Методы расчета численности рабочих

  • Вид работы:
    Контрольная работа
  • Предмет:
    Менеджмент
  • Язык:
    Русский
    ,
    Формат файла:
    MS Word
    51,35 Кб
  • Опубликовано:
    2015-04-05
Вы можете узнать стоимость помощи в написании студенческой работы.
Помощь в написании работы, которую точно примут!

Методы расчета численности рабочих

Федеральное агентство по образованию Российской Федерации

Волгоградский Государственный Технический Университет

Факультет подготовки инженерных кадров








Контрольная работа

по дисциплине: "Организация и планирование производства"


Выполнил: студент 3 курса ФПИК

группы АУЗ - 361с Тюляева И.А.

номер зачетной книжки 20161639

Проверила: доц. Терехина М.А.






Волгоград 2013

Содержание

Введение

. Классификация кадров на предприятии

. Расчет баланса рабочего времени

. Методы расчета численности рабочих

. Факторы и резервы роста производительности труда

Задача 1

Задача 2

Список литературы

Введение

Эффективность деятельности одного работника или трудового коллектива характеризуется производительностью труда.

Такой показатель как производительность труда определяется для того, чтобы увеличить выпуск продукции, повысить прибыль и рентабельность предприятия.

Факторы, влияющие на производительность труда многообразно: это значение, умение, навыки, опыт, которые зависят от образования работника и его стажа.

Высокая производительность труда зависит от планирования потребности в кадрах, их подготовки и повышение квалификации. Главная задача в определении оптимальной численности, состав и структуры рабочих.

1. Классификация кадров на предприятии

Численность работников планируют по соответствующим группам и категориям. По признаку участия в производственной деятельности делят на две группы: промышленно-производственный персонал (ППП) и непромышленный производственный персонал.

К непромышленному персоналу относятся работники, занятые в социально-культурных и бытовых учреждениях.

Промышленно-производственный персонал включает работников, связанных с основной деятельностью предприятия, т. е. работников основных вспомогательных цехов, управления, лабораторий, складов, охраны. По характеру выполняемых функций ППП подразделяется на следующие категории: рабочие (основные и вспомогательные), руководители, специалисты, служащие, охрана, младший обслуживающий персонал. Часто руководителей, специалистов и некоторые профессии из категории служащих объединяют как самостоятельную категорию инженерно-технические работники.

В основу разграничения категорий "руководители", "специалисты", "служащие" положен должностной признак - их должностные обязанности, которые в свою очередь обуславливают наименование должности. Так, в соответствии с "Квалификационным справочником должностей руководителей, специалистов, служащих", к руководителям отнесены 62 должности, к специалистам 51 должность, а к служащим всего 19.

Кадры предприятий делятся по профессионально-квалификационным признакам, т.е. распределяются по профессиям, по специальностям, по квалификации. Под профессией понимают вид трудовой деятельности, характеризующийся комплексом специальных знаний и практических навыков, умений. Каждая профессия объединяет ряд конкретных разновидностей трудовой деятельности, которые называют специальностями.

Квалификация характеризует степень освоения работником знаний о заданной профессии. По уровню квалификации на большинстве предприятиях рабочие разделены на 6 разрядов.

"Общесоюзный классификатор профессий рабочих должностей служащих и тарифные разряды" (ОКПДТР) предназначен для решения задач связанных с расчетом численности рабочих и служащих, с учетом состава и распределения кадров по категориям персонала, уровню квалификации, степени механизации и условий труда.

По степени условий труда рабочие делятся на три группы: рабочие в нормальных условиях труда, в тяжелых и вредных условиях.

На предприятии ведут учет явочного состава и списочного состава.

На рабочих и служащих, принятых на работу отдел кадров заполняет карточку, на руководителей и специалистов еще и личный листок по учету кадров.

Бухгалтерия предприятия открывает на каждого работника карточку-справку или лицевой счет для расчета среднего заработка работника и составления декларации о доходах.

 

. Расчет баланса рабочего времени


Важным элементом при планировании численности работников на предприятии является расчет планового баланса рабочего времени, т.е. определение среднего числа часов, которые рабочий проработает в течение определенного планового периода (год, квартал, месяц). Основой для расчета планового баланса являются отчетные данные за прошлый год с учетом мероприятий, направленных на сокращение потерь рабочего времени.

