядно проявляется в быстро меняющейся области
технологического развития. Ясно, что конкуренция не смогла бы долго
просуществовать и быть эффективной в сфере бесчисленного множества
производителей». [1, c.18]
Почему в одних отраслях наблюдается состояние,
близкое к совершенной конкуренции, тогда как в других доминируют несколько
крупных фирм? Большинство случаев несовершенной конкуренции можно объяснить
двумя основными причинами. Во-первых, есть тенденция к уменьшению количества
продавцов в тех отраслях, для которых характерны значительные экономии от
масштаба и уменьшаются издержки. В этих условиях крупным фирмам производство
обходится дешевле, и они могут продавать свои продукты по более низкой цене,
чем мелкие, что приводит к "вытеснению" последних из отрасли.
Во-вторых, рынки имеют тенденцию к несовершенной
конкуренции, когда существуют трудности для вступления новых конкурентов в
отрасль. Так называемые "барьеры входа" могут возникать в результате
государственного регулирования, ограничивающего количество фирм. В других
случаях может быть просто слишком дорого для новых конкурентов
"прорваться" в отрасль.
. Общие черты рыночных структур в условиях
несовершенной конкуренции.
Прежде всего, надо установить, по каким
критериям различаются рыночные структуры, которые сложились в тех или иных
отраслях. Исследования экономистов показали, что в основу определения того, к
какому типу относится та или иная рыночная структура, должны быть положены
следующие критерии:
. количество фирм, представленных на рынке той
продукции, которая выпускается данной отраслью;
. характер производимой продукции (стандартная
или дифференцированная);
. наличие или отсутствие барьеров на пути
вхождения фирм в данную отрасль или выхода из нее;
. степень доступности экономической информации.
При несовершенной конкуренции расщепление
экономической власти ослаблено или вовсе отсутствует. Поэтому производитель
приобретает известную степень влияния на рынок. [4, c.
29]
Степень несовершенства рынка зависит от
разновидности несовершенной конкуренции. В условиях монополистической
конкуренции она невелика и связана только с умением производителя выпускать
особые, отличающиеся от конкурентных разновидности товаров. При олигополии
несовершенство рынка значительно и диктуется немногочисленностью действующих на
нем фирм. Наконец, монополия означает господство на рынке только одного
производителя.
На большинстве реальных рынков подавляющая часть
продукции предлагается ограниченным числом фирм. Крупные корпорации,
сосредоточившие в своих руках значительную часть рыночного предложения,
оказываются в особых отношениях с рыночной средой. Во-первых, занимая
господствующее положение на рынке, они могут существенно влиять на условия реализации
продукции. Во-вторых, меняются и отношения между участниками рынка:
производители внимательно следят за поведением своих конкурентов, и реакция на
их поведение должна быть своевременной. Конкурентные отношения такого типа
изучаются теорией несовершенной конкуренции. [5, c.48]
Совершенная конкуренция, является скорее
абстрактной моделью, удобной для анализа основных принципов формирования
рыночного поведения фирмы. В реальной действительности чисто конкурентные рынки
встречаются редко, как правило каждая фирма имеет «свое лицо», и каждый
потребитель, выбирая продукцию той или иной фирмы, руководствуется не только
полезностью продукции и ее ценой, но и своим отношением к самой фирме, к
качеству выпускаемых ею изделий. В этом смысле положение каждой фирмы на рынке
в чем-то уникально, или, иными словами, в ее поведении присутствует элемент
монополизма. Этот элемент накладывает отпечаток на деятельность фирмы,
заставляет ее несколько иначе подходить к формированию ценовой стратегии,
определению объема выпуска продукции, наиболее эффективного с точки зрения
прибылей и убытков.
