Методы начисления амортизационных отчислений, их преимущества и недостатки

  • Вид работы:
    Курсовая работа (т)
  • Предмет:
    Менеджмент
  • Язык:
    Русский
    ,
    Формат файла:
    MS Word
    39,08 Кб
  • Опубликовано:
    2014-09-12
Вы можете узнать стоимость помощи в написании студенческой работы.
Помощь в написании работы, которую точно примут!

Методы начисления амортизационных отчислений, их преимущества и недостатки

Федеральное агентство по образованию и науке РФ

Белгородский государственный технологический университет им. В.Г. Шухова

Кафедра финансового менеджмента








КУРСОВОЙ ПРОЕКТ

по дисциплине: «Финансовый менеджмент»

на тему: «Методы начисления амортизационных отчислений, их преимущества и недостатки»








Белгород 2011

Содержание

Введение

Глава 1. Экономическое содержание процесса амортизации

.1 Основные фонды: состав, структура, учет и оценка

.2 Понятие, сущность амортизации

.3 Основные положения, регулирующие процесс начисления амортизационных отчислений

Глава 2. Анализ методов начисления амортизации

.1 Сравнительный анализ методов начисления амортизационных отчислений

.2 Расчет амортизации основных средств на предприятии

Глава 3. Совершенствование практического применения методов начисления амортизации

Заключение

Список использованной литературы

Приложение 1

Приложение 2

Введение

Экономическая система представляет собой совокупность общественных отношений в сфере производства, обмена и распределения продукции.

Общество постоянно нуждается в удовлетворении не только социальных, но и материальных потребностей, которые становятся целью процесса производства.

Данный процесс определяют пять основных факторов: труд, земля, капитал, предпринимательские способности и информация, выделяемая в отдельный фактор производства сравнительно недавно. Все факторы нуждаются в воссоздании, чтобы обеспечить непрерывность процесса производства материальных благ.

Труд воссоздается путем своевременной выплаты заработной платы, земля и предпринимательские способности - проведением восстановительных работ и в виде безукоризненного стремления к прибыли, информация - построением системы информационного обеспечения. Остается капитал, представляющий собой совокупность имущества и активов, используемых с целью получения прибыли.

Понятие капитала как фактора производства тесно связано с понятием основных фондов. Для того, чтобы капитал приносил прибыль в процессе производства, необходимо постоянно поддерживать его в первоначальном рентабельном состоянии, чтобы его неизбежный износ не наносил ущерба коммерческой деятельности предприятия. С целью избегания убытков и поддержания прибыльности капитальных фондов организация производит амортизационные отчисления.

Амортизационные отчисления на полное восстановление капитала производятся с дохода, получаемого от реализации продукции, созданной с помощью капитальных фондов.

Причем, фактически амортизационные отчисления включаются в стоимость произведенной данными капитальными фондами продукции и представляют собой перенесение стоимости постепенно изнашивающихся основных средств на стоимость вырабатываемой продукции.

Таким образом, амортизация - это процесс воспроизводства капитала. Чем быстрее происходит его воссоздание, тем эффективнее коммерческая деятельность организации, что подтверждает значимость изучения данной составляющей финансов.

Это становится особенно актуальным в условиях, когда на государственном уровне устанавливаются такие задачи, как стремительное развитие высокотехнологичных отраслей, повышение инвестиционной привлекательности страны, увеличение доли наукоемкого производства, требующих эффективного использования аккумулируемых для этого денежных фондов и капиталов.

Цель нашего курсового проекта - изучение основных методов начисления амортизации, определение их преимуществ и недостатков.

Задачи, которые были поставлены перед работой над этим проектом, представлены ниже:

определение главных теоретических аспектов, раскрывающих понятия основных средств, их износа и амортизации;

изучение и сравнительный анализ методов начисления амортизационных отчислений;

рассмотрение примера начисления амортизации на предприятии;

освещение важных мер по совершенствованию практического применения методов начисления амортизации.

Предметом исследования являются методы начисления амортизационных отчислений, выбор которых считается ключевым этапом проведения амортизационной политики.

Уровень освещения этой темы в литературных, публицистических источниках и СМИ признается довольно высоким, что создает благоприятные условия для работы над нашим проектом, гарантирует использование свежих статистических данных, дает возможность отражения последних изменений и нововведений в законодательстве данной отрасли, в опыте зарубежных стран и практике российских организаций.

Глава 1. Экономическое содержание процесса амортизации

.1 Основные фонды: состав, структура, учет и оценка

Основные фонды - это средства труда, которые многократно участвуют в производственном процессе, сохраняя при этом свою натуральную форму, постепенно изнашиваясь, переносят свою стоимость по частям на вновь создаваемую продукцию [6]. К ним относят фонды со сроком службы более одного года и стоимостью более 100 минимальных месячных заработных плат. Основные фонды подразделяются на производственные и непроизводственные фонды.

Производственные фонды участвуют в процессе изготовления продукции или оказания услуг (станки, машины, приборы, передаточные устройства и т.д.).

Непроизводственные основные фонды не участвуют в процессе создания продукции (жилые дома, детские сады, клубы, стадионы, поликлиники, санатории и т.д.).

Выделяются следующие группы и подгруппы основных производственных фондов.

Здания (архитектурно-строительные объекты производственного назначения: корпуса цехов, складские помещения, производственные лаборатории и т.д.).

Сооружения (инженерно-строительные объекты, создающие условия для осуществления процесса производства: тоннели, эстакады, автомобильные дороги, дымовые трубы на отдельном фундаменте и т.д.).

Передаточные устройства (устройства для передачи электроэнергии, жидких и газообразных веществ: электросети, теплосети, газовые сети, трансмиссии и т.д.).

Машины и оборудования (силовые машины и оборудование, рабочие машины и оборудование, измерительные и регулирующие приборы и устройства, вычислительная техника, автоматические машины, прочие машины и оборудование и пр.).

Транспортные средства (тепловозы, вагоны, автомобили, мотоциклы, кары, тележки и т.д., кроме конвейеров и транспортеров, включаемых в состав производственного оборудования).

Инструменты (режущий, ударный, давящий, уплотняющий, а также различные приспособления для крепления, монтажа и т.д.), кроме специального инструмента и специальной оснастки.

Производственный инвентарь и принадлежности (предметы для облегчения выполнения производственных операций: рабочие столы, верстаки, ограждения, вентиляторы, тара, стеллажи и т.п.).

Хозяйственный инвентарь (предметы конторского и хозяйственного обеспечения: столы, шкафы, вешалки, пишущие машинки, сейфы, множительные аппараты и т.п.).

Прочие основные фонды. В состав этой группы включают библиотечные фонды, музейные ценности и т.д. [7].

Удельный вес различных групп основных фондов в общей стоимости их на предприятии представляет структуру основных фондов. Структура зависит от отрасли, в которой функционирует предприятие. Например, на предприятиях машиностроения в структуре основных фондов наибольший удельный вес занимают: машины и оборудование - в среднем около 50%; здания около 37%.

В зависимости от степени непосредственного воздействия на предметы труда и производственную мощность предприятия основные производственные фонды подразделяют на активные и пассивные. К активной части основных фондов относят машины и оборудование, транспортные средства, инструменты. К пассивной части основных фондов относят все остальные группы основных фондов. Они создают условия для нормальной работы предприятия.

Основные фонды учитываются в натуральном и стоимостном выражении. Учет основных фондов в натуральном выражении необходим для:

определения технического состава и баланса оборудования;

для расчета производственной мощности предприятия и его производственных подразделений;

для определения степени его износа, использования и сроков обновления.

Исходными документами для учета основных фондов в натуральном выражении являются паспорта оборудования, рабочих мест, предприятия. В паспортах приводится подробная техническая характеристика всех основных фондов: год ввода в эксплуатацию, мощность, степень изношенности и т.д. В паспорте предприятия содержатся сведения о предприятии (производственный профиль, материально-техническая характеристика, технико-экономические показатели, состав оборудования и т.д.), необходимые для расчета производственной мощности.

Стоимостная (денежная) оценка основных фондов необходима для определения их общей величины, состава и структуры, динамики, величины амортизационных отчислений, а также оценки экономической эффективности их использования.

Существуют следующие виды денежной оценки основных фондов:

оценка по первоначальной стоимости, т.е. по фактическим затратам, произведенным в момент создания или приобретения (включая доставку и монтаж), в ценах того года, в котором они изготовлены или приобретены;

оценка по восстановительной стоимости, т.е. по стоимости воспроизводства основных фондов на момент переоценки. Эта стоимость показывает во сколько обошлось бы создание или приобретение в данное время ранее созданных или приобретенных основных фондов;

оценка по первоначальной или восстановительной с учетом износа (остаточной стоимости), т.е. по стоимости, которая еще не перенесена на готовую продукцию.

