Анализ уровня образования населения как фактора повышения благосостояния нации

  • Вид работы:
    Курсовая работа (т)
  • Предмет:
    Эктеория
  • Язык:
    Русский
    ,
    Формат файла:
    MS Word
    100,5 Кб
  • Опубликовано:
    2014-12-16
Вы можете узнать стоимость помощи в написании студенческой работы.
Помощь в написании работы, которую точно примут!

Анализ уровня образования населения как фактора повышения благосостояния нации















Курсовая работа

Анализ уровня образования населения как фактора повышения благосостояния нации

Содержание

Введение

Глава 1. Взаимосвязь уровня образования и уровня доходов населения в национальной экономике

.1 Образование как фактор ускорения экономического роста: концепция человеческого капитала

.2 Образовательный фактор в экономике развитых стран мира

Глава 2. Анализ состояния образовательных рынков России и его влияние на благосостоянии населения

.1 Состояние системы высшего образования России

.2 Рыночная трансформация системы высшего образования России

.3 Экономика знаний - новое направление экономической науки

Заключение

Список используемых источников и литературы

образовательный рынок доходы человеческий капитал

Введение

Для мировой экономики вопрос об основных факторах экономического роста является актуальным, так как, несмотря на то, что многие страны достигли хорошего уровня благосостояния, межстрановый разрыв в уровне доходов по-прежнему очень высок.

Развитие технологий влечет за собой усиление роли человеческого капитала, так как только при наличии квалифицированной рабочей силы государство может быстрее внедрить все нововведения, при помощи которых экономика может эффективно функционировать в современных условиях. Исходя из этого, при анализе основных факторов роста экономики, необходимо учитывать и этот показатель. Помимо этого, проведенные статистические исследования показывают, что все больше повышается вклад в экономический рост совокупной производительности факторов, которая показывает уровень научно-технического прогресса, и как следствие, зависит от образования.

Одной из основных задач современной экономической науки является поиск методов сокращения межстрановой дифференциации доходов и преодоление бедности в менее развитых странах. Для того чтобы дать ответ на вопрос, в каком направлении необходимо вести экономическую политику, целью которой является повышение доходов на душу населения, необходимо оценить значение для экономики разных факторов, одним из которых является уровень образования. Исходя из этого, научные исследования, которые направлены на изучение уровня образования населения как фактора повышения благосостояния нации, являются актуальными.

К теоретическим и научно-методическим работам по этой проблеме относятся исследования таких авторов как Т. Шульц, Г. Беккер, Э. Денисон, Л. Туроу, П. Друкер, Дж. Стиглиц, В. Иноземцев, Ю. Яковец, Б. Мильнер, Н. Римашевская, Г. Лукин, которые внесли большой вклад в развитие теории человеческого капитала и роли образования в развитии экономики.

Целью на писания данной курсовой работы является исследование уровня образования населения как фактора повышения благосостояния нации.

Предмет исследования - уровень образования в качестве фактора экономического роста

Задачи:

исследовать взаимосвязь уровня образования и уровня доходов населения в национальной экономике, в частности, рассмотреть образование в качестве фактора ускорения экономического роста: концепцию человеческого капитала, а так же образовательный фактор в экономике развитых стран мира

провести анализ состояния образовательных рынков России и его влияние на благосостоянии населения, а именно, проанализировать состояние системы высшего образования России, исследовать рыночную трансформацию системы высшего образования России, а так же экономику знаний - новое направление экономической науки.

Глава 1. Взаимосвязь уровня образования и уровня доходов населения в национальной экономике

1.1 Образование как фактор ускорения экономического роста: концепция человеческого капитала

Современный научно-технический прогресс повлек за собой существенные изменения материально-технических условий производства и жизни, но так же еще одним не менее важным его результатом стало коренное изменение, которое произошло в структуре, содержании и характере запаса знаний, навыков, опыта рабочей силы. Усложнение производства, расширение потока научно-технической информации, осваиваемой в процессе массового производства продукции, повлекли за собой перелом в значимости образования для развития производства. До тех пор пока производство удовлетворяло потребности в рабочей силе за счет неквалифицированных работников, образование было слабо связано с экономикой.

До начала ХХ века система подготовки немногочисленного количества квалифицированных рабочих, техников, инженеров, в основном не была общественно организована. Работников подготавливали непосредственно на производстве, а наукой занимались, в основном, отдельные ученые, и сильного влияния на развитие производства она не оказывала. По своему содержанию образование в основном выполняло социальные функции и носило общекультурный характер. Ситуация изменилась, когда для дальнейшего развития производства стало необходимым массовое использование высококвалифицированных работников. Образование стало таким же необходимым условием процесса производства, как и сами орудия труда.

Роль научно-технического процесса в экономике увеличилась, что повлекло за собой изменение отношения западных экономистов к вопросам воспроизводства рабочей силы. Внимание ученых сфокусировалось на проблеме формирования качественно новой рабочей силы. Повсеместная автоматизация производства и ввод в эксплуатацию механизмов сложных в управлении требовали пересмотреть отношение к «базовому материалу», вследствие чего появилось понятие «человеческие ресурсы», которое выражало совершенно иную сущность, качество труда и трудовых отношений.

