Теоретические основы организации контроля качества и испытаний
КУРСОВАЯ РАБОТА
Теоретические основы
организации контроля качества и испытаний
Введение
Моей задачей состояло, научится проводить корреляционный
анализ данных, применять статистический приемочный контроля продукции по
количественному и альтернативному признаку, научится составлять планы
статистического приемочного контроля и строить оперативные характеристики,
Изучить степень тесноты связи проведение оценки её сущности.
Проводить статистический приёмочный контроль поставщиком и потребителем.
1. Проведение корреляционного анализа данных
Провести корреляционный анализ зависимости качества сыра в
баллах от его цены рублях.
При исследовании получились следующие данные:
потребитель
корреляционный поставщик контроль
|
№ п/п
|
Качество, баллы
|
Цена, руб.
|
|
1
|
1,0
|
92
|
|
2
|
1,5
|
99
|
|
3
|
1,0
|
110
|
|
4
|
10,0
|
51
|
|
5
|
10,0
|
61
|
|
6
|
5,0
|
67
|
|
7
|
2,0
|
88
|
|
8
|
1,5
|
85
|
|
9
|
3,5
|
62
|
|
10
|
2,0
|
89
|
|
11
|
10,0
|
64
|
|
12
|
1,5
|
85
|
|
13
|
3,0
|
73
|
|
14
|
3,5
|
71
|
|
15
|
1,1
|
79
|
|
Итого:
|
56,6
|
1176
|
Решение:
Определим, какой из двух рассматриваемых показателей является
факторным признаком. Факторный признак - это тот признак, который влияет на
другой признак. В нашем примере качество сарделек влияет на его стоимость,
следовательно, факторный признак (Х) - это качество сарделек, а результативный
признак (У) - цена.
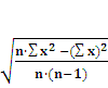
) Проверка первичной информации на однородность, то
есть наличие только двух переменных корреляционных связей, которые
раскрываются. Оценка однородности осуществляется с помощью коэффициента
вариации по факторным признакам:
; где
=
,
Посчитаем среднее значение качества сыра:
=
=3,7 балла.
Для расчета
используем таблицу №1 столбец 3,
=
в результате
=
.
Полученное значение
больше 33%,
следовательно, совокупность не однородна.
|
№
|
Качество, баллы
|
Цена, руб.
|
(xi- )2
|
x y
|
х2
|
у2
|
|
|
|
|
1
|
2
|
3
|
4
|
5
|
6
|
7
|
8
|
9
|
|
1
|
1,0
|
92
|
7,29
|
92,0
|
1,0
|
8464
|
185,0
|
88,9
|
1432,62
|
|
2
|
1,5
|
99
|
4,84
|
148,5
|
2,3
|
9801
|
424,4
|
88,9
|
775,62
|
|
3
|
1,0
|
110
|
7,29
|
110,0
|
1,0
|
12100
|
998,6
|
88,5
|
701,19
|
|
4
|
10,0
|
51
|
39,69
|
510,0
|
100,0
|
2601
|
750,8
|
87,0
|
529,00
|
|
5
|
10,0
|
61
|
39,69
|
610,0
|
100,0
|
3721
|
302,8
|
87,0
|
400,00
|
|
6
|
5,0
|
67
|
1,69
|
335,0
|
25,0
|
4489
|
130,0
|
87,0
|
256,00
|
|
7
|
2,0
|
88
|
2,89
|
176,0
|
4,0
|
7744
|
92,2
|
85,2
|
147,62
|
|
8
|
1,5
|
85
|
4,84
|
127,5
|
2,3
|
7225
|
43,6
|
85,2
|
37,82
|
|
9
|
3,5
|
62
|
0,04
|
217,0
|
12,3
|
3844
|
269,0
|
81,5
|
12,60
|
|
10
|
2,0
|
89
|
2,89
|
178,0
|
4,0
|
7921
|
112,4
|
79,6
|
29,16
|
|
11
|
10,0
|
64
|
39,69
|
640,0
|
100,0
|
4096
|
207,4
|
79,6
|
70,56
|
|
12
|
1,5
|
85
|
4,84
|
127,5
|
2,3
|
7225
|
43,6
|
74,1
|
223,50
|
|
13
|
3,0
|
73
|
0,49
|
219,0
|
9,0
|
5329
|
29,2
|
55,6
|
1328,60
|
|
14
|
3,5
|
71
|
0,04
|
248,5
|
12,3
|
5041
|
54,8
|
55,6
|
1887,90
|
|
15
|
1,1
|
79
|
6,76
|
86,9
|
1,2
|
6241
|
0,4
|
55,6
|
2964,80
|
|
Итого:
|
56,6
|
1176
|
162,97
|
3825,9
|
376,5
|
95842
|
3643,6
|
1178,8
|
10797,01
|
) Проверка первичных данных на нормальность
распределения. По правилу «трех
»
|
Интервал значений по качеству в баллах
|
Число единиц, входящих в интервал
|
Удельный вес единиц, входящих в интервал
|
Удельный вес единиц при нормальном
распределении
|
|
0,5 - 6,9
|
12
|
80%
|
68,3%
|
|
-2,7 - 10,1
|
15
|
100%
|
95,4%
|
|
-5,9 - 13,3
|
15
|
100%
|
99,7%
|
Распределение нормальное, т.к. удельный вес единиц входящих в
интервал практически совпадает с удельный весом при нормальном распределении.
