Лизинг: общая характеристика

  • Вид работы:
    Курсовая работа (т)
  • Предмет:
    Эктеория
  • Язык:
    Русский
    ,
    Формат файла:
    MS Word
    444,68 Кб
  • Опубликовано:
    2015-01-23
Вы можете узнать стоимость помощи в написании студенческой работы.
Помощь в написании работы, которую точно примут!

Лизинг: общая характеристика

Введение

Для успешного развития и укрупнения производственных мощностей в процессе предпринимательской деятельности необходимы свободные денежные средства. Но предприятие не всегда обладает такими средствами, и ему приходится брать кредит в банке. Однако бывают случаи, когда по каким-либо причинам предприятие не может взять кредит. Так, например, многие банки не дают кредит без поручительства или залога. Взять в аренду необходимое оборудование или производственные площади? Но оборудование, которое сдается, в большинстве случаев морально и технологически устарело, а для того, чтобы продукция имела конкурентоспособную цену и качество, в настоящее время необходимо использовать в процессе производства новое высокотехнологическое оборудование. Поэтому на определенном этапе развития рыночных отношений взаимоотношения кредитора и заемщика закономерно вступают в противоречие, которое выражается в высокой степени риска долгосрочного кредитования для кредитора и чрезмерной стоимости заемного капитала для заемщика, что фактически приводит к сужению рынка долгосрочного кредитования.

Возникновение лизинговых схем, представляющих собой во многих случаях некоторый вариант опосредования и защиты кредитной сделки, является закономерным этапом развития форм заимствования долгосрочных инвестиционных ресурсов производственно-хозяйственными субъектами.

В современной мировой практике лизинг имеет не только достаточно прочные позиции, но и репутацию довольно прибыльного дела. Для средних и малых компаний в ведущих западных странах он является одним из основных источников привлечения финансовых ресурсов в инновации.

Такие общие тенденции экономического развития, как сокращение объема ликвидных средств из-за постоянно возникающих на денежных рынках трудностей, обострение конкуренции, требующее оптимизации инвестиций, уменьшение прибыли предприятий, ограничивающее их возможности выделения достаточных средств для желательного расширения производства делают лизинг все более актуальным.

Развитие лизинга способствует решению таких задач, как структурная перестройка, обновление основных производственных фондов, повышение конкурентоспособности продукции и эффективности инвестиций на базе внедрения научно-технических достижений.

Лизинг имеет и другие преимущества для предприятий и экономики в целом, а также свои специфические особенности, которые будут освещены в данной курсовой работе.

Необходимо отметить, что основными задачами данной курсовой работы являются:

˗   освещение сущности экономической категории "лизинг"

˗        рассмотрение видов лизинга

˗        раскрыть преимущества и недостатки лизинга;

˗        рассмотрение метода расчёта лизинговых платежей


1. Экономическое значение лизинга и лизинговых отношений

.1 Сущность и значение лизинга

лизинговый платеж международный кредитный

Слово "лизинг" (от англ. lease - сдавать в наем) вошло в употребление в последней четверти XIX в.

С экономической точки зрения лизинг представляет собой сложную торгово-финансово-кредитную операцию, форму аренды машин и оборудования, способ финансирования инвестиций и активизации сбыта, основанным на сохранении права собственности на товары за арендодателем на весь срок договора. Лизинговые операции заключаются в предоставлении на условиях аренды на средне- и долгосрочный период средств производства предприятиям-пользователям.

Но отождествление лизинга с арендой не является правомерным, так как сущность лизинга - более комплексное и сложное понятие, чем аренда.

Основное отличие лизинга от аренды заключается в том, что для сдачи имущества в пользование лизингодатель приобретает его по просьбе лизингополучателя и становится его собственником. При этом, в зависимости от экономических условий, число участников сделки может расширяться или сокращаться.

В классической лизинговой сделке взаимоотношения между субъектами лизинга строятся по следующей схеме. Будущий лизингополучатель самостоятельно или с помощью лизингодателя подбирает располагающего необходимым имуществом поставщика. В силу отсутствия собственных средств он обращается к будущему лизингодателю, имеющему необходимые средства, с просьбой об его участии в сделке. Это участие лизингодателя выражается в покупке им имущества у поставщика в собственность и последующей его передаче лизингополучателю во временное пользование на оговоренных в лизинговом соглашении условиях [1].

Исходя из сущности данной операции, некоторые авторы трактуют лизинг как товарный или коммерческий кредит, как инвестиции в основные фонды. Это происходит из-за двойственной природы лизинга.

Двойственность проявляется в том, что, с одной стороны, исходя из экономической сути, лизинг представляет собой вложения средств на возвратной основе в основной капитал. Предоставляя на определенный период элементы основного капитала, собственник в установленное время получает их обратно, т.е. очевидно существование принципов срочности и возвратности. Следовательно, по своему содержанию лизинг соответствует кредитным отношениям и сохраняет сущность кредитной сделки.

С другой стороны, поскольку ссудодатель и заемщик оперирует с капиталом не в денежной, а в производительной форме, лизинг внешне схож с инвестициями. Но отличительной особенностью лизинга в данном случае будет являться отделение права пользования имуществом от права владения им. Лизингодатель сохраняет за собой право владения на передаваемое в лизинг имущество, тогда как право его использования переходит к лизингополучателю.

В лизинговых операциях обычно участвуют три стороны :

˗     производитель (поставщик) оборудования, который продает его будущему собственнику - лизингодателю. (Поставщик имущества, как правило, является юридическим лицом.)

˗        лизингодатель, который приобретает оборудование у поставщика, становясь собственником имущества, и передает это оборудование лизингополучателю в аренду за определенную плату на условиях лизингового договора.

В роли лизингодателя могут выступать специализированные лизинговые компании, банки, предприятия, имеющие значительные средства для проведения капиталоемких лизинговых операций.

˗     лизингополучатель, который получает оборудование в пользование от лизингодателя на определенный период времени. Лизингополучателем, как правило, выступают юридические лица. По окончании срока договора в зависимости от его условий имущество возвращается лизингодателю или переходит в собственность лизингополучателя.

Но, как правило, лизингодатель не обладает значительными финансовыми активами, в связи с чем к участию в лизинговой операции привлекается банк - он предоставляет лизингодателю кредит для приобретения объекта лизинга. В свою очередь, в качестве одного из способов обеспечения исполнения обязательств перед банком лизингодатель передает в залог права на получение лизинговых платежей.

Также в лизинговой сделке может быть задействована и страховая компания в целях страхования объекта лизинга, передаваемого лизингополучателю [2].

Таким образом, можно сделать вывод о том, что существуют и косвенные участники лизинговых отношений, к которым и относятся банки, страховые компании и др.

Если говорить об объекте лизинга, то им могут быть любые непотребляемые вещи, используемые в предпринимательской деятельности (движимое, недвижимое имущество, рабочие инструменты и программные средства, используемые для функционирования основных фондов). Не может быть объектом лизинга имущество, запрещенное к свободному обращению на рынке, а также лизинг земельных участков и других природных объектов.

Объект лизинга сдается лизингодателю за определенную лизинговую плату, которая включает амортизацию объекта, плату за ресурсы, привлекаемые лизингодателем для заключения сделки, лизинговую маржу, включающую доход лизингодателя за оказываемые услуги, и рисковую премию, величина которой зависит от уровня рисков, которые несет лизингодатель.

Наименование объекта лизинга, размер лизинговых платежей и другие необходимые составляющие лизингового отношения указываются в договоре лизинга который определен законодательством Республики Беларусь как двухсторонняя сделка, хотя упоминается и третий участник отношений - продавец.

1.2 Виды лизинга и лизинговых отношений

Законодательство и правоприменительная практика выделяют несколько видов лизинга. Так, в зависимости от объема прав и обязанностей сторон выделяют:

˗     финансовый лизинг, который характерен тем, что срок пользования имуществом приближается к сроку его службы (сроку его полной амортизации). При данном виде лизинга лизинговые платежи в течение договора лизинга, заключенного на срок не менее одного года, возмещают лизингодателю стоимость объекта лизинга не менее 75 процентов его первоначальной стоимости.

˗        оперативный лизинг, отличающийся от финансового прежде всего тем, что имущество передается в пользование на срок, существенно отличающийся от срока его службы. В целях возмещения стоимости такого имущества оно может передаваться в лизинг многократно. При данном виде лизинга лизинговый платеж в течение действия договора возмещает лизингодателю стоимость объекта лизинга в размере менее 75 процентов его первоначальной стоимости. По истечении договора лизинга лизингополучатель возвращает лизингодателю объект лизинга.

В зависимости от субъектного состава выделяют:

˗     международный лизинг, при котором хотя бы одна из сторон договора лизинга является нерезидентом;

˗        внутренний лизинг, при котором все стороны договора лизинга являются резидентами.

˗     По отношению к арендуемому имуществу лизинг делится на:

˗     чистый - когда все расходы по обслуживанию объекта лизинга принимает на себя лизингополучатель. Он несет расходы, связанные с эксплуатацией соответствующего имущества, и переводит лизингодателю чистые нетто-платежи;

˗        полный - если лизингодатель принимает на себя все расходы, связанные с переданным в пользование имуществом. Как разновидность полного лизинга выделяют "мокрый лизинг", при котором лизингодатель помимо технического обслуживания оборудования поставляет также сырье, оказывает услуги по подготовке специалистов для работы на соответствующем оборудовании;

˗        частичный - в случае, когда на лизингодателя возлагаются лишь отдельные функции по обслуживанию имущества.

˗     По характеру лизинговых платежей выделяют:

˗     денежный лизинг - когда лизинговые платежи осуществляются денежными средствами;

˗        компенсационный лизинг - когда в качестве встречного предоставления передается имущество, услуги, работы;

˗        смешанный лизинг - когда лизинговые платежи осуществляются частично денежными средствами, а частично компенсируются в натуральной форме [3].

Кроме законодательно закрепленных существует большое количество других видов лизинга. Так, при возобновляемом лизинге происходит периодическая замена ранее сданного в лизинг оборудования (машин, механизмов) однородными, но более совершенными образцами.

Револьверный лизинг (разновидность возобновляемого) позволяет лизингодателю по истечении определенного срока обменять используемое оборудование на другое, необходимое пользователю.

Возвратный лизинг означает, что поставщик (собственник) имущества продает его лизингодателю и одновременно заключает с ним договор лизинга на то же имущество, но уже в качестве пользователя. При этом происходит повышение ликвидности.

При прямом лизинге собственник имущества (поставщик, изготовитель) самостоятельно, без посредников сдает объект в лизинг (двухсторонняя сделка).

При косвенном лизинге передача имущества происходит через посредника (поставщик-лизингодатель-лизингополучатель).

При групповом лизинге, когда в лизинг сдаются крупномасштабные объекты, в роли лизингодателя могут выступить несколько компаний, в том числе фирмы-изготовители совместно с лизинговой компанией или банком.

В экономической литературе выделяют множество иных видов лизинга. Однако классификация лизинга на столь разнообразные виды не закреплена законодательно.

2. Управление лизинговой деятельностью

.1 Преимущества и недостатки лизинга

Лизинг имеет ряд преимуществ по сравнению с другими формами финансирования. Вот перечень тех видимых преимуществ , которые могут получить субъекты лизинговых отношений

Преимущества лизинга для арендаторов [4] :

лизинг предполагает 100-процентное финансирование и не требует быстрого возврата всей суммы долга;

аренда обеспечивает финансирование арендатора в точном соответствии с потребностями в финансируемых активах. Это особенно выгодно мелким заемщикам, для которых просто невозможно столь удобное и гибкое финансирование посредством ссуды или возобновляемого кредита, какое получают более солидные компании. Лизинговое соглашение может быть разработано с учетом специфических особенностей арендаторов;

многие арендаторы имеют долгосрочные финансовые планы в течение реализации которых их финансовые возможности в значительной степени ограничены. Лизинг позволяет преодолеть такие ограничения и тем самым способствует большей мобильности при инвестиционном и финансовом планировании;

при лизинге вопросы приобретения и финансирования активов решается одновременно;

приобретение активов посредством лизинга выполняет «золотое правило финансирования», согласно которому финансирование должно осуществляться в течение всего срока использования актива. Если при покупке актива используется заемный капитал, то обычно требуется более быстрое погашение ссуды, чем срок эксплуатации актива;

лизинг повышает гибкость арендатора в принятии решений. В то время, как при покупке существует только альтернатива «не покупать», при лизинге арендатор имеет более широкий выбор. Из лизинговых контрактов с различными условиями арендатор может выбрать тот, который наиболее точно отвечает его потребностям и возможностям;

в виду того, что лизинговые платежи осуществляются по фиксированному графику, арендатор имеет больше возможности координировать затраты на финансирование капитальных вложений и поступления от реализации продукции, обеспечивая тем самым большую стабильность финансовых планов, чем это имеет место при покупке оборудования;

в виду того, что частью обеспечения возвратности инвестированных средств считается предмет лизинга, являющийся собственностью лизингодателя, проще получить контракт по лизингу, чем альтернативную ему ссуду на приобретение тех же активов;

при использовании лизинга, арендатор может использовать больше производственных мощностей, чем при покупке того же актива. Временно высвобожденные финансовые ресурсы арендатор может использовать на другие цели;

так как лизинг долгое время служит средством реализации продукции производства, то государственная политика, как правило, направлена на поощрение и расширение лизинговых операций;

в случае низкой доходности арендатора последний может воспользоваться возвратным лизингом, дающим возможность получения льготного налогообложения прибыли;

лизинг позволяет арендатору, не имеющему значительных финансовых ресурсов, начать крупный проект;

возможность получения высокой ликвидационной стоимости предмета лизинга в конце контракта является во многих случаях определяющим для принятия лизинга арендаторами.

Помимо перечисленного, арендатор имеет ряд преимуществ в учете арендуемого имущества. Среди них:

лизинговые платежи, уплачиваемые арендатором, учитываются у него в себестоимости, то есть средства на их уплату формируются до образования облагаемой налогом прибыли;

лизинг не увеличивает долг в балансе арендатора и не затрагивает соотношений собственных и заемных средств, то есть возможности лизингополучателя по получению дополнительных займов не снижается;

учет и амортизация лизингового имущества производится на балансе лизингодателя. Срок лизинга, как правило, соответствует периоду амортизации предмета лизинга, но срок лизингового контракта обычно бывает меньше. Чем больше срок лизинга и соответственно, ниже остаточная стоимость имущества, тем свободнее условия эксплуатации имущества и дальнейшего его использования.

