Проектирование бюджета производственного предприятия
Министерство
образования и науки Российской Федерации
Федеральное
государственное бюджетное образовательное учреждение
Высшего
профессионального образования
Сибирская
государственная автомобильно-дорожная академия
(СибАДИ)
Курсовая
работа
по
дисциплине «Коммерческая деятельность предприятия»
на
тему «Проектирование бюджета производственного предприятия»
Выполнила:
студентка Токарева К.В.
группа Эб -11 Э2
Проверил: ст.
преподаватель Эйхлер И.А.
Омск
- 2015
ВВЕДЕНИЕ
Бюджетирование - это процесс планирования
будущей деятельности предприятия, результаты которого оформляются системой
бюджетов.
Самым важным этапом в процессе составления
бюджета является определение ключевых факторов или ограничений, влияющих на
план бюджета. К таким факторам можно отнести возможности предприятия по выпуску
продукции, размер доступных финансовых средств и текущее состояние рынка. В
сумме эти три показателя образуют общий лимит возможностей компании по продаже
продукции.
Обычно создание бюджетов осуществляется в рамках
оперативного планирования. Исходя из стратегических целей фирмы, бюджеты решают
задачи распределения экономических ресурсов, находящихся в распоряжении
организации. Разработка бюджетов придает количественную определенность
выбранным перспективам существования фирмы.
К числу основных задач бюджетирования относится
следующее:
обеспечение текущего планирования;
обеспечения координации, кооперации и
коммуникации подразделений предприятия;
обоснование затрат предприятия;
создание базы для оценки и контроля планов
предприятия;
исполнение требований законов и контрактов.
Целью данной курсовой работы является
составление бюджета для производственного предприятия.
Необходимо решить следующие задачи:
. Спроектировать текущий бюджет;
. Спроектировать финансовый бюджет;
. Провести анализ финансового состояния
предприятия.
1. Прогнозирование операционных доходов
предприятия
Рассчитаем план сбыта, при условии того, что в
планируемом году ожидается инфляция на уровне 16 %, что приведет к росту цены
на материалы на 4 % в каждый квартал. Чтобы нивелировать инфляционные риски
предприятие будет повышать цену на свою продукцию на 4 % за каждый квартал
планируемого периода. Эластичность спроса по цене равна 1,17.
Таблица 1 - План сбыта
|
Показатели
|
Кварталы
|
Всего
за год
|
|
I
|
II
|
III
|
IV
|
|
|
Ожидаемые
продажи, ед.
|
342
|
326
|
311
|
296
|
1275
|
|
Цена
продажи ед., руб.
|
5271
|
5482
|
5701
|
5929
|
5583
|
|
Ожидаемый
объем продаж, руб.
|
1802682
|
1787132
|
1773011
|
1754984
|
7117809
|
Схема расчета с клиентами: 54 %, 42%, 4 %.
Таблица 2 - Ожидаемые поступления от реализации
|
Показатели
|
Кварталы
|
Всего
за год
|
|
I
|
II
|
III
|
IV
|
|
|
Задолженность
к погашению на начало периода, руб.
|
757126
|
-
|
-
|
-
|
757126
|
|
|
|
|
|
|
|
Поступления
денежных средств от продаж за I квартал, руб.
|
973448
|
757126
|
-
|
-
|
1730574
|
|
|
|
|
|
|
|
Поступления
денежных средств от продаж за II квартал, руб.
|
-
|
965051
|
750595
|
-
|
1715646
|
|
|
|
|
|
|
|
Поступления
денежных средств от продаж за III квартал, руб.
|
-
|
-
|
957426
|
744665
|
1702091
|
|
Поступления
денежных средств от продаж за IV квартал, руб.
|
-
|
-
|
-
|
947691
|
947691
|
|
|
|
|
|
|
|
|
|
Общие
поступления денежных средств, руб.
|
1730574
|
1722177
|
1708021
|
1692356
|
6853128
|
|
Далее рассчитаем дебиторскую задолженность на
конец периода и сумму безнадежных долгов.
ДЗ к.п. = 1754984 * 42% = 737093
БД = 7117809 * 4% = 284712
Таблица 3 - Производственный план
|
Показатели
|
Кварталы
|
Всего
за год
|
|
I
|
II
|
III
|
IV
|
|
|
Планируемые
продажи, ед.
|
342
|
326
|
311
|
296
|
1275
|
|
Планируемый
запас готовой продукции на конец периода, ед.
|
27
|
26
|
25
|
26
|
25
|
|
Планируемый
запас готовой продукции на начало периода, ед.
|
27
|
27
|
26
|
25
|
27
|
|
Количество
единиц продукции, подлежащей изготовлению, ед.
|
342
|
325
|
310
|
297
|
1274
|
Рассчитаем стоимость запаса готовой продукции в
рублях на начало и конец периода.
