Создание бизнес-плана ресторана на крыше дома
CОДЕРЖАНИЕ
ВВЕДЕНИЕ
.
РЕЗЮМЕ
.
ХАРАКТЕРИСТИКА ПРЕДПРИЯТИЯ
.
ОПИСАНИЕ УСЛУГ
.
СТРАТЕГИЯ МАРКЕТИНГА. АНАЛИЗ СБЫТА
.1
Анализ рынков сбыта
.2
Стратегия маркетинга
.
ПРОИЗВОДСТВЕННЫЙ ПЛАН
.1
Местонахождения организации
.2
Описание производственного процесса
.3
Затраты на строительство и производство
.
ОРГАНИЗАЦИОННЫЙ ПЛАН
.
ИНВЕСТИЦИОННЫЙ ПЛАН
.
ПРОГНОЗИРОВАНИЕ ФИНАНСОВО-ХОЗЯЙСТВЕННОЙ ДЕЯТЕЛЬНОСТИ
.
ПОКАЗАТЕЛИ ЭФФЕКТИВНОСТИ ПРОЕКТА
.
ЮРИДИЧЕСКИЙ ПЛАН
.1
Сведения о ЧУП “Ладья”
.2
Порядок создания и регистрации частного унитарного предприятия
.3
Преимущества и недостатки ЧУП
ЗАКЛЮЧЕНИЕ
СПИСОК
ИСПОЛЬЗОВАННЫХ ИСТОЧНИКОВ
ВВЕДЕНИЕ
Данная работа посвящена созданию бизнес- плана
ресторана на крыше дома.
Бизнес-план - подробный план предпринимательской
деятельности на определенный период, устанавливающий показатели, которые должно
достичь предприятие. Для новых предприятий бизнес-план является обязательным
документом, помогающим мобилизовать капитал или получить кредит.
Ресторанный бизнес по обороту занимает в мире
весьма высокое место - это один из самых прибыльных, но вместе с тем, и один из
самых рискованных видов бизнеса. В курсовой рассматриваются различные аспекты
организации самого бизнеса, а также его управление .
Целью данной работы является практическое рассмотрение
процесса создания ресторанного бизнеса. Интересная особенность: был подготовлен
проект не простого ресторана, а ресторана, расположенного на крыше дома.
Задачи, решаемые в данной курсовой работе:
изучить состояние отрасли,
составить план маркетинга;
составить план материально-технического
обеспечения;
составить организационный план;
составить финансовый план;
изучить возможные риски;
изучить эффективность инвестиционного проекта и
другие задачи.
Планируется получить опыт в составление бизнес-
плана, изучены материалы СМИ, инструкция по созданию бизнес- плана, интернет-
источники.
1. РЕЗЮМЕ
Данный бизнес- план описывает создание ресторана
“Ладья”, целью деятельности которого является оказание услуг в сфере
общественного питания. Особенностью данного ресторана является то, что он
расположен на крыше дома.
Адрес ресторана: Витебская область, г. Полоцк,
ул. К.Маркса, д.2, 10 этаж (крыша здания). Ресторан находится в самом центре
исторического города Полоцка, который ежегодно посещают тысячи туристов.
Площадь самого помещения ресторана составляет
600
Открытие необычного ресторана (на крыше дома)
позволит привлечь большое число потребителей. Таким образом, мы выйдем на рынок
не только города Полоцка, но и города Новополоцка. Оригинальное расположение
заведения, на крыше дома, будет привлекать к себе как местных жителей, так и
гостей города, а большие стеклянные окна позволят любоваться городом с высока.
В ресторане будет уютная и расслабляющая атмосфера. Кроме основного помещения
ресторана, также будет летняя терраса, на которой в летний и теплый осеннее-
зимний периоды посетители смогут наслаждаться вкусной пищей, приятной погодой и
прекрасным видом города. Также в “Ладья” будет смотровая площадка с
установленными несколькими телескопами. Кроме основного меню, в ресторане будет
постное, детское и диетическое меню, а также выбор различных национальных блюд.
Основные конкуренты ресторана в городе Полоцке:
кафе-бар «Дамиан» ЧУП «Дамиан-торг» и бар «Хуторок Николаевский» СООО «Марко»,
который расположен на первом этаже здания.
Ресторан будет работать с 12 дня до 3 часов
ночи. “Ладья” рассчитан на 80 мест.
Ёмкость рынка составляет 4 158 000 бел. руб., а
доля- 22%.
Уставной фонд ЧУП “Ладья” составляет 32 000 000
бел.руб.
Для того, чтобы поддерживать постоянный спрос на
услуги ресторана “Ладья”, постоянно будут проводиться маркетинговые
исследования и акции, меняться при необходимости меню заведения.
На строительство самого здания понадобится 76
047 298 бел. руб .
На закупку оборудования и мебели потребуется 57
640 940 бел. руб.
Полная себестоимость продукции составляет 432
213 570,12.
Общая численность персонала- 22 человека.
Организационная структура ресторана- линейно- функциональная.
Общая стоимость проекта: 272 668 238 бел. руб.
Часть суммы составляют собственный средства, а часть- заёмные, то есть кредит
на сумму 240 668 238, который берётся в “Беларусбанк” сроком на 5 лет под 12%
годовых. Таким образом, платежи в месяц составят 6 417 819, 68 бел. руб.
Прибыль организации за первый год составляет 317
786 430 бел. руб.
Чистый дисконтируемый доход составляет 1 274 768
531 бел. руб.
Запас прочности по проекту составляет 23.9%
Простой срок окупаемости- 6 месяцев и 8 дней.
Рентабельность проекта составляет 65 %
2 .ХАРАКТЕРИСТИКА ПРЕДПРИЯТИЯ
Настоящий бизнес-план предполагает создание
ресторана “Ладья”.
Место нахождения данного ресторана: 211400,
Витебская область, г. Полоцк, ул. К.Маркса, д.2, 10 этаж (крыша здания), центр
города. Площадь помещения: 600
.
Данная организация является частным унитарным
предприятием, имущество которого находится в частной собственности.
Размер уставного фонда: 32 000 000 бел. руб
Органом управления организации является
руководитель, который назначается собственником имущества предприятия.
Сфера деятельности: оказание услуг населению.
Основной вид деятельности: общественное питание.
К основным преимуществам организации можно
отнести следующие:
единственный ресторан в Витебской области,
расположенный на крыше дома
удобное расположение (центр города, недалеко
автобусная остановка, парк, есть места для парковки автомобилей)
доступные цены
высокое качество оказания услуг
широкий ассортимент блюд.
Создание ресторана на крыше дома очень
актуально, так как город Полоцк, в котором расположена организация, является
центром Европы и туристическим центром Беларуси.
Целью предприятия является развитие сферы
обслуживание и оказание услуг населению. Задачей- обеспечить оказание
качественных услуг в сфере общественного питания, обеспечить максимально
приятные условия для проведения досуга населения.
Миссия организации: “Мы предлагаем оценить кухню
ведущих поваров города, насладиться прекрасным видом города из окна, а также
высоким уровнем в сфере обслуживания. Мы обеспечиваем талантливых,
трудолюбивых, инициативных и честных людей рабочими местами.”
Идея создания ресторана на крыше дома очень
актуальна, так как в Полоцк, самый древний город в Беларуси и один из
древнейших городов Киевской Руси, приезжает много туристов, однако обеспеченность
населения местами общедоступной сети при нормативе 22 места составляет 30,2
места (на 11.11.2010 год). Кроме того, рядом с ресторана находятся несколько
музеев ( Софийский собор, Краеведческий музей, в нескольких метрах от дома-
художественная галерея). В рамках указа президента РБ от 17 декабря 2007 г. №
647 “об утверждении комплексной программы развития города Полоцка на 2008-2012
год” на развитие сферы услуг и сервиса обслуживания туристов выделены денежные
средства. В 2012 году Полоцк отмечает свой юбилей- 1150 лет. Празднования дня
города всегда проходят именно рядом с домом, в котором будет расположен
ресторан. С крыши здания лучше всего наблюдать фейерверки. Несмотря на то, что
на первом этаже находится кафе, преимуществ ресторана” Ладья” больше.