Остаточная стоимость основных фондов Фост определяется по формуле:

Фост = Фнач ·(1 - На· Тн), где

Фнач - первоначальная или восстановительная стоимость основных фондов, руб.;

На - норма амортизации, %;

Тн - срок использования основных фондов.

При оценке основных фондов различают стоимость на начало года и среднегодовую. Среднегодовая стоимость основных фондов Фсрг определяется по формуле:

Фсрг = Фнг + Фвв n1/12 - Фвыб ·n2/12, где

Фнг - стоимость основных фондов на начало года, руб.;

Фвв - стоимость введенных основных фондов, руб.;

Фвыб - стоимость выбывших основных фондов, руб.;и n2 - количество месяцев функционирования введенных и выбывших основных фондов, соответственно.

Для оценки состояния основных фондов применяются такие показатели, как:

коэффициент износа основных фондов, который определяется как отношение стоимость износа основных фондов к полной их стоимости;

коэффициент обновления основных фондов, рассчитываемый как стоимость введенных основных фондов в течение года, приходящаяся на стоимость основных фондов на конец года;

коэффициент выбытия основных фондов, который равен стоимости выбывших основных фондов деленной на стоимость основных фондов на начало года.

В процессе функционирования основные фонды подвергаются физическому и моральному износу. Под физическим износом понимается утрата основными фондами своих технических параметров. Физический износ бывает эксплуатационный и естественный. Эксплуатационный износ является следствием производственного потребления. Естественный износ происходит под воздействием природных факторов (температуры, влажности и т.п.).

Моральный износ основных фондов является следствием научно-технического прогресса. Существуют две формы морального износа:

форма морального износа, связанная с удешевлением стоимости воспроизводства основных фондов в результате совершенствования техники и технологии, внедрение прогрессивных материалов, повышения производительности труда;

форма морального износа, связанная с созданием более совершенных и экономичных основных фондов (машин, оборудования, зданий, сооружений и т.д.) [5].

Оценка морального износа первой формы может быть определена как разность между первоначальной и восстановительной стоимостью основных фондов. Оценка морального износа второй формы осуществляется путем сравнения приведенных затрат при использовании устаревших и новых основных фондов.

С целью восстановления и избегания потерь, связанных с физическим и моральным износом, на каждом предприятии формируются амортизационные фонды, важным элементом образования которых являются методы, применяемые в процессе начисления амортизационных отчислений, которые являются предметом данного курсового проекта.

1.2 Понятие, сущность амортизации

Для своевременной замены средств труда без ущерба для предпринимателя необходимо, чтобы стоимость выбывающих основных средств была полностью перенесена на готовую продукцию. В амортизационном фонде должны быть накоплены необходимые средства. Только при этом условии процесс воспроизводства основного капитала может осуществляться планомерно и эффективно.

Амортизация - это процесс постепенного перенесения стоимости основных средств по мере износа на производимую продукцию, превращая ее в денежную форму и накопления финансовых ресурсов в целях последующего воспроизводства основных средств.

С экономической точки зрения, амортизация - это денежное выражение части стоимости основных средств, перенесенных на вновь созданный продукт [4].

Амортизационный фонд - особый денежный резерв, предназначенный для воспроизводства основных средств. Он является финансовым ресурсом для капитальных вложений. Амортизационный фонд предназначен для простого воспроизводства основных фондов, замены изношенных средств новыми экземплярами, равными по стоимости.

Однако в условиях высоких темпов научно-технического прогресса амортизация служит источником расширенного воспроизводства основных средств. В процессе воспроизводства основных средств моменты их простого возобновления и расширения гармонично объединены, и их разграничение носит условный характер

Система - это целостное упорядоченное множество стабильно взаимосвязанных и устойчиво взаимодействующих в пространстве и во времени элементов формирующих ее некоторые интегративные свойства и функционирующих совместно для достижения определенной цели, стоящей перед данной системой [8].

Амортизационная система может быть представлена следующими основными составляющими.

Нормы амортизации - определяются в расчете на календарный год в процентах к балансовой (восстановительной) стоимости основных фондов. Нормы отражают реальный (или рациональный) срок службы элементов основных фондов. Устанавливаются законодательно с дифференциацией по элементам (группам) основных фондов, отдельным хозяйствующим субъектам (например, в РФ субъекты малого предпринимательства вправе начислять амортизацию в размере, в два раза превышающем нормы, а так же списывать дополнительно как амортизационные отчисления до 50% первоначальной стоимости основных средств со сроком полезного использования более трех лет) или самостоятельно хозяйствующим субъектом с уведомлением соответствующих государственных органов (налоговой инспекции).

Методы начисления амортизации, которые укрупнено можно разделить на две категории: равномерный метод - начисление амортизации равными долями от балансовой (восстановительной) стоимости в течение нормативного срока службы элемента основных фондов; и ускоренный (прогрессивный) метод - начисление большей части амортизации от балансовой (восстановительной) стоимости в начальный период нормативного срока службы. Устанавливаются законодательно, в том числе и дифференцированно по видам (группам) основных средств, сегментам экономики или самостоятельно выбираются хозяйствующим субъектом с уведомлением соответствующих государственных органов (налоговой инспекции) [6].

В условиях плановой экономики устанавливались единые нормы амортизационных отчислений на реновацию основных фондов по многочисленным группам конкретных видов средств труда. Использовался равномерный прямолинейный метод начисления амортизации. В условиях рыночного хозяйства амортизация выполняет две функции: фискальную (налоговую) и воспроизводственную. Соответственно употребляются термины: налоговая и экономическая амортизация и соответствующие виды учета для целей налогообложения и для целей воспроизводства основных средств.

Накопление амортизационных отчислений производится в амортизационном фонде в виде денежных средств, предназначенных для воспроизводства изношенных основных средств. Однако создание амортизационного фонда на предприятии явление крайне редкое, потому что эти денежные средства могут быть более прибыльно использованы в текущей деятельности. В бухгалтерском учете существует статья “накопленная амортизация”, которая фиксирует степень износа основных средств, но не представляет собой денежного фонда. Проводки по амортизации не образуют фонда для замены основных средств, а лишь служат отражением текущих затрат предприятия.

На необходимость создание такого фонда указывал К. Маркс: “Итак, там, где применяется много постоянного капитала, а следовательно, также и много основного капитала, эта часть стоимости продукта, возмещающая износ основного капитала, представляет собой фонд накопления, который может быть использован тем, кто его применяет, для вложения в дело нового основного капитала…. Мы имеем здесь фонд для улучшения, расширения и т.д.”. Вариант, когда амортизационный фонд все-таки не будет образовываться возможен лишь в том случае, когда в данном году начислены амортизационные отчисления по всем элементам основных средств на замену тех элементов, которые выбывают в этом году. Только в случае ежегодного использования всей начисленной амортизации фонд может не образовываться.

Инструменты контроля за целевым использованием амортизационных отчислений. В условиях плановой экономики амортизация использовалась строго по целевым направлениям; амортизационные фонды полностью и безвозмездно изымались в фонд централизованных капиталовложений, средства которого распределялись в соответствии с планом структурных сдвигов в экономике. В рыночных странах контроль за начислением амортизации в налоговых целях одновременно обеспечивает реализацию в автоматическом режиме контроля за регулированием воспроизводства.

1.3 Основные положения, регулирующие

Реформирование экономики, начатое либерализацией цен в 1992 году привело к резкому обесцениванию средств предприятий, в том числе и основных фондов и амортизационных средств. Цены на вводимый капитал резко возрастали, а суммы амортизационных отчислений увеличивались много медленнее. Так в 1992 году амортизационные отчисления составляли до 30% общего объема капитальных вложений. К концу 1993 года их доля в себестоимости промышленной продукции по сравнению с 1991 годом снизилась в 3,6 раза и составила 0,84% в целом по промышленности. При этом уровень цен возрос в начале 1993 года по сравнению с уровнем 1991 года в 70 раз. С этого периода в амортизационной системе происходят существенные изменения. Остановимся более подробно на основных мероприятиях Правительства РФ, которые направлены на реформирование амортизационной системы.

Исходя из предположения, что скачок инфляции будет одномоментный, государственные органы приняли решение о проведении однократной переоценки основных фондов на 1 июля 1992 года. Однако продолжающаяся инфляция заставила провести также переоценку на 1 января 1994 года и 1 января 1995 года и далее ежегодно. Эта мера позволила в той или иной мере нейтрализовать действие инфляционного фактора, что в целом улучшало финансовое положение предприятий. Характер проводимых переоценок постепенно менялся: увеличивалась доля современных методов, используемых формирующимся в стране институтом независимых оценщиков. В частности методы, ориентированные на учет доходности применяемого основных средств и стимулирующие вывод из производства неэффективного капитала и обеспечивающие большую достоверность оценок стоимости производственных фондов.