Начало большим исследованиям роли человека в современной экономике положил известный чикагский экономист Т. Шульц. Доклад Т. Шульца основывался на дискуссиях по работам Э. Денисона, в которых на базе широкого статистического материала доказывалось, что технические нововведения и расширение масштабов использования труда и производственного оборудования обеспечивают только половину валового национального продукта, который получили США в ХХ веке. (Табл. № 1) [8, c. 318-319]

Табл. № 1 Вклад факторов экономического роста в прирост ВВП

Факторы

Вклад фактора в прирост ВВП, %

Прирост затрат труда Рост производительности труда Научно-технический прогресс Затраты капитала Образование Экономия на масштабах производства Улучшение распределения ресурсов Законодательно-институциональные факторы

 32 68 28 19 14 9 8 -9


В данных условиях нужно было найти другие факторы экономического роста, которые были бы аналогичны по эффективности. В противном случае постулат о неоклассической теории сбалансированности трансформации всех экономических факторов попадал бы под сомнение.

Некоторые ученые в качестве таких факторов называли улучшения в организации производства, другие - интенсивность труда, научно-технические достижения, эффективность экономической политики. Т. Шульц в качестве фактора экономического роста выделил образование.

Данные Э. Денисона показывали, что для европейских стран и США доля образования в приросте национального продукта составляет 12 - 29%. Еще А. Смитт в своем знаменитом труде «Исследование о природе и причинах богатства народов» поднимал проблему качества рабочей силы и указывал на то, что человека, который изучил с затратой большого труда и времени какую-либо профессию, требующую искусства и ловкости, можно сравнить с дорогой машиной.

Огромный вклад в теорию человеческого капитала был внесен Г. Беккером. Он считал, что в инвестирование в человеческий капитал, помимо расходов на образование, необходимо включить расходы на поддержание здоровья, на поиск работы, рождение и воспитание детей, а так же все вложение, способствующие росту производительной силы человека. Г. Беккер индивидуализировал обучение и другие факторы роста человеческого капитала, а так же привел их в соответствие с теорией рациональных ожиданий.

Человеческий капитал - это запас здоровья, знаний, навыков, способностей, мотиваций, который способствует росту производительности труда человека и влияет на рост его доходов (заработков). [6, c. 511] Все виды затрат, имеющие целесообразный характер и определяющие будущий денежный доход человека, рассматриваются в качестве «инвестиций в человеческий капитал». Выгоды - это ожидаемые в будущем более высокие доходы, получение престижной работы, повышение социального статуса и т.п. Издержки - это денежная оценка осуществляемых затрат на обучение, подготовку, а так же альтернативную стоимость этих инвестиций.

В макроэкономическом понимании человеческий капитал - это главный фактор экономического роста. Вложения в него дают экономический и социальный эффект, который длителен по времени. Инвестиционный период человеческого капитала намного длиннее, чем физического. Только в образовании он может достигнуть 12 - 18 лет. [6, c. 511]

Существует определенная закономерность: доход работника растет с повышением уровня его образования и возрастом, но до конкретного предела - обычно, это 55 - 60 лет (выход на пенсию). После прохождения этого предела доход работника, независимо от его образовательного уровня имеет тенденцию резко понижаться.

Для того чтобы оценить эффективность инвестиций в человеческий капитал можно использовать показатель внутренней нормы отдачи образования. Данная норма показывает конкретную норму дохода, ожидаемую при реализации данного инвестиционного проекта. При выборе проекта его внутреннюю норму отдачи сравнивают с действующей нормой процента. Если величина первой больше или равна второй, то проект инвестирования в образование считается выгодным.

Показатели нормы отдачи могут использоваться для анализа долговременных тенденций на рынке труда. Недостаток предложения рабочей силы определенной профессии и квалификации в условиях свободной конкуренции на рынке труда вызывает рост относительного уровня заработной платы данной категории работников. Это влечет за собой рост отдачи вложений на их подготовку. Повышение нормы отдачи вложений в образование влечет за собой рост количества обучающихся по данной специальности и выход их на рынок труда. со временем предложение повышается и недостаток рабочей силы данного профессионально-квалификационного уровня на рынке труда устраняется. При равновесном спросе и предложении на рынке труда соотношение затрат на подготовку рабочей силы с уровнем ее оплаты становиться оптимальным, а внутренние нормы отдачи выравниваются. Таким образом, можно сделать вывод, что образование - это ведущая отрасль производства человеческого капитала, фундамент будущего благополучия всего общества и человека в частности. Получение полного эффекта от реализации потенциала образовательного фактора является ключевым вопросом для экономического роста страны.