ЗГП н.п. = 27 * 5271 = 142317
ЗГП к.п. = 27 * 5929 = 160083
2. Составление смет по затратам
Норма запаса материалов 17 % н. п.
Таблица 4 - Смета прямых затрат на материалы
|
Показатели
|
Кварталы
|
Всего
за год
|
|
I
|
II
|
III
|
IV
|
|
|
Количество
единиц продукции, подлежащей изготовлению, ед.
|
342
|
325
|
310
|
297
|
1274
|
|
Потребность
в материале на единицу продукции, в нат. ед.
|
4
|
4
|
4
|
4
|
4
|
|
Потребность
в материале на производственную программу, ед.
|
1368
|
1300
|
1240
|
1188
|
5096
|
|
Планируемый
запас материала на конец периода, ед.
|
221
|
211
|
202
|
212
|
846
|
|
Планируемый
запас материала на начало периода, ед.
|
233
|
221
|
211
|
202
|
867
|
|
Количество
материала, подлежащего закупке
|
1356
|
1290
|
1231
|
1198
|
5075
|
|
Цена
единицы материала, руб.
|
283
|
294
|
306
|
318
|
1201
|
|
Стоимость
закупок материалов, руб.
|
383748
|
379260
|
376686
|
380964
|
1520658
|
Рассчитаем стоимость запаса материалов в рублях
на начало и конец периода.
ЗМ н.п. = 233 * 283 = 65939
ЗМ к.п. = 202 * 318 = 64236
Схема расчета с поставщиками: 45 %, 55 %
Таблица 5 - График ожидаемых выплат поставщикам
|
Показатели
|
Кварталы
|
Всего
за год
|
|
I
|
II
|
III
|
IV
|
|
|
Задолженность
прошлого года к оплате
|
168849
|
|
|
|
168849
|
|
Выплаты
денежных средств по закупкам в I квартале, руб.
|
172687
|
211061
|
-
|
-
|
383748
|
|
Выплаты
денежных средств по закупкам во II квартале, руб.
|
-
|
170667
|
208593
|
-
|
379260
|
|
Выплаты
денежных средств по закупкам в III квартале, руб.
|
-
|
-
|
169509
|
207177
|
376686
|
|
Выплаты
денежных средств по закупкам в IV квартале, руб.
|
-
|
-
|
-
|
171435
|
171435
|
|
Итого
выплат денежных средств, руб.
|
341536
|
381728
|
378102
|
378612
|
1479978
|
Далее определим кредиторскую задолженность на
начало и конец периода.
КЗ н.п. = 168849
КЗ к.п. = 380964*55% = 209530,2
Смета прямых затрат на оплату труда
|
Показатели
|
Кварталы
|
Всего
за год
|
|
I
|
II
|
III
|
IV
|
|
|
Количество
единиц продукции, подлежащих изготовлению
|
342
|
325
|
310
|
297
|
1274
|
|
Удельная
трудоемкость единицы изделия, ч.
|
14
|
14
|
14
|
14
|
14
|
|
Общая
трудоемкость производственной программы, ч
|
4788
|
4550
|
4340
|
4158
|
17836
|
|
Прямые
затраты труда на 1 час, руб.
|
93
|
93
|
93
|
93
|
93
|
|
Общая
стоимость прямых затрат труда, руб.
|
445284
|
423150
|
403620
|
386694
|
1658748
|
Далее определим необходимое количество
производственных рабочих.
Р = Т / (ФРВд * КПП)
где, КПП - коэффициент роста производительности
труда (принимаем в размере 1,2)
Рассчитываем номинальный фонд рабочего времени,
он определяется количеством рабочих дней в году и продолжительностью рабочих
недель.
ФРВн = (Дк - Дв - Дп) Чсм - Чв * Дпв -Чп *Дпп,
где, Дк - дни календарные, день
Дв - дни выходные, день
Дп - праздничные, день
Чсм - продолжительность смены, ч.
Чв - время сокращения рабочей смены перед
выходными днями (принимается в случае, если фактическая продолжительность
рабочей недели превышает установленную),.ч.