Постановлением Правительства Российской Федерации от 19 августа 1994 года №967 предприятиям и организациям было предоставлено право до переоценки основных фондов осуществлять, начиная с 1 июля 1994 года, индексацию амортизационных отчислений путем применения поправочного коэффициента, соответствующего индексу инфляции опубликованному органами государственной статистики. Это позволило повысить резко снизившуюся долю амортизации как в издержках производства, так и в составе капиталовложений.

Следующим направлением реформирования системы амортизации стало расширение масштабов ускоренной амортизации как средства мобилизации в сжатые сроки финансовых ресурсов для инвестирования. Если использование ускоренной амортизации требовало ранее согласования с Госпланом СССР (и в последствии - Министерством экономики РФ) и допускалось только для предприятий, осуществляющих массовую замену устаревшей техники новой, и в отношении производственных фондов, используемых для выпуска средств вычислительной техники, новых прогрессивных материалов, приборов и оборудования, то постепенно круг предприятий которые было разрешено применять ускоренную амортизацию расширялся. В 1994 года такая амортизация была разрешена для высокотехнологичных отраслей экономики и при внедрении современной техники (по перечню, устанавливаемому федеральными органами власти) для предприятий и организаций всех форм собственности по прямолинейному равномерному методу амортизации с увеличением нормы вдвое без всякого согласования.

Далее у предприятий появилась возможность увеличивать норму амортизации, если ее размер будет согласован с финансовыми органами субъектов РФ. Малым предприятиям разрешено было использовать ускоренную амортизацию для всех производственных фондов без ограничений и, кроме того, списывать дополнительно в первый год функционирования сначала 20%, а затем 50% первоначальной стоимости основных фондов со сроком службы более трех лет.

Еще одним нововведением является вступление в действие с 1 января 1998 года Положения по бухгалтерскому учету “Учет основных средств” ПБУ 6/97, утвержденное Приказом Минфина РФ от 03.09.97 № 65н (далее ПБУ 6/97). Изменение методологических основ формирования в бухгалтерском учете информации об основных средствах вызвано декларированием концепции перехода на международные стандарты учета и отчетности. Ведено новое для российского бухгалтерского учета понятие “срок полезного использования основных средств” под которым понимается “период, в течение которого использование объекта основных средств призвано приносить доход организации или служить для выполнения целей деятельности организации, определяемый для принятых к бухгалтерскому учету основных средств в соответствии с установленным порядком”.

Согласно п.4.4 ПБУ 6/01 срок полезного использования объекта основных средств должен определяться организацией при принятии этого объекта к бухгалтерскому учету. Методика определения срока полезного использования в том случае если он отсутствует в технических условиях или не установлен в централизованном порядке приводится в п. 4.4 ПБУ 6/01. В отличие от ранее действовавшего порядка начисления амортизации предусматривающего всего лишь один способ начисления амортизации - линейный включены четыре возможных способа начисления амортизации. К ним относятся методы: линейный, уменьшаемого остатка, списания стоимости по сумме чисел лет срока полезного использования, списание стоимости пропорционально объему продукции (работ). Порядок определения годовой суммы амортизационных отчислений для каждого из вышеупомянутых четырех способов приводится в п.4.3. ПБУ 6/01.

Последним изменением законодательства, касающегося порядка начисления амортизации стали поправки, вытекающие из принятого 22 июля 2008 года Закона № 158-ФЗ «О внесении изменений во вторую часть Налогового кодекса», вступившего в силу с 1 января 2009 года. Среди них необходимость включения в амортизационные группы нематериальных активов, исходя из срока их полезного использования.

Согласно новой редакции пункта 1 статьи 259 Кодекса метод начисления амортизации устанавливается налогоплательщиком самостоятельно применительно ко всем объектам амортизируемого имущества и отражается в учетной политике для целей налогообложения. Изменение метода начисления амортизации допускается с начала очередного налогового периода. При этом налогоплательщик вправе переходить с нелинейного метода начисления амортизации на линейный не чаще одного раза в пять лет.

Основные принципы и порядок применения линейного метода остались прежними, за исключением нововведений, касающихся безвозмездного пользования и возврата объекта собственнику, а также расконсервации, завершения реконструкции (модернизации) ОС.

Нелинейные способы начисления амортизации подверглись более тотальной переработке. На 1-е число налогового периода, с начала которого будет установлено применение нелинейного метода, для каждой амортизационной группы (подгруппы) нужно определять суммарный баланс. Данный баланс рассчитывается как суммарная стоимость всех объектов амортизируемого имущества, отнесенных к данной амортизационной группе (п. 2 новой редакции ст. 259.2 НК). В дальнейшем суммарный баланс каждой амортизационной подгруппы рассчитывается на 1-е число месяца, для которого определяется сумма начисленной амортизации. Для амортизационных групп и входящих в их состав подгрупп суммарный баланс выводится без учета «линейных» объектов.

При этом остаточная стоимость объектов, амортизация по которым начисляется нелинейным методом, определяется по формуле:

Sn = S × (1 - 0,01 × k)n, где

- остаточная стоимость указанных объектов по истечении n месяцев после их включения в соответствующую амортизационную группу (подгруппу);- первоначальная (восстановительная) стоимость указанных объектов;- число полных месяцев, прошедших со дня включения указанных объектов в соответствующую амортизационную группу (подгруппу) до дня их исключения из состава этой группы (подгруппы), не считая периода, исчисленного в полных месяцах, в течение которого такие объекты не входили в состав амортизируемого имущества;- норма амортизации (в том числе с учетом повышающего (понижающего) коэффициента), применяемая в отношении соответствующей амортизационной группы (подгруппы).

Также новые правила привели к изменению нормативных значений амортизационных отчислений по каждой амортизационной группе. Отдельные статьи Налогового Кодекса посвящены корректирующим коэффициентам, а также правилам налогового учета операций с амортизируемым имуществом, одним из нововведений в котором стало то, что пообъектное ведение учета доходов и расходов по амортизируемому имуществу будет применяться только к линейному методу.

Руководствуясь предметом и задачами нашей работы, остановимся подробнее на рассмотрении, анализе и оценке методов, используемых в процессе начисления амортизационных отчислений.

Глава 2. Анализ методов начисления амортизации

.1 Сравнительный анализ

В настоящее время различаются методы начисления амортизации для целей бухгалтерского и налогового учета. Согласно ПБУ 6/01 начисление амортизации объектов основных средств производится одним из следующих способов:

линейный метод;

метод уменьшаемого остатка;

метод списания стоимости пропорционально объему продукции (работ);

метод списания стоимости по сумме чисел лет срока полезного использования.

Обязательным условием является то, что применение одного из методов начисления амортизации по группе однородных объектов основных средств производится в течение всего срока полезного использования объектов, входящих в эту группу.

Срок полезного использования объекта основных средств определяется организацией при принятии объекта к бухгалтерскому учету. Определение этого срока производится с учетом следующих факторов:

ожидаемого срока использования этого объекта в соответствии с ожидаемой производительностью или мощностью;

ожидаемого физического износа, зависящего от режима эксплуатации (количества смен), естественных условий и влияния агрессивной среды, системы проведения ремонта;

нормативно-правовых и других ограничений использования этого объекта (например, срок аренды).

В случаях улучшения (повышения) первоначально принятых нормативных показателей функционирования объекта основных средств в результате проведенной реконструкции или модернизации организацией пересматривается срок полезного использования по этому объекту, о чем говорилось в предыдущей главе.

Также не подлежат амортизации объекты основных средств, потребительские свойства которых с течением времени не изменяются, - земельные участки и объекты природопользования.

Начисление амортизации объектов основных средств, не используемых в производственной деятельности, отражается за счет собственных источников, образованных из прибыли, остающейся в распоряжении предприятия.

Рассмотрим подробнее методы начисления амортизационных отчислений на предприятия.

Линейный метод заключается в равномерном начислении организацией амортизации в течение всего нормативного срока службы или срока полезного использования объекта основных средств. Сумма амортизационных отчислений за месяц (Ам) при линейном способе определяется исходя из амортизируемой стоимости объекта и нормы амортизации, начисленной исходя из срока полезного использования этого объекта.

, где

А.С. - амортизируемая стоимость объекта основных средств;

На - годовая норма амортизации в процентах от амортизируемой стоимости объекта, рассчитывается по формуле исходя из срока полезного использования (расчет приведен ниже).

, где

СПИ - срок полезного использования объекта основных средств в годах.

Сумма амортизационных отчислений за месяц рассчитывается, исходя из срока полезного использования, выраженного в месяцах, по формуле:


Метод уменьшаемого остатка

При методе уменьшаемого остатка годовая сумма начисленной амортизации рассчитывается, исходя из определяемой на начало отчетного года недоамортизированной стоимости (разности амортизируемой стоимости и суммы начисленной до начала отчетного года амортизации) и нормы амортизации, исчисленной исходя из срока полезного использования объекта и коэффициента ускорения, принятого организацией.

Амортизационные отчислений за год определяется следующим образом:

, где:

А.С. - амортизируемая стоимость объекта основных средств;

На - годовая норма амортизации в процентах от амортизируемой стоимости объекта, рассчитывается по формуле исходя из срока полезного использования (расчет приведен ниже).