Подавляющее большинство реальных рынков - это
рынки несовершенной конкуренции. Свое название они получили в связи с тем, что
конкуренция, а значит, и стихийные механизмы саморегуляции («невидимая рука»
рынка) действуют на них несовершенно. В частности, часто нарушается принцип
отсутствия в экономике излишков и дефицитов, который как раз и свидетельствует
об эффективности, совершенстве рыночной системы. Коль скоро какие-то блага
избыточны, а каких-то не хватает, уже нельзя утверждать, что все имеющиеся
ресурсы экономики расходуются только на производство нужных благ в нужных
количествах.
Предпосылками несовершенной конкуренции
являются:
. значительная доля рынка у отдельных
производителей;
. наличие барьеров проникновения в отрасль;
. неоднородность продуктов;
. несовершенство (неадекватность) рыночной
информации.
Каждый из этих факторов в отдельности и все они
вместе способствуют отклонению рыночного равновесия от точки равенства спроса и
предложения. Так, единственный производитель определенной продукции
(монополист) или группа сговорившихся между собой крупных фирм (картель) в
состоянии поддерживать завышенные цены, не рискуя потерять клиентов - тем
просто больше негде взять этот продукт.
. Виды несовершенной конкуренции
В теории выделяют различные виды рынков с
несовершенной конкуренцией (по степени убывания конкурентности):
монополистическая конкуренция, олигополия, монополия.
Рынок монополистической конкуренции состоит из
множества покупателей и продавцов, совершающих сделки не по единой рыночной
цене, а в широком диапазоне цен. Наличие диапазона цен объясняется способностью
продавцов предложить покупателям разные варианты товаров. Продавцы конкурируют,
предлагая дифференцированный товар на рынке, куда возможен вход новых
продавцов. Монополистическая конкуренция - тип отраслевого рынка, на котором
существует достаточно много продавцов, продающих дифференцированный продукт,
что позволяет им осуществлять определенный контроль над продажной ценой товара.
На рынке монополистической конкуренции действует относительно большое число
продавцов, каждый из которых удовлетворяет небольшую долю рыночного спроса на
общий тип товара, реализуемого фирмой и ее конкурентами. При монополистической
конкуренции размеры рыночных долей фирм составляют в среднем от 1 до 10 %
общего объема продаж на данном рынке. Вход на данный рынок не затруднен такими
барьерами как при монополии или олигополии, но и не настолько легок, как при
совершенной конкуренции.
Реальные изделия могут отличаться друг от друга
качеством, свойствами, внешним оформлением, но эти различия, если они есть,
весьма незначительны. Различия могут заключаться в сопутствующих товару
услугах. Покупатели видят разницу в предложениях и готовы платить за товары
по-разному. Чтобы выделиться чем-то, помимо цен, продавцы стремятся разработать
разные предложения для разных рыночных сегментов и широко пользуются практикой
присвоения товарам марочных названий, рекламой, методами личной продажи. В
связи с наличием большого числа конкурентов, стратегии их маркетинга оказывают
на каждую отдельную фирму меньше влияния, чем в условиях монопольного рынка.
Э. Х. Чемберлин в работе «Теория
монополистической конкуренции. Реориентация теории стоимости» очень ярко
подчеркивает особенность монополистической конкуренции: «Сказать, что каждый
производитель в какой-либо отрасли имеет монополию на свою собственную
разновидность продукта, не значит сказать, что отрасль монополизирована.
Напротив, внутри отрасли может иметь место весьма интенсивная конкуренция, но,
конечно, не такая, какая описывается теориями чистой конкуренции, - она
отличается монополией на собственную разновидность продукта. …
Монополистическая конкуренция есть, безусловно, нечто отличающееся и от чистой
монополии, и от чистой конкуренции». [3, c.32]
Он обратил внимание на то, что дифференциация
товара приводит к тому, что вместо единого рынка складывается сеть частично
обособленных, но взаимосвязанных рынков, существует широкое разнообразие цен,
издержек, объемов выпуска продукции той или иной товарной группы.