Чп - время сокращения рабочей смены перед
праздничным днем.
Дпв - предвыходные, день
Дпп - предпраздничные, день
ФРВн = (365 - 104 - 11) * 8 - 0 * 50 - 1 * 6 = 1
994 (ч.).
Далее рассчитаем действительный фонд рабочего
времени. ФРВд - действительный годовой фонд времени его определяем как разность
номинального годового фонда и величины неизбежных потерь рабочего времени в том
числе отпусков (продолжительность определяется трудовым законодательством и условиями
труда), дней по болезни (равны 2,5 % от дней календарных), на выполнение
государственных обязанностей ( 0,5 - 1 % от дней календарных).
ФРВд = 1994- ((28 + 9 + 3) * 8) = 1994 - 320 =
1674
Р = 19124 / (1674 * 1,2) = 10 чел.
Таблица 7 - Смета общепроизводственных расходов
|
Показатели
|
Кварталы
|
Всего
за год
|
|
I
|
II
|
III
|
IV
|
|
|
Общая
трудоемкость производственной программы, ч.
|
4788
|
4550
|
4340
|
4158
|
17836
|
|
Переменная
ставка общепроизводственных расходов, руб. в час
|
25
|
25
|
25
|
25
|
25
|
|
Итого
переменные расходы руб.
|
119700
|
113750
|
108500
|
103950
|
445900
|
|
Планирование
постоянных расходов, руб.
|
6000
|
6000
|
6000
|
6000
|
24000
|
|
Амортизация,
руб.
|
55000
|
55000
|
55000
|
55000
|
220000
|
|
Итого
выплат денежных средств по общим производственным расходам, руб.
|
180700
|
174750
|
169500
|
164950
|
689900
|
Таблица 8 - Коммерческие и управленческие
расходы
|
Показатели
|
Кварталы
|
Всего
за год
|
|
I
|
II
|
IV
|
|
|
Ожидаемые
продажи, ед.
|
342
|
326
|
311
|
296
|
1275
|
|
Переменная
ставка коммерческих и управленческих затрат, на ед.
|
100
|
100
|
100
|
100
|
100
|
|
Итого
переменные расходы, руб.
|
34200
|
32600
|
31100
|
29600
|
127500
|
|
Постоянные
расходы, руб.:
|
|
|
|
|
|
|
Реклама
(ежеквартально)
|
50000
|
50000
|
50000
|
50000
|
200000
|
|
Страхование
|
24000
|
-
|
-
|
-
|
24000
|
|
Оплата
труда специалистов
|
320000
|
320000
|
320000
|
320000
|
1280000
|
|
Аренда
|
-
|
-
|
-
|
-
|
-
|
|
Налоги
|
|
|
|
75000
|
75000
|
|
Итого
постоянные расходы
|
394000
|
370000
|
370000
|
445000
|
1579000
|
|
Итого
коммерческие и управленческие расходы, руб.
|
428200
|
402600
|
401100
|
474600
|
1706500
|
Таблица 9 - Определение себестоимости реализации
единицы продукции
|
Статьи
затрат
|
Количество
|
Цена
за единицу, руб.
|
Итого,
руб.
|
|
Материальные
затраты
|
1274
|
1162
|
1479978
|
|
Затраты
на оплату труда
|
1274
|
1302
|
1658748
|
|
Взносы
в государственные внебюджетные фонды
|
1274
|
391
|
497624
|
|
Итого
переменные издержки
|
1274
|
2854
|
3636350
|
|
Амортизация
основных средств
|
|
|
220000
|
|
Прочие
издержки (общепроизводственные)
|
|
|
469900
|
|
Себестоимость
производства продукции
|
|
|
4326250
|
|
Коммерческие
и управленческие расходы
|
|
|
1706500
|
|
Полная
себестоимость
|
|
|
6032750
|
3. Составление прогнозного отчета о прибылях и
убытках и кассового плана
Таблица 10 - Составление прогнозного отчета о
прибылях и убытках предприятия (в рублях)
|
Показатели
|
За
текущий период
|
|
Выручка
предприятия (без НДС)
|
5807736
|
|
Себестоимость
(без НДС)
|
4100491
|
|
Валовая
прибыль (убыток)
|
1707245
|
|
Коммерческие
и управленческие расходы
|
1706500
|
|
Прибыль
(убыток) от реализации
|
745
|
|
Другие
доходы
|
0
|
|
Другие
расходы
|
0
|
|
Прибыль
(убыток) до налогообложения
|
745
|
|
Текущий
налог на прибыль
|
149
|
|
Чистая
прибыль (непокрытый убыток)
|
596
|