, где:

СПИ - срок полезного использования объекта основных средств, лет;

К - повышающий коэффициент, равный, согласно ПБУ 6/01, не более 3. Повышающий коэффициент является составляющей нормы амортизации. Начисление амортизации в отношении объекта амортизируемого имущества осуществляется в соответствии с нормой амортизации, установленной на дату ввода данного объекта в эксплуатацию. При этом в течение срока амортизации объекта основных средств норма амортизации изменена быть не может, в том числе не может изменяться и значение коэффициента.

Максимальная величина повышающего коэффициента может быть установлена к амортизации основных средств, используемых в лизинговых сделках. Подробнее о порядке применения повышающих коэффициентах будет сказано ниже.

Сумма ежемесячных амортизационных отчислений (Ам) рассчитывается ежегодно, исходя из годовой суммы амортизационных отчислений по формулам:


Метод списания стоимости пропорционально объему продукции (работ, услуг)

Этот способ начисления амортизации объекта основных средств заключается в начислении амортизации исходя из амортизируемой стоимости объекта и отношения натуральных показателей объема продукции (работ, услуг), выпушенной в (текущем) периоде к ресурсу объекта.

Под ресурсом объекта понимается количество продукции (работ, услуг), в натуральных показателях, которое в соответствии с технической документацией может быть выпущено на протяжении всего срока эксплуатации объекта.

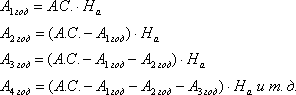
Амортизационные отчисления рассчитываются производительным способом в каждом отчетном году по следующей формуле:

, где

АОi - сумма амортизационных отчислений в отчетном году i;

А.С. - амортизируемая стоимость объекта основных средств;

ОПРi - прогнозируемый объем выпуска продукции в течение срока эксплуатации;= 1, …, - годы срока полезного использования объекта.

Метод списания стоимости по сумме чисел лет срока полезного использования

Применение этого метода предполагает определение годовой суммы амортизационных отчислений исходя из амортизируемой стоимости основных средств и отношения, в числителе которого - число лет, остающихся до конца срока полезного использования объекта, а в знаменателе - сумма чисел лет срока его полезного использования.

Сумма чисел лет срока полезного использования объекта определяется по следующей формуле:

, где

СЧЛ - сумма чисел лет выбранного организацией самостоятельно в пределах установленного диапазона срока полезного использования объекта;

СПИ - выбранный организацией самостоятельно в пределах установленного диапазона срок полезного использования объекта.

Например, если срок службы основного средства СПИ = 5 лет, то сумма чисел лет будет равной: СЧЛ = 5 · (5 + 1) / 2 = 15. Следовательно, в первый год будет списана 1/3 его стоимости (5 / 15 = 1 / 3), во второй год - 4 / 15 и т.д.

Рассмотрим на примере перечисленные методы начисления амортизации.

Пусть первоначальная стоимость токарного станка равна 150 000 руб., полезный срок использования - 5 лет (примечание: в расчете способом уменьшаемого остатка коэффициент ускорения равен 2).

Результаты расчетов сумм амортизационных отчислений по каждому году эксплуатации каждым из перечисленных выше методов представим в таблице 1.

Таблица 1 - Сравнительный расчет амортизации

Год

Сумма амортизационных отчислений


линейным методом

методом уменьшающегося остатка

методом списания стоимости по сумме чисел лет полезного использования

методом списания стоимости пропорционально объему продукции (работ)





Объем выпуска, шт.

Сумма амортизации

1

30 000

60 000

50 000

6 000

30 000

2

30 000

36 000

40 000

8 000

40 000

3

30 000

21 600

30 000

4 000

20 000

4

30 000

12 960

20 000

4 000

20 000

5

30 000

7 776

10 000

8 000

40 000

итого

150 000

138 336

150 000

60 000

150 000


Из таблицы 1 видно, что при линейном способе амортизационные отчисления распределяются равномерно по годам эксплуатации.

При способе уменьшаемого остатка организация большую часть амортизации начисляет в первые годы эксплуатации токарного станка, а затем постепенно снижает начисления. В пользу метода уменьшающегося остатка в отличие от равномерного начисления обычно приводят два аргумента:

затраты на содержание и ремонт объекта растут по мере увеличения его срока службы (то есть методом уменьшающегося остатка получается более точный конечный финансовый результат);

многие внеоборотные активы теряют значительную часть своей рыночной стоимости уже в первые годы эксплуатации.

В период инфляции выбор метода начисления износа с сокращающейся балансовой стоимостью выгоден предприятию тем, что оно платит свои налоги обесцененными деньгами.

Для способа списания стоимости по сумме чисел лет полезного использования самые большие отчисления приходятся на первые годы эксплуатации объекта основных средств. В последующие годы сумма амортизационных отчислений довольно резко падает. Очевидно, что при списании стоимости пропорционально объему продукции (работ) увеличение годового выпуска влечет за собой пропорциональное увеличение амортизационных отчислений.

На основе сравнительного анализа методов начисления амортизации приходим к выводу о том, экономически обоснованным будет метод, выбранный в соответствии с определением результата факторов, влияющих на объект амортизации и экономический процесс, в котором он принимает непосредственное участие. Если согласно расчетам предприятия экономически выгодно как можно быстрее списать балансовую стоимость станка, обоснован метод списания по сумме чисел лет полезного использования и т.п.

Порядок проведения налогового учета на предприятии в соответствии со статьей 259.2 НК РФ предусматривает применение одного из двух методов начисления амортизационных отчислений: линейного и нелинейного метода.

Нелинейный метод предполагает, что месячная норма амортизации, определенная исходя из срока полезного использования объекта, применяется каждый раз к остаточной стоимости объекта, сформировавшейся на начало текущего месяца.

Его главное отличие от прежнего нелинейного метода заключается в том, что амортизацию надо начислять не по каждому отдельному объекту основных средств, а по амортизационным группам. Преимущество нелинейного метода заключается в том, что на первоначальном этапе начисления амортизации можно использовать более ускоренный механизм.

Для перехода с линейного метода на нелинейный ограничений нет, кроме того, что таковой возможен лишь с начала налогового периода, которым является календарный год, и такой переход должен происходить не чаще одного раза в пять лет.

На 1-е число налогового периода, с начала которого учетной политикой для целей налогообложения установлено применение нелинейного метода начисления амортизации, для каждой амортизационной группы (подгруппы) определяется суммарный баланс, который рассчитывается как суммарная стоимость всех объектов амортизируемого имущества, отнесенных к данной амортизационной группе. В дальнейшем суммарный баланс каждой амортизационной группы определяется на 1-е число месяца, для которого определяется сумма начисленной амортизации.

Для амортизационных групп и входящих в их состав подгрупп суммарный баланс определяется без учета объектов амортизируемого имущества, амортизация по которым начисляется линейным методом.

При изменении первоначальной стоимости основных средств в случаях достройки, дооборудования, реконструкции, модернизации, технического перевооружения, частичной ликвидации объектов суммы, на которые изменяется первоначальная стоимость указанных объектов, учитываются в суммарном балансе соответствующей амортизационной группы (подгруппы).

Суммарный баланс каждой амортизационной группы ежемесячно уменьшается на суммы начисленной по этой группе амортизации. Сумма начисленной за один месяц амортизации для каждой амортизационной группы определяется исходя из произведения суммарного баланса соответствующей амортизационной группы на начало месяца и норм амортизации, которые будут представлены ниже, по следующей формуле:

, где

- сумма начисленной за один месяц амортизации для соответствующей амортизационной группы (подгруппы);- суммарный баланс соответствующей амортизационной группы (подгруппы);- норма амортизации для соответствующей амортизационной группы (подгруппы).

В целях применения нелинейного метода начисления амортизации применяются следующие нормы амортизации.

Таблица 2 - Нормы амортизации для амортизационных групп

Амортизационная группа

Норма амортизации (месячная), %

Первая

14,3

Вторая

8,8

Третья

5,6

Четвертая

3,8

Пятая

2,7

Шестая

1,8

Седьмая

1,3

Восьмая

1,0

Девятая

0,8

Десятая

0,7


Кроме того, для достижения ожидаемого результата в более короткие сроки применения нелинейного метода предусмотрено использование системы повышающих коэффициентов.

Налогоплательщики вправе применять к основной норме амортизации специальный коэффициент, но не выше 2.

В отношении амортизируемых основных средств, используемых для работы в условиях агрессивной среды и (или) повышенной сменности.

Под агрессивной средой понимается совокупность природных и (или) искусственных факторов, влияние которых вызывает повышенный износ (старение) основных средств в процессе их эксплуатации. К работе в агрессивной среде приравнивается также нахождение основных средств в контакте с взрыво-, пожароопасной, токсичной или иной агрессивной технологической средой, которая может послужить причиной (источником) инициирования аварийной ситуации.