1.2 Образовательный фактор в экономике развитых стран мира

Особую роль образования в общекультурном развитии общества, становлении его нравственного и духовного уровня, развитии экономического потенциала страны и повышении уровня благосостояния населения подтверждает эволюция развития и прогресса всей человеческой цивилизации. Уровень образования человека во все времена являлся центром особого внимания общества, он определял социальный статус и был основой материального благополучия личности.

В современных условиях развитие системы образования рассматривается в качестве основы социально-экономического развития страны и роста благосостояния ее населения.

По данным Всемирного банка доля человеческого капитала в формировании национального богатства в современной экономике составляет от 60% до 80% . [3] Такая же тенденция существует и в динамике составляющих стоимости компаний. Так, например, исследования Уотсона Уэтта показали, что структуру активов корпорации «Nokia» на 95% составляют нематериальные активы. Которые включают в себя квалификацию, навыки, талант, работников и ноу-хау. [3]

Во второй половине ХХ века стало очевидно, что лидирующим государством XXI века, станет то, которое сформирует самую эффективную систему образования. Данное обстоятельство повлекло за собой пересмотр в развитых странах роли, места и миссии образования и необходимости его приоритетного развития.

Исследования ЮНЕСКО свидетельствуют о повышающейся в глобальном аспекте роли высшего образования. За последние несколько десятилетий выявились несколько общемировых тенденций в развитии высшего образования. К самым значимым из них относятся: [3]

начиная с 1960 численность студентов возросла более чем в 6 раз. По прогнозам к 2020г. число студентов достигнет 130-140 млн. чел, что повлечет за собой расширение материально-технической базы системы высшего образования и увеличение расходов на ее содержание;

значительно увеличились расходы стран на содержание высшего образования. Исключением стали только страны, входившие в состав социалистического лагеря. В Америке эти расходы возросли в 3 раза, в Западной Европе - в 3,4 раза, в Китае - в 2 раза, в странах Восточной Азии - в 4 раза. Уменьшение наблюдается только в бывших социалистических странах - 25%;

увеличилась миграция научных сотрудников в развитые страны, произошло расслоение науки и образования, расширилось влияние многоуровневой англосаксонской системы образования и появились глобальные образовательные мегасистемы. В настоящее время образовательные мегасистемы находятся в США, Индии,, Китае, России, Японии, Индонезии, Кореи, Германии, Филиппинах, Канаде. Высшее образование из образовательной системы стала глобальной индустрией образования и повышения квалификации.

вследствие глобализации и расширения информационных возможностей высшие образование стало открытым и вариативным. Интеграция в экономическую и социальную сферу повлекло за собой интеграцию систем высшего образования западноевропейских стран, в которых высшее образование является одним из главных национальных приоритетов развития. На сегодняшний день качество и уровень образования непосредственно воздействуют на экономическое развитие любого государства. Современное производство предъявляет большие требования, как к техническому оснащению, так и к необходимым для работника знаниям и к систематическому их обновлению и расширению.

С данной точки зрения уровень образования населения региона можно рассматривать в качестве одного из основных факторов, которые определяют размер валового регионального продукта. Существующую взаимозависимость между уровнем образования и экономическим ростом доказывает практика развития целого ряда стран.

В условиях рынка одной из главных задач политики поддержания образовательного потенциала государства является обеспечение достаточного инвестирования в систему образования. Благодаря качественному высшему образованию отдельная личность может достичь поставленных жизненных целей, работодатели - удовлетворить экономические интересы, государство и общество - достичь целей, связанных с развитием человеческих ресурсов.

Опыт стран мира в решении проблемы финансирования образования показывает, что начиная с 80-х годов ХХ столетия большинство развитых стран мира сократило долю бюджетных средств и повысило удельный вес внебюджетных средств в финансировании высших учебных заведений. (Табл. № 2). [5]

Табл. № 2

Страны

Доля государственного финансирования

Доля негосударственного финансирования

США

35-50

50-65

Великобритания

60-80

20-40

Швеция

70

30

70

30

ФРГ

90

10

Германия

90

10


Но, тем не менее, в развитых странах мира государство в вопросах финансирования системы образования играет исключительно главную роль.

Целью государства в развитом цивилизованном обществе является повышение уровня жизни своих граждан. Данная цель достигается посредствам развития национальной экономики, обеспечения всех ее отраслей высококвалифицированными кадрами, подготовленными системой высшего образования.

Работодатели в качестве экономических субъектов страны заинтересованы в работниках, обладающих высокой работоспособностью и развитыми профессиональными качествами. Данные качества являются основным фактором повышения эффективности и дохода. При этом, эффективность, в данном случае, - это не только прибыль, но и выполнение социально важных функций, которые ориентированы в том числе и на получение прибыли

Основой современных подходов к управлению организациями является необходимость максимально раскрыть потенциал работников. В связи с этим персонал рассматривается как ключевой фактор, определяющий эффективность использования всех остальных ресурсов, которые имеются в распоряжении организации. Опыт самых успешных зарубежных и российских компаний доказывает, что инвестирование в персонал, создание благоприятных условий для их профессионального роста и повышения готовности решать встающие перед ними проблемы дают высокую и быструю отдачу на вложенные средства. Крупные западные компании ежегодно затрачивают от 2% до 5% своего бюджета на развитие и обучения своих работников. [3]

Таким образом, можно сделать вывод, что для стран с развитой экономикой сфера образования - это одно из наиболее высокодоходных направлений инвестирования денежных средств. К тому же данная сфера имеет высокую степень риска потерь инвестиций и дохода по ним.