) Исключение из состава первичной информации резко
выделяющихся единиц.
Резко выделяющихся единиц нет, так как все данные попадают в
интервал от -5,9 до 13,3.
) Установка факта наличия и направления корреляционной
зависимости.
Для установления факта наличия связи производится
аналитическая группировка по признаку - фактору. Группировка выполняется при
равных интервалах и числе групп 4. Величина интервала определяется по формуле:
h=
=2,3 балла
Величина интервала принимается равной 2,3 балла.
Ниже построена групповая таблица.
Для заполнения групповой таблицы была использована
вспомогательная таблица №3
|
Интервалы качества, баллы
|
1-3,3
|
3,3-5,6
|
5,6-7,9
|
7,9-10,2
|
|
№ анализа
|
1,2,3,7,8,10,12,13,15
|
6,9,14
|
-
|
4,5,11
|
|
Цена на сардельки, руб.
|
92,99,110,88,85,89,85,73,79
|
67,62,71
|
-
|
51,61,64
|
Зависимость качества сыра и его стоимости
|
Интервал качества, баллы
|
Число анализов
|
|
Средняя цена сарделек руб.
|
|
1
|
2
|
3
|
4
|
|
1-3,3
|
9
|
800
|
88,8
|
|
3,3-5,6
|
3
|
200
|
66,6
|
|
5,6-7,9
|
0
|
0
|
0
|
|
7,9-10,2
|
3
|
176
|
58,6
|
|
Итого:
|
15
|
1176
|
-
|
) построение графика зависимости одного признака от другого.
Эмпирическая линия связи приближается к прямой линии.
Следовательно, можно считать наличие прямолинейной корреляции.
) Изучение степени тесноты связи проведение оценки её
сущности
Посчитаем
используя для этого таблицу №1 столбец 1,2, 4,
5,6.
=
=
=
=
- 0,79
Поскольку
= - 0,79>0
связь обратная.
попадает в интервал от 0 до ± 0,3, следовательно,
практически отсудствует.
Определим критические значения коэффициента корреляции
К=15-2=13.
По таблице Пирсона К=13 получаем 2 числа 0,51 и 0,64
Вывод: уровень в зоне
незначимости
Рассчитаем среднею квадратическую ошибку коэффициента
корреляции:
=
=
=
= 0,43
=
= 1,29
По таблице определяется t-критерий Стьюдента при P=0,95 и k=15-2; tтабл=2.160.
можно утверждать о несущественности коэффициента
корреляции.
) Построение модель связи.
График линии средних показывает наличие линейной связи,
поэтому для построения модели используется функция:
, где коэффициенты
,
находятся по формулам:
Для расчёта
нужны значения из таблицы №1 столбец 1,2
a1=
=
-3,75
а0=
=
92,55
y= 92,55-3,75
х - уравнение регрессии.
Для построения уравнения регрессии вычисляем две точки, через
которые проходит линии связи. Рассчитываем две точки,
для этого берём
;
.
У (х min)=
1=88,8; А (1; 88,8)
У (x max)=
10=55,05; Б (10; 55,05)
8) Проверка возможности использования модели связи в
практической работе.
, которая сравнивается с F - критерием.
Для расчета
используется корреляционное отношение:
.