НДС подлежащий возмещению = 266396
НДС подлежащий уплате = 1045392
Таблица 11 - Кассовый план (в рублях)
|
Показатели
|
Кварталы
|
Всего
за год
|
|
I
|
II
|
III
|
IV
|
|
|
Кассовый
остаток на начало периода
|
13000
|
2382
|
10911
|
42655
|
13000
|
|
Поступления:
поступления от покупателей
|
1466588
|
1459472
|
1447475
|
1434200
|
5807735
|
|
Итого
денежных средств в наличии
|
1479588
|
1461854
|
1458386
|
1476855
|
5820735
|
|
Выплаты
денежных средств:
|
|
|
Основные
производственные материалы
|
289437
|
323498
|
320425
|
320858
|
1254218
|
|
Оплата
труда основных рабочих
|
578869
|
550095
|
524706
|
502702
|
2156372
|
|
Общепроизводственные
расходы
|
180700
|
174750
|
169500
|
164950
|
689900
|
|
Коммерческие
и управленческие расходы
|
428200
|
402600
|
401100
|
474600
|
1706500
|
|
Закупка
оборудования
|
-
|
-
|
-
|
-
|
-
|
|
Налоги,
относимые на финансовый результат
|
-
|
-
|
-
|
149
|
149
|
|
Итого
выплат
|
1477206
|
1450943
|
1415731
|
1463259
|
5807139
|
|
Излишек
(недостаток) денежных средств
|
2382
|
10911
|
42655
|
13596
|
13596
|
|
Финансирование:
|
|
|
Кредитование
|
|
|
|
|
|
|
Погашение
кредита
|
|
|
|
|
|
|
Выплата
процентов за кредит
|
|
|
|
|
|
|
Итого
по финансированию
|
|
|
|
|
|
|
Кассовый
остаток на конец периода
|
2382
|
10911
|
42655
|
13596
|
13596
|
|
|
|
|
|
|
|
Таким образом, при составлении прогнозного
отчета о прибылях и убытках получается валовая прибыль равная 1707245. Для
деятельности предприятия не были привлечены дополнительные средства, потому что
кассовый остаток на конец отчётного периода увеличивается.
4. Составление бухгалтерского баланса
предприятия и анализ его деятельности
.1 Составление бухгалтерского баланса
предприятия
Таблица 12 - Бухгалтерский баланс предприятия
|
Наименование
показателя
|
На
отчетную дату отчетного периода
|
На
31 декабря 2014 года
|
|
АКТИВ
|
|
|
|
I.ВНЕОБОРОТНЫЕ
АКТИВЫ
|
|
|
|
Основные
средства
|
2507
|
2727
|
|
Итого
по разделу I
|
2507
|
2727
|
|
II.ОБОРОТНЫЕ
АКТИВЫ
|
|
|
|
Запасы
|
209,394
|
208,356
|
|
Налог
на добавленную стоимость по приобретенным ценностям
|
266,396
|
50
|
|
Дебиторская
задолженность
|
1754,984
|
857,126
|
|
Денежные
средства и денежные эквиваленты
|
1479,588
|
1744,850
|
|
Итого
по разделу II
|
3710,362
|
2860,332
|
|
БАЛАНС
|
6217,362
|
5587,332
|
|
ПАССИВ
|
|
|
|
III.КАПИТАЛ
И РЕЗЕРВЫ
|
|
|
|
Уставный
капитал
|
3452,513
|
3377,802
|
|
Переоценка
внеоборотных активов
|
|
|
|
Нераспределенная
прибыль (непокрытый убыток)
|
2596
|
2000
|
|
Итого
по разделу III
|
6048,513
|
5377,802
|
|
IV.ДОЛГОСРОЧНЫЕ
ОБЯЗАТЕЛЬСТВА
|
|
|
|
Заемные
средства
|
|
|
|
Итого
по разделу IV
|
|
|
|
V.КРАТКОСРОЧНЫЕОБЯЗАТЕЛЬСТВА
|
|
|
|
Кредиторская
задолженность
|
168,849
|
209,530
|
|
Итого
по разделу V
|
168,849
|
209,530
|
|
БАЛАНС
|
6217,362
|
5587,332
|
Формирование баланса показало, что в отчетном
периоде наблюдается снижение внеоборотных активов на 220 тысяч рублей, что
связано с уменьшением стоимости основных средств, в связи с их эксплуатацией и
переносом стоимости на вновь созданный продукт в виде амортизационных
отчислений. Величина оборотных активов на конец периода при этом возросла,
основными причинами чего является рост величины денежных средств, что говорит
об укреплении финансового состояния предприятия и увеличение дебиторской
задолженности, в следствии, увеличения объёмов реализации продукции с отсрочкой
платежа.