Дифференциация не исключает и монополии на продукт. Власть монополии, однако,
не распространяется на более широкий класс товаров, разновидностью которого
является монополизированный продукт. До Э.Чемберлина термин «монополистическая
конкуренция» употреблялся в отношении олигопольного строения рынка, например у
А.Пигу: «Монополистическая конкуренция - конкуренция между несколькими
продавцами, каждый из которых производит значительную долю всей выпускаемой продукции».
Рынок олигополии (олигополистическая
конкуренция) - тип отраслевого рынка, который характеризуется наличием
нескольких очень крупных фирм, контролирующих значительную часть производства и
сбыта и конкурирующих друг с другом. Состоит из небольшого числа продавцов,
весьма чувствительных к политике ценообразования и маркетинговым стратегиям
друг друга. Каждая фирма проводит самостоятельную рыночную политику, но при
этом она зависит от конкурентов и вынуждена считаться с ними. Товар может быть
и дифференцированным, и стандартным. Товары могут быть схожими (сталь,
алюминий), а могут быть и несхожими (автомобили, персональные компьютеры).
Небольшое число продавцов объясняется тем, что новым претендентам трудно
проникнуть на этот рынок. Каждый продавец чутко реагирует на стратегию и на
действия конкурентов. Если какая-либо сталелитейная компания снизит свои цены
на 10%, покупатели быстро переориентируются на этого поставщика. Другим
производителям стали придется реагировать либо тоже снижением цен, либо предложением
большего числа объема услуг. Олигополист никогда не испытывает уверенности, что
может добиться какого-либо долговременного результата за счет снижения цен. С
другой стороны, если олигополист повысит цены, конкуренты могут не последовать
его примеру, и тогда ему придется либо возвращаться к прежним ценам, либо
рисковать потерей клиентуры в пользу конкурентов.
Можно выделить такую разновидность олигополии,
как олигополия с доминирующей фирмой. Для нее характерны следующие признаки:
· Наличие доминирующей фирмы - агента, который
продает или покупает значительную долю совокупного объема рынка и способен на
стратегическое поведение;
· Наличие большого числа
фирм-аутсайдеров, небольших по размеру фирм, выпускающих тот же или близкий
товар, но не способных оказать влияние на рыночную цену;
· Рыночная цена устанавливается под
сильным влиянием доминирующей фирмы, аутсайдеры принимают ее как данную рынком;
· Наличие барьеров входа и выхода.
Элвин Дж. Долан и Дэйвид Е. Линдсей в работе
«Рынок: микроэкономическая модель» об олигополии и олигополической взаимосвязи:
«Главная трудность в анализе олигополии состоит в определении того, с какими
ограничениями сталкиваются фирмы на рынке, где существуют несколько
конкурирующих компаний. Фирмы при олигополии, так же как и при совершенной
конкуренции и на монополизированных рынках, сталкиваются с ограничениями
затратной кривой и условий спроса. Но, кроме того, они сталкиваются еще с одним
ограничением: действиями конкурирующих фирм. Изменение прибыли, которое фирма
может получить за счет изменения цен, объемов выпуска или качественных
характеристик продукта, зависит не только от реакции потребителей (как при
других рыночных структурах), но также от того, как на это отреагируют другие
фирмы - участницы данного рынка. Зависимость поведения каждой фирмы от реакции
конкурентов называется олигополистической взаимосвязью. … Но олигополистическая
взаимосвязь может привести не только к ожесточенному противоборству, но и к
соглашению. Последнее имеет место тогда, когда фирмы-олигополисты видят
возможности совместного увеличения своих доходов путем повышения цен и
заключения соглашения о дележе рынка. Если соглашение является открытым и
оформленным и вовлекает всех или большую часть производителей на рынке, его
результатом является образование картеля.»
. Признаки несовершенной конкуренции
Моделям рынка с несовершенной конкуренцией
присущи следующие признаки:
много (но не множество), несколько или одна
фирма;
наличие барьеров вступления в отрасль;
возможность в определенных пределах влиять на
рыночную цену и объем производства;
использование неценовых методов конкурентной
борьбы (дифференциация продукта, реклама, послепродажное обслуживание и т.п.);
сочетание рыночной саморегуляции и планового
регулирования как государственного, так и внутри- и межфирменного.
