Текст ситуационной (практической) задачи

  • Вид работы:
    Контрольная работа
  • Предмет:
    Эктеория
  • Язык:
    Русский
    ,
    Формат файла:
    MS Word
    35,41 Кб
  • Опубликовано:
    2015-02-28
Вы можете узнать стоимость помощи в написании студенческой работы.
Помощь в написании работы, которую точно примут!

Текст ситуационной (практической) задачи

Оглавление

1. Текст ситуационной (практической) задачи № 1

. Текст ситуационной (практической) задачи № 2

. Тестовая часть

Библиографический список

1. Текст ситуационной (практической) задачи № 1

По региону имеются следующие данные (человек):

Состояло на учете безработных на начало года

17672

Поставлено на учет в течение года

49030

Снято с учета за год - всего в том числе: -нашли работу (доходные занятие) -направлено на профессиональное обучение -оформлено на досрочную пенсию -прочие причины

43156  29314 4803 1110 7929

На конец года Заявленная предприятиями и организациями потребность в работниках (число вакантных мест)

 12123

Среднесписочная численность занятых в экономике

653864


Определите:

1)  численность безработных на конец года;

2)      уровень безработицы в регионе;

)        структуры снятых с учета;

)        коэффициент напряженности на рынке труда;

)        уровень вакансий.

Сделайте выводы.

Ответ на задачу № 1

. Численность безработных на конец года: Для того чтобы определить численность безработных на конец года нам необходимо из суммы сколько состояло на учете безработных на начало года и поставлено на учет в течение года вычесть количество человек, снятых с учета за год - всего, то есть

(17672+49030)- 43156=23546

. Уровень безработицы в регионе:

Для определения уровня безработицы (Уб) в регионе воспользуемся формулой

Уб = Чб э.а.н.*100 %

Уровень безработицы - отношение безработных к численности экономически активного населения.

Уб = 23546/653864=0,0360105*100%≈3,601%

. Структуры снятых с учета:

Структурная безработица - безработица, связанная с периодом поиска работы теми работниками, чья специальность или квалификация не позволяют им найти необходимую работу. Структурная безработица связана, таким образом, с несоответствием спроса и предложения на рабочую силу. Такое несоответствие может существовать не только в видах работ, но и меду регионами страны.

Фрикционная безработица - безработица, связанная с краткосрочным периодом, необходимым для поисков новой работы, в связи с получение образования, выходом из декретного отпуска, переездом. С ростом благосостояния фрикционная безработица может возрастать, а сокращение ее возможно по мере улучшения методов сбора информации о рабочих местах, что, тем не менее, требует увеличения издержек.

. Коэффициент напряженности на рынке труда:

Формула для определения:

Кнапр = Численность незанятого населения / Количество заявленных мест и вакансий

Кнапр = 24546/12123 = 1,942

. Уровень вакансий.

Низкий уровень при том сравнении, что на конец года осталось безработных 23456 человек в отличие от количества человек безработных на начало года 17672. Разница безработных почти в 1,5 раза.

Вывод

Численность безработный на начало года больше чем на конец года. Если рассматривать, что в течение года было поставлено на учет 49030 человек, а на конец года осталось безработных 23546 человек, то все равно нельзя сказать о работодателях, что безработные люди сильно востребованы. А значить в организациях и на предприятиях меньше стала текучесть кадров.

. Текст ситуационной (практической) задачи № 2

По организации имеются следующие данные:

Вид продукции

Выпуск продукции, тыс. единиц

Себестоимость продукции, тыс.руб.

Цена за единицу продукции, тыс.руб.


базисный период

текущий период

базисный период

текущий период

базисный период

текущий период

АК-4

6,1

6,9

5,1

4,9

5,8

5,1

СН-6

3,6

3,4

38,5

37,9

39,5

38,0

СМ-9

1,8

18,5

17,4

20,6

19,2


Рассчитайте:

1.    Индивидуальные и общие показатели затрат на рубль выпущенной продукции;

2.      Изменение затрат на рубль продукции в текущем периоде по сравнению с базисным - всего и в том числе вследствие изменения:

а) себестоимости единицы продукции;

б) объема выпущенной продукции;

в) цен на выпущенную продукцию.

Сделайте выводы.

Ответ на задачу №2

. Индивидуальные и общие показатели затