Теоретическое исследование и экономическая диагностика форм институционального монополизма

  • Вид работы:
    Курсовая работа (т)
  • Предмет:
    Эктеория
  • Язык:
    Русский
    ,
    Формат файла:
    MS Word
    678,83 Кб
  • Опубликовано:
    2014-11-16
Вы можете узнать стоимость помощи в написании студенческой работы.
Помощь в написании работы, которую точно примут!

Теоретическое исследование и экономическая диагностика форм институционального монополизма

Введение

Актуальность исследования «институционального монополизма» в системе экономических отношений и механизмов его регулирования обусловлена несколькими обстоятельствами. Во-первых, - фундаментальностью проблемы институционального монополизма, деформирующей всю систему социально-экономических отношений в современном обществе на основе бюрократизма и коррупции. Такой формат исследуемой проблемы несет в себе потенциал выхода на решения комплекса теоретических вопросов, связанных с динамикой экономических процессов на долгосрочной траектории общественного развития. Во-вторых, - теоретической неразработанностью проблемы институционального монополизма и механизмов его регулирования в экономической науке. К настоящему времени данная проблематика так и не получила серьезной разработки среди отечественных и иностранных ученых-экономистов. Соответственно остается теоретически незамеченным и практически неурегулированным огромный пласт монополизма, имеющего свои особенные формы и закономерности реализации. Данное обстоятельство также меняет взгляд на классические формы монополизма, которые носят во многом производный характер. В-третьих, - практической значимостью для развития общества решения проблемы институционального монополизма на основе внедрения эффективных механизмов регулирования. Вся история послевоенного «экономического чуда» в Японии и ФРГ, как и неудачи экономических реформ в постсоциалистических странах, подтверждают огромную важность институциональных факторов в развитии экономики.

Цель и задачи исследования: Целью данного исследования является изучение концептуальных основ экономической теории институционального монополизма и механизмов его регулирования. Поставленная цель определяет структуру и характер задач, которые необходимо решить в процессе исследования:

. Определить концептуальные основы исследования институционального монополизма.

. Исследовать экономические модели механизмов регулирования форм институционального монополизма.

. Провести теоретический, модельный анализ закономерностей и особенностей реализации институционального монополизма и классификацию его форм в системе экономических отношений.

. Оценить формы институционального монополизма на уровне Алтайского края.

Объектом исследования являются монополистические процессы в системе экономических отношений институциональной структуры общества Предметом исследования выступает институциональный монополизм в системе экономических отношений,его сущность и формы,а также иханизмы регулирования.

Глава 1. Концептуальные основы экономической теории институционального монополизма

1.1 Институциональный монополизм: истоки трансформации

Двадцатилетний опыт радикальных политических и экономических реформ, затяжных и маловразумительных организационно-управленческих, социально-культурных преобразований актуализируют необходимость его обобщения, извлечения тяжелых и даже жестоких уроков, невзятие которых с историческим фатализмом подвигает общество и страну на унылую дорогу экономической, социально-политической, нравственной беспросветности, раскрашиваемую за счет госбюджетных вливаний плакатами, извещающими электорат о его текущих и грядущих достижениях.

На практике выяснилось, что ни за 500, ни за 5000 дней воздвигнутая неимоверной для мирных дней ценой система управления социально-экономическими процессами не способна обеспечить достижения тех целей, для которых она создавалась. Вместе с тем обнаружилось, что в ходе данного созидания разрушены основные сегменты экономического развития: обрабатывающая промышленность, отрасли машиностроительного комплекса, сельское хозяйство, дорожно-транспортный комплекс, жилищно-коммунальное хозяйство. В подвешенном состоянии оказались здравоохранение и образование, деградировала и превратилась, в значительной части, в служанку всех господ социально-культурная сфера. Отсюда демографическая и поселенческая деградация, коррупция, перерождение правоохранительного и управленческого аппаратов, в конечном счете - социальная трансформация и неуправляемость.[1]

В основе российских социально-экономических преобразований не было и не могло быть сколько-нибудь серьезной, системно разработанной научной базы. Ясно осознавалось лишь то, что необходимо было возродить основы рыночных отношений - частную собственность, либерализм экономических взаимодействий, обеспечить развитие соответствующей инфраструктуры. Но это лишь часть задачи, необходимое, но не достаточное условие для решения основной проблемы - перевода экономики и всей системы социально -экономических отношений на путь развития современного постиндустриального общества. Сложность положения состояла в том, что требовалось осознать необходимость такого качественного скачка своевременно, но он был просмотрен властными структурами в процессах социально-партийных разладов, приватизации, болоте сменяющихся, накладывающихся друг на друга,тихозатухающих,а то и откровенно провальных программ (ЖКХ,МВД, государственного управления и др.).

Речь идет не о тех модернизациях и инновациях, которые должны были последовать незамедлительно после соответствующих призывов и финансирований. Некоторое стихание, приглушение подобных призывов отражает их закономерную и обычную затратно-разубоженную в конечном результате, судьбу Единственно значимым их итогом является рост бюджетных затрат и повышение цен на соответствующие услуги - ЖКХ, МВД, государственное и муниципальное чиновничество.Аналогичные процессы распространяются на неустанно реформируемые сферы образования и здравоохранения, в которых благие устремления и немалые бюджетные траты трансформируются и растворяются в непостижимых изгибах и изворотах безнадежно обюрокраченной системы управления, пристроившегося к ней отгосударственного предпринимательства и теневого бизнеса.

