Макроэкономическое равновесие на товарном рынке и его регулирование
СОДЕРЖАНИЕ
РЕФЕРАТ
Введение
. Расчет макроэкономических показателей и определение
взаимосвязи между ними
1.1
Расчет ВВП (валовой внутренний продукт) и других показателей системы
национальных счетов (СНС)
.2
Влияние циклической безработицы на величину ВВП
.3
Определение взаимосвязи между уровнем инфляции и безработицей. Кривая Филипса
2. Макроэкономическое равновесие на товарном рынке и
его регулирование
2.1
Определение равновесного уровня национального дохода. Мультипликатор автономных
расходов
.2
Макроэкономическая политика и ее влияние на равновесие товарного рынка
ЗАКЛЮЧЕНИЕ
Список использованных источников
ВВЕДЕНИЕ
Макроэкономика - отрасль экономической науки,
изучающая поведение экономики как единого целого с точки зрения обеспечения
условия устойчивого экономического роста, полной занятости ресурсов,
минимизации уровня инфляции и безработицы и равновесие платёжного баланса.
Предметом макроэкономики выступают основные
категории национального продукта и его движения, учитываемые по системе
национальных счетов, принятых в международной практике. Такими категориями
являются ВНП и ВВП, чистый продукт и национальный доход, располагаемый доход,
совокупное потребление и совокупное сбережение.
Сегодня в макроэкономике раскрываются
современные закономерности развития мирового хозяйства - интернационализация и
глобализация, а также основные формы международных экономических отношений. В
целом, макроэкономика - это органическая составная, обобщающая и завершающая
часть единой экономической науки - экономической теории.
Целью данной курсовой работы является изучение
таких вопросов как расчет макроэкономических показателей и определение
взаимосвязей между ними, макроэкономическое равновесие на товарном рынке и его
регулирование и макроэкономическое равновесие на товарном и денежном рынках в
закрытой и открытой экономике.
Перед данной курсовой работой стоят такие
задачи: научиться рассчитывать величину валового внутреннего продукта (ВВП),
величину располагаемого, национального и личного доходов, фактический уровень безработицы,
потенциальный уровень ВВП, величину государственных закупок товаров и услуг,
налогов и трансфертов, уметь выводить их графически. Научиться выводить
аналитически и графически кривые IS
и LM, кривую
совокупного спроса AD.
Понять сущность понятия «эффекта вытеснения» и научиться отображать его
графически.
1 РАСЧЕТ МАКРОЭКОНОМИЧЕСКИХ ПОКАЗАТЕЛЕЙ И
ВЗАИМОСВЯЗИ МЕЖДУ НИМИ
1.1 Расчет ВВП (валовой внутренний
продукт) и других показателей системы национальных счетов (СНС)
Для всестороннего эффективного отображения
рыночной экономики необходима совокупность показателей, взаимосвязанных между
собой. Такой макроэкономической моделью является система национальных счетов.
Система национальных счетов представляет собой
совокупность макроэкономических показателей, характеризующих величину
совокупного продукта и совокупного дохода, позволяющих оценить состояние
национальной экономики.
Система национальных счетов содержит три
основных показателя совокупного продукта:
. ВВП - совокупная рыночная стоимость всех
товаров и услуг, произведенных внутри страны за определенный период времени (за
год).
. ВНП - стоимость конечных товаров и услуг,
произведенных национальным капиталом независимо от территории.
. ЧНП - общий годовой объем производства товаров
и услуг, которые страна произвела и потребила во всех секторах своего
национального хозяйства.
И три показателя дохода:
. Национальный доход - совокупный доход,
полученный собственниками экономических ресурсов.
. Личный доход - доход, являющийся доходом
национальных хозяйств.
. Располагаемый доход - доход, остающийся в
распоряжении домашних хозяйств.
До начала 80-х годов основным показателем,
характеризующим объем производства, являлся ВНП, однако с усилением
внешнеторговых связей между странами его расчет стал затруднительным, так как
факторы производства каждой страны используются в других странах мира, поэтому
основным показателем на данный момент выступает ВВП.
Способы измерения ВВП
ВВП может быть рассчитан тремя методами:
. По расходам. При расчете ВВП по расходам
суммируются расходы на конечное потребление товаров и услуг домашних хозяйств,
государства; валовые инвестиции чистый экспорт. Рассчитывается по формуле:
ВВПр = C
+ I + G
+ Xn (1.1),
где C
- потребительские расходы, то есть расходы домашних хозяйств на конечное
потребление. В эти расходы включаются расходы на текущее потребление
(приобретение товаров краткосрочного пользования), расходы на товары
длительного пользования (за исключением недвижимости), расходы непосредственно
на услуги.
I - инвестиционные расходы
- расходы фирм на покупку инвестиционных товаров: инвестиции в основные
средства (оборудование, сооружения), инвестиции в запасы (вложения в сырье,
материалы, готовую продукцию, незавершенное строительство), инвестиции в
жилищное строительство.
G - государственные
закупки товаров и услуг включают в себя: государственное потребление,
государственные инвестиции. Сюда не входят трансфертные платежи (выплаты
государственных органов не связанных с движением товаров и услуг). Например,
расходы на строительство и содержание школ, дорог, содержание армии и
государственного аппарата управления
Xn
- чистый экспорт товаров и услуг за рубеж, рассчитываемый как разность экспорта
и импорта. При подсчете ВВП необходимо учесть все расходы, связанные с
покупками конечных товаров и услуг, произведенных в данной стране, в том числе
и расходов иностранцев, т.е. стоимость экспорта данной страны. Одновременно
необходимо исключить из покупок экономических агентов данной страны те товары и
услуги, которые были произведены за рубежом, т.е. стоимость импорта.