Маркетинговая стратегия: стратегия массового
маркетинга (ориентация на широкий потребительский рынок, представление
продукции для всех групп потребителей).
Кадровая стратегия организации направлена на
создание рабочих мест для квалифицированных и креативных людей, благоприятного
социально- психологического климата и карьерного роста.
Таким образом, стратегия развития ресторана
следующая:
увеличение доли существующего рынка за счёт
эффективной рекламы и качества оказываемых услуг
открытие подобного ресторана в другом городе
увеличение спектра оказываемых услуг
улучшение качества продукции
снижение издержек.
Главной задачей стратегического плана является
обеспечение устойчивого конкурентного преимущества заведения перед другими
организациями подобного типа.
3. ОПИСАНИЕ УСЛУГ
Ресторан “Ладья” будет находится в самом древнем
городе Беларуси- городе Полоцке. Оригинальное расположение заведения, на крыше
дома, будет привлекать к себе как местных жителей, так и гостей города, а
большие стеклянные окна позволят любоваться городом с высока. В ресторане будет
уютная и расслабляющая атмосфера: мягкие кресла, теплые цвета интерьера, живые
цветы, днём будет звучать спокойная музыка. Кроме основного помещения
ресторана, также будет летняя терраса, на которой в летний и теплый осеннее-
зимний периоды посетители смогут наслаждаться вкусной пищей, приятной погодой и
прекрасным видом города. Также в “Ладья” будет смотровая площадка с
установленными несколькими телескопами. Если раньше наблюдение за звёздами было
привилегией астрономов, теперь это в тёплые вечерние вечера смогут делать
простые любители романтики.
В ресторане будет ди-джей, который всегда сможет
подобрать подходящую музыку и провести при необходимости праздничную программу.
Меню “a la carte” ресторана будет содержать
порционные блюда с индивидуальной ценой на каждое, причём кроме цены в
белорусских рублях в скобках она будет указывать и в другой валюте. В
определённые дни недели будет предлагаться национальная кухня различных стран.
В период с 12.00 до 15.00 можно будет заказать обеденный комплекс. В меню
ресторана будет широкий выбор мороженого и пирожных, а также разнообразный
ассортимент кофе и чая.
Каждый человек сможет выбрать блюдо,
соответствующее бюджету и вкусу.
Так же будет разработано специальное детское
меню, чтобы не только родители, но и дети, могли сделать свой выбор,
великопостное меню и меню на время Масленицы. По окончании поста посетителям
будет предлагаться меню на пасхальные праздники. В светлое Христово Воскресение
каждый гость сможет получить в подарок освященное крашеное яичко. Смогут
выбрать для себя подходящую пищу и вегетарианцы.
Ресторан сможет принимать как заказы простых
посетителей, так и заказы на проведение корпоративных вечеров, празднование
юбилеев, дней рождения, свадеб, выпускных вечеров. Кроме того, можно учитывать
индивидуальные пожелания посетителей- к примеру, создание романтической
атмосферы за столом с помощью свеч, определённое оформление зала для детских
праздников, свадеб.
В определённые дни в ресторане будет играть
живая музыка.
Высокий уровень обслуживания в “ Ладья ” будет
обеспечиваться квалифицированными поварами и официантами. Вежливость и
индивидуальный подход к каждому- главные составляющие работы ресторана.
Вместе с меню каждый посетитель будет получать небольшую
книжку о Полоцке, с помощью которой сможет познакомиться с городом, узнать о
нём интересные факты. В дни белорусской кухни все официанты будут одеты в
национальные костюмы.
В ресторане будет внедрена система менеджмента
качества в соответствии с требованиями СТБ ИСО 9001- 2009 и сертификация
системы менеджмента безопасности пищевых продуктов в соответствии с
требованиями ИСО 22000-2005.
4. СТРАТЕГИЯ МАРКЕТИНГА. АНАЛИЗ СБЫТА
.1 Анализ рынков сбыта
Открытие необычного ресторана (на крыше дома) позволит
привлечь большое число потребителей. Таким образом, мы выйдем на рынок не
только города Полоцка, но и города Новополоцка.
Сеть общественного питания города Полоцка
включает в себя 135 объектов на 7050 мест.
Численность населения города Полоцка- 82 тыс.
человек, Новополоцка- 104 тыс. человек.
Ёмкость рынка:
Е= 90 000*0,7*11* 6000=4 158 000 000 (руб).
Доля рынка:
= (900 000 000/ 4 158 000 000)* 100%= 22%
Основные конкуренты ресторана в городе Полоцке:
кафе-бар «Дамиан» ЧУП «Дамиан-торг» и бар «Хуторок Николаевский» СООО «Марко»,
который расположен на первом этаже здания. Однако, в «Хуторке Николаевском»
около 30 посадочных мест, а летом на улицу выносятся несколько столиков,
которые расположены около дороги. Причём в нескольких метрах от бара (в том же
здании), расположен ЗАГС г. Полоцка. Поэтому возможности посидеть в тихом месте
на воздухе у посетителей этого бара нет. Интерьер «Хуторка Николаевского» очень
похож на обстановку других подобных заведений города. В кафе- баре «Дамиан»
небольшой выбор блюд и невысокий уровень обслуживания посетителей.
В городе Новополоцке наибольшим спросом
пользуются такие заведения, как ресторан “Двина”, “Плаза- Вернисаж”, “ Smile
cafe” ОАО Базис. Однако, как считают сами горожане, они с большим удовольствием
провели своё время в новом оригинальном кафе, так как вышеперечисленные
заведения уже немного надоели.
На данный момент рестораны пользуются спросом у
лиц среднего и старшего возраста, меньше всего посещают данные заведения- лица
преклонного возраста, а также родители с детьми до 12 лет.
Был проведён опрос, на котором 50 человек
различных возрастных групп (25 человек- молодые люди, 25- лица старшего
возраста) ответили на несколько вопросов:
Посетили ли бы вы ресторан, расположенный на
крыше?
Если нет, то по каким причинам.
Анализ показал, что 89 % опрошенных обязательно
посетили ли бы такой ресторан, а 11% не пошли бы в данное заведение, так как
боятся высоты (74%) или их вполне устраивает другое кафе(26%).
Так как ресторана подобного плана нет в
Витебской области и в город Полоцк приезжает большое количество туристов, то
данное заведение пользовалось бы большим спросом. Кроме того, название
ресторана символично- на гербе Полоцка расположена ладья.
Полная себестоимость продукции 432 213 570,12
бел. руб.
.2 Стратегия маркетинга
При посещении ресторана, человек оценивает его
кухню, качество обслуживания, обстановку, расположение заведения. Если
посетитель останется довольным, он обязательно придёт в данное заведение ещё
раз и посоветует это место своим близким и друзьям. Поэтому стратегия ресторана
“ Ладья ” ориентирована на долгосрочные отношения с клиентом.
Для распределения услуг руководство ресторана
будет использовать прямой канал сбыта, так как он позволяет поддержать контакт
с потребителем и тем самым позволяет контролировать сбыт, оказываемых услуг.
Каналом распределения будет розничная торговля, так как ресторан - розничное
предприятие услуг.
Стратегия ценообразования: стратегия “снятия
сливок”. Первое время, пока желающих посетить оригинальный ресторан на крыше
будет много, цены на блюда будут немного выше средней цены конкурентов. Через
некоторое время, когда спрос на ресторан будет снижаться, стратегия “снятия
сливок” поменяется на стратегию скользящей цены.
В целом, ценовая политика ресторана позиционируется
в сегменте недорогой кухни с демократичными ценами.
Для того, чтобы поддерживать постоянный спрос на
услуги ресторана “Ладья”, постоянно будут проводиться маркетинговые
исследования, меняться при необходимости меню заведения.
