Інфляція та її види

  • Вид работы:
    Дипломная (ВКР)
  • Предмет:
    Эктеория
  • Язык:
    Украинский
    ,
    Формат файла:
    MS Word
    654,73 Кб
  • Опубликовано:
    2015-02-02
Вы можете узнать стоимость помощи в написании студенческой работы.
Помощь в написании работы, которую точно примут!

Інфляція та її види

Зміст

Вступ

Розділ 1. Теоретичні основи інфляції, її види, типи та причини виникнення

.1 Зміст та сутність поняття інфляція

1.2 Форми виявлення інфляції

.3 Причини виникнення та наслідки інфляції

Розділ 2. Аналіз соціально-економічних наслідків інфляції в Україні

.1 Оцінка соціально-економічних наслідків інфляції в Україні

.1.1 Соціальні наслідки інфляції

.1.2 Економічні наслідки інфляції

.2 Аналіз показників інфляції в Україні

Розділ 3. Пропозиції щодо зниження рівня інфляції та її соціально-економічних наслідків

.1 Антиінфляційна політика держави

.2 Обгрунтування необхідності регулювання цін в умовах інфляційної нестабільності

.3 Зарубіжний досвід долання інфляції та можливості адаптації його в Україні

Висновки

Список використаних джерел

Додатки

Вступ

Актуальність теми. Найефективнішим індикатором "здоров’я" економіки країни є її фінансовий стан. Саме тому діяльність виконавчої влади кожної країни спрямована на забезпечення стабільності фінансово-кредитної системи та фінансового стану в цілому. Запорукою цього, серед іншого, має бути стан "керованості" інфляційними процесами. Необхідність у цьому викликана тим, що інфляція не лише призводить до тяжких соціально-економічних наслідків - за умов інфляції втрачається ефективність дії та відбувається деформація інструментів макроекономічного регулювання.

Iсторично склалося так, що одна з нових й, у деякому вiдношеннi, найважливiша функцiя уряду полягає в тому, щоб стабiлiзувати економiку, тобто допомагати їй забезпечувати повну зайнятiсть ресурсiв i стабiльний рiвень цiн. Перед вченими - економiстами стоїть завдання глибоко й конкретно вивчати явища i тенденцiї у розвитку свiтової економiки. Одне з перших мiсць посiдає аналiз iнфляцiї та факторiв, що її обумовлюють.

Сучасній інфляції властивий ряд відмінних рис: якщо раніше інфляція носила локальний характер, то зараз - всеохоплюючий; якщо раніше вона охоплювала більший і менший період, тобто мала періодичний характер, то зараз - хронічний; сучасна інфляція є під впливом не тільки грошових, але і не грошових факторів.

Саме тому, ця тема така популярна в наші дні і я зупинилась на ній як на предметі свого дослідження.

Аналіз досліджень і публікацій. Дослідженням проблеми соціально-економічних наслідків інфляції займалися такі українські вчені, як Савлук М.І., Базилевич В.Д., Заболоцький Б.Ф., Солонінко К.С., Михайловська І.М. та ін. [3, 5, 8, 11, 18, 22].

Мета курсової роботи з’ясувати сутність інфляції та показників що її визначають; вивчити основні види і типи інфляції, визначити соціально-економічні наслідків інфляції , внести пропозиції щодо її подолання, засвоїти форми і методи антиінфляційної політики.

Завданнями дослідження є:

розглянути зміст та сутність поняття інфляція;

визначити форми її виявлення;

виявити причини виникнення інфляції та наслідки інфляції;

оцінити соціальні та економічні наслідки інфляції в Україні;

проаналізувати показники інфляції в Україні;

дослідити антиінфляційну політику держави;

довести, необхідність регулювання цін в умовах інфляційної нестабільності;

проаналізувати вітчизняний і зарубіжний досвід долання інфляції та виявити можливості адаптації його в Україні;

зробити відповідні висновки.

Об’єктом дослідження виступають інфляція та інфляційні процеси в Україні.

Предметом дослідження є соціально-економічні наслідки інфляції.

Теоретичною та інформаційною базою курсової роботи є праці вітчизняних та зарубіжних вчених, дані з Державного комітету статистики, дані Національного банку України.

Структура курсової роботи. За своїм змiстом робота роздiлена на такi частини: у перший розділ зосереджений на загальнотеоретичному понятті iнфляцiя, її видах, типах та основних причинах виникнення; у другому розділі аналіз наслідків інфляції у соціальній та економічній сферах; в останньому - третьому розділі дана характеристика реалiзацiї антиiнфляцiйної полiтики держави та пропозиції щодо її покращення.

Розділ 1. Теоретичні основи інфляції, її види, типи та причини виникнення

 

1.1 Зміст та сутність поняття інфляція


Як економічне явище інфляція існує вже тривалий час. Вважається що її поява пов’язана з виникненням паперових грошей, з функціонуванням яких вона нерозривно пов’язана.

Термін інфляція (від лат. Inflatio - надування, роздування) вперше почав вживатися в Північній Америці в період громадянської війни 1861 - 1865 рр. І означав процес збільшення паперово - грошового обігу. В ХІХ столітті цей термін вживається також в Англії і в Франції. Широкого розповсюдження в економічній літературі поняття інфляції одержало в ХХ столітті відразу після першої світової війни.

На початок 90-х років ХХ сторіччя не було жодної постсоціалістичної країни, яка б не відчула руйнівного впливу інфляції. У класичній економічній теорії інфляція трактується як частина теорії грошей. Вона є процесом підвищення загального рівня цін та зниження купівельної спроможності грошей. Дж. М. Кейнс вперше проаналізував інфляцію як елемент макроекономічної теорії [1, c. 851].

Мілітаризм, змінивши кейнсіанській теорії у 80-х роках вже не просто включає проблеми інфляції в макроекономічну теорію. Проблеми інфляції стають найважливішою складовою частиною останньої. "Під інфляцією, - пише М. Фрідмен, - я розумію стійке та безперервне зростання цін, що завжди і всюди виступає як грошовий феномен, викликаний надмірною масою грошей по відношенню до випуску продукції". Це положення переконує в тому, що причини інфляції - у сфері обігу. А тому допускається обмеження впливу держави в процеси суспільного відтворення.

На противагу цьому в кейнсіанських теоріях під інфляцією розуміється надмірний попит, причини якого - як на стороні пропозиції, так і попиту: "В разі якщо пропозиція грошей у порівнянні з пропозицією товарів для купівлі збільшилася, має місце інфляція".

З середини 60-х років у світовій економічній науці формується новий напрям у дослідженні інфляцій. Його представники виходять з необхідності комплексного аналізу явищ грошової сфери, що враховують загальні зміни в економіці 2-ї половини ХХ століття. Згідно з цим підходом, найважливішою рисою сучасних інфляційних процесів є тісне переплетіння грошових та загальноекономічних факторів росту цін. Звідси випливає, що незалежно від того, які причини є початковими імпульсами, будь-яке підвищення цін викликає необхідність підвищення обсягів грошової маси, і навпаки.

Інфляція - це процес зростання загального рівня цін в країні в наслідок порушення закону грошового обігу. Інфляція виникає тоді, коли в обігу знаходиться надлишкова кількість грошей (готівкових і безготівкових). Таке становище веде до їх знецінення, гроші "дешевіють", а ціни набувають тенденції до зростання. Інфляція є тонке соціально-економічне явище, породжене диспропорціями виробництва в різних сферах ринкового господарства. Одночасно інфляція - одна із найбільш гострих проблем сучасного розвитку економіки практично всіх країн світу.

Сучасній інфляції притаманний ряд відмінних особливостей. Якщо раніше інфляція носила локальний характер, то зараз - всеохоплюючий; раніше вона охоплювала певний період, тобто мала періодичний характер, а зараз - хронічний; сучасна інфляція знаходиться під впливом не тільки грошових, а й негрошових факторів [3, c. 610].

Необхідно розрізняти внутрішні та зовнішні фактори інфляції. Серед внутрішніх факторів можна виділити негрошові та грошові - монетарні. Зовнішніми факторами інфляції є світові структурні кризи (сировинна, енергетична, валютна), валютна політика держав, спрямована на експорт інфляції в інші країни, нелегальний експорт золота, валюти.

Отже, інфляція як багатофакторний процес - це прояв диспропорційності у розвитку суспільного відтворення, що обумовлено порушенням закону грошового обігу. Таким чином, глибинні причини інфляції знаходяться як в сфері обігу, так і в сфері виробництва, і дуже часто обумовлюються економічними і політичними відносинами в країні.

Отже, фактори інфляції діють як при зміні обсягів виробництва і реалізації товарів, так і при зміні маси і швидкості обігу грошей.

Таблиця 1.1. Фактори інфляції

Головні негрошові фактори інфляції в Україні

 Основні грошові фактори інфляції в Україні

криза планової господарської системи

лібералізацію цін в умовах відсутності ринку та конкуренції


дефіцит державного бюджету


кредитну експансію банків, яка мала невиробничий характер

  неекономність виробництва

доларизацію грошового обігу


розпад "рубльової зони"


відплив за межі країни валютної виручки підприємств та доходів громадян та інші фактори


Таким чином, інфляція в Україні відрізняється від всіх інших. Це пояснюється умовами її розвитку (переходом від планово-адміністративної до ринкової економіки), високими темпами зростання цін тощо [4, c. 368].

1.2 Форми виявлення інфляції

У літературі зустрічається десятки різних формулювань видів та типів інфляції. При цьому різні автори не завжди дотримуються певних критеріїв для визначення того чи іншого виду. Найбільш коректною є класифікація видів інфляції за такими категоріями: за темпами зростання цін, За характером інфляційного процесу, за ступенем збалансованості, за характером очікуваності і передбачуваності, за факторними формами (таблиця 1.2.)

Таблиця 1.2. Класифікація видів інфляції

За темпами зростання цін

За характером інфляційного процесу

За ступенем збалансова- ності

За характером очікуваності і передбучува- ності

За факторними формами

Повзуча

Галопуюча

Гіперінфляція

Відкрита

Прихована

Збалансована

Незбалансована

Очікувана

Неочікувана

Інфляція попиту

Інфляція витрат


За формами виявлення розрізняють:

         відкриту інфляцію - виявляється безпосередньо в рості цін;

         подавлену (приховану) інфляцію - коли знецінення грошей відбувається без відкритого росту цін. Ціни утримуються на фіксованому рівні за допомогою адміністративних заходів [5, c. 390].