. При расчете ВВП по доходам суммируются
первичные доходы, выплаченные из добавленной стоимости производственными
единицами-резидентами. К таким доходам относятся:
оплата труда наемных работников (заработная
плата, включая премии, оплату сверхурочных работ, доплаты, надбавки,
начисленные в денежной или натуральной формах и т.д., исчисленные до выплаты
налогов и других удержаний); отчисления работодателей на социальное
страхование.
налоги на производство и импорт за вычетом субсидий
(чистые косвенные налоги), куда включаются НДС, акцизы налоги на продажи,
налоги на землю, здани, фонд оплаты труда и др.
валовая прибыль и валовые смешанные доходы или
чистая прибыль и чистые смешанные доходы плюс потребление основного капитала (амортизация).
ВВП по доходам рассчитывается по следующей формуле (при расчете используются не
только факторные доходы):
ВВПд
= w + i + R + Am + П
+ ЧКН
(1.2),
где факторные:
w - заработная плата
представляющая собой доход от фактора труд и включающая все виды
вознаграждений, премии, оплату сверхурочных работ и т.д. Заработная плата
государственных служащих не учитывается (учитывается в государственных
закупках).
i - процентная
ставка - является доходом от фактора капитал. По сути плата за использование оборудования
плюс проценты по ценным бумагам, кроме процентов по государственным облигациям
R - рента - доход от
фактора земля, включает платежи полученные владельцами недвижимости (земельные
участки и все, что на них находится: жилые и не жилые помещения). Если
домовладелец не сдает в аренду личные площади, то в системе национальных счетов
учитываются доходы, которые он мог бы получить сдавая в аренду - так называемая
условно начисленная арендная плата.
П - прибыль, доход от фактора
предпринимательские способности. В системе национальных счетов совокупная
прибыль делится на две части:
Кроме факторных доходов в ВВП по доходам
включаются два элемента, не являющиеся доходами собственников экономических
ресурсов:
Am -
восстановление потребленного капитала
ЧКН - чистый косвенный налог
. ВВП по добавленной стоимости. Суть метода
заключается в том, что суммируются все добавленные стоимости, полученные на
каждом этапе производственного процесса.
К другим макроэкономическим показателям помимо
ВВП относится - ЧВП (ЧНП), национальный доход, личный доход, располагаемый
доход.
ЧВП в отличие от ВВП характеризует
производственный потенциал экономики, поскольку включает только чистые
инвестиции и не включает Am.
Рассчитывается по формуле:
ЧВП = ВВП - Am
(1.3)
Национальный доход (НД) - совокупный доход,
заработанный собственниками экономических ресурсов, то есть сумма всех
факторных доходов. Рассчитывается по формуле:
Национальный доход = ЧВП - ЧКН (1.4)
Национальный доход = w
+ i + R
+ П (1.5)
Личный доход (ЛД) в отличие от национального
дохода является совокупным доходом, полученным собственниками экономических
ресурсов. Рассчитывается по формуле:
ЛД = НД - взносы на социальное страхование -
нераспределенная прибыль - налог на прибыль + трансферты - проценты по
государственным облигациям (1.6)
Располагаемый доход (РД)- доход, используемый
домохозяйствами на потребление и сбережения (исчисляется уменьшением личного
дохода на сумму подоходного налога с граждан и некоторых налоговых платежей
государству). Рассчитывается по формуле:
РД = ЛД - индивидуальные налоги (1.7)
Сбережения домашних хозяйств рассчитываются по
формуле:
S = РД - C
(1.8)
где РД - располагаемый доход
C - потребительские
расходы.
Практическое задание
Даны следующие макроэкономические показатели
хозяйственной деятельности по итогам года для некоторой страны:
Таблица 1.1 Макроэкономические показатели
|
Наименование
показателей
|
Значение,
млрд.
|
|
Косвенные
налоги с предприятия
|
51
|
|
Зарплата
|
208
|
|
Проценты
по государственным облигациям
|
5
|
|
Начисленная
арендная плата
|
19
|
|
Условно
начисленная арендная плата
|
7
|
|
Доходы
от собственности
|
57
|
|
Экспорт
|
22
|
|
Совокупность
потребленного капитала
|
61
|
|
Государственные
закупки товаров и услуг
|
89
|
|
Дивиденды
|
56
|
|
Нераспределенная
прибыль предприятия
|
23
|
|
Процентные
платежи
|
37
|
|
Валовые
инвестиции
|
-
|
|
Частные
трансфертные платежи
|
6
|
|
Государственные
трансферты домашним хозяйствам
|
36
|
|
Государственное
потребление
|
70
|
|
Расходы
домашних хозяйств на товары краткосрочного потребления
|
109
|
|
Расходы
домашних хозяйств на товары длительного пользования
|
106
|
|
Расходы
домашних хозяйств на услуги
|
150
|
|
Расходы
домашних хозяйств на покупку жилья
|
-
|
|
Импорт
|
28
|
|
Индивидуальные
налоги
|
17
|
|
Налог
на прибыль предприятия
|
16
|
|
Взносы
на социальное страхование
|
23
|
|
Инвестиции
в основной капитал
|
9
|
|
Инвестиции
в жилищное строительство
|
10
|
|
Государственные
инвестиции
|
19
|
|
Изменение
товарно-материальных запасов на конец года
|
0
|
|
Прибыль
предприятий
|
95
|
|
Субсидии
предприятиям
|
7
|
|
Расходы
частного сектора на приобретение ценных бумаг
|
9
|
. Рассчитать величину ВВП для данной страны по
потоку доходов и расходов, используя имеющиеся данные.
. Рассчитайте величину располагаемого дохода и
величину сбережений домашних хозяйств.