При применении нелинейного метода начисления амортизации указанный специальный коэффициент не применяется к основным средствам, относящимся к первой - третьей амортизационным группам.

В отношении собственных амортизируемых основных средств налогоплательщиков - сельскохозяйственных организаций промышленного типа (птицефабрики, животноводческие комплексы, зверосовхозы, тепличные комбинаты).

В отношении собственных амортизируемых основных средств налогоплательщиков - организаций, имеющих статус резидента промышленно-производственной особой экономической зоны или туристско-рекреационной особой экономической зоны.

В отношении амортизируемых основных средств, относящихся к объектам, имеющим высокую энергетическую эффективность, в соответствии с перечнем таких объектов, установленным Правительством Российской Федерации, или к объектам, имеющим высокий класс энергетической эффективности, если в отношении таких объектов в соответствии с законодательством Российской Федерации предусмотрено определение классов их энергетической эффективности.

Налогоплательщики вправе применять к основной норме амортизации специальный коэффициент, но не выше 3 в следующих случаях.

В отношении амортизируемых основных средств, являющихся предметом договора финансовой аренды (договора лизинга), налогоплательщиков, у которых данные основные средства должны учитываться в соответствии с условиями договора финансовой аренды (договора лизинга).

Указанный специальный коэффициент не применяется к основным средствам, относящимся к первой - третьей амортизационным группам.

В отношении амортизируемых основных средств, используемых только для осуществления научно-технической деятельности.

Допускается начисление амортизации ниже установленных норм амортизации по решению руководителя организации-налогоплательщика, закрепленному в учетной политике для целей налогообложения в порядке, установленном для выбора применяемого метода начисления амортизации.

При реализации амортизируемого имущества налогоплательщиками, использующими пониженные нормы амортизации, остаточная стоимость реализуемых объектов амортизируемого имущества определяется исходя из фактически применяемой нормы амортизации.

Сравнение линейного и нелинейного методов показывает, что, как и прежде, больший размер амортизации возникает в течение первых 35-40 процентов срока полезного использования.

Так, например, начисляя амортизацию основного средства линейным методом (при условии, что срок полезного использования будет принят как 25 месяцев), норма амортизации составит 4 процента (1/25 × 100%). В случае когда стоимость ОС равна 100 000 рублей, сумма амортизации составит 4000 рублей. При тех же условиях, но при использовании нелинейного метода установленная законодателем норма амортизации составляет 8,8 процента.

Расчеты показывают, что амортизация в течение первых девяти месяцев использования нелинейного метода будет больше 4000 рублей, а в течение оставшегося срока - меньше этой суммы. При достижении остаточной стоимости в 18-м месяце 19 000 рублей амортизация продолжится и в 19-м месяце, а остаток в размере 17 400 рублей будет списан на внереализационные расходы.

Таким образом, эффект с точки зрения более высокого уровня амортизации достигается в течение первых девяти месяцев, или в течение 36 процентов срока полезного использования. За это время будет самортизировано 44 процента стоимости основного средства, в оставшийся период - 56 процентов. При линейном методе в первые девять месяцев будет самортизировано 36 000 рублей (4000 руб. × 9 мес.), что составляет 36 процентов от стоимости основного средства, а в оставшийся - 64 процента.

Для тех организаций, которые стремятся к ускоренной амортизации, более эффективным, безусловно, будет нелинейный метод.

Рассмотрев все основные методы начисления амортизационных отчислений, которые используются в практике российских организаций, приходим к выводу о том, что каждый метод имеет свои преимущества и недостатки. В зависимости от правильности оценки факторов, которые определяют деятельность хозяйствующего субъекта, каждый из перечисленных методов может стать как самым оптимальным, так и абсолютно не приемлемым в целях обеспечения эффективной амортизационной политики предприятия.

2.2 Расчет амортизации основных средств на предприятии

К основным средствам относится то имущество предпринимателя, которое используется им в качестве средства труда для изготовления и реализации товаров, выполнения работ, оказания услуг [2].

К основным средствам не относится личное имущество индивидуального предпринимателя, а также нематериальные активы - созданные или приобретенные индивидуальным предпринимателем результаты интеллектуальной деятельности и иные объекты интеллектуальной собственности (права на них), например, компьютерная программа, используемая в предпринимательской деятельности.

Чтобы на основное средство можно было начислять амортизацию, оно должно отвечать ряду признаков. Перечислим их:

основное средство должно находиться в собственности предпринимателя;

основное средство должно стоить более 20 000 рублей;

срок полезного использования должен быть более 12 месяцев [1].

Если имущество предприятия не будет отвечать указанным признакам, то оно не будет считаться амортизируемым. Значит, затраты на приобретение такого имущества можно будет списать в расход единовременно. Но это имущество должно быть приобретено с целью извлечения выгоды, его покупка должна быть документально подтверждена и экономически оправдана [1].

Теперь рассмотрим «отрицательные» признаки основных средств, при наличии которых предприятие не вправе начислять амортизацию:

основные средства переданные (полученные) по договорам в безвозмездное пользование;

фактические затраты на приобретение, сооружение, изготовление основных средств по которым не могут быть документально подтверждены [2].

Следует отметить, что существует еще и перечень основных средств, на которые не начисляется амортизация вне зависимости от наличия или отсутствия вышеперечисленных признаков:

земля и иные объекты природопользования (вода, недра и другие природные ресурсы), а также материально-производственные запасы, товары, объекты незавершенного капитального строительства, ценные бумаги, финансовые инструменты срочных сделок (в том числе форвардные, фьючерсные контракты, опционные контракты);

имущество, приобретенное (созданное) с использованием бюджетных средств целевого финансирования;

объекты внешнего благоустройства (объекты лесного хозяйства, объекты дорожного хозяйства, сооружение которых осуществлялось с привлечением источников бюджетного или иного аналогичного целевого финансирования, специализированные сооружения судоходной обстановки) и другие аналогичные объекты;

продуктивный скот, буйволы, волы, яки, олени, другие одомашненные дикие животные (за исключением рабочего скота);

приобретенные издания (книги, брошюры и иные подобные объекты), произведения искусства;

основные средства, безвозмездно полученные в соответствии с международными договорами РФ, а также иное имущество, полученное в рамках оказания безвозмездной помощи (содействия) в соответствии с Федеральным законом от 4 мая 1999 г. № 95-ФЗ «О безвозмездной помощи (содействии) РФ и внесении изменений и дополнений в отдельные законодательные акты РФ о налогах и об установлении льгот по платежам в связи с осуществлением безвозмездной помощи (содействия) РФ».

Для правильного начисления амортизации необходима первоначальная стоимость имущества, которая определяется при его приобретении. В первоначальную стоимость амортизируемых основных средств включается не только стоимость такого имущества, но и стоимость его доставки, расходы, связанные с его приобретением, сооружением, изготовлением (если что-то делается по индивидуальному заказу) и доведением до состояния, когда это имущество можно использовать. При определении первоначальной стоимости основных средств не включается уплаченный НДС [1].

Для более подробного раскрытия данной темы рассмотрим пример, который актуален для любого предприятия, - приобретение компьютера.

Для обеспечения хозяйственной деятельности предприятие приобретает компьютер стоимостью 28 000 рублей, в том числе НДС - 4 271,19 рублей. Доставка обошлась в 2 000 рублей, в том числе НДС - 305,08 рублей, вызов мастера, который настроил компьютер, - 4 500 рублей, в том числе НДС - 686,44 рублей.

Рассчитаем первоначальную стоимость компьютера:

728,81 (стоимость без НДС) + 1 694,92 (доставка без НДС) ++ 3 813,53 (настройка без НДС) = 29 237,29 рублей.

Далее определяем срок полезного использования. Как уже говорилось выше, каждому типу имущества соответствует определенный НК РФ и утвержденный Правительством РФ срок полезного использования. Примерный перечень амортизируемых средств представлен в приложении 2.

Если в перечне не оказывается искомого типа имущества, то предприятие может определить срок полезного использования в соответствии с рекомендациями изготовителя такой вещи. Таким сроком может служить, например, гарантийный срок.

Вернемся к нашему примеру и решим, к какой амортизационной группе следует отнести приобретенный компьютер. Компьютер относится ко второй группе амортизируемых основных средств - «техника электронно-вычислительная, включая персональные компьютеры и печатающие устройства к ним».

Имущество, относящееся к этой амортизационной группе, служит 2-3 года. Предприятие вправе самостоятельно определить срок полезного использования. Для более быстрой амортизации ему лучше установить срок полезного имущества по минимальному пределу - 2 года.

После того как определились с отнесением имущества к той или иной группе и установили срок полезного использования основного средства, необходимо определиться с датой начала начисления амортизации.

Обратим внимание на то, что существуют две даты - дата покупки имущества и дата ввода в эксплуатацию. Дата приобретения имущества (приобретения права собственности на него) не всегда совпадает с датой введения в эксплуатацию. Начало амортизации связано с фактом ввода имущества в эксплуатацию.

