Кластеры как технология повышения эффективности управления социально-экономическим развитием

  • Вид работы:
    Дипломная (ВКР)
  • Предмет:
    Эктеория
  • Язык:
    Русский
    ,
    Формат файла:
    MS Word
    194,64 Кб
  • Опубликовано:
    2015-01-22
Вы можете узнать стоимость помощи в написании студенческой работы.
Помощь в написании работы, которую точно примут!

Кластеры как технология повышения эффективности управления социально-экономическим развитием

Федеральное агентство по образованию

Государственное образовательное учреждение высшего профессионального образования

Астраханский государственный университет

Лаборатория конкурентоспособности и кластерных инициатив







Дипломный проект

Кластеры как технология повышения эффективности управления социально-экономическим развитием












Астрахань - 2007

Содержание

Введение

Глава 1. Теоретико-методологические основы кластерно-ориентированного подхода управления социально-экономическим развитием

.1 Анализ основных подходов к понятию кластера и механизм его функционирования

.2 Методики оценки кластеризации отраслей региона

Глава 2. Оценка потенциала туристского кластера и возможные направления его развития

.1 Количественный анализ конкурентной устойчивости туристской отрасли

.2 Качественный анализ составных элементов туристского кластера Астраханского региона

.3 Организационные рекомендации по реализации кластерных инициатив на территории Астраханской области

Заключение

Список использованной литературы

Приложения

Введение

Необходимость повышения эффективности экономической деятельности регионов ставит перед территориями новые задачи, прежде всего связанные с выбором конкурентоспособной модели региональной экономики, позволяющей максимально использовать имеющийся потенциал. В связи с этим представляется важным создание такой системы управления региональным развитием, которая была бы направлена на постоянное и устойчивое повышение добавленной стоимости, создаваемой на территории того или иного региона. Для того чтобы достичь этого, на смену устаревшим подходам должны прийти новые технологии управления региональным развитием. К одной из таких технологий относится кластерный подход, основанный на преодолении узкого - отраслевого - видения экономики региона и переходе к комплексному использованию потенциала развития территории.

Специфика кластерно-ориентированной политики заключается не в создании представляющихся наиболее перспективными с точки зрения региональных управленцев "высокотехнологичных" и потенциально прибыльных кластеров, а в формировании максимально благоприятных условий для повышения производительности уже сформированных в ходе естественного исторического развития региона, а также в силу имеющихся географических предпосылок, реально функционирующих на территории региона кластеров. В связи с этим актуальным представляется определение степени кластеризации региона и выработка на основе полученных данных соответствующей региональной экономической политики.

Цель данной работы заключается в оценке уровня кластеризации туристской отрасли Астраханского региона.

В рамках достижения и раскрытия поставленной цели предполагается решение следующих задач:

. рассмотреть понятие кластера и изучить теоретические основы его формирования;

. выявить существующие методики, позволяющие определить обоснованность использования кластерно-ориентированной политики как основы регионального развития;

. провести количественный анализ конкурентной устойчивости ключевых предприятий туристской отрасли Астраханского региона;

. осуществить качественный анализ предприятий-поставщиков, сопутствующих предприятий туристской отрасли и бизнес-климата на территории региона.

Практическая значимость данной работы заключается в том, что её выводы и предложения могут являться теоретической и методической базой при реализации кластерного подхода в развитии отраслей Астраханского региона.

Работа состоит из введения, двух глав, заключения, списка использованной литературы (44 наименования) и 4 приложений. В первой главе "Теоретико-методологические основы кластерно-ориентированного подхода управления социально-экономическим развитием" рассмотрены существующие определения кластера, выявлены особенности его формирования и развития, а также обозначены существующие методики, позволяющие определить степень кластеризации отраслей региона. Во второй главе "Оценка потенциала туристского кластера и возможные направления его развития" проведено изучение конкурентной устойчивости туристской отрасли Астраханской области, выявлено наличие и уровень развития составных элементов туристского кластера, предложены мероприятия по эффективному внедрению кластерных инициатив на территории области.

В качестве источников информации использовались данные Государственного комитета по статистике Российской Федерации, Территориального органа Федеральной службы государственной статистики по Астраханской области и Агентства по туризму Астраханской области, монографии зарубежных и российских экономистов, научные статьи и материалы научно-практических конференций, периодической печати и сети Интернет.

В заключении содержатся основные результаты исследования и практические рекомендации по их использованию.

Глава 1. Теоретико-методологические основы кластерно-ориентированного подхода управления социально-экономическим развитием

.1 Анализ основных подходов к понятию кластера и механизм его функционирования

Необходимость повышения экономической эффективности региональных хозяйств ставит перед территориями новые задачи, прежде всего связанные с выбором конкурентоспособной модели региональной экономики, позволяющей максимально использовать имеющийся потенциал. Существует большое количество различных теорий формирования и развития конкурентоспособности. Как показывает практика развития успешных фирм и преуспевающих экономических систем, наиболее эффективной формой регионального роста является теория кластерного развития. Во многих развитых странах отраслевые кластеры стали привычной формой организации бизнес-сообществ. В качестве характерных примеров можно назвать автомобильный (Северный Рейн-Вестфалия, Германия), химический (Сингапур), биотехнологический (Швеция), продуктовый (Аризона, США), телекоммуникаций (Италия), аэрокосмический (Испания) кластеры.

Теории региональных кластеров в последние годы посвящено большое число зарубежных монографий и других публикаций. Основываясь на работах А. Вебера и Й. Шумпетера, опубликованных ещё в первой трети ХХ в., они определяют региональные и межрегиональные кластеры как межотраслевые комплексы, порожденные переходом к постиндустриальной информационной экономике. С. Розенфельд рассматривает их формирование как основу современного экономического развития и стратегии менее развитых регионов. И. Самплер трактует их как индустриальную структуру информационного века, другие авторы прямо связывают с глобализацией экономики.

Существующие точки зрения на понятие "кластер" можно условно разделить на две группы: в первую входят авторы, которые уделяют большое внимание на географическую составляющую кластера и во вторую, можно отнести авторов, которые при определении географическую составляющую считают малозначительной.

Профессор Гарвардской школы бизнеса М. Портер, даёт следующее определение кластеру - это группа географически соседствующих взаимосвязанных компаний и связанных с ними организаций, действующих в определенной сфере и характеризующихся общностью деятельности и взаимодополняющих друг друга. Достоинством этой теории является выделение принципиально нового структурного элемента в совокупности субъектов конкуренции, где "кластеры представляют новый и дополнительный способ организации экономики, её динамичного развития и принцип проведения государственной политики в регионах. Понимание состояния кластеров в регионе обеспечивает важное видение внутренних свойств производственного потенциала экономики кластеров и ограничений, существующих для их будущего развития". Однако в предлагаемой теории есть некоторые изъяны, прежде всего, непонятно, чем кластер отличается от простой совокупности предприятий в экономике. Дэн Хааг под кластером понимает "индустриальный комплекс, сформированный на базе территориальной концентрации сетей специализированных поставщиков, основных производителей, связанных технологической цепочкой, и выступающих альтернативой секторальному подходу". С.И. Соколенко трактует кластер как территориальное объединение взаимосвязанных предприятий и "учреждений в пределах соответствующего промышленного региона, направляющих свою деятельность на производство продукции мирового уровня". А. Воропов, изучая данный вопрос, пришел к выводу, что кластер есть "упорядоченная совокупность специализированных предприятий, выпускающих конкурентоспособную продукцию. По мнению В.М. Кутьина кластеры не обладают географическим детерминизмом, что он объясняет, во-первых, слабостью подавляющего большинства регионов России, а во-вторых, отмечает, что даже близко находящиеся на географической карте регионы настолько сильно отличаются ресурсным, людским потенциалами, что не позволяет отнести их к одному экономическому кластеру.

Анализ существующих толкований понятия "кластер" позволил сформулировать общее определение данного термина следующим образом. Кластер - это группа географически локализованных взаимосвязанных компаний, предприятий-поставщиков оборудования, комплектующих, специализированных услуг, инфраструктуры, научно-исследовательских институтов, вузов и других организаций, усиливающих конкурентные преимущества отдельных компаний, так и кластера в целом.

Основоположником теории кластерного развития является М. Портер, который обратил внимание на то, что наиболее конкурентоспособные в международных масштабах фирмы одной отрасли обычно не бессистемно разбросаны по разным развитым государствам, а имеют свойство концентрироваться в одной и той же стране, а порой даже в одном и том же регионе страны. Одна или несколько фирм, достигая конкурентоспособности на мировом рынке, распространяет свое влияние на ближайшее окружение: поставщиков, потребителей и конкурентов. В свою очередь, успехи окружения оказывают положительное влияние на дальнейший рост конкурентоспособности данной компании. В итоге формируется кластер. Вслед за первым в экономике часто образуются новые кластеры, и международная конкурентоспособность страны увеличивается. Когда формируется кластер, все производства начинают в нём оказывать друг другу поддержку. Выгода распространяется по всем направлениям связей. Новые производители, приходящие из других отраслей кластера, ускоряют развитие, стимулируя различные подходы к НИОКР и обеспечивая необходимые средства для внедрения новых стратегий. Происходят свободный обмен информацией и быстрое распространение новшества по каналам поставщиков или потребителей, имеющих контакты с многочисленными конкурентами. Взаимосвязи внутри кластера ведут к разработке новых путей в конкуренции и порождают совершенно новые возможности. Людские ресурсы и идеи образуют новые комбинации. Кластер становится средством для преодоления замкнутости на внутренних проблемах, инертности, несгибаемости, негибкости и сговоров между соперниками, которые уменьшают или полностью блокируют благотворное влияние конкуренции и появление новых фирм. Таким образом, наличие кластера позволяет национальной отрасли поддерживать свое преимущество, а не отдавать его тем странам, которые более склонны к обновлению. Наличие целого кластера отраслей ускоряет процесс создания факторов там, где имеется группа внутренних конкурентов. Все фирмы из кластера взаимосвязанных отраслей делают инвестиции в специализированные, но родственные технологии, в информацию, инфраструктуру, человеческие ресурсы, что ведёт к массовому возникновению новых фирм. Кластеры являются причиной крупных капиталовложений и пристального внимания правительства, т.е. кластер становится чем-то большим, чем простая сумма отдельных его частей. В процессе развития кластера экономические ресурсы начинают притекать к нему из изолированных отраслей, которые не могут использовать их также продуктивно.

Важно отметить, что образование кластеров - естественный процесс, они могут быть эффективны, только если формируются по инициативе и при поддержке самих компаний, которые осознали необходимость создания кластера с целью повышения своей конкурентоспособности.