Преимущества лизинга для лизинговых компаний:

право собственности на передаваемое в лизинг имущество дает существенные налоговые льготы. Компании с высоким уровнем облагаемой налогом прибыли не забирают часть налоговых льгот у арендаторов с льготным режимом налогообложения прибыли через более низкую ставку арендной платы, чем проценты по кредиту на приобретение того же имущества;

поскольку передаваемое в лизинг имущество остается в собственности лизингодателя, последний может использовать это имущество в непроизводственных целях (например, в качестве дополнительного обеспечения возвратности кредитных средств);

высокая ликвидационная стоимость после ускоренной амортизации предмета лизинга. Возврат ее части после реализации предмета лизинга может принести достаточно большую прибыль;

помощь в продаже продавцу предмета лизинга со стороны лизингодателя. В соответствии с такими соглашениями продавец от лица лизингодателя предлагает клиентам финансирование поставок своей продукции с помощью лизинга;

инвестиции в форме имущества, в отличие от денежного кредита, снижают риск не возврата средств, так как лизингодатель сохраняет право собственности на переданное в лизинг имущество;

основная роль при подготовке и проведении лизинговой операции остается за лизингодателем. Стоимость этих услуг занимает не малую долю комиссионного вознаграждения лизингодателя;

лизингодатель имеет возможность изыскивать дополнительные финансовые ресурсы для продолжения и расширения деятельности, закладывая сданное в лизинг имущество или уступая право требования лизинговых платежей;

лизинг направляет финансовые ресурсы непосредственно на приобретение материальных активов, тем самым, снимая проблему не целевого использования кредитных средств;

инвестиции в производственное оборудование посредством лизинга гарантирует генерирование дохода, покрывающего обязательства по лизингу.

Преимущества лизинга для продавца лизингового имущества:

продавец предмета лизинга получает дополнительные возможности сбыта своей продукции;

сделка для продавца выглядит менее рисковой, так как лизингодатель берет на себя риск возврата стоимости имущества через лизинговые платежи.

Для банков участвующих в лизинговых операциях возможны следующие преимущества [5]:

первое, на что указывают банки, - это значительные налоговые преимущества, которые позволяют значительно снизить стоимость сделки. Именно этот фактор способствовал развитию лизинга в западных странах. Более низкая стоимость сделки дает возможность повысить вероятность осуществления проектов и снижает бремя долгов для заемщиков, и, как результат, повышает качество предоставляемых займов;

второе преимущество, действующие на территории России в настоящее время, заключается в том, что законодательные акты недостаточно проработаны для того, чтобы принятая процедура по обращению взыскания на обеспечение не превращалась в затруднительный процесс, занимающий подчас долгое время и в итоге не приносящий ощущения полной уверенности в положительном результате. Лизинг, отчасти, может устранить указанную проблему, поскольку кредитор сохраняет за собой право собственности на обеспечение. Возможность усиления права банка по обращению взыскания на обеспечение должно привести к качественному улучшению кредита и сделать жизнеспособными большее число инвестиционных проектов;

передача в лизинг оборудования, произведенного за рубежом, позволит привлечь более дешевые денежные средства от иностранных финансовых учреждений или денежные фонды государств, заинтересованных в экспорте продукции своей промышленности в Россию;

лизинг - относительно новый вид финансирования для нашей страны, способствующий организациям (клиентам банка) осуществлять реорганизацию производства, не отвлекая при этом больших денежных ресурсов из оборотных средств;

возможность банка достичь более высокой степени ликвидности кредитного портфеля.

Вместе с перечисленными выше преимуществами, лизинг имеет значительные недостатки, проявляющиеся в финансово-кредитной сфере и нерешенных бухгалтерских проблемах. От долгосрочного кредита лизинг отличается повышенной сложностью организации, которая заключается в большем количестве участников.

Для арендатора лизинг может нести в себе ряд недостатков, таких как:

при финансовом лизинге арендные платежи не прекращаются до конца контракта, даже если научно-технический прогресс делает лизинговое имущество устаревшим;

арендатор не выигрывает на повышении остаточной стоимости оборудования;

возвратный международный лизинг, построенный на налоговой основе, оборачивается убытками для страны лизингодателя;

при международных мультивалютных лизинговых сделках отсутствуют полные гарантии от валютных рисков (проблема переносится с одного участника на другого).

2.2 Методы расчёта лизинговых платежей

Исполнять расчеты лизинговых платежей надлежит в соответствующем порядке [6]:

) Делается расчет размеров лизинговых платежей по годам, если договор лизинга сроком более одного года. Если срок договора меньше одного года (при оперативном лизинге) размеры лизинговых платежей определяются по месяцам;

) Считается совокупный размер лизинговых платежей за целый срок договора лизинга, как сумма платежей по годам;

) Считаются размеры лизинговых платежей в соответствии с избранной сторонами периодичностью взносов, а также согласованными ими методами начисления и способом оплаты.

Расчет общей суммы лизинговых платежей исполняется по формуле:

ЛП = АО + ПК + КВ + ДУ + НДС,

где: ЛП - общая сумма лизинговых платежей;

АО - размер амортизационных отчислений, причитающихся лизингодателю в текущем году;

ПК - платеж за применяемые кредитные ресурсы лизингодателем на приобретение имущества - объекта договора лизинга;

КВ - комиссионное вознаграждение лизингодателю за предоставление имущества по договору лизинга;

ДУ - уплата лизингодателю за добавочные услуги лизингополучателю, предусмотренные договором лизинга;

НДС - налог на добавленную стоимость, оплачиваемый лизингополучателем по услугам лизингодателя.

Амортизационные отчисления АО считаются по формуле:

АО = AN Ч Ia ¸ 100

где: AN - балансовая цена имущества - предмета договора лизинга, млн. руб.- норма амортизационных отчислений, процентов.