Основною формою вияву такої інфляції є загострення дефіциту, коли купівельна спроможність грошей падає у зв’язку з неможливістю придбати потрібні товари. Іншою формою подавленої інфляції є приховане підвищення цін, що виявляється в погіршенні якості товару при незмінній ціні, "вимиванні" товарів дешевого асортименту, продажі старих товарів під новою маркировкою і відповідно за більш високими цінами. Прихована інфляція також проявляється в наявності незадовільненого попиту, представленого вимушеними заощадженнями, що утворилися через те, що покупці не можуть знайти необхідні товари. Офіційно регульовані ціни прориваються на "чорному" ринку. Динаміка цих цін і є відносним вираженням прихованої інфляції. Тому приховану інфляцію часто називають адміністративною, народжену адміністративними цінами [3, c. 614].

За факторними формами інфляції, теорія грошей розрізняє багато її видів, серед яких ключове місце належить:

інфляції попиту;

iнфляцiї витрат.

Інфляцію попиту, (Рис. 1.1.) - викликає надлишок грошей, доходів й попиту. Вона спостерігається, коли сукупний попит зростає швидше за виробничий потенціал економіки, підносячи ціни, щоб зрівноважити пропозицію i попит.

Рис. 1.1. Інфляція попиту

Покупці конкурують за обмежену пропозицію товарів, що призводить до зростання цін. У разі збільшення сукупного попиту рівень цін не зміниться, бо буде вiдповiдно зростати й обсяг виробництва, тобто iнфляцiя поки що буде відсутня. Це пояснюється тим, що існує велика кількість не

залучених у виробництво трудових i матеріальних ресурсів, якi ще можна залучити за існуючих на них цін [6, c. 851].

Поступово зростання попиту підштовхує розвиток сукупної пропозиції. Для цього стану економіки притаманне повніше використання ресурсів, а тому їх запаси поступово скорочуються i вони стають дорожчими. Починається зростання цін, тобто iнфляцiя. Інфляцію, що виникає таким чином, називають "передчасною", тому що вона починається до появи повної зайнятості i повного використання виробничих потужностей у країни.

Подальше зростання сукупного попиту підштовхує сукупну пропозицію до потенційно можливого обсягу виробництва, національний продукт досягає свого максимуму, i тому подальше збільшення сукупного попиту зумовлює інфляцію, яку називають вже "чистою" на відміну від "передчасної" [7, c. 343].

Інфляція витрат (Рис. 1.2.) - спостерігається в тому випадку, коли збільшуються витрати на одиницю продукції, тобто середні витрати за даного обсягу виробництва, коли ціни зростають через збільшення витрат виробництва. Ціни, що зросли вимагають нового збільшення витрат при купівлі необхідних виробничих ресурсів, що знову "штовхає" ціни вгору там, де ці ресурси застосовуються. Інфляційні стрибки цін в результаті посилюють один одного, їх зростання стає, по суті, самопідтримуючим, при чому із зростаючими темпами. Два найважливіших джерела, що живлять інфляцію витрат, - це зростання номінальної заробітної плати і цін на сировину та енергію. Надмірне зростання заробітної плати, як правило, породжує інфляцію, тому профспілки, що вимагають постійного підвищення оплати праці, для працівників своєї галузі, повинні рахуватись із загальним економічним станом країни, середнім рівнем заробітної плати. Зростання витрат виробництва, що обертається накручуванням цін, веде до раптового, не передбачуваного, зростання цін на сировинні ресурси, а особливо - на енергоносії, що в повній мірі відчула на собі економіка молодої незалежної України.

Рис. 1.2. Інфляція витрат

Найстрашніше в інфляції витрат те, що вона породжує інфляційну психологію. Це явище виникає тоді, коли в масовій свідомості людей існує впевненість, що інфляція буде наростати і на далі.

Також інфляція може бути:

-    збалансованою;

-        незбалансованою.

При збалансованій інфляції ціни піднімаються відносно помірно і одночасно на більшість товарів і послуг. В цьому випадку по результатах середньорічного росту цін піднімається процентна ставка державного банку і таким чином ситуація стає рівносильна стабільним цінам [8, c. 71].

У випадку незбалансованої інфляції ціни на різні товари і послуги піднімаються неодночасно і по-різному на кожний тип товару.

-    очікувана;

-        неочікувана.

Очікувану інфляцію можна спрогнозувати на який-небудь період часу і вона як правило є прямим результатом діянь влади.

Неочікувана інфляція характеризується неочікуваним стрибком цін, що негативно відбивається на податковій системі і грошовому обігу. У випадку присутності у населення інфляційних очікувань така ситуація викличе різке збільшення попиту, що саме по собі створює труднощі в економіці і змінює реальну картину суспільного попиту, що веде до збою в прогностичних тенденціях в економіці і при деякій нерішучості уряду ще сильніше збільшують інфляційні очікування, які будуть збільшувати ріст цін. Але коли раптовий стрибок цін відбувається в економіці на зараженій інфляційними очікуваннями, то виникає так званий "ефект Пігу" - різке падіння попиту у населення в надії на швидке зниження цін. В наслідок зниження попиту виробник змушений знизити ціну, все повертається в становище рівноваги [5, c. 394].

Згідно з темпами зростання цін інфляцію поділяють на три види:

повзуча;

галопуюча;

гіперінфляція .

У разі повзучої інфляції ціни зростають поступово, помірними темпами - приблизно 10 % на рік. За таких умов зберігається купівельна спроможність грошей, і тому підприємці нічим не ризикують, укладаючи угоди в поточних цінах.

Галопуюча інфляція означає швидке зростання цін - від 20 до 200 % на рік. Такий темп може зумовити тяжкі економічні та соціальні наслідки (падіння рівня виробництва, банкрутство багатьох підприємств, зменшення життєвого рівня населення тощо).

Гіперінфляція - це катастрофічне зростання цін (500-1000 % і більше за рік). Призводить до краху грошової системи [9, c. 598].

1.2. Причини виникнення та наслідки інфляції

Причини, перш за все необхідно шукати в деформації грошового обігу. Так, інфляція виникає, коли центральний банк країни проводить невірну грошову політику, випускаючи в обіг незабезпечену товаром масу грошей.

Інший варіант виникнення інфляції може бути викликаний державними замами в Центральному банку. При достатньо низьких темпах інфляції, наслідки можуть виявитись важкими.

Виникає інфляція і при активних процесах мілітаризації в державі, при високому рівні монополізації ринків, під впливом зовнішніх факторів (ростом світових цін) [10, c. 320].

Чим би не була спровокована інфляція, вона знецінює доходи бюджету й супроводжується його дефіцитом. Крім бюджетного дефіциту інфляція обов’язково супроводжується нерівномірним зростанням цін й, звідси, порушенням господарчих зв’язків.

Ріст цін викликається різними причинами. Але не всякий ріст цін - інфляція. Інфляційні причини росту цін:

по-перше, це диспропорційність, або незбалансованість державних витрат і доходів, що проявляється в дефіциті держбюджету. Якщо цей дефіцит фінансується за рахунок активного використання "друкарського верстата" це призводить до збільшення маси грошей в обігу, а відповідно і до інфляції.

по-друге, інфляційне зростання цін може відбуватись, якщо фінансування інвестицій проводиться аналогічними методами. Особливо інфляційно небезпечними є інвестиції, пов’язані з мілітаризацією економіки.

- по-третє, з зростанням "відкритості" економіки тої чи іншої країни, все більшим втягуванням її в мирогосподарські зв’язки збільшують небезпечність "імпортованої" інфляції.

- останнім є те, що інфляція набуває самопідтримуючий характер в результаті інфляційних очікувань [11, c. 590].

Серед чинників та факторів інфляції в українській економіці слід назвати наступні:

- невиважена первинна емісія;

структурні перекоси у матеріальному виробництві та ціновій політиці;

затратність економіки та непродуктивні витрати окремих виробництв;

значна руйнація товаропродукуючої сфери та неефективність безготівкової системи розрахунків;

від’ємне сальдо зовнішньої торгівлі та неконтрольований експорт;

доларизація економіки [8, c. 69].

Щодо наслідків інфляції, тут слід зазначити, що інфляція здійснює негативний вплив на суспільство в цілому. Погіршується економічне становище: знижуються обсяги виробництва, оскільки коливання та зростання цін роблять непевними перспективи розвитку виробництва; відбувається перелив капіталу з виробництва в торгівлю та посередницькі операції, де швидший обіг капіталу та більше прибуток, а також легше ухилитися від сплати податків; розширюється спекуляція в результаті різкої зміни цін; обмежуються кредитні операції; зменшуються фінансові ресурси держави.  Виникає соціальне напруження в зв’язку з тим, що інфляція перерозподіляє національний доход не на користь найменш забезпечених верств суспільства. Вона знижує реальні доходи , а отже і загальний рівень життя населення, якщо номінальний доход буде відставати від росту цін. Особливо важкою є інфляція для осіб з фіксованими доходами: пенсіями, стипендіями, заробітною платою працівників бюджетної сфери. Крім того, інфляція знецінює заощадження громадян. В зв’язку з цим, щоб стримати різке падіння життєвого рівня, держава здійснює індексацію доходів, та податкових пільг. Розгортання інфляційних процесів призводить до такого загострення економічних та соціальних суперечностей, що держави починають вживати заходів для подолання інфляції та стабілізації грошового обігу.

Розділ 2. Аналіз соціально-економічних наслідків інфляції в Україні

 

2.1 Оцінка соціально-економічних наслідків інфляції в Україні


Наслідки інфляції складні і різноманітні. Найбільш її темпи сприяють росту цін і норми прибутку. Високий рівень інфляції перетворюється у серйозну перешкоду для виробництва. Обумовлює економічну і соціальну напруженість у суспільстві.

Наслідки інфляції різноманітні, суперечливі і полягають у наступному:

. Вона приводить до перерозподілу національного доходу і багатства між різними групами суспільства, економічними і соціальними інститутами. Є довільним та не підвладним прогнозуванню явищем.

Кошти перерозподіляються від приватного сектора (фірми, домогосподарства) до держави. Дефіцит державного бюджету, що є одним з факторів інфляції, покривається через інфляційний податок. Його сплачують усі власники реальних грошових залишків. Сплачується він автоматично, оскільки грошовий капітал знецінюється під час інфляції. Інфляційний податок показує зниження вартості реальних грошових залишків.

Інший канал перерозподілу доходів на користь держави виникає з монопольного права друкувати гроші. Різниця між сумою номіналів додатково випущених банкнот і витратами на їхнє друкування називається сеньйоражем. Він дорівнює кількості реальних ресурсів, що може одержати держава на надруковані гроші. Сеньйораж дорівнює інфляційному податку, коли населення підтримує постійною реальну вартість своїх грошових залишків [28].

