|
Показатели
|
Шаг расчетного
периода
|
|
1
|
2
|
3
|
4
|
5
|
6
|
|
Объем продаж,
тыс. шт.
|
230
|
230
|
260
|
280
|
380
|
380
|
|
Цена за
единицу, р.
|
58
|
58
|
58
|
58
|
58
|
58
|
|
Выручка, тыс.
р.
|
13340
|
13340
|
15080
|
16240
|
22040
|
22040
|
|
Затраты на
производство и реализацию продукции всего тыс. р.
|
9300
|
9300
|
10513
|
11322
|
15366
|
15366
|
|
В том числе:
|
|
|
|
|
|
|
|
Постоянные
затраты
|
3500
|
3500
|
3500
|
3500
|
3500
|
3500
|
|
Переменные
затраты
|
5800
|
5800
|
7013
|
7822
|
11866
|
11866
|
. Размер предполагаемого кредита - 50 % от общей величины
инвестиций, в начале первого года под 21 % годовых. Ставка ЦБ РФ - 8,25 % (с
03.06.11 ставка рефинансирования ЦБ = 8,25 %).
Условия возврата кредита и выплаты процентов: возврат
основной суммы кредита, начиная со второго года равными долями в течение шести
лет. Выплата процентов ежегодно, начиная с первого года.
. Ставка налога на имущество - 2,2 %.
. Ставка налога на прибыль - 20 %.
. Норма дисконта - 10 %.
Для экономической оценки инвестиций необходимо определить:
. Коммерческую эффективность проекта.
. Финансовую реализуемость проекта.
. Оценить риск проекта.
Рассматривается инвестиционный проект организации
производства новой продукции. Если будет принято решение о реализации
инвестиционного проекта, то выпуск продукции можно будет начать уже в первый
год.
Реализация такого проекта потребует инвестиций:
на приобретение и монтаж оборудования - Коб;
в оборотный капитал - Коб. к;
в нематериальные активы - Кн. а.
Приобретение и монтаж технологического оборудования, а также
инвестиции в оборотный капитал и нематериальные активы осуществляются в первый
год реализации проекта.
Производство новой продукции планируется организовать на
имеющихся площадях в существующем здании предприятия.
Объем реализации продукции по годам составит соответственно Р1…Рn
изделий. Цена единицы продукции составит Ц и не будет меняться в течение
расчетного периода.
Ежегодные текущие затраты по выпуску продукции включают:
. Переменные затраты (материальные затраты и расходы
по оплате труда рабочих с отчислениями на соц. нужды).
Материальные затраты в первый год - МЗ1. В
последующие годы материальные затраты изменяются пропорционально изменению
объема производства.
Расходы по оплате труда рабочих с отчислениями на социальное
страхование в первый год - ЗП1, с последующим ежегодным изменением
пропорционально изменению объема производства.
. Постоянные затраты (амортизация и прочие постоянные
затраты).
Общая сумма постоянных затрат дана в исходных данных - ПЗ.
Для выделения из состава постоянных затрат амортизации
необходимо осуществить дополнительные расчеты.
Расчетный период - Т лет. Нормативный срок службы
технологического оборудования 10 лет. Применяется линейный метод начисления
амортизации. Через Т лет оборудование реализуется по рыночной стоимости.
Рыночная стоимость превышает балансовую стоимость в n раз. Затраты по
реализации составят 3 % от стоимости реализации оборудования.
Если расчет коммерческой эффективности докажет экономическую
целесообразность и эффективность намечаемых инвестиций, то для реализации
проекта планируется привлечение кредита в размере К % от общего объема
инвестиций. Плата за кредит составит m % годовых. Возврат основной суммы
кредита равными долями, начиная со второго года, выплата процентов - с первого
года, все платежи осуществляются в конце года.
Остальная потребность в инвестициях покрывается за счет
собственных средств предприятия.
Норма дисконта - Е %. Ставка налога на прибыль - Снп
%. Ставка налога на имущество - 2,2 %.
Все расчеты выполняются в табличной форме. Расчеты необходимо
сопровождать графиками и диаграммами.
Прежде чем выполнять практические расчеты, ознакомимся с
методикой оценки эффективности инвестиционного проекта.
2.1
Методические основы оценки коммерческой эффективности инвестиционного проекта
Показатели коммерческой эффективности проекта учитывают финансовые
последствия для участника, реализующего инвестиционный проект, в предположении,
что он производит все необходимые для реализации проекта затраты и пользуется
всеми его результатами. Основная цель оценки проекта на данном этапе - это
обобщенная оценка проектного решения на основе соизмерения результата и затрат
по проекту. Если коммерческая оценка проекта окажется достаточной, то это
позволит привлечь дополнительно другие источники финансирования (например,
кредит).
Показатели эффективности определяются на основе денежных
потоков от инвестиционной и операционной деятельности.
Показатели коммерческой эффективности:
1. Срок окупаемости с учетом дисконтирования (СОД).
. Чистый доход (ЧД).
. Чистый дисконтированный доход (ЧДД).
. Индекс доходности инвестиций (ИДИ).
. Индекс доходности затрат (ИДЗ).
. Внутренняя норма доходности (ВНД).
. Модифицированная внутренняя норма доходности (МВНД).
Срок окупаемости с учетом дисконтирования (СОД)
Дисконтированный срок окупаемости инвестиции (СОД) устраняет
недостаток статического метода срока окупаемости инвестиций и учитывает
стоимость денег во времени, а соответствующая формула для расчета
дисконтированного срока окупаемости, СОД, имеет вид:
СОД = min n, при котором 
Чистым доходом
называется накопленный денежный поток за расчетный период:
(1)
Где ЧД - чистый интегральный (за весь период реализации проекта); ЧДt-чистый доход на шаге t; t-номер шага расчета, t = 0, 1,
2, …,T;
Т - горизонт
расчета.
ЧД = Фt = Фиt + Фоt (2)
где Фt -
денежный поток на шаге t; Фиt - денежный поток от инвестиционной
деятельности на шаге t; Фоt - денежный поток от операционной (производственной) деятельности
на шаге t.
Фиt = Пиt + Оиt (3)
где Пи - приток денежных средств от инвестиционной
деятельности на шаге t; Ои - отток денежных средств от
инвестиционной деятельности на шаге t.
К притокам денежных средств от инвестиционной деятельности
относится доход от продажи активов за вычетом затрат, связанных с ликвидацией
активов, и налогов (чистый доход от продажи активов).
К оттокам денежных средств от инвестиционной деятельности
относятся:
инвестиции в основной капитал (капитальные вложения);
инвестиции в нематериальные активы;
инвестиции в оборотный капитал.
Фоt = Поt - Ооt (4)
где Поt -
приток денежных средств от операционной (производственной) деятельности на шаге
t; Ооt - отток
денежных средств от операционной (производственной) деятельности на шаге t.
К притокам денежных средств от операционной (производственной)
деятельности относится выручка от реализации продукции (без НДС).
К оттокам денежных средств от операционной (производственной)
деятельности относятся:
затраты на производство и реализацию продукции (материальные
затраты, затраты по заработной плате с отчислениями на социальные нужды, прочие
затраты);
затраты, связанные с выплатой налогов, сборов.
Следует заметить, что при определении оттоков денежных средств от
операционной деятельности из состава оттоков средств исключается амортизация.
Амортизация является притоком средств и наряду с чистой прибылью формирует
инвестиционные ресурсы предприятия. Безусловно, при калькулировании
себестоимости продукции амортизация включается в состав затрат на производство
и реализацию продукции. Но после реализации продукции амортизация никуда не
перечисляется, а остается на предприятии и используется наряду с чистой
прибылью в качестве источника средств для обновления основных фондов.
Посредством амортизации инвестору возмещается первоначальная
стоимость основных производственных фондов, на создание которых были затрачены
инвестиции.
Таким образом, учитывая содержание притоков и оттоков денежных
средств, денежный поток от инвестиционной деятельности можно представить
следующим образом:
Фи = ЧДаt - Кt (5)
где ЧДаt -
доход от продажи активов на шаге t; Кt - инвестиции на шаге t.
Кt = КВt = Кнаt +
Кобt (6)
где КВt -
капитальные вложения на шаге t; Кнаt - инвестиции в нематериальные активы на
шаге t; Кобt -
инвестиции в оборотный капитал на шаге t.
Денежный поток от операционной деятельности можно представить
соответственно
Фо = Вt -
С*t - Снпt = Пчt + Аt (6)
где Вt -
выручка (без НДС) на шаге t; С*t - текущие затраты на производство и реализацию продукции на шаге t
за исключением амортизации; Снпt - затраты, связанные с выплатой налогов, сборов на шаге t;
Пчt - прибыль чистая на шаге t; Аt - амортизация на шаге t.
Формулу чистого дохода можно представить в виде
(7)
или
(8)
Чистый дисконтированный доход (ЧДД)
Величина чистого дисконтированного дохода (ЧДД) рассчитывается как
разность дисконтированных денежных потоков доходов и расходов, производимых в
процессе реализации инвестиции за прогнозный период.
Суть критерия состоит в сравнении текущей стоимости будущих
денежных поступлений от реализации проекта с инвестиционными расходами,
необходимыми для его реализации.
Применение метода предусматривает последовательное прохождение
следующих стадий:
. Расчет денежного потока инвестиционного проекта.
. Выбор ставки дисконтирования, учитывающей доходность
альтернативных вложений и риск проекта.
. Определение чистого дисконтированного дохода.
Денежные потоки должны рассчитываться в текущих или дефлированных
ценах. При прогнозировании доходов по годам необходимо, по возможности,
учитывать все виды поступлений как производственного, так и непроизводственного
характера, которые могут быть ассоциированы с данным проектом. Так, если по
окончании периода реализации проекта планируется поступление средств в виде
ликвидационной стоимости оборудования или высвобождения части оборотных
средств, они должны быть учтены как доходы соответствующих периодов.
В основе расчетов по данному методу лежит посылка о различной
стоимости денег во времени. Процесс пересчета будущей стоимости денежного
потока в текущую называется дисконтированием (от англ. discont - уменьшать).
Чистый дисконтированный доход рассчитывается по формуле:
(9)
где Е - норма дисконта, десятичное выражение.
Выражение 
называется коэффициентом дисконтирования. Формулу ЧДД с учетом
коэффициента дисконтирования можно представить следующим образом:
(10)
где 
- коэффициент дисконтирования на шаге t.
Условия принятия инвестиционного решения на основе данного
критерия сводятся к следующему:
если ЧДД> 0, то проект следует принять;
если ЧДД < 0, то проект принимать не следует;
если ЧДД = 0, то принятие проекта не принесет ни прибыли, ни
убытка.
Если раскрыть содержание ЧД, то формулу ЧДД можно представить
и в виде
(11)
или
(12)
Индекс доходности инвестиций (ИДИ)
Индекс доходности инвестиций - это отношение
дисконтированного денежного потока от операционной деятельности к абсолютной
величине дисконтированного денежного потока от инвестиционной деятельности.
Индекс доходности инвестиций рассчитывается по формуле:
(13)
если ИДИ>1, то проект следует принять;
если ИДИ<1, то проект принимать не следует;
если ИДИ = 1, то принятие проекта не принесет ни
прибыли, ни убытка.
Индекс доходности затрат (ИДЗ)
Индекс доходности затрат - это отношение суммы
дисконтированных денежных притоков (П) к сумме дисконтированных денежных
оттоков (О). Показывает, сколько дохода приходится на 1 рубль затрат по проекту
и рассчитывается по формуле:
(14)
где П = Пиt + Поt; О = Оиt + Ооt
если ИДЗ>1, то проект следует принять;
если ИДЗ<1, то проект принимать не следует;
если ИДЗ = 1, то принятие проекта не принесет ни
прибыли, ни убытка.
Внутренняя норма доходности (ВНД)
Внутренняя норма доходности инвестиционного проекта
соответствует такой норме дисконта при которой ЧДД равен 0. Если норма дисконта
больше ВНД, то ЧДД такого проекта - отрицателен, а если норма дисконта меньше
ВНД, то ЧДД проекта - положителен. Если не выполнено хотя бы одно из этих
условий, считается, что ВНД не существует.
(15)
где Евн - внутренняя норма доходности (десятичное
выражение)
Смысл расчета этого коэффициента при анализе эффективности
планируемых инвестиций заключается в следующем: ВНД показывает максимально
допустимый относительный уровень расходов, которые могут быть ассоциированы с
данным проектом. Например, если проект полностью финансируется за счет ссуды
коммерческого банка, то значение ВНД показывает верхнюю границу допустимого
уровня банковской процентной ставки, превышение которой делает проект
убыточным.
На практике любое предприятие финансирует свою деятельность
из различных источников. В качестве платы за пользование авансированными в
деятельность предприятия финансовыми ресурсами оно уплачивает проценты,
дивиденды, вознаграждения и т.п., т.е. несет некоторые обоснованные расходы на
поддержание своего экономического потенциала. Показатель, характеризующий
относительный уровень этих доходов, можно назвать ценой авансированного
капитала (weighted average cost of capital-WACC). Этот показатель
отражает сложившийся на предприятии минимум возврата на вложенный в его
деятельность капитал, его рентабельность и рассчитывается по формуле средней
арифметической взвешенной.
Экономический смысл этого показателя заключается в следующем:
предприятие может принимать любые решения инвестиционного характера, уровень
рентабельности которых не ниже текущего значения показателя WAСС (цены источника средств
для данного проекта). Именно с ним сравнивается показатель ВНД, рассчитанный
для конкретного проекта, при этом связь между ними такова:
если ВНД>WAСС, то проект следует принять;
если ВНД <WAСС, то проект следует отвергнуть;
если ВНД = WAСС, то проект ни прибыльный, ни убыточный.
Еще один вариант интерпретации состоит в трактовке внутренней
нормы прибыли как возможной нормы дисконта, при которой проект еще выгоден по
критерию ЧДД. Решение принимается на основе сравнения ВНД с нормативной
рентабельностью; при этом чем выше значения внутренней нормы рентабельности и
больше разница между ее значением и выбранной ставкой дисконта, тем больший
запас прочности имеет проект. Данный критерий является основным ориентиром при
принятии инвестиционного решения инвестором, что вовсе не умаляет роли других
критериев. Для расчета ВНД с помощью таблиц дисконтирования выбираются два
значения коэффициента дисконтирования i1<i2 таким образом, чтобы в
интервале (i1; i2) функция ЧДД =f (i) меняла свое значение с" + "
на " - " или с " - " на " +". Далее применяют
формулу:
где i1 - значение коэффициента
дисконтирования, при котором f (i1) > 0 (f (i1) < 0), r2 - значение коэффициента
дисконтирования, при котором f (i2) < 0 (f (i2) < 0).
Точность вычислений обратно пропорциональна длине интервала (i1;
i2), а наилучшая аппроксимация достигается в случае, когда i1
и i2 - ближайшие друг к другу значения коэффициента
дисконтирования, удовлетворяющие условиям.
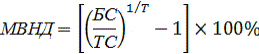
Модифицированная внутренняя норма доходности
(МВНД)
Модифицированная внутренняя норма доходности - доходность проекта при
условии реинвестирования всех промежуточных доходов по проекту под заданную
норму доходности Е.
(16)
где МВНД - модифицированная внутренняя норма доходности, БС -
будущая стоимость денежного потока от операционной деятельности; ТС - текущая
стоимость денежного потока от инвестиционной деятельности (абсолютное
значение); Т - горизонт расчета.
Как правило, расчеты всех показателей эффективности
осуществляются в табличной форме. Примеры построения таблиц будут рассмотрены
ниже.
2.2
Методические основы оценки финансовой реализуемости проекта
Финансовая реализуемость характеризует наличие финансовых
возможностей осуществления проекта с учетом всех источников финансирования (в
том числе кредита).
При выявлении финансовой нереализуемости проекта должна быть
пересмотрена схема финансирования и скорректированы некоторые элементы проекта.
Оценка финансовой реализуемости осуществляется на основе
расчета денежных потоков от инвестиционной, операционной (производственной) и
финансовой деятельности.
Показателями финансовой реализуемости проекта являются:
. Текущее сальдо денежного потока.
. Накопленное сальдо денежного потока по проекту.
Текущее сальдо денежного потока (Сt)
Текущее сальдо денежного потока - это сумма денежных
потоков от инвестиционной, операционной и финансовой деятельности на каждом
шаге расчетного периода.
Сt = Фиt + Фоt + Ффt (17)
где Ct - текущее сальдо денежного потока на шаге t;
Фиt - денежный поток от инвестиционной деятельности
на шаге t;
Фоt - денежный поток от операционной
(производственной) деятельности на шаге t;
Ффt - денежный поток от финансовой деятельности на
шаге t.
Денежный поток от инвестиционной деятельности рассчитывается таким же
образом, как при оценке коммерческой эффективности проекта.
При оценке финансовой реализуемости проекта денежный поток
от операционной деятельности принимается со следующими изменениями.
Дополнительно учитываются в качестве оттока денежных средств
расходы, связанные с выплатой процентов за пользованием кредитом.
В соответствии со ст.265 "Внереализационные
расходы" главы 25 "Налог на прибыль организаций" Федерального
закона № 110-ФЗ "О внесении изменений и дополнений в часть вторую
Налогового кодекса" к внереализационным расходам относятся расходы в виде
процентов по долговым обязательствам любого вида вне зависимости от характера
предоставляемого кредита или займа (текущего или инвестиционного).
Ст.269: предельная величина процентов, признаваемых расходом,
принимается равной ставке рефинансирования, увеличенной в 1,1 раза. Например,
если ставка рефинансирования ЦБ 11 %, то расходами признаются выплаты процентов
в пределах 11× 1,1 = 12,1%. Если же предполагаемая
величина процентов за кредит превышает 12,1 % (например19 %), то расходами
признаются проценты в пределах12,1 %, а все расходы, связанные с выплатой
процентов, превышающих12,1 %, осуществляются за счет чистой прибыли предприятия
и при оценке финансовой реализуемости проекта учитываются в расчете денежного
потока от финансовой деятельности.
Денежный поток от финансовой деятельности
рассчитывается по формуле
Ффt = Пфt - Офt (18)
Где Пфt - приток денежных
средств от финансовой деятельности на шаге t; Офt - отток денежных средств
от финансовой деятельности на шаге t.
К притокам денежных средств от финансовой деятельности
относится:
собственный капитал;
заемные средства (кредит).
К оттокам денежных средств от финансовой деятельности
относятся:
погашение основной суммы кредита;
выплата процентов за пользование кредитом (превышение
расходов по процентам за кредит над расходами в пределах ставки ЦБ × 1,1);
выплата дивидендов по акциям предприятия (если это предусматривается
проектом).
Накопленное сальдо денежного потока по проекту (СT)
Накопленное сальдо по проекту представляет собой
суммарный денежный поток за весь период реализации проекта, рассчитывается по
формуле
(19)
Где Сt - текущее сальдо денежного потока на шаге t;
СT - накопленное сальдо денежного потока проекта.
Сt = Фиt + Фоt+ Ффt
Условием финансовой реализуемости проекта является
положительное значение на каждом шаге величины накопленного сальдо денежного
потока.
Если текущее сальдо на каком-либо шаге (кроме первого) имеет
отрицательное значение, а накопленное сальдо на данном шаге - положительное,
следовательно, проект финансово реализуем. Дефицит финансовых ресурсов перекрывается
излишком финансовых ресурсов на предыдущих шагах.
Бывают ситуации, когда в целом накопленное сальдо по проекту 0,
но на отдельном шаге расчета (шагах) накопленное сальдо 0. Это
означает, что в таком виде проект не может быть финансово реализован, так как
на отдельных шагах расчетного периода образовался дефицит финансовых ресурсов,
который не перекрывается за счет денежных потоков, сложившихся на предыдущих
шагах. В таком случае необходимо пересмотреть финансовые потоки по проекту,
рассмотреть возможность изменения условий кредитования, привлечения новых
кредитов, определить потребность в дополнительном финансировании и
скорректировать в соответствии с этим отдельные элементы проекта.
2.3
Методические основы анализа и оценки риска проекта
Анализ и оценка риска реализации инвестиционного проекта
осуществляется на основе расчета точки безубыточности и анализа
чувствительности проекта.
2.3.1 Расчет
точки безубыточности
Точка безубыточности - это такой объем
производства продукции, при котором выручка от реализации продукции равна
издержкам на ее производство (себестоимости). Если на предприятии производится
продукции больше, чем точка безубыточности, то предприятие работает прибыльно,
и наоборот, если объем производства ниже точки безубыточности, то выручка
меньше себестоимости, а следовательно, предприятие работает с убытками. В точке
безубыточности прибыль равна 0. Точку безубыточности еще называют порогом
рентабельности.
Расчет точки безубыточности является обязательным при
планировании реализации инвестиций. Необходимо сопоставить объем производства,
предусмотренный в проекте, с рассчитанной точкой безубыточности и сделать вывод
о целесообразности реализации проекта. Условно полагаем, что объем реализации
продукции равен объему производства.
Точка безубыточности (ТБ) в натуральных единицах измерения
рассчитывается по формуле:
(20)
В дополнение к точке безубыточности рассчитывается запас
прочности.
Запас прочности показывает, на сколько процентов можно
снизить объем производства, прежде чем предприятие начнет нести убытки.
Запас прочности (ЗП) рассчитывается по формуле
(21)
2.3.2 Анализ
чувствительности проекта
Анализ чувствительности проводится для того,
чтобы выявить, насколько сильно изменятся показатели эффективности проекта при
определенном изменении одного из исходных параметров (факторов) проекта. Чем
сильнее эта зависимость, тем выше риск реализации проекта.
Для проведения анализа чувствительности необходимо:
. Определить наиболее значимые факторы.