Балансовая стоимость имущества определяется в порядке, предусмотренном правилами бухгалтерского учета. Норма амортизационных отчислений принимается в соответствии с «Едиными нормами амортизационных отчислений». По взаимному соглашению стороны договора лизинга вправе употреблять механизм ускоренной амортизации с коэффициентом не выше 2.

В общую сумму лизинговых платежей налога на добавленную стоимость не включается, если лизингополучатель является малым предприятием.

Расчет платы за используемые кредитные ресурсы.

Оплата за используемые лизингодателем кредитные ресурсы на приобретение имущества - рассчитывается по формуле: ПК = KP Ч CTk 100,

где: ПК - оплата за используемые кредитные ресурсы, млн. руб.

СТк - ставка за кредит, процентов годовых.

Плата за используемые кредитные ресурсы, в каждом расчетном году, соотносятся со среднегодовой суммой непогашенного кредита в этом году или среднегодовой остаточной стоимостью имущества - предмета договора:

KP = Q Ч (OCн + OCк)

где: KP - кредитные ресурсы. Используемые на приобретение имущества, оплата за которые осуществляется в расчетном году, млн. руб.Сн и OСк - расчетная остаточная стоимость имущества на начало и конец года, млн.руб.- коэффициент, учитывающий долю заемных средств в общей стоимости приобретаемого имущества.

Если для приобретения имущества используются только заемные средства, коэффициент Q=1.

Расчет комиссионного вознаграждения лизингодателю.

Комиссионное вознаграждение может устанавливаться по соглашению сторон в процентах:

а) от балансовой стоимости имущества - предмета договора;

б) от среднегодовой остаточной стоимости имущества.

Согласно этому, расчет комиссионного вознаграждения производится по формуле:

КВ = p Ч БС,

где: р - ставка комиссионного вознаграждения, процентов годовых от балансовой стоимости имущества;

БС - то же что и в формуле 2 или

КВ=(OCн + OCк) ¸ 2 Ч CTв ¸ 100,

где: ОСн и ОСк - где СТв - ставка комиссионного вознаграждения, устанавливаемая в процентах от среднегодовой остаточной стоимости имущества. Расчет оплаты за дополнительные услуги лизингодателя

Оплата за дополнительные услуги в расчетном году рассчитывается по формуле:

ДУt = (P + P +…+Pn) ¸ T,

где: ДУt - оплата за дополнительные услуги в расчетном году, млн.руб., Р…Рn - расход лизингодателя на каждую предусмотренную договором услугу, млн.руб.

Т - срок договора, лет.

Расчет размера налога на добавленную стоимость, оплачиваемого лизингодателем по услугам лизинга.

Оплата за дополнительные услуги в расчетном году рассчитывается по формуле:

ДУt= ДУt = (P + P +…+ Pn) ¸ T

Размер налога на добавленную стоимость определяется по формуле:

НДСt = (Bt Ч CTn) ¸ 100

где: НДСt - величина налога, подлежащего уплате в расчетном году, млн. руб.

Вt - выручка от сделки по договору лизинга в расчетном году, млн. руб.

СТn - ставка налога на добавленную стоимость, процентов.

В сумму выручки включаются: сумма вознаграждения лизингодателю (КВ), оплата за использованные кредитные ресурсы, оплата за дополнительные услуги лизингодателя и амортизационные отчисления:

Вt = AОt + ПКt + КВt + Дуt

Состав слагаемых при установлении выручки, определяется законодательством о налоге на добавленную стоимость и определению налогооблагаемой базы.

Расчет размеров лизинговых взносов при их оплате равными долями с оговоренной в договоре периодичностью.

Расчет размера ежегодного лизингового взноса, если договором предусмотрена ежегодная выплата, осуществляется по формуле:

ЛВг =ЛП ¸ Т,

где: ЛВг - размер ежегодного взноса, млн. руб.,

ЛП - общая сумма лизинговых платежей, млн. руб.,

Т - срок договора лизинга, лет.

Расчет размера ежеквартального лизингового взноса, если договором лизинга предусмотрена ежеквартальная выплата, осуществляется по формуле

ЛВк = ЛП ¸ Т ¸ 4,

где: ЛВк - размер ежеквартального лизингового взноса, млн. руб.,

ЛП - общая сумма лизинговых платежей, млн. руб.,

Т - срок договора лизинга, лет.

Расчет размера ежемесячного лизингового взноса, если договором предусмотрена ежемесячная выплата, осуществляется по формуле:

ЛВм =ЛП ¸ Т ¸ 12

где: ЛВм - размер ежемесячного лизингового взноса, млн. руб.,

ЛП - общая сумма лизинговых платежей, млн. руб.,

Т - срок договора лизинга, лет.

3. Расчетная часть

.1 Трудовые ресурсы организации

Основными показателями эффективности использования трудовых ресурсов являются следующие показатели:

1.      Среднегодовая выработка в стоимостном выражении, которая рассчитывается по формуле:

;


где ВП - объём выпущенной продукции в стоимостном выражении, млн. руб.;

Чппп - численность промышленно - производственного персонала, чел.