В целом итоги социально-экономического развития страны за последнее двадцатилетие неутешительны. Конечно, социальные имиджмейкеры могут представлять их в любом виде. ВВП в 2011 г. вырос на 4,3%.[11] Впереди только Китай - 9,5%, Индия - 7,8%, США - всего 1,6%. Греция и Япония ушли в минус. Объем золотовалютных резервов- свыше 510 млрд долл. - третье место в мире после Китая и Японии. Достигнут, пусть и небольшой, но профицит государственного бюджета -0,8%. И это при огромных бюджетных дефицитах :США- 9,6%, Япония - 10,3%, Франция - 7,1 %, ФРГ- 4,3% Одновременно председатель Правительства РФ в своем блоге сообщает, что 26,0%населения страны находится за чертой бедности (по европейским нормам). По российским нормам бедность ниже- всего 12,5%. Такой конечный результат экономической деятельности страны, экономика которой систематически подпитывается колоссальными поступлениями (до 50% доходов государственного бюджета) от продажи нефтегазового сырья на внешнем рынке, не может быть признан удовлетворительным. То, что на этом фоне в стране появилось более сотни миллиардеров, является нестолько успокаивающим обстоятельством, сколько диагнозом неблагополучия.

Приведенные предварительные рассуждения, получают рабочий смысл в двух аспектах. Во-первых, необходимо в полной мере осознать неудовлетворительность сформировавшегося положения, понять, что некоторые меры, пусть и радикальные, не столько решают, сколько вырывают из общей системной связи отдельные, пусть и актуальные, социально-экономические проблемы. Для обеспечения позитивного социально-экономического развития требуется не просто повышение качества решений, их исполнения и т.д., а необходимы принципиальные изменения в построении институциональной системы общества.

Во-вторых, имеет существенное значение критическое осмысление недостаточности предлагаемых альтернативных переустройств, основывающихся на чисто протестных посылах, но далеких от осознания необходимости фундаментального совершенствования общественных отношений, отвечающие требованиям и критериям позитивно развитого социума.

Общие контуры сформированной социально-экономической системы трансформационного общества России обозначены на рисунке.

Рис.1 Институциональные взаимодействия в сформировавшейся экономической системе РФ[3]

Исходным моментом, формирующим характер социально-экономической системы трансформационного общества, является конкурентный рынок. Хотя он занимает не более 10-12% экономического пространства, в формационно-генезисном смысле обменно-рыночные отношения проникают во все сферы жизнедеятельности общества, охватывают его техноструктуру, отрасли социальных услуг и трансакций, процессы, связанные с присвоением и отчуждением труда, а также специально-институциональную систему, включающую органы государственного управления и общественных образований.

Особое место в экономике трансформационного общества занимают отношения между капиталом и трудом. Следует отметить, что изменения, происходящие в них в современных постиндустриальных экономиках, совершенно противоположны научным прогнозам марксизма. Вместе с тем остается неукоснительно верным положение К. Маркса об определяющей роли этих отношений в экономической системе общества. Более того, их конкретное содержание, характер являются важнейшим критерием цивилизованности, эффективности экономической организации общества. Рассматриваемая в этом аспекте сложившаяся система отношений между наемным трудом и капиталом в российской экономике не только не дает оснований обнаружения хотя бы незначительного прогресса, но, напротив, свидетельствует о явной деградации. Предпосылки неравенства в положениях продавцов и покупателей на рынке труда подробно исследовались не только в марксизме, но и в экономической неоклассике .[6] Как правило, покупатель на этом рынке относительно немногочислен в сравнении с субъектами предложения, а на отраслевых и региональных рынках часто выступает в единственном числе, он организован, располагает ресурсами капитала и времени, следовательно, имеет возможности производить выбор, определять условия отношений. Напротив, продавец рабочей силы неорганизован, малоподготовлен к сделке, конкурентоспособен в своем составе, необеспечен и в значительном числе случаев вынужден заключать экономические, социально, а часто и морально, не привлекательные контракты. Эти объективные факторы, усиленные недостаточным спросом на рынке труда, являются основанием для формирования пронизывающего всю современную российскую экономику особого вида монополизма, который определен как вертикальный .[4]Широко обсуждаемые и утверждаемые в длительных дебатах нормы трудового законодательства в создавшихся условиях служат односторонне трактуемым лабиринтом, по которому без особых затруднении проходят негативные следствия данного вида монополизма: урезания и вычеты в оплате труда, конвертная заработная плата, нарушения режима труда, непредоставление отпусков, расширение зон обслуживания, произвольные сокращения и увольнения работников и т.д. Принято считать, что приведенные формы монополизма в основном изучены экономической наукой, выработаны соответствующие механизмы, противодействующие монопольному диктату, более того, определены даже некие позитивные моменты монополизации.