Перед открытием ресторана будет проводиться
рекламная деятельность, направленная на привлечение посетителей. Каждый человек
должен быть заинтригован возникновением нового заведения.
Для рекламирования ресторана будут
использоваться следующие средства:
реклама в периодической печати
печатная реклама (распечатка листовок)
реклама по телевидению (бегущая строка)
реклама на радио
наружная реклама (растяжки).
Таблица 4.2.1- Затраты на рекламу
|
Вид
рекламы
|
Стоимость
размещения
|
|
Бегущая
строка на телеканале “Квант” в течение месяца
|
200
000
|
|
Распечатанные
объявления (1000 штук)
|
60
000
|
|
Рекламное
сообщение на радио г. Полоцка
|
7
500
|
|
Печатная
реклама в газетах Полоцка и Новополоцка
|
1500
|
|
Односторонняя
растяжка
|
350
000
|
|
Раздача
листовок на улице (1000 штук)
|
30
000
|
Источник: собственная разработка.
Реклама в периодической печати будет помещаться
в форме объявлений, так как объявления дают подробные описания услуг,
местонахождения ресторана, цены и т.д.
Печатная реклама будет распространяться среди
директоров фирм , заводов, школ, на улице и т.д. Печатная реклама будет
распространяться в форме рекламных листовок и буклетов.
Реклама на радио - экономична и проста, к тому
же тарифы на радиорекламу значительно ниже, чем на другие виды рекламы.
В рекламную компанию также можно включить и
создание имиджа организации, то есть создание положительного и современного
образа ресторана, соответствующего требованиям и уровню потребителя.
К основным элементам имиджа ресторана относятся:
культура обслуживания;
культура его оформления и его территориальное
расположение;
образ работников ресторана и их квалификации.
Немаловажный момент имиджа ресторана - это
внешняя привлекательность ее работников и особенно руководителя. Обслуживающий
персонал будет одет в униформу, кроме того, нельзя упустить такой важный
момент, как сервис и профессиональное обслуживание клиентов, поэтому
соответствующими руководителями будет проводиться правильный отбор кадров.
Логотип ресторана также формирует определенные
эмоции и ассоциации у клиентов.
Когда ресторан начнёт свою работу, будут
проводиться различные акции. Постоянным клиентам будет предоставляться
небольшая скидка. Каждому посетителю ресторана будет выдаваться его визитка.
На праздники в “ Ладья ” будет соответствующее
оформление.
При проведении различных акций (дни национальной
кухни, появление новых блюд) будет проводиться дополнительное оповещение в
газетах, на радио. В целом все мероприятия можно условно разделить на
календарные и некалендарные. Календарные - это когда к некоему празднику или
событию привязывается интересное event-мероприятие или акция. Среди
полюбившихся посетителям ресторанов праздников такие как Татьянин день, день
Святого Валентина, день дурака, ирландский пивной праздник - день Св. Патрика,
Хэллоуин, праздник молодого вина - день Божоле, пивной фестиваль Октоберфест и
другие.
В определённые праздники посетителям будут
дариться небольшие подарки. Не следует забывать, что в ресторане есть детское
меню. Данный аспект обязательно будет отражен в рекламе ресторана.
Не следует забывать и о социальном маркетинге.
При заказе некоторых блюд в определённые дни , небольшой процент от выручки
будет перечислен в детские дома, в “Красный крест”. Важный момент - все
программы социального маркетинга должны быть широко освещены в СМИ.
5. ПРОИЗВОДСТВЕННЫЙ ПЛАН
.1 Местонахождения организации
Место нахождения ресторана “Ладья”: 211400,
Витебская область, г. Полоцк, ул. К.Маркса, д.2, 10 этаж (крыша здания), центр
города.
Город Полоцк- самый древний город Беларуси,
который ежегодно посещают тысячи туристов.
В нескольких шагах от дома находится картинная
галерея, памятник героям Отечественной войны 1812 года и отдел ЗАГС г. Полоцка.
Недалеко от здания расположен парк, автобусная остановка, Софийский собор.
.2 Описание производственного процесса
Производственный процесс: частично
механизированный (на отдельных операциях ручной труд заменён машинным).
Кухонное помещение будет разделено перегородкой на холодный и горячий цех.
В свою очередь горячий цех будет содержать место
для разделки мяса и рыбы, а также место для разделки овощей и фруктов.
В горячем цехе завершается технологический
процесс приготовления пищи. Именно в этом цехе осуществляется тепловая
обработка разнообразных продуктов, доводятся до готовности полуфабрикаты,
приготовляются первые, вторые и сладкие блюда, подготавливаются продукты для
холодных блюд. Горячий цех оборудуется плитами, котлами с подводкой холодной и
горячей воды, жарочными шкафами, сковородками, холодильными шкафами,
производственными столами и др. При организации рабочих мест в горячем цехе
будет использоваться секционное оборудование с применением линейного принципа
его размещения. Все тепловое секционное оборудование устанавливается в линию с
односторонним обслуживанием. Линейная расстановка оборудования позволяет
экономить производственную площадь благодаря возможности устанавливать
оборудование у стены или по центру кухни и совмещать одну линию теплового
оборудования с другой. Параллельно линии теплового оборудования будет размещена
линия производственных столов. Для приготовления блюд из рыбы выделяется
специальное рабочее место.
Рядом с горячим цехом будет находиться моечная
посуды. Использованная посуда, поступающая в моечную, предварительно очищается
от остатков пищи при помощи деревянных лопаток и промывается в специальных
посудомоечных машинах.
Назначение холодного цеха - приготовление
холодных блюд и закусок из мяса, рыбы, овощей и других продуктов, а также
сладких блюд и бутербродов. Основные операции, осуществляемые в цехе, - нарезка
подготовленных продуктов, порционирование и оформление холодных блюд и закусок.
Основное оборудование холодного цеха
-производственные столы, морозильный шкаф, кухонный комбайн, миксер.
Далее будет находиться складское помещение, в
котором будут храниться скоропортящиеся продукты в холодильной камере.
.3 Затраты на строительство и производство
Стоимость необходимого оборудования,
приспособлений и мебели приведена в таблице 5.3.1.
Таблица 5.3.1- Стоимость оборудования
|
Наименование
|
Количество
|
Стоимость,
бел, руб
|
|
Посуда,
приспособления
|
|
Доски
полиэтиленовая
|
5
|
10
000
|
|
Венчик
металлический
|
2
|
100
000
|
|
Нож
универсальный
|
2
|
200
000
|
|
Нож
десертный
|
80
|
400
000
|
|
Нож
с широким лезвием
|
1
|
220
000
|
|
Вилки
|
100
|
600
000
|
|
Ложки
|
80
|
400
000
|
|
Лопатки
|
2
|
20
000
|
|
Кастрюля
|
1
|
150
000
|
|
Сковородка
|
3
|
350
000
|
|
Миски
|
9
|
30
000
|
|
Мерная
ёмкость
|
1
|
20
000
|
|
Наборы
для специй
|
2
|
30
000
|
|
Открыватель
банок
|
2
|
30
000
|
|
Бокал
пивной
|
30
|
180
000
|
|
Кувшин
|
10
|
120
000
|
|
Фужеры
|
50
|
300
000
|
|
Тарелки
|
100
|
200
000
|
|
Тепловое
оборудование
|
|
Плита
электрическая
|
1
|
4
000 000
|
|
Печь
микроволновая
|
2
|
600
000
|
|
Фритюрница
|
1
|
300
000
|
|
Холодильное
оборудование
|
|
Холодильный
стол с встроенной раковиной
|
3
|
9
000 000
|
|
Шкаф
морозильный
|
2
|
3
000 000
|
|
Электромеханическое
оборудование
|
|
Миксер
|
1
|
145
000
|
|
Кухонный
комбайн
|
1
|
1
000 940
|
|
Мясорубка
|
1
|
320
000
|
|
Посудомоечная
машины
|
1
|
1
500 000
|
|
Весы
|
3
|
300
000
|
|
Чайник
|
2
|
400
000
|
|
Вытяжка
|
4
|
4
000 000
|
|
Кофемолка
|
1
|
150
000
|
|
Мебель
|
|
Стул
барный
|
3
|
800
000
|
|
Стул
мягкий
|
80
|
24
000 000
|
|
Столик
|
16
|
4
000 000
|
|
Другое
|
|
Телескоп
Celestron FirstScope 76
|
3
|
900
000
|
|
Всего:
|
597
|
57
640 940
|
Источник: собственная разработка.