Особи, що мають фіксовані доходи, несуть втрати від інфляції в результаті зниження реальних доходів. Групи, що одержують індексовані доходи, захищені від інфляції настільки, наскільки система індексації доходів дозволяє їм зберегти реальний заробіток. Продавці товарів і ресурсів, що займають монопольне положення на ринку, можуть збільшити свій реальний доход [13, c. 3].

. Високі темпи інфляції і різкі зміни структури цін ускладнюють планування (особливо довгострокове) фірм і домогосподарств. У результаті збільшується невизначеність і ризик ведення бізнесу. Нестабільність і недостатність економічної інформації також заважають складанню бізнес-планів [15, c. 36].

Платою за це є ріст процентної ставки і прибутку. Інвестиції починають носити короткостроковий характер, знижується частка капітального будівництва в загальному обсязі інвестицій і підвищується питома вага спекулятивних операцій. У майбутньому це може привести до зниження добробуту нації і зайнятості.

У силу відсутності якісної інформації про ціни, підсилюється дезорієнтація суб'єктів ринкового господарства, знижується ефективність розміщення економічних ресурсів. У підприємств зростають витрати, зв'язані з потребою адаптуватися до постійних змін, заздалегідь готуватися до безлічі сценаріїв економіки завтрашнього дня.

3. Зменшується політична стабільність суспільства, зростає соціальна напруженість. Висока інфляція сприяє переходу до нової структури суспільства. Наслідок інфляції позначається через податкову систему. У такій ситуації прогресивне оподатковування в міру росту інфляції автоматично всі частіше зараховує різні соціальні групи і види бізнесу в усі більш заможні чи дохідні, не розбираючи: чи зріс доход чи реально тільки номінально. Це дозволяє уряду збирати зростаючу суму податків навіть без прийняття нових податкових законів і ставок. Відношення бізнесу і населення до уряду природно погіршується [14, c. 13].

4. Відносно більш високі темпи росту цін у "відкритому" секторі економіки приводять до зниження конкурентноздатності національних товарів. Результатом буде збільшення імпорту і зменшення експорту, ріст безробіття і руйнування товаровиробників.

. Зростає попит на більш стабільну іноземну валюту. Збільшуються витік капіталів за кордон, спекуляції на валютному ринку, що у свою чергу прискорює ріст цін.

6. Знижується реальна вартість заощаджень, накопичених у грошовій формі, підвищується попит на реальні активи. У результаті ціни на ці товари ростуть швидше, ніж змінюється загальний рівень цін. Прискорення інфляції підстьобує ріст попиту в економіці, приводить до утечі від грошей. Фірмам і домогосподарствам приходиться здійснювати додаткові витрати на покупку реальних активів.

7. Змінюється структура, і зменшуються реальні доходи державного бюджету. Можливості держави для проведення експансіоністської фіскальної і монетарної політики звужуються. Зростають бюджетний дефіцит і державний борг. Запускається механізм їхнього відтворення. Часто уряди не змінюють реальної вартості своїх програм, що фактично скорочуються, коли ціни зростають. Це відбувається частково тому, що більшість трансфертних програм не індексовані в залежності від зростання рівня цін. Деякі види державних закупок можуть "проходити" по статтях бюджету у номінальному розмирі. Такий стан речей призводить до того, що номінальні витрати будуть менш за необхідні при зростанні рівня цін, так що реальні витрати будуть зменшуватись [14, c. 15].ншi наслідки: зростають цiни на товари та послуги, що купує держава у рамках соціальних програм. Тоді, наприклад, урядові витрати на медицину можуть зменшуватись у реальному вираженні, якщо уряд є неспроможним збільшувати бюджет відповідно до зростання витрат на медичне обслуговування.

8. В економіці, що функціонує в умовах неповної зайнятості, помірна інфляція, незначно скорочуючи реальні доходи населення, змушує його більше і краще працювати. У результаті повзуча інфляція є одночасно "платою" за економічний ріст і стимулом для нього. Дефляція, навпроти, приводить до зниження зайнятості і завантаження виробничих потужностей.

Окрім перерозподілу доходів інфляція впливає на економіку через загальний обсяг виробництва. Такий вплив справляється на рівень обсягу виробництва в цілому. Тут слід зауважити, що безпосереднього зв’язку між цінами i обсягом виробництва немає. Збільшення сукупного попиту збільшує i ціни, i обсяг виробництва. Проте потрясіння в пропозиції, переміщуючи вгору криву сукупної пропозиції, підвищать ціни i зменшать обсяг виробництва [15, c. 33].

. В умовах стагфляції високий рівень інфляції сполучається з великим безробіттям. Значна інфляція не дає можливості збільшити зайнятість.

Ключовий момент сучасної інфляції розвинутих економічних систем полягає в тому, що вона розвивається як інерційна, i зупинити її надзвичайно важко. Тобто інфляція має властивість залишатися стабільною, поки економічна ситуація не змусить її підвищитись або впасти [16, c. 513].

Відкрита інфляція, а тим паче гіперінфляція - це щось більше, ніж економічне лихо, це також соціальна катастрофа.

Ерозія купівельної спроможності грошей означає ерозію грошових доходів людей, яка найбільше і насамперед згубно впливає на головний фактор і джерело приватного та суспільного багатства - працю. За умов інфляції підриваються стимули та мотивація до продуктивності праці, посилюється відплив трудових резервів із сфери виробництва у сферу розподілу та перерозподілу товарних цінностей. Жорстка інфляція сприяє розповсюдженню спекулятивної, мафіозної. Власне паразитарної діяльності людей [17, c. 648].

Один із найнегативніших наслідків інфляції полягає у тому, що вона деформує морально-психологічний клімат у суспільстві, прискорює суспільно-психологічне безладдя, загострює криміногенну обстановку.

2.1.1 Соціальні наслідки інфляції

Вплив інфляції на положення населення не вичерпується лише розглядом проблеми впливу інфляції на зайнятість. Значно сильніший безпосередній вплив інфляції на доходи населення, які в реальному обчисленні швидко знижуються.

Істотна ознака інфляції поряд зі знеціненням грошей полягає в перерозподілі частини національного доходу: інфляцію відрізняє від простої зміни масштабу цін саме нерівномірність їх зростання на різноманітні товари. Внаслідок високої інфляції знижуються реальні доходи більшості населення. Проте існування "грошової ілюзії" може дещо знизити психологічний вплив інфляції.

Зниження реальної заробітної плати і реальних доходів в цілому особливо інтенсивно відбувалось в умовах гіперінфляції. Номінальна заробітна плата не встигала за високими темпами інфляції і, навпаки, зниження темпів інфляції призводило до зростання реальної заробітної плати.

Рис. 2.1. Структура доходів населення України

Різке зниження реальної заробітної плати призвело до того, що її частка в структурі витрат виробництва в народному господарстві знизилась. Таке різке скорочення частки зарплати під впливом інфляції не могло не вплинути на структуру внутрішнього ринку, його місткість і пропорції. Воно об'єктивно призвело до відставання реального платоспроможного попиту від можливостей пропозиції та неминуче скоротило саму пропозицію, поглиблюючи тим самим кризове падіння виробництва і посилюючи інфляцію, викликану шоком пропозиції [29].

Найбільший спад виробництва спостерігається в наукомістких та тих галузях, де існує найбільш швидкий оборот капіталу, продукція яких орієнтована на задоволення попиту населення: в легкій, харчовій промисловості, на підприємствах, які випускають продукцію культурно-побутового призначення [20, c. 47].

Особливо негативно вплинула інфляція на фіксовані доходи осіб, які отримують різні соціальні допомоги: пенсіонерів, студентів, безробітних та на заробітки працівників бюджетної сфери. Збільшення цих допомог і заробітків значно відстає від динаміки доходів інших верств населення і побудоване на принципі лише часткової компенсації зростання рівня цін. Через це доходи цієї категорії населення внаслідок інфляції знижуються більш інтенсивно, а компенсація їх в процесі індексації не перевищувала 80 відсотків реального зростання цін (додаток А).

Окрім прямого впливу інфляція справляє і непрямий вплив на доходи основної маси населення через зміни в оподаткуванні. Під впливом інфляції збільшується кількість платників податків за рахунок залучення до їхніх рядів осіб, які раніше не підлягали оподаткуванню: з падінням купівельної спроможності та номінальним зростанням грошових доходів все більше категорій населення включається до сфери оподаткування. Іншим каналом впливу інфляції на пряме оподаткування доходів населення є збільшення фактичних норм обкладання податком, причому порівняно більшою мірою зростають податки платників з більш низькими доходами [21, c. 9].

Інфляція справляє свій згубний вплив не тільки на поточні доходи населення, а й на їхні заощадження. Зростання інфляції призводить до швидкого знецінення не дуже великих заощаджень населення в грошовій формі, включаючи готівку та банківські вклади.

Аналіз динаміки грошових заощаджень населення України показує, що в період посилення інфляційного процесу норма заощадження в його доходах знижується. Зубожіння населення, викликане зростанням інфляції, призводить до того, що частка заощаджень населення в загальному грошовому доході різко скорочується, хоча в попередній період вона постійно зростала (Рис. 2.2.).

Рис. 2.2. Структура витрат та заощаджень населення України

Проте найбільш поширеною формою заощаджень в умовах інфляції стала купівля населенням конвертованої валюти [29].

Не поспішає населення вкладати свої заощадження у цінні папери. Головна причина полягає в тому, що вже зникло досить багато трастів, банків, довірчих та інвестиційних компаній, які широко випускали свої цінні папери, а ті, які залишились на ринку, не змогли виконати свої гучноголосі обіцянки про надвисокі дивіденди, рівень яких мав випереджати рівень інфляції.

При інфляційній втраті грішми їхньої купівельної спроможності збільшуються заощадження в формі фізичних активів (золота, срібла, коштовностей і нерухомої власності - дач, квартир тощо), вартість яких у грошовому вираженні зростає, тоді як вартість фінансових активів (акцій, облігацій, банківських депозитів і просто готівкових грошей) в наших умовах знижується. Останнім часом як сфера, в яку можна вкладати заощаджені кошти, почала розглядатися також земля [17, c. 645].

Важливим наслідком впливу інфляції на соціально-економічний стан населення в перехідний період стало поглиблення диференціації доходів різних соціальних груп і посилення на цьому ґрунті економічної та соціальної нерівності. Внаслідок інфляції бідні стають ще біднішими, а багаті - ще багатшими.

Під впливом інфляції деформується структура споживчих цінностей, культурних переваг тощо. Проходить інтенсивна зміна способу життя основної маси населення. Для виживання та стабілізації своїх доходів люди починають інтенсивно працювати в особистих підсобних господарствах, що веде до значного (майже в 2 рази) зростання частки сімейних доходів з цього джерела, вони відмовляються від культурно-побутових послуг та дозвілля.