Но экономическая практика обнаруживает, что применение известных форм антимонопольного регулирования не дает ожидаемых результатов. В силу всеохватности монополизации социально-экономических процессов это положение является определяющим в российской экономике. По нашему мнению, именно неучет уровня и характера монополизации экономики СССР является основным камнем преткновения российских экономических реформ. Особенная «непотопляемость», гибкость и живучесть, всеохватность монополизма в российской экономике в решающей степени предопределены наличием получившей сугубое развитие его особой, наиболее топкой и всепроникающей формы, которая определена как институциональный монополизм . В своей завершенной форме институциональный монополизм представляет собой узурпацию ресурсов влияния на процессы взаимодействий субъектов общественных отношений. [3]

.2 Теоретические основы исследования институционального монополизма

В настоящее время проблема монополизма в системе экономических отношений по глубине исследованности напоминает «айсберг». Его «видимая», операционно-экономическая часть по большей мере уже исследована и на концептуальном уровне разработаны многие механизмы антимонопольного регулирования. При этом другая, наиболее важная и емкая его составляющая, в виде монополизма публично-властных структур остается не только не изученной, но и априори относится многими специалистами к неэкономической проблематике с вытекающими из этого последствиями.

Во-первых, многие формы монополизма остаются незамеченными и, соответственно, не достаточно глубоко исследованными. Разработанные к настоящему времени концепции монопольной структуры рынка даже теоретически не допускают возможности монополизма со стороны самих публично-властных структур. Таким образом, не учитывается и не регулируется процесс функционирования и разрастания более опасных, с позиции социально-экономического развития, форм монополизма, которые как раз и поражают институты, воспроизводя огромные потери и негативы в обществе.

Во-вторых, традиционные методы антимонопольного регулирования, касающиеся некоторых аспектов антиконкурентной деятельности публично-властных структур, как правило, неэффективны. К настоящему времени не решены удовлетворительно проблемы по пресечению антиконкурентной деятельности органов власти и управления на различных уровнях.

Монополия публично-властных структур в институциональной системе общества обусловлена наличием ряда экономических предпосылок.

Во-первых, институциональная структура общества, как система, обладает экономическими характеристиками общественных благ. Такой вывод можно сделать, приняв во внимание то обстоятельство, что институциональные трансакции на основе коллективного действия формируют посредством норм «правил игры» порядок взаимодействия субъектов социально-экономических интересов. Институциональный порядок как раз и обладает экономическими свойствами общественного блага.

Во-вторых, функция формирования и спецификации норм «правил игры» подвержена сильной монополизации со стороны государственных образований. Таким образом, государство обладает сравнительными преимуществами в осуществлении потенциала насилия, которое делает его основным гарантом в политической сфере и концентрирует в его компетенции различные функции власти и управления.

В-третьих, экономическим фактором, обусловливающим существование монополии публично-властных структур, выступает наличие эффекта возрастающей отдачи от масштаба. Иными словами, одним из условий появления монополии публично-властных структур является экономическое свойство, в традиционной теории структуры рынка относящееся к главным характеристикам так называемой естественной монополии. Естественная монополия представляет ситуацию, когда эффект масштаба настолько велик, что одна организация может снабжать благом весь рынок, имея более низкие издержки на единицу продукции, чем ряд конкурирующих организаций.

В-четвертых, функция формирования норм «правил игры» подвержена концентрации в рамках публично-властных структур по причине необходимости снижения совокупных трансакционных издержек в институциональной системе общества. Такая цель достигается посредством вертикальной интеграции, то есть интернализации данных видов деятельности. Экономические эффекты в виде снижения трансакционных издержек от вертикальной интеграции реализуются в публично-властных структурах, построенных на принципах монопольной субординации.

В-пятых, наличие высоких барьеров входа-выхода на институциональных рынках обеспечивает существование монополии публично-властных структур. Данные барьеры выступают в виде больших безвозвратных затрат различных ресурсов инвестиционного характера, имеющих к тому же длительные сроки окупаемости при высоких значениях риска.

Институциональный монополизм выражается в доминировании определенных субъектов социально-экономических интересов посредством контроля над воспроизводством норм «правил игры» в обществе. Таким способом институциональный монополизм узурпирует институциональные трансакции, обеспечивающие формирование и спецификацию норм «правил игры» в обществе, с целью извлечения институциональной ренты , что характеризует его сущность. Институциональный монополизм может устанавливаться в разных сферах, органах, отраслях, территориях, профессиях и организациях.

Воспроизводство институционального монополизма в системе экономических отношений имеет свои особенности, которые проявляются при сравнении признаков функционирования публично-властных структур с характеристиками субъектов так называемых классических монополий, действующих на «традиционных», товарных и финансовых рынках.

Первая, - публично-властные структуры, в отличие от бизнес-структур, характеризуются нормативным закреплением монопольной формы предоставления разного рода институциональных благ, а значит и на порядок более сильной гарантированностью своих функций на уровне конкретных органов. И никакие методы контроля в системе сдержек и противовесов не могут отменить этой ее природы. Причем экономические отношения между самими публично-властными структурами разных ветвей строятся по принципу двусторонней монополии, формируя у них стратегии кооперативных игр.

Вторая, - по своей организационной структуре публично-властные субъекты не могут не носить иерархический характер. Практика последних десятилетий показывает повышение эффективности государственных служб при развитии в них плоских и горизонтальных принципов организации по аналогии с бизнесом. Такими примерами являются результаты реформ госслужбы в Великобритании, Новой Зеландии и США. Однако иерархическое строение публично-властных структур является нормальной их чертой по причине необходимости распределения задач, полномочий и ответственности, а также компетенции и квалификации по различным областям и уровням управления.