Дата начала начисления амортизации - первое число следующего месяца, идущего за месяцем начала эксплуатации имущества [1].

Может сложиться ситуация, когда момент передачи продавцом имущества и его монтажа не совпадают, либо предприниматель после покупки спустя некоторое время привлекает к монтажу стороннюю организацию. Тогда ввод в эксплуатацию начинается с момента подписания акта приема-передачи работ по монтажу имущества.

То есть, если наш компьютер был куплен 18 марта 2009 года, но специалист для его установки был привлечен только 12 апреля, то датой начала амортизации является 1 мая 2009 года.

Кроме того, в процессе эксплуатации основных средств может возникнуть ремонт, модернизация основных средств.

Если предприниматель вынужден ремонтировать свое имущество, то расходы по его ремонту являются текущими и учитываются в составе прочих расходов [1]. Ремонт осуществляется из-за порчи имущества. Его не следует путать с поддержанием имущества в рабочем состоянии. Затраты на поддержание основных средств в рабочем состоянии так же, как и ремонт, учитываются единовременно в составе расходов при исчислении НДФЛ.

Что касается модернизации, то в случаях достройки, дооборудования, реконструкции, модернизации, технического перевооружения, частичной ликвидации соответствующих объектов и по иным аналогичным основаниям изменяется первоначальная стоимость основных средств.

Причем эти понятия имеют разное значение [1]:

модернизация, достройка, дооборудование - это изменение технического или служебного назначения основного средства;

реконструкция - переустройство объекта основного средства, связанное с совершенствованием производства и повышением технико-экономических показателей, увеличением производственных мощностей, улучшением качества и номенклатуры продукции.

Вышеперечисленные улучшения не являются ремонтом основных средств, а потому затраты на их осуществление не могут быть отнесены в состав расходов единовременно.

НК РФ не предусматривает пересчет норм амортизационных отчислений при увеличении стоимости объекта основного средства.

Нужно различать два понятия: «срок полезного использования» и «срок начисления амортизации». Сроком начисления амортизации является период, в течение которого погашается стоимость амортизируемого имущества. Если в результате модернизации основного средства не меняется срок его полезного использования, то срок начисления амортизации по этому объекту увеличится, так как первоначальная стоимость модернизируемого объекта увеличилась, а норма амортизации осталась прежней. Индивидуальный предприниматель прекратит начислять амортизацию только после полного погашения стоимости объекта либо выбытия объекта из состава амортизируемого имущества.

Амортизация основного средства дольше срока его полезного использования не противоречит нормам законодательства. Если у основного средства истек срок полезного использования, а его стоимость еще не списана, то амортизацию можно продолжать начислять и учитывать ее при расчете налога на прибыль.

Допустим, через полтора года предприятию понадобилось модернизировать компьютер. Стоимость модернизации составила 4 500 рублей.

Стоимость модернизации без учета НДС составила 3 813,56 рублей (4 500 руб. - НДС 686,44 руб.). Получается, что первоначальная стоимость компьютера возросла на 3 813,56 рублей и составила 33 050, 85 рублей (29 237,29 рублей + 3 813,56 рублей).

Таким образом, исходя из того, что срок полезного использования не изменяется, расчет последующих сумм амортизации будет исходить из новой стоимости компьютера, но при этом норма амортизации останется неизменной.

Однако вследствие такой модернизации может быть увеличен и срок полезного использования имущества, исходя, например, из улучшенных технических характеристик.

Наконец, переходим к заключительному этапу процесса начисления амортизационных начислений - выбору методов.

НК РФ предусматривает два метода расчета амортизации - линейный и нелинейный, о чем было сказано в разделе 2.1.

Разница в методах заключается в том, что при линейном методе мы исходим из первоначальной стоимости амортизируемого имущества, а при нелинейном - из остаточной стоимости. Попробуем применить оба метода к нашему случаю с приобретением компьютера и сделаем вывод.

Напомним, что компьютер был приобретен 18 марта 2009 года, а в мае 2009 - введен в эксплуатацию. Расчет амортизации производится с 1 мая 2009 г. Первоначальная стоимость компьютера составила 29 237,29 рублей.

Как было отмечено выше, через полтора года предприятие произвело модернизацию компьютера. Модернизация составила 4 500 рублей (в т.ч. НДС - 686,44 руб.), это привело к увеличению срока полезного использования на 3 месяца.

Рассчитаем норму амортизации:

(1 : 24) × 100% = 4,17%.

В денежном выражении это составит:

4,17% × 29 237,29 = 1 218, 22 руб. в месяц.

Всего сумма амортизации за 18 месяцев полезного использования до модернизации составит

1 218, 22 × 18 = 21 927,96 рублей.

Первоначальная стоимость компьютера в результате модернизации возросла на 3 813,56 рублей (4 500 руб. - НДС 686,44 руб.) и составила 33 050, 85 рублей (29 237,29 рублей + 3 813,56 рублей).

Срок полезного использования после модернизации составит 27 месяцев (24 + 3). Определяем новую норму амортизации, исходя из новых данных:

(1 : 27) × 100% = 3,71%.

В денежном выражении ежемесячная сумма амортизации составит:

3,7037% × 33 050, 85 = 1 224, 1 рублей в месяц.

Недоамортизированная часть стоимости компьютера составит 11 122,89 рублей (33 050,85 руб. - 21 927,96 руб.).

За 9 месяцев полезного использования предприятие сможет принять к расходам практически всю сумму стоимости основного средства с учетом модернизации.

Оставшаяся часть стоимости в размере 105,99 рублей (11 122,89 руб. - - (1 224, 1 руб. × 9)) будет учтена в 28 месяце, т.е. после истечения срока полезного использования.

Таким образом, индивидуальный предприниматель может в течение срока полезного использования имущества учитывать в расходах ежемесячную сумму амортизации. В итоге затраты предпринимателя на покупку имущества по истечении срока начисления амортизации окупятся.

Далее рассмотрим ту же ситуацию с применением нелинейного метода начисления амортизации, используя формулы, представленные в предыдущем разделе.

Норма амортизации в соответствии с принадлежностью рассматриваемого объекта ко 2-й амортизационной группе составит 8,8%.

29 237,29 × 8,8% = 2572,88 рублей - сумма амортизации в первом месяце.

После этого вычитаем из стоимости компьютера полученную сумму амортизации в первом месяце:

237,29 - 2 436,44 = 26664,41 руб.

Остаточная стоимость на июнь 2009 г. будет равняться 26664,41 руб. Сумма амортизации за июнь 2009 г. будет высчитываться исходя из остаточной стоимости:

26664,41 × 8,33% = 2 346,47 рублей.

Составим таблицу расчета:

Таблица 3

№ месяца

Месяц

Остаточная стоимость компьютера

Норма амортизации в рублях

1

май 2009

29237,29

2572,88

2

июнь 2009

26664,41

2346,47

3

июль 2009

24317,94

2139,98

4

август 2009

22177,96

1951,66

5

сентябрь 2009

20226,30

1779,91

6

октябрь 2009

18446,39

1623,28

7

ноябрь 2009

16823,10

1480,43

8

декабрь 2009

15342,67

1350,16

9

январь 2010

13992,52

1231,34

10

февраль 2010

12761,17

1122,98

11

март 2010

11638,19

1024,16

12

апрель 2010

10614,03

934,03

13

май 2010

9680,00

851,84

14

июнь 2010

8828,16

776,88

15

июль 2010

8051,28

708,51

16

август 2010

7342,77

646,16

17

сентябрь 2010

6696,60

589,30

18

октябрь 2010

6107,30

537,44

19

ноябрь 2010

9383,42

825,74

20

декабрь 2010

8557,68

753,08

21

январь 2011

7804,60

686,81

22

февраль 2011

7117,80

626,37

23

март 2011

6491,43

571,25

24

апрель 2011

5920,19

520,98

25

май 2011

5399,21

475,13

26

июнь 2011

4924,08

433,32

27

июль 2011

4490,76

395,19


В ноябре 2010 г. остаточная стоимость имущества увеличена на сумму 3813,56 руб., равную величине совокупных затрат, произведенных в целях модернизации объекта. По окончании срока полезного использования, в последний месяц начисления амортизации остаточная стоимость составила 4490,76 руб. В соответствии с правилами, утвержденными НК РФ, эта сумма должна быть списана как сумма внереализационных расходов. Та же самая операция имела место в 6 месяце эксплуатации амортизируемого объекта, так как его остаточная стоимость на 1 октября 2009 г. была меньше 20 000 руб., а в случае, если суммарный баланс амортизационной группы (подгруппы) становится менее 20 000 рублей, в месяце, следующем за месяцем, когда указанное значение было достигнуто, если за это время суммарный баланс соответствующей амортизационной группы (подгруппы) не увеличился в результате ввода в эксплуатацию объектов амортизируемого имущества, налогоплательщик вправе ликвидировать указанную группу (подгруппу), при этом значение суммарного баланса относится на внереализационные расходы текущего периода в соответствии со статьей 259.2 НК РФ.