Вспомогательные расчеты:
а) среднее значение цены:
;
б) для расчета
понадобилась таблица №4
столбец 4
в) для расчета
нужна таблица №1 столбец
7
Подставляем найденные значения и получаем:
.
При вероятности P = 0,95
(α=0,05) k1=m-2=4-2=2
и k2=n-m=15-4=11; Fтабл.=3,98. Так как
< Fтабл., то возможность
использования линейной функции не опровергается.
Для расчета средней квадратической ошибки уравнения
необходимо используется
вспомогательная таблица №1 столбцы 8,9:
Вывод: полученное отношение на много больше 15%,
поэтому уравнение не достаточно хорошо отображает взаимосвязь двух признаков и
не может быть использовано в практической работе.
. Применение статистического приемочного контроля
поставщиком и потребителем
Допустим, что выявленное качество сарделек на мясокомбинате
«Сергеевский», описываются следующим временным рядом:
|
День недели и месяца
|
Качество сарделек в баллах
|
|
11 марта, понедельник
|
15
|
|
12 марта, вторник
|
17
|
|
13 марта, среда
|
14
|
|
14 марта, четверг
|
13
|
|
15 марта, пятница
|
8
|
|
16 марта, суббота
|
9
|
|
17 марта, воскресенье
|
6
|
|
18 марта, понедельник
|
10
|
|
19 марта, вторник
|
12
|
|
20 марта, среда
|
15
|
|
21 марта, четверг
|
12
|
|
22 марта, пятница
|
10
|
|
23 марта, суббота
|
6
|
|
24 марта, воскресенье
|
5
|
. Рассчитаем прогноз качества сарделек методом подвижного
(скользящего) среднего.
При известных первых 5-дней и доверительной вероятности Р
=0,95.
|
Дата
|
11.03
|
12.03
|
13.03
|
14.03
|
15.03
|
16.03
|
17.03
|
18.03
|
19.03
|
20.03
|
21.03
|
22.03
|
23.03
|
24.03
|
|
Качество сыра в баллах
|
15
|
17
|
14
|
13
|
8
|
9
|
6
|
10
|
12
|
15
|
12
|
10
|
6
|
5
|
|
Прогноз
|
-
|
-
|
-
|
-
|
-
|
-
|
13,4
|
12,6
|
11,7
|
11,5
|
11,5
|
11,9
|
11,7
|
11,3
|
Для расчета используем таблицу №5

Остальные данные
;
рассчитываем аналогично.
Для расчета доверительных границ нам понадобится рассчитать
и по таб.
Стьюдента (см. приложение 2) определим
.
При P=0,95
и степенью свободы n-1=5-1=4 следовательно
.
=
.
Посчитаем доверительные границы:
=13,4+2,5700
1,6=17,51;
=13,4-2,5700
1,6=9,28.
По данным таблицы №1 строим график.
Вывод: По графику видно, что имеются
элементы выходящие за границы
и
2. Рассчитаем прогноз качества сыра методом проецирования
тренда.
Прямая описывается уравнением:
Для расчёта уравнения необходимо посчитать а и b по формулам:
; 
Построим вспомогательную таблицу №6 для расчета
,
.
|
№
|
|
|
2
|
|
|
1
|
15
|
1
|
1
|
15
|
|
2
|
17
|
2
|
4
|
34
|
|
3
|
14
|
3
|
9
|
42
|
|
4
|
13
|
4
|
16
|
52
|
|
5
|
8
|
5
|
25
|
40
|
|
6
|
9
|
6
|
36
|
54
|
|
7
|
6
|
7
|
49
|
42
|
|
8
|
10
|
8
|
64
|
80
|
|
9
|
12
|
9
|
81
|
108
|
|
10
|
15
|
10
|
100
|
150
|
|
11
|
12
|
11
|
121
|
132
|
|
12
|
10
|
12
|
144
|
120
|
|
13
|
6
|
13
|
169
|
78
|
|
14
|
5
|
14
|
196
|
70
|
|
Итого:
|
152
|
105
|
1015
|
1017
|
Рассчитаем
,
Подставим посчитанные данные в уравнения и рассчитаем
координаты двух точек через которые проходит линия тренда:
;
.
У (
; А (1; 14,4)
У (
; Б (14; 7,34)
Строим график статистическое прогнозирование по методу
проецирования тренда.