Третья, - главным методом осуществления публично-властными структурами своих функций является администрирование. Преобладание административных технологий управления в публично-властных структурах связано с отсутствием полноценных возможностей для применения социально-экономических методов в сфере, выведенной из рыночной среды, и необходимостью более четкой и жесткой направленности управленческих воздействий, что обусловлено важностью и масштабами решаемых задач. Отсюда можно заключить, что и административные функции публично-властных структур тоже являются их свойственным признаком.

Четвертая, - принцип назначаемости кадров в публично-властных структурах, являясь механизмом и источником формирования человеческих ресурсов, также несет в себе важное свойство любого органа публичной власти. Принцип назначаемости легко камуфлируется и встраивается в систему экзаменов и конкурсов на вакантные должности, которые при этом начинают выполнять всего лишь служебную роль для власть предержащих. Это ведет к ухудшающему отбору акторов и разрастанию патронажа во взаимоотношениях чиновников, все дальше отдаляя их от реального влияния принципалов и клиентов.

Пятая, - ярким признаком публично-властных структур является формализация процедур управления и критериев оценки эффективности их функционирования в институциональной системе общества.

Шестая, - в публично-властных структурах сфера и процедуры демократииобъективно должны быть ограничены, что связано с особенностями режима принятия и реализации управленческих решений. Во-первых, использование методов демократии в деятельности исполнительных публично-властных структур сопряжено с чрезвычайно высокими трансакционными издержками, что в условиях решения социально значимых и стратегических задач развития общества является неэффективным. Поэтому принцип демократизма в деятельности публично-властных структур должен конвергироваться.

Седьмая, публично-властные структуры в сравнении с бизнес- структурами являются более специфицированными и закрытыми, что усиливает объективно существующие проблемы информационной асимметричности, шумов, дефицита и избытка информации, как между их агентами, так и в процессе коммуникаций с принципалами и клиентами.

В результате формируется благоприятная среда для развития оппортунизма, фрирайдерства и рентоориентированного поведения акторов публично-властных структур.

Восьмая, - агенты публично-властных структур, в отличие от субъектов бизнес-структур, обладают большими возможностями влиять на бюджет для своей деятельности по причине сложности выявления спроса на институциональные блага. Экономическим ограничением деятельности публично-властных структур, со стороны избирателей, является условие, определяющее максимальный уровень бюджета и выпуска, когда уравниваются общие издержки и общие выгоды.

Системное взаимодействие рассмотренных свойств публично-властных структур формирует благоприятную почву для реализации экономических механизмов институционального монополизма в обществе, порождающих рост бюрократизма и коррупции. Таким образом, для воспроизводства институционального монополизма публично-властных структур в системе экономических отношений существуют фундаментальные предпосылки, имеющие глубинные и устойчивые источники.[10]

.3 Принципы регулирования институционального монополизма

Для обеспечения методологической основы разработки экономических моделей механизмов регулирования форм институционального монополизма сформулированы специальные принципы. При этом необходимо учитывать несколько важных требований, предъявляемых как к качеству формулируемых положений, так и к их взаимосвязи между собой. Недооценка этих факторов может привести к тому, что выявленные принципы будут не соответствовать поставленным задачам регулирования, либо противоречить друг другу. Поэтому при их вычленении необходимо использовать подход, который учитывал бы, с одной стороны, задачи регулирования, а с другой, способы, которыми оно осуществляется.

В качестве задач регулирования институционального монополизма выделяют следующие: адекватность, эффективность и измеримость.

Что касается способов регуляции институционального монополизма, то в теории систем все методы традиционно подразделяются на организационные меры и самоорганизующиеся.

Способы регуляции

Задачи регуляции


Адекватность

Измеримость

Эффектность

Организация

Спецификация институтов

Оценка институционального монополизма

Интернализация институциональных экстерналий

Самоорганизация

Институциональное разнообразие

Независимая экспертиза институциональных проектов

Институциональная конкуренция

Рис 2. Принципы регулирования институционального монополизма[10]

Принцип спецификации институтов. Решение вопроса спецификации институтов будет способствовать целевому и эффективному регулированию форм институционального монополизма. Без сегментирования институтов с обязательной дивергенцией их на чистые формы, механизмы регуляции, разработанные для одних форм монополизма, могут выступать в виде «лекарств» от других «болезней» или вообще при их отсутствии повышать лишь общий уровень трансакционных затрат в экономике и создавать дополнительный фон для закрепления институциональных деформаций. Такой результат станет возможным, если предлагаемые механизмы регулирования форм институционального монополизма не будут учитывать закономерности и особенности экономических режимов функционирования субъектов в различных институтах общества. Невыдержанность принципа четкой спецификации институтов приводит к смешению у субъектов различных институциональных функций, что вызывает их скоротечную монополизацию, бюрократизацию и коррупцию.

Принцип оценки институционального монополизма. Учитывая экономико-трансакционный режим функционирования публично-властных структур, следует отметить несколько обстоятельств, показывающих неадекватность использования традиционных показателей оценки уровня концентрации рыночной власти в качестве индикаторов институционального монополизма.