В пассиве баланса наблюдается увеличение
капитала. Наблюдаются также и такие положительные тенденции, как снижение
краткосрочных обязательств.
.2 Анализ ликвидности предприятия
Для анализа ликвидности сгруппируем средства по
активу предприятия, по степени их ликвидности, а пассивы - по срокам их
погашения.
Таблица 13 - Группировка активов и пассивов
предприятия
|
А
|
Начало
периода
|
Конец
периода
|
П
|
Начало
периода
|
Конец
периода
|
|
А1
|
1479,588
|
1744,850
|
П1
|
168,849
|
209,530
|
|
А2
|
1754,984
|
857,126
|
П2
|
-
|
-
|
|
А3
|
475,79
|
258,356
|
П3
|
-
|
-
|
|
А4
|
2507
|
2727
|
П4
|
6048,513
|
5377,802
|
|
Σ
А
|
6217,362
|
5587,332
|
Σ П
|
6217,362
|
5587,332
|
Соблюдается условие абсолютной ликвидности:
Далее в таблице 15 рассчитаем
коэффициенты ликвидности.
Таблица 14 - Основные коэффициенты
ликвидности
|
Наименование
коэффициента
|
Расчетная
формула
|
Норматив
|
|
|
|
|
Коэффициент
текущей ликвидности
|
 [1..3,5]
|
|
|
Коэффициент
быстрой ликвидности
|
 [0,5..1]
|
|
|
Коэффициент
абсолютной ликвидности
|
 [0,2..0,5]
|
|
|
Общий
показатель ликвидности
|
 ≥1
|
|
Таблица 15 - Расчет коэффициентов ликвидности
|
Наименование
коэффициента
|
Расчет
коэффициента
|
|
на
начало периода
|
на
конец периода
|
|
Коэффициент
текущей ликвидности
|
22
|
14
|
|
Коэффициент
быстрой ликвидности
|
19
|
15
|
|
Коэффициент
абсолютной ликвидности
|
9
|
10
|
|
Общий
показатель ликвидности
|
15
|
13
|
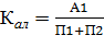
Коэффициент текущей ликвидности является мерой
платежеспособности организации, способности погашать текущие (до года)
обязательства организации.
Коэффициент быстрой ликвидности, или коэффициент
«критической оценки», показывает, насколько ликвидные средства предприятия
покрывают его краткосрочную задолженность. В ликвидные активы включаются все
оборотные активы предприятия, за исключением товарно-материальных запасов.
Данный показатель определяет, какая доля кредиторской задолженности может быть
погашена за счет наиболее ликвидных активов, т. е. показывает, какая часть
краткосрочных обязательств предприятия может быть немедленно погашена за счет
средств на различных счетах, в краткосрочных ценных бумагах, а также
поступлений по расчетам.
Коэффициент абсолютной ликвидности
показывает, какая доля краткосрочных долговых обязательств может быть покрыта
за счет денежных средств и их эквивалентов в виде рыночных ценных бумаг
<http://1fin.ru/?id=281&t=639> и депозитов, т.е. практически
абсолютно ликвидными активами.
Общий показатель ликвидности
характеризует ликвидность баланса предприятия в целом. На начало периода
значение показателя больше 1, на конец периода значение увеличивается.
бюджет операционный
доход затрата
4.3 Расчет эффективности
использования основных фондов
Таблица 16 - Показатели
эффективности использования основных фондов
|
Показатель
|
Характеристика
|
Формула
|
Расчет
|
|
Фондоотдача
|
Отражает
количество продукции в расчете на 1 руб. ОПС
|
ФО
= Выр/Ссг, где Выр - выручка, Ссг - среднегодовая стоимость основных
производственных средств
|
ФО
= 5807,736 / 2617 = 2,22
|
|
Фондоемкость
|
ФЕ
= Ссг/Выр
|
ФЕ
= 2617 / 5807,736 = 0,45
|
|
Фондовооружен-ность
|
Показывает
оснащенность предприятия ОПС
|
ФВ
= Ссг / Чср, где Чср - численность среднесписочная
|
ФВ
= 2617 / 8 = 327,13
|
Показатели эффективности:
) Фондоотдача - данный показатель характеризует
эффективность использования основных фондов и показывает, какова общая отдача
от использования каждого рубля, вложенного в основные средства, т.е. насколько
эффективно это вложение средств. Превышение фондоотдачи над фондоёмкостью
является положительным фактором, т. к. если использование основных фондов
улучшается, то фондоотдача должна повышаться, а фондоемкость уменьшаться.