Глава 2. Анализ состояния образовательных рынков России и его влияние на благосостоянии населения

2.1 Состояние системы высшего образования России

Социально-экономические и государственно-политические преобразования 1990-х годов ХХ века существенно повлияли на систему образования России и позволили ей осуществить академическую автономию учебных заведений, реализовать вариативность образовательных программ, многообразие учебных заведений. Развить негосударственный сектор образования. Данные процессы получили свое законодательное закрепление в Законе РФ и Федеральном законе «О высшем и послевузовском профессиональном образовании».

Последние десятилетия характеризуются ростом количества вузов в стране и ростом численности студентов в вузах.

Но, несмотря на внешние положительные перемены, общесистемный социально-экономический кризис 90-х годов ХХ века сильно повлиял на систему высшего образования в России. Начиная с 1991 года наше государство лишилось значительной части своего потенциала в сфере высшего образования. вузы покинуло около 300 тыс. самых квалифицированных преподавателей и ученых, часть из них вообще уехала из страны, почти в 20 раз уменьшились объемы научно-исследовательских работ, которые выполнялись в вузах, так же сузилась область их внедрения, а количество авторских свидетельств и патентов, регистрируемых в России уменьшилось в 100 раз. [15] Сильно сократилось бюджетное финансирование вузов, почти прекратилось поступление нового учебно-лабораторного оборудования. Структура высшего образования более не соответствовала нуждам народного хозяйства, а отражала, главным образом, конъюнктурные интересы поступающих и их родителей, которые стремились к получению престижной профессии. Итогом стало снижение качества обучения и профессиональной подготовки кадров. При анализе системы высшего образования выявились его основные проблемы: [15]

демографический спад, который при отсутствии необходимых мер упреждения, может повлечь безвозвратную потерю потенциала высшей школы;

неравноправный доступ для выпускников школ из регионов, сельской местности, семей с низким уровнем дохода к поступлению в вузы страны;

разрыв между требованиями при вступительных испытаниях в вузах и уровнем знаний выпускников, большое распространение репетиторов и разных платных курсов при подготовке в вуз;

пришедшая в упадок научная и учебно-методическая работа в вузах и система повышения квалификации профессорско-преподавательского состава;

ограниченная мобильность населения, приводящая к появлению выраженной тенденции регионализации образования;

сокращение источников финансирования и устаревшие лабораторно-технические базы вузов;

отсутствие системы адаптации молодых специалистов в области общественного производства, которая является необходимой из-за несоответствия профессионального профиля выпускников вузов нуждам трансформирующихся рынков труда регионов;

начавшийся процесс старения научных кадров высшей школы;

невозможность системы высшего образования оперативно и адекватно ответить на изменения потребностей общества.

Для того чтобы решить данные проблемы была разработана «Концепция модернизации российского образования» и поставлены следующие задачи:

обеспечить государственные гарантии доступности и равных возможностей получения полноценного образования;

достичь нового современного качества профессионального образования;

сформировать в системе образования нормативно-правовые и организационно-экономические механизмы привлечения и использования внебюджетных ресурсов;

повысить социальный статус и профессионализм работников образования, усилить их государственную и общественную поддержки;

развить образование как открытую государственно-общественную систему, которая основывалась бы на распределении ответственности между субъектами образовательной политики и повышала роль всех участников образовательного процесса, в число которого входят обучающееся, педагоги, родители, образовательное учреждение.

Но модернизация системы образования реализуется при достаточно противоречивых условиях. Наметилась тенденция переноса финансовой ответственности за профессиональное образование на региональные и муниципальные бюджеты. Данный подход при сильных отличиях финансовых возможностей регионов страны может повлечь за собой подрыв принципов федерализма, разрушение единого образовательного пространства России, дальнейшее снижение мобильности и доступа к образованию. Передача функций из федерального ведения в региональные является перекладыванием стратегических функций и проблем государства на учебные заведения.

Таким образом, проводимая модернизация системы учреждений высшего профессионального образования, целью которой является обеспечение их соответствия (по номенклатуре специальностей и объемам подготовки специалистов) потребителям региона ведет к образованию региональных замкнутых рынков труда и образовательных услуг, усиливает разрыв между вузами столицы и региональными вузами.