Решение практических заданий
1. Рассчитаем ВВП по доходам используя формулу
(1.2). Подставляя в формулу данные из таблицы (1.1) имеем:
w = 208; i
= 57+37=94; R= 19+7=26; П = 95; Am
= 61 ; ЧКН = 51-7=44,
таким образом ВВП по доходам равно:
ВВПд = 208+94+26+95+61+44 = 528
Рассчитаем ВВП по расходам используя формулу
(1.1). Подставляя в формулу данные из таблицы (1.1) имеем:
C = 109+106+150 =
365; I = 9+0+0+61 = 70; G
= 19 + 70 = 89; Xn
= 22 - 28 = - 6,
таким образом ВВП по расходам равно:
ВВПр = 365+70+89 - 6 = 518
. Для того, чтобы рассчитать величину
располагаемого дохода необходимо рассчитать ЧВП, НД и ЛД используя формулы
(1.3), (1.4) и (1.6) соответственно. Подставляя данные формулы в формулу (1.7)
получим:
РД = ВВП - Am
- ЧКН - взносы на социальное страхование - нераспределенная прибыль - налог на
прибыль + трансферты - проценты по государственным - индивидуальные налоги =
518 - 61 - 44 - 23 - 23 - 16 + 6 + 36 - 5 - 17 = 371
Величину сбережений домашних хозяйств рассчитаем
по формуле (1.8), подставляя ранее найденные данные, получим:
S = 371 - 365 =6
1.2 Влияние циклической безработицы
на величину ВВП
Безработица
- социально-экономическое явление, когда часть экономически активного населения
не находит себе работу и становится «лишним».
Естественная безработица
- процент (удельный вес) общего количества безработных в численности рабочей
силы в период экономической стабильности.
Виды безработицы:
· Фрикционная безработица
· Структурная безработица
· Циклическая безработица
Существует 3 основные причины безработицы:
Потеря работы (увольнение)
Добровольный уход с работы
Первое появление на рынке труда
Последствия безработицы:
. Экономические - связаны с потерей дохода (на
индивидуальном уровне), а на уровне общества состоят в потери ВВП. Т. к.
наличие безработицы означает, что производится меньше, чем могло бы.
. Неэкономические - социальные, психологические,
политические последствия, связанные с появлением стрессов, депрессий, суицидов,
воспалением различ-ных хронических заболеваний на нервной почве, увеличением
преступности, забастовками и как следствием подрыву политической стабильности.
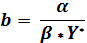
Закон Оукена связывает колебания
уровня безработицы с колебаниями ВВП:
(1.12)
где:
Y* -
потенциальный объём выпуска,
Y -
фактический объём выпуска,
b - коэффициент Оукена,
U -
фактический уровень безработицы,
U* -
естественный уровень безработицы.
Расчеты:
Таблица 2. Структура населения
данной страны представлена
следующим образом
|
Показатели
|
Значения
|
|
1
|
2
|
|
Фактический
Уровень безработицы, % (U)
|
8,07
|
|
Естественный
уровень безработицы, % (U*)
|
6
|
|
Коэффициент
Оукена (β)
|
3
|
Определим потери ВВП, вызванные циклической
безработицей, если в данном году уровень фактической и естественной безработицы
составил U и U*
по формуле Оукена:
= 562,89 млрд. руб.
Определим потери ВВП:
∆ Y
= Y*
- Y (1.13)
∆ Y=562,89-528=34,89
млрд. руб.
Определим уровень
циклической безработицы:
Uц=U-U* (1.14)
Uц=8,07-6=2,07 (%)
Определим, на какую
величину изменится фактический ВВП, если уровень циклической безработицы
возрастёт на 1 %:
Изменение
фактического ВВП:
Следовательно,
если уровень циклической безработицы возрастёт на 1%, то фактический объём ВВП
уменьшится на 16,9 млрд. руб.
1.3
Определение взаимосвязи между уровнем инфляции и безработицы
Инфляция - это общее повышение уровня цен на
потребительские и производственные товары в результате обесценивания и снижения
покупательной способности национальных денег.
Выделяют следующие
виды инфляции в зависимости от темпа:
. Умеренная (3-5% в
год)
. Галопирующая
(характеризуется двузначными числами, она является скачкообразной, к ней нельзя
приспособиться).
. Высокая (200-300% в год, серьезная
проблема)
4. Гиперинфляция
(40-50% в месяц, в год - свыше 1000% - разрушение экономики).
В зависимости от
причин инфляции различают два ее типа:
1.Инфляция спроса
2. Инфляция
предложения
Причины инфляции:
o Увеличение количества денег в
экономике за счет неправильной денежно-кредитной политики центрального банка
o Наличие устойчивого дефицита
государственного бюджета
o Неправильная политика в области
налогообложения
o Милитаризация экономики
o Монополизация рынка
o Привнесенная инфляция за счет
внешнеэкономических факторов
Последствия инфляции:
ü перераспределение доходов и
богатства
ü отставание цен государственных
предприятий от рыночных
ü ускоренная материализация денежных
средств
ü падение реального процента
ü обратная пропорциональность темпа
инфляции и уровня безработицы
Филлипс вывел закономерность, характеризующую
тесную обратную связь между еже годным процентным изменением номинальной
зарплаты и долей безработных. Формально кривую Филлипса можно выразить
следующим образом:
Wt= Wt-1(1+
) (1.14)
где:
Wt - заработная
плата в данном году (с 2000-2009);
Wt-1 -
заработная плата в предыдущем году;
- параметр, характеризующий
изменения уровня номинальной зарплаты в периоде t по
сравнению с периодом (t-1) в зависимости от уровня безработицы в периоде t;
L -
фактическая занятость в t году;
L* - полная
занятость, т.е. занятость при потенциальном ВВП;
Внешний вид кривой Филлипса показан на рисунке
1.1.