. Определить их наиболее вероятное (базовое) значение.
. Рассчитать показатели эффективности проекта при базовых
значениях факторов.
. Один из факторов изменить в определенном пределе и
рассчитать показатели эффективности при каждом новом значении фактора.
. Предыдущий шаг повторить для каждого фактора.
. Полученные данные свести в таблицу и определить наибольшую
чувствительность проекта к каким-либо факторам.
Анализ чувствительности может проводиться по отношению к
показателям: ЧД, ЧДД, СОД, ИДИ, ИДЗ.
Расчеты проводятся с помощью электронных таблиц (EXCEL).
Выделим для анализа наиболее значимые факторы:
. Объем продаж.
. Переменные затраты.
. Постоянные затраты.
. Выплата процентов за кредит.
. Норма дисконта.
3. Расчетная
часть
3.1 Расчет
коммерческой эффективности проекта
Коммерческая эффективность проекта рассчитывается на основе
денежных потоков от инвестиционной и операционной деятельности.
3.1.1 Расчет
денежного потока от инвестиционной деятельности
Для расчета притока денежных средств от инвестиционной
деятельности необходимо определить чистый доход от реализации оборудования в
конце расчетного периода (на шестом шаге). С этой целью заполним таблицу.
Таблица 3.
Расчет чистого дохода от реализации активов (оборудования)
|
Показатели
|
тыс. руб.
|
|
1.
Первоначальная стоимость оборудования
|
2500
|
|
2. Начислено
амортизации (2500 × 0,15 × 6)
|
2250
|
|
3. Балансовая
(остаточная) стоимость (2500 - 2250)
|
250
|
|
4. Рыночная
стоимость реализации оборудования (250 × 1,4)
|
350
|
|
5. Затраты по
реализации
|
5,5
|
|
6. Доход от
реализации (350-250-5,5)
|
94,5
|
|
7. Налог (20%)
|
18,9
|
|
8. Чистый доход
(350-5,5-18,9)
|
325,6
|
Таблица 4.
Расчет денежного потока от инвестиционной деятельности (Фи)
|
Показатели
|
Шаг расчета
|
|
1
|
2
|
3
|
4
|
5
|
6
|
|
1. Затраты на
приобретение и монтаж оборудования, тыс. руб.
|
-2500
|
|
|
|
|
|
|
2. Инвестиции в
оборотный капитал, тыс. руб.
|
-240
|
|
|
|
|
|
|
3. Инвестиции в
нематериальные активы, тыс. руб.
|
-60
|
|
|
|
|
|
|
4. Поступления
от продажи активов, тыс. руб.
|
|
|
|
|
|
325,6
|
|
5. Денежный
поток от инвестиционной деятельности, тыс. руб.
|
-2800
|
|
|
|
|
325,6
|
3.1.2 Расчет
денежного потока от операционной (производственной) деятельности
Операционная деятельность связана с производством и
реализацией продукции, получением прибыли.
Для расчета чистой прибыли необходимо определить налоговые
отчисления.
Ставка налога на имущество - 2,2 % от остаточной стоимости
оборудования. Норма амортизации - 15 % в год от первоначальной стоимости
оборудования.
Таблица 5 - Расчет налога на имущество
|
Показатели
|
Шаг расчета
|
|
1
|
2
|
3
|
4
|
5
|
6
|
|
1.
Первоначальная стоимость оборудования, тыс. руб.
|
2500
|
|
|
|
|
|
|
2. Амортизация,
тыс. руб.
|
375
|
375
|
375
|
375
|
375
|
375
|
|
3. Остаточная
стоимость, тыс. руб.
|
2125
|
1750
|
1375
|
1000
|
625
|
250
|
|
4. Налог на
имущество, тыс. руб.
|
46,75
|
38,5
|
30,25
|
22
|
13,75
|
5,5
|
Операционная деятельность связана с производством и
реализацией продукции, получением прибыли.
Таблица 6 - Расчет денежного потока от операционной
(производственной) деятельности (Фо)
|
Показатели
|
Шаг расчета
|
|
1
|
2
|
3
|
4
|
5
|
6
|
|
1. Объем
продаж, тыс. шт.
|
230
|
230
|
260
|
280
|
380
|
380
|
|
2. Цена за
единицу, руб.
|
58
|
58
|
58
|
58
|
58
|
58
|
|
3. Выручка,
тыс. руб.
|
13340
|
13340
|
15080
|
16240
|
22040
|
22040
|
|
4. Затраты на
производство и реализацию продукции всего, тыс. руб. В том числе:
|
9300
|
9300
|
10513
|
11322
|
15366
|
15366
|
|
4.1 Постоянные
затраты
|
3500
|
3500
|
3500
|
3500
|
3500
|
3500
|
|
из низ
амортизация
|
375
|
375
|
375
|
375
|
375
|
375
|
|
4.2 Переменные
затраты
|
5800
|
5800
|
7013
|
7822
|
11866
|
11866
|
|
5. Финансовый
результат (прибыль)
|
4040
|
4040
|
4567
|
4918
|
6674
|
6674
|
|
6. Налог на
имущество, тыс. руб.
|
46,75
|
38,5
|
30,25
|
22
|
13,75
|
5,5
|
|
7. Прибыль
налогооблагаемая, тыс. руб.
|
3993,25
|
4001,5
|
4536,75
|
4896
|
6660,25
|
6668,5
|
|
8. Налог на
прибыль (20%)
|
798,65
|
800,3
|
907,35
|
979,2
|
1332,05
|
1333,7
|
|
9. Чистая
прибыль, тыс. руб.
|
3194,6
|
3201,2
|
3629,4
|
3916,8
|
5328,2
|
5334,8
|
|
10. Денежный
поток от операционной деятельности (п.9 + амортизация), тыс. руб.
|
4169,6
|
3576,2
|
4004,4
|
4291,8
|
5703,2
|
5709,8
|
Примечание.
При расчете налоговых отчислений в учебных целях были
рассмотрены только налог на прибыль и налог на имущество, другие налоговые
отчисления и сборы не учитывались.
При выполнении расчетов по реальному проекту необходимо
учитывать все налоговые отчисления в связи с реализацией проекта.
3.1.3 Расчет
показателей коммерческой эффективности
Таблица 7 - Расчет показателей коммерческой эффективности
проекта
|
Показатели
|
Шаг расчета
|
|
1
|
2
|
3
|
4
|
5
|
6
|
|
1. Денежный
поток от инвестиционной деятельности (Фи), тыс. шт.
|
-2800
|
|
|
|
|
325,6
|
|
2. Денежный
поток от операционной деятельности (Фо), тыс. руб.
|
3569,6
|
3576,2
|
4004,4
|
4291,8
|
5703,2
|
5709,8
|
|
3. Сальдо двух
потоков или чистый доход (ЧД), тыс. руб.
|
-769,6
|
3576,2
|
4004,4
|
4291,8
|
5703,2
|
5384,2
|
|
4.
Интегральный чистый доход (нарастающим итогом)
|
-769,6
|
2806,6
|
6811
|
11102,8
|
16806
|
22190,2
|
|
5. Коэффициент
дисконтирования (Е = 10 %)
|
0,9091
|
0,8264
|
0,7513
|
0,6830
|
0,6209
|
0,5645
|
|
6. Чистый
дисконтированный доход, тыс. руб.
|
-699,64
|
2955,37
|
3008,51
|
2931,30
|
3541,12
|
3039,38
|
|
7.
Интегральный чистый дисконтированный доход (нарастающим итогом)
|
-699,64
|
2255,73
|
5264,24
|
8195,54
|
11736,66
|
14776,04
|
|
8.
Дисконтированный денежный поток от инвестиционной деятельности, тыс. руб.
|
-2545,48
|
0,00
|
0,00
|
0,00
|
0,00
|
183,80
|
|
9. Интегральный
денежный поток от инвестиционной деятельности (нарастающим итогом), тыс. руб.
|
-2545,48
|
-2545,48
|
-2545,48
|
-2545,48
|
-2545,48
|
-2361,68
|
|
10. Абсолютная
величина интегрального денежного потока от инвестиционной деятельности, тыс.
руб.
|
2545,48
|
2545,48
|
2545,48
|
2545,48
|
2545,48
|
2361,68
|
|
11.
Дисконтированный денежный поток от операционной деятельности, тыс. руб.
|
1845,84
|
2955,37
|
3008,51
|
2931,30
|
3541,12
|
3223,18
|
|
12.
Интегральный денежный поток от операционной деятельности (нарастающим
итогом), тыс. руб.
|
1845,84
|
4801,21
|
7809,72
|
10741,02
|
14282,14
|
17505,32
|
|
13. Индекс
доходности инвестиций (п.12: п.10)
|
0,73
|
1,89
|
3,07
|
4,22
|
5,61
|
7,41
|
Расчеты показали достаточно высокую коммерческую
эффективность проекта: ЧДД больше 0 (1681 тыс. руб.), ИДИ значительно больше 1.
Срок окупаемости определим с помощью графика. Срок окупаемости инвестиций около
0,5 лет. На третьем шаге расчетного периода интегральный чистый
дисконтированный доход принимает положительное значение.
Таблица 8 - Расчет индекса доходности затрат
|
Показатели
|
Шаг расчета
|
|
1
|
2
|
3
|
4
|
5
|
6
|
|
Притоки
средств
|
|
|
|
|
|
|
|
1. Выручка,
тыс. руб.
|
13340
|
13340
|
15080
|
16240
|
22040
|
22040
|
|
2. Чистый доход
от продажи оборудования, тыс. руб.
|
|
|
|
|
|
325,6
|
|
3. Итого
притоков
|
13340
|
13340
|
15080
|
16240
|
22040
|
22365,6
|
|
4. Коэффициент
дисконтирования
|
0,9091
|
0,8264
|
0,7513
|
0,6830
|
0,6209
|
0,5645
|
|
5.
Дисконтированные притоки средств, тыс. руб.
|
12127
|
11024
|
11330
|
11092
|
13685
|
12625
|
|
6. Сумма
дисконтированных притоков средств (нарастающим итогом), тыс. руб.
|
12127
|
23151
|
34481
|
45573
|
59258
|
71883
|
|
Оттоки
средств
|
|
|
|
|
|
|
|
7. Инвестиции,
тыс. руб.
|
2800
|
|
|
|
|
|
|
8. Затраты на
производство и реализацию продукции (без амортизации), тыс. руб.
|
9300
|
9300
|
10513
|
11322
|
15366
|
15366
|
|
9. Налог на
имущество, тыс. руб.
|
46,75
|
38,5
|
30,25
|
22
|
13,75
|
5,5
|
|
10. Налог на
прибыль, тыс. руб.
|
798,65
|
800,3
|
979,2
|
1332,05
|
1333,7
|
|
11. Итого
оттоков
|
12945
|
10139
|
11451
|
12323
|
16712
|
16705
|
|
12. Дисконтированные
оттоки средств, тыс. руб.
|
11768
|
8379
|
8603
|
8417
|
10376
|
9430
|
|
13. Сумма
дисконтированных оттоков средств (нарастающим итогом), тыс. руб.
|
11768
|
20147
|
28750
|
37167
|
47543
|
56973
|
|
14. Индекс
доходности затрат (п.6: п.13)
|
1,03
|
1,15
|
1, 19
|
1,23
|
1,25
|
1,26
|
Расчет внутренней нормы доходности осуществляется методом
простого подбора и построения графика. Рассчитываем значение интегрального
чистого дисконтированного дохода при изменении нормы дисконта (табл.9). На
основе данных таблицы построим график ВНД (рис.3).