2.2 Рыночная трансформация системы высшего образования России

Развитие рыночных отношений в России сильно повлияло на экономические условия функционирования государственных вузов страны. Появилась повышенная нестабильность и нарастающая неопределенность внешней среды, сократилось бюджетное финансирование высшей школы. Перед вузами остро встала проблема обеспечения жизнедеятельности, поддержки на достаточном уровне финансового состояния и поиска источников устойчивого развития. Очевидным направлением для решения данных проблем стала внебюджетная деятельность. Она, с одной стороны, помогла расширить источники содержания и развития вузов, а с другой стороны способствовала адаптации вузов к рыночной экономике.

На сегодняшний день в России сформирован рынок образовательных услуг, которому можно дать определение как системе экономических отношений между субъектами в сфере купли-продажи образовательных услуг, которые в силу данного условия стали товарами.

К основной функции данного рынка относится выполнение роли связующего звена между производителем и потребителем образовательных услуг. [10]

По вопросу понятия услуг вообще и образовательных услуг, в частности, в экономической теории всегда происходили дискуссии. Так, Х. Ворачск считает, что ни одна попытка дать определение услуге не увенчалась успехом. [4]

В экономической литературе представлено множество определений услуге. Самым распространенным является определение услуги как полезного действия, дела, поступка или же действия вообще. Конечно, данное определение имеет общий характер. [12]

Например, Р. Матери дает такое определение: «Услуги являются нематериальными активами, производимыми для целей сбыта».[12] Нематериальные активы - это ценности, которые не являются физическими. Вещественными объектами, но имеют стоимостную, денежную оценку. Услуга - это процесс, определенный ряд действий. Данные действия могут являться инструментом производства ценностей, они могут создавать ценность, но сами самостоятельной ценностью быть не могут.

По определению К. Гренрооса, услуга является процессом, включающим серию неосязаемых действий, осуществляемые по необходимости в процессе взаимодействия покупателей и обслуживающего персонала, физическими ресурсами, системами предприятия - поставщиками услуг. Данный процесс, традиционно, имеет направление на решение проблем покупателя услуги.

М.А. Лукашенко считает, что «Образовательная услуга является совокупностью целесообразной деятельности, которая имеет своей целью удовлетворять потребность субъекта в образовании, и в промежуточных образовательных продуктах, в форме вещи, которые сопровождают эту деятельность».[10]

Образовательная услуга является доминирующим продуктом деятельности вуза и имеет определенные свойства и особенности. Услуги в области нематериального производства имеют пять основных характеристик: [14]

неосязаемость и нематериальный характер. Основной сложностью, как производителя, так и потребителя образовательной услуги является высокая степень неопределенности - качество услуги трудно оценить до ее получения, а в некоторых сферах и после получения. Поэтому потребитель стоит перед весьма сложным выбором устраивающего его производителя услуг. У производителя, в свою очередь, возникают проблемы с демонстрацией качества и эффективности своих услуг, а так же отличия их от услуг конкурентов. Неосязаемость услуги часто влечет за собой то, что ведущим фактором при выборе производителя становиться цена предложения, его эффективность, действующие стереотипы.

неразрывность производства и потребления. Услуги в отличие от товара не производятся заранее, то есть при отсутствии клиента и заказа. С точки зрения этой позиции производство и потребление имеют тесную взаимосвязь, которая, в свою очередь, создает потребителю сложности, так как он не может сравнительно проанализировать конкурирующие предложения.

неотделимость от источника. Услугу невозможно отделить от своего производителя, тогда как товар в материальном виде может существовать отдельно от источника. Это условие количественно ограничивает потребителей услуги.

непостоянство качества. Качество услуги может колебаться в широких пределах. На него оказывают влияние производитель, время, место оказания услуги и иные факторы. Изменчивость услуги объясняется многими факторами, к которым относятся: квалификация исполнителя и степень его мотивации, уровень материального и информационного обеспечения, интенсивность конкурентного соперничества, высокая степень индивидуализации отдельных видов услуг и т.п.

невозможность хранения услуги. Эта особенность чрезвычайно важна в условиях непостоянного спроса на услуги. Поэтому для производителя становиться актуальным вопрос согласования спроса и предложения.

Образовательная услуга характеризуется как общими свойствами услуг нематериальной сферы, так и специфическими свойствами, которые присущи только ей. К таким частным, специфическим свойствам относятся следующие характеристики:

образовательные услуги нематериальны. Работа преподавателей, читающих лекции, проводящих семинарские, лабораторные или практические занятия, не воплощается в материальном продукте. Из-за этого потребителю трудно заранее оценить качество услуги. Для того чтобы облегчить процедуру оценки производитель образовательной услуги для анализа предлагает потенциальному потребителю различные разъясняющие и сопроводительные материалы, к которым обычно относиться информация о методах и формах обучения, программы, учебные планы и др.

неразрывность процесса производства и процесса потребления для образовательной услуги является характерной. Данные процессы совмещены во времени, то есть образовательная услуга в качестве товара потребляется в тот же момент, что и производится

образовательные услуги неотделимы от источника - конкретных физических лиц, которые оказывают услуги. Замена преподавателя зачастую оказывает большое влияние, как на ход учебного процесса, так и на его результат.