Таким образом, национальная конкурентоспособность во многом зависит от уровня развития отдельных кластеров. Этот факт имеет большое значение для правительственной политики и стратегии компании.

Возникновение кластеров объясняется передачей по технологическим цепочкам товаров с высокой потребительской ценностью, а также иных преимуществ высокой конкурентоспособности от ключевых фирм - ядра кластера - к предприятиям смежникам.

Конкурентоспособность распространяется и вверх по технологической цепочке. Предприятия кластера заставляют поднять качество поставляемых им полуфабрикатов и, тем самым, вынуждают своих поставщиков также повысить конкурентоспособность.

Центром кластера чаще всего бывает несколько мощных компаний. Между ведущими крупными фирмами сохраняются конкурентные отношения. Поэтому кластер не следует путать с картелем или финансовой группой. Далее кластер предоставляет исключительно благоприятные условия для развития специализированных производств, прежде всего обслуживающего и поддерживающего характера. Лидирующие на мировом рынке крупные компании и фирмы нуждаются в большом количестве приспособленного к их технологиям оборудования, материалов и т.п., что создает ёмкий рынок для небольших фирм с инновационной направленностью, которые в будущем и становятся генератором конкурентных преимуществ.

В основе процесса образования кластера лежит обмен информацией о потребностях, технике и технологиях между отраслями - покупателями, поставщиками и родственными отраслями. Механизмами, способствующими взаимообмену между кластерами, являются те условия, которые способствуют более легкому движению информации и координации интересов горизонтально и вертикально связанных фирм.

Фирмы - конкуренты из отраслей, имеющих международный успех, а иногда и целые кластеры часто располагаются в одном городе или районе. Концентрация соперников, их покупателей и поставщиков способствует росту эффективности специализации производства. Однако ещё более важным является влияние географической концентрации на совершенствование производственных процессов и внедрение новшеств внутри кластера.

Причины способностей предприятий кластера к инновациям, совершенствованиям, достижению конкурентных преимуществ состоят в наличии у региона базирования четырёх взаимосвязанных детерминант, образующих модель "национального ромба" (Приложение 1):

·              Факторные условия, то есть те конкретные факторы (например, квалифицированная рабочая сила или инфраструктура), которые нужны для успешной конкуренции в данной отрасли.

·              Условия спроса, то есть, каков на внутреннем рынке спрос на продукцию или услуги, предлагаемые данной отраслью.

·              Родственные и поддерживающие отрасли, т. е. наличие или отсутствие в стране родственных и поддерживающих отраслей, конкурентоспособных на международном рынке.

·              Стратегия фирмы, ее структура и конкуренты, то есть каковы в стране условия, определяющие процесс создания управления фирм, и каков характер конкуренции на внутреннем рынке.

Существуют две дополнительные переменные, в значительной степени влияющие на достижение функционирование и развитие региональных кластеров:

·              Случайные события, то есть те, которые руководство фирмы не может контролировать.

·              Государственная политика.

Отечественный и зарубежный опыт внедрения кластерных инициатив позитивно подтверждает целесообразность развития территориальных кластеров, которые, как правило, направлены на достижение следующих целей:

- повышение конкурентоспособности участников кластера за счёт внедрения новых технологий;

- снижение затрат и повышение эффективности соответствующих наукоёмких услуг за счёт эффекта синергии и унификации подходов в логистике, инжиниринге, информационных технологиях, менеджменте качества и т.д.;

обеспечение занятости в условиях реформирования крупных предприятий и аутсорсинга;

-        консолидированное лоббирование интересов участников кластера в различных органах власти.

Любая политика, направленная на развитие кластеров, начинается с определения уже существующих в регионе предпосылок их образования, примерами которых могут являться:

-        наличие ключевых собственников и предприятий, заинтересованных в сотрудничестве в рамках кластера;

-        кооперационные и иные связи между предприятиями, имеющими определенные традиции, отработанные механизмы взаимодействия, достаточно высокий уровень взаимного доверия;

         интерес со стороны органов власти в кластерном варианте развития экономики региона;

         наличие системы профессионального образования, обладающей необходимыми кадрами и опытом подготовки для соответствующих секторов экономики.

Профильную структуру региона формируют его базовые отрасли и предприятия, продукция которых экспортируется за пределы региона, и обеспечивают поступление в регион первичного дохода. Поэтому региональные власти в наибольшей мере заинтересованы в повышении конкурентоспособности и ускоренном развитии базовых отраслей. Местные отрасли обслуживают преимущественно потребности локального местного рынка, они реализуют функции перераспределения и умножения первичного дохода. Следовательно, они также влияют на социальные показатели региона и должны быть в сфере интересов региональных властей. Власть несёт ответственность за устойчивое экономическое развитие территорий, которое способствует созданию условий для реализации запросов жителей определённого региона. Поэтому опыт ускорения развития региональной экономики на основе кластеров привлекает интерес органов власти. Стратегия развития региона может быть намечена и реализована только в условиях согласованных интересов и действий власти и бизнеса. Кластер предоставляет дополнительные возможности обеим сторонам.

Предприятия, входящие в кластер, располагают разнообразной и концентрированной информацией о своей деятельности, о состоянии сектора экономики, о рынке трудовых ресурсов. Это существенно уменьшает объём аналитической работы, которую выполняют органы власти, и повышает достоверность информации. Участие властных структур в работе координационных органов кластера предоставляет власти возможность непосредственно влиять на принятие организационных и экономических решений в кластере, выступая при этом не в роли внешней принуждающей силы, а в качестве равноправного партнёра. Кластерный подход позволяет власти эффективно взаимодействовать с бизнесом, более глубоко понимать его характерные показатели и тактические задачи, даёт возможность целенаправленного, реального и мотивированного стратегического планирования ресурсов региона.

В рамках кластера власти могут брать на себя различные инициативы по стимулированию активной деятельности частного сектора. Например, субсидирование программ подготовки и переподготовки кадров открывает новые возможности перед предпринимателями, рабочими и специалистами.  Для малых и средних предприятий кластер может существенно понижать барьер выхода на рынки сбыта продукции и поставок сырья и материалов, рабочей силы. Используя репутацию кластера, предприятия малого и среднего бизнеса получают новые возможности доступа к финансовым ресурсам. Взаимодействие с региональными и муниципальными властями позволяет найти методы и средства разрешения той части из них, которые лежат в сфере компетенции области или муниципального образования. Используя влияние и авторитет кластера, бизнес и региональные власти совместно могут искать пути наиболее эффективного продвижения своих инициатив через федеральные структуры, включая подготовку законопроектов и лоббирование на федеральном уровне прохождения региональных и отраслевых инициатив.

Проведенные за рубежом исследования показывают, что кластеры стимулируют значительное повышение производительности и внедрение инноваций. Среди факторов, мотивирующих интеграцию различных фирм и организаций в отраслевой кластер, можно отметить следующие:

-      расширение технологической, научной и информационной инфраструктур;

         мобильность в использовании местных ресурсов;

-        повышение устойчивости межрегиональных связей;

         усиление партнёрских отношений во внешнеэкономическом сотрудничестве;

         повышение качества жизни и уровня благосостояния населения региона.

Естественно крайне важным являются механизмы финансирования кластера. Среди наиболее значимых статей затрат на его деятельность следует отметить: затраты на развитие инфраструктуры и её поддержание; затраты на отдельные проекты и программы кластера и т.д.

Финансирование развития кластера может осуществляться как на основе смешанного финансирования: взносы предприятий (участников кластеров) и бюджетного финансирования, так и в отсутствии или с минимальным участием бюджетных ресурсов.

Кластерный подход к изучению экономических процессов формирования конкурентоспособности применяется и в ряде других теорий. Е. Лимер рассматривал кластеры с высоким уровнем корреляционного экспорта при анализе торговли на национальном уровне. Французские ученые И. Толенадо и Д. Солье использовали понятие "фильеры" для описания групп технологических секторов. Формирование фильеров объяснялось зависимостью одного сектора от другого по технологическому уровню. Таким образом, фильеры представляют собой более узкую интерпретацию кластера, так как основываются на одном из критериев возникновения кластера - на необходимости создания технологических связей между отраслями и секторами экономики для реализации их потенциальных преимуществ.

Кластерный подход также используется в разработках шведских теоретиков. Их кластерная теория в основном формируется на структуре национальной экономики, а точнее на изучении взаимосвязей крупных шведских многонациональных корпораций. Здесь кластеры базируются на тезисе Е. Дахмена "о блоках развития". Основой развития конкурентного успеха по Дахмену является наличие связи между способностью одного сектора развиваться и способностью обеспечивать прогресс в другом. Развитие должно происходить поэтапно, или по "вертикали действий" в пределах одной отрасли, связанной с другими отраслями, что обеспечит возможность завоевания конкурентных преимуществ.

Наиболее современные теории развития конкурентоспособности на основе кластеров разработаны В. Фельдманом. Преимущества данной теории заключаются в том, что они основаны на обширных эмпирических исследованиях диверсификационных форм в различных странах. Суть теории заключается в следующем. Диверсификация часто следует матрице "затраты-выпуск" или контактам между отраслями, связанными отношениями поставок и приобретения. Это согласуется с механизмами, которые ведут к образованию кластеров. Более того, наиболее жизнеспособные кластеры инновационной активности формируются на основе диверсификации.

Таким образом, отечественный и зарубежный опыт использования кластерных инициатив позитивно подтверждает целесообразность развития территориальных кластеров. Кластерный подход, предложенный профессором Майклом Портером, способствует повышению конкурентоспособности региона, которая зависит от его способности изготавливать продукцию и услуги, конкурентоспособные по сравнению с другими регионами страны и мира. Наличие такой продукции в регионе выступает гарантом повышения качества жизни и уровня благосостояния населения региона. Использование кластерного подхода способствует увеличению деловой активности предпринимательских структур, улучшению инвестиционного климата в регионе, развитию социальных, экономических, информационных и интеграционных систем, что, в свою очередь, непременно даёт импульс для более интенсивного развития предпринимательства, привлечения инвестиций и экономического подъёма. Необходимо отметить, что региональное экономическое развитие на основе стимулирования кластеров предполагает инициативу и совместные усилия, как бизнеса, так и власти. Подобные объединения оказывают положительное влияние не только на отдельные предприятия, но и на экономику региона в целом.