Баланс рабочего времени состоит из календарного, номинального, полезного или эффективного фондов времени. Календарный фонд - это количество календарных дней в плановом периоде. Номинальный фонд - это количество дней в плановом периоде, кроме выходных и праздничных дней. При этом следует иметь в виду, что при совпадении выходного и праздничного дня выходной день переносится на следующий после праздничного рабочий день (ст. 65 КЗоТ РФ).

В соответствии с действующим законодательством продолжительность очередного трудового отпуска не может быть меньше 24 дней. Продолжительность дополнительного отпуска для отдельных категорий работников устанавливается предприятием самостоятельно, с учетом определенных особенностей выполняемой работы, например, вредные условия труда, разъездной характер работы. Может учитываться также непрерывный стаж работы на данном предприятии.

Обучающимся в вузах и техникумах без отрыва от производства для сдачи зачетов и экзаменов представляется специальный учебный отпуск, продолжительность которого в вузах при вечерней форме обучения составляет от 20-30 дней, а при заочном от 30-40 дней в течение учебного года, в зависимости от курса обучения.

Декретные отпуска для женщин, связанные с родами, уставлены в 156 календарных дней и планируется на основе отчетных данных базисного года с учетом изменения удельного веса численности женщин на предприятии.

Неявки из-за болезни в плановом балансе рабочего времени определяются на основе отчетных данных предшествующего года. Численность работников планируют по соответствующим группам и категориям. По признаку участия в производственной деятельности делят на две группы: промышленно-производственный персонал (ППП) и непромышленный производственный персонал.

Неявки на работу, связанные с выполнение государственных обязанностей, определяются на уровне отчетного (базисного) периода с учетом действующего законодательства.

Общая продолжительность всех неявок на работу в среднем на одного рабочего определяется в днях и в процентах к рабочим дням (номинальному фонду).

При пятидневной рабочей недели с двумя выходными днями основой для расчета средней продолжительности рабочего дня являются данные о количестве или удельном весе рабочих имеющих различную продолжительность рабочей смены. Полезный (эффективный) фонд времени среднесписочного рабочего в часах определяется как произведение числа рабочих дней на среднею продолжительность рабочего дня.

На небольших и средних предприятиях детальный расчет баланса рабочего времени не ведется.

 

. Методы расчета численности рабочих


Главная задача планирования потребности в кадрах, заключается в определение численности состава и структуры работающих.

Для расчета численности рабочих их подразделяют на две группы: рабочие основные и вспомогательные. Соответственно этому используется и разные методы определения плановой численности рабочих. Выделяют три основных метода определение требуемого количества рабочих: расчет по трудоемкости работ, по нормам обслуживания и по рабочим местам.

Плановая численность рабочих по трудоемкости работ определяется по: объему и номенклатуре производственной программы, трудоемкости изготовление продукции по каждой номенклатуре позиции, по коэффициенту выполнение норм времени, плановому полезному фонду рабочего времени.

Трудоемкость производственной программы на предприятии может рассчитываться двумя способами так называемым "прямым счетом" и на основе отчетных данных.

Для определения трудоемкости той части продукции, по которой не уточнена номенклатура, например изготовление прочей продукции, надо исходить из удельной трудоемкости, приходящейся на одну тысячу рублей такой же продукции. Трудоемкость изменения остатков незавершенного производства также определяется путем умножения величины этого изменения на удельную трудоемкость одной тысячи рублей продукции с учетом коэффициента, характеризующего степень незавершенности производства.

Плановая численность основных и вспомогательных рабочих, занятых на нормированных работах (Чн), определяется по формуле:


где Тпр - трудоемкость производственной программы, нормо-ч;

Фпл - плановый полезный фонд времени на одного рабочего, ч;

К - планируемый коэффициент выполнения норм.

Дополнительная потребность в кадрах возникает в связи с увеличением объемов производства, а так же из-за ухода с предприятия различных категорий работников. Дополнительную потребность в рабочей силе (ДП) в связи с увеличением объемов производства можно определить по формуле:


где Чн, Чк - численность работников на начало и конец планируемого периода.

4. Факторы и резервы роста производительности труда


Уровень производительности труда (его численность значения) зависит от множества причин разного характера которые принято называть факторами. Для полного и удобного исследования возможностей роста производительности труда их рассматривают раздельно.

Производительность труда характеризует эффективность деятельности одного работника или коллектива.

Производительность труда характеризуется двумя показателями:

. прямой - выработка (количество продукции производимой за единицу времени).

2. обратный - трудоемкость (время необходимое для производства продукции).

Производительность труда - это показатель, который определяется для того, чтобы увеличить выпуск продукции его качество и в конечном итоге повысить прибыль и рентабельность предприятия. Руководитель со службы должен разрабатывать мероприятия по росту, производительности труда и по повышению деятельности коллектива.