Рис.1.1 Кривая Филлипса:- темп прироста
номинальной зарплаты; - уровень безработицы,
P - уровень инфляции.
На графике показана кривая, характеризующая
функциональную связь инфляции и безработицы.
Практика показала, что кривая Филлипса применима
для экономических ситуаций в краткосрочном периоде. В долгосрочном периоде даже
низкий уровень занятости не спасает от роста инфляции.
Расчеты
макроэкономический равновесие
валовый безработица
Таблица 3. Данные о динамике
фактической занятости
|
Год(t)
|
2000
|
2001
|
2002
|
2003
|
2004
|
2005
|
2006
|
2007
|
2008
|
2009
|
|
L
t129117130135126113133131143--
|
|
|
|
|
|
|
|
|
|
|
Wном =
20 тыс
=0,2
L*=131,4 млн
чел
Определим номинальные ставки
заработной платы по формуле:
Wt = Wt-1(1+
) (1.15)
А) Рассчитаем номинальные ставки
заработной платы по формуле
Рассчитаем фактическое количество
занятых в экономике в 2009 году, используя формулу:
(1.16)
,4-L=2,628
L=128,7 млн. чел.
Следовательно, для 2009 года
Таблица 4. Номинальная ставка
зарплаты
|
год
|
2001
|
2002
|
2003
|
2004
|
2005
|
2006
|
2007
|
2008
|
2009
|
|
W Тыс
|
19,56
|
19,51
|
19,61
|
19,44
|
18,89
|
18,93
|
18,91
|
19,24
|
19,16
|
Б) Рассчитаем величину
реального ВВП, если известно, что каждому проценту циклической безработицы
соответствовало сокращение потенциального ВВП на
процент.
(1.17)
где:
Y* - потенциальный
ВВП
Y - величина
реального ВВП
L* - полная
занятость, т.е. занятость при потенциальном ВВП
L -
фактическая занятость в t году
=
=
Из формулы выразим величину
реального ВВП (Y) и рассчитаем величину ВВП для
каждого года:
Y2000 = 562,89 -
= 525,97
(млрд. руб.)
Y2001 = 562,89 - (
)= 341
(млрд. руб.)
Y2002 = 562,89 - (
) =
541,36 (млрд. руб.)
Y2003 = 562,89 - (
) =618,27
(млрд. руб.)
Y2004 = 562,89 - (
) =479,81
(млрд. руб.)
Y2005 = 562,89 - (
) =
279,81 (млрд. руб.)
Y2006 = 562,89 - (
) =
587,50 (млрд. руб.)
Y2007 = 562,89 - (
) =
556,73(млрд. руб.)
Y2008 = 562,89- (
) =
741,35(млрд. руб.)
Y2009 = 562,89 - (
) =
521,35(млрд. руб.)
Результаты заносим в таблицу 5.
Таблица 5. Величина
ВВП
|
год
|
2000
|
2001
|
2002
|
2003
|
2004
|
2005
|
2006
|
2007
|
2008
|
2009
|
|
Y
|
525,97
|
341
|
541,36
|
618,27
|
479,81
|
279,81
|
587,50
|
556,73
|
741,35
|
521,35
|
Определить объем совокупного
предложения Y(S) при
годовом темпе инфляции равном
1=9%,
2 = 4%.
(1.18)
где 
- фактический и ожидаемый темпы
инфляции соответственно
Y*
- потенциальный ВВП

Рассчитаем Y(S) по формуле
(1.26) при условии, что:
Ø отсутствуют инфляционные ожидания
Ø

= 0; 
t = 
1
Y=562,89+
Ø инфляционные ожидания равны π1
Ø

= 
1; 
t = 
1
Y=562,89+
Ø инфляционные ожидания равны π2
Ø

= 
2; 
t = 
1
Y=562,89+
Вывод: В данном
разделе мы рассчитали некоторые макроэкономические показатели, и определили
взаимосвязь между ними. Исходя из этого, по данному разделу можно сделать
следующие выводы:
В пункте 1.1 величина ВВП по доходам
и расходам составила 528(млрд. руб.). Величину располагаемого дохода (РД) мы
подсчитали, используя такие показатели, как личный доход (ЛД) и национальный
доход (НД). РД мы получили равным 371 млрд.руб. Личные сбережения домашних
хозяйств(S) мы нашли,
как разницу между РД и расходами на личное потребление домашних хозяйств, они
равны для данной страны 6 млрд. руб.
В пункте 1.2 мы определили влияние
циклической безработицы на инфляцию. Циклическая безработица снижает величину
ВВП. Потери ВВП составили 34,89 млрд. руб. А при возрастания уровня циклической
безработицы на 1 %, ВВП уменьшился на 16,9 млрд. руб.
В пункте 1.3 мы определили
взаимосвязь между уровнями инфляции и безработицы. Для определения номинальной
ставки заработной платы, мы использовали уравнение теоретической кривой
Филлипса: Wt = Wt-1(1+
). Величина
реального ВВП равняется потенциальному ВВП. Объем совокупного предложения
определили по формуле:
,где 
.
Нашли объем совокупного предложения
при условии что: отсутствовали инфляционные ожидания; инфляционные ожидания
были равны определенным значениям.
2.МАКРОЭКРОЭКОНОМИЧЕСКОЕ РАВНОВЕСИЕ НА ТОВАРНОМ
РЫНКЕ И ЕГО РЕГУЛИРОВАНИЕ
2.1 Определение равновесного уровня
национального дохода. Мультипликатор автономных расходов
Для того чтобы исследовать как устанавливается
равновесие на рынке товаров и услуг следует ввести понятие фактических и
планируемых расходов.