.2 Методики оценки кластеризации отраслей региона

Одной из главных задач в системе повышения конкурентоспособности региона является выявление потенциала его кластеризации. В связи с этим важным становится вопрос измерения её уровня, который определяется показателями, иллюстрирующими количественные и качественные изменения в конкретной отрасли того или иного региона. По причине уникального и многогранного функционирования каждого отдельного кластера существует острая необходимость в разработке методологического подхода, позволяющего определить обоснованность использования кластерных инициатив, способного не только оценить результаты работы существующих кластеров, но и выявлять ключевые составляющие их успеха, изучать внутреннюю структуру и процессы, протекающие в них. Поскольку кластерно-ориентированная политика является достаточно новым направлением в ускорении социально-экономического развития территорий методик, которые дают возможность проведения комплексного анализа системы разнородных факторов, определяющих уровень и тенденции развития конкретной отрасли не так много.

Наиболее комплексным методом по выявлению потенциала кластеризации территорий является проведение анализа конкурентной устойчивости предприятий региона, который дополняется анализом конкурентной устойчивости отрасли, то есть группы предприятий региона, выпускающих однородную или технологически почти однородную продукцию.

Выявление потенциала кластеризации территории предполагается посредством проведения:

-        количественного анализа конкурентной устойчивости, то есть определения рыночной позиции, ключевых предприятий региона, составляющих ядро кластера;

-        качественного анализа предприятий-поставщиков и сопутствующих предприятий, необходимых для обеспечения конкурентоспособности ядра кластера, а также бизнес-климата на территории региона;

         оценки интенсивности взаимодействия составных элементов кластера.

Представляется важным остановиться на каждом из этапов анализа более подробно.

Количественный анализ конкурентной устойчивости включает в себя анализ статистических показателей, отражающих экономическую деятельность ключевых предприятий региона, в рамках которого производится расчёт следующих коэффициентов: коэффициент локализации данного производства на территории региона, коэффициент душевого производства и коэффициент специализации региона на данном виде производства.

Коэффициент локализации может рассчитываться на основе использования различных данных, характеризующих деятельность предприятий - по объёму произведённой продукции, основным производственным фондам, численности основного персонала, производительности труда, фондоотдаче, инвестициям в основной капитал, иностранным инвестициям, экспорту и импорту. Например, коэффициент локализации производства определяется отношением удельного веса стоимостного объёма продукции ключевых предприятий региона в общем объеме регионального производства к аналогичному показателю в целом по стране.

Коэффициент душевого производства исчисляется отношением удельного веса стоимостного объёма продукции ключевых предприятий региона в общем объеме производства аналогичной продукции по стране к удельному весу населения региона в населении страны.

Коэффициент специализации региона определяется как отношение удельного веса стоимостного объёма продукции ключевых предприятий региона в общем объеме производства аналогичной продукции по стране к удельному весу общего объема региональной продукции в ВВП страны.

Полученные данные отражают отношение степени развития данного вида производства на территории региона к аналогичному показателю на уровне страны, что позволяет выделить базовые или ведущие виды деятельности (при показателях выше единицы).

В ходе второго этапа анализа осуществляется изучение комплекса условий, каждое из которых в отдельности и все вместе, составляют основу конкурентной устойчивости кластера:

·          Наличие факторов производства, необходимых для ведения конкурентной борьбы.

·          Наличие спроса на внутреннем рынке на продукцию ключевых предприятий кластера.

·          Наличие конкурентоспособных предприятий-поставщиков или других сопутствующих предприятий в регионе.

·          Наличие факторов, мотивирующих формирование эффективных стратегий ключевых предприятий, важнейшим из которых является конкуренция на внутреннем рынке.

Качественная оценка факторов производства заключается в определении наличия и доступности (недоступности) природных, материальных, трудовых, инфраструктурных и прочих факторов производства.

Спрос на внутреннем рынке на продукцию ключевых предприятий кластера оценивается как с помощью количественных, так и качественных показателей. В ряду количественных показателей выступают:

1.      доли продукции ключевых предприятий, реализуемой в пределах региона, в пределах федерального округа, в России, в постсоветских республиках, за рубежом и их динамика за последние 3-5 лет;

2.      коэффициент межрегиональной товарности, который рассчитывается как отношение вывоза с территории региона данной продукции к её региональному производству;

.        доля аналогичной продукции производителей других регионов, реализуемой в исследуемом регионе, в том числе импортной.

Уровень требовательности покупателей региона к ассортименту, новизне и качеству данной продукции предполагается оценивать посредством проведения маркетингового исследования среди потребителей данного продукта.

Количественными показателями при оценке конкурентоспособных предприятий-поставщиков и сопутствующих предприятий в данном регионе выступают:

доли предприятий-поставщиков, расположенных в пределах региона, в пределах федерального округа, в России, в постсоветских республиках, за рубежом и динамика их поставок за последние 3-5 лет;

доли продукции предприятий-поставщиков, находящихся на территории региона, реализуемой в пределах региона, в пределах федерального округа, в России, в постсоветских республиках, за рубежом и динамика их поставок за последние 3-5 лет.

Данный этап анализа завершается оценкой факторов, мотивирующих формирование эффективных стратегий ключевых предприятий, важнейшим из которых является конкуренция на внутреннем рынке, определяемая степенью вмешательства государственных органов, уровнем локализации предприятий на территории региона, наличием крупных конкурентов и т.п.

Третий этап анализа заключается в определении степени взаимодействия составных элементов кластера посредством экспертных оценок, полученных на основе результатов специализированных опросов руководителей исследуемых предприятий по следующим возможным аспектам:

. наличие и степень активности профессиональных некоммерческих организаций (ассоциаций, союзов);

2. наличие и степень активности научно-исследовательских организаций;

3. наличие и уровень учреждений профессионального образования;

. степень содействия государственных учреждений;

. наличие и степень содействия организаций СМИ.

Результатом трех этапов анализа является выявление тех видов деятельности на территории, в которых возможно достижение конкурентных преимуществ региона с помощью кластерно-ориентированного подхода. Полученные оценки позволят сформулировать следующие выводы:

·              выявлены кластеры с высоким потенциалом развития, нуждающиеся в информационной поддержке и минимальном управляющем воздействии;

·              выявлены кластеры, в которых имеются предпосылки развития при целенаправленных длительных управляющих воздействиях;

·              отсутствие потенциала развития кластеров.

Другая методика, способная идентифицировать региональные кластеры, ориентированные на внешний или на внутренний рынок предложена Блудовой С.Н.

Согласно данному подходу на первом этапе необходимо провести оценку отраслевой специализации региона и проанализировать тенденции его развития (см. приложение 2).

Экономика регионов обладает определенной промышленной базой и на первом этапе наиболее реально формирование кластеров на основе имеющихся региональных ресурсов. Основываясь на классических теориях внешней торговли, учитывая доказанный факт о более высоких показателях объёма производства продукции, занятости и производительности труда в отраслях, имеющих экспортную ориентацию для оценки отраслевой специализации региона, предлагается использование коэффициентов локализации объёмов производства, занятости, производительности труда, инвестиций в основной капитал, иностранных инвестиций, экспорта и импорта (см. приложение 3).

При этом в дальнейшем определяется значение отрасли для региональной экономики: экспортоориентированная, импортозамещающая или отрасль для региональных нужд на основе значения коэффициентов локализации. кластер региональный туристский конкурентный

При формировании кластеров и выборе из них наиболее приоритетных необходимо оценить не только коэффициентов локализации, но и его динамику, так как увеличение значения показателей в динамике свидетельствует о возможных дальнейших перспективах роста кластеров, а снижение - о возможной необходимости расширения ассортимента выпускаемой продукции, необходимости модернизации производства или о не перспективности кластера в будущем.

После проведения соответствующих вычислений можно сделать следующие выводы: если значение коэффициента локализации более 1,25, то отрасль является экспортоориентированной, если находится в промежутке от 0,75 до 1,25, то целесообразно отнести ее к числу импортоориентированных, если значение коэффициентов локализации менее 0,25, то это отрасль, используемая в масштабах региона.

Следующим этапом является оценка рациональности структуры экспорта для экспортоориентированных отраслей, импорта для импортоориентированных и формирование на основе проведенной оценки оптимальной структуры внешнеторговых операций (см. приложение 2).

Для оценки товарной структуры внешней торговли автором предлагается использование достаточно широко известных за рубежом, но пока не получивших широкого распространения в нашей стране коэффициентов типа Грубела-Ллойда и Баласса. Использование этих коэффициентов, наиболее оправданно именно на региональном уровне, вследствие некоторых ограничений обработки статистической информации по объёму. Так как расчет коэффициентов осуществляется на основе данных товарной номенклатуры внешней экономической деятельности, содержащей большой объем данных, обработка которых на федеральном уровне, как считает Блудова С.Н., не эффективна и нецелесообразна, вследствие невозможности выработки необходимых индивидуальных решений по совершенствованию структуры экспортно-импортных операций регионов.

Расчёт коэффициентов внутриотраслевой торговли позволяет получить дополнительную информацию об уровне социально-экономического развития региона и определить приоритетные направления развития международной торговли применительно к торговым партнерам, находящимся на различных ступенях социально-экономического развития.

Непосредственно коэффициент Баласса позволяет оценить уровень внутриотраслевой специализации во внешней торговле по товарам.


где Эi - экспорт товара i данной страной в другие страны;

Иi - импорт товара i в данную страну из других стран;- число товаров, принятых для расчета.

Расчёт индекса Грубела-Ллойда позволяет оценить уровень развития внешней торговли по товарным группам. Оценка уровня развития внутриотраслевой торговли косвенным образом показывает уровень конкурентоспособности продукции, производимой в регионе.


где Эij, Иij - экспорт и импорт страны j группы продуктов i.

Для оценки структуры внешнеторговых операций в мировой практике используется индекс сравнительного преимущества (RCA), разработанный французским экономическим научно-исследовательским институтом и рассчитываемый как по экспортным, так и по импортным товарам. Это практически тот же коэффициент локализации экспорта или импорта определенного вида товара. Расчёт этих показателей позволяет выявить сравнительные преимущества региона в экспорте или импорте товаров.


где Э р т j - экспорт из региона j-го товара;

Э с - общий экспорт страны;

Э р - общий экспорт региона;

Э с т j - экспорт из страны j-го товара.


где И р т j - импорт из региона j-го товара;

И с - общий импорт страны;

И р - общий импорт региона;

И с т j - импорт из страны j-го товара.

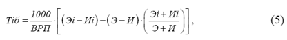
Для расчета вклада каждой товарной позиции во внешнеторговый баланс региона возможно использование следующей формулы, оценивающей сравнительное преимущество региона в торговле каким-либо товаром, также распространенной на западе.


где ВРП - валовой региональный продукт;

Эi - объем экспорта товара i;

Иi - объем импорта товара i.

В результате расчетов формируется группа товаров, производство которых является приоритетным для региона.

Следующим этапом является выявление базовых предприятий, производящих товары, имеющие важное значение для региона.