Таблица 9 - Зависимость ЧДД от нормы дисконта
|
Норма дисконта,
%
|
0
|
10
|
20
|
30
|
40
|
50
|
60
|
70
|
80
|
90
|
100
|
|
ЧДД, тыс. руб.
|
16175,32
|
14910
|
8231,02
|
6266,04
|
5405,66
|
3983,51
|
3292,37
|
2790,69
|
2372,71
|
2058,06
|
1806,08
|
ЧДД (0%) =
ЧДД (10%) =
14910 тыс. руб.
ЧДД (20%) =
ЧДД (30%) =
ЧДД (40%) =
ЧДД (50%) =
ЧДД (60%) =
ЧДД (70%) =
ЧДД (80%) =
ЧДД (90%) =
ЧДД (100%) =
ВНД проекта составит около 100%.
Рисунок 1 - Внутренняя норма доходности
Расчет модифицированной внутренней нормы доходности (МВНД).
БС = [ (3569,6× (1+0,1) 6-1] + [ (3576,2 × (1+0,1) 6-2] + [ (4004,4 × (1+0,1) 6-3] + [ (4291,8 × (1+0,1) 6-4] + [ (5703,2 × (1+0,1) 6-5] + [
(5709,8 × (1+0,1) 6-6] =6715,1825+5235,91442+5329,8564+5193,078+6273,52+5709,8
= 29316,20 тыс. руб.
При условии реинвестирования промежуточных доходов (прибыли чистой
и амортизации) под 10 % годовых в конце шестого шага будем иметь абсолютную
величину дохода 29316,20 тыс. руб. Инвестор вложил 2800 тыс. руб. (1 шаг) и
через шесть лет получит (при условии реинвестирования промежуточных доходов под
10 % годовых) 29316,20 тыс. руб. Доходность этой операции, или МВНД, составит
56 %.
Таким образом, расчет показателей коммерческой эффективности
проекта показал, что проект является коммерчески эффективным, так как ЧДД
проекта имеет положительное значение (1681 тыс. руб.), ИДИ и ИДЗ больше 1, ВНД
проекта достаточно высока - около 100 %, МВНД - 56 %. Следовательно, реализация
проекта является экономически целесообразной и коммерчески эффективной. Можно
приступить ко второму этапу оценки с учетом использования в качестве источника
инвестиций кредит в размере 50 % от общего объема инвестиций.
3.2 Оценка
финансовой реализуемости проекта
При оценке финансовой реализуемости проекта учитываются три
вида деятельности: инвестиционная, операционная и финансовая.
3.2.1 Расчет
денежного потока от инвестиционной деятельности
Денежный поток от инвестиционной деятельности рассчитывается
таким же образом, как при оценке коммерческой эффективности проекта (см.
табл.4).
3.2.2 Расчет
денежного потока от операционной деятельности
При расчете денежного потока от операционной деятельности
необходимо учесть выплату процентов за пользование кредитом. По условию задачи,
проценты за кредит составляют 21 %, что превышает ставку ЦБ × 1,1 (11 % × 1,1 = 12,1 %). Для
справки: ставка ЦБ на 01.08.08 - 11 %. Следовательно, все расходы, связанные с
выплатой процентов, необходимо разбить на две части: выплата процентов в
пределах ставки ЦБ × 1,1 и выплата процентов,
превышающих ставку ЦБ × 1,1.
По условию задачи, сумма кредита составляет 50 % от общей
потребности в инвестициях. Общая потребность в инвестициях 2800 т. р.
Следовательно, 50 % составят 1400 тыс. руб. Для дальнейших
расчетов будем учитывать сумму кредита - 1400 тыс. руб.
Кредит берем в начале первого года, а погашать начнем с конца
второго года. Выплата процентов начинается уже в первом году (в конце года).
Составим вспомогательную таблицу для расчета процентов за
пользование кредитом (табл.10).
Выплату процентов в пределах ставки ЦБ × 1,1 (пункт 3.1, табл.10) учтем в качестве оттока денежных средств
при определении денежного потока от операционной деятельности до
налогообложения прибыли (табл.11).
Выплату процентов, превышающих ставку ЦБ × 1,1 (пункт 3.2, табл.10), учтем в качестве оттока денежных
средств при определении денежного потока в финансовой деятельности (табл.12).
Таблица 10 - Расчет процентов за пользование кредитом
|
Показатели
|
Шаг расчета
|
|
1
|
2
|
3
|
4
|
5
|
6
|
|
1. Кредит, тыс.
шт.
|
1400
|
|
|
|
|
|
|
2. Погашение
основной суммы кредита, тыс. руб.
|
|
233,33
|
233,33
|
233,33
|
233,33
|
233,33
|
|
3. Выплата
процентов за кредит (21 %) всего, тыс. руб.
|
294
|
294
|
245,00
|
196,00
|
147,00
|
48,99
|
|
В том числе:
|
|
|
|
|
|
|
|
3.1 Выплата
процентов в пределах ставки ЦБ × 1,1 (11% × 1,1 = 12,1%), тыс. руб.
|
169,4
|
169,4
|
141,17
|
112,93
|
84,70
|
28,23
|
|
3.2 Выплата
процентов за кредит, превышающих ставку ЦБ × 1,1 (21% - 12,1% = 8,9%), тыс. руб.
|
124,6
|
124,6
|
103,83
|
83,07
|
62,30
|
20,76
|
Примечание.
Расчет выплаты процентов на первом шаге - (1400 × 0,21) = 294 тыс. руб.
на 2 шаге - (1400 × 0,21) = 294 тыс. руб.;
на 3 шаге - (1400 - 233,) *0,21 = 245,00 тыс. руб.;
на 4 шаге - (1400 - 233,33 - 233,33) * 0,21 = 196,00 тыс.
руб.;
на 5 шаге - (1400 - 233,33 - 233,33 - 233,33) * 0,21 = 147,00
тыс. руб.
на 6 шаге - (1400 - 233,33 - 233,33 - 233, 33 - 233, 33) *
0,21 = 48,99 тыс. руб.
Аналогично рассчитывается выплата процентов по п.3.1, только
при этом используется ставка 12,1 %.
Пункт 3.2 = п.3 - п.3.1.
Например, на первом шаге: пункт 3.1 - (1400 × 0,121) = 169,4 т. р.;
пункт 3.2 - (294 - 169,82) = 124,6 и т.д.
Таблица 11 - Расчет денежного потока от операционной
(производственной) деятельности (Фо)
|
Показатели
|
Шаг расчета
|
|
1
|
2
|
3
|
4
|
5
|
6
|
|
1. Объем
продаж, тыс. шт.
|
230
|
230
|
260
|
280
|
380
|
380
|
|
2. Цена за
единицу, руб.
|
58
|
58
|
58
|
58
|
58
|
58
|
|
3. Выручка,
тыс. руб.
|
13340
|
13340
|
15080
|
16240
|
22040
|
22040
|
|
4. Затраты на
производство и реализацию продукции всего, тыс. руб. В том числе:
|
9300
|
9300
|
10513
|
11322
|
15366
|
15366
|
|
4.1 Постоянные
затраты
|
3500
|
3500
|
3500
|
3500
|
3500
|
3500
|
|
из низ
амортизация
|
375
|
375
|
375
|
375
|
375
|
375
|
|
4.2 Переменные
затраты
|
5800
|
5800
|
7013
|
7822
|
11866
|
11866
|
|
5. Финансовый
результат (прибыль)
|
4040
|
4040
|
4567
|
4918
|
6674
|
6674
|
|
6. Налог на
имущество, тыс. руб.
|
46,75
|
38,5
|
30,25
|
22
|
13,75
|
5,5
|
|
7. Проценты за
кредит в пределах ставки ЦБ × 1,1, тыс. руб.
|
169,4
|
169,4
|
141,17
|
112,93
|
84,70
|
28,23
|
|
8. Прибыль
налогооблагаемая, тыс. руб.
|
3823,85
|
3832,1
|
4395,58
|
4783,07
|
6575,55
|
6640,27
|
|
9. Налог на прибыль
(20 %)
|
764,77
|
766,42
|
879,12
|
956,61
|
1315,11
|
1328,05
|
|
10. Чистая прибыль, тыс. руб.
|
3059,08
|
3065,68
|
3516,46
|
3826,46
|
5260,44
|
5312,22
|
|
11. Денежный
поток от операционной деятельности (п.10 + амортизация), тыс. руб.
|
3434,08
|
3440,68
|
3891,46
|
4201,46
|
5635,44
|
5687,22
|
3.2.3 Расчет
денежного потока от финансовой деятельности
Таблица 12 - Расчет денежного потока от финансовой
деятельности (Фф)
|
Показатели
|
Шаг расчета
|
|
1
|
2
|
3
|
4
|
5
|
6
|
|
1. Собственный
капитал, тыс. руб.
|
+1400
|
|
|
|
|
|
|
2. Заемные
средства (кредит), тыс. руб.
|
+1400
|
|
|
|
|
|
|
3. Погашение
основной суммы кредита, тыс. руб.
|
|
-233,33
|
-233,33
|
-233,33
|
-233,33
|
-233,33
|
|
4. Выплата
процентов за кредит, превышающих ставку ЦБ × 1,1, тыс. руб.
|
-124,6
|
-124,6
|
-103,83
|
-83,07
|
-62,30
|
-20,76
|
|
5. Денежный
поток от финансовой деятельности, тыс. руб.
|
+2675,4
|
-357,93
|
-337,16
|
-316,4
|
-295,63
|
-254,09
|
При расчете денежного потока от финансовой деятельности
величину собственного капитала определим из условия задачи.
Общая потребность в инвестициях составила 2800 тыс. руб., из
них 1400 тыс. руб. финансируется за счет привлечения кредитных ресурсов.
Следовательно, собственного капитала необходимо 1400 тыс.
руб.
3.2.4 Расчет
показателей финансовой реализуемости проекта
По результатам выполненных расчетов составляется сводный
отчет о движении денежных средств.