Само помещение ресторана будет возводиться на
крыше дома. Так как эксплуатируемый дом уже изношен (коррозия, климат,
естественное старение), то очень важно не «перегрузить» его при надстройке. Для
этого при строительстве будут использоваться только легкие негорючие материалы,
соответствующие всем санитарным нормам.
Технология предполагает возведение мансардного
этажа на каркасе, основным несущим элементом которого является стальной
оцинкованный холодногнутый профиль швеллерного сечения. Этот профиль легок,
погонный метр его весит до 2 кг. Сборка элементов каркаса и их монтаж
производится без применения сварки с помощью самонарезающих шурупов, что
предотвращает риск воспламенения старого кровельного покрытия и позволяет вести
сборку металлоконструкций непосредственно на реконструируемой кровле. В
качестве кровли используется фальцевое покрытие из оцинкованной окрашенной
стали.
Масса 1 кв.м. легких ограждающих конструкций
составляет 30-60 кг. Что при расчете на 1 кв.м. площади помещений составляет
100-200 кг. Нормативный срок эксплуатации каркаса составляет не менее 50 лет.
Стоимость проекта- 3 800 000 бел. руб.
Площадь надстраиваемого мансардного этажа
составляет 600 м 2
Срок монтажа каркаса несущих конструкций -5
недель, срок строительства - 10 месяцев. На саму крышу посетители будут
попадать на энергосберегающем лифте, который будет пристроен сбоку здания.
Основные затраты на строительство мансардного
этажа представлены в таблице 5.3.2.
Таблица 5.3.2-Основные затраты на строительство здания
ресторана
|
Вид
затрат
|
Стоимость
|
|
Стоимость
проекта
|
3
800 000
|
|
Лифт
панорамный
|
63
400 000
|
|
Несущие
конструкции
|
|
Стоимость
несущих деревянных конструкций
|
450
000
|
|
Пропитка
огне-биозащитным составом
|
300
000
|
|
Стоимость
металлических конструкций
|
500
000
|
|
Формирование
теплового контура
|
|
Устройство
стропил и гидроизоляции
|
209
566
|
|
Утепление
кровли и стен, пароизоляция
|
204
570
|
|
Монтаж
профлиста, подшивка карнизов и вертикальных стен
|
83
162
|
|
Монтаж
кровельного покрытия
|
500
000
|
|
Коммуникации
|
|
Отопление
вентиляция, пожарный водопровод, сантехника (водопровод и канализация)
|
300
000
|
|
Электрика
(освещение, силовое освещение)
|
300
000
|
|
Внутренняя
отделка
|
6
000 000
|
|
всего
|
76
047 298
|
Источник: собственная разработка.
Крыша нового здания скатная, в помещении
расположены мансардные окна:
кухонное помещение- 3 окна
помещение для посетителей- 7 окон.
Стоимость мансардных окон представлена ниже (см.
табл.5.3.3):
Таблица 5.3.3- Стоимость мансардных окон
|
Модель
мансардного окна
|
Размер
окна
|
Количество,
штук
|
Стоимость,
бел. руб
|
|
Fakro
FTS-V
|
78*140
|
3
|
2
820 000
|
|
Fakro
FTS-V
|
114*140
|
7
|
8
610 000
|
|
Всего
|
|
10
|
11
430 000
|
Источник: собственная разработка.
Затраты на строительство приведены ниже:
Таблица 5.3.4- Затраты на пристройку
|
Вид
затрат
|
Стоимость,
бел. руб
|
|
Основа-
металлическая конструкция
|
250
000
|
|
Настил
из полиэстера
|
2
500 000
|
|
Напольный
настил
|
1
200 000
|
|
Бортики
из металла(ограждения)
|
3
000 000
|
|
Всего
|
6
950 000
|
Приведём расчёт амортизационных отчислений (см.
табл.5.3.5).
Таблица 5.3.5- Амортизационные отчисления
|
Наименование
|
СПИ,
лет
|
Норма
амортизации,%
|
Амортизационные
отчисления, год
|
|
Посуда
|
5
|
20
|
672
000
|
|
Тепловое
оборудование
|
5
|
20
|
980
000
|
|
Холодильное
оборудование
|
5
|
20
|
2
400 000
|
|
Электромеханическое
оборудование
|
5
|
20
|
1
563 188
|
|
Мебель
|
4
|
25
|
7
425 000
|
|
Здание
|
50
|
2
|
2
027 545, 96
|
|
Итого:
|
|
|
15
067 733,96
|
Источник: собственная разработка.
В меню ресторана будет основное, постное и
детское меню. Стоимость продуктов, необходимых для приготовления блюд,
приведена ниже (см. табл. 5.3.6).
Таблица 5.3.6- Стоимость продуктов
|
Название
блюда
|
Норма
выхода, грамм(мл)
|
Стоимость
сырья Бел. руб.
|
|
Постные
блюда
|
|
|
|
Салаты
|
|
|
|
Салат
весенний
|
150
|
2000
|
|
Салат
гарибальди
|
150
|
2500
|
|
Салат
из цветной капусты
|
150
|
1500
|
|
Салат
оранж
|
150
|
2230
|
|
Супы
|
|
|
|
Суп-пюре
белой фасоли
|
250
|
2500
|
|
Суп
с зелёным горошком
|
250
|
2300
|
|
Суп
по- милански
|
250
|
1200
|
|
Горячие
блюда
|
|
|
|
Картофель
жареный с грибами
|
250
|
1700
|
|
Штрим-
теряики
|
250
|
2800
|
|
Вареники
с вишней
|
220/20
|
1060
|
|
Котлеты
морковные с черносливом
|
230
|
2800
|
|
Десерты
|
|
|
|
Фруктовый
тар-тар
|
250
|
1500
|
|
Фрукты
в желе
|
250
|
980
|
|
Детское
меню
|
|
|
|
Салатики
и закуски
|
|
|
|
Сеньор
помидор
|
100
|
600
|
|
Утиные
истории
|
180
|
780
|
|
Кораблик
“Алые паруса”
|
125
|
1010
|
|
“Колобок”
|
100
|
960
|
|
“Здравствуй,лето”
|
150
|
600
|
|
“Снеговички”
|
100
|
900
|
|
Горячие
закуски
|
|
|
|
Омлет
“Солнышко”
|
100
|
600
|
|
Яйцо
“Звёздочка”
|
50/10
|
390
|
|
Жюльен
из грибочков
|
80
|
3600
|
|
Сэндвич
“Божья коровка”
|
100
|
2000
|
|
Супы
|
|
|
|
Супчик
с фрикадельками
|
200
|
1020
|
|
Супчик
дня
|
200
|
990
|
|
Горячие
блюда
|
|
|
|
“Котлетки
от бабушки”
|
100/30/30
|
1500
|
|
“Бармалей”
|
160
|
1600
|
|
“Осьминожки”
|
160
|
1450
|
|
“Смешные
паучки”
|
110
|
1450
|
|
“Смешарики”
|
100
|
1220
|
|
Десерты
|
|
|
|
“Блинная
горка”
|
160
|
500
|
|
“Детский
каприз”
|
90
|
300
|
|
“Нежный
персик”
|
120
|
900
|
|
Напитки
|
|
|
|
Сок
чемпиона
|
200
|
1100
|
|
Молочный
коктейль
|
200
|
700
|
|
Банкетное
меню
|
|
|
|
Закуски
|
|
|
|
Канапе
с икрой
|
12/4
|
1000
|
|
Канапе
с сёмгой
|
30
|
1200
|
|
Канапе
с ветчиной
|
30
|
500
|
|
Канапе
с сыром
|
30
|
360
|
|
Салат
в тарталетках
|
80
|
590
|
|
Холодные
закуски
|
|
|
|
Мясной
ассорти
|
150/20/20
|
2100
|
|
Янтарная
россыпь
|
50/30
|
1000
|
|
Рыбное
ассорти
|
150
|
1200
|
|
Свинина
запечённая
|
100/30
|
1900
|
|
Язык
молодого телёнка
|
100/50
|
1200
|
|
Заливное
из судака
|
100
|
2300
|
|
Белые
грибы
|
100
|
960
|
|
Маслины
|
50
|
1200
|
|
Саталы
|
|
|
|
Цезарь
|
250/35
|
2700
|
|
Греческий
|
290
|
1500
|
|
Дары
моря
|
230/10
|
2300
|
|