После выявления базовых предприятий необходимо изучение предприятий-поставщиков и смежников, которые будут включены в кластер, цепи поставки комплектующих.

На основе проведенного анализа региональных возможностей, оценки структуры внешнеторгового оборота происходит формирование кластеров. Вследствие невозможности на первом этапе формирования организовать максимальную региональную поддержку всем кластерам, которые могут быть организованы в регионе, необходимо четко определить кластеры, формирование которых приоритетно и всячески способствовать их развитию, причем это могут быть как экспорто- так и импортоориентированные кластеры.

В данном параграфе были рассмотрены методики исследования и оценки уровня кластеризации региона, проведен анализ существующих техник выявления кластеров, рассмотрена система показателей, характеризующих их деятельность. Результаты исследования по выявлению отраслей, имеющих хороший потенциал для быстрого и успешного роста, способных стать основой кластерного развития, могут быть получены с помощью комплексной количественной и качественной оценки. Организованные попытки использования различных методов и инструментов, позволяющих определить обоснованность использования кластерных инициатив, будут способствовать максимальному повышению конкурентоспособности региона.

Глава 2. Оценка потенциала туристского кластера и возможные направления его развития

.1 Количественный анализ конкурентной устойчивости туристской отрасли

На сегодняшний день одним из приоритетов экономической политики Астраханской области является обеспечение повышения уровня жизни населения путём ускорения экономического роста и повышения конкурентоспособности экономики региона. В связи с этим была принята "Программа социально-экономического развития Астраханской области с учётом удвоения валового регионального продукта на 2005-2007 годы", среди главных задач которой рост валового регионального продукта в 2 раза, обеспечивающий увеличение реальных денежных доходов населения в 1,83 раза и снижение уровня бедности в области до 7,5%, а также увеличение поступлений налогов в консолидированный бюджет области в 2,4 раза. В качестве инструмента достижения ускоренного экономического роста и повышения благосостояния населения Астраханской области, отраслей экономики и промышленности в целом были выбраны кластерные инициативы. Однако прежде чем осуществлять конкретные действия для повышения конкурентоспособности потенциальных кластеров, необходимо произвести количественный анализ конкурентной устойчивости отраслей региона. В рамках данного исследования осуществлена оценка степени кластеризации туристской отрасли Астраханской области.

На сегодняшний день современная туристская индустрия является одной из крупнейших, высокодоходных и наиболее динамично развивающихся отраслей мировой экономики. По темпам роста объемов продаж услуг туризм занимает третье место в мире, на его сферу приходится от 6 до 11% мирового ВНП, 7% мировых инвестиций, 5% всех налоговых поступлений, в туризме занято 12% трудоспособного населения в мире. По прогнозам Всемирного совета по туризму и путешествиям (WTTC), к 2014 году оборот инвестиций частного бизнеса во всем мире достигнет $2,5 трлн., а крупного бизнес-туризма - $595 млрд. Активное развитие туризма сегодня - это не только общемировая, но и российская тенденция. В настоящее время Россия находится на 13-м месте в Европе по популярности у туристов всего мира. Темпы роста российского туристического бизнеса составляют 7%, что вдвое выше, чем в среднем в мире, и втрое выше европейского прироста.

С недавнего времени и в Астраханской области туризм рассматривается как один из ведущих и наиболее перспективных секторов региональной экономики. Признаётся его особая роль в социально-экономическом развитии территорий, вклад в создание новых рабочих мест в секторе услуг и благоприятное воздействие на социальную сферу области. Туризм стимулирует развитие других сопредельных видов деятельности: торговли, транспорта, связи, сельского хозяйства и других.

Согласно данным Территориального органа Федеральной службы государственной статистики по Астраханской области в 2005 году по всем каналам реализации оказано населению области туристских и санаторно-оздоровительных услуг на сумму 406800,3 тыс. рублей, что составило 3,7% в общем объёме платных услуг, в 2004 году на 301399,2 тыс. рублей и 3,6% соответственно. Однако информация, отражённая в отраслевой целевой программе "Развитие туризма в Астраханской области на 2007 год" предоставленной Агентством по туризму Астраханской области, свидетельствует о том, что общий объём оказанных услуг в 2004 году составил 394757 тыс. рублей, а в 2005 году - 616374 тыс. рублей.

По сравнению с 2004 годом выручка от реализации туристских услуг увеличилась на 39,1% и составила 67342,8 тыс. рублей. В исследованных турфирмах затраты на производство туристического продукта по отношению к выручке от реализации туристских услуг уменьшилась со 108,0% в 2004 году до 60,2% в 2005 году.

В 2005 году турфирмы отчислили в бюджет и во внебюджетные фонды 6,1 млн. рублей обязательных платежей в противовес 37010 тыс. рублей в 2004 году и 44160 тыс. рублей в 2005 согласно отраслевой программе "Развитие туризма в Астраханской области на 2007 год".

За 2005 год обследованными туристическими фирмами было продано 8326 путёвок, из них 8315 населению (в 2004 г. - 17119), на общую сумму 83695,2 тыс. рублей (на 73,3% больше, чем в 2004 году). Более половины путёвок (59,5%) включали полный комплекс туристских услуг (услуги по размещению, перевозке, питанию туристов, экскурсионные услуги и другие услуги, предоставляемые в зависимости от целей путешествия). В области основная часть путёвок (99,7%) приобретена гражданами России, из них 86,4% для путешествий по территории России. За 2005 год турфирмами области согласно статистике было обслужено 11217 человек, из них 5,3% составили иностранные граждане, что в 11 раз меньше общего количества обслуженных туристов в отраслевой программе на 2007 год (всего обслужено 128766 человек, из них 6% - иностранные граждане).

Для Астраханской области характерен внутренний туризм, т.е. количество российских посетителей из других субъектов Российской Федерации. Так, 2005 году количество туристов, путешествующих по территории Российской Федерации, составило 9048 человек (9145 человек согласно отраслевой программе на 2007 год). Оборот внутреннего туризма в общем объёме увеличился с 73,3% в 2004 году до 81,8% в 2005 году. Основная часть отдыхающих (68,8%) посетила туристские базы области. Туристическими фирмами были организованы выезды туристов в Москву, Санкт-Петербург, Краснодарский край, Ставропольский край, Республику Татарстан, Карачаево-Черкесскую Республику, Республику Карелия, Пензенскую, Нижегородскую и Волгоградскую область. Распределение туристов, отправленных туристическими фирмами по субъектам Российской Федерации, представлено на рисунке 1.

Рис. 1. Количество отправленных туристов по субъектам РФ.

На основе информации, предоставленной Территориальным органом Федеральной службы государственной статистики по Астраханской области, можно сделать вывод о том, что популярность выездного туризма по сравнению с 2004 годом возросла, и в 2005 году количество астраханских туристов, выехавших по путёвкам турфирм в зарубежные страны, составило 1573 человека. Лидером среди зарубежных стран остаётся Турция, которую посетили 44,4% от общего количества выехавших туристов, кроме того, востребованными являются такие страны как Испания, Италия, Франция, Финляндия, Великобритания, Чехия, Хорватия, Болгария, Объединённые Арабские Эмираты, Египет и в другие страны Европы, Азии и Африки. Распределение туристов, отправленных турфирмами области по зарубежным странам, представлено на рисунке 2.

Рис. 2. Распределение отправленных туристов по зарубежным странам.

Иную ситуацию в области выездного туризма демонстрируют цифры, представленные в отраслевой целевой программе "Развитие туризма в Астраханской области на 2007 год": в 2004 году численность туристов, выехавших в зарубежные страны, составила 18103 человек, а в 2005 - 9145 человек.

В Астраханской области въездной туризм по направлениям представлен не столь разнообразно, как выездной, о чём свидетельствуют данные таблицы 1. В 2005 году, воспользовавшись услугами турфирм, в Астраханской области было принято 596 иностранных граждан (в 2004 - году 376 человек).

Таблица 1.

Международные туристские потоки.


Отправлено туристов за границу

Принято иностранных туристов


человек

Удельный вес в общем итоге, %

человек

Удельный вес в общем итоге, %

Всего

1573

100,0

596

100,0

 в том числе:





Австрия

4

0,2

200

33,6

Болгария

24

1,5

-

-

Великобритания

14

0,9

-

-

Германия

8

0,5

189

31,7

Египет

98

6,2

-

-

46

2,9

-

-

Италия

77

4,9

-

-

Израиль

17

1,1

-

-

Кипр

39

2,5

-

-

ОАЭ

73

4,7

-

-

Страны СНГ

7

0,4

-

-

Страны Прибалтики

15

1,0

12

2,0

Турция

698

44,4

-

-

Тунис

26

1,7

-

-

Финляндия

51

3,2

-

-

Франция

68

4,3

195

32,7

Хорватия

24

1,5

-

-

Чехия

89

5,7

-

-

Швеция

14

0,9

-

-

Другие страны

8,8

-

-

Комплексные туры

43

2,7

-

-


По данным Территориального органа статистики средняя численность работников в туристских фирмах области в 2005 году увеличилась на 17 человек (по сравнению с 2004 годом) и составила 326 человек, что весьма сомнительно, поскольку, по результатам инвентаризации Агентства по туризму Астраханской области количество субъектов туристской деятельности на территории региона составляет 643 единицы (из них около 250 баз отдыха). Другие цифры демонстрирует отраслевая целевая программа на 2007 год, согласно которой число занятых в туркомплексе увеличилось с 2190 человек в 2004 году до 2772 человек в 2005. Однако и эти показатели не отображают реальной ситуации в сфере занятости туристской отрасли, поскольку, согласно экспертным оценкам, численность персонала на одной базе отдыха в среднем составляет 15 человек.

За 2005 год на развитие деятельности гостиниц и туристических агентств по учтенному кругу организаций в Астраханской области соответственно использовано 86430 и 683 тыс. рублей инвестиций в основной капитал.

В деятельности гостиниц основной объем инвестиций (98,1%) был освоен крупными и средними организациями. В деятельности туристических агентств все объёмы инвестиций сложились за счет малых организаций.

В 2005 году были введены в эксплуатацию четыре дома отдыха на 158 мест, одна туристическая гостиница на 22 места, две новые гостиницы на 27 мест.

На основе вышеизложенных статистических показателей необходимо определить уровень развития туристской отрасли, её значимость для экономики региона, концентрацию рабочей силы в данной сфере деятельности, а также уровень обеспеченности инвестиционными ресурсами. Показатели являются достаточно информативными, так как позволяют определить, какое значение имеет туристская отрасль для Астраханской области по сравнению с национальной экономикой в целом.