Произведя расчеты амортизации двумя методами на примере покупки и модернизации компьютера, приходим к выводу о том, что нелинейный метод способствует погашению большей доли амортизационной суммы в начале срока полезного использования, в отличие от линейного метода, при котором сумма амортизационных отчислений не меняется от периода к периоду. Это позволяет положительно характеризовать нелинейный метод расчета амортизации с точки зрения инфляционного обесценения денежной единицы, являющейся отражением выручки, которую ежемесячно получает предприятие в результате своей хозяйственной деятельности.

Кроме того, нелинейный метод позволяет уменьшить риск невосстановления первоначальной стоимости приобретаемого имущества, так как ее большая доля аккумулируется раньше, чем при линейном методе.

Глава 3. Совершенствование практического применения методов начисления амортизации

амортизация основной фонд средство

Выбор методов, по которым будет производиться расчет величин амортизационных отчислений, является ответственным шагом на пути к достижению целей по «безболезненному» формированию восстановительных фондов, представляющих собой один из главных внутренних источников финансирования деятельности любого предприятия.

Методы начисления амортизации - важнейшая составляющая амортизационной политики предприятия. Амортизационная политика тесно связанна с научно-технической, инвестиционной, финансовой политикой и другими составляющими стратегического управления фирмой.

Целью амортизационной политики предприятия является создание благоприятных условий для воспроизводства и обновления внеоборотных активов, активизации инвестиционной деятельности и ускорения научно-технического прогресса.

В связи с тем, что амортизационная политика является составной частью общей экономической политики, она направлена на повышение эффективности производства и экономический подъем. Амортизационная политика в каждый конкретный момент времени предполагает определенные корректировки в зависимости от сложившейся ситуации и экономической стратегии на перспективу.

Амортизационная политика должна способствовать решению задач по направлениям:

развитие научно-технического прогресса;

ускорение процесса обновления основного капитала;

оптимизацию сроков полезного использования имущества;

накоплению достаточных средств для простого и расширенного воспроизводства;

созданию условий для объективной оценки и переоценки основных производственных фондов.

При разработке амортизационной политики предприятие должно придерживаться таких принципов, как:

своевременность и правильность осуществления переоценки основных фондов, особенно в условиях инфляции;

дифференцированность сроков полезного использования и соответственно норм амортизации в зависимости от функционального назначения основных фондов, учет их морального и физического износа;

обеспечение за счет амортизационных отчислений не только простого, но и расширенного воспроизводства основных средств;

обеспечение целевого характера использования амортизационных отчислений на предприятиях всех форм собственности и организационно-правовых форм хозяйствования;

возможность осуществления ускоренной амортизации;

своевременное обновление основных фондов и ускорение научно-технического прогресса;

актуальность выбора методов начисления амортизации в соответствии с постоянно меняющимися условиями рынка и состоянием финансовой среды.

Выбор метода расчета амортизации зависит от выбора оптимального амортизационного срока службы различных категорий ОФ.

Амортизационные отчисления можно рассматривать как часть дохода предприятия. Их экономическую оценку следует проводить по показателю чистого дисконтированного дохода, сочетающего в себе норму приемлемого для инвестора дохода и амортизируемый срок службы, принятый предприятием для расчета амортизации.

Критерием для выбора оптимального амортизационного срока эксплуатации оборудования является равенство суммы амортизационных отчислений за ряд лет при полном возврате стоимости оборудования и суммы дохода за это же число лет без учета амортизации в себестоимости продукции.

Анализируя расчетный уровень нормы амортизации, для обеспечения наилучших финансовых результатов следует руководствоваться следующим правилом: годовая сумма амортизации не должна превышать уровень годового дохода. В противном случае себестоимость реализованной продукции с учетом амортизационных отчислений превышает объем реализации в стоимостном выражении, а эта разница при существующем налоговом законодательстве РФ рассматривается как занижение прибыли и подлежит налогообложению.

При реализации мероприятий, направленных на оптимизацию амортизационных механизмов, функционирующих на предприятии необходимо учитывать конкретные условия осуществления хозяйственной деятельности, формирующиеся под влиянием факторов микро- и макроэкономической среды, и опираться на анализ действующих норм. Зачастую между нормами законодательства, регулирующими область налогообложения и бухгалтерского учета, существуют отдельные различия, т. е. имеет место юридическая коллизия.

Необходимо привести в соответствие нормативные акты законодательства Российской Федерации в ходе осуществления государственной экономической стратегии, экономический, политический и социальный положительный эффект от реализации которой, по нашему мнению, может быть достигнут только при наличии эффективной связи между всеми звеньями рыночной системы, а также обеспечении постоянного сотрудничества хозяйствующих субъектов и институтов государства.

Заключение

Подводя итоги проделанной работы, отмечая выполнение поставленных в начале задач, обозначим главные выводы.

Амортизация - это процесс постепенного перенесения стоимости основных средств по мере износа на производимую продукцию, превращая ее в денежную форму и накопления финансовых ресурсов в целях последующего воспроизводства основных средств.

При реализации мероприятий, направленных на оптимизацию амортизационных механизмов, функционирующих на предприятии необходимо учитывать конкретные условия осуществления хозяйственной деятельности, формирующиеся под влиянием факторов микро- и макроэкономической среды, и опираться на анализ действующих норм.

Выбор методов, по которым будет производиться расчет величин амортизационных отчислений, является ответственным шагом на пути к достижению целей по «безболезненному» формированию восстановительных фондов, представляющих собой один из главных внутренних источников финансирования деятельности любого предприятия. Сегодня наиболее распространенными являются следующие методы начисления амортизации.

Линейный метод - заключается в равномерном начислении организацией амортизации в течение всего нормативного срока службы или срока полезного использования объекта основных средств.

Нелинейный метод отличается от линейного тем, что на первоначальном этапе начисления амортизации можно использовать более ускоренный механизм. Амортизация начисляется в два этапа, особенности которых представлены в теоретической части данной работы.

Метод уменьшаемого остатка - предполагает, что годовая сумма начисленной амортизации рассчитывается исходя из определяемой на начало отчетного года недоамортизированной стоимости (разности амортизируемой стоимости и суммы начисленной до начала отчетного года амортизации) и нормы амортизации, исчисленной исходя из срока полезного использования объекта и коэффициента ускорения, принятого организацией.

Метод списания стоимости пропорционально объему продукции (работ, услуг) - начисление амортизации исходя из амортизируемой стоимости объекта и отношения натуральных показателей объема продукции (работ, услуг), выпушенной в (текущем) периоде к ресурсу объекта.

Метод списания стоимости по сумме чисел лет срока полезного использования - предполагает определение годовой суммы амортизационных отчислений исходя из амортизируемой стоимости основных средств и отношения, в числителе которого - число лет, остающихся до конца срока полезного использования объекта, а в знаменателе - сумма чисел лет срока его полезного использования. Самые большие отчисления приходятся на первые годы эксплуатации объекта основных средств

Ускоренная амортизация - начисление износа основного средства с применением к норме амортизационных отчислений повышающего коэффициента. Метод характеризуется быстрым возмещением значительной части затрат, выигрышем за счет фактора времени. Однако политика ускоренной амортизации ведет к завышению себестоимости и, следовательно, к завышению цены реализации произведенной продукции.

Рассмотрев все основные методы начисления амортизационных отчислений, которые используются в практике российских организаций, пришли к выводу о том, что каждый метод имеет свои преимущества и недостатки. В зависимости от правильности оценки факторов, которые определяют деятельность хозяйствующего субъекта, каждый из перечисленных методов может стать как самым оптимальным, так и абсолютно не приемлемым в целях обеспечения эффективной амортизационной политики предприятия. Например, в условиях инфляции выбор метода начисления износа с сокращающейся балансовой стоимостью выгоден предприятию тем, что оно платит свои налоги обесцененными деньгами и наоборот.

Список использованной литературы

1.      Налоговый Кодекс Российской Федерации / Интернет-портал <http://www.nalkodeks.ru/>

.        Амортизация основных средств / Аналитический информационный портал «Клерк» // <http://www.klerk.ru/>

.        Методы начисления амортизации / Интернет-библиотека Красноярского Филиала МЭСИ // <http://www.kfmesi.ru/bibl/>

.        Экономика предприятия / Учеб. / В.М. Семенова. - М.: 2008.

.        Анализ хозяйственной деятельности предприятия. Учеб. / Г.В. Савицкая. - М., 2007.

.        Теория бухгалтерского учета. Учебник для вузов / Бабаев Ю.А. // 3-е ИЗД., перераб. и доп. - М.: ЮНИТИ-ДАНА, 2006.