Домик
в Альпах
|
200/450
|
1250
|
|
Деревенский
|
375
|
1600
|
|
Вечерний
|
150
|
1500
|
|
Ледяная
гора
|
150
|
2450
|
|
Горячие
закуски
|
|
|
|
Морепродукты
с овощами
|
290
|
2400
|
|
Жюльен
из дичи
|
180
|
1500
|
|
Кокот
куриный
|
80
|
2000
|
|
Стейк
из сёмги
|
150/50/15
|
1200
|
|
Тилапия
|
200/30
|
1360
|
|
Утиная
грудка
|
235
|
1200
|
|
Гарниры
|
|
|
|
Мини
картофель
|
150
|
1200
|
|
Картофель
по-белорусски
|
150
|
1300
|
|
Картофельное
пюре
|
150
|
1350
|
|
Рис
микс
|
150
|
950
|
|
Овощи
гриль
|
150
|
690
|
|
Напитки
|
|
|
|
Свежевыжатые
соки
|
200
|
1200
|
|
Минеральная
вода
|
250
|
250
|
|
Молочные
коктейли
|
200
|
700
|
|
Чай
|
300
|
150
|
|
Кофе
|
75
|
300
|
|
Горячий
шоколад
|
100
|
250
|
|
Пиво
|
500
|
2700
|
|
Вино
|
50
|
750
|
|
Водка
|
50
|
500
|
|
Сопутствующие
товары
|
|
10
000
|
|
ВСЕГО
|
|
110
000
|
Источник: собственная разработка.
Таким образом, можем привести расчёт полной
себестоимость продукции (см. табл. 5.3.7).
Таблица 5.3.7- Полная себестоимость продукции
|
Вид
затрат
|
Величина
затрат, бел. руб., год
|
|
Материальные
затраты (сырьё и материалы)
|
40
150 000
|
|
Оплата
труда
|
133
380 000
|
|
Отчисления
на соц. страхование
|
71
820 000
|
|
Амортизация
|
15
067 733,96
|
|
Прочие:
|
|
|
Расходы
на рекламу
|
7
788 000
|
|
Аренда
|
72
000 000
|
|
Затраты
на энергию
|
14
994 000
|
|
Выплата
кредита
|
77
013 836,16
|
|
Полная
себестоимость
|
432
213 570,12
|
Источник: собственная разработка.
6. ОРГАНИЗАЦИОННЫЙ ПЛАН
Ресторан “Ладья” является частным унитарным
предприятием, имущество которого находится в частной собственности физического
лица либо юридического лица и принадлежит такому предприятию на праве
хозяйственного ведения. Орган управления ЧУП - руководитель, назначаемый
собственником или уполномоченным лицом.
Ресторан будет работать с 12 дня до 3 часов
ночи. Это обуславливает двухсменную работу заведения.
Ресторан рассчитан на 80 мест (16 столиков по 5
человек за каждым). Таким образом, на 5 столиков приходится по одному
официанту. Общая численность официантов: 6 человек (по 3 на смену).
Также численность поваров составляет 6 человек,
по 3- на смену.
Численность штата сотрудников и их заработная
плата представлена ниже.
Таблица 6.1- Затраты на оплату труда сотрудников
|
Категория
персонала
|
Количество,чел
|
ЗП
в месяц, бел. руб.
|
|
Ген.
директор
|
1
|
1
500 000
|
|
Комм.директор
(маркетолог)
|
1
|
1
300 000
|
|
Гл.
бухгалтер
|
1
|
1
300 000
|
|
Зав.
производством
|
1
|
1
000 000
|
|
Повар
|
6
|
4
800 000
|
1
|
1
300 000
|
|
Уборщица
|
2
|
700
000
|
|
Охранник
|
2
|
1
000 000
|
|
Официант
|
6
|
3
600 000
|
|
Бармен
|
1
|
600
000
|
|
Всего:
|
22
|
17
100 000
|
Источник: собственная разработка.
Директор - является материально-ответственным
лицом, он действует от имени предприятия, представляет его интересы во всех
предприятиях различных форм собственности. По хозяйственной деятельности
заключает договоры, открывает расчетный счет в банке, выдает доверенности.
Директор предприятия в соответствии с трудовым
законодательством издает приказы и распоряжения, осуществляет прием и
увольнение граждан, привлекаемых к участию в трудовой деятельности, применяет к
ним поощрения и взыскания.
Требования к кандидату на должность директора:
высшее образование и стаж работы по
специальности в системе общественного питания не менее 3 лет
или среднее профессиональное образование и стаж
работы по специальности в системе общественного питания не менее 5 лет.
Коммерческий директор (маркетолог)- лицо,
осуществляющее руководство финансово-хозяйственной деятельностью ресторана в
области материально- технического обеспечения, сбыта продукции (оказания
услуг).
Требования к коммерческому директору:
высшее профессиональное (юридическое или
экономическое) образование
опыт работы на руководящих должностях не менее 3
лет.
Главный бухгалтер- специалист в области
бухгалтерии. Осуществляет организацию бухгалтерского учета
хозяйственно-финансовой деятельности предприятия и контроль над экономным
использованием материальных, трудовых и финансовых ресурсов, сохранностью
собственности предприятия.
Формирует в соответствии с законодательством о
бухгалтерском учете учетную политику, исходя из структуры и особенностей
деятельности предприятия, необходимости обеспечения его финансовой устойчивости.
Требования:
высшее профессиональное (экономическое,
финансово-экономическое) образование и стаж финансово-бухгалтерской
(финансово-экономической) работы на руководящих должностях не менее 5 лет.
Заведующий производством- лицо, осуществляющее
руководство производственно-хозяйственной деятельностью предприятия
общественного питания, а также:
составляет заявки на необходимые
продовольственные товары, полуфабрикаты и сырье,
обеспечивает их своевременное получение со
склада, контролирует сроки, ассортимент, количество и качество их поступления и
реализации,
обеспечивает на основе изучения спроса
потребителей разнообразие ассортимента блюд и кулинарных изделий,
составляет меню,
осуществляет постоянный контроль за технологией
приготовления пищи, нормами закладки сырья и соблюдением работниками санитарных
требований и правил личной гигиены.
осуществляет расстановку поваров и других
работников производства.
составляет график выхода поваров на работу.
На должность заведующего производством
назначается лицо, имеющее высшее профессиональное образование и стаж работы по
специальности не менее 3 лет или среднее профессиональное образование и стаж
работы по специальности не менее 5 лет.
Администратор- лицо, осуществляющий работу по
эффективному и культурному обслуживанию посетителей, созданию для них
комфортных условий, а также следит за работой тех. персонала, официантов и
бармена.
На должность Администратора назначается лицо,
имеющее среднее профессиональное образование стаж работы по специальности не
менее 2 лет.
Официант - работник предприятий общественного
питания, обслуживающий посетителей.