Государство, стремясь поддержать рыночную
систему, защитить права потребителей, не допустить недобросовестную
конкуренцию, регулирует в той или иной степени деятельность на рынках
несовершенной конкуренции.[2, c.46]
несовершенный
конкуренция рыночный
5. Контрольные тестовые задания
. Термин «предельный» в микроэкономике означает:
а) небольшое изменение экономической величины;
б) несущественное изменение экономической
величины;
в) пограничное изменение экономической величины;
г) дополнительное изменение экономической
величины.
Рассмотрим микроэкономическое значение термина
"предельный" путем краткого анализа теории предельной полезности.
В конце XIX в. Уильям Стэнли Джевонс (и ряд
других экономистов, работавших независимо друг от друга) первым сделал важный
шаг вперед в понимании рационального выбора потребителей, разработав принцип
убывающей предельной полезности. Этот шаг был основан на осознании того факта,
что большинство случаев выбора потребителей не сводится к принятию решений типа
"все или ничего" (примером такого решения может быть выбор между тем,
чтобы начать курить и тем, чтобы дать зарок вообще никогда не курить). Решения
потребителей являются инкрементальными, имеющими приростной характер.
Примером решения этого рода может послужить
решение съедать каждый месяц на одного цыпленка больше, чем обычно. В тех
случаях, когда экономисты характеризуют результаты того, что нечто сделано в
чуть большем или чуть меньшем объеме, они пользуются прилагательным предельный
("маргинальный"). Таким образом, предельная полезность некоего блага
(товара или услуги - прим. ред.) представляет собой величину добавочной,
дополнительной полезности, которую получает потребитель от потребления еще
одной единицы блага (при прочих равных условиях).
. Коэффициент ценовой эластичности спроса равен
1/3. Это означает, что:
а) если цена товара вырастет на 1%, то величина
спроса на него сократится на 1/3%;
б) если цена товара сократится на 1%, то
величина спроса на него увеличится на 3%;
в) если цена товара повысится на 1%, то величина
спроса на него повысится на 1/3%;
г) если цена товара снизится на 1%, то величина
спроса на него уменьшится на 3%.
Ответ:
Ценовая эластичность - это процентное изменение
величины спроса на товар, вызванное однопроцентным изменением его цены. В
данном случае цена падает на 1% соответственно спрос вырастет в 3 раза.
6. Задача
Потребитель тратит 50 руб. в день на блага Х и
У.
Цена блага Х - 10 руб.
Цена блага У- 5 руб.
Функция общей полезности U
= 20ХУ
а) Определить оптимальное количество
потребляемых благ Х и У
б) Построить графики бюджетной линии и общей
полезности
в) Найти на графике точку равновесия
потребителя.
Решение:
Оптимальное количество благ х и y
вариант когда x или y
= 0, не является правильным
y
x
М1 2 4
M2 4 3
M3 6 2
M4 8 1
Бюджетная линия
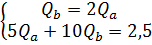
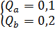
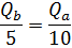
МUа=U'(Qa)=Qb
МUb=U'(Qb)=Qa
+PbQb=I,
Qa+10Qb=50

=> 
Qa+20Qb=2,5 
7. Список литературы
1. Экономическая теория: Учебник/
Под редакцией И.П. Николаевой. -
-е изд., перераб. и доп. - М.:
Проспект, 2009
. Гукасьян Г.М. Экономическая
теория. - СПб.: Питер, 2011.
. Основы экономической теории: Учеб.
пособие/ В.Л.Клюня, М.И.
Зеленкевич и др. Введение - Мн.,
2010.
. Макконнелл К., Брю С. Экономикс:
Принципы, проблемы и
политика. Т.1., глава 1. - М., 2010.
. Микроэкономический подход:
практический подход. Под ред. А.Г. Грязновой, А.Ю. Юдановой. КНОРУС, 2009