образовательная услуга характеризуется непостоянством качества, во многом это объясняется предыдущей характеристикой - неотделимостью услуги от источника. Очевидно, что на качество учебного процесса оказывает влияние множество факторов.

образовательные услуги не сохраняемы. Для образовательной услуги это свойство трактуется двояко. С одной стороны, образовательную услугу невозможно заготовить и складировать как товар, хотя учебная информация может храниться на материальных носителях. С другой стороны, человек со временем забывает полученную в процессе бучения информацию, а знания имеют свойство стареть. Несохраняемость образовательной услуги объясняет необходимость непрерывного процесса образования, а также развитие систем информационной и интеллектуальной поддержки потребителя образовательной услуги в ходе его трудовой деятельности.

На образовательную услугу оказывает влияние предшествующий уровень образования субъекта, его интеллектуальные возможности, способности и желания участвовать в потреблении образовательной услуги. Как правило, одна и та же образовательная программа определенного производителя может по-разному реализовываться в различных аудиториях. Потребление образовательной услуги влечет за собой совершенствование качества рабочей силы. Поэтому, можно утверждать, что образовательная услуга, исчезая в ходе потребления, ведет к повышению качества другого товара - рабочей силы.

Образовательная услуга становиться элементом воспроизводства рабочей силы. Для образовательной услуги с точки зрения потребителя услуги характерна отдаленность материальной выгоды. Это объясняется особенностями самой системы образования, к которым относятся: непрерывность, многоуровневая структура, большая продолжительность отдельных ступеней образования.

Так же характерной чертой образовательной услуги является ее существенная цена. На данный факт влияет высокий уровень квалификации исполнителей, необходимость материально-технического и информационного обеспечения процесса обучения.

Образовательная услуга характеризуется двойственностью своей полезности. С одной стороны она полезна для отдельного субъекта потребителя услуги, с другой стороны - она полезна для общества. Полезность для отдельного субъекта тоже трактуется двояко: с одной стороны, она способствует интеллектуальному обогащению личности, повышает ее культурный и нравственный уровень. А с другой стороны - это эффективное средство для получения материальных выгод, увеличения доходов.

Помимо этого, дуализм образовательной услуги заключается еще и в том, что она, с одной стороны, имеет свойство общественного блага. Чистое общественное благо - это всеобщее достояние, производство и распределение которого относится к общественному сектору экономики и осуществляется за счет средств общества и в интересах всех его членов.

Но с другой стороны, полностью отнести к общественному благу образовательную услугу нельзя.

Это объясняется тем, что вуз, оказывая платные образовательные услуги, является носителем частных благ, которые имеют свойство исключительности и реализуются на индивидуальной основе. Таким образом, можно сделать вывод, что образовательная услуга является смешанным благом. Двойственность природы образовательных услуг является прямым объяснением ограниченности возможностей коммерциализации и ограниченности использования рыночного механизма регулирования цен в области образовательных услуг.

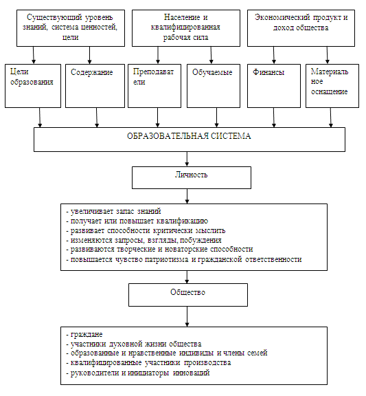
На рынке образовательных услуг основными субъектами экономических отношений являются производители и потребители. Общество и государство в качестве потребителей ожидают развитие экономики страны, рост благосостояния граждан, повешение уровня культуры и образованности, социальной и политической грамотности посредствам обучения и воспитания активных, всесторонне развитых, зрелых членов общества. На рисунке № 1 представлена схема взаимодействия общества и образовательной системы. [9]

Таким образом, можно сделать вывод, что предприятия и организации в качестве потребителей продукции вузов заинтересованы в получении специалистов, которые имеют необходимые профессиональные знания, положительное отношение к своей профессии и которые с минимальными для организации временными и материальными издержками включаются в производственный процесс.

При этом работодатели часто готовы сотрудничать с вузами, с одной стороны, возмещая затраты на подготовку квалифицированных специалистов, а с другой стороны, требуя расширения границ стандартных образовательных программ.

В свою очередь обучаемый в качестве потребителя услуг вуза стремиться к повышению уровня образованности, интеллектуального уровня, для того чтобы быть востребованным на рынке труда, увеличивать свои доходы и повышать социальный статус.