В обязанности официанта входят:
выполнение заказов посетителей;
получение от них расчёта за услуги;
уборка столов после ухода посетителей;
сервировка столов к приходу новых клиентов.
Официант несёт материальную ответственность за
сохранность посуды и выручку.
Требования к сотруднику - официанту:
среднее специальное образование или курсы
физическая выносливость
хорошая координация движений
развитая зрительная память
способность к распределению внимания
арифметические способности
знание этике и опрятный вид.
Повар- лицо, осуществляющее:
приготовление блюд кулинарных изделий и
витаминных салатов.
способы сокращения потерь и сохранение
питательной ценности пищевых продуктов при их тепловой обработки.
быстрое и качественное оформление обедов
выполнение правил работы на оборудовании или
приготовление пищи и содержание их в надлежащей чистоте во время всего рабочего
дня.
На должность повара ресторана назначается лицо,
имеющее
специальное профессиональное образование и/или дополнительную подготовку по
соответствующему направлению, стаж работы в системе общественного питания не
менее 3 лет и разряд, не ниже четвертого.
Бармен является материально-ответственным лицом
и несет полную материальную ответственность за сохранность вверенных ему
материальных ценностей в соответствии с действующим законодательством .
На должность бармена назначаются лица, имеющие
специальную подготовку.
Охранник- лицо, которое несёт службу по
безопасной деятельности ресторана и обеспечению комфортного пребывания
посетителей ресторана.
Общие знания и навыки:
навыки общения в сложных ситуациях.
знание основ психологии.
умение пользоваться средствами защиты.
знание и навыки управления временем.
Организационная структура ресторана “Ладья”
представлена на рисунке 6.1.
Рис. 6.1- Организационная структура ресторана
“Ладья”.
Источник: собственная разработка.
Организационная структура ресторана
“Ладья”линейно-функциональная.
Линейно-функциональная структура обеспечивает
такое разделение управленческого труда, при котором линейные звенья управления
призваны командовать, а функциональные - консультировать, помогать в разработке
конкретных вопросов и подготовке соответствующих решений, программ, планов.
Достоинства:
высокая компетентность функциональных
руководителей;
уменьшение дублирования усилий и потребления
материальных ресурсов в функциональных областях;
улучшение координации в функциональных областях;
высокая эффективность при небольшом разнообразии
продукции и рынков;
максимальная адаптация к диверсификации
производства;
формализация и стандартизация процессов;
высокий уровень использования мощностей.
Недостатки:
чрезмерная заинтересованность в результатах
деятельности "своих" подразделений. Ответственность за общие
результаты только на высшем уровне;
проблемы межфункциональной координации;
чрезмерная централизация;
увеличение времени принятия решений из-за
необходимости согласований;
реакция на изменения рынка чрезвычайно
замедлена;
ограничены масштабы предпринимательства и
инноваций.
7. ИНВЕСТИЦИОННЫЙ ПЛАН
Общая стоимость проекта: 272 668 238 бел. руб.
Часть суммы (32 000 000) составляет уставной фонд, остальную часть
предполагается взять в кредит.
Структура основных средств, аренда помещений,
материалы, структура нематериальных активов и капитальных вложений предприятия
ЧУП«Ладья» представлены ниже.
Основные средства перечислена в таблице 5.3.1
(см. пункт 5.3” Затраты на строительство и производство” )
Таблица 7.1 - Аренда помещений
|
Наименование
|
Стоимость,
год
|
|
Общая
площадь
|
72000000
|
|
Итого:
|
72000000
|
Источник: собственная разработка
Таблица 7.2 - Основное сырьё
|
Наименование
|
Стоимость
|
|
Майонез
|
7
000 000
|
|
Курица
|
12
000 000
|
|
Грибы
|
1
000 000
|
|
Мясо
|
12
000 000
|
|
Картофель
|
2
000 000
|
|
Яйца
|
2
000 000
|
|
Соль
и специи
|
2
000 000
|
|
Прочее
|
2
150 000
|
|
Итого:
|
40
150 000
|
Источник: собственная разработка
Таблица 7.3 - Нематериальные активы
|
Показатели
|
Стоимость,
руб.
|
Срок
полезного использования (лет)
|
|
Организационные
расходы
|
500000
|
|
|
Лицензии
|
1000000
|
10
|
|
Итого
|
1500000
|
|
Источник: собственная разработка
Таблица 7.4 - Капитальные вложения
|
Показатели
|
Стоимость
(руб.)
|
|
Основные
средства
|
57
640 940
|
|
Аренда
помещений
|
72
000 000
|
|
Основное
сырьё
|
40
150 000
|
|
Нематериальные
активы
|
1
500 000
|
|
Строительство
|
101
377 298
|
|
Всего
затрат
|
272
668 238
|
Источник: собственная разработка
Источниками финансирования проекта являются
собственные средства (уставной Фонд: 32 000 000) и заёмные средства (кредит на
сумму 240 668 238).
В качестве заемных средств выступает кредит
банка “Беларусбанк” сроком на 5 лет под 12% годовых.
Исходя из этого можно провести расчёт объёма
платежа заёмщика по следующей формуле:
Оп = Д * (1 + Ск * Пс ), где
Оп - объем платежей заемщика по кредиту,
Д - это долг (сумма кредита),
Пс - процентная ставка,
Ск - срок кредита в годах или отношение периода
пользования кредитом в днях к 360 дням.
Оп =240 668 238* (1 + 5* 0,12)=385 069180,8 бел.
руб., т.е. это сумма, которую необходимо вернуть банку после 5 лет.
Платежи в месяц составят 385 069180,8/60=6 417
819, 68.
8. ПРОГНОЗИРОВАНИЕ ФИНАНСОВО-ХОЗЯЙСТВЕННОЙ
ДЕЯТЕЛЬНОСТИ
Рассчитываем прибыль от реализации
П= ВР-НДС- С/С
П= (ВР-НДС- С/С)
За первый год:
П= (900 000 000-150 000 000-432 213 570,12) =
317 786 430
ВР=900 000 000
НДС=900 000 000*20/120=228 416 666
Полная с/с=432 213 570,12
Аналогичным образом считаем прибыль за следующие
4 года и сводим в таблицу (см. табл. 8.1).
Таблица 8.1- Прибыль организации за 5 лет.
|
Год
|
Выручка
от реализации
|
НДС
|
Полная
с/с
|
Прибыль
|
|
2012
|
900
000 000
|
150
000 000
|
432
213 570,12
|
317
786 430
|
|
2013
|
850
000 000
|
141
666 666
|
433
215 000
|
275
118 334
|
|
2014
|
870
500 000
|
145
083 333
|
433
500 000
|
291
916 667
|
|
2015
|
910
000 900
|
151
666 816
|
433
980 000
|
324
354 084
|
|
2016
|
950
000 000
|
158
333 333
|
433
990 990
|
357
675 677
|
Источник: собственная разработка
Расчёт налогов по годам представлен в таблице
8.1
Таблица 8.1.- Налоги организации за 5 лет
|
Налог
|
2012
|
2013
|
2014
|
2015
|
2016
|
|
На
прибыль (24%)
|
76
268 743
|
66
028 400
|
70
060 000
|
77
844 980
|
85
842 162
|
|
НДС
(20%)
|
180
000 000
|
170
000 000
|
174
100 000
|
182
000 180
|
190
000 000
|
|
Отчисления
на соц.нужды (34%+1%)
|
46
683 000
|
46
865 000
|
46
900 000
|
47
145 000
|
47
500 000
|
|
Всего:
|
302
951 743
|
282
893 466
|
291
060 000
|
306
990 160
|
323
342 162
|
Источник: собственная разработка
Расчёт денежного потока
Таблица 8.2 - Расчет потока денежных средств,
бел. руб.