.        Среднедневная выработка, которая определяется по формуле:


где - число рабочих дней, дни.

.        Среднечасовая выработка, рассчитываемая по формуле:


где ВП - объём выпущенной продукции в стоимостном выражении, тыс. руб.;

 - продолжительность рабочей смены, часы.

Полученные данные сводим в таблицу 3.1.

Таблица 3.1 - Показатели использования производительности труда

Показатели


Среднегодовая выработка,

Среднегодовая выработка, шт./чел

Среднедневная выработка,

Среднедневная выработка, шт./чел.-дн.

Среднечасовая выработка,

Среднечасовая выработка, шт./чел.-час.


3.2 Основные фонды предприятия

Понятие и состав основных фондов

При начислении амортизации, расчете показателей эффективности использования основных фондов, расчете показателей движения основных фондов используется среднегодовая стоимость основных фондов.

Для расчёта среднегодовой стоимости основных фондов необходимо заполнить таблицу 3.2.

Таблица 3.2 - среднегодовая стоимость основных фондов в миллионах рублей

Стоимость основных фондов на начало периода

Стоимость вводимых основных фондов

Стоимость выбывших основных фондов

Стоимость основных фондов на конец периода

Средне годовая стоимость основных фондов

710

58

21

747



1.      Среднегодовую стоимость основных фондов рассчитать по формуле:


где - стоимость основных фондов на начало года, млн. руб.;

- стоимость вводимых основных фондов, млн. руб.;

- стоимость выбывших основных фондов, млн. руб.;

-число полных месяцев до конца года с момента ввода основных фондов;

- число полных месяцев до конца года, когда основные фонды не работают.

Основными показателями эффективности использования основных фондов являются следующие показатели:

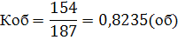
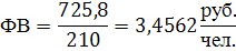
1.  Фондоотдача


где ВП - объём выпущенной продукции, млн. руб.

2. Фондоёмкость


3. Фондовооруженность


где Ч- численность работников, чел.

К показателям движения основных фондов относят:

. Коэффициент ввода


где - стоимость основных фондов на конец года.

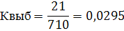
. Коэффициент выбытия


где - стоимость основных фондов на начало года.

. Коэффициент износа


где И- износ основных фондов.

. Коэффициент прироста


Полученные данные сводим в таблицу 3.3.

Таблица 3.3 - Показатели использования основных фондов

Показатели


Фондоотдача

Фондоёмкость

Фондовооружённость

Коэффициент ввода

Коэффициент выбытия

Коэффициент износа


Коэффициент прироста


Расчет амортизационных отчислений линейным методом.

Линейный способ - заключается в равномерном начислении амортизации на протяжении срока полезного использования основных фондов. При этом способе годовая сумма амортизационных отчислений определяется путем умножения амортизируемой стоимости на годовую норму амортизации.

. Норма амортизации рассчитывается по формуле:


где СПИ - срок полезного использования, лет.

Срок полезного использования (СПИ) - период времени, на протяжении которого предприятие предполагает использовать объект основных средств.

2.      Амортизационные отчисления рассчитываются по формуле:

А

где - среднегодовая стоимость основных фондов, млн. руб.

Полученные в результате расчетов данные сводим в таблицу 3.4.

Таблица 3.4 - Ежегодные амортизационные отчисления линейным методом

Амортизационная стоимость основных фондов, млн.руб.

Норма амортизации, %.

Сумма амортизационных отчислений, млн. руб.

10

 

3.3 Оборотные средства предприятия

 

Основными показателями эффективности использования оборотных средств являются следующие показатели:

.        Коэффициент оборачиваемости рассчитать по формуле:


где ВП - выпуск продукции, млн. руб.;

Со- средний остаток оборотных средств, руб.

.        Длительность одного оборота рассчитать по формуле:


где Д - продолжительность планового расчетного периода.

.        Материалоемкость продукции рассчитывается по формуле:


где МЗ - материальные затраты, руб.;

ВП - объём выпущенной продукции в стоимостном выражении, млн. руб.

Полученные данные сводим в таблицу 3.5.

Таблица 3.5 - Показатели использования оборотных средств

Показатели


Коэффициент оборачиваемости, об.

Длительность одного оборота, дни

Материалоёмкость, руб./руб.


3.4 Себестоимость продукции

 

Классификация затрат по экономическим элементам служит для определения заданий по снижению себестоимости продукции, расчета потребностей в оборотных средствах, расчета сметы затрат, а также для экономического обоснования инвестиций.

Группировка затрат по экономическим элементам определяет абсолютные суммы затрат на производственную деятельность предприятия, но она не дает возможность определить себестоимость единицы продукции конкретного вида.

Расчёт себестоимости продукции оформляем в виде таблицы 3.6.

Таблица 3.6 - Себестоимость продукции в миллионах рублей.

Наименование экономических элементов

Показатель

Материальные затраты, млн.руб.

40

Расходы на оплату труда, млн.руб.

220

Отчисления в ФСЗН, млн. руб.

Отчисления в БГС, млн.руб.

Амортизация основных фондов и нематериальных активов, млн. руб.