3. Применение статистических приемочного контроля
продукции по количественному признаку
Задача 1. Допустим, что на
контроль предоставлена партия из 20 килограмм сарделек.
Установлено: уровень контроля - II, вид контроля - нормальный, AQL=1,5%, верхнее допустимая
граница качества сарделек 50 баллов, оценка ϭ по S - методу. Провести
статистический приемочный контроль по S методу.
Решение: Из данных задачи выпишем то, что нам дано
. Объём партии - 20 кг.
. Уровень контроля - II
3. AQL - 1,5%
. Вид контроля - нормальный
. Оценка ϭ по s методу Tв = 50 баллов
. Способ контроля по S методу
1. По стандарту ГОСТ Р ISO3951-1-2007 «Статистические
методы. Процедуры выборочного контроля по количественному признаку» табл. А.1
определим код выборки - B исходя из объёма партии и уровня контроля;
. По табл. B.1 определим план контроля и объём выборки. Исходя из кода
выборки и данного AQL, получилось, что в данной области нет подходящего плана и
следует использовать первый план выборочного контроля нижи стрелки и изменить
объём выборки, поэтому Ks=1,395, объём выборки стал D, объём партии n=6.
. Результаты контроля выборки: 39,36,41,39,45,38;
. Расчитаем
=
=
= 39,7 балла.
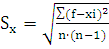
. Для расчёта среднего квадратического отклонение S =
построим помощью
вспомогательной таб.
|
|
|
|
1
|
39
|
1521
|
|
2
|
36
|
1296
|
|
3
|
39
|
1521
|
|
4
|
41
|
1681
|
|
5
|
45
|
20252
|
|
6
|
38
|
14443
|
|
Итого:
|
238
|
94884
|
Используя табл.
рассчитываем
S =
=
= 3,1
6. Рассчитаем величину
QB =
; QB =
=3,3 балла.
Полученное число QB сравнивается с табличным KS;
=1,395< QB =3,3. Для приемки партии требуется,
чтобы QB было больше личного KS.
После выполнения статистического
контроля получилось, что величина QB больше табличного
, значит партия, принимается.
Задача 2. Установлено минимальное
качество сарделек равное 36 балла. На контроль предоставлена партия из 30
килограмм сарделек. Уровень контроля - I, вид контроля -
усиленный, AQL=1,5%, значение
равно 4,1 балла. Провести статистический
приемочный контроль по ϭ методу.
Решение: Из данных задачи выпишем то, что нам дано
1. Объём партии - 30 кг.
. Уровень контроля - I
3. AQL - 1,5%
. Вид контроля - усиленный
5. Ϭ=4,1; Tн = 36 баллов
. Способ контроля по ϭ методу.
. По стандарту ГОСТ Р ISO3951-1-2007 «Статистические
методы. Процедуры выборочного контроля по количественному признаку» табл. А.1
определим код выборки - С, исходя из объёма партии и уровня контроля;
2. По табл. B.2 определим план контроля и объём выборки. Исходя из кода
выборки и данного AQL получилось, что в данной области нет подходящего плана и следует
использовать первый план выборочного контроля нижи стрелки и изменить объём
выборки поэтому, Kϭ=1,615, код объёма
выборки - Е, а объём партии n=9.
3. Результаты контроля выборки: 39,36,39,41,45,38,40,41,40;
4. Расчитаем
=
=
= 39,9 балла.
5. Рассчитываем величину Qн =
+
; Qн= 36+1,615·4,1=42,6.
Полученное число Qн сравнивается с
;
=39,9 <Qн = 42,6. Для приемки
партии требуется, чтобы Qн было меньше
После выполнения статистического контроля получилось, что
величина Qн больше
значит партия бракуеться.
4. Применение статистического приемочного
контроля продукции по альтернативному признаку
Оперативные характеристики статистического приемочного
контроля.
Обычно партии разделяют на годные и бракованные с помощью 2
чисел 1) AQL-приемлемый уровень качества или
максимальный уровень несоответствия в партии продукции, который считается удовлетворительным
и 2) LQ - предельное качество или минимальный уровень несоответствия,
который рассматривается как не удовлетворительный. 3) g - уровень несоответствия.
Партия считается годной при g ≤ AQL, бракованной при g ≥ LQ.