|
Вид
поступления
|
По
годам реализации проекта
|
|
2012
|
2013
|
2014
|
2015
|
2016
|
|
Приток
денежных средств
|
|
Выручка
от реализации
|
900
000 000
|
850
000 000
|
870
500 000
|
910
000 900
|
950
000 000
|
|
Кредиты
и займы
|
240
668 238
|
-
|
-
|
-
|
-
|
|
Собственные
средства
|
32
000 000
|
-
|
-
|
-
|
-
|
|
Итого:
|
1
172 668 238
|
850
000 000
|
870
500 000
|
910
000 900
|
950
000 000
|
|
Отток
денежных средств
|
|
Единовременные
затраты
|
|
Постройка
здания
|
101
377298
|
-
|
-
|
-
|
-
|
|
Затраты
на приобретение основных средств
|
57
640 940
|
-
|
-
|
-
|
-
|
|
реклама
|
2
600 000
|
1500
000
|
1300
000
|
1400
000
|
2
000 000
|
|
Итого:
|
161
618 238
|
1500
000
|
1300
000
|
1400
000
|
2
000 000
|
|
Текущие
затраты
|
|
Переменные
затраты
|
|
сырьё
|
40
150 000
|
40
200 000
|
40
250 000
|
40
300 000
|
40
500 000
|
|
энергия
|
14
994 000
|
14
999 000
|
15
000 000
|
15
002 000
|
15
010 000
|
|
Погашение
кредита
|
77
013 836
|
77
013 836
|
77
013 836
|
77
013 836
|
77
013 836
|
|
Итого:
|
132
157 836
|
132
212 836
|
132
263 836
|
132
315 836
|
132
523 836
|
|
Постоянные
затраты
|
|
Заработная
плата
|
133
380 000
|
135
000 000
|
137
000 000
|
138
000 000
|
139
000 000
|
|
Аренда
|
72
000 000
|
72
000 000
|
72
150 000
|
72
300 000
|
72
350 000
|
|
амортизация
|
15
067 733,96
|
15
067 733,96
|
15
067 733,96
|
15
067 733,96
|
15
067 733,96
|
|
Итого:
|
220
447 733,9
|
222
067 733,9
|
224
217 733,9
|
225
367 733,9
|
226
417 733,9
|
|
Итого
текущих затрат
|
354
280 569,9
|
356
481 569,9
|
357
683 569,9
|
358
941 569,9
|
|
|
|
|
|
|
|
Источник: собственная разработка
Таблица 8.3 - Расчет сальдо по притоку и оттоку,
руб.
|
2012
|
2013
|
2014
|
2015
|
2016
|
|
Приток
|
1
172 668 238
|
850
000 000
|
870
500 000
|
910
000 900
|
950
000 000
|
|
Отток
|
-
514 223 807,9
|
-
355 780 569,9
|
-357
781 569,9
|
-359
083 569,9
|
-360
941 569,9
|
|
Сальдо
|
658
444 431
|
494
219 430
|
512
718 430
|
550
917 330
|
589
058 431
|
Источник: собственная разработка
На основе таблицы 8.3 построим диаграмму Cash
flaw.
Рисунок 8.1- График Cash flaw.
Источник: собственная разработка
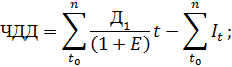
9. ПОКАЗАТЕЛИ ЭФФЕКТИВНОСТИ ПРОЕКТА
бизнес план ресторан инвестиционный
Для оценки эффективности инвестиций применяются
следующие показатели:
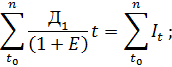
Чистый дисконтированный доход
(900 000 000/
+
850 000 000/
+ 870 500 000/
+
910 000 900/
+ 950 000 000/
)-(514
223 807,9+355 780 569,9+357 781 569,9+359 083 569,9+360 941 569,9)=(803 571
428+680 000 000+619 617 054+ 579 618 407+539 772 727)-1 947 811 085=1 274 768
531 бел. руб.
ЧДД>0,значит, бизнес-план эффективен и
подлежит рассмотрению
Внутренняя норма доходности
Если Eдох=35.9%;
=1941041326
бел. руб.
Запас прочности по проекту: 35.9%-12%=23.9%
Таким образом, при изменении ставки
рефинансирования до 35,9% проект остаётся прибыльным.
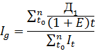
Индекс рентабельности (доходности)
=3 222 579 616/1
947 811 085= 1,65
Таким образом, рентабельность проекта составляет
65%.
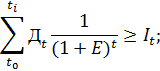
Сроки окупаемости (простой и динамический)
Простой:
(первый год )
514 223 807,9
6 месяцев 8 дней
Динамический:
(1+0,12)
514
223 807,9
Рентабельность
Таблица 9.1 - Рентабельность по годам, руб.
|
Год
|
2012
|
2013
|
2014
|
2015
|
2016
|
|
Прибыль
|
317
786 430
|
275
118 334
|
291
916 667
|
324
354 084
|
357
675 677
|
|
Себестоимость
|
432
213 570,12
|
433
215 000
|
433
500 000
|
433
980 000
|
433
990 990
|
|
Рентабельность
|
73%
|
63%
|
67%
|
74,7%
|
82%
|
Источник: собственная разработка
Выручка от реализации продукции на одного
работающего
Выручка = Выручка/Численность
Таблица 9.2- Выручка от реализации продукции на
одного рабочего
|
Год
|
2011
|
2012
|
2013
|
2014
|
2015
|
|
Выручка
|
900
000 000
|
850
000 000
|
870
500 000
|
910
000 900
|
950
000 000
|
|
Численность
|
22
|
22
|
22
|
22
|
22
|
|
Выучка
от реализации на одного рабочего
|
93
372 463,8
|
92
157 800
|
92
000 000
|
93
060 000
|
94
120 000
|
Источник: собственная разработка
Доля собственного капитала в объеме инвестиций
(СКи):
где СК - собственный капитал (собственные
средства финансирования проекта);
И - стоимость общих инвестиционных затрат.
СК=(32 000 000/ 272 668 238) * 100%=11,7 %
Таким образом, доля собственного капитала
составляет 11,7%.
Анализ и оценка всех возможных рисков:
инновационный риск
Есть риск того, что в ресторан на крыше посетят
меньшее количество людей, чем планировалось по разным причинам:
данный вид инновации не заинтересует посетителей
некоторые люди боятся высоты, однако их точное
количество достаточно сложно узнать
и другим причинам.
коммерческий риск (риск, возникающий в процессе
реализации товаров и услуг). Причины данного риска для ресторана “Ладья”:
повышение закупочной цены сырья для
приготовления блюд
снижение спроса на заведение
потеря качества блюд
повышение издержек
и другие причины.
производственный риск (вероятность убытков или
дополнительных издержек, связанных со сбоями или остановкой производственных
процессов, нарушением технологии выполнения операций, низким качеством сырья
или работы персонала и т.д.)
Для ресторана “Ладья” причинами данного риска
могут быть:
снижение намеченных объёмов оказания услуг по
причине снижения производительности труда,
отсутствие необходимого объёма сырья
снижение цен, по которым планировалось
реализовать услугу, в связи с ее недостаточным качеством, неблагоприятным
изменением рыночной конъюнктуры, падением спроса;
увеличение налоговых платежей и других
отчислений предприятия;
недобросовестные поставщики
и другие причины.
кредитный риск, причинами которого могут стать
следующие:
неблагоприятные изменения в экономике страны
изменение в рыночной стоимости
ухудшение деловой репутации и другие.
Так как ресторан только открывается и оборудование
в нём новое (что уже снижает производственный риск), то самым главным риском
является риск снижение спроса посетителей или появление нового конкурента.
Проведём анализ риска методом балльных экспертных оценок.
Риск: падение спроса на услуги ресторана “Ладья”
(коммерческий риск).
Факторы риска:
появление нового конкурента (внешний,
неконтролируемый )
некачественное обслуживание посетителей (
внутренний, контролируемый)
поставка некачественного сырья (внешний,
частично контролируемый)
кризисные явления в экономике (внешний,
неконтролируемый)
стихийное бедствие (внешний, неконтролируемый)
повышение цены на сырьё (внешний, частично
контролируемый)
возникновение новых тенденций в ресторанном
бизнесе (внешний, неконтролируемый)
низкая квалификация персонала (внутренний,
контролируемый).