Досвід України підтвердив зауваження Дж. Сакса про те, що "... висока інфляція, яка супроводжується всеохоплюючим і хаотичним перерозподілом доходів та достатку, здатна підірвати суспільний устрій" [2, с. 613].

2.1.2 Економічні наслідки інфляції

Одним з найважливіших наслідків інфляції як на мікро-, так і на макрорівні стає невизначеність. Причому на макрорівні в період ринкової трансформації економічної системи вона виявляється значно більше, оскільки всі орієнтири розвитку, які раніше існували, виявляються в значній мірі розмитими, а нові ще не сформовані.

Суттєвим наслідком інфляції на макрорівні є зміна співвідношення між нагромадженням і споживанням. Механізм примусового збільшення нагромадження в результаті інфляції полягає у тому, що за рахунок зниження реальних доходів і можливостей споживання, передусім населення, ресурси вивільняються зі сфери споживання і потрапляють в ті сектори, де вони використовуються для збільшення розмірів виробництва. Отже, інфляція знижує і без того недостатній рівень споживання основної маси населення, а це може спричинити не тільки соціальні конфлікти, а й зниження ефективності виробництва у зв'язку зі звуженням ринку [18, c. 257].

Інфляція суттєво вплинула і на зміну структури інвестицій. Оскільки під впливом інфляції зростає економічний ризик інвестицій, у результаті найбільший розвиток отримують лише ті види бізнесу, які мають виразно спекулятивний характер і не розраховані на тривалу перспективу. Діяльність пріоритетних для стабільного розвитку суспільства галузей з тривалим виробничим циклом заморожується. Базові галузі економіки при цьому приходять в занепад, оскільки їх фінансові ресурси реально перекачуються в галузі з швидкою оборотністю капіталу (додаток Б). Отже, відбувається порушення інвестиційних процесів та поглиблення макроекономічних диспропорцій, що не створює умов для тривало-стабільного економічного зростання [23, c. 57].

За допомогою інфляції здійснюється перерозподіл частини ресурсів і між окремими секторами економічної системи, галузями, підприємствами. Вплив такого перерозподілу на економічну систему залежить від напряму перетікання частини реальних доходів і характеру їх використання. Суспільство зацікавлене у тому, щоб реальні ресурси, які потрапляють до тих суб'єктів господарювання, номінальні доходи яких зростають досить швидко, спрямовувалися у продуктивні канали. Проте в період ринкової трансформації економічної системи це відбувається не завжди. Головна причина полягає в тому, що суспільні інституції, які цим займаються в умовах ринку, в нашій країні ще повністю не сформовані.

До наслідків інфляції можна також віднести і більш швидку появу в Україні ринку державних цінних паперів, адже саме інфляція підштовхнула до пошуку неемісійних джерел покриття дефіциту бюджету, яким і став цей елемент фінансового ринку [19, c. 3].

Серйозним наслідком розвитку інфляційних процесів у економічній системі України стала натуралізація господарських зв'язків між суб'єктами підприємництва, яка надає інфляційним тенденціям ще більші масштаби. Поширення бартерних операцій, підштовхуючи інфляцію, обумовило і таке явище, як значне зменшення потреби в національних грошах і відповідне зменшення забезпеченості економіки України національною грошовою масою.

Наслідком інфляції в період ринкової трансформації економічної системи є також зміни в характері грошового обігу України. Під впливом гіперінфляції різко зріс рівень доларизації [13, c. 4].

Подвійно вплинула інфляція і на кредитну систему. З одного боку, під впливом інфляції розвиток кредитних відносин був спрямований у ринкове русло, оскільки інакше кредитні установи не змогли б вижити. Інфляція певною мірою сприяла їхньому розвою та становленню, оскільки початково інфляційна нерівновага викликала значний приплив коштів саме у фінансову сферу. Проте, з іншого боку, інфляція справила і значний негативний ефект на розвиток цієї сфери. Були підірвані засади кредитування - кредит став невигідним, оскільки сума боргу впродовж строку кредиту інтенсивно знецінювалась. Знизилась реальна пропозиція позикових капіталів, зросли відсотки за позиками, скоротились строки їх надання. Під час гіперінфляції не тільки зменшилася частка термінових депозитів, а й відбулось реальне вилучення частини вкладів [12, c. 316].

Ще одним наслідком інфляції в перехідній економіці України стала дестабілізація ринку недержавних цінних паперів. Одна з важливих причин цього явища полягала у тому, що в умовах інфляції та часткового збереження державного регулювання цін, об'єктивно не може скластись середня норма прибутку, яка є головним орієнтиром цього ринку.

Інфляція істотно вплинула на обсяг вкладання іноземного капіталу в Україну. Проте приплив іноземних інвестицій можливий лише за відсутності в Україні високої інфляції.

Висока інфляція, за якої вигідно несвоєчасно сплачувати податки чи взагалі їх не сплачувати, призвела також до посилення тінізації економіки (ухилення від офіційної реєстрації виробничого процесу). Отже, виходить, що інтеграція тільки половини тіньової економіки в офіційну, легальну (а відтак, одержання від неї податків до бюджету) дало б змогу повністю покрити дефіцит бюджету і в такий спосіб досягти фінансової стабілізації.

Ще одним наслідком високої інфляції стала поява в Україні тіньового ринку валюти при фактичній відсутності легального та його жорсткій регламентації.

Наступним важливим наслідком інфляції є зниження курсу української національної грошової одиниці по відношенню до інших більш сталих валют. Падіння курсу української валюти сприяє зниженню цін на експортні товари, обчислені в іноземній валюті, а це зміцнює їхню конкурентоспроможність на зовнішньому ринку, призводить до зростання експорту і надходжень від нього, тим самим посилюючи позиції України в міжнародній торгівлі. Під впливом зниження курсу збільшується ціна імпортованих товарів, підтримуючи конкурентоспроможність національного виробництва на внутрішньому ринку. в свою чергу, призводить до скорочення імпорту і створення можливостей для збалансування зовнішньої торгівлі [23, c. 45].

 

2.2 Аналіз показників інфляції в Україні


В Україні прискорились темпи росту інфляції. Базова інфляція в Україні в серпні 2011 року становила 0,8% в порівнянні з 0,5% у липні і 0,6% щомісяця в квітні-червні, повідомили у Держстаті.

Згідно з даними відомства, з початку року базова інфляція досягла 4,9%. В серпні і за перші вісім місяців 2010 року базова інфляція становила, відповідно, 0,6% і 4%.

Держстат також повідомляє, що по відношенню до аналогічного місяця 2010 року за підсумками серпня базова інфляція прискорилася до 8,8% з 8,6% за підсумками липня. Рік тому - прискорилася з 7,2% до 7,3%.

Відомство також уточнює, що базова інфляція за січень-серпень 2011 року по відношенню до січня-серпня 2010 року становила 7,8%, тоді як за підсумками семи місяців вона дорівнювала 7,6%. Рік тому вона сповільнилася з 9,2% до 9%.

Базова інфляція виключає короткострокові нерівномірні зміни цін під впливом окремих факторів, які носять адміністративний, подієвий, а також сезонний характер. Переважно мова йде про цінову динаміку, яка не враховує зміни цін на продовольство та енергоносії [28].

Інфляція звичайно вимірюється одним із трьох основних індикаторів: зростання індексуспоживчих цін (ІСЦ), зростання індексу оптових цін (ІЦВ) і дефлятором ВВП. ІСЦ відображає ціни кінцевих споживачів на кошик товарів, що включає вироблені всередині країни та імпортовані споживчі товари і послуги. ІЦВ розраховується на основі цін виробників на товари, зроблені в Україні як для внутрішнього споживання, так і для експорту.

Найпоширенішим методом виміру інфляції є індекс споживчих цін (Consumer Price Index, CPI), який розраховується для поточного періоду стосовно базового періоду. Наведена інформація відповідає офіційним статистичним даним (таблиця 2.1.).

Таблиця 2.1. Індекси споживчих цін

Роки

Місяці

IСЦ

Базовий індекс споживчих цін (БІСЦ)



до попереднього місяця, %

до грудня попереднього року, %

 до відповідного періоду, %

до відповідного місяця попереднього року, %

до попереднього місяця, %

до грудня попереднього року, %

2008

січень

102,9

102,9

119,4

119,4

101,6

101,6


лютий

102,7

105,7

120,6

121,9

102,0

103,6


березень

103,8

109,7

122,5

126,2

102,3

106,0


квітень

103,1

113,1

124,4

130,2

102,3

108,5


травень

101,3

114,6

125,8

131,1

101,8

110,4


червень

100,8

115,5

126,4

129,3

101,4

112,0


липень

99,5

114,9

126,4

126,8

101,0

113,1


серпень

99,9

114,8

126,4

126,0

100,7

113,9


вересень

101,1

116,1

126,2

124,6

101,5

115,6


жовтень

101,7

118,0

125,8

123,2

101,3

117,1


листопад

101,5

119,8

125,5

122,3

101,6

118,9


грудень

102,1

122,3

125,2

122,3

102,0

121,3

2009

січень

102,9

102,9

122,3

122,3

102,8

102,8


лютий

101,5

104,4

121,6

120,9

102,7

105,6


березень

101,4

105,9

120,4

118,1

101,8

107,5


квітень

100,9

106,9

119,1

115,6

101,0

108,6


травень

100,5

107,4

118,2

114,7

100,6

109,2


червень

101,1

108,6

117,6

115,0

100,9

110,2


липень

99,9

108,5

117,3

115,5

100,5

110,7


серпень

99,8

108,2

117,1

115,3

100,5

111,3

100,8

109,1

116,8

115,0

101,1

112,5


жовтень

100,9

110,1

116,5

114,1

100,8

113,4


листопад

101,1

111,3

116,3

113,6

100,6

114,1


грудень

100,9

112,3

115,9

112,3

100,7

114,9

2010

січень

101,8

101,8

111,1

111,1

100,8

100,8


лютий

101,9

103,7

111,3

111,5

100,8

101,6


березень

100,9

104,7

111,2

111,0

100,9

102,5


квітень

99,7

104,4

110,8

109,7

100,3

102,8


травень

99,4

103,7

110,3

108,5

100,2

103,0


червень

99,6

103,3

109,8

106,9

100,1

103,1


липень

99,8

103,1

109,3

106,8

100,2

103,3


серпень

101,2

104,3

109,2

108,3

100,6

104,0


вересень

102,9

107,4

109,3

110,5

101,5

105,5


жовтень

100,5

107,9

109,4

110,1

100,9

106,5


листопад

100,3

108,2

109,4

109,2

100,7

107,2


грудень

100,8

109,1

109,4

109,1

100,6

107,9

2011

січень

101,0

101,0

108,2

108,2

100,3

100,3


лютий

100,9

101,9

107,7

107,2

100,6

100,9


березень

101,4

103,3

107,7

107,7

100,8

101,7


квітень

101,3

104,7

108,1

109,4

100,6

102,3


травень

100,8

105,5

108,7

111,0

100,6

102,9


червень

100,4

105,9

109,2

111,9

100,6

103,6


липень

98,7

104,6

109,4

110,6

100,5

104,1


серпень

99,6

104,1

109,4

108,9

100,8

104,9


вересень

100,1

104,2

109,0

105,9

100,8

105,7


жовтень

100,0

104,2

108,6

105,4

100,6

106,4


листопад




 


 


грудень




 


 

Індекс споживчих цін відображає зміну вартості фіксованого споживчого набору товарів і послуг у поточному періоді щодо попереднього. Споживчий набір товарів і послуг - це набір найбільш представницьких і важливих для споживання домогосподарств товарів і послуг. Таким чином, вимірюючи ціни на ті самі товари й послуги в різних періодах, визначається індекс їх інфляції [29].