Прочие затраты, млн. руб

200

Итого

608,7


. Рассчитать отчисления в фонд социальной защиты населения по формуле:


где ФЗП - фонд заработной платы работников, млн. руб.;

 - ставка отчислений в фонд социальной защиты населения, %.

1.      Рассчитать отчисления в Белгосстрах по формуле:


Где Сбгс - ставка отчислений в Белгосстрах, %.

2.      Рассчитать структуру себестоимости в процентах.

Таблица 3.7 - Структура себестоимости в процентах.

Наименование экономических элементов

%

Материальные затраты, млн. руб.

6,57

Расходы на оплату труда, млн. руб.

36,14

12,29

Отчисления В БГС, млн. руб.

0,22

Амортизация основных фондов и нематериальных активов, млн. руб.

11,92

Прочие затраты, млн. руб.

32,86

Итого

100


Для анализа необходимо построить круговую диаграмму структуры себестоимости .

Рисунок 3.1 - Структура себестоимости

Расчет себестоимости продукции методом калькуляции.

Для внутрипроизводственного планирования и выявления резервов снижения себестоимости продукции необходимо знать не только общую сумму затрат каждого предприятия по тому или иному экономическому элементу, но и величину расходов в зависимости от места их возникновения. Такую возможность дает классификация затрат по калькуляционным статьям.

Для исчисления себестоимости отдельных видов продукции затраты предприятия группируются по статьям калькуляции.

Выделяют 12 статей калькуляции. Итог 11 статей образует производственную себестоимость продукции, итог всех 12 статей полную себестоимость продукции.

Таблица 3.8 - Себестоимость продукции в миллионах рублей.

Наименование статей калькуляции

Показатели, млн. руб.

Затраты на сырье и материалы

30

Возвратные отходы

0

Покупные изделия и полуфабрикаты

0

Затраты на топливо и электроэнергию

24

Основная заработная плата

176

Дополнительная заработная плата

44

Отчисления в ФСЗН

Отчисления в БГС

Общепроизводственные расходы

Общехозяйственные расходы

Потери от брака

0

Производственная себестоимость

Коммерческие расходы

Полная себестоимость


.        Определить размер дополнительной заработной платы:

З/Пдоп =  (3.19)


Где З/Посн - основная заработная плата производственных рабочих, млн. руб.

Сдопз/п - процент дополнительной заработной платы.

.        Рассчитать отчисления в фонд социальной защиты населения по формуле:


где ФЗП - фонд заработной платы работников, млн. руб.;

 - ставка отчислений в фонд социальной защиты населения, %.

.        Рассчитать отчисления в белгосстрах по формуле:


Где Сбгс - ставка отчислений в Белгосстрах, %.

.        Определить размер общепроизводственных расходов:

ОПР =  (3.22)


Где Сопр - процент распределения общепроизводственных расходов.

.        Определить размер общехозяйственных расходов.

ОХР =  (3.23)


Где Сохр - процент распределения общехозяйственных расходов.

.        Определить размер коммерческих расходов.

КР =  (3.24)


Где С/Спр - производственная себестоимость продукции.

Скр - процент распределения коммерческих расходов.

Производственная себестоимость определяется как сумма 11 статей калькуляции за вычетом возвратных отходов.

.        Определить полную себестоимость продукции.

С/Спл = С/Спр + КР (3.25)


3.5 Формирование отпускной цены в организации


Расчет отпускной цены методом прямого счета. Метод прямого счета служит непосредственно для определения отпускной цены

1.      Исходя из полной себестоимости продукции необходимо определить предполагаемую прибыль.

 (3.26)


Где Нр - норма рентабельности

2.      Исходя из полученной прибыли и полной себестоимости определите отпускную цену.

ОЦ = П + Сполн (3.27)


3.      Определите налог на добавленную стоимость

 (3.28)


.Определите отпускную цену с НДС:

ОЦндс = ОЦ+ НДС (3.29)


Данные полученных расчетов оформите в таблице 3.9

Таблица 3.9 - отпускная цена в миллионах рублей.

Наименование показателей.


Норматив рентабельности, %

32

Полная себестоимость продукции, млн. руб.

Размер полученной прибыли, млн. руб.

Налог на добавленную стоимость, млн. руб.

Отпускная цена, млн. руб.

Отпускная цена с НДС, млн. руб


3.6 Прибыль предприятия

 

Расчет прибыли предприятия. Определение чистой прибыли.

. совокупная суммарная прибыль рассчитывается по формуле:


где  - прибыль от реализации продукции, млн.руб.;

 - прибыль от прочей реализации, млн. руб.;

 - прибыль от внереализационных операций, млн. руб.

.        Прибыль от реализации продукции рассчитать по формуле:


где ВР - выручка от реализованной продукции, млн. руб.;

 - себестоимость реализованной продукции, млн. руб.;

НДС - налог на добавленную стоимость.

.        Налог на добавленную стоимость рассчитывается по формуле:



где - ставка НДС (20%)

Для расчета налогов, уплачиваемых из прибыли, определяется налогооблагаемая прибыль.

4.      Налогооблагаемая прибыль рассчитывается следующим образом:

Пн/о = ССП - Пльг


где  - размер льготируемой прибыли

.        Налог на прибыль рассчитать по формуле:


где  - ставка налога на прибыль (18%).