) Фондоёмкость характеризует, сколько основных
производственных фондов приходится на 1 рубль произведенной продукции:
) Фондовооруженность применяется для
характеристики степени оснащенности труда работающих
.4 Расчет эффективности использования оборотных
средств
Таблица - 17 Показатели эффективности
использования оборотных средств
|
Показатель
|
Характеристика
|
Формула
|
Расчет
|
|
Коэффициент
оборачиваемости
|
Показывает,
сколько оборотов совершили оборотные средства за анализируемый период
|
Коб
= Выр / ОбСср
|
Коб
= 5807,736 / 3285,347 = 1,77
|
|
Коэффициент
загрузки
|
Характеризует
сумму оборотных средств, авансируемых на 1 руб. выручки от реализации
|
Кзаг=ОбСср
/ Выр
|
Кзаг
= 3285,347 / 5807,736 = 0,57
|
|
Длительность
одного оборота
|
Показывает,
за какой срок к предприятию возвращаются его оборотные средства в виде
выручки от реализации продукции
|
Т
= 365 / Коб
|
Тоб
= 365 / 1,77 = 206
|
За 206 дней предприятию возвращаются его
оборотные средства в виде выручки от реализации продукции. На 1 руб. выручки от
реализации приходится 0,57 оборотных средств.
Коэффициенты рентабельности:
) Рентабельность оборотных средств:
об.ср. = ЧП /Соб.ср ,об.ср. = 596/3285,347×
100 = 18,14 %
2) Рентабельность продаж :
продаж = ВП / Вр ,продаж = 1707245/5807736×
100 = 29,4 %
) Рентабельность продукции :
продукции = ВП / S,продукции = 1707245 / 4100491
×
100 = 42%
) Рентабельность затрат :
затрат = Пдон.о. / S ,затрат = 745/4100491×
100 = 0,02 %
Рентабельность оборотных средств отражает
возможности предприятия в обеспечении достаточного объема прибыли по отношению
к используемым оборотным средствам компании. Чем выше значение этого
коэффициента, тем более эффективно используются оборотные средства.
Рентабельность продаж показывает, какую прибыль
имеет предприятие с каждого рубля реализованной продукции.
Рентабельность затрат характеризует
эффективность затрат на производство и сбыт продукции.
Заключение
В данной курсовой работе был разработан
финансовый бюджет, а так же проведён анализ финансового состояния предприятия.
Таким образом, при составлении прогнозного
отчета о прибылях и убытках выручка составила 5807736 р. Чистая прибыль 596.
Валовая прибыль равная 1707245. Для деятельности
предприятия не были привлечены дополнительные средства, потому что кассовый
остаток на конец отчётного периода увеличивается.
За год оборотные средства данного предприятия
совершили приблизительно 2 оборота. За 206 дней предприятию возвращаются его оборотные
средства в виде выручки от реализации продукции. На 1 руб. выручки от
реализации приходится 0,57 оборотных средств.
В ходе анализа ликвидности на начало и
конец рассматриваемого периода значение коэффициента текущей ликвидности
превышает норму, следовательно, предприятие является платежеспособным.
Коэффициент быстрой ликвидности находится выше нормы, что говорит о способности
предприятия погасить свои краткосрочные обязательства за счет продажи ликвидных
активов.
Список используемой литературы
1.
Финансовый менеджмент: методические указания по выполнению курсовой работы для
бакалавров направления подготовки «Экономика» / Сост.: Л.В. Эйхлер, И.А.
Эйхлер. ‒ Омск: СибАДИ, 2014. ‒ 34 с.
.
Вахрушина Н. Создание системы управления дебиторской задолженностью//Финансовый
директор № 5, 2008.
.
Финансовый менеджмент : Учебное пособие / Под ред. проф. Е. И. Шохина. - М.: ИД
ФБК - ПРЕСС, 2009. - 408 с.
.
. Бухалков М.Н. Внутрифирменное планирование: Учебник / М.Н. Бухалков. - М.:
Инфра-М, 2003 - 678 с.