Індекси споживчих цін (ІСЦ) та цін виробників промислової продукції (ІЦВ) у листопаді 2011 року становили 100,1% і 100,6%, з початку року - 104,4% і 116,3% відповідно (додаток В) (додаток Г) [29].

На споживчому ринку у листопаді індекс споживчих цін на продукти харчування та безалкогольні напої становив 100,0%. При цьому суттєво (на 7,1% та 5,2%) знизилися в ціні цукор та продукти переробки зернових. На 3,2-0,2% подешевшали рис, фрукти, олія, овочі, м’ясо та м’ясопродукти, риба та продукти з риби. Водночас на 12,7% подорожчали яйця, на 4,1-1,1% - молоко, тваринні жири, сири, масло, кисломолочна продукція та безалкогольні напої (Рис. 2.3.).

Рис. 2.3. ІСЦ на продукти харчування та безалкогольні напої у 2010-2011 роках (до попереднього місяця)

Ціни (тарифи) на житло, воду, електроенергію, газ та інші види палива знизилися на 0,1%, що викликане здешевленням скрапленого газу на 9,5%. Разом з цим плата за гарячу воду, опалення зросла на 0,4% (Рис 2.4.).

Рис. 2.4. ІСЦ на житло, воду, електроенергію, газ та інші види палива у 2010-2011 роках (до попереднього місяця)

Підвищення цін на транспорт у цілому 0,4% зумовлене, в першу чергу, зростанням вартості перевезень пасажирським автодорожнім транспортом на 1,0%. Крім того, на 2,2% стали дорожчими авіаційні перевезення. У той же час відбулося зниження цін на паливо та мастила (на 0,1%) [29].

Подорожчання у сфері відпочинку і культури на 0,3% в основному пов’язане з підвищенням плати за теле- і радіомовлення та прокат обладнання на 0,5%. Аудіотехніка, фотоапаратура та обладнання для обробки інформації стали дорожчими на 0,2%. Водночас відбулося сезонне зниження цін на туристичні послуги на 0,8% (Рис. 2.5.).

Рис. 2.5. ІСЦ на транспорт у 2010-2011 роках (до попереднього місяця)

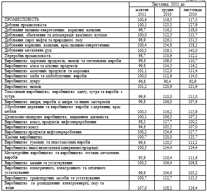
Ціни на продукцію добувної промис-ловості у листопаді підвищилися на 0,1%. У добуванні корисних копалин, крім паливно-енергетичних, продукція подорожчала на 0,4%, у т.ч. на підприємствах з видобутку та виробництва солі - на 8,0%. У добуванні паливно-енергетичних корисних копалин ціни знизилися на 0,3%, зокрема у видобуванні нафти - на 2,4% (Рис 2.6.) [29].

Рис. 2.6. ІЦВ у добувній промисловості у 2010-2011 роках (до попереднього місяця)

Продукція підприємств переробної промисловості подешевшала на 1,3%. Найбільше зниження цін (на 5,4% та 4,1%) спостерігалося у виробництві коксу та металургійному виробництві, виробництві готових металевих виробів. Крім того, на 0,4% знизилися ціни у виробництві харчових продуктів, напоїв та тютюнових виробів, зокрема у виробництві цукру - на 3,2%, олії та тваринних жирів - на 3,0%, борошномельно-круп'яних продуктів - на 0,9%. Разом з цим відбулося подорожчання продукції у виробництві чаю та кави - на 4,2%, рибних та молочних продуктів - на 1,2% та 1,1% відповідно [28].

Водночас у хімічному виробництві, виробництві іншої неметалевої мінеральної продукції, машин та устаткування ціни зросли на 0,7-0,3% (Рис.2.7.).

Рис. 2.7. ІЦВ у переробній промисловості у 2010-2011 роках (до попереднього місяця)

У виробництві та розподіленні електроенергії, газу та води тарифи підвищилися на 7,0% за рахунок подорож-чання електроенергії на 7,8%, теплоенергії - на 0,9% (Рис.2.8.).

Рис. 2.8. ІЦВ у виробництві та розподіленні електроенергії, газу та води у 2010-2011 роках (до попереднього місяця)

Індекс інфляції, обумовлений як індекс споживчих цін (Consumer Price Index, CPI) є одним із ключових показників, які відбивають інфляційні процеси в країні. Індекс інфляції використовується як основа для прийняття розв'язків в області керування державними фінансами, аналітики використовують даний показник як базу для аналізу цінових змін на споживчому ринку, державні органі керування вивчають його для ініціювання перегляду розмірів установлених соціальних гарантій для населення, а також перегляду рівня пенсійного забезпечення [28].

Проблема інфляції стала одною з найважливіших в балансі макроекономічних ризиків у період з початку 2000-х до 2009 р. (Рис. 2.9.)

Рис. 2.9. Динаміка інфляції в Україні

Під час кризи в 2009 р. неконтрольований приріст цін відійшов на другий план, поступившись першим місцем підтримці економічного зростання та контролю за курсовою стабільністю. Зокрема, фактори, які стали причиною надмірно високих темпів інфляції в докризовий період (16,6% та 22,3% в 2007 р. та 2008 р. відповідно), значно знизили свій негативний вплив, в результаті чого в 2009 р. Темп приросту цін скоротився до 12,3%. Так, споживацький бум став ключовим чинником, що спровокував високу інфляцію до 2009р. На даний момент дія даного фактору значно ослабла, враховуючи суттєве скорочення роздрібного кредитування, значно нижчих реальних наявних доходів населення та значного подорожчання імпортованих товарів за рахунок девальвації гривні в 2008 р. В результаті, різке скорочення платоспроможного попиту стало чинником поступового стихання інфляційного процесу, яке супроводжувалося накопиченням товарної маси, яка не знаходила кінцевого споживача. Таким чином, за підсумками 1 кварталу 2010 р. темпи зростання цін скоротилися до 11%, а після фіксації місячної дефляції в квітні, травні та червні (-0,3%, -0,6% та -0,4% відповідно) темпи інфляції сповільнилися до 6,9% в річному еквіваленті [29].

Незважаючи на поточне сповільнення інфляції, зберігається декілька факторів ризику, які можуть відновити інфляційний тренд. Зокрема, таким чинником є необхідність скорочення граничного обсягу бюджетного дефіциту за рахунок поетапного підвищення тарифів на газ для населення , а також зростання тарифів на інші послуги житлово-комунального господарства, яке відкладалося на протязі декілька років.

Третім фактором, що створює значний інфляційний навіс над українською економікою, є значне зростання грошової маси, яке стимулювалося Національним банком України в березні-червні 2010 р. з метою стимулювання кредитної активності. В результаті, з початку року даний показник зріс на 9,4%, продемонструвавши збільшення на 2,3% в червні 2010 р. та на 2,1% в травні 2010 р. З урахуванням вищевказаних факторів темпи інфляції за підсумками 2010 р. очікуються на рівні 11,5-12,0% з переходом до однозначного діапазону в 2011 р.

Значне сповільнення інфляційного тренду у квітні-червні 2010 р. створило передумови для покращення купівельної спроможності національної грошової одиниці, створюючи передумови для здешевлення базових грошей та відновлення кредитної активності [22, c. 46].

В результаті, заради стимулювання зниження інфляційних очікувань та формування тренду на здешевлення кредитів та зниження відсоткових ставок Національний банк України застосував поетапне зниження як базової, так і робочих ставок рефінансування. Зокрема, спочатку НБУ знизив облікову ставку з 10,25% до 9,5% (8 червня 2010 р.), а потім до 8,5% (8 липня 2010 р.). В результаті, дані зміни подали сигнал банківським установам про підтримку НБУ тенденції щодо зниження ставок по депозитам та кредитам, що стимулюватиме українські компанії до більш активного використання банківських ресурсів, і, відповідно, підтримає економічний розвиток. Таким чином, в наступні 2-3 місяці середні ставки по банківським кредитам можуть впасти на додаткові 3-5 в. п., однак подальша нормалізація відсоткових ставок в значній мірі залежатиме від схильності банків до прийняття на себе кредитних ризиків, подальшого покращення доступу до зовнішнього фінансування за рахунок випуску боргових інструментів, темпів повернення депозитів після їх відтоку в 2008-2009 р., а також послідовності підтримки Національним банком України достатньої грошової пропозиції. В разі подальшого зниження відсоткових ставок сформується ще одна передумова для розвитку кредитної активності, за рахунок чого закріпиться перехід української економіки від прокризової стагфляційної моделі до низькоінфляційного зростання економіки [24, c. 26].

Окрім того, тиск на ціни можуть справляти інфляційні очікування підприємств, що зберігаються на фоні значного зростання цін виробників промислової продукції (+21,7%, +27,9% та +21,5% в річному еквіваленті в квітні, травні та червні 2010 р. відповідно) (таблиця 2.2.).