.        Чистая прибыль организации рассчитать по формуле:

ЧП = ССП - Нп


Полученные в результате расчетов данные свести в таблицу 4.0

Таблица 4.0 - Прибыль предприятия в миллионах рублей.

Показатели

Млн. руб.

НДС

Прибыль от реализации продукции

Налогооблагаемая прибыль

Налог на прибыль

Чистая прибыль


3.7 Показатели рентабельности

 

Основными показателями рентабельности являются:

.        Рентабельность продукции рассчитать по формуле:


где  - прибыль от реализации продукции, млн. руб.;

с/с - себестоимость реализованной продукции, млн. руб.

.        Рентабельность продаж рассчитать по формуле:


где ВР - выручка от реализации продукции, млн. руб.

Полученные данные свести в таблицу 4.1.

Таблица 4.1 - Показатели рентабельности в процентах.

Показатели


Рентабельность продукции

Рентабельность продаж


3.8 Технико-экономические показатели работы предприятия

После проведения всех расчетов оформите сводную таблицу основных показателей производственной деятельности организации.

Таблица 4.2 - Технико-экономические показатели работы организации

Показатели


Объём выпущенной продукции, млн. руб.

154

Фондоотдача, руб./руб.

Фондоёмкость, руб./руб.

Фондовооружённость,

Длительность одного оборота, дни

437,1585

Среднегодовая выработка,

Полная себестоимость продукции, млн. руб.

675,1428

Выручка от реализации продукции, млн. руб.

216,0457

Чистая прибыль предприятия, млн. руб.

304,2574

Общая рентабельность производства, %

32

Рентабельность продукции, %

31,9999

Рентабельность продаж, %

20,20


Исходя из показателей предприятия, можно сделать вывод, что основные фонды используются не эффективно, так как фондоотдача составиларуб., фондоемкость -  руб., а фондовооруженность -  млн. руб.. Материалоемкость продукции составила руб. , это означает, что оборотные средства используются не эффективно, так как показатель не больше 1 руб.. Рентабельность продукции составила 31,9999%, следовательно, продукция рентабельна.

Рентабельность продаж составила % это означает, что большая часть выручки состоит из косвенных налогов и себестоимости продукции. Общая рентабельность предприятия составила 32%, это значит, что основные и оборотные фонды задействованы не полностью.

Заключение

Итак, в заключении можно отметить, что в настоящее время в условиях отсутствия у многих предприятий начальных и свободных денежных средств, сложностей с получением банковского кредита и повышенного риска прямых денежных инвестиций - финансовый лизинг является идеальной формой эффективной и целенаправленной поддержки развития предприятий.

Быстрое развитие лизинга во второй половине 20 века и в настоящее время, проявляющего тенденцию к более широкому распространению и увеличению роли в расширении производства во многих странах мира, обусловлено особенностями этого вида предпринимательской деятельности и, в том числе, его преимуществами по сравнению с традиционными формами экономической деятельности.

Лизинг, представляя собой, сочетание особого вида финансовых услуг со специфической формой предпринимательства, имеет большие шансы для развития в современной экономической ситуации в мире, когда в сфере оказания услуг финансового характера все больше углубляется специализация, а накопление кредитных ресурсов происходит крайне неравномерно.

Правительства многих стран, преследуя задачи экономического роста и поддержки инвестиций, создают для лизинга благоприятные условия путем разработки лизингового законодательства, способствующего его развитию, введения разного рода инвестиционных скидок и льгот, принятия благоприятных режимов амортизации. Расширению лизингового бизнеса содействует политика поддержки мелких и средних компаний, характерная для нынешнего времени.

Список использованный источников

1.            Левкович А.О. Закономерности миссии лизинга в экономике. Мн.: БГЭУ, 2001.

2.      Юшкевич И.П. Финансовая аренда (лизинг). Справочник экономиста. 2004. №6.

.        Трынин Д.И. Особенности лизинга в промышленно развитых странах. Финансовый менеджмент. 2004. №3.

4.      Гуща Г.Н. Анализ экономико-правовых преимуществ лизинга для предприятия-лизингополучателя. Предпринимательство в Белоруссии. 2000. №9.

5.      Левкович А.О. Операторы лизинговых услуг. Вестник Ассоциации белорусских банков. 2003. №14.

6.            Левкович А.П. Лизинг: Учебное пособие Мн.: БГЭУ, 2004

7.            Гуща Г.Н. Правовые основы лизинговой деятельности в Республике Беларусь. Мн.: Веды, 2003. 56 с.

8.      Левкович А.О. Закономерности миссии лизинга в экономике. Мн.: БГЭУ, 2001.

9.      Павлова Л.Н. Финансы предприятий. 1998.

10.    Левсевич А.С. Лизинг в РБ. Финансы. 2000. №11(170).

.        Джуха В.М. Лизинг. 1999.

.        Комаров В.В. Инвестиции и лизинг. 2001.

Похожие работы на - Лизинг: общая характеристика

 

Не нашли материал для своей работы?
Поможем написать уникальную работу
Без плагиата!
Без нейросетей!