План сводится к тому, что бы риск поставщика и
потребителя не превышал
.
Задача 1. Отбирается 85 партий
сарделек известно, что риск поставщика равен 0,08, а риск потребителя 0,5,
приемлемый уровень качества 0,009, а минимальный уровень
несоответствия 0,07. Определить, какое количество партий
будет забраковано.
Решение: Из данных задачи выпишем то, что нам дано:
N=85 партий
α = 0,08
= 0,5
AQL = 0,009
LQ = 0,07
1. Контроль на основе AQL.
Переведем приемлемый уровень качества в проценты: AQL= 0,006, следовательно
0,009
100%=0,9%.
Таким образом, партия принимается, если число дефектов в
ней ≤ 0,9%. Теперь тоже самое сделаем для риск
поставщика α=0,08
100%=8%.
Посчитаем, чему равны 8% от 85 партий:
или 7,
так как партия не может браковаться нецелым числом, поэтому округлим его в
большую сторону.
Вывод. Из 85 партий, имеющих брак не выше
0,9%, будет забраковано не больше 7 партий.
2. Контроль на основе LQ.
Переведём минимальный уровень несоответствия в проценты LQ =0,07 следовательно 0,07
100%=7%.
Таким образом партия принимается если число дефектов в ней ≥7%.
Теперь тоже самое сделаем для риска потребителя
=0,5
100%=50%.
Посчитаем, чему равны 50% от 85 партий:
или 43,
так как партия не может браковаться нецелым числом,
округлим его в большую сторону.
Вывод. Из 85 партий, имеющих брак более 7%,
будет принято не более 43 партий.
Планы статистического приемочного контроля.
План контроля имеет кодовое обозначение, состоящее из:
- Буквенное обозначение варианта плана контроля. А при
Б при
- Значение браковочного уровня качества по табл. 1 из
стандарта ГОСТ 16493-70 «Качество продукции статистический приёмочный контроль
по альтернативному признаку»
Буквенное обозначение варианта браковки:
А) КЗ - производится сплошной контроль всех изделий в партии
с заменой всех дефектных изделий годными.
Б) К - производится сплошной контроль всех изделий в партии с
возвращением всех дефектных изделий поставщику
В) В-при контроле партия возвращается поставщику.
Задача 2. Определить план контроля
и объём выборки при объёме партий 180, риске потребителя 0,05,
браковочного уровня качества 5%, а при контроле производится сплошной контроль
всех изделий в партии с возвращением всех дефектных изделий поставщику
Решение:
) Определим план контроля
По условию N= 180 партий,
следовательно первая буква плана Б.
При контроле производится сплошной контроль всех изделий в
партии с возвращением всех дефектных изделий поставщику, поэтому последняя
буква К
Ответ: план контроля Б 5 К
) Определим объём выборки
Из стандарта ГОСТ 16493-70 «Качество продукции статистический
приёмочный контроль по альтернативному признаку» используя табл. 1, план
контроля Б 5 К и N= 180, определяем, что объём выборки равен 60
партиям.
Ответ: Объём выборки составляет 60 партий.
3) Построим оперативную характеристику.
Дано: план контроля Б 5 К, N= 180, n= 60. Вычислим
Поскольку n= 60,
выбираем табл. 7 из ГОСТ 16493-70 «Качество продукции статистический приёмочный
контроль по альтернативному признаку» Поскольку в таблице нет данного
берем ближайшее большее
число. Отыскиваем графу по
, содержащую точки оперативной характеристики, и
составляем таблицу.
|
Номер точки
|
Значение абсциссы q%
|
Значение ординаты P(qh)=h
|
Номер точки
|
Значение абсциссы q%
|
Значение ординаты P(qh)=h
|
|
1
|
0,00
|
1,00
|
6
|
2,16
|
0,20
|
|
2
|
0,07
|
0,95
|
7
|
3,07
|
0,10
|
|
3
|
0,15
|
0,90
|
8
|
3,97
|
0,05
|
|
4
|
0,30
|
0,80
|
9
|
100,00
|
0,00
|
|
5
|
0,94
|
0,50
|
|
|
|
Построим график оперативной характеристики по данным таблицы:
Задача 3. Определить план контроля
и объём выборки при объёме партии 354, риске потребителя 0,1,
браковочного уровня качества 1,2 5%, а при контроле производится сплошной
контроль всех изделий с возвращением всех дефектных изделий поставщику.