Во-первых, традиционные показатели оценки уровня концентрации рыночной власти не улавливают специфический объект институциональной монополизации. Рассматриваемые показатели концентрации рынка, оценивая степень сосредоточения выпуска товаров под контролем определенных субъектов, неспособны адекватно диагностировать проблему институционального монополизма.

Во-вторых, невозможность адекватной оценки традиционными показателями степени институциональной монополизации. Применение данных показателей не имеет смысла и способно лишь подтвердить и без того объективные и естественные закономерности концентрации функций формирования и спецификации институциональных благ в виде различных норм «правил игры» в рамках конкретных публично-властных структур

В-третьих, ограниченность исключительно количественного анализа институционального монополизма, свойственного классическому подходу. Такой подход не учитывает в полной мере сущностную сторону и экономические механизмы процессов монополизации. Тем более это важно в сфере публично-властных структур, функционирование которых по своей экономической природе изначально менее подвержено количественной оценке.

Для разработки показателей оценки форм институционального монополизма необходимо учитывать экономическую сущность монополизма публично-властных структур. В качестве таких измерителей предлагается использовать разработанные индикаторы оценки форм институционального монополизма и методы их расчета: индекс концентрации функций власти, коэффициент участия в принятии институциональных решений, коэффициент локализации административных трансакций.

Принцип институционального разнообразия. Данный принципсвязан с необходимостью обеспечения свободы и гибкости выбора и использования наиболее адекватных институциональных механизмов регуляции в обществе.

Рис 3. Сравнительные характеристики способов организации трансакций

Принцип институционального разнообразия, будучи встроен в механизмы регулирования форм институционального монополизма, поможет при наличии множества мобильных институциональных альтернатив регуляции подобрать наиболее эффективные контрактные отношения и способы организации трансакций в институциональной системе общества.

Принцип независимой экспертизы институциональных проектов.

Такое решение позволит сделать более эффективными законодательство и формальную юридическую практику. Зачастую нормотворческая инженерия не замечает необходимость правового урегулирования/нерегулирования определенных общественных отношений, либо делает неэффективными те или иные нормативно-правовые акты, изначально закладывая в них не работающий механизм реализации норм и не учитывая систему стимулов.Многие либерталы считают целесообразным изменить процедуры принятия институциональных решений на основе публикации законопроектов для их свободного обсуждения и анализа в терминах «издержки» - «выгоды». Это предполагается сделать в целях оказания дисциплинирующего воздействия на власти и отвергнуть несовершенные законопроекты еще до их принятия, что также сэкономит бюджетные средства .[8]

Принцип институциональной конкуренции. Доминирующее положение на институциональном рынке приобретают те институты и субъекты, которые способны минимизировать трансакционные издержки в обществе и эффективно решать проблему «безбилетника» в ходе коллективных действий. Институциональная конкуренция фокусирует внимание на эффективности функционирования публично-властных структур и механизмов институциональной регуляции. На этой основе производится отбор наиболее эффективных субъектов и способов организации трансакций.

Основной вопрос институциональной реформы в современной России состоит в том, - каким образом обеспечить институты заинтересованными акторами, которые были бы способны и мотивированы на реализацию эффективных механизмов регулирования, блокируя при этом негативные трансформации в обществе. Разрешение фундаментального вопроса связано с просвещением критической массы населения, колоссальными затратами ресурса времени и использованием накопленного в стране и за рубежом опыта реформ в сочетании с его теоретическим объяснением. Названные условия будут способствовать формированию социального капитала коллективного действия на основе развития знания, доверия и опыта, необходимых в реализации позитивных институциональных трансформаций, у нового поколения акторов, которые должны быть репрезентативны и объединены по принципу малых групп, преодолевая оппортунизм «безбилетников».[10]

Глава 2. Теоретическое исследование и экономическая диагностика форм институционального монополизма

.1 Политический монополизм

Политический монополизм формируется в институтах власти, упорядочивающих отношения принуждения-подчинения и имеющих общую компетенцию на всей территории государства. Сущность политическою монополизма проявляется в концентрации нормоустанавливающих, нормоинтерпретирующих и нормоисполняющих функций власти в пределах компетенции конкретного органа или субъекта.

Графический анализ политического монополизма построен на основе сравнительной микроэкономической модели «бюро», разработанной А. Заостровцевым. Посредством монополизации властных полномочий на основе концентрации политических функций в рамках конкретного субъекта власти обеспечивается доступ и контроль над различными источниками рентных потоков: процедурная рента, бюрократическая рента, конвертационная рента, лоббистская рента монопольного и дискриминационного рода.

Этим закладываются дополнительные ресурсы и привилегии под расширение квазиполномочий, обеспечивающих политическое доминирование. В ситуации политического монополизма объектом монополизации выступают функции власти. Политический монополизм отражается в концентрации всех трех функций власти в пределах компетенции одного субъекта - органа, группы или статусной позиции. В качестве индикатора политического монополизма разработан и предложен индекс «концентрации функций власти» в рамках того или иного политического субъекта


где IP - индекс концентрации функций власти; fpi - i-я функция власти, которой обладает (принимает значение «1») или не обладает (принимает значение «0») определенный политический субъект; число «3» соответствует трем функциям власти (нормо - устанавливающая, интерпретирующая и исполняющая). Для оценки уровня политического монополизма предложена следующая шкала: при IP = 1 - естественная централизация определенной функции власти политическим субъектом; при IP = 2 - доминирование политического субъекта (имеет место монополизация одной дополнительной функции власти); при IP = 3 - монополизация функций власти политическим субъектом.