Рис. № 1 Схема взаимодействия общества и образовательной системы


2.3 Экономика знаний - новое направление экономической науки

Интеллектуальную составляющую в экономическом росте исследовало много авторов. Так Л. Туроу оценил состояние мировой экономики, благосостояние стран, компаний и даже отдельных граждан согласно достигнутого ими уровня развития экономики знаний.[17] Е. В. Сафонова сформулировала набор правил, действуя согласно которому, можно подняться на высокий уровень благосостояния в обществе, в котором знания играют определяющую роль. Но ни теоретической модели, ни результатов практического применения, подтверждающего справедливость и эффективность этих правил автор не приводит.[16] Л. Н. Макаров уточнил понимание предмета экономики знаний, проиллюстрировал теоретические положения при помощи примеров из экономки, которые были основаны на данных мировой экономической статистики.[11]

П. Ромер построил теоретическую модель экономического роста, в которой одним из определяющих факторов является определенная оценка уровня развития технологий. Данная модель является вариантом классической модели Кобба-Дугласа и модели Солоу. Заданными переменными на входе являются физический капитал, рабочая сила, человеческий капитал и уровень развития технологий. Для того чтобы описать взаимосвязь между выпуском продукции и переменными предложена система дифференцированных уравнений. Особенность данной модели состоит в том, что человеческий капитал предлагается разделить на две части: капитал, который используется в производстве и капитал, который используется в исследовательском секторе экономики.

Интерес к экономике знаний вызван тем, что обладание знаниями, новыми технологиями, способностью их внедрения в жизнь является определяющим фактором эффективного развития экономики.

Подход с точки зрения экономики знаний полезен также и для оценивания качества жизни населения. Вопрос оценки качества жизни населения и построения ее интегральных индикаторов в экономических исследованиях занимает много места. Данное направление исследований считается достаточно новым и перспективным, так как необходимо согласовывать различные синтетические категории качества жизни населения и ключевые факторы, их определяющие.

Качество жизни населения напрямую зависит от инвестиций государства в развитие прикладных и теоретических исследований в области образования. В связи с этим можно предположить, что если государство ставит перед собой цель повысить уровень развития экономики, а в частности уровень благосостояния населения, то оно должно осуществлять большие инвестиции в НИОКОР. Доказано, что для получения заметных результатов, инвестиции должны составлять 3 - 4% ВВП в год. Такое финансирование не должно носить единовременный характер, его необходимо осуществлять не менее 10 - 12 лет, ежегодно.

Еще одним важным направлением исследований экономики знаний является решение проблемы индивидуального выбора на рынке образовательных услуг. Актуален вопрос учета предпочтений индивида, которые могут сильно отличаться от предпочтений членов его семьи. В данном случае выбор образовательной услуги, образовательного учреждения, профиля образования является результатом коллективного решения, при котором предпочтения и интересы индивида могут учитываться не в полной мере.

В литературе представлены экономико-математические модели, которые имитируют реальные ситуации. Их целью является количественное выражение функции прогресса развития экономики. По мнению В.В. Чекмарева и Е. М. Скаржинской, субъективное восприятие и измерение времени как блага и как производственного фактора применительно к рынку образовательных услуг является последовательным развитием принципа методологического индивидуализма. [16, c. 136] Если предположить, что существует рациональный характер выбора образовательной услуги, то возникает противоречие убеждениям о неполной информированности потребителей об образовательных услугах и о наличии препятствий в процессе сравнения альтернатив. Влияние данных факторов на выбор образовательных услуг приобретает особое значение, так как человек вынужден пользоваться нечеткими оценками: «Образовательное учреждение А скорее всего лучше такого же учреждения В». При этом если происходит незначительное изменение какого-либо из факторов, это может радикально повлиять на выбор поведения и существенно уменьшить число альтернативных вариантов.

Другой подход к уточнению ожидаемого спроса на образовательные услуги представлен в работе Т.К. Екшикеева и А.В. Николаева. [7, c.347] К примеру, существует два образовательных центра. При этом в одном из них А представлен широкий спектр образовательных услуг по доступным ценам, но находится этот центр далеко. Другой образовательный центр представляет более узкий спектр образовательных услуг, цены выше, но находится он ближе. Для того чтобы определить выбор объекта по оказанию образовательной услуги используется гравитационная модель «притягательных центров тяготения» Рейли. Хотя в работе Т.К. Екшикеева и А.В. Николаева она представлена в упрощенном варианте, данная модель может являться хорошей основой для приблизительной оценки распределения спроса на образовательные услуги. (рис. № 2) [17]

Линии безразличия предпочтений в модели Рейли на рис. 4.1. представлены окружностью, на рис. 4.2 - гиперболой. Использование модели Рейли позволяет оценить графически влияние системы предпочтений на распределение спроса на образовательное учреждение в пространстве.

Гравитационная модель «притягательных центров тяготения» Рейли.


Таким образом, можно сделать вывод, что новое направление экономической науки - экономика знаний базируется на утверждении, что достигнуть высокого уровня благосостояния может то общество, в котором знания играют главную роль. Экономика знаний формирует гипотезу о том, что существует плотная зависимость между институциональными показателями развития страны и показателями развития экономики знаний. Данное экономическое направление основывается на экономических моделях, которые имитируют процесс развития экономики образования и выбора индивида.