Фактические расходы (Е) - те расходы, которые имеют
место в экономике.
Планируемые расходы (Ер) - расходы,
которые планируют сделать фирмы.
Исходя из основного макроэкономического
тождества, фактические расходы всегда равны выпуску, а планируемые расходы
могут быть не равны выпуску.
Если планируемые расходы меньше выпуска (Ер
< Y), то фирмы не
смогут продать всю свою продукцию и произойдет накопление запасов.
Если планируемые расходы больше выпуска (Ер
> Y),то продукции
будет недостаточно и произойдет сокращение запасов предыдущих периодов.
Таким образом, инвестиции состоят из планируемых
и незапланированных инвестиций.
I = Ip
+ Iun
(2.1)
где Ip
- планируемые инвестиции,
Iun
- незапланированные инвестиции.
Планируемые расходы - сумма потребления и
планируемых инвестиций.
Ер = С + Ip
(2.2)
Ер = Е = Y
при Y = 0 (2.3)
где C
- сумма потребления
Y - выпуск.
В кейнсианской теории помимо ситуации накопления
и сокращения запасов автоматически приводящих экономику в состояние равновесия
рассматривается влияние изменения расходов на состояние экономики.
ΔЕ = (Е2
- Е1) => ΔY
= (Ye1
- Ye) (2.4)
Кейнс доказал, что рост расходов ведет к росту
дохода, то есть к росту совокупного выпуска, однако доход возрастает в большей
степени, чем вызвавшее его увеличение расходов, то есть с эффектом
мультипликатора.
Мультипликатор автономных расходов - отношение
изменения равновесного ВВП к изменению любого компонента автономных расходов,
показывает во сколько раз изменяется совокупный доход, при изменении расходов
на одну единицу. Действие мультипликатора основано на том, что расходы,
сделанные одним макроэкономическим агентом обязательно превращаются в доход
другого макроэкономического агента, который часть этого дохода расходует,
создавая доход третьему макроэкономическому агенту и так далее до тех пор, пока
прирост дохода не будет равен нулю. В итоге получается бесконечно убывающая
геометрическая прогрессия.
Мультипликатор можно рассчитать по следующей
формуле:

(2.5)
где m -
мультипликатор,
MPC - предельная
склонность к потреблению,
MPS -
предельная склонность к сбережению.
Рис 2.1 Рецессионный разрыв
Рецессионный разрыв - величина, на которую
должен возрасти совокупный спрос (совокупные расходы), чтобы повысить равновесный
ВВП до неифляционного уровня полной занятости.
Если фактический равновесный объем выпуска Y
ниже потенциального Y*, то это
означает, что совокупный спрос неэффективен, то есть совокупные расходы
недостаточны для обеспечения полной занятости ресурсов, хотя равновесие
совокупного спроса и совокупного предложения достигнуто. Недостаточность
совокупного спроса оказывает депрессивное воздействие на экономику.
Чтобы преодолеть рецессионный разрыв и
обеспечить полную занятость ресурсов, необходимо простимулировать совокупный
спрос и «переместить» равновесие из точки А в точку В. При этом приращение
совокупного равновесного дохода ΔY
составляет:
ΔY
= Величина рецессионного разрыва × Величина
мультипликатора автономных расходов (2.6)
Инфляционный разрыв - величина, на которую
должен сократиться совокупный спрос (совокупные расходы), чтобы снизить
равновесный ВВП до инфляционного уровня полной занятости.
Если фактический равновесный уровень выпуска Y
больше потенциального Y*,
то это означает, что совокупные расходы избыточны. Избыточность совокупного
спроса вызывает в экономике инфляционный бум: уровень цен возрастает потому,
что фирмы не могут расширить производство адекватно растущему совокупному
спросу, так как все ресурсы уже заняты.
Рис. 2.2 Инфляционный разрыв
Преодоление инфляционного разрыва предполагает
сдерживание совокупного спроса и «перемещение» равновесие из точки А в точку В
(полная занятость ресурсов). При этом сокращение совокупного дохода ΔY
составляет:
ΔY
= Величина инфляционного разрыва × Величина
мультипликатора автономных расходов. (2.7)
Практические задания
Экономическую структуру характеризуют следующие
данные:
Таблица 2.1 Характеристика экономической
структуры
|
Показатели
|
Значение
|
|
1
|
2
|
|
Автономное
потребление, Ca
|
100
|
|
Предельная
склонность к потреблению, MPC
|
0,8
|
|
Автономные
инвестиции, Iа
|
110
|
|
Государственные
закупки товаров и услуг, G
|
100
|
|
Автономные
налоги, Т
|
110
|
|
Ставка
пропорционального налога, t
|
0,15
|
|
Трансферты,
ТR
(F)
|
10
|
. Определите равновесный уровень дохода.
. Используя данные раздела 1, определите
совпадает ли ВВП потенциальный с равновесным ВВП, если нет, то определите
характер разрывав экономике и найдите его величину. Покажите ситуацию
графически.
. Определите равновесные величины потребления и
сбережения домашних хозяйств.
. В связи с усилением экономической
нестабильности предельная склонность к сбережению домашних хозяйств увеличилась
на 10%. Как это отразится на равновесном ВВП и что произойдет с кривой
планируемых расходов. Покажите на графике.