В связи с несоответствием информации, представленной в отраслевой целевой программе "Развитие туризма в Астраханской области на 2007 год" и Территориальным органом Федеральной службы государственной статистики по Астраханской области, расчёт коэффициентов был произведён исходя из данных, содержащихся в двух источниках. Специфика туристской отрасли и отсутствие необходимой статистической информации как на федеральном, так и на региональном уровнях обусловили невозможность осуществления расчёта некоторых коэффициентов. Полученные результаты количественного анализа туристской отрасли Астраханского региона приведены в таблице 2.

Таблица 2.

Коэффициенты конкурентной устойчивости туристской отрасли Астраханской области.

Наименование коэффициента

2004г.

2005г.


Расчёт по данным отраслевой целевой программы "Развитие туризма в Астраханской области на 2007 год"

Расчёт по данным Территориального органа Федеральной службы государственной статистики по Астраханской области

 Расчёт по данным отраслевой целевой программы "Развитие туризма в Астраханской области на 2007 год"

Расчёт по данным Территориального органа Федеральной службы государственной статистики по Астраханской области

Коэффициент локализации производства

6,1

4,66

 −

 −

Коэффициент локализации занятости

 0,37

0,05

 −

 −

Коэффициент локализации инвестиций

 −

 −

 −

 2,29

Коэффициент специализации

 4,54

3,46

 4,99

3,31

Коэффициент душевого производства

 2,39

1,83

 2,62

1,73


Данные таблицы свидетельствуют о том, что полученные коэффициенты превышают значение единицы, следовательно, можно говорить о туристской отрасли как об отрасли, специализации Астраханского региона, ключевые предприятия которой, составляющие ядро потенциального кластера, обладают конкурентной устойчивостью. Исключение составляет коэффициент локализации занятости, поскольку, как уже было отмечено выше, статистические показатели, используемые для расчёта данного коэффициента, не отображают реальной ситуации в сфере занятости туристской отрасли.

Подводя итог, отметим, что для повышения региональной конкурентоспособности и уровня благосостояния населения Астраханской области был выбран кластерно-ориентированный подход, как наиболее перспективный с точки зрения формирования максимально благоприятных условий для социально-экономического развития региона. В целях определения степени кластеризации отраслей Астраханской области был произведён количественный анализ конкурентной устойчивости на примере туристской отрасли. Анализ статистических данных показал наличие несоответствия информации, представленной в отраслевой целевой программе "Развитие туризма в Астраханской области на 2007 год" и Территориальным органом Федеральной службы государственной статистики по Астраханской области, а также отсутствие необходимых показателей как на федеральном, так и на региональном уровнях, что затрудняет расчёт ряда коэффициентов. Исходя из данных, полученных в результате количественной оценки можно судить о туристской отрасли как об отрасли с высоким уровнем развития, обладающей большой степенью значимости для экономики Астраханского региона.

.2 Качественный анализ составных элементов туристского кластера Астраханского региона

Количественный анализ конкурентной устойчивости туристской отрасли Астраханского региона показал, что данная отрасль является базовой и обладает высокой степенью значимости для экономики области, однако сложно говорить о туристском кластере, если его структура не завершена, не налажено взаимодействие между участниками, связи некрепкие и неэффективные. В процессе создания туристского продукта принимают участие не только ключевые фирмы потенциального кластера, но и сопутствующие и поддерживающие отрасли, в том числе такие сегменты индустрии туризма, как производство продуктов питания, спортивного и туристического снаряжения, гостиничный бизнес, торговля, сфера развлечений, СМИ, охрана природы и культурного наследия, банковские, страховые, а также иные сопутствующие услуги и работы.

В связи с вышеизложенным возникает необходимость проведения качественного анализа туристской отрасли, позволяющего определить наличие предприятий-поставщиков и сопутствующих предприятий, необходимых для обеспечения конкурентоспособности ядра туристского кластера, а также бизнес-климата на территории Астраханского региона.

Конкурентное преимущество Астраханской области заключается в особом географическом положении, наличии экзотических природных условий. Уникальная природа дельты Волги и Северного Каспия, наличие в регионе рыбных ресурсов, богатый животный мир Астраханского государственного биосферного заповедника способствуют развитию туризма в регионе. Астрахань обладает достаточно благоприятными условиями для создания объектов, потенциально пригодных в качестве мест отдыха и лечения. Мощности природных лечебных ресурсов и их разнообразие позволяют организовать в Астраханской области активный и востребованный санаторно-курортный комплекс. Целебные свойства воды, рапы озёр Баскунчак, Мраморное, Лечебное, разведанные к настоящему моменту источники минеральных и радоновых вод, существующие на территории области традиции кумысолечения наряду с условиями для климатолечения, а также наличие бальнеологических ресурсов создают благоприятные возможности для развития на территории Астраханской области лечебно-оздоровительного туризма. В области имеются несколько видов традиционных лечебных грязей, среди которых выделяются сульфидные иловые грязи озера Тинаки, активно используемые для различных эффективных процедур грязелечения.

Помимо уникальных природных ресурсов в Астраханской области существует достаточное количество объектов, представляющих туристический интерес. Историко-культурные и архитектурные памятники Астраханского края создают огромный потенциал для организации отдыха и туризма. Если до последнего времени в область ехали в основном рыболовы и охотники, то сегодня туристов всё чаще привлекают эксклюзивная экзотика и познавательные туры. Иностранцы с удовольствием посещают Астраханский кремль, мавзолей Курмангазы, национальные юрты. На водных акваториях дельты произрастает символ нашего края - лотос орехоносный - Каспийская роза, реликтовый представитель водной флоры. На территории области находятся 2 государственных природных заповедника федерального значения общей площадью 86,4 тыс. га (Астраханский государственный природный биосферный заповедник, Государственный природный заповедник "Богдинско-Баскунчакский"), 15 музеев (в том числе единственный в России "Музей Арбуза"), которые в 2005 году посетили 483,1 тыс. человек, культурный потенциал области включает 4 театра (Астраханский драматический театр, Театр юного зрителя, Театр кукол и Астраханский государственный музыкальный театр), 1 государственную концертную организацию - филармонию. Для многих стали любимыми маршруты по храмам и соборам области, по следам Золотой Орды. Один из интереснейших культурных центров Астрахани - Астраханская областная картинная галерея им. Б.М. Кустодиева, которая считается одним из лучших художественных музеев России.

Коллективные средства размещения: гостиницы, меблированные комнаты, мотели, общежития для приезжих, дома отдыха, санатории, турбазы и т.п. являются значимым элементом в туристском бизнесе и зачастую включаются в пакет услуг, предоставляемый туристическими агентствами. В 2005 году в Астраханской области находилось 449 средств размещения туристов (как введенных в эксплуатацию, так и строящихся), из них "ведомственных" баз отдыха - 128, на 4905 мест. Сеть коллективных средств размещения специального назначения области для отдыхающих включала 4 санаторно-курортных организации - санаторий для взрослых на 318 мест, детский санаторий на 50 мест, санаторный оздоровительный лагерь на 280 мест, санаторий-профилакторий на 90 мест, 18 организаций отдыха на 1273 места и 10 туристских баз на 290 мест.

Астраханская область является одним из самых привлекательных регионов для вложения средств в гостиничный бизнес: это и деловой, и туристический центр одновременно. Однако Астрахань один из самых дорогих городов в ЮФО по части гостиничного сервиса. Средняя стоимость люкс-номера составляет $250, единственный государственный отель, который принимает гостей города по ценам эконом-класса − гостиница "Лотос" (порядка 800-900 рублей в сутки).

По мнению аналитиков, основными участниками гостиничного рынка Астрахани в настоящий момент являются отели "Виктория Палас Отель", гостиницы "Астраханская", гостинично-развлекательный комплекс "Интурист&Спа", гостиничный комплекс "Корвет". Однако они не способны в полной мере удовлетворить спрос, поскольку на местном рынке отмечается острый дефицит номерного фонда, при этом спрос на гостиницы с каждым годом растёт. Значительная доля астраханских гостиниц (85%) принадлежит частным лицам − индивидуальным предпринимателям, продолжают работать и так называемые ведомственные гостиницы ("Астраханьнефтепром", "Дом артистов цирка" и т.д.), но их число в последнее время уменьшилось. Это связано с состоянием предприятий, которым они принадлежат.

За последние годы значительно вырос уровень требовательности со стороны потребителей к предоставляемым гостиничным услугам: наличие баров, кафе, ресторанов, бизнес-комнат, саун, бильярда, бассейна, тренажёрных залов, конференц-залов, предоставление услуг переводчика и т.д. Однако из 24 астраханских гостиниц официальное подтверждение о наличии 4 звёзд имеется лишь у одной ("Виктория Палас Отель"), а уровень звёздности остальных не соответствует действительности. Отмечается относительно невысокий процент номеров повышенной комфортности и предоставления дополнительного сервиса, что свидетельствует о том, что астраханские коллективные средства размещения в своей массе пока не могут обеспечить высокий уровень обслуживания граждан, особенно иностранных (из общего числа иностранцев, посетивших в 2005 году Астраханскую область, воспользовались услугами коллективных средств размещения только 7563 человека или 30,8%, а в 2004 году − 12456 человек и 38,6% соответственно).

Развитие туристского кластера трудно представить без наличия развитой транспортной инфраструктуры, обеспечивающей проезд туриста к конечному пункту путешествия и обратно. В области все виды транспорта имеют неодинаковую степень развития, перспективы и возможности использования в туризме. Наиболее массовым и популярным из всех видов транспорта является автомобильный, на его долю приходится 85,1% общего объёма пассажирских перевозок в области. Привлекательность туристского продукта зависит от условий перевозки туристов, поэтому важную роль в транспортной инфраструктуре имеет состояние автомобильных дорог. В области на начало 2006 года общая протяжённость автомобильных дорог общего пользования составила 2800 километров, из них 94,3% автодорог с твёрдым покрытием. Однако качество покрытия автомобильных дорог пока не отвечает уровню мировых стандартов и не всегда гарантирует комфортабельную и безопасную поездку (в 2005 году было отремонтировано 88 километров автомобильных дорог с твердым покрытием, что составило 3,1% от их общей протяжённости (в 2004 г. - 2,6%) и 153,8 погонных метра постоянных мостов). Учитывая то, что многие туристы используют для поездок к местам отдыха личные автомобили, другие пользуются местными автобусами, неразвитость дорожной сети и придорожного сервиса, является серьёзным препятствием для развития автомобильного туризма и доставки туристов к местам отдыха.