Таблица 13 - Показатели финансовой реализуемости проекта
|
Показатели
|
Шаг расчета
|
|
1
|
2
|
3
|
4
|
5
|
6
|
|
1. Денежный
поток от инвестиционной деятельности, тыс. руб.
|
-2800
|
|
|
|
|
+325,6
|
|
2. Денежный
поток от операционной деятельности, тыс. руб.
|
+3434,08
|
+3440,68
|
+3891,46
|
+4201,46
|
+5635,44
|
+5687,22
|
|
3. Денежный
поток от финансовой деятельности, тыс. руб.
|
+2675,4
|
-357,93
|
-337,16
|
-316,4
|
-295,63
|
-254,09
|
|
4. Сальдо
денежного потока по проекту (Фи + Фо + Фф),
тыс. руб.
|
+3309,48
|
+3082,75
|
+3554,3
|
+3885,06
|
+5339,81
|
+5758,73
|
|
5. Накопленное
сальдо СТ, тыс. руб.
|
+3309,48
|
+6392,23
|
+9946,53
|
+13831,59
|
+19171,4
|
+24930,13
|
Как видно из расчетов, сальдо денежного потока на каждом шаге
имеет положительное значение. Накопленное сальдо также положительно, что
свидетельствует о финансовой реализуемости проекта. Накопленное сальдо за
расчетный период составило 24930,13 тыс. руб. Свободные денежные средства могут
быть использованы для инвестирования, например, в ценные бумаги. В таком случае
в расчетах денежных потоков по данному проекту следует учесть возможные доходы
по ценным бумагам.
3.3 Оценка
риска проекта
3.3.1 Расчет
точки безубыточности
Рассчитаем точку безубыточности и запас прочности
применительно к нашему примеру.
Таблица 14 - Точка безубыточности и запас прочности
|
Показатели
|
Шаг расчета
|
|
1. Объем
производства и продаж, тыс. шт.
|
230
|
230
|
260
|
280
|
380
|
380
|
|
2. Затраты на
производство и реализацию продукции, тыс. руб.
|
9300
|
9300
|
10513
|
11322
|
15366
|
15366
|
|
В т. ч.
постоянные затраты, тыс. руб.
|
3500
|
3500
|
3500
|
3500
|
3500
|
3500
|
|
переменные
затраты, тыс. руб.
|
5800
|
5800
|
7822
|
11866
|
11866
|
|
3. Переменные
затраты на единицу продукции, руб.
|
25,22
|
25,22
|
26,97
|
27,94
|
31,23
|
31,23
|
|
4. Цена единицы
продукции, руб.
|
58
|
58
|
58
|
58
|
58
|
58
|
|
5. Точка
безубыточности, тыс. шт.
|
106,77
|
106,77
|
112,79
|
116,43
|
130,74
|
130,74
|
|
6. Запас
прочности, %
|
53,58
|
53,58
|
56,62
|
58,42
|
65,59
|
65,59
|
Точка безубыточности = постоянные/ (цена -
переменные)
Запас прочности = ( (объем - точка безубыточности)
/объем) *100%
Расчеты показали, что данный проект имеет высокий запас
прочности на протяжении расчетного периода (от 53,58 % до 65,59 %). Так, если
объем производства снизится на пятом шаге более чем на 65,59 %, то предприятие
будет работать убыточно.
3.3.2 Анализ
чувствительности
Проанализируем чувствительность показателей коммерческой
эффективности проекта к изменению отдельных параметров проекта.
Рассмотрим чувствительность проекта к показателю ЧДД.
Расчеты проводятся с помощью электронных таблиц (EXCEL).
Выделим для анализа наиболее значимые факторы:
. Объем производства (продаж).
. Цена за единицу.
. Инвестиции.
. Переменные затраты.
. Постоянные затраты.
. Норма дисконта.
Для расчета влияния изменения вышеприведенных факторов на ЧДД
проекта удобно использовать следующую таблицу расчета ЧДД.
Таблица 15 - Расчет чистого дисконтированного дохода для
анализа чувствительности
|
Показатели
|
Шаг расчета
|
|
1
|
2
|
3
|
4
|
5
|
6
|
|
1. Денежный
поток от инвестиционной деятельности, тыс. шт.
|
-2800
|
|
|
|
|
325,6
|
|
2. Объем
производства и продаж, тыс. шт.
|
230
|
230
|
260
|
280
|
380
|
380
|
|
3. Цена за
единицу, руб.
|
58
|
58
|
58
|
58
|
58
|
58
|
|
4. Выручка,
тыс. руб.
|
13340
|
13340
|
15080
|
16240
|
22040
|
22040
|
|
5. Затраты на
производство и реализацию продукции всего, тыс. руб.
|
9300
|
9300
|
10513
|
11322
|
15366
|
15366
|
|
В том числе:
|
|
|
|
|
|
|
|
5.1 Постоянные
затраты
|
3500
|
3500
|
3500
|
3500
|
3500
|
3500
|
|
из низ
амортизация
|
375
|
375
|
375
|
375
|
375
|
375
|
|
5.2 Переменные
затраты
|
5800,6
|
5800,6
|
7012,2
|
7823,2
|
11867,4
|
11867,4
|
|
6. Переменные
затраты на единицу продукции, руб.
|
25,22
|
25,22
|
26,97
|
27,94
|
31,23
|
31,23
|
|
7. Финансовый
результат (прибыль)
|
4039,4
|
4039,4
|
4567,8
|
4916,8
|
6672,6
|
6672,6
|
|
8. Налог на
имущество, тыс. руб.
|
46,75
|
38,5
|
30,25
|
22
|
13,75
|
5,5
|
|
9. Прибыль
налогооблагаемая, тыс. руб.
|
3992,65
|
4000,9
|
4537,55
|
4894,8
|
6658,85
|
6667,1
|
|
10. Налог на
прибыль (20 %), тыс. руб.
|
807,88
|
807,88
|
913,56
|
983,36
|
1334,52
|
1334,52
|
|
11. Чистая
прибыль, тыс. руб.
|
3184,77
|
3193,02
|
3623,99
|
3911,44
|
5324,33
|
5332,58
|
|
12. Денежный
поток от операционной деятельности, тыс. руб.
|
3559,77
|
3568,02
|
3998,99
|
4286,44
|
5699,33
|
5707,58
|
|
13. Сальдо двух
потоков (ЧД), тыс. руб.
|
-759,77
|
3568,02
|
3998,99
|
4286,44
|
5699,33
|
5381,98
|
|
14. Коэффициент
дисконтирования (Е =10 %)
|
0,9091
|
0,8264
|
0,751
|
0,683
|
0,6209
|
0,5645
|
|
15. ЧДД, тыс.
руб.
|
-690,71
|
2948,61
|
3003,24
|
2927,64
|
3538,71
|
3038,13
|
|
16. ЧДД
нарастающим итогом, тыс. руб.
|
-690,71
|
2257,9
|
745,34
|
2182,3
|
1356,41
|
1681,72
|
Различие значений ЧДД в таблицах 7 и 15 объясняется точностью
расчетов.
В расчетах принято, что объем продаж совпадает с объемом
производства.
Чувствительность ЧДД к изменению нормы дисконта можно
определить на основе данных табл.9 при расчете ВНД. Результаты анализа
чувствительности представлены в табл.16.
Анализ чувствительности показал: проект достаточно устойчив,
ВНД превышает норму дисконта, принятую в расчетах, индекс доходности инвестиций
превышает 1,2.
Таблица 16 - Анализ чувствительности проекта
|
Факторы
|
Величина ЧДД
при изменении фактора на:
|
|
- 20%
|
- 10%
|
- 5%
|
Базовое
значение
|
+ 5%
|
+ 10%
|
+ 20%
|
|
1. Объем
производства и продаж
|
2175,97
|
9345,91
|
12930,86
|
1682
|
20212,13
|
23685,76
|
30855,7
|
|
2. Цена за
единицу
|
2175,97
|
9345,91
|
12930,86
|
1682
|
20212,13
|
23685,76
|
30855,7
|
|
3. Инвестиции
|
16988,17
|
16772
|
16633,92
|
1682
|
16397,75
|
16279,67
|
16043,5
|
|
4. Переменные
затраты
|
23465,06
|
19990,45
|
18253,14
|
1682
|
14778,54
|
13041,24
|
9566,65
|
|
5. Постоянные
затраты
|
19564,47
|
18040,16
|
17278
|
1682
|
15753,67
|
14991,53
|
13467, 19
|
20%:
Объем производства и продаж:
1 год: ( ( (230* (0,8)) *58) -
3500-5800,6-807,88-46,75+375-2800) *0,9091 = - 1734,77
год: ( ( (230* (0,8)) *58) - 3500-5800,6-807,88-38,5+375)
*0,8264 = 743,78
год: ( ( (260* (0,8)) *58) - 3500-7012,2-913,56-30,25+375)
*0,7513 = 738,52
год: ( ( (280* (0,8)) *58) - 3500-7823,2-983,36-22+375)
*0,6830 = 709,25
год: ( ( (380* (0,8)) *58) - 3500-11867,4-1334,52-13,75+375)
*0,6209 = 801,79
год: ( ( (380* (0,8)) *58) - 3500-11867,4-1334,52-5,5+375+325,6)
*0,5645 = 917,41
Объем производства и продаж = 2175,97
Цена за единицу:
1 год: ( (230* (58*0,8)) - 3500-5800,6-807,88-46,75+375-2800)
*0,9091 = - 1734,77
год: ( (230* (58*0,8)) - 3500-5800,6-807,88-38,5+375) *0,8264
= 743,78
год: ( (260* (58*0,8)) - 3500-7012,2-913,56-30,25+375)
*0,7513 = 738,52
год: ( (280* (58*0,8)) - 3500-7823,2-983,36-22+375) *0,6830 =
709,25
год: ( (380* (58*0,8)) - 3500-11867,4-1334,52-13,75+375)
*0,6209 = 801,79
год: ( (380* (58*0,8)) - 3500-11867,4-1334,52-5,5+375+325,6)
*0,5645 = 917,41
Цена за единицу = 2175,97
Инвестиции:
1 год: ( (230*58) - 3500-5800,6-807,88-46,75+375+
(-2800*0,8)) *0,9091 = 1199,803
год: ( (230*58) - 3500-5800,6-807,88-38,5+375) *0,8264 =
2948,61
год: ( (260*58) - 3500-7012,2-913,56-30,25+375) *0,7513 =
3004,44
год: ( (280*58) - 3500-7823,2-983,36-22+375) *0,6830 =
2927,64
год: ( (380*58) - 3500-11867,4-1334,52-13,75+375) *0,6209 =
3538,71
год: ( (380*58) - 3500-11867,4-1334,52-5,5+375+ (325,6*0,8))
*0,5645 = 3368,97
Инвестиции = 16988,17
Переменные затраты:
год: ( (230*58) - 3500- (5800,6*0,8) - 807,88-46,75+375-2800)
*0,9091 = 1745,37
год: ( (230*58) - 3500- (5800,6*0,8) - 807,88-38,5+375)
*0,8264 = 3907,34
год: ( (260*58) - 3500- (7012,2*0,8) - 913,56-30,25+375)
*0,7513 =4058,09
год: ( (280*58) - 3500- (7823,2*0,8) - 983,36-22+375) *0,6830
= 3996,288
год: ( (380*58) - 3500- (11867,4*0,8) - 1334,52-13,75+375)
*0,6209 = 5012,41
год: ( (380*58) - 3500- (11867,4*0,8) -
1334,52-5,5+375+325,6) *0,5645 = 4745,56
Переменные затраты = 23465,06
Постоянные затраты:
1 год: ( (230*58) - (3500*0,8) -
5800,6-807,88-46,75+375-2800) *0,9091 = 1327,07
год: ( (230*58) - (3500*0,8) - 5800,6-807,88-38,5+375)
*0,8264 = 3527,09
год: ( (260*58) - (3500*0,8) - 7012,2-913,56-30,25+375)
*0,7513 = 3530,35
год: ( (280*58) - (3500*0,8) - 7823,2-983,36-22+375) *0,6830
= 3405,74
год: ( (380*58) - (3500*0,8) - 11867,4-1334,52-13,75+375)
*0,6209 =3973,34
год: ( (380*58) - (3500*0,8) - 11867,4-1334,52-5,5+375+325,6)
*0,5645 = 3800,88
Постоянные затраты = 19564,47
%:
Объем производства и продаж:
год: ( ( (230* (0,9)) *58) -
3500-5800,6-807,88-46,75+375-2800) *0,9091 = - 522,03
год: ( ( (230* (0,9)) *58) - 3500-5800,6-807,88-38,5+375)
*0,8264 = 1846, 19
год: ( ( (260* (0,9)) *58) - 3500-7012,2-913,56-30,25+375)
*0,7513 = 1871,48
год: ( ( (280* (0,9)) *58) - 3500-7823,2-983,36-22+375)
*0,6830 = 1818,45
год: ( ( (380* (0,9)) *58) - 3500-11867,4-1334,52-13,75+375)
*0,6209 = 2170,25
год: ( ( (380* (0,9)) *58) -
3500-11867,4-1334,52-5,5+375+325,6) *0,5645 = 2161,57
Объем производства и продаж = 9345,91
Цена за единицу:
год: ( (230* (58*0,9)) - 3500-5800,6-807,88-46,75+375+2800)
*0,9091 = - 522,03
год: ( (230* (58*0,9)) - 3500-5800,6-807,88-38,5+375) *0,8264
= 1846, 19
год: ( (260* (58*0,9)) - 3500-7012,2-913,56-30,25+375)
*0,7513 = 1871,48
год: ( (280* (58*0,9)) - 3500-7823,2-983,36-22+375) *0,6830 =
1818,45
год: ( (380* (58*0,9)) - 3500-11867,4-1334,52-13,75+375)
*0,6209 = 2170,25
год: ( (380* (58*0,9)) - 3500-11867,4-1334,52-5,5+375+325,6)
*0,5645 = 2161,57
Цена за единицу = 9345,91
Инвестиции:
год: ( (230*58) - 3500-5800,6-807,88-46,75+375+ (-2800*0,9))
*0,9091 = 945,25
год: ( (230*58) - 3500-5800,6-807,88-38,5+375) *0,8264 =
2948,61
год: ( (260*58) - 3500-7012,2-913,56-30,25+375) *0,7513 =
3004,44
год: ( (280*58) - 3500-7823,2-983,36-22+375) *0,6830 =
2927,64
год: ( (380*58) - 3500-11867,4-1334,52-13,75+375) *0,6209 =
3538,71
год: ( (380*58) - 3500-11867,4-1334,52-5,5+375+ (325,6*0,9))
*0,5645 = 3387,35
Инвестиции = 16772
Переменные затраты:
год: ( (230*58) - 3500- (5800,6*0,9) - 807,88-46,75+375-2800)
*0,9091 = 1218,04
год: ( (230*58) - 3500- (5800,6*0,9) - 807,88-38,5+375)
*0,8264 = 3427,97
год: ( (260*58) - 3500- (7012,2*0,9) - 913,56-30,25+375)
*0,7513 = 3531,27
год: ( (280*58) - 3500- (7823,2*0,9) - 983,36-22+375) *0,6830
= 3461,96
год: ( (380*58) - 3500- (11867,4*0,9) - 1334,52-13,75+375)
*0,6209 = 4275,56
год: ( (380*58) - 3500- (11867,4*0,9) -
1334,52-5,5+375+325,6) *0,5645 = 4075,65
Переменные затраты = 19990,45
Постоянные затраты:
год: ( (230*58) - (3500*0,9) - 5800,6-807,88-46,75+375-2800)
*0,9091 = 1008,89
год: ( (230*58) - (3500*0,9) - 5800,6-807,88-38,5+375)
*0,8264 = 3237,85
год: ( (260*58) - (3500*0,9) - 7012,2-913,56-30,25+375)
*0,7513 = 3267,39
год: ( (280*58) - (3500*0,9) - 7823,2-983,36-22+375) *0,6830
= 3166,69
год: ( (380*58) - (3500*0,9) - 11867,4-1334,52-13,75+375)
*0,6209 = 3756,03
год: ( (380*58) - (3500*0,9) - 11867,4-1334,52-5,5+375+325,6)
*0,5645 = 3603,31
Постоянные затраты = 18040,16
%:
Объем производства и продаж:
1 год: ( ( (230* (0,95)) *58) -
3500-5800,6-807,88-46,75+375-2800) *0,9091 = 84,33
год: ( ( (230* (0,95)) *58) - 3500-5800,6-807,88-38,5+375)
*0,8264 = 2397,40
год: ( ( (260* (0,95)) *58) - 3500-7012,2-913,56-30,25+375)
*0,7513 = 2437,96
год: ( ( (280* (0,95)) *58) - 3500-7823,2-983,36-22+375)
*0,6830 = 2373,04
год: ( ( (380* (0,95)) *58) - 3500-11867,4-1334,52-13,75+375)
*0,6209 = 2854,48
год: ( ( (380* (0,95)) *58) -
3500-11867,4-1334,52-5,5+375+325,6) *0,5645 = 2783,65
Объем производства и продаж = 12930,86
Цена за единицу:
год: ( (230* (58*0,95)) - 3500-5800,6-807,88-46,75+375-2800)
*0,9091 = 84,33
год: ( (230* (58*0,95)) - 3500-5800,6-807,88-38,5+375)
*0,8264 = 2397,40
год: ( (260* (58*0,95)) - 3500-7012,2-913,56-30,25+375)
*0,7513 = 2437,96
год: ( (280* (58*0,95)) - 3500-7823,2-983,36-22+375) *0,6830
= 2373,04
год: ( (380* (58*0,95)) - 3500-11867,4-1334,52-13,75+375)
*0,6209 = 2854,48
год: ( (380* (58*0,95)) - 3500-11867,4-1334,52-5,5+375+325,6)
*0,5645 = 2783,65
Цена за единицу = 12930,86
Инвестиции:
год: ( (230*58) - 3500-5800,6-807,88-46,75+375+ (-2800*0,95))
*0,9091 = 817,98
год: ( (230*58) - 3500-5800,6-807,88-38,5+375) *0,8264 =
2948,61
год: ( (260*58) - 3500-7012,2-913,56-30,25+375) *0,7513 =
3004,44
год: ( (280*58) - 3500-7823,2-983,36-22+375) *0,6830 =
2927,64
год: ( (380*58) - 3500-11867,4-1334,52-13,75+375) *0,6209 =
3538,71
год: ( (380*58) - 3500-11867,4-1334,52-5,5+375+ (325,6*0,95))
*0,5645 = 3396,54
Инвестиции = 16633,92
Переменные затраты:
год: ( (230*58) - 3500- (5800,6*0,95) -
807,88-46,75+375-2800) *0,9091 = 954,37
год: ( (230*58) - 3500- (5800,6*0,95) - 807,88-38,5+375)
*0,8264 = 3188,29
год: ( (260*58) - 3500- (7012,2*0,95) - 913,56-30,25+375)
*0,7513 = 3267,85
год: ( (280*58) - 3500- (7823,2*0,95) - 983,36-22+375)
*0,6830 = 3194,80
год: ( (380*58) - 3500- (11867,4*0,95) -
1334,52-5,5+375+325,6) *0,5645 = 3740,69
Переменные затраты = 18253,14
Постоянные затраты:
год: ( (230*58) - (3500*0,95) - 5800,6-807,88-46,75+375-2800)
*0,9091 = 849,80
год: ( (230*58) - (3500*0,95) - 5800,6-807,88-38,5+375)
*0,8264 = 3093,23
год: ( (260*58) - (3500*0,95) - 7012,2-913,56-30,25+375)
*0,7513 = 3135,92
год: ( (280*58) - (3500*0,95) - 7823,2-983,36-22+375) *0,6830
= 3047,16
год: ( (380*58) - (3500*0,95) - 11867,4-1334,52-13,75+375)
*0,6209 = 3647,37
год: ( (380*58) - (3500*0,95) -
11867,4-1334,52-5,5+375+325,6) *0,5645 = 3504,52
Постоянные затраты = 17278
+5%:
Объем производства и продаж:
год: ( ( (230* (1,05)) *58) -
3500-5800,6-807,88-46,75+375-2800) *0,9091 = 1297,07
год: ( ( (230* (1,05)) *58) - 3500-5800,6-807,88-38,5+375)
*0,8264 = 3599,82
год: ( ( (260* (1,05)) *58) - 3500-7012,2-913,56-30,25+375)
*0,7513 = 3582,24
год: ( ( (280* (1,05)) *58) - 3500-7823,2-983,36-22+375)
*0,6830 = 3482,24
год: ( ( (380* (1,05)) *58) - 3500-11867,4-1334,52-13,75+375)
*0,6209 = 4222,95
год: ( ( (380* (1,05)) *58) -
3500-11867,4-1334,52-5,5+375+325,6) *0,5645 = 4027,81
Объем производства и продаж = 20212,13
Цена за единицу:
год: ( (230* (58*1,05)) - 3500-5800,6-807,88-46,75+375-2800)
*0,9091 = 1297,07
год: ( (230* (58*1,05)) - 3500-5800,6-807,88-38,5+375)
*0,8264 = 3599,82
год: ( (260* (58*1,05)) - 3500-7012,2-913,56-30,25+375)
*0,7513 = 3582,24
год: ( (280* (58*1,05)) - 3500-7823,2-983,36-22+375) *0,6830
= 3482,24
год: ( (380* (58*1,05)) - 3500-11867,4-1334,52-13,75+375)
*0,6209 = 4222,95
год: ( (380* (58*1,05)) - 3500-11867,4-1334,52-5,5+375+325,6)
*0,5645 = 4027,81
Цена за единицу = 20212,13
Инвестиции:
год: ( (230*58) - 3500-5800,6-807,88-46,75+375+ (-2800*1,05))
*0,9091 = 563,43
год: ( (230*58) - 3500-5800,6-807,88-38,5+375) *0,8264 =
2948,61
год: ( (260*58) - 3500-7012,2-913,56-30,25+375) *0,7513 =
3004,44
год: ( (280*58) - 3500-7823,2-983,36-22+375) *0,6830 =
2927,64
год: ( (380*58) - 3500-11867,4-1334,52-13,75+375) *0,6209 =
3538,71
год: ( (380*58) - 3500-11867,4-1334,52-5,5+375+ (325,6*1,05))
*0,5645 = 3414,92
Инвестиции = 16397,75
Переменные затраты:
год: ( (230*58) - 3500- (5800,6*1,05) -
807,88-46,75+375-2800) *0,9091 = 427,04
год: ( (230*58) - 3500- (5800,6*1,05) - 807,88-38,5+375)
*0,8264 = 2708,93
год: ( (260*58) - 3500- (7012,2*1,05) - 913,56-30,25+375)
*0,7513 = 2741,03
год: ( (280*58) - 3500- (7823,2*1,05) - 983,36-22+375)
*0,6830 = 2660,48
год: ( (380*58) - 3500- (11867,4*1,05) - 1334,52-13,75+375)
*0,6209 = 3170,29
год: ( (380*58) - 3500- (11867,4*1,05) -
1334,52-5,5+375+325,6) *0,5645 = 3070,77
Переменные затраты = 14778,54
Постоянные затраты:
год: ( (230*58) - (3500*1,05) - 5800,6-807,88-46,75+375-2800)
*0,9091 = 531,61
год: ( (230*58) - (3500*1,05) - 5800,6-807,88-38,5+375)
*0,8264 = 2803,99
год: ( (260*58) - (3500*1,05) - 7012,2-913,56-30,25+375)
*0,7513 = 2872,96
год: ( (280*58) - (3500*1,05) - 7823,2-983,36-22+375) *0,6830
= 2808,11
год: ( (380*58) - (3500*1,05) - 11867,4-1334,52-13,75+375)
*0,6209 = 3430,06
год: ( (380*58) - (3500*1,05) -
11867,4-1334,52-5,5+375+325,6) *0,5645 = 3306,94
Постоянные затраты = 15753,67
+10%:
Объем производства и продаж:
год: ( ( (230* (1,1)) *58) -
3500-5800,6-807,88-46,75+375-2800) *0,9091 = 1903,44
год: ( ( (230* (1,1)) *58) - 3500-5800,6-807,88-38,5+375)
*0,8264 = 4051,03
год: ( ( (260* (1,1)) *58) - 3500-7012,2-913,56-30,25+375)
*0,7513 = 4137,40
год: ( ( (280* (1,1)) *58) - 3500-7823,2-983,36-22+375)
*0,6830 = 4036,83
год: ( ( (380* (1,1)) *58) - 3500-11867,4-1334,52-13,75+375)
*0,6209 =4907,18
год: ( ( (380* (1,1)) *58) -
3500-11867,4-1334,52-5,5+375+325,6) *0,5645 = 4649,88
Объем производства и продаж = 23685,76
Цена за единицу:
год: ( (230* (58*1,1)) - 3500-5800,6-807,88-46,75+375-2800)
*0,9091 = 1903,44
год: ( (230* (58*1,1)) - 3500-5800,6-807,88-38,5+375) *0,8264
= 4051,03
год: ( (260* (58*1,1)) - 3500-7012,2-913,56-30,25+375)
*0,7513 = 4137,40
год: ( (280* (58*1,1)) - 3500-7823,2-983,36-22+375) *0,6830 =
4036,83
год: ( (380* (58*1,1)) - 3500-11867,4-1334,52-13,75+375)
*0,6209 = 4907,18
год: ( (380* (58*1,1)) - 3500-11867,4-1334,52-5,5+375+325,6)
*0,5645 = 4649,88
Цена за единицу = 23685,76
Инвестиции:
год: ( (230*58) - 3500-5800,6-807,88-46,75+375+ (-2800*1,1))
*0,9091 = 436,16
год: ( (230*58) - 3500-5800,6-807,88-38,5+375) *0,8264 =
2948,61
год: ( (260*58) - 3500-7012,2-913,56-30,25+375) *0,7513 =
3004,44
год: ( (280*58) - 3500-7823,2-983,36-22+375) *0,6830 =
2927,64
год: ( (380*58) - 3500-11867,4-1334,52-13,75+375) *0,6209 =
3538,71
год: ( (380*58) - 3500-11867,4-1334,52-5,5+375+ (325,6*1,1))
*0,5645 = 3424,11
Инвестиции = 16279,67
Переменные затраты:
год: ( (230*58) - 3500- (5800,6*1,1) - 807,88-46,75+375-2800)
*0,9091 = 163,37
год: ( (230*58) - 3500- (5800,6*1,1) - 807,88-38,5+375)
*0,8264 = 2469,25
год: ( (260*58) - 3500- (7012,2*1,1) - 913,56-30,25+375)
*0,7513 = 2477,62
год: ( (280*58) - 3500- (7823,2*1,1) - 983,36-22+375) *0,6830
= 2393,31
год: ( (380*58) - 3500- (11867,4*1,1) - 1334,52-13,75+375)
*0,6209 = 2801,87
год: ( (380*58) - 3500- (11867,4*1,1) -
1334,52-5,5+375+325,6) *0,5645 = 2735,82
Переменные затраты = 13041,24
Постоянные затраты:
год: ( (230*58) - (3500*1,1) - 5800,6-807,88-46,75+375-2800)
*0,9091 = 372,52
год: ( (230*58) - (3500*1,1) - 5800,6-807,88-38,5+375)
*0,8264 = 2659,37
год: ( (260*58) - (3500*1,1) - 7012,2-913,56-30,25+375)
*0,7513 = 2741,49
год: ( (280*58) - (3500*1,1) - 7823,2-983,36-22+375) *0,6830
= 2688,60
год: ( (380*58) - (3500*1,1) - 11867,4-1334,52-13,75+375)
*0,6209 = 3321,40
год: ( (380*58) - (3500*1,1) - 11867,4-1334,52-5,5+375+325,6)
*0,5645 = 3208,15
Постоянные затраты = 14991,53
+20%:
Объем производства и продаж:
год: ( ( (230* (1,2)) *58) -
3500-5800,6-807,88-46,75+375-2800) *0,9091 = 3116,18
год: ( ( (230* (1,2)) *58) - 3500-5800,6-807,88-38,5+375)
*0,8264 = 5153,45
год: ( ( (260* (1,2)) *58) - 3500-7012,2-913,56-30,25+375)
*0,7513 = 5270,36
год: ( ( (280* (1,2)) *58) - 3500-7823,2-983,36-22+375)
*0,6830 = 5146,02
год: ( ( (380* (1,2)) *58) - 3500-11867,4-1334,52-13,75+375)
*0,6209 = 6275,64
год: ( ( (380* (1,2)) *58) -
3500-11867,4-1334,52-5,5+375+325,6) *0,5645 = 5894,05
Объем производства и продаж = 30855,7
Цена за единицу:
год: ( (230* (58*1,2)) - 3500-5800,6-807,88-46,75+375-2800)
*0,9091 = 3116,18
год: ( (230* (58*1,2)) - 3500-5800,6-807,88-38,5+375) *0,8264
= 5153,45
год: ( (260* (58*1,2)) - 3500-7012,2-913,56-30,25+375)
*0,7513 = 5270,36
год: ( (280* (58*1,2)) - 3500-7823,2-983,36-22+375) *0,6830 =
5146,02
год: ( (380* (58*1,2)) - 3500-11867,4-1334,52-13,75+375)
*0,6209 = 6275,64
год: ( (380* (58*1,2)) - 3500-11867,4-1334,52-5,5+375+325,6)
*0,5645 = 5894,05
Цена за единицу = 30855,7
Инвестиции:
год: ( (230*58) - 3500-5800,6-807,88-46,75+375+ (-2800*1,2))
*0,9091 = 181,61
год: ( (230*58) - 3500-5800,6-807,88-38,5+375) *0,8264 =
2948,61
год: ( (260*58) - 3500-7012,2-913,56-30,25+375) *0,7513 =
3004,44
год: ( (280*58) - 3500-7823,2-983,36-22+375) *0,6830 = 2927,64
год: ( (380*58) - 3500-11867,4-1334,52-13,75+375) *0,6209 =
3538,71
год: ( (380*58) - 3500-11867,4-1334,52-5,5+375+ (325,6*1,2))
*0,5645 = 3442,49
Инвестиции = 16043,5
Переменные затраты:
год: ( (230*58) - 3500- (5800,6*1,2) - 807,88-46,75+375-2800)
*0,9091 = - 363,95
год: ( (230*58) - 3500- (5800,6*1,2) - 807,88-38,5+375)
*0,8264 = 1989,89
год: ( (260*58) - 3500- (7012,2*1,2) - 913,56-30,25+375)
*0,7513 = 1950,79
год: ( (280*58) - 3500- (7823,2*1,2) - 983,36-22+375) *0,6830
= 1858,99
год: ( (380*58) - 3500- (11867,4*1,2) - 1334,52-13,75+375)
*0,6209 = 2065,02
год: ( (380*58) - 3500- (11867,4*1,2) -
1334,52-5,5+375+325,6) *0,5645 = 2065,91
Переменные затраты = 9566,65
Постоянные затраты:
год: ( (230*58) - (3500*1,2) - 5800,6-807,88-46,75+375-2800)
*0,9091 = 54,33
год: ( (230*58) - (3500*1,2) - 5800,6-807,88-38,5+375)
*0,8264 = 2370,13
год: ( (260*58) - (3500*1,2) - 7012,2-913,56-30,25+375)
*0,7513 = 2478,53
год: ( (280*58) - (3500*1,2) - 7823,2-983,36-22+375) *0,6830
= 2449,54
год: ( (380*58) - (3500*1,2) - 11867,4-1334,52-13,75+375)
*0,6209 = 3104,08
год: ( (380*58) - (3500*1,2) - 11867,4-1334,52-5,5+375+325,6)
*0,5645 = 3010,58
Постоянные затраты = 13467, 19
Заключение
Объектами инвестиционной деятельности являются, прежде всего,
вновь создаваемые и модернизируемые производственные и непроизводственные
основные фонды и оборотные средства во всех сферах национальной экономики.
Именно сюда направляется основная часть реальных капиталообразующих инвестиций.
Инвестиции в новейшие технологии позволяют также сохранить
конкурентные преимущества как отдельного хозяйствующего субъекта, так и
национальной экономики в целом.
Другими объектами инвестиционной деятельности для владельцев
средств являются ценные бумаги, целевые денежные вклады. Однако эти объекты
вложения средств являются соподчиненными по отношению к вложениям в создание
новых или модернизацию действующих основных фондов. В конечном итоге средства
от реализации ценных бумаг, целевых денежных вкладов служат источником финансового
обеспечения реальных (капиталообразующих) инвестиций.
Объектами инвестиционной деятельности являются также готовая
научно - техническая продукция и ее разработка, имущественные права и права
владения земельными участками, угодьями, права на промышленную,
интеллектуальную собственность, торговые марки и сертификаты и т.д. Инвестиции
в научно - технические разработки и научно - техническую продукцию тесно
связаны с инвестициями в создание новых и модернизацию действующих основных
фондов. Они отражают состояние и перспективы инновационной деятельности,
качественного обновления материальной, основы национальной экономики - основных
фондов.