Решение практических заданий
. Равновесный уровень дохода найдем из следующей
формулы:
Y
=
С + Iа +
G (2.8)
Потребление найдем из функции потребления:
С = Ca
+ MPC × Yd
(2.9)
Уровень дохода найдем по следующей формуле:
Yd
= Y - t
× Y - T
+ ТR (2.10)
Подставляя формулы (2.10) и (2.9) в формулу
(2.8), получим формулу для расчета равновесного уровня доходов:
Y = Ca
+ MPC × (Y - t × Y - T + ТR)
+ Iа
+ G (2.11)
Найдем равновесный уровень дохода подставляя
данные из таблицы (2.1) в формулу (2.11):
Y
=
100+ 0,8
× (Y - 0,15
× Y - 110 + 10) + 110
+ 100
Раскрывая скобки, получим:
Y
=
310 + 0,68 × Y
- 80
0,32 × Y
=
230
Y
=
718,75
. Сравнивая значения потенциального ВВП (Y*)и
равновесного ВВП (Y), видим,
что Y* < Y,
следовательно в экономике инфляционный разрыв.
Найдем величину инфляционного разрыва по
следующей формуле:
Δ Y
= Y* - Y
(2.12)
Подставляя данные в формулу (2.12), получим:
Δ Y
= 562,89 - 718,75 = - 155,86
Чтобы показать это графически, необходимо найти
точки пресечения с осью расходов (Е). Найдем по следующей формуле (при Y
= 0):
Ер1 = Ca
+ MPC × (Y
- t × Y
- T + ТR)
+ Iа +
G (2.13)
Подставляя данные в формулу (2.13), получим:
Ер1 = 100+ 0,8(0 - 0,15
× 0 - 110 + 10) + 110 + 100
Ер1 = 230
Графически можно изобразить следующим образом:
Рис. 2.3 инфляционный разрыв
. Определим равновесную величину потребления,
подставляя формулу (2.10) в формулу (2.9):
С =
Ca + MPC × (Y - t × Y - T + ТR)
(2.14)
Подставляя данные в формулу (2.14) получим:
С = 100 + 0,8
× (718,75 - 0,15 × 718,75
- 110 + 10)
С = 100 + 0,8 × (718,75
- 107,81 - 100)
С = 100 + 0,8 × 510,94
С = 100+ 408,75
С = 508,75
Для определения равновесной величины сбережения
используем следующую формулу:
S = - Ca
+ MPS × (Y - t × Y - T + ТR)
(2.15)
= 1 - MPC
(2.16)
Подставляя данные в формулы (2.15) и (2.16)
получим:
S
=
- 100 + (1 - 0,8) × (718,75
- 107,81 - 110 + 10)
S
=
- 100
+ 0,2 × 510,94
S
=
102,18 - 100
S
=
2,18
. До увеличения предельной склонности к
сбережению MPC + MPS
= 1, MPC = 0.8,
следовательно MPS =1 - 0,8 =
0,2.
После изменения предельной склонности к
сбережению на 10 % получим:
MPS' =
0,2 + 0,2 × 0,1 = 0,2 + 0,02 = 0,22
MPC' = 1 - 0,22
= 0,78
Новое значение равновесного дохода вычислим по
формуле (2.11). Подставляя значения в данную формулу, получим:
Y' = Ca
+ MPC' × (Y' - t × Y' - T + ТR)
+ Iа
+ G' = 100 + 0,78
× (Y' - 0,15
× Y' - 110 + 10) + 110 + 100'
= 100 + 0,663 × Y' - 78
+ 110 + 100
0,337 × Y'
= 232
Y' = 688,42
Графически это будет выглядеть следующим
образом:
Рис. 2.4 Изменение равновесного уровня доходов
.2 МАКРОЭКОНОМИЧЕСКАЯ ПОЛИТИКА И ЕЕ ВЛИЯНИЕ НА
РАВНОВЕСИЕ ТОВАРНОГО РЫНКА
Фискальная политика представляет собой меры,
которые предпринимает правительство с целью стабилизации экономики с помощью
изменения величины доходов и расходов, величины государственного бюджета.
Целями фискальной политики, направленными на
сглаживание циклических колебаний, являются:
. Стабильного экономического роста
. Обеспечение полной занятости ресурсов (решение
проблемы циклической безработицы)
. Обеспечение стабильного уровня цен (решение
проблемы инфляции)
Фискальная политика - политика регулирования
правительством прежде всего совокупного спроса, а ее инструментами выступают
доходы и расходы бюджета: государственные закупки, налоги, трансферты.
Государственные закупки товаров и услуг оказывают
прямое воздействие на совокупный спрос, их увеличение приведет к увеличение
совокупных расходов и, как следствие, к росту выпуска с мультипликативным
эффектом.
Изменение налогов оказывает косвенное
воздействие на совокупный спрос, которое выражается через изменение
потребительских расходов и через изменение инвестиционных расходов.
При росте налогов сокращаются потребительские
расходы, так как уменьшается располагаемый доход. Инвестиционные расходы также
сокращаются вследствие уменьшения прибыли предприятия. В совокупности это
приведет к снижению спроса и снижению объема выпуска. При уменьшении налогов,
наблюдается обратная ситуация.
Воздействие трансфертов на совокупный спрос
также является косвенным. Их рост приводит к росту располагаемого дохода и
инвестиционных расходов, что приводит к росту спроса и объему выпуска.
Исходя из вышесказанного, наиболее эффективным
инструментом фискальной политики является изменение государственных закупок
товаров и услуг, мультипликативный эффект от которого всегда превышает
мультипликативный эффект от изменения налогов.
Выделяют два вида фискальной политики:
. Стимулирующая фискальная политика применяется
при спаде, имеет целью сокращение рецессионного разрыва выпуска и воздействует
через увеличение государственных закупок товаров и услуг, увеличение
трансфертов и снижение налогов.
. Сдерживающая фискальная политика используется
при перегреве экономики. Имеет целью сокращение инфляционного разрыва выпуска и
проявляется через снижение государственных закупок товаров и услуг, снижение
трансфертов и увеличение налогов.