По фактору роста производительности труда существуют 4 группы: материально-технические, организационные, экономические и социальные.

Реально существующие, но не используемые или не полностью используемые, возможности повышения производительности труда называют резервами ее роста.

Выявление резервов сложная задача, требующая высокой компетентности специалистов, занимающихся этим делом. По времени использования резервы делят на текущее и перспективные, межотраслевые, отраслевые и внутри хозяйственные.

Практически неисчерпаемым источником производительности труда является научно-технический прогресс. Здесь резервы кроются прежде всего в замен ручного труда машинным, малопроизводительных машин - более производительными, в переходе от механизации отдельных операций и процессов комплексной механизации и к ее высшей стадии - автоматизации.

Интегральным показателем научно-технического прогресса на предприятии служит фондовооруженность труда, которую объемом (стоимостью) основных производственных фондов приходящихся на одного работника.

Важным фактором и одним из самых значимых резервов роста производительности труда при любых формах организации производства является научная организация труда (НОТ). Она направлена на экономию живого труда.

Организация труда - совокупность мероприятий, предусматривающих определенную расстановку работников в процессе производства, соответственно организация производства, разделение и кооперации труда, использую методы и приемы осуществления производственных процессов, приняты виды нормирования труда, формы и системы его оплаты, способы поддержания дисциплины труда.

Направления совершенствования организации труда: организация форм разделения и кооперации труда, улучшение подготовки и повышение квалификации кадров, применение прогрессивных методов нормирования труда и расширение его сферы.

Все эти и другие направления совершенствования труда универсальный и пригодный для предприятий любого уровня и формы собственности, для работников любой категории. Они должны осуществляться в тесной взаимосвязи и постоянно.

Задача 1

Построить график движения деталей и определить длительность технологического (операционного) цикла обработки партии при:

. Последовательном виде движения партии деталей.

. Параллельном.

. Смешенном (параллельно-последовательном).

Привести положительные и отрицательные стороны каждого вида движения деталей.

Исходные данные:

. Размер партии обрабатываемых деталей - 4 шт.

. Норма штучного времени по операциям, норма-час (см. табл.1).

Таблица 1 Исходные данные по вариантам

Вариант

Операция

1

2

3

4

12

t шт.

0,2

0,15

0,3

0,25


Решение:

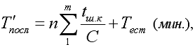
Последовательным видом движения называют такой способ передачи деталей (изделий), при котором обработка производится партиями, передача партии с операции на операцию происходит только после того, как все детали партии прошли обработку на предыдущей операции. При применении последовательного вида движения отдельные детали (изделия) длительное время пролеживают на каждой операции в ожидании окончания обработки всей партии. При последовательном виде движения продолжительность цикла определяется по формуле:

, где

          n - размер партии деталей, шт.;

          tш.к - полная норма времени на операцию (штучно-калькуляционная норма времени);

С - число рабочих мест на операции (фронт работы).- число операций в процессе;

Тест - длительность естественных процессов, час.

Тпосл = 4(0,2 + 0,15 + 0,3 + 0,25) = 3,6 час

Строим график последовательного вида движения.


Последовательный вид движения обычно применяется в единичном и мелкосерийном производстве.

Параллельным видом движения называется такой способ передачи деталей (изделий), при котором с операции на операцию детали (изделия) передаются поштучно или небольшими транспортными партиями. При таком способе передачи каждая деталь (или транспортная партия) после обработки передается сразу на следующую операцию до окончания обработки остальных деталей в партии.

При параллельном движении партии обеспечивается наиболее короткая длительность технологического производственного цикла Т´ пар :


Принимаем передаточную партию р = 1.

Тпар = (4 - 1)*0,3 + (0,2 + 0,15 + 0,3 + 0,25) = 1,8 час

Строим график параллельного вида движения.


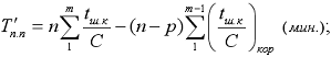
Параллельно-последовательным (смешанным) видом движения называется такой способ передачи деталей (изделий), при котором отдельные детали в партии частично одновременно обрабатываются на двух или нескольких операциях технологического процесса и работа на всех операциях идет без перерыва. Одновременная (параллельная) обработка части партии на нескольких операциях уменьшает пролеживание отдельных деталей и приводит к сокращению длительности обработки по сравнению с последовательным способом.