Возродился спрос на услуги прогулочных теплоходов, которыми в 2005 году обслужено 20,3 тыс. человек, что на 32,7% больше уровня 2000 года. На долю пассажиров на экскурсионно-прогулочных линиях приходится 4,7% всех перевозок пассажиров на этом виде транспорта и 1,3% его пассажирооборота. Основными компаниями на данном рынке услуг являются: ООО "Тинтур", ПБОЮЛ Воробьев Ю.И, ПБОЮЛ Бурцева О. В. и другие. В 2005 году внутренним водным транспортом перевезено свыше 436,0 тыс. пассажиров, из них 8,6 тыс. человек - туристы.

Важное место в транспортной инфраструктуре занимает астраханский аэропорт. В настоящее время Астрахань связана воздушными линиями с городами России, ближнего и дальнего зарубежья. Аэропорт г. Астрахани, который в силу географического положения используется авиакомпаниями России и других стран как промежуточный при выполнении рейсов, имеет статус международного уже более 10 лет, однако может его лишиться, так как и взлётная полоса и здание аэровокзала требуют полной реконструкции.

Городская транспортная система Астрахани представлена всеми видами наземного транспорта: трамвай, троллейбус, автобус, маршрутные легковые такси. В силу своей мобильности наиболее востребованной является маршрутная сеть пассажирского транспорта частных предпринимателей.

Развивается сеть ресторанов и кафе, система быстрого питания. Оборот предприятий общественного питания с 2002 по 2005 год увеличился в 1,6 раза. Оборот на предприятиях общественного питания коллективных средств размещения за 2005 год составил 5,6% от общего оборота общественного питания (2004 год - 6,1%). Наибольшим спросом у потребителей пользуются кафе и закусочные, где можно быстро и недорого поесть. В свою очередь, наблюдается рост уровня требовательности со стороны клиентов к ассортименту, новизне и качеству предоставляемых услуг в сфере общественного питания. В связи с этим увеличивается число ресторанов, предлагающих экзотику - мексиканские, японские, итальянские изыски, повышенный уровень обслуживания, кроме того, рестораны обычно могут предоставить автостоянки и прочие дополнительные услуги. Активно развиваются предприятия новых форматов при торговых комплексах, разрабатываются проекты создания гастрономических бутиков, например, ресторан класса "Премиум".

Другая необходимая составляющая развития туристического кластера − трудовые ресурсы. Кадровая структура турфирм сложилась следующим образом: в 2005 году численность основного персонала туристических фирм составила 309 человек, из них 82 человека имеют высшее, среднее или дополнительное туристическое образование. Подготовка кадров туристической отрасли осуществляется самими хозяйствующими субъектами, исходя из субъективного представления о требуемых для работника знаниях и навыках. В последние годы подготовку специалистов для индустрии туризма осуществляют 3 ВУЗа - Астраханский Государственный Технический Университет, Московская российская международная академия туризма, Международная академия туризма (подготовка менеджеров-управленцев), и 2 колледжа - колледж "Сервис и туризм" АГТУ и Колледж современных деловых международных коммуникаций, сервиса и туризма (на правах факультета) в АГУ. Недостаточное число преподавателей, обладающих соответствующими знаниями, отсутствие взаимодействия между учебными заведениями и предприятиями при формировании программ подготовки отраслевых специалистов и в вопросе определения потребности отрасли в кадрах привело к дефициту специалистов определенной квалификации, низкому уровню подготовки и несоответствию знаний и навыков работников мировым стандартам. В связи с чем, в целях решения задачи совершенствования системы подготовки кадров туристской индустрии Астраханской области, за период с 2002 по 2004 годы прошли обучение по специальности "Менеджер" 93 специалиста. Организованы курсы по повышению квалификации для обслуживающего персонала (поваров, официантов, администраторов, горничных) при Астраханском государственном политехническом колледже. В марте и июне 2005 года на базе Астраханского государственного университета были организованы курсы по специальности "Егерь ". На курсах прошли обучение специалисты 15 ведущих туристических фирм Астраханской области. Однако, не смотря на предпринятые действия сервис, предоставляемый большинством туристских объектов Астраханской области, находится на довольно низком уровне, а успешное позиционирование на международном рынке предъявляет высокие требования к обслуживающему персоналу объектов пребывания и посещения. Формирование современной системы подготовки, переподготовки и повышения квалификации туристских кадров на региональном уровне позволит создать условия для повышения качества оказываемых услуг.

Особую роль играет информационное обеспечение, причём в отличие от других секторов экономики роль областных структур в информационном обеспечении туристской деятельности должна быть ведущей. Правительство Астраханской области активизирует работу по продвижению региона в российском и международном сообществе. В рамках программы "Развитие туризма в Астраханской области" организовано участие региона в туристических выставках: Международной туристической выставке "Интурмаркет", Московской международной туристической выставке "MITT", Московской международной туристской ярмарке "MITF", Астраханской туристской выставке "ASTTOUR". Поводом привлечения туристов в Астраханскую область стало проведение ежегодного кинофестиваля "Улыбнись, Россия" с участием российских звёзд кинематографа и конкурса по рыбной ловле "Астраханская вобла". Постоянно ведётся обновление сайта "Туризм в Астраханской области", содержащего информацию о туристском потенциале региона. С другой стороны, в настоящее время рынок рекламной продукции, призванной рассказывать гостям региона о его достопримечательностях, недостаточно развит. Практически отсутствуют буклеты, сувениры, путеводители, карты, фотоальбомы, справочники и прочая продукция, содержащая информацию об Астраханской области. В областном центре отсутствуют и указатели, ориентирующие гостей на местности. Данная проблема становится всё актуальнее, поскольку приближается юбилей - 450-летие Астрахани, предусматривающий значительное повышение туристического интереса к области.

За последние 5 лет произошли позитивные перемены в индустрии развлечений. На сегодняшний день в городе функционируют киноцентры "Остров сокровищ" и "Октябрь", кинотеатр "Иллюзион", осуществляют работу бильярдные и ночные клубы, картинг центр, казино. Особого интереса заслуживает культурно-развлекательный комплекс "Октябрь" с уникальным зимним садом-дендрарием. Излюбленным местом многих туристов являются парки культуры и отдыха. В 2006 году на территории города Астрахани был открыт крытый ледовый каток "Горка", который пользуется большим спросом.

Привлечение отдыхающих на территорию региона представляется невозможным без наличия развитой коммуникационной инфраструктуры. Астраханская область обеспечена всем комплексом современных видов связи - сеть предприятий связи в области представлена 249 отделениями почтовой связи, 14 компаниями проводной телефонной связи. Ведущую роль занимает региональный филиал ОАО "Южная телекоммуникационная компания" "Связьинформ", которому принадлежит 86,5% монтированной емкости. Сеть общего пользования Астраханской области насчитывает 212 телефонных станций, из них 130 цифровых, ведется строительство оптических линий связи. Оптоволоконное кольцо охватило около 90% территории области. Интенсивно развиваются альтернативные средства связи. Сотовую связь в Астраханской области осуществляют 4 оператора: БиЛайн, МЕГАФОН, МТС и СМАРТС. Практически осуществлена задача 100% покрытия сотовой связью Астраханской области. Полностью покрыты трассы федерального значения, а также стратегически важные и курортные места отдыха. В период бурного развития сети "Интернет" наиболее востребованной услугой у пользователей становится доступ к сети.

Пищевая промышленность, призванная обеспечить устойчивое снабжение туристской отрасли региона продуктами питания собственного производства, представлена следующими основными подотраслями: рыбная, соляная, мукомольно-крупяная, хлебопекарная, плодоовощная, ликероводочная, мясная.

Рыбная отрасль занимает 31,5% в объемах пищевой промышленности. На территории области функционируют 161 предприятие по добыче и переработке рыбы, которые выпускают охлажденную, мороженую, соленую, копчено-вяленую продукцию, консервы разных видов, полуфабрикаты, кормовую муку. Во всем мире известны чёрная икра и изделия из красной рыбы, являющиеся визитной карточкой Астраханского региона. Наиболее известными предприятиями отрасли являются АО "Русская икра", ООО РСК "Держава-Шиппинг", РК "Дельта-плюс", ООО СПРК "Сардинный завод".

В Астраханской области расположено одно из старейших солеперерабатывающих предприятий ОАО "Бассоль", которое более 100 лет разрабатывает Баскунчакское месторождение поваренной соли (о. Баскунчак).

Практически полностью закрывает потребности внутреннего рынка в ликероводочной продукции ОАО "Астраханский ликероводочный завод". Продукция предприятия, включающая широкий ассортимент водок, настоек, винных напитков, неоднократно отмечалась высокими наградами на выставках, ярмарках, фестивалях. Предприятие постоянно работает над увеличением объемов выпуска и расширением ассортимента.

Благоприятные природно-климатические условия, наличие богатых водных ресурсов определили Астраханскую область как зону производства теплолюбивых овощебахчевых культур и риса. Занятые под овощные культуры площади являются крупнейшими в Поволжье. Астраханские овощные и бахчевые культуры отличаются высокими вкусовыми качествами. На территории Астраханской области расположены 14 овощеперерабатывающих предприятий, крупнейшими из которых являются ООО "Астраханский огород", ЗАО Управляющая компания Консервный завод "Харабалинский", ООО "АстраханьЭкопродукт".

Особое внимание в регионе уделяется развитию молочной промышленности. Проведена модернизация основных молокоперерабатывающих предприятий области (ООО "Володарский молочный завод", УМП "Молоко" Красноярского района, ООО "Пойма" Приволжского района, молочного завода ЗАО ПЗ "Юбилейный" Камызякского района, ООО "Ахтубинский молочный завод"), что позволило существенно увеличить объёмы производства и ассортимент цельномолочной продукции, повысить её конкурентоспособность.

Финансовая инфраструктура Астраханской области представлена филиалами крупных российских региональных банков, страховыми организациями, лизинговыми компаниями и представительствами кредитных организаций. В настоящее время возрастает интерес к данным видам услуг, поскольку они становятся неотъемлемым инструментом эффективной деятельности предприятий, как туристской отрасли, так и сопутствующих отраслей.

Для достижения положительных результатов в развитии туристской отрасли Астраханского региона необходимо активное участие и поддержка со стороны государства, местной администрации, содействие профессиональных некоммерческих и научно-исследовательских организаций, связанных с данной отраслью. В 2005 году правопреемником комитета по развитию туризма стало Агентство по туризму при Администрации Астраханской области, осуществляющее взаимодействие с Федеральным агентством по туризму РФ. В рамках своих полномочий Агентство по туризму разрабатывает и реализует целевые отраслевые программы развития туризма; совершенствует систему продвижения и реализации туристского продукта Астраханской области на внутреннем и мировом туристских рынках; содействует привлечению инвестиций в туристскую отрасль, развитию туристской инфраструктуры, кадровому обеспечению туристской индустрии и т.д. В 2003 году, развитие туристского сектора дополнилось новшеством - в апреле была создана общественная саморегулируемая организация туроператоров и турагенств Астраханская Туристическая Гильдия. Основными задачами работы гильдии являются: защита прав и законных интересов предпринимателей, разрешение правовых и экономических споров, оказание юридической помощи, совершенствование профессиональной деятельности персонала турфирм, обеспечение добросовестной конкуренции. Вступить в "Гильдию" может любая организация, занимающаяся туризмом в регионе. В 2004 году создан Астраханский Туристический Союз (саморегулируемая организация), который объединяет ведущие туристические компании, организующие рыбалку, охоту, отдых в дельте Волги. Членами Союза являются турагентские фирмы, гостиницы, транспортные организации, газеты и т.д.