Дискреционная фискальная политика - прямое
изменение государственных закупок товаров и услуг, трансфертов и налогов.
Действие дискреционной фискальной политики
основано на наличие в экономике мультипликационных эффектов. Выделяют
мультипликаторы государственных закупок товаров и услуг, налогов и трансфертов.
При изменении государственных закупок товаров и
услуг на ΔG,
выпуск изменяется на ΔY,
то есть изменяется с мультипликативным эффектом, рассчитывается по формуле:
ΔY
= ΔG × мультипликатор
(2.17)
Мультипликатор рассчитаем по формуле:

(2.18)
где MPC -
предельная склонность к потреблению,
MPS -
предельная склонность к сбережению.
Действие мультипликатора трансфертов
связано с их косвенным влиянием на равновесный выпуск. При увеличении
трансфертов на некоторую величину TR произойдет
увеличение выпуска на величину ΔY, рассчитываемую по формуле:
ΔY = ΔTR × мультипликатор
(2.19)
Мультипликатор рассчитаем по
формуле:

(2.20)
Действие мультипликатора налогов
связано с их косвенным влиянием различных видов налогов на равновесный выпуск.
При увеличении налогов на некоторую величину ΔT произойдет
уменьшение выпуска на величину ΔY, рассчитываемую по формуле:
ΔY = ΔT × мультипликатор
(2.21)
Учитывая влияние налогов на выпуск
мультипликатор имеет вид:

(2.22)
Значение мультипликатора трансфертов
и налогов в абсолютном значении равны. Является меньшим, чем значение
мультипликатора государственных закупок товаров и услуг.
Таким образом государственные
закупки товаров и услуг оказывают большее воздействие на выпуск, чем трансферты
и налоги.
Необходимо также рассматривать
влияние подоходного налога на равновесный выпуск. Учитывая то, что подоходный
налог выплачивается потребителем из личного дохода, а, следовательно, уменьшает
предельную склонность к потреблению, мультипликатор государственных закупок
товаров и услуг либо мультипликатор автономных расходов принимает вид:





(2.23)
Из формулы видно, что величина
мультипликатора при наличии ставки подоходного налога меньше, чем при его
отсутствии. Изменение налоговой ставки изменяет наклон кривой совокупных
расходов, она становится более пологой.
Недискреционная фискальная политика
- автоматическое изменение государственных расходов, налогов и сальдо
государственного бюджета в результате циклических колебаний совокупного дохода.
Она связана с действием встроенных стабилизаторов, величина которых не
меняется, но само наличие их стабилизирует экономику, стимулируя деловую
активность при спаде и сдерживает ее при перегреве. К таковым относятся:
. Подоходный налог (включает налог
на домашние хозяйства и на прибыль предприятий)
. Косвенные налоги (НДС, пошлины,
акцизы)
. Пособие по безработице
Рассмотрим воздействие
стабилизаторов на экономику. Подоходный налог действует следующим образом: при
спаде уровень деловой активности сокращается, а поскольку налоговая функция
имеет вид:
T = t × Y (2.24)
где t - ставка
налога,
Y - доход
то величина налоговых поступлений
также сокращается, таким образом высвобождая дополнительные средства для
инвестиционных целей, которые стимулируют производителя.
При подъеме доход возрастает и
налоговые отчисления также возрастают, что приводит к изъятию дополнительных из
обращения. Деловая активности будет снижаться.
При перегреве наблюдается обратная
ситуация.
Общая сумма выплат пособий по
безработице возрастает при спаде и понижается при буме.
Таким образом, величина инъекций при
спаде увеличивается, при подъеме снижается. Величина изъятий снижается при
спаде, возрастает при буме. Заметим, что величина пособий не изменяется, а
изменяется количество их выплат.
В развитии структуры экономики на
2/3 регулируют с помощью дискреционных методов и на 1/3 за счет действия
встроенных стабилизаторов.
Практические задания
Используя данные пункта 2.1
определите:
. Как правительство должно изменить
величину своих расходов для достижения потенциального уровня ВВП. Обоснуйте
правительственную политику и ответьте на вопрос:
а) Что произойдет с кривой
планируемых расходов. Покажите графически.
б) Какова величина мультипликатора
государственных расходов
в) Как изменится сальдо
государственного бюджета
. Как правительство должно изменить
величину налоговых поступлений для достижения потенциального уровня ВВП.
Обоснуйте правительственную политику и ответьте на вопрос:
а) Что произойдет с кривой
планируемых расходов. Покажите графически.
б) Какова величина мультипликатора
государственных расходов
в) Как изменится сальдо
государственного бюджета
. Как правительство должно изменить
величину трансфертов для достижения потенциального уровня ВВП. Обоснуйте
правительственную политику и ответьте на вопрос:
а) Что произойдет с кривой
планируемых расходов. Покажите графически.
б) Какова величина мультипликатора
государственных расходов
в) Как изменится сальдо
государственного бюджета
. Какая из фискальных мер наиболее
эффективна, почему. Сделайте выводы по всему разделу.