При последовательно-параллельном виде движения продолжительность цикла определяется по формуле:

Тп.п = 4(0,2 + 0,15 + 0,3 + 0,25) - (4 - 1)(0,15 + 0,15 + 0,25) = 3,6 - 3*0,55 = 1,95 ч

Строим график последовательно-параллельного вида движения.


Задача 2

Предприятие обдумывает замену старого оборудования на новое. Балансовая стоимость старого оборудования Фб, а оставшийся полезный срок службы - 5 лет. Предприятие не планирует получить доход от утилизации старого оборудования через 5 лет, но может сейчас продать его по балансовой стоимости.

Стоимость нового оборудования Фп, нормативный срок службы пять лет, ликвидационная стоимость Фл. Ожидается ежегодная экономия на электроэнергии Сэ и трудозатратах Стз. Предприятие платит налог на прибыль по ставке 24%, ставка дисконтирования Е. Стоит ли производить замену оборудования?

Таблица 2 Исходные данные по вариантам

Вариант

П о к а з а т е л и


Фп, тыс. руб.

Фб, тыс. руб.

Фл, тыс. руб.

Сэ, тыс. руб.

Стз, тыс. руб.

Е, %

12

1400

800

130

90

100

11


Для принятия решения о целесообразности замены оборудования необходимо построить таблицу денежных потоков (табл. 3) и рассчитать обобщающие показатели эффективности производства: чистый дисконтированный доход ЧДД, индекс доходности ИД, срок окупаемости Со.


Аг = (1400 - 130)/5 = 254

Общее снижение затрат:

100 + 90 = 190 тыс. руб.

За вычетом налога:

190*(1 - 0,24) = 144

Таблица 3 Денежные потоки и обобщающие показатели эффективности замены оборудования

Показатель

0

1

2

3

4

5

Инвестиционная деятельность

1. Стоимость вводимого оборудования (Фп) 2. Стоимость выводимого оборудования (Фб)

1400 800






3. Ликвидационная стоимость вводимого оборудования (Фл)






130

4. Чистый денежный поток от инвестиционной деятельности

-600






Операционная деятельность

5. Общее снижение текущих затрат (без амортизации) с учетом налогов 6. Экономия на налогах от изменения амортизационных отчислений


144   254

144   254

144   254

144   254

144   254

7. Чистый денежный поток от операционной деятельности


398

398

398

398

398

8. Общий чистый денежный поток

-600

398

398

398

398

398

9. Кумулятивный чистый денежный поток

-600

-202

196

594

992

1390

10. Коэффициент дисконтирования 11. Дисконтированный чистый денежный поток 12. Кумулятивный дисконтированный чистый денежный поток (ЧДД)

11%  -600 -600

11%  359 -241

11%  323 82

11%  291 373

11%  262 635

11%  236 871

Чистый дисконтированный доход ЧДД (чистая текущая стоимость)

871

Индекс доходности ИД (PI)

2,45

Срок окупаемости Со (PP)

1,75


Чистый дисконтированный доход определяется как сумма дисконтированного дохода по всем периодам:

ЧДД = -600 + 359 + 323 + 291 + 262 + 236 = 871 тыс. руб.

Индекс доходности - отношение дисконтированных поступлений к дисконтированным результатам:

ИД = (359 + 323 + 291 + 262 + 236)/600 = 2,45

кадры персонал производительность труд

Срок окупаемости:

без дисконтирования:

РР = 1 + 202/398 = 1,5 года

- с дисконтированием:

 = 1 + 241/323 = 1,75 года


Список литературы

1. Новицкий Н.И. Организация производства на предприятиях: Учебно-метод. Пособие.- М.: Финансы и статистика, 2001.

. Новицкий Н.И. Основы менеджмента: Организация и планирование производства (Задачи и лабораторные работы). - М.: Финансы и статистика, 1998.

. Фатхутдинов Р.А. Производственный менеджмент. - М.: ЗАО "Бизнес-школа Интел-Синтез", 2000.

. Фатхутдинов Р.А. Организация производства: Учебник. - М.: ИНФРА-М, 2000.

. Кожекин Г.Я., Синица Л.М. Организация производства: Учеб. Пособие - М.: ИП "Экоперспектива", 1998.

. Организация производства на предприятии: Учебник для технических и экономических специальностей: Под ред. О.Г. Туровца и Б.Ю. Сербиновского. Серия "Экономика и управление".- Ростов-на-Дону: Издательский центр МарТ, 2002.

Похожие работы на - Методы расчета численности рабочих

 

Не нашли материал для своей работы?
Поможем написать уникальную работу
Без плагиата!
Без нейросетей!