Таблиця 2.2. Індекс цін виробників промислової продукції

Роки

Місяці

Індекс цін виробників, %

Добувна промисловість

Переробна промисловість

Виробництво та розподілення електроенергії, газу та води



до попереднього місяця

до грудня попереднього року, %

до попереднього місяця

до грудня попереднього року, %

у тому числі:

до попереднього місяця

до грудня попереднього року, %

до попереднього місяця

до грудня попереднього року, %







Добування паливно-енергетичних корисних копалин

Добування корисних копалин, крім паливно-енергетичних





2009

січень

100,2

100,2

100,3

100,3

102,3

98,6

101,6

101,6

94,9

94,9


лютий

101,8

102,0

99,6

99,9

99,9

100,0

102,5

104,1

100,2

95,1


березень

101,1

103,1

100,3

100,2

99,0

101,3

100,3

104,4

104,8

99,7


квітень

100,4

103,5

96,5

96,7

98,0

95,5

100,7

105,1

100,8

100,5


травень

99,3

102,8

99,6

96,3

98,3

94,5

100,1

105,2

96,0

96,5


червень

101,4

104,2

100,5

96,8

98,7

95,0

100,8

106,0

103,9

100,3


липень

100,7

104,9

99,1

95,9

96,3

95,5

100,4

106,4

102,6

102,9


серпень

101,8

106,8

104,3

100,0

98,3

101,5

102,5

109,1

98,4

101,3


вересень

103,6

110,6

107,6

107,6

106,6

108,5

103,8

113,2

101,1

102,4


жовтень

101,9

112,7

103,4

111,3

110,4

112,0

102,6

116,1

98,4

100,8

100,4

113,2

99,4

110,6

109,6

111,3

100,6

116,8

99,9

100,7


грудень

101,0

114,3

100,5

111,2

110,6

111,4

100,5

117,4

103,2

103,9

2010

січень

101,9

101,9

101,2

101,2

100,5

101,9

101,3

101,3

104,4

104,4


лютий

101,9

103,8

105,5

106,8

107,9

105,7

102,4

103,7

98,1

102,4


березень

103,0

106,9

106,1

113,3

117,9

108,8

102,0

105,8

105,7

108,2


квітень

103,0

110,1

105,6

119,6

125,6

113,8

103,4

109,4

99,9

108,1


травень

104,4

114,9

114,5

136,9

129,1

144,2

102,0

111,6

108,9

117,7


червень

99,5

114,3

100,0

136,9

128,3

144,9

98,8

110,3

101,8

119,8


липень

99,8

114,1

99,3

135,9

128,3

143,2

99,5

109,7

101,1

121,1


серпень

100,9

115,1

102,5

139,3

134,8

143,6

100,7

110,5

100,8

122,1


вересень

100,1

115,2

100,1

139,4

135,2

143,5

101,3

111,9

95,9

117,1


жовтень

102,4

118,0

101,0

140,8

137,0

144,5

102,1

114,2

104,1

121,9


листопад

99,7

117,6

100,4

141,4

136,9

145,7

101,3

115,7

93,4

113,9


грудень

100,9

118,7

102,1

144,4

139,1

149,3

101,2

117,1

98,8

112,5

2011

січень

101,3

101,3

102,9

102,9

102,7

103,2

101,3

101,3

100,3

100,3


лютий

104,8

106,2

111,2

114,4

103,6

126,2

102,9

104,2

107,7

108,0


березень

102,1

108,4

101,7

116,3

107,6

125,8

102,1

106,4

102,1

110,3


квітень

103,4

112,1

102,2

118,9

108,1

130,5

102,2

108,7

107,9

119,0


травень

102,6

115,0

101,0

120,1

109,1

131,9

100,9

109,7

108,4

129,0


червень

100,5

115,6

100,8

121,1

110,0

133,0

100,8

110,6

99,3

128,1


липень

100,1

115,7

100,9

122,2

112,8

132,2

101,4

112,1

96,0

123,0


серпень

100,5

116,3

100,4

122,7

112,7

133,4

100,8

113,0

99,5

122,4


вересень

101,2

117,7

100,8

123,7

113,7

134,3

100,3

113,3

104,1

127,4


жовтень










 


листопад










 


грудень










 


Національний банк України дав власну оцінку інфляції в Україні. При цьому, Національним банком інфляційні процеси розглядаються (крім іншого) через призму девальвації національної валюти по відношенню до євро [28].

Інфляція у жовтні склала 0,5% (10,1% у річному вимірі, 7,9% з початку року), це було повністю забезпечено зростанням базового ІСЦ (БІСЦ) (0,9% зміна за місяць, 0,5 в.п. - внесок в ІСЦ). Отже, помірне зростання інфляції у жовтні підтвердило оцінки Департаменту про тимчасовість сплеску вересневої інфляції (таблиця 2.3.).

Таблиця 2.3. Зміна цінових індексів та внески компонетів в ІСЦ


Жовтень 2010


Зміна за місяць

12-ти місячна плинна


Зміна, %

Внесок в ІСЦ, в.п.

Зміна, %

Внесок в ІСЦ, в.п.

ІСЦ

0,5

0,5

10,1

10,1

Базова інфляція

0,9

0,5

7,8

4,3

Небазова інфцяція

0

0

13,8

5,8

Сирі продукти

0,3

0,1

12,8

3,4

Адміністративні

-0,3

-0,1

15,5

2,4

Паливо

-0,3

0

1,7

0


Причини зростання базової інфляцій у жовтні:

) подорожчання на 1,3% продуктів харчування з високим ступенем обробки (внесок у зміну БІСЦ - 0,5 в.п.), насамперед молочних виробів. В річному вимірі базова інфляція прискорилась до 7,8%.

) послаблення НЕОК гривні внаслідок знецінення курсів долара США та гривні до євро. (Рис.2.10.)

Рис. 2.10. Помісячні внески компонент в ІСЦ

Це зумовило зростання вузького базового ІСЦ на 0,5% (0,2 в.п. - внесок у зміну базового ІСЦ) (Рис. 2.11.).

Водночас в річному вимірі тривало його уповільнення (до 2,6%). Небазовий ІСЦ не змінився (0% за жовтень, 13,8% річна зміна). Зростання цін на сирі продукти (0,3%, 0,1 в.п - внесок у зміну ІСЦ) повністю компенсувалося зниженням цін та тарифів, що регулюються адміністративно (-0,3% зміна за місяць, -0,1 в.п. - внесок у зміну ІСЦ).

Рис. 2.11. Внески компонент в БІСЦ за міс. в.п.

При цьому, зниження цін на адміністративні товари та послуги відбулося за рахунок подешевшання цукру (-5,1% за місяць, -0,1 в.п. - внесок у зміну ІСЦ) та зменшення тарифів на міжміський телефонний зв'язок (-6,7%) [29].

Під впливом пожвавлення зовнішнього попиту на продукцію металургії індекс цін виробників у жовтні зріс на 2,4%

При цьому жовтнева зміна ІЦВ переважно забезпечена:

зростанням цін у виробництві та розподілі електроенергії, газу та води (внесок 0,8 в.п.);

підвищенням цін у галузях, пов‘язаних з металургією .

За даними держстату, за 9 місяців 2011 р. інфляція склала 4,9%. Індекс споживчих цін у вересні 2011 р. склав 100,1%. За 8 місяців інфляція в Україні склала 4,7%, індекс споживчих цін - 104,1%, у серпні - 99,6%. За січень-липень інфляція в Україні склала 4,6%. Індекс споживчих цін у липні 2011 р. склав 98,7%. Інфляція в Україні за 6 місяців 2011 р. склала 5,9%. У червні інфляція склала 0,4%, у річному вимірі - червень 2011 р. до червня 2010 р. - інфляція склала 11,6%. За 5 місяців 2011 р. інфляція в Україні склала 5,5%. У травні базовий індекс інфляції до попереднього місяця зберігся на рівні 0,6%.

У 2010 р. інфляція склала 9,1%, в 2009 р. - 12,3%.У проекті бюджету на 2012 р. рівень інфляції прогнозується на рівні 7,9% [28].

Розділ 3. Пропозиції щодо зниження рівня інфляції та її соціально-економічних наслідків

 

3.1 Антиінфляційна політика держави


Антиінфляційна політика є важливим компонентом усього комплексу методів державного регулювання економіки країн ринкового господарства. Важливу роль у ній відіграє регулювання державних витрат і надходжень у державний бюджет.

Антиінфляційні заходи урядів щодо бюджетних надходжень, з одного боку, сприяють акумулюванню додаткових фінансових ресурсів у державній скарбниці, а з другого - призводять до погіршення господарської кон`юнктури та зростання безробіття [14, c. 15].

Концепція оберненої залежності інфляції й зайнятості (безробіття) найповніше розроблена в працях англійського економіста А. Філіпа (Рис. 3.1.).

Рис. 3.1. "Крива Філіпса".

На основі ретельного статистичного аналізу з широким застосуванням економіко-математичних методів А. Філіпс встановив жорстоку обернену залежність між величинами зайнятості робочої сили та динамікою заробітної плати в межах економічних циклів. Ця залежність легко переноситься на співвідношення між інфляцією та безробіттям. "Крива Філіпса", як вважають західні економісти, стала найбільш обгрунтованим "законом", який розкриває причини та механізм розвитку інфляції і таким чином вказує на засоби боротьби з нею [20, c. 48].

Чільне місце у фінансово-кредитному макроекономічному регулюванні в умовах ринкової економіки займає механізм оподаткування. Сьогодні важливим його атрибутом є "крива Лаффера", яка вказує на якісний та кількісний взаємозв`язок між сумою податкових надходжень до державного бюджету Т та податковими ставками t (Рис. 3.2.). Її винахідник професор А. Лаффер здобув світову славу, коли його дослідження були використані президентом Р. Рейганом в економічній політиці, що дала поштовх піднесенню господарства США. Вона знайшла відображення в макроекономічному регулюванні багатьох країн ринкового господарства.

Рис. 3.2. "Крива Лаффера".

При зростанні податкової ставки податкові надходження спочатку зростають, а потім знижуються. Це визначається тим, що після певної величини податкової ставки tопт починає діяти така закономірність: чим більша ставка податку, тим менші податкові надходження до бюджету Т. Це пояснюється тим, що зростання податкової ставки пригнічує ділову активність, веде до скорочення капіталовкладень, прибутків, а отже, і податкових надходжень. Якщо податкові надходження досягнуть максимуму (точка М) і починається зниження їх (точка L), є сенс знизити ставки податку [25, c. 434].

Природний рівень не є обов`язково оптимальним для виробництва. Природний рівень безробіття, ймовірно, вищий за оптимальний, тобто за той рівень безробіття, за якого чистий економічний добробут максимальний.

Які заходи можуть зменшити природний рівень безробіття? Розглянемо деякі з них (таблиця 3.1.).

Таблиця 3.1. Заходи зменшення природного рівня безробіття

1. Удосконалення служб ринків праці. Певна частка безробіття існує внаслідок того, що вільні робочі місця невідомі безробітним. Через поліпшення інформації, зокрема, завдяки комп`ютеризованим спискам робочих місць, розмір фрикційного і структурного безробіття можна зменшити.

2. Підтримка урядових програм перекваліфікації. Дехто вважає, що урядові програми перекваліфікації зможуть допомогти безробітним перекваліфікуватися для кращих робочих місць у сектори економіки, що розвиваються.