Решение практических заданий
. Величину мультипликатора
государственных расходов найдем используя формулы (2.18) и (2.23), получим:
m g =
Из формулы (2.17) выразим ΔG:
Подставляя данные получим:
∆ G =


Найдем точку пересечения с осью
расходов (Е):
Ер2 = Ер1 +
ΔG = 230 -
49.95 = 180.05
Рассчитаем сальдо государственного
бюджета до изменения ΔG:
Доход = Т + Y × t = 110 +
107.81 = 217.81
Расход = G + TR = 100 + 10
= 110
Сальдон = Доход - Расход
= 217.81 - 110 = 107,81 - профицит
Рассчитаем сальдо государственного
бюджета после изменения ΔG:
Доход = Т + Y* × t = 110 + 84,43 = 194,43
Расход = G + ΔG + TR = 100- 49,95 + 10 = 60,05
Сальдок = Доход - Расход
= 194,43 - 60,05 = 134,38 - профицит
Государственный бюджет увеличился на
следующую величину:
Сальдок - Сальдон
= 134,38 - 107,81 = 26,57
Графически изменение можно показать
следующим образом:
Рис. 2.5 Изменение государственных
расходов
. Величину мультипликатора
государственных расходов найдем используя формулы (2.22) и (2.23), получим:
m T =
Из формулы (2.21) выразим ΔT:
Подставляя данные получим:


∆ T =
Найдем точку пересечения с осью
расходов (Е):
Ер2 = Ер1 - MPC × ΔT = 230 -
49.87 = 180,13
Рассчитаем сальдо государственного
бюджета до изменения ΔT:
Доход = Т + Y × t =
110+107.81 = 217.81
Расход = G + TR = 100 + 10
= 110
Сальдон = Доход - Расход
= 217.81 - 110 = 107,81 - профицит
Рассчитаем сальдо государственного
бюджета после изменения ΔT:
Доход = Т + ΔT + Y* × t = 110+62,34+84,43 = 256,77
Расход = G + TR = 110 + 10 = 110
Сальдок = Доход - Расход
= 256,77 - 110 = 146,77 - профицит
Государственный бюджет увеличился на
следующую величину:
Сальдок - Сальдон
= 146,77 -
256,77 =
-
110
Графически изменение можно показать
следующим образом:
Рис. 2.6 Изменение автономных
налогов
. Величину мультипликатора
государственных расходов найдем используя формулы (2.20) и (2.23), получим:
m TR=
Из формулы (2.19) выразим ΔTR:
Подставляя данные получим:


∆ TR =
Найдем точку пересечения с осью
расходов (Е):
Ер2 = Ер1 -
MPC × ΔTR = 230 +
49.87 = 279,87
Рассчитаем сальдо государственного
бюджета до изменения ΔG:
Доход = Т + Y × t = 110 +
107.81 = 217,81
Расход = G + TR = 100 + 10
= 110
Сальдон = Доход - Расход
= 217.81 - 110 = 107,81 - профицит
Рассчитаем сальдо государственного
бюджета после изменения ΔG:
Доход = Т + Y* × t = 110 + 84,43 = 194,43
Расход = G + TR + ΔTR = 100 +10 - 62,34 = 47,66
Сальдок = Доход - Расход
= 194,43 - 47,66 = 146,77 - профицит
Государственный бюджет увеличился на
следующую величину:
Сальдок - Сальдон
= 146,77 + 107,81 = 38,96
. Таким образом из вышеприведенных
расчетов можно сделать вывод, что государственные закупки товаров и услуг
оказывают наименьшее воздействие на выпуск, по сравнению с влиянием, которое
оказывают трансферты и налоги и данная фискальная мера будет наиболее
эффективной.
Выводы: во втором разделе мы
рассчитали равновесный уровень дохода, он равен 688,42 млрд.;
определили характер разрыва - инфляционный; вычислили равновесные величины
государственных расходов, налогов и трансфертов, они равны - 49.95, 62.34 и - 62,34
соответственно.
ЗАКЛЮЧЕНИЕ
Анализируя экономику условной страны, важнейшие
характеристики которой заданы в курсовой работе, можно составить общие выводы.
В экономике данной страны уровень ВВП по доходам
и по расходам совпадает и составляет 528 млрд. руб. а располагаемый доход и
сбережения домашних хозяйств равны соответственно 371 и 6 млрд. руб.
Потенциальный ВВП равняется 562, 89. Если
уровень циклической безработицы увеличится на 1%,то фактический ВВП будет равен
16, 9 .
Равновесный уровень дохода, при заданных
характеристиках экономики страны, равен 718,75 млрд. руб. и наблюдается
инфляционный разрыв, величина которого составляет 155,86 млрд. руб. Равновесное
потребление равняется 508, 75 млрд. руб. И при увеличении автономных инвестиций
происходит увеличение равновесного объёма производства.
СПИСОК ИСПОЛЬЗОВАННЫХ ИСТОЧНИКОВ
.
Базылев Н. И., Гурко С. П., Базылева М. Н. Макроэкономика:
Учеб.пособие.-М.:ИНФРА-М,2006.-190с.-(Высшее образование)
.
Макроэкономика. Экспресс-курс:учебное
пособие/Е.А.Киселева.-М.:КНОРУС,2008.-384с.
.
Макроэкономика/Н.И.Базылев.-Минск:Соврем.шк.,2007.-288с.
.
Макроэкономика: мировой опыт и белорусская практика. Учебное пособие для
студентов экономических специальностей вузов/И.М.Лемешевский.-3-е
изд.,доп.перераб.-Минск: «ФУАинформ»,2009.-702с.
.
Макроэкономика: социально ориентированный подход:учебник для студентов
экономических специальностей учреждений, обеспечивающих получение высшего
образования Э.А.Лутохина [и др.];под ред. Э.А.Лутохиной.-Мн.:ИВЦ
Минфина,2005.-400с.,ил.
.
Макроэкономика: учеб./Т.А.Агапова,С.Ф.Серегина.-9-е изд., дополненное.-М.:
Маркет ДС,2009.-416с.(Университетская серия).
.
Макроэкономика: учеб.пособие/А.В.Бондарь[и др.].-М15 2-е
изд.-Минск:БГЭУ,2009.-415с.