Таблица 9.3 -Оценка факторов риска
|
Факторы
риска
|
Bi
|
Wi
|
BiWi
|
|
1.
|
7
|
0,2
|
1,4
|
|
2.
|
2
|
0,2
|
0,4
|
|
3.
|
3
|
0,2
|
0,6
|
|
4.
|
4
|
0,05
|
0,2
|
|
5.
|
2
|
0,1
|
0,2
|
|
6.
|
4
|
0,1
|
1,6
|
|
7.
|
4
|
0,05
|
0,2
|
|
8.
|
1
|
0,1
|
0,1
|
|
Итого:
|
-
|
1
|
4,7
|
Источник: собственная разработка
Проанализировав таблицу можно сделать вывод, что
данный вид риска находится в зоне повышенного риска. Для снижения наступления
риска можно предложить следующие мероприятия:
отслеживание тенденция ресторанного бизнеса
постоянный контроль качества сырья
выбор надёжных поставщиков
повышение квалификации персонала
заключение долгосрочных контрактов
проведение маркетинговых исследований
проведение опросов посетителей о качестве
оказания услуги
мониторинг социально- экономической среды
Таким образом, можно привести карту риска (см.
9.1), из которого видно, что большинство факторов располагается ниже
критической границы.
Рисунок 9.1- Карта риска
10. ЮРИДИЧЕСКИЙ ПЛАН
.1 Сведения о ЧУП “Ладья”
Частное унитарным предприятие (ЧУП) “Ладья”- это
коммерческая организация, не наделенная правом собственности на закрепленное за
ней имущество. Имущество ЧУП “Ладья” находится в частной собственности
физического лица либо юридического лица и принадлежит такому предприятию на праве
хозяйственного ведения. Имущество ЧУП является неделимым и не может быть
распределено по вкладам (долям, паям), в том числе между работниками
предприятия.
Количество участников: 1
Основным учредительным документом ЧУП является
Устав частного унитарного предприятия, утвержденный учредителем.
Орган управления ЧУП - руководитель, назначаемый
собственником или уполномоченным лицом.
Размер уставного фонда, который определяется
собственником, составляет 32 000 000 бел. руб.
Юридический адрес ЧУП ”Ладья”: …
Унитарное предприятие не несет ответственности
по обязательствам собственника его имущества, за исключением случаев,
предусмотренных Гражданским кодексом Республики Беларусь.
Основная цель деятельности ЧУП “Ладья”: оказание
услуг в сфере общественного питания.
.2 Порядок создания и регистрации частного
унитарного предприятия
ЧУП “Ладья” создаётся на неопределённый срок в
соответствии с Гражданским кодексом Республики Беларусь (ст. 44-62, ст.113-115,
ст.276, 280, 281) и Законом Республики Беларусь «О предприятиях» (в части,
которая не противоречит Гражданскому кодексу).
До подачи в регистрирующий орган для
государственной регистрации необходимых документов собственник имущества ЧУП
“Ладья” должен:
согласовать с регистрирующим органом
наименование ЧУП “Ладья”;
определить предполагаемое место размещения ЧУП
“Ладья”;
принять решение о создании ЧУП “Ладья” и
подготовить его устав;
сформировать уставный фонд.
Устав ЧУП “Ладья” содержит:
наименование, место нахождения, предмет и цели
деятельности, порядок управления деятельностью предприятия, размер уставного
фонда, порядок и источники его формирования, сведения о представительствах и
филиалах, субсидиарную ответственность в случае банкротства по вине учредителя.
Далее составляется заявление о государственной
регистрации по форме, установленной Министерством юстиции.
Порядок формирования уставного фонда: до
государственной регистрации ЧУП уставный фонд предприятия должен быть полностью
оплачен собственником имущества предприятия.
Срок государственной регистрации унитарного
предприятия составляет один день.
Приблизительные затраты, связанные с
государственной регистрацией частного унитарного предприятия:
. Открытие временного счета в банке для
формирования уставного фонда (в случае внесения денежного вклада) - в соответствии
с тарифами банка.
. Вклад в уставный фонд - в соответствии с
размером уставного фонда, определенным учредителем.
. Государственная пошлина за регистрацию - 175
000 белорусских рублей (60-65 евро).
. Изготовление печати - 15-20 евро.
5. Свидетельствование подлинностей подписей и
оттиска печати на банковской карточке - в соответствии с тарифами банка (около
10 евро).
. Открытие расчетного счета в банке - в
соответствии с тарифами банка.
.3 Преимущества и недостатки ЧУП
Преимущества такой организационно- правовой
форме как частное унитарное предприятие:
. в частном унитарном предприятии всего один
учредитель. Поэтому частное унитарное предприятие является самой жизнеспособной
из всех форм юридического лица, исключающей распри между учредителями с последующим
разделом или развалом юридического лица. Единоличному учредителю нет
необходимости считаться с мнениями других участников (как в случае с обществом
с ограниченной ответственностью (ООО));
. частное унитарное предприятие может
располагаться в жилом помещении (в квартире или в жилом доме);
. в частном унитарном предприятии функции по
ведению бухгалтерского учета, составлению бухгалтерской отчетности могут быть
возложены на директора, и нет необходимости принимать в штат бухгалтера;
Главный и единственный недостаток частного
унитарного предприятия проявляется при продаже бизнеса. В частном унитарном
предприятии не так просто, как в обществе с ограниченной ответственностью
сменить учредителя. То, что в обществе с ограниченной ответственностью делалось
бы через продажу доли в уставном фонде, в частном унитарном предприятии требует
преобразования его в общество с ограниченной ответственностью, смены учредителя
и последующего преобразования общества с ограниченной ответственностью обратно
в частное унитарное предприятие либо регистрации предприятия как имущественного
комплекса с последующим его отчуждением.
ЗАКЛЮЧЕНИЕ
В данной курсовой работе был рассмотрен бизнес-
план создания ресторана “Ладья” на крыше дома.
В качестве рынка сбыта был выбран рынок города
Полоцка и Новополоцка, а само месторасположение ресторана- центр самого
древнего города в Беларуси- города Полоцка.
Были продуманы основные характеристики
предлагаемых услуг, выгодное месторасположение ресторан, разнообразное меню,
которое будет привлекать как посетителей с детьми, так и тех, кто соблюдает
пост или предпочитает диетические блюда. Для ресторана было выбрано подходящее
оборудование, комфортная мебель, рассчитаны затраты на строительство самого
здания, полная себестоимость продукции, приведён организационный план,
обосновано количество персонала, описаны требования к персоналу, а также
проанализированы риски для предприятия и просчитаны показатели эффективности
проекта.
Таким образом, можно сделать вывод о том, что
рентабельность проекта составляет 65% и окупается он за 6 месяцев и 8 дней.
Был получен практический опыт в составлении
бизнес- план, проанализированы различные источники, закреплены знания по
полученным темам, в частности составление и обоснование организационного плана,
расчёт показателей эффективности проекта.
СПИСОК ИСПОЛЬЗОВАННЫХ ИСТОЧНИКОВ
Постановление
Министерства экономики РБ от 31 августа 2005 г. № 158 “ Об утверждении Правил
по разработке бизнес-планов инвестиционных проектов”.
Сайт
для профессионалов ресторанного бизнеса. Начать новый бизнес- [Электронный
ресурс]- <http://www.restorus.com-> Режим доступа: 02. 04.2011.
Как
открыть ресторан. Новости- [Электронный ресурс]- http://www.restorante.com.ru-
Режим доступа: 25. 04.2011.
Организация
ресторанного бизнеса. С чего начать-[Электронный ресурс]-
http://www.openbar.ru- Режим доступа: 03. 04.2011.