В 2005 году в сфере рыболовства Агентством по туризму Астраханской области совместно с представителями общественных организаций (Астраханская Туристическая Гильдия, Астраханский Туристический Союз) проведена работа по внесению изменений в проект Правил рыболовства, позволяющих оптимально учесть потребности как рыболовной, так и туристской отрасли. Кроме того, Астраханская Туристическая Гильдия и Астраханский Туристический Союз неоднократно выступали в качестве спонсоров при проведении различных мероприятий, направленных на продвижение туристского продукта региона.

В 2005 году проводилась научно-исследовательская работа по расчету предельно-допустимых антропогенных нагрузок на экосистемы дельты реки Волги и составлению схемы размещения зон рекреации. Данная научная работа проводилась для определения путей устойчивого развития туристской отрасли и области в целом с учетом рационального природопользования. Ее результатами стали методика определения допустимых рекреационных изменений для дельты реки Волги, карты ландшафтно-экологического и функционального зонирования территории.

Помимо этого прорабатывался вопрос создания историко-археологического комплекса под открытым небом "Самосдельское городище". Целью данного мероприятия является популяризация исторического прошлого Нижнего Поволжья, а также привлечения внимания к городу как к уникальному объекту историко-культурного наследия и превращения его в объект, способный привлечь дополнительный поток туристов.

Для Астраханского региона, учитывая специфику турпродукта, особенно актуальна разработка особой экологической политики. Истощение рыбных ресурсов области, сокращение мест интенсивного лова, снижение качества воды в водных объектах, загрязнение атмосферного воздуха и отсутствие эффективной политики со стороны государства в сфере природопользования и восстановления ведут к ухудшению общей экологической ситуации в регионе и весьма негативно сказываются на состоянии туризма. В сложившейся ситуации политика области в системе охраны и использования ресурсов туризма должна строиться преимущественно на возобновляемых ресурсах и сберегающих ресурсы технологий, на принципе проектирования объектов и инфраструктуры туризма, позволяющем гармонично вписывать их в природную и культурную среду и снижения технологического воздействия на окружающую среду. Большое значение для оздоровления окружающей среды города так же имеет охрана и воспроизводство зелёных насаждений, особенно лесопарков.

Потребители туристского продукта - важная часть потенциального кластера, поскольку от предпочтений заказчика будет меняться сама карта туристского кластера. Данный факт предопределяет целесообразность исследования природы спроса на внутреннем рынке с помощью количественных и качественных показателей. Осуществление расчёта доли реализуемого турпродукта на разных рынках в рамках данного исследования не представляется возможным в силу отсутствия необходимых статистических показателей. Уровень требовательности покупателей региона к ассортименту, новизне и качеству данной продукции предполагается оценить посредством проведения маркетингового исследования среди потребителей туристского продукта.

Данный этап анализа завершается оценкой факторов, мотивирующих формирование эффективных стратегий ключевых предприятий, важнейшим из которых является конкуренция на внутреннем рынке, определяемая степенью вмешательства государственных органов, уровнем локализации предприятий на территории региона, наличием крупных конкурентов. По данным Территориального органа Федеральной службы статистики Астраханской области об оказании услуг туристам за 2005 год количество туристических фирм, действовавших на территории Астраханской области, составило 37, что на 24% больше, чем в 2004. Однако предложенные данные, не совпадают с информацией, предоставленной Агентством по туризму Астраханской области. Согласно отраслевой целевой программе "Развитие туризма в Астраханской области на 2007 год" количество туристических фирм, действовавших на территории региона в 2005 году, составило 63 единицы, что в 2,1 раза больше по сравнению с предыдущим. Нужно отметить, что, несмотря на разницу в цифрах, оба документа свидетельствуют об увеличении количества фирм на рынке туруслуг, следовательно, можно говорить об усилении конкуренции.

Одной из причин большого количества административных барьеров для вхождения в отрасль новых участников и предпосылкой существования теневого сектора отрасли представляется нормативно-правовое регулирование отрасли, отстающее от происходящих процессов и усложняющееся тем, что деятельность субъектов туристской индустрии регулируется нормативными актами разных отраслей права (гражданское, земельное, водное, лесное, природоохранное). Для исправления ситуации органами государственной власти планируется создание условий, способствующих легализации деятельности субъектов туристской индустрии.

Проведя качественный анализ предприятий-поставщиков и сопутствующих предприятий, требуемых для обеспечения конкурентоспособности ключевых предприятий туристского кластера, а также бизнес-климата можно говорить о том, что на территории Астраханской области имеются все составные элементы туристского кластера, однако для привлечения дополнительного потока туристов необходимо выполнение целенаправленных мероприятий по их совершенствованию (см. приложение 4). Для того чтобы сделать окончательные выводы о степени кластеризации туристской отрасли Астраханского региона представляется важным проведение соответствующего маркетингового исследования среди потребителей туристского продукта. Кроме того, должна быть осуществлена оценка интенсивности взаимодействия составных элементов туристского кластера посредством экспертных оценок, полученных на основе результатов специализированных опросов руководителей исследуемых предприятий.

.3 Организационные рекомендации по реализации кластерных инициатив на территории Астраханской области

Необходимость внедрения кластерно-ориентированного подхода на территории Астраханского региона обусловлена изменениями, произошедшими и происходящими на внешнем и внутреннем рынках туризма, увеличением роли туризма в экономике и социальной сфере региона, развитием межрегионального и международного сотрудничества.

Следующим этапом после определения степени кластеризации туристской отрасли Астраханского региона является привлечение участников кластера. Этот этап включает распространение информации о кластерной инициативе и о том, что представляет собой кластер, встречи с представителями главных предприятий отрасли, попытки вовлечь их в процесс образования кластера.

В кластерном развитии Астраханского региона важно создать хороший имидж инициативы и информировать общественность о ней. Следует регулярно поддерживать контакты с общественностью, сообщать о целях и стратегиях астраханских бизнесменов, участвующих в проекте, информируя её через СМИ о целях, статусе и деятельности туристского кластера на данный момент, так как поддержка общественности имеет большое значение для успешного развития любого кластера. Новости обо всех событиях в рамках проекта, основные статьи, отчёты обо всех собраниях участников кластера и других событиях, информация о туристском кластере должны быть размещены на веб-сайте. Аудитория, на которую должен быть рассчитан PR-проект: правительственные органы; научные круги, университеты; банки и другие финансовые учреждения; бизнес; СМИ; местные власти и широкие круги общественности.

Работа по формированию потенциальных участников кластера требует хороших межличностных навыков, поскольку координаторы проекта сначала должны будут заинтересовать людей, а затем убедить их в преимуществах кластерной инициативы.

В ходе привлечения участников кластера у координаторов проекта могут возникнуть такие сложности, как:

• Установление контактов. Составление первой базы данных участников кластера может потребовать много времени.

• Определение подходящей компании. Сложность определения подходящей компании включает в себя два аспекта. Во-первых, важно вовлечь в процесс образования кластера компании из каждого звена цепочки стоимости. Во вторых, определение организаций (компаний, товариществ, исследовательских институтов и т.д.), которые оказывают большое влияние на отрасль, может быть очень полезно. Привлечение этих ключевых участников будет означать, что другие компании должны будут присоединиться к кластерному процессу, чтобы не отставать от ставшей ведущей тенденции.

• Установить контакт с нужным человеком. Даже при наличии списка компаний-потенциальных участников кластера может быть сложно чего-либо добиться, не зная нужных людей. В первую очередь, необходимо встретиться с людьми, от которых зависти принятие решений. Во-вторых, результат данной встречи, целью которой является вовлечение в кластерную инициативу новых участников, зачастую зависит от того, открыт ли руководитель новым идеям, заинтересован ли в улучшении текущей ситуации и готов ли потратить время, чтобы получить в будущем преимущества, которые, возможно, в данный момент ещё не ощутимы.

• Непривычность и сложность кластерной концепции для потенциальных участников кластера. При инициировании кластерных проектов в разных странах кластерная концепция зачастую является новой и непонятной для большей части общественности. Поэтому на стадии привлечения потенциальных участников кластера потребуется много разъяснительной работы, которая должна вестись как с отдельными лицами, так и с общественностью в целом.

• Нежелание компаний сотрудничать с конкурентами. Многие компании могут опасаться, что сотрудничество с конкурентами приведёт к потере ими своих позиций на рынке. Усилия координаторов проекта должны быть также направлены на то, чтобы изменить это общее убеждение и помочь компаниям понять, что конкуренты могут стать их партнёрами при решении общих проблем.

• Скептицизм компаний по отношению к результатам кластерной инициативы. Зачастую компании не признают, что сотрудничество по решению проблем и реализации общих коммерческих инициатив, обмен опытом, идеями может принести не только неосязаемые, но и вполне конкретные результаты, такие, как возможность получение финансирования на более благоприятных условиях, рост доходов, новые экспортные рынки и т.д.

Работа по образованию кластера - это непрерывный процесс, включающий проведение ряда встреч с лидирующими участниками туристической индустрии, в ходе которых необходимо сформировать понимание целей и сущности понятия конкурентоспособности, разработать видение туристского кластера, идентифицировать его основные проблемы, разработать предварительные стратегии по указанным проблемам, сформировать кластерную рабочую группу. Решение проблем туристского кластера, сдерживающих его развитие, позволит ликвидировать или значительно ослабить барьеры для роста конкуренции и производительности внутри кластера. Это, в свою очередь приведет к максимальному использованию конкурентных преимуществ региона, что позволит повысить уровень благосостояния не только туристской отрасли, но и взаимосвязанных с ней секторов, благодаря системному эффекту внутри кластера, который не может возникнуть у разрозненных производителей.

В состав участников первой встречи должны входить лидирующие туристические агентства, гостиницы, транспортные компании, туристическая ассоциация, а также представители образовательных учреждений предоставляющих кадры в данную отрасль. Впоследствии собрания участников кластера должны проводиться регулярно.