При этом объектом оценки политического монополизма выступает именно концентрация функций власти, а не функций управления

Для оценки уровня политического монополизма в Алтайском крае был использован индикатор «индекс концентрации функций власти». В качестве объектов анализа были выбраны органы институтов управления и власти, осуществляющие свою деятельность на территории Алтайского края. Репрезентативная выборка была сформирована на основе включения структур власти и управления, в компетенцию которых входят нормоустанавливающие, нормоинтерпретирующие и нормоисполняющие функции на федеральном, региональном и местном уровнях. Всего было выбрано 103 структуры, из которых 46 составили территориальные структуры федеральных органов власти, 31 - органы власти

Алтайского края и 26 - структуры местного самоуправления г. Барнаула (2010 г.). Индекс «концентрации функций власти» (IP) по подавляющему большинству структур (57%) составил «3» (соответственно: «2» - 16%, «1» - 27%), что характеризует институты власти Алтайского края и г. Барнаула как значительно монополизированные. Более низкий уровень политической монополизации наблюдается в территориальных структурах федеральных органов власти и управления, в которых данные функции более четко разделены и специфицированы в соответствии с федеральным законодательством.

.2 Инсайдерский монополизм

Инсайдерский монополизм реализуется в институтах самоуправления, определяющих локальные отношения власти и имеющих ограниченную компетенцию на уровне конкретной местности и конкретных групп. Сущность инсайдерского монополизма проявляется в концентрации организованными группами и субъектами специальных интересов права принятия институциональных решений в муниципалитетах и других структурах самоуправления. На основе инсайдерского монополизма в институтах самоуправления формируется инсайдерская рента, источником получения которой служит информационная, организационная, экономическая и силовая асимметричность статусов участников локальныхтрансакций.

Для графической интерпретации инсайдерского монополизма были выбраны микроэкономические модели «рынка институтов» (разработана С. Малаховым) и «трагедии общинной собственности» (разработана Г. Хардиным).

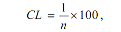
На уровне локальных юрисдикций и организаций существуют благоприятные условия для реализации эффекта ускоренного образования инсайдерских групп. Текущее обстоятельство обусловлено тем, что при неисключаемости из потребления свойство неконкурентности в потреблении коллективных благ институционального типа выполняется только до определенного момента, после чего проявляется тенденция к росту их относительной ограниченности. Всевозрастающая дефицитность полезности от коллективных благ институционального типа способна генерировать образование различного рода инсайдерских групп лоббистской направленности, доминирующих в социально-экономической системе на основе рентоискательства в виде поиска различных привилегий и льгот: процедурная рента, бюрократическая рента, конвертационная рента, лоббистская рента монопольного и дискриминационного рода. Являясь субъектами юрисдикции и/или организации, такие группы имеют реальные стимулы к перераспределению и защите ренты, формируя коррупционный и бюрократический потенциал негативных институциональных трансформаций. Объектом инсайдерской монополизации в институтах самоуправления является процесс принятия управленческих решений. Инсайдерский монополизм проявляется в концентрации функции принятия институциональных решений в пределах компетенции одного субъекта - органа, группы или статусной позиции. В качестве индикатора инсайдерского монополизма предлагается коэффициент «участия в принятии институциональных решений» в рамках того или иного института самоуправления


где CM - коэффициент участия в принятии институциональных решений (в %); I - число субъектов, имеющих реальные полномочия в принятии институциональных решений на определенной территории-юрисдикции и/или в группе института самоуправления (инсайдеры); n - общее количество субъектов конкретной территории-юрисдикции и/или группы института самоуправления, имеющих формальные полномочия в принятии институциональных решений. Для оценки уровня инсайдерского монополизма предложена следующая шкала: при CM = 100% - полная конкуренция в процессе принятия институциональных решений на определенной территории-юрисдикции и/или в группе; при CM = от 50% до 100% - доминирование квалифицированного большинства; при CM = 50% и до 1 субъекта - доминирование инсайдерских групп и субъектов. Оценка степени инсайдерского монополизма в Алтайском крае основывается на использовании индикатора «коэффициент участия в принятии институциональных решений». В качестве объектов анализа были выбраны 26 структур институтов самоуправления муниципального образования г. Барнаула (2010 г.).

Коэффициент «участия в принятии институциональных решений» в конкретных сферах для всех обследованных структур составил CM = менее 1%, что характеризует органы институтов местного самоуправления как полностью монополизированные. Население данных муниципальных территорий, за исключением выборов и референдумов, фактически лишено возможности участвовать в принятии институциональных решений местного значения. Реальное функционирование институтов местного самоуправления соответствует теории государственного самоуправления, разработанной Л. Штейном и Р. Гнейстом.

.3 Административный монополизм

Административный монополизм реализуется в институтах трансакционной инфраструктуры, регулирующих административные трансакции. Сущность административного монополизма проявляется в концентрации права спецификации и рационирования административных трансакций в пределах компетенциитого или иного бюро в определенной сфере и на определенной территории-юрисдикции - по квалификации, регистрации, лицензированию, сертификации т. д. Административная концентрация объясняется целью исключить издержкидублирования и принятия неверных решений.