3. Усунення державних перешкод. Захищаючи людей від труднощів безробіття і бідності, уряд водночас вирвав жало безробіття і послабив мотиви пошуків роботи.


Оптимальний рівень безробіття в економіці буде тоді, коли чистий економічний добробут максимізується. Ті, хто вивчав взаємозв`язок безробіття та економічного добробуту, вважають, що оптимальний рівень безробіття нижчий за природний. Вони відзначають, що існує чимало зовнішніх обставин, зовнішніх впливів на ринку праці [26, c. 20].

Розглянувши міркування щодо зменшення природного рівня безробіття, необхідно взяти до уваги таке застереження. Три десятиліття наукових досліджень і практики ринку з цієї проблеми зробили наукових аналітиків дуже обережними у їх твердженнях щодо зменшення природного рівня безробіття.

Антиінфляційна політика має спрямовуватись на досягнення трьох основних цілей, які можна сформулювати так (Рис. 3.3.):

Рис. 3.3. Цілі антиінфляційної політики

Цілі антиінфляційної політики відбивають загальні, стратегічні завдання суспільства в плані подальшого розвитку ринкової економіки.

До досить поширених заходів антиінфляційної політики належить також державне регулювання цін. Воно може супроводжуватися ще й обмеженням прибутків торговельних посередників. До цього методу країни Заходу вдавались неодноразово і дуже поступово йшли до лібералізації цін. Так, скажімо, Франція на своєму внутрішньому ринку повністю лібералізувала ціни тільки в 1986 році [27, c. 4].

Важливою складовою антиінфляційної політики стає й регулювання зовнішньої торгівлі. Це пов’язано з тим, що за певних умов може мати місце імпорт інфляції і держава повинна вживати відповідних захисних дій. Особливо важливе значення це має для України з її величезною залежністю від імпорту енергоносіїв і високим рівнем відкритості нашої економіки.

Розглянуті заходи антиінфляційного характеру базуються на економічних важелях. Водночас певне значення мають і ті заходи, що пов’язані з адміністративними діями. Вони за своєю сутністю мають антиринковий характер і за крайніх проявів, наприклад в умовах тотального регулювання цін, здатні нанести ринковому механізму значних збитків. Однак у певних ситуаціях адміністративний контроль за цінами буває абсолютно необхідним і в цьому плані не руйнує, а, навпаки, зміцнює ринковий механізм [11, c. 596].

3.2 Обгрунтування необхідності регулювання цін в умовах інфляційної нестабільності

Надзвичайно важливу роль грає державний контроль над цінами, особливо в умовах кризису економіки i виходу з нього.

Під контролем над цінами розуміють будь-яку послідовність цілого ряду заходів - від помірних обмежень, до примусового встановлення верхніх границь зростання цін, що проводяться у рамках економічної політики.

Одним з підходів є перевірений у світовій практиці метод тимчасового заморожування цін й надалі їх часткового перегляду. Він полягає у заборонені підвищувати ціни вище визначеного рівня, без спеціального на те дозволу. За граничний рівень цін може бути прийнятий той, що існував на протязі базового періоду перед "заморожуванням" [9, c. 549].

При цьому підвищення цін вважається:

допустимим - якщо, наприклад, воно було пов’язано з ростом цін на імпортні вироби (тобто коли збільшення витрат неможливо контролювати);

недопустимим - якщо, його причиною стало невиправдане підвищення зарплати, що стимулювало підприємців самим обмежувати зростання заробітної плати.

В ролі альтернативи прямому державному регулюванню цін іноді розглядаються картельні згоди про ціни, які можуть зіграти позитивну роль, якщо однією з сторін, що беруть в них участь буде Уряд, що забезпечує загальну узгодженість цін.

В широких маштабах максимальнi рiвнi цiн, або загальний контроль за цiнами, застосовуються для обмеження iнфляцiйних процесiв в економiцi.

Проблеми у реалiзацiї полiтики контролю за цiнами можна також пояснити значними адмiнicтративними складнощами її проведення. До органiв контролю постiйно пред’являються вимоги зробити виключення для тих чи iнших видiв товарiв або який-небудь галузi. Поступово, по мipi подальшого вiдхилення цiн вiд стану рiвноваги й посилення дефiциту, тиск на контролюючи органи з вимогами надати пiльги зростає, й, в кiнцi-кiнцiв, це надзвичайно ускладнює контроль.нша проблема полягає у тому, що уряд може спробувати зберегти цiновий контроль в силi вже пiсля завершення промiжного перiоду й початку нового пiдйому. В цей перiод контроль такого роду може виявитись некорисним й лише погiршити ситуацiю.

Хоча полiтика державного регулювання цiн несе значний позитивний ефект i має особливе значення в кризовi перiоди, її реалiзацiя може призвести до дуже небажаних наслiдкiв [26, c. 21].

У короткостроковому планi пряме регулювання цiн сприятиме стабiлiзацiї нацiональної економiки. Так, у державi можуть значно знизитись темпи зростання оптових й роздрiбних цiн i це призведе до гальмування iнфляцiйних процесiв. Але вже у найближчi роки виявляться негативнi наслiдки централiзованої моделi регулювання. "Заморожування" цiн i заробiтної плати обмежить мiжгалузевий перелив капiталiв, буде гальмувати iнвестицiйну полiтику, знизить рiвень дiлової активностi, стримуватиме зростання доходiв [23, c. 59].

"Заморожування" внутрiшнiх оптових цiн на нафту, нафтопродукти й природний газ, стримуючи на перший погляд розвиток iнфляцiйних тенденцiй, призвело до ряду негативних наслiдкiв в американськiй економiцi. Нестача iнвестицiй в енергетичне господарство, вiдсутнiсть зацiкавленостi у видобувних корпорацiй щодо розробки нових родовищ нафти й природного газу через контроль над рiвнем внутрiшнiх цiн призвели до того, що чистий iмпорт нафти до США, незважаючи на зростання свiтових цiн, продовжував аж до 1981 року збiльшуватися високими темпами.

3.3 Зарубіжний досвід долання інфляції та можливості адаптації його в Україні

інфляція регулювання ціна україна

З'ясування негативних наслідків для функціонування грошей в умовах інфляції формує усвідомлення у потребі її подоланні. Вивчення досвіду подолання інфляції є важливим елементом побудови антиінфляційного механізму і забезпечення зростання економіки.

Слід підкреслити, що у світі вже накопичено певний досвід боротьби з інфляцією. Цей досвід особливо помітно накопичився після 60-70-х років XX ст., коли у високорозвинених країнах почали істотно зростати ціни. І хоч рівень інфляції в країнах Заходу був, за нашими мірками, невеликим (до 10-15 % на рік), він став суттєвою перешкодою на шляху економічного зростання цих країн. Тому в кінці 1970-х на початку 1980-х років у розвинутих країнах Заходу почався період широкого застосування антиінфляційних заходів. Вони вже базувалися на теоретичних засадах монетаризму і зводились до необхідності підтримувати такий обсяг емісії грошей, який би не перевищував за своїми темпами темпи зростання продуктивності праці і валового внутрішнього продукту [7, c. 354].

Яскравим прикладом реалізації чіткої низки антиінфляційних заходів у країнах з розвинутою ринковою економікою стала політика президента США Р. Рейгана, яка отримала назву "рейганоміки". її основні практичні заходи звелись до зменшення дефіциту державного бюджету США за рахунок скорочення перш за все непродуктивних витрат. Так, Р. Рейган скоротив чисельність державного апарату на 100 тис. чоловік. Одночасно було вжито низку заходів з посилення мотивації до праці і проведено податкову реформу, яка дала змогу корпораціям направити значні кошти на збільшення виробництва продукції і переоснащення виробництва. Усе це дало свої позитивні результати, і вже в кінці 1980-х років інфляція в США знизилась до прийнятного рівня в 4-5 % річних [14, c. 14].

Досить цікавим є досвід боротьби з інфляцією в молодих індустріальних країнах, до яких належить і Бразилія. На початку 90-х років минулого століття президент цієї країни Ф. Коллор з метою подолання інфляції запровадив пакет надзвичайних економічних заходів, спрямованих на зменшення інфляції, що отримали назву "Нова Бразилія". В основу цих заходів покладено завдання звільнення грошового обігу від надлишкової грошової маси. З цією метою здійснено грошову реформу із заміною старої грошової одиниці на нову у співвідношенні 1:1. Але це торкнулось тільки готівкових грошей. Що ж стосується тих грошей, які були на рахунках у банках, то вони прирівнювались до старої грошової одиниці і їх власники мали право отримати ці гроші, але в розмірі не більше 20 % від суми вкладу, або не більше визначеної суми. Решта вкладів концентрувалась у Центральному банку Бразилії і власник не мав права отримати ці гроші раніше 18 місяців. Цей захід завдав сильного удару по накопиченнях грошових спекулянтів і суттєво сприяв оздоровленню грошової сфери.

Цікавим була у цьому плані й політика щодо анонімних вкладів. їх власники повинні були для отримання грошей надати свідоцтва, що підтверджували легітимність джерел утворення таких коштів. Це відчутно відбилося на грошових нагромадженнях тіньового сектору економіки. Крім того, власники рахунків, на яких були суми, що перевищували встановлений урядом Бразилії розмір, повинні були заплатити з неї певний податок у новій грошовій одиниці [19, c. 6].

Вказані заходи уряду Бразилії призвели до заморожування банківських вкладів. Більша частина грошової маси (до 80 %) була вилучена з обігу на цілих 18 місяців. Усе це дало позитивні наслідки. Інфляцію в Бразилії було приборкано, а в економіці почалось певне пожвавлення.

Цікавим є й досвід боротьби з інфляцією і нашого сусіда Польщі. У 1988 р. рівень інфляції в цій країні склав 85 %, а в наступному році він подвоївся. Для боротьби з цим уряд Польщі розробив і почав реалізовувати антиінфляційну програму, яка мала характер "шокової терапії". Ось основні заходи цієї програми:

—      лібералізація цін та жорстка грошова політика;

суворий контроль за зростанням доходів і особливо заробітної плати;

зменшення норми індексації заробітної плати залежно від інфляції.

У сучасних умовах в Україні для здійснення виваженої антиінфляційної політики слід, передусім, навчитись точно прогнозувати інфляцію. Для цього необхідно на основі чіткого статистичного відображення основних макроекономічних показників у сфері товарного і грошового обігу розробляти моделі можливих інфляційних змін у грошовій сфері. Але розробка моделі розвитку інфляційних процесів з огляду на заплановані основні макроекономічні показники розвитку нашої економіки являє собою тільки теоретичне обґрунтування здійснення антиінфляційних заходів, їх реалізація вимагає постійного пошуку з боку НБУ шляхів найефективнішого застосування цього інструментаріюДосвід показує, що в наших умовах традиційні антиінфляційні заходи не завжди дають відповідні результати [24, c. 27].