Помимо собраний всех участников кластера необходимо проводить собрания небольших рабочих групп для обсуждения конкретных вопросов. Собрания всех участников кластера проводятся с целью определения приоритетных вопросов, принятия решений, имеющих отношение к деятельности кластера, поддержания контактов между участниками, обеспечения поддержки и выработки стратегических рекомендаций. Собрания же рабочих групп проводятся с целью выработки стратегии для использования возможностей конкретной отрасли, а также с целью подготовки новых предложений для собраний участников кластера.

Следующей стадией кластерного развития является установление стратегических связей. Изначально это может быть формальное закрепление связей, в дальнейшем кластер должен быть оформлен официально: зачастую создаются институты сотрудничества (координационные советы, консультационная комиссия по образованию и т.д.), подписываются меморандумы о сотрудничестве.

Разработка общего стратегического видения кластера на основе анализа конкурентных его преимуществ, определения потенциальных рынков сбыта для продукции кластера, результатов собраний участников кластера - наиболее важная цель деятельности кластера, так как планирование кластерных инициатив должно основываться на общем видении, целях и стратегии.

Хотелось бы отметить, что среди всех этапов кластерного развития работа по образованию кластера является ключевым и наиболее долгосрочным этапом. Поэтому кластерный центр может быть определён только один раз и в течение длительного времени оставаться без изменений. Он может меняться с развитием отрасли и изменением ситуации. Время, которое координаторы проекта тратят на привлечение потенциальных участников, сокращается с развитием кластера, так компании, не являющиеся участниками кластера, охотно присоединяться к кластерному процессу, когда увидят достижения участников кластера. Кроме того, участники кластера могут взять на себя ответственность за привлечение новых участников.

Таким образом, работа последнего этапа включает ряд действий, направленных на повышение конструктивности диалога между государством и бизнесом и качества принимаемых решений и последующего их исполнения. Необходимо, чтобы разные заинтересованные лица были вовлечены в процесс, участники кластера должны быть готовы потратить своё время, ресурсы и приложить усилия, чтобы деятельность кластера была успешной, найти общие интересы и выработать общие установки. Реализация данного этапа включает формирование кластерных рабочих групп для выявления проблем, с которыми участники туристского кластера сталкиваются при осуществлении своей бизнес деятельности. Это позволит, во-первых, выстроить систему взаимодействия внутри кластера, во-вторых, выработать у различных по роду деятельности организаций общее видение туристского кластера и, в-третьих, идентифицировать общие проблемы, которые будут решаться целевыми рабочими подгруппами. Так как для такого формата работы необходима инициатива частного сектора, его заинтересованность играет критическую роль. С другой стороны, важна готовность и государственных органов, к конструктивному диалогу для достижения общих целей.

Заключение

Подводя итог, отметим, что на сегодняшний день развитие кластеров является широко признанным инструментом сопутствующим экономическому развитию и повышению конкурентоспособности. Быстро распространяющееся число кластерных инициатив, как в развитых, так и в развивающихся странах по всему миру, отражает их эффективность и жизнеспособность.

Под кластером понимается группа географически локализованных взаимосвязанных компаний, предприятий-поставщиков оборудования, комплектующих, специализированных услуг, инфраструктуры, научно-исследовательских институтов, ВУЗов и других организаций, дополняющих друг друга и усиливающих конкурентные преимущества отдельных компаний и кластера в целом. Важнейшее преимущество кластерно-ориентированной политики заключается в том, что данный подход фокусирует внимание не на отдельных отраслях производства, а на связях между отраслями и фирмами, на развитии системы факторов производства и конкуренции, совместной разработке инноваций, повышении производительности труда и достижении дополнительных выгод от улучшения информационного обмена между участниками кластера. Поскольку кластерные инициативы являются достаточно новым направлением в ускорении социально-экономического развития территорий, методик, позволяющих определить степень кластеризации различных отраслей, не так много.

Показательной методикой идентифицирующей отрасли, имеющие потенциал для быстрого и успешного роста, способные стать основой кластерного развития, представляется комплексная количественная и качественная оценки. На основе данной методики был проведён анализ туристской отрасли Астраханского региона. Исходя из результатов, полученных в ходе количественной оценки можно судить о туристской отрасли как об отрасли с высоким уровнем развития, обладающей большой степенью значимости для экономики области. Качественный анализ предприятий-поставщиков и сопутствующих предприятий, требуемых для обеспечения конкурентоспособности ключевых предприятий туристского кластера, а также бизнес-климата показал наличие всех составных элементов туристского кластера.

Однако для окончательных выводов о степени кластеризации туристской отрасли Астраханского региона представляется важным проведение оценки интенсивности взаимодействия составных элементов туристского кластера с помощью экспертных оценок, полученных на основе результатов специализированных опросов руководителей исследуемых предприятий. Важно отметить, что объективная оценка уровня кластеризации туристской отрасли региона на современном этапе затрудняется в силу отсутствия необходимой статистической информации и некоторых показателей, связанных со спецификой отрасли.

Дальнейшая работа по внедрению кластерных инициатив на территории Астраханского региона должна быть направлена повышение конструктивности диалога между государством и бизнесом, посредством формирования кластерных рабочих групп для выявления проблем, с которыми участники туристского кластера сталкивается в осуществлении своей деятельности. Описанная методика может быть использована для оценки уровня кластеризации любой отрасли Астраханского региона, хотя она не претендует на окончательность и, несомненно, может подвергнуться доработке.

Список использованной литературы

 

1. Адрианов А.Ю., Линцен Л., Кластеры как инструмент развития некоммерческих организаций // www.dis.ru.

2. Алимбаев А.А., Притворова Т.П., Таубаев А.А. Формирование и развитие кластеров в условиях индустриально-инновационного развития Республики Казахстан // www.liter.kz

. Аналитическая записка за июль-август 2006 года Территориального органа Федеральной службы государственной статистики по Астраханской области

4. Блудова С.Н. Региональные кластеры как способ управления внешнеэкономическим комплексом региона // www.ncstu.ru

5. Бородатов А.В., Кожевникова В.Д. Инициатива по созданию севастопольского туристско-рекреационного кластера // Бизнес-партнер. - 2004. - №10. - с. 33-37.

. Буряк А.П., Воропов А.Г. Кластерный анализ - база управления конкурентоспособностью на макроуровне // Маркетинг. - 2003. - №1. - с. 34-40.

. Давыдов А.Р., Лялькина Г.Б. Новые формы организации инновационного процесса. Международный опыт // www.dis.ru

. Дранев Я.Н. Кластерный подход к экономическому развитию территорий. - М.: Издательский дом "Сканрус", 2003. - 195 с.

. Засимова Л.С. Темпы роста производства пищевой промышленности Астраханской области // www.volgainform.ru

10. Капустин А.Н. Туринвестиции: качество против количества // www. astrakhan.net

11. Кутьин В.М. Территориальная экономическая кластеризация (классификация) регионов России: социально-географический аспект// Безопасность Евразии. - 2003. - №1. - с. 21-28.

. Ли С. Кластеры - новые формы организации инновационного процесса // www.naukakaz.kz.

. Лозинский С., Праздничных А. Конкурентоспособность и отраслевые кластеры: новая повестка дня для российского бизнеса и власти // Мир стройиндустрии. - 2003. - №2. - с. 32-41.

. Мартынов Л.М. Темпы роста производства пищевой промышленности Астраханской области // www.caspy.net

. Мельникова С.В. Основа процветания астраханского туризма - особая экологическая политика // Туризм в России. - 2006. - №8. - с. 31-35.

16. Мигранян А.А. Теоретические аспекты формирования конкурентоспособных кластеров // www.dis.ru.

17. Михеев Ю.В., Хасаев Г.Р. Кластеры через партнерство к будущему// www.ptpu.ru.

18. Николаев М.В. Кластерная концентрация эффективной интеграции регионов в глобальную экономику // www.subcontract.ru

19. Перкина М.В. Гостиничный бизнес берёт звёзды с неба// Астраханские ведомости. - 2006. - №19. - с. 3.

20. Портер М.Э. Конкуренция: Пер. с англ.: Уч. пос. - М.: Издательский дом Вильямс, 2000. - 495 с.

21. Портер М. Международная конкуренция. - М.: Междунар. отношения, 1993.- 869 с.

. Постановление Правительства Астраханской области от 2510.2006 №368-П об отраслевой целевой программе "Развитие туризма в Астраханской области на 2007 год".

. Программа социально-экономического развития Астраханской области с учётом удвоения валового регионального продукта на 2005-2007 гг.

. Свиридов А.П. Астраханскую область может спасти экологический туризм // www.volga-astrakhan.ru

. Симачев Ю.В. Кластеризация как способ обеспечения конкурентоспособности региона // www.clusters-net.ru

. Соколенко С.И. От кластерных исследований к развитию сетевых коммерческо-производственных структур// Российский экономический журнал. - 2004. - №6. - с. 10-15.

. Соколенко С.И. Развитие туристическо-рекреационных кластеров: региональная инициатива Украины// Регион. - 2004. - №2. - с. 19-22.

. Спанкулова Л.С. Проблемы развития кластерной экономики промышленности на региональном уровне // АльПари. - 2004. - №2. - с. 16-

. Статистический ежегодник социально-экономического развития Астраханской области 2004, 2005 / Территориальный орган Федеральной службы государственной статистики по Астраханской области

. Стеблякова Л.П. Проблемы создания и развития кластеров экономики: опыт зарубежных стран // Труды Карагандинского университета бизнеса, управления и права. - 2005. - №2. - с. 22-29.

. Стеблякова Л.П., Вечкинзова Е.А. Формирование кластеров конкурентоспособности в центральном Казахстане // www.liter.kz

. Стратегический план развития муниципального образования "Город Астрахань" на 2005 - 2010 гг.

. Стратегия развития туризма в Астраханской области на средне- и долгосрочную перспективы 2005 г.

. Филиппов П. Кластеры конкурентоспособности // Эксперт. - 2003.- №43. - с. 10-15.

. Шеховцова Л.С. Кластер как современный инструмент повышения конкурентоспособности в регионе // www.clusters-net.ru

. www.astrahanpages.com

. www.astrasocial.ru

. www. astrgorod.ru

. www. astrobl.ru

. www. asttour.ru

. www.economy.astrobl.ru

. www. jilkin.ru

Приложения

Приложение 1

Ромб Портера.

Приложение 2

Блок-схема алгоритма формирования региональных кластеров

Приложение 3

Блок-схема алгоритма оценки отраслевой специализации региона

Приложение 4

Карта туристского кластера на территории Астраханской области.

Похожие работы на - Кластеры как технология повышения эффективности управления социально-экономическим развитием

 

Не нашли материал для своей работы?
Поможем написать уникальную работу
Без плагиата!
Без нейросетей!