В качестве графического инструмента анализа административного моно полизма была использована сравнительная микроэкономическая модель «бюро», разработанная А. Заостровцевым.

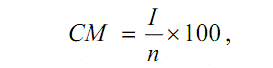
Органы институтов трансакционной инфраструктуры производят специфические «правила игры» в виде административных решений. Данные институциональные блага обладают комплексом свойств, характеристика которых раскрывает возможности их потенциального использования в качестве средств создания негативных административных барьеров. На этой основе извлекается институциональная рента в ее административной форме и конкретных видах проявления в зависимости от способов изъятия: процедурная рента, бюрократическая рента, конвертационная рента, коррупционная рента монопольного и дискриминационного рода. В институтах трансакционной инфраструктуры объектом административной монополизации выступает право выдачи разрешения или допуска к институциональному клубу в пределах конкретной территории-юрисдикциии или группы. Административный монополизм проявляется в концентрации функций спецификации и рационирования административных трансакций в пределах конкретной территории-юрисдикции или организации. В качестве индикатора административного монополизма разработан и предложен коэффициент «локализации административных трансакций»:


где CL - коэффициент локализации административных трансакций (в %); n общее количество субъектов-операторов, имеющих право специфицировать и рационировать административные трансакции в сфере конкретного института трансакционной инфраструктуры.

Для оценки уровня административного монополизма предложим следующую шкалу: при CL = не более 1% - конкурентный рынок административных трансакций;

при CL = от 1% до 5% - слабое доминирование на рынке административных трансакций;

при CL = от 5% до 50% - сильное доминирование на рынке административных трансакций;

при CL = 100% - полная монополизация рынка административных трансакций.

Оценка уровня административного монополизма в Алтайском крае проводилась на основе использования показателя «коэффициент локализации адмиистративных трансакций». В качестве объектов анализа были выбраны струкуры институтов трансакционной инфраструктуры: органы федерального (29), регионального (27) и местного (19) уровней (на примере г. Барнаула), а также коммерческие и некоммерческие организации - нотариусы, аудиторы, оценщики, страховые компании и образовательные учреждения (2010 г.). Коэффициент «локализации административных трансакций» для подавляющего числа субъектов (94%) составил CL = 100%, что говорит о высокой степени административной монополизации. Исключения составили некоторые бизнес-структуры и некоммерческие организации, осуществляющие спецификацию и рационирование административных трансакций (CL = не более 1%).

.4 Статусный монополизм

Статусный монополизм утверждается в институтах избирательства, упорядочивающих отношения выбора-назначения на статусные позиции в виде государственных, муниципальных и организационных должностей. Непосредственными, сущностными пользователями институциональных статусов выступают субъекты, претендующие на те или иные должности. Формальными потребителями являются вес члены (избиратели), общества или его отдельной юрисдикции, имеющие проблему асимметричности информации во взаимодействии со своими агентами-исполнителями и подверженные воздействию эффекта рационального неведения. Сущность статусною монополизма в институтах избирательства проявляется посредством концентрации статусных позиций у определенных субъектов - конкретных личностей и групп, позволяя им формировать рентные доходы. Институциональная рента в условиях монополизма институтов избирательства имеет форму статусной ренты, так как источником ее возникновения выступают процессы избрания, назначения и контрактации на статусные должности.

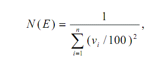
Объектом статусного монополизма в институтах избирательства выступает статусная(ые) позиция(и) посредством концентрации у определенных субъектов - конкретных личностей и групп. Наиболее известным индикатором электоральной конкуренции является показатель «эффективное число партий» (N) или «кандидатов» (E), предложенный М. Лааксо и Р. Таагеперой и рассчитываемый по формуле:


где vi - доля голосов (в %), полученных каждой i-й партией или кандидатом на выборах. N - отражает гипотетическое число партий равного размера, при котором воздействие на фрагментацию системы было бы таким же, что и при реально существующих разнокалиберных партиях. N составляет 1, если присутствует только одна значимая партия, и стремится к бесконечности, когда их бесконечно много.

В условиях представительной демократии для оценки статусного монополизма может быть использован индикатор, получивший название «амплитуда искажений»: определяется как сумма всех отличий долей полученных партиями голосов от долей мест, полученных этими партиями в парламенте. В целях оценки уровня статусного монополизма в Алтайском крае были применены следующие показатели: «эффективное число партий» и «амплитуда искажения» на выборах депутатов Алтайского краевого Законодательного Собрания. Объектами анализа в процессе оценки статусного монополизма выступили статусные позиции в институтах избирательства. Расчет показателей статусного монополизма проведен на основе информации о выборах депутатов Алтайского краевого Законодательного Собрания - АКЗС (2 марта 2008 г.).