.        Астахов В.П. Бухгалтерский (финансовый) учет: Учебное пособие // Издание 5-е, переработанное и дополненное. - Москва: ИКЦ «Март», 2006.

.        Интернет-энциклопедия «Википедия» / ru.wikipedia.org/

.        C.Н. Ивашковский / Сравнение методов начисления амортизации // Интернет-портал Тренинговой компании «Акинцев и партнеры», <http://www.toptrening.ru/>

.        К. Волошин / Новые правила амортизации // Интернет-портал «Налоговое право. Аналитика», <http://www.taxpravo.ru/analitika/>

.        Финансы предприятий. Учебник / Ковалев В.В. // Москва, «Проспект Велби», 2010.

.        Финансовый менеджмент / Под ред. Е.И. Шохина. - М: ИД ФБК-ПРЕСС, 2003.

.        Бухгалтерский учет. Учебник для ВУЗов / Сапожникова Н. Г. // Издательство «Кнорус», 2010

Приложение 1

Месяц

Нелинейный метод

Линейный метод


Остаточная стоимость

Величина амортизации

Итого начисленная амортизация

Остаточная стоимость

Величина амортизации

Итого начисленная амортизация

1

100.0%

5.0%

5.0%

100.0%

2.5%

2.5%

2

95.0%

4.8%

9.8%

97.5%

2.5%

5.0%

3

90.3%

4.5%

14.3%

95.0%

2.5%

7.5%

4

85.7%

4.3%

18.5%

92.5%

2.5%

10.0%

5

81.5%

4.1%

22.6%

90.0%

2.5%

12.5%

6

77.4%

3.9%

26.5%

87.5%

2.5%

15.0%

7

73.5%

3.7%

30.2%

85.0%

2.5%

17.5%

8

69.8%

3.5%

33.7%

82.5%

2.5%

20.0%

9

66.3%

3.3%

37.0%

80.0%

2.5%

22.5%

10

63.0%

3.2%

40.1%

77.5%

2.5%

25.0%

11

59.9%

3.0%

43.1%

75.0%

2.5%

27..5%

12

56.9%

2.8%

46.0%

72.5%

2.5%

30.0%

13

54.0%

2.7%

48.7%

70.0%

2.5%

32.5%

14

51.3%

2.6%

51.2%

67.5%

2.5%

35.0%

15

48.8%

2.4%

53.7%

65.0%

2.5%

37.5%

16

46.3%

2.3%

56.0%

62.5%

2.5%

40.0%

17

44.0%

2.2%

58.2%

60.0%

2.5%

42.5%

18

41.8%

2.1%

60.3%

57.5%

2.5%

45.0%

19

39.7%

2.0%

62.3%

55.0%

2.5%

47.5%

20

37.7%

1.9%

64.2%

52.5%

2.5%

50.0%

21

35.8%

1.8%

65.9%

50.0%

2.5%

52.5%

22

34.1%

1.7%

67.6%

47.5%

2.5%

55.0%

23

32.4%

1.6%

69.3%

45.0%

2.5%

57.5%

24

30.7%

1.5%

70.8%

42.5%

2.5%

60.0%

25

29.2%

1.4%

40.0%

2.5%

62.5%

26

27.7%

1.3%

73.6%

37.5%

2.5%

65.0%

27

26.4%

1.3%

75.0%

35.0%

2.5%

67.5%

28

25.0%

1.2%

76.2%

32.5%

2.5%

70.0%

29

23.8%

1.1%

77.4%

30.0%

2.5%

72.5%

30

22.6%

1.1%

78.5%

27.5%

2.5%

75.0%

31

21.5%

1.0%

79.6%

25.0%

2.5%

77.5%

32

20.4%

0.2%

80.6%

22.5%

2.5%

80.0%

33

19.4%

0.2%

80.8%

20.0%

2.5%

82.5%

34

19.2%

0.2%

81.1%

17.5%

2.5%

85.0%

35

18.9%

0.2%

81.3%

15.0%

2.5%

87.5%

36

18.7%

0.2%

81.5%

12.5%

2.5%

90.0%

37

18.5%

0.2%

81.7%

10.0%

2.5%

92.5%

38

18.3%

0.2%

81.9%

7.5%

2.5%

95.0%

39

18.1%

0.2%

82.2%

5.0%

2.5%

97.0%

40

17.8%

0.2%

82.4%

2.5%

2.5%

100.0%

118

0.7%

0.2%

99.6%




119

0.4%

0.2%

99.8%




120

0.2%

0.2%

100.0%






Приложение 2

Группы амортизируемых основных средств

№ группы

Срок полезного использования

Перечень основных средств

1

2

3

1

От 1 года до 2 лет включительно

- инструмент для металлообрабатывающих ­и деревообрабатывающих станков; - оборудование для различных способов добычи нефти и газа; - инструмент буровой; инвентарь и средства малой механизации; - инструмент лесохозяйственного применения; - инструмент строительно-монтажный ручной

2

Свыше 2 лет до 3 лет включительно

- оснастка технологическая для машиностроения; - насосы конденсатные, питательные и песковые, грунтовые, шламовые; - инструмент строительно-монтажный механизированный; - крепления для производства и монтажа вентиляционных и санитарно-технических заготовок и изделий; - техника электронно-вычислительная; - инструменты медицинские; - инвентарь производственный и хозяйственный; - инвентарь спортивный

3

Свыше 3 лет до 5 лет включительно

- лифты; - тракторы лесопромышленные; - машины и оборудование погрузочно-разгрузочное, транспортное, оборудование лабораторное для сельского хозяйства; - сепараторы для сортировки лома и отходов цветных металлов; - машины швейные (включая бытовые), кроме книгопрошивных машин; - машины для срезки леса, корчевки, сбора и погрузки пней; - оборудование и инструмент для строительно-монтажных и отделочных работ; - машины для сортировки и счета монет, банкнот и лотерейных билетов; - трансформаторы электрические силовые малой мощности; - аппараты телефонные; - приборы для измерения напряженности поля и радиопомех; - автомобили легковые и автомобили грузовые общего назначения грузоподъемностью до 0,5 т; - автобусы особо малые и малые длиной до 7,5 м; - приборы бытовые; - служебные собаки

4

Свыше 5 лет до 7 лет включительно

- здания из пленочных материалов; - передвижные цельнометаллические, передвижные деревометаллические; - киоски металлоконструкций; - машины и оборудование сельскохозяйственные и лесо­хозяйственные (кроме тракторов); - оборудование для заточки и подготовки дереворежущего инструмента; - оборудование деревообрабатывающее для производства мебели; - оборудование для пайки и сварочное; - источники бесперебойного электропитания базовых станций; - аппаратура теле- и радиоприемная

5

Свыше 7 лет до 10 лет включительно

- сеть тепловая магистральная; - газопровод; - сооружения для животноводства; - оборудование для транспортировки грузов прочее, кроме конвейеров; - комбайны зерноуборочные, кукурузоуборочные, картофеле­уборочные, свеклоуборочные; - станки металлообрабатывающие, металлорежущие; - фото- и киноаппаратура; - автомобили легковые большого класса (с рабочим объемом двигателя свыше 3,5 л) и высшего класса и автомобили грузовые общего назначения грузоподъемностью свыше 5 т; - автобусы особо большие (автобусные поезда) длиной свыше 16,5 до 24 м включительно; - прицепы и полуприцепы

6

Свыше 10 лет до 15 лет включительно

- скважина нефтяная эксплуатационная; - жилища каркасно-камышитовые и другие облегченные; - ванны купальные, раковины, умывальники, поддоны; - душевые, бачки смывные, краны, смесители, сифоны; - насаждения многолетние косточковых культур

7

Свыше 15 лет до 20 лет включительно

- здания (кроме жилых) деревянные, каркасные и щитовые, контейнерные, деревометаллические, каркасно-обшивные и панельные, глинобитные, сырцовые, саманные и другие аналогичные; - канализационные сети асбоцементные, стальные; - машины упаковочные; - усилители, щиты и источники питания, инструменты ­музыкальные струнные и язычковые

8

Свыше 20 лет до 25 лет включительно

- здания (кроме жилых) бескаркасные со стенами облегченной каменной кладки, железобетонными, кирпичными и деревянными колоннами и столбами, с железобетонными, деревянными и другими перекрытиями; - ограды (заборы) металлические; - оборудование металлическое для сохранности ценностей (сейфы, несгораемые шкафы, бронированные двери и камеры)

9

Свыше 25 лет до 30 лет включительно

- овоще- и фруктохранилища с каменными стенами, колонны железобетонные или кирпичные, покрытия железобетонные; - сооружение очистное водоснабжения; - канализационные сети керамические, чугунные

10

Свыше 30 лет

здания, сооружения, передаточные устройства, жилища и транспортные средства, не вошедшие в другие группы


Похожие работы на - Методы начисления амортизационных отчислений, их преимущества и недостатки

 

Не нашли материал для своей работы?
Поможем написать уникальную работу
Без плагиата!
Без нейросетей!