Решение:
) Определим план контроля
По условию N= 354 партий,
следовательно первая буква плана Б, gг= 5% и при контроле
производится сплошной контроль всех изделий в партии с возвращением всех дефектных
изделий поставщику следовательно последняя буква К
Ответ: план контроля Б1,25 К
2) Определим объём выборки
Из стандарта ГОСТ 16493-70 «Качество продукции статистический
приёмочный контроль по альтернативному признаку» используя табл. 1,
данные плана контроля А 1,25 К и N= 354 определяем, что объём выборки равен 150 партий
Ответ: Объём выборки составляет 150 партий
) Построим оперативную характеристику.
Дан план контроля А1,25К, N= 354, n= 150. Вычислим
Поскольку n= 150 выбираем табл. 11
из ГОСТ 16493-70 «Качество продукции статистический приёмочный контроль по
альтернативному признаку» Поскольку в таблице нет данного
берем ближайшее большее
число. Отыскиваем графу по
, содержащую точки оперативной характеристики, и
составляем таблицу.
|
Номер точкиЗначение абсциссы q%Значение ординаты P(qh)=hНомер точкиЗначение
абсциссы q%Значение ординаты P(qh)=h
|
|
|
|
|
|
|
1
|
0,00
|
1,00
|
6
|
0,81
|
0,20
|
|
2
|
0,02
|
0,95
|
7
|
1,15
|
0,10
|
|
3
|
0,06
|
8
|
1,49
|
0,05
|
|
4
|
0,12
|
0,80
|
9
|
100,00
|
0,00
|
|
5
|
0,35
|
0,50
|
|
|
|
Построим график оперативной характеристики по данным таблицы:
Задача 4. Определить план контроля и объём выборки при
объёме партии 1568, риске потребителя 0,05, браковочного уровня
качества 0,30%, а при контроле партия возвращается поставщику
Решение:
) Определим план контроля
По условию N= 1568 партий,
следовательно первая
буква плана Б, gг= 0,30% и при контроле партия возвращается
поставщику следовательно последняя буква В.
Ответ: план контроля Б 0,30 В
) Определим объём выборки
Из стандарта ГОСТ 16493-70 «Качество продукции статистический
приёмочный контроль по альтернативному признаку» используя табл. 1,
данные плана контроля Б 0,30 В и N= 1568 определяем, что объём выборки равен 750 парий
Ответ: Объём выборки составляет 750 партий.
3) Построим оперативную характеристику.
Дан план контроля Б 0,30 В, N= 1568, n= 750. Вычислим
Поскольку n= 750 выбираем табл. 19
(см. приложение 1) из ГОСТ 16493-70 «Качество продукции статистический
приёмочный контроль по альтернативному признаку» Поскольку в таблице нет
данного
берем ближайшее большее
число. Отыскиваем графу по
, содержащую точки оперативной характеристики, и
составляем таблицу.
|
Номер точкиЗначение абсциссы q%Значение ординаты P(qh)=hНомер точкиЗначение
абсциссы q%Значение ординаты P(qh)=h
|
|
|
|
|
|
|
1
|
0,00
|
1,00
|
6
|
0,15
|
0,20
|
|
2
|
0,00
|
0,95
|
7
|
0,22
|
0,10
|
|
3
|
0,01
|
0,90
|
8
|
0,29
|
0,05
|
|
4
|
0,02
|
0,80
|
9
|
100,00
|
0,00
|
|
5
|
0,07
|
0,50
|
|
|
|
Построим график оперативной характеристики по данным таблицы:
Заключение
При выполнении курсовой работы я научилась проводить
корреляционный анализа данных, применять и пользоваться статистическим
приёмочным контролем по количественному и альтернативному признаку. Научилась
определять планы статистического приемочного контроля и строить оперативные
характеристики с помощью ГОСТ 16493-70 «Качество продукции статистический
приёмочный контроль по альтернативному признаку».
Список литературы
1. Учебник
Ефимов «Статистические методы управлением качества»
2. ГОСТ
16493-70 «Качество продукции статистический приёмочный контроль по
альтернативному признаку»
. ГОСТ
Р ISO3951-1-2007 «Статистические
методы. Процедуры выборочного контроля по количественному признаку»
. Таблица
Стьюдента.