Со вступлением в силу ст. 18, п. 1 ФЗ РФ «Об общих принципах организации законодательных (представительных) и исполнительных органов государственной власти субъектов РФ», касающейся назначения глав администраций субъектов РФ, народ лишился права непосредственно их избирать, что безусловно ведет к относительной статусной монополизации данных должностей. Эффективное число партий на выборах 2 марта 2008 г. депутатов в АКЗС составило 2,8 электоральных и 2,76 парламентских групп. Такой результат позволяет говорить о наличии нескольких влиятельных групп претендентов на статусные позиции в регионе. По состоянию на 7 марта 2008 г. в Алтайское краевое Законодательное Собрание было избрано 68 депутатов, из которых по партийным спискам представлено 34. Для сравнения: на выборах в Алтайский краевой Совет народных депутатов (АКСНД) 14 марта 2004 г. эффективное число партий составило 5,1 электоральных и 3,5 парламентских групп. Амплитуда искажения по всем партиям составила всего 3,77%. Следует учитывать, что, в связи с отсутствием графы «против всех», избиратели, желающие подать свои голоса против всех краевых списков кандидатов, оказались лишенными этого права (для примера, это около 9,58% голосов избирателей на выборах в АКСНД 14 марта 2004 г.). На этой основе сделан вывод, что в Алтайском крае, как и в целом по России, наблюдается сужение пространства конкуренции за статусные позиции. Данный процесс сопровождается выстраиванием жесткой вертикали власти и укреплением административного ресурса «партии власти».[10]

Заключение

Сегодня в обществе все более осознается тот факт, что в начале движения от тоталитарного режима к свободному, демократически организованному порядку, основанному на рыночных силах и принципах права, акцент был сделан на однобокое раскрепощение социальной самоорганизации при неадекватном, поверхностном и декларативном формировании институциональной среды как «сверху», так и «снизу». Такое положение во многом обусловило ограниченность социально - экономических реформ, а также содействовало культивированию мощных кланово-корпоративных структур в форме разнообразных и глубоко укоренившихся монополий.

Главная опасность сложившейся ситуации состоит в том, то монополизм, не будучи должным образом урегулированным, сужает социальную систему и не дает возможности реализовываться экономическому потенциалу развития общества. Особенно отметим, что негативные тенденции обусловлены в первую очередь малоизученным, тотальным и многоликим институциональным монополизмом, который к тому же развивается в трансформирующемся постсоветском пространстве. Поэтому роль институционального монополизма как одного из главных стопоров, барьеров реформ и роста благосостояния населения нашей страны принадлежит ему по праву.

В настоящее время ни в теории, ни на практике так и не разработана проблема институционального монополизма публично- властных структур в системе экономических отношений, влияющая на благосостояние общества и эффективность процессов реформирования российской экономики. Традиционные подходы к вопросу антимонопольной политики, которые выработаны на основе экономического анализа , предложенного в классических концепциях структуры рынка, изначально рассматривали лишь узкий круг процессов и форм монополизма. Данные концепты в свое время были разработаны для решения проблемы монополизма в сфере, в которой осуществляют свою деятельность бизнес - структуры, ориентированные на извлечение прибыли. Появление в современном антимонопольном и конкурентном законодательстве прогрессивных норм, регулирующих антиконкурентную деятельность публично-властных структур, до сих пор носит ограниченный и не вполне адекватный характер.

Поэтому для преодоления проблемы монополизма требуется развитие теории монополии на основе комплексного исследования всей институциональной системы общества, выявляя закономерности экономических режимов функционирования различных институтов, а соответственно, и учитывая особенности процессов монополизма в данных сферах.

Проведенное исследование позволяет сформулировать целый ряд теоретический положений, аналитических выводов и практических рекомендаций по проблеме институционального монополизма в системе экономических отношений и механизмам его регулирования. Основные научные результаты исследования.

. Теоретически обоснованы экономические предпосылки монополии публично-властных структур.

. Разработаны и обоснованы индикаторы и методы оценки форм институционального монополизма, которые учитывают сущность и особенности их реализации в системе экономических отношений.

. На основе предложенных индикаторов проведена оценка форм институционального монополизма на уровне конкретного региона( по материалам Алтайского края)

. Разработаны и обоснованы экономические модели механизмов регулирования форм институционального монополизма.

инсайдерский монополизм политический административный

Список литературы

1. Аузан А.(ред.) (2006) Институциональная экономика: новая институциональная экономическая теория. 416 с.

. Вестник Алтайской Академии Экономики и Права. Выпуск 8.2004.

. Вестник Алтайской Академии Экономики и права. Выпуск 3(26).2012. 7-11с.

. Губарь А.И.(2006) Институты и механизмы экономического равновесия.

. Гелбрейт Дж. Экономические теории и цели общества // Антология экономической мысли. М., 2008. С. 517.

. Маршалл А. Основы экономической науки// Антология экономической мысли. М., 2008.

. Могилевский В.Д (1999). Методология систем: вербальный подход / В.Д. Могилевский. - М.: ОАО «Издательство Экономика».

. Нуреев Р.М. (2003b). Теория общественного выбора. Глава 9. Экономика бюрократии/ Р.М.Нуреев// Вопросы экономики. - №4.- С.151-153

. Самсонов Р.А Институциональный монополизм: сущность и особенности регулирования // Вопросы экономики.2007.№1

. Самсонов Р.А. Институциональный монополизм в системе экономических отношений. 2012

Похожие работы на - Теоретическое исследование и экономическая диагностика форм институционального монополизма

 

Не нашли материал для своей работы?
Поможем написать уникальную работу
Без плагиата!
Без нейросетей!