Заключение

Взаимосвязь уровня образования и уровня доходов населения в национальной экономике очевидна. По оценкам специалистов увеличение продолжительности образования на один год увеличивает ВВП на 5 - 15%. Для развивающихся стран мира отдача от вложений в образование еще выше: в странах Центральной Африки инвестирование в начальное образование обеспечивает рост ВВП на 24%, а в странах с низким доходом в среднем на 23%. Анализируя факторы экономического роста в развитых странах мира, так же, можно сделать вывод, что уровень образования играет значительную роль в повышении доходов населения.

Согласно таблице Э. Денисона, образование определило 14% прироста реального национального дохода в США, то есть образование является одним из источников экономического роста в любом обществе.

Анализ мирового опыта развития системы образования позволяет сделать вывод, что для ее эффективного функционирования необходимы:

децентрализованное и демократичное управление,

многоканальная система финансирования образования,

действенные стимулы и механизмы для привлечения частных инвестиций,

существование системы гарантий доступности всех звеньев образования для населения, а для этого необходимо согласовать центральные и региональные цели и задачи в развитии образования,

развитие системы оценки качества образования,

участие государства в регулировании рынка образовательных услуг и рынка труда,

системная организация образования, взаимосвязанность всех звеньев системы образования в единую системы непрерывного образования.

Анализ состояния образовательных рынков России и его влияние на благосостояние населения показал, что современная российская система образования представлена двумя моделями региональных рынков - монопольной и олигополистической. При этом, доминирует олигополистическая модель. Для того чтобы эффективно функционировать в условиях олигополии региональному вузу необходимо иметь развитую идеологию предпринимательства.

Конкурентоспособность образовательных учреждений и конкурентоспособность услуг, которые они оказывают по подготовке специалистов, напрямую зависят друг от друга. Чем выше конкурентоспособность специалистов, подготовленных в определенном вузе, тем больше они востребованы на рынке труда, а значит и выше доходы таких специалистов, что в свою очередь повышает конкурентоспособность образовательного заведения.

Список используемых источников и литературы

1.Анисимоа А.А, Артемьев Н.В, Тихонова О.Б. Макроэкономика. Учебник. 2011 - 598с.

.Бодровский В.П., Рудокова О.В., Самородова Е.М. Экономика: учебник - М: ИД «Форум»; ИНФРА - М, 2011 - 672с.: ил.

.Большакова Л.Г. Бурая Ю.С. Качественное образование как фактор стабильного социально-экономического развития страны. Электронный ресурс. (kirgteu.com›filemanager/download/899/)

.Владимиров В. Организационная структура российских вузов // Высшее образование в России. - 2001. - №5.

.Гайдар Е. Как менялась организация систем финансирования образования и здравоохранения в Европе и США http: // sps.ru/ id=144212

.Добрынин А.И. Тарасевич Л.С. Экономическая теория. Учебник. 2004 - 544с.

.Екшикеев Т.К. и Николаев А.В. Адаптация модели Рейли для прогнозирования спроса образовательных услуг // Экономика образования. 2005 (1): (материалы журн. «Экономика образования») М., 2006. С. 347

.Ефимова У.Г. Экономика. Уч. пос. МГИУ, 2005 - 368с.

.Кумбс Филипп Г. Кризис образования в современном мире. Системный анализ. - М.: Прогресс, 1970.

.Лукашенко М.А. Высшее учебное заведение на рынке образовательных услуг: актуальные проблемы управления. - М.: Маркет ДС. 2003.

.Макаров В.Л. Экономика знаний: уроки для России: докл. на науч. сес. Общ. собр. РАН // Вестник РАН. 2003. Т. 73, № 5

.Миронова Н.В. Маркетинг различных типов услуг // Маркетинг в России и за рубежом. - 2003. - №4.

.Образование в Российской Федерации. Статистический сборник. - М.: ГУ-ВШЭ, ЦИСН, 2003.

.Попов Е. Услуги образования и рынок // Российский экономический журнал. - 1992. - №6

.Романова И. Б. Диссертация. Обеспечение конкурентоспособности высшего учебного заведения на региональном рынке образовательных услуг: теория и практика, 2006

.Сафонова Е.В. Фактор экономики знаний в социально-экономическом развитии и качестве жизни населения // Экономика и математические методы. 2005. Т. 41 № 4

.Скоробогатова Ю.А. Экономика знаний: теоретические и прикладные аспекты спроса на образовательные услуги//Известия Иркутской государственной академии - 2009 - № 3

.Чекмарев В.В., Скаржинская Е.М. Проблема выбора на рынке образования // Экономика образования. 2004: (материал журн. «Экономика образования») М., 2006 с. 136

.Шиканов С.В. Конкуренция как многоуровневая система оценки состояния образовательного учреждения // Известия Томского политехнического университета. 2008. Т. 313. № 6

Похожие работы на - Анализ уровня образования населения как фактора повышения благосостояния нации

 

Не нашли материал для своей работы?
Поможем написать уникальную работу
Без плагиата!
Без нейросетей!