Важливим напрямком здійснення антиінфляційної політики мають стати операції центрального банку на ринку цінних паперів. Активний продаж цінних паперів і реанімація цього ринку в Україні - необхідна передумова зменшення інфляційних наслідків від збільшення заробітної плати, пенсій, стипендій тощо. Посилення його роботи стає неодмінною умовою як розвитку економіки в цілому, так і вдосконалення системи антиінфляційних заходів держави [12, c. 319].

Суттєве місце в Україні щодо стримування інфляційних процесів має зайняти і організація державного управління. Hа сьогодні маємо великий і обтяжливий для країни управлінський апарат. І якщо його скорочення в більш-менш помітних масштабах на даному етапі малореальне, то треба хоч би підвищити ефективність використання коштів, які виділяються на цей апарат з державного бюджету. Великий резерв ще є і в царині функціонування всієї бюджетної сфери, де проблема не тільки в оптимізації витрат бюджетних коштів, але й в удосконаленні її організаційної структури.

Висновки

1 У наш час інфляція - один із найбільш небезпечних процесів, що негативно впливають на фінанси, грошову і економічну систему загалом. Інфляція означає не тільки зниження купівельної здатності грошей, вона підриває можливості господарського регулювання, зводить на немає зусилля по проведенню структурних перетворень, відновленню порушених пропорцій.

2 З характером, інтенсивності, виявам інфляція буває вельми різна, хоч і означається одним терміном. Інфляційні процеси не можуть розглядатися як прямий результат тільки певної політики, політики розширення грошової емісії або дефіцитного регулювання виробництва, бо зростання цін виявляється неминучим результатом глибинних процесів в економіці, об'єктивним слідством наростання диспропорцій між попитом і пропозицією, виробництвом предметів споживання і засобів виробництва, накопиченням і споживанням і т.д. В результаті процес інфляції - в різних його виявах - носить не випадковий характер, а вельми стійкий.

3 До негативних наслідків інфляційних процесів відносяться зниження реальних прибутків населення, обезцінення заощаджень населення, втрата у виробників зацікавленості у створенні якісних товарів, обмеження продажу сільськогосподарських продуктів в місті сільськими виробниками внаслідок падіння зацікавленості, в очікуванні підвищення цін на продукти харчування, погіршення умов життя переважно у представників соціальних груп з твердими прибутками (пенсіонерів, що працюють, студентів, прибутки яких формуються за рахунок держбюджету).

4. В цілому, з 2005 р. спостерігається швидке зростання роздрібних і виробничих цін, на фінансовому ринку і на ринку нерухомості. Хоча вклад цін на продовольчі товари у зростання ІСЦ зараз знову найбільший, підвищення цін на комунальні послуги в 2008 р. (через вищі ціни на імпортні енергоносії) може ще більше погіршити ситуацію в майбутньому. Зараз інфляція може прискоритись внаслідок двох чинників, що визначали її динаміку у минулому, - ціни на продовольство й послуги. Крім того, залишається ризик того, що високі ціни виробників і ціни на активи негативно вплинуть на споживчі ціни в майбутньому.

5. Зволікання чи нереалізація стабілізаційних і антикризових заходів нині набуває ваги державної безпеки та виживання абсолютної більшості населення України. Кінцевою метою антиінфляційних заходів має стати формування високоефективного народногосподарського комплексу, поетапний комплексний підхід до соціально зорієнтованої ринкової економіки, органічне поєднання державного і приватного інтересів у розвитку комплексів та галузей виробництв, що пов'язані з перспективами технологічного переозброєння галузей, розгортання конкурентноспроможних виробництв, формування експортного потенціалу, а також стимулювання виробників і оздоровлення довкілля.

При всій значимості скорочення державних витрат, поступового стиску грошової емісії потрібно проведення широкого комплексу антиінфляційних заходів. Серед них - стабілізація і стимулювання виробництва, удосконалювання податкової системи, створення ринкової інфраструктури, підвищення відповідальності підприємств за результати господарської діяльності, зміна обмінного курсу гривні, проведення визначених заходів для регулювання цін і доходів.

6. До досить поширених заходів антиінфляційної політики належить також державне регулювання цін. Воно може супроводжуватися ще й обмеженням прибутків торговельних посередників. Регулювання цін дозволяє долати iнфляцiйнi очікування населення, господарюючих суб’єктів, кредитної системи, внести деяке заспокоєння в економіку.

7. В Україні ще немає значного досвіду боротьби з інфляцією і тому в розробці своєї антиінфляційної політики в нашій державі було використано теоретичні й практичні розробки західної економічної науки в цій сфері. Це дозволило нашій країні, хоч і з багатьма серйозними помилками, приборкати, врешті-решт, інфляцію і подолати найбільш негативні її соціально-економічні наслідки.

На відміну від Заходу в Україні й інших країнах, що здійснюють перетворення господарського механізму, інфляційний процес розгортається, як правило, у зростаючих темпах. Це дуже незвичайний, специфічний тип інфляції, що погано піддається стримуванню і регулюванню. Інфляцію підтримують інфляційні чекання, порушення народногосподарської збалансованості (дефіцит держбюджету, негативне сальдо зовнішньоторговельного балансу, що росте зовнішня заборгованість, зайва грошова маса в звертанні).

Нормалізація грошового обігу і протидія інфляції вимагають вивірених, гнучких рішень, наполегливо і цілеспрямовано проведених у життя.

Список використаних джерел

1.       Базилевич В.Д., Базилевич К.С., Баластрик Л.О. Макроекономіка: Підручник/ За ред. В.Д. Базилевича. - К.: Знання, 2004. - 847-851 с.

2.      Базилевич В.Д., Попов В.М., Базилевич К.С. Економічна теорія: Політекономія: Підручник/ За ред. В.Д. Базилевича. - 3-тє вид., перероб. і доп. - К.: Знання-Прес,2004. -611- 615 с.

.        Ватаманюк З.Г., Панчишин С.М. Економічна теорія: макро- і мікроекономіка. - К.: Альтернативи, 2003. - 610-622 с.

.        Заболоцький Б.Ф.. - Розміщення продуктивних сил України. Національна макроекономіка: Підручник. - К.:2003. - 368-374 с.

.        Мельникова В.І., Клімова Н.І. Макроекономіка: Навчальний посібник. - К.: ВД "Професіонал", 2004. -385-394 с.

.        Мочерний С.В., Довженко М.В. Економічна теорія: Підручник. - К.: Видавничий центр "Академія", 2004. - 847-856 с.

.        Радіонова І.Ф. Макроекономіка: теорія та політика: Підручник. - К.: Таксон, 2004.-338-348 с.

.        Радіонова І.Ф. Макроекономіка: Навчальний посібник. - К.: Університет економіки та права "КРОК". 2004. - 69-72 с.

.        Савлук М.І. Гроші та кредит: Підручник. - 3-тє вид., перероб. і доп./ За ред. М.І. Савлука. - К.: КНЕУ, 2002. - 598-612 с

.        Солонінко К.С. Макроекономіка: Навчальний посібник для студентів економічних спеціальностей вищих навчальних закладів. - К.: ЦУЛ, 2002. - 318-320 с.

.        Царенко О.М., Бей Н.О., Сало І.В. Економіка розвитку. - С.: ВТД "Університетська книга", 2004. - 590-596 с.

.        Чистов С.М., Никифоров А.Є. Державне регулювання економіки: Навчальний посібник. - К.: КНЕУ, 2000. - 316-319 с.

.        Петрик О. Інфляція в Україні: проблеми, ризики, перспективи // Вісник НБУ. - 2007. - № 3. - С.2-5.

.        Скрипник А. Інфляція, фактори впливу та інструменти регулювання // Вісник НБУ. - 2003. - №9 - С.13-15.

.        Шевчук В. Інфляційний "перегрів" української економіки в 2003-2004 роках: причини та наслідки // Економіст. - 2005. - № 11. - С.33-38.

.        Івасів Б.С. Гроші та кредит [Текст]: підручник /ред.: Б. С. Івасів, 2000. -510-513 с.

.        Бутук А.И. Зкономическая теория. (Текст): учебное пособие / А.И. Бутук, 2000. - 644-650 с.

.        Кулішов В.В. Макроекономіка .основи теорії і практикум (Текст): навч.посібник /В. В Кулішов, 2004 - 256-259 с.

.        Петрик О.А. Обмінний курс,інфляція та конкурентоспроможність економіки. [Текст] /О.А. Петрик, В.С. Стельмах //Вісник НБУ. - 2001, - № 9.- С.З-7

.        Петрик Е. Базова інфляція:концепція та деякі методи розрахунку. (Текст)/Е. Петрик //Вісник НБУ.- 2002. - №12.-С47-48

.        Литовченко О. Траєкторія розвитку ВВП-зростання (інфляція, рефінансування) (Текст) /О Литовченко // Казна - 2003. - № 11 - С.9

.        Бубенко С. Інфляція та експортна політика в Україні (Текст) /С. Бубенко // Банківська справа - 2003 - № 2 - С.45-46

.        Мельник О. Інфляція:еволюція поглядів на неї в економічній теорії [Текст]/О. Мельник//Наукові праці НДФІ. -2002,- №1 - С.57-59

.        Шматко Н. Невизначеність та інфляція:вплив на очікувану дохідність цінних паперів і ефктивність інвестицій [Текст]/Н. Шматко //Вісник НБУ. - 2005. - № 8- С.26-27

.        Михайловська І.М. Гроші та кредит : Навчальний посібник Л.М. Михайловська, 2006 - 432-444 с

.        Береславська О. Ревальвація гривні: вплив на інфляційні процеси в Україні та рівень доларизаціі економіки [Текст) / Береславська О. // Вісник НБУ. - 2006 - № 2.- С.20-21

.        Кораблін С. Інфляційні орієнтири [Текст] /С. Кораблін //Фондовий ринок. - 2006. - №11.- С.4

28.     НБУ Національний банк України. [Електронний ресурс] / Режим доступу: #"824357.files/image017.gif">

Додаток Б

Прямі іноземні інвестиції в Україну у січні - вересні 2011 року


Додаток В

Індекси споживчих цін


Додаток Г

Індекси цін виробників промислової продукції

Похожие работы на - Інфляція та її види

 

Не нашли материал для своей работы?
Поможем написать уникальную работу
Без плагиата!
Без нейросетей!