Субъектами инвестиционной деятельности являются все участники
реализации инвестиционных проектов: инвесторы, заказчики, исполнители работ,
пользователи объектов инвестиционной деятельности, поставщики, банковские,
страховые и посреднические организации, инвестиционные биржи и др.
Инвесторы - субъекты инвестиционной деятельности,
осуществляющие вложение собственных, заемных и привлеченных средств в форме
инвестиций и обеспечивающие их целевое использование.
Инвесторы выступают, прежде всего, в роли прямых вкладчиков
финансовых средств и других капиталов и, соответственно этому, в роли
покупателей и пользователей продукции инвестирования (построенных заводов,
фабрик, транспортных сооружений, линий и объектов связи и т.д.). Инвесторы -
это и инвестиционные фонды и компании. Они вкладывают средства в акции вновь
создаваемых предприятий (производств) или существующих, которые осуществляют на
средства от продажи акций модернизацию или диверсификацию своего производства;
инвесторами являются физические и юридические лица, вкладывающие свои средства
в приобретение акций и других ценных бумаг предприятий и организаций, а также
выпускаемых государством, территориальными органами власти.
Большую группу субъектов инвестиционной деятельности
составляют так называемые институциональные инвесторы: страховые компании,
инвестиционные компании и фонды, негосударственные пенсионные фонды и др. Функциональное
назначение указанных организаций состоит в привлечении свободных средств у
населения, различных хозяйствующих субъектов и направлении их на цели
инвестирования.
Список
использованных источников
1. Гущин
В.В., Овчинников А.А. Инвестиционное право. М., 2009. С.624.
2. Доронина
Н.Г., Семилютина Н.Г. Регулирование инвестиций как форма защиты экономических
интересов государства // Журнал российского права. 2010
. Государственное
регулирование экономики: Курс лекций/ Под ред.Н. Антоновой. - М.: Инфра - М,
2012. - 364 с.
. Дива
А.И. Инвестиции: Учебное пособие для вузов/ А.И. Дива. - 2-е изд., перераб. и
доп. - М.: Издательство "Экзамен", 2009. - 538 с.
. Игошин
Н. В, Инвестиции. Организация управления и финансирование: учебник/ Н.В.
Игошин. - М.: Финансы и статистика, 2010. - 403 с.
. Шаблинский
И. Правовая поддержка иностранных инвестиций. М., 2012. С.128.
. 1.
Информационный портал об инвестициях #"825378.files/image037.gif">
|
k
|
E
|
|
1%
|
2%
|
3%
|
4%
|
5%
|
6%
|
7%
|
8%
|
9%
|
10%
|
12%
|
15%
|
20%
|
24%
|
28%
|
|
1
|
0,9901
|
0,9804
|
0,9709
|
0,9615
|
0,9524
|
0,9434
|
0,9346
|
0,9259
|
0,9174
|
0,9091
|
0,8929
|
0,8696
|
0,8333
|
0,8065
|
0,7813
|
|
2
|
1,9704
|
1,9416
|
1,9135
|
1,8861
|
1,8594
|
1,8334
|
1,8080
|
1,7833
|
0,8417
|
0,8264
|
0,7972
|
0,7461
|
0,6944
|
0,6504
|
0,6104
|
|
3
|
2,9410
|
2,8893
|
2,8286
|
2,7751
|
2,7232
|
2,6730
|
2,6243
|
2,5771
|
0,7722
|
0,7513
|
0,7118
|
0,6575
|
0,5787
|
0,5245
|
0,4768
|
|
4
|
3,9020
|
3,8077
|
3,7171
|
3,6299
|
3,5460
|
3,4651
|
3,3872
|
3,3121
|
0,7084
|
0,6830
|
0,6355
|
0,5718
|
0,4823
|
0,4230
|
0,3725
|
|
5
|
4,8534
|
4,7135
|
4,5797
|
4,4518
|
4,3295
|
4,2124
|
4,1002
|
3,9927
|
0,6499
|
0,6209
|
0,5674
|
0,4972
|
0,4019
|
0,3411
|
0,2910
|
|
6
|
5,7955
|
5,6014
|
5,4172
|
5,2421
|
5,0757
|
4,9173
|
4,7665
|
4,6229
|
0,5963
|
0,5645
|
0,5066
|
0,4323
|
0,3349
|
0,2751
|
0,2274
|
|
7
|
6,7282
|
6,4720
|
6,2303
|
6,0021
|
5,7864
|
5,5824
|
5,3893
|
5, 2064
|
0,5470
|
0,5132
|
0,4523
|
0,3759
|
0,2791
|
0,2218
|
0,1776
|
|
8
|
7,6517
|
7,3255
|
7,0197
|
6,7327
|
6,4632
|
6, 2098
|
5,9713
|
5,7466
|
0,5019
|
0,4665
|
0,4039
|
0,3269
|
0,2326
|
0,1789
|
0,1388
|
|
9
|
8,5660
|
8,1622
|
7,7861
|
7,4353
|
7,1078
|
6,8017
|
6,5152
|
6,2469
|
0,4604
|
0,4241
|
0,3606
|
0,2843
|
0, 1938
|
0,1443
|
0,1084
|
|
10
|
9,4713
|
8,9826
|
8,5302
|
8,1109
|
7,7217
|
7,3601
|
7,0236
|
6,7101
|
0,4224
|
0,3855
|
0,3220
|
0,2472
|
0,1615
|
0,1164
|
0,0847
|
|
11
|
10,3676
|
9,7868
|
9,2526
|
8,7605
|
8,3064
|
7,8869
|
7,4987
|
7,1390
|
0,3875
|
0,3505
|
0,2875
|
0,2149
|
0,1346
|
0,0938
|
0,0662
|
|
12
|
11,2551
|
10,5753
|
9,9540
|
9,3851
|
8,8633
|
8,3838
|
7,9427
|
7,5361
|
0,3186
|
0,2567
|
0,1869
|
0,1122
|
0,0757
|
0,0517
|
|
13
|
12,1337
|
11,3484
|
10,6350
|
9,9856
|
9,3936
|
8,8527
|
8,3577
|
7,9038
|
0,3262
|
0,2897
|
0,2292
|
0,1625
|
0,0935
|
0,0610
|
0,0404
|
|
14
|
13,0037
|
12,1062
|
11,2961
|
10,5631
|
9,8986
|
9,2950
|
8,7455
|
8,2442
|
0,2992
|
0,2633
|
0, 2046
|
0,1413
|
0,0779
|
0,0492
|
0,0316
|
|
15
|
13,8651
|
12,8493
|
11,9379
|
11,1184
|
10,3797
|
9,7122
|
9,1079
|
8,5595
|
0,2745
|
0,2394
|
0,1827
|
0,1229
|
0,0649
|
0,0397
|
0,0247
|
|
16
|
14,7179
|
13,5777
|
12,5611
|
11,6523
|
10,8378
|
10,1059
|
9,4466
|
8,8514
|
0,2519
|
0,2176
|
0,1631
|
0,1069
|
0,0541
|
0,0320
|
0,0193
|
|
17
|
15,5623
|
14,2919
|
13,1661
|
12,1657
|
11,2741
|
10,4773
|
9,7632
|
9,1216
|
0,2311
|
0, 1978
|
0,1456
|
0,0929
|
0,0451
|
0,0258
|
0,0150
|
|
18
|
16,3983
|
14,9920
|
13,7535
|
12,6593
|
11,6896
|
10,8276
|
10,0591
|
9,3719
|
0,2120
|
0,1799
|
0,1300
|
0,0808
|
0,0376
|
0,0208
|
0,0118
|
|
19
|
17,2260
|
15,6785
|
14,3238
|
13,1339
|
12,0853
|
11,1581
|
10,3356
|
9,6036
|
0, 1945
|
0,1635
|
0,1161
|
0,0703
|
0,0313
|
0,0168
|
0,0092
|
|
20
|
18,0456
|
16,3514
|
14,8775
|
13,5903
|
12,4699
|
11,4699
|
10,5940
|
9,8181
|
0,1784
|
0,1486
|
0,1037
|
0,0611
|
0,0261
|
0,0135
|
0,0072
|
|
21
|
18,8570
|
17,0112
|
15,4150
|
14,0292
|
12,8212
|
11,7641
|
10,8355
|
10,0168
|
0,1637
|
0,1351
|
0,0926
|
0,0531
|
0,0217
|
0,0109
|
0,0056
|
|
22
|
19,6604
|
17,6580
|
15,9369
|
14,4511
|
13,1630
|
12,0416
|
11,0612
|
10, 2007
|
0,1502
|
0,1228
|
0,0826
|
0,0462
|
0,0181
|
0,0088
|
0,0044
|
|
23
|
20,4558
|
18,2922
|
16,4436
|
14,8568
|
13,4886
|
12,3034
|
11,2722
|
10,3711
|
0,1378
|
0,1117
|
0,0738
|
0,0402
|
0,0151
|
0,0071
|
0,0034
|
|
24
|
21,2434
|
18,9139
|
16,9355
|
15,2470
|
13,7986
|
12,5504
|
11,4693
|
10,5288
|
0,1264
|
0,1015
|
0,0659
|
0,0349
|
0,0126
|
0,0057
|
0,0027
|
|
25
|
22,0232
|
19,5235
|
17,4131
|
15,6221
|
14,0939
|
12,7834
|
11,6536
|
10,6748
|
0,1160
|
0,0923
|
0,0588
|
0,0304
|
0,0105
|
0,0046
|
0,0021
|
|
26
|
22,7952
|
20,1210
|
17,8768
|
15,9828
|
14,3752
|
13,0032
|
11,8258
|
10,8100
|
0,1064
|
0,0839
|
0,0525
|
0,0264
|
0,0087
|
0,0037
|
0,0016
|
|
27
|
23,5596
|
20,7069
|
18,3270
|
16,3296
|
14,6430
|
13,2105
|
11,9867
|
10,9352
|
0,0976
|
0,0763
|
0,0469
|
0,0230
|
0,0073
|
0,0030
|
0,0013
|
|
28
|
24,3164
|
21,2813
|
18,7641
|
16,6631
|
14,8981
|
13,4062
|
12,1371
|
11,0511
|
0,0895
|
0,0693
|
0,0419
|
0,0200
|
0,0061
|
0,0024
|
0,0010
|
|
29
|
25,0658
|
21,8444
|
19,1885
|
16,9837
|
15,1411
|
13,5907
|
12,2777
|
11,1584
|
0,0822
|
0,0630
|
0,0374
|
0,0174
|
0,0051
|
0,0020
|
0,0008
|
|
30
|
25,8077
|
22,3965
|
19,6004
|
17,2920
|
15,3725
|
13,7648
|
12,4090
|
11,2578
|
0,0754
|
0,0573
|
0,0334
|
0,0151
|
0,0042
|
0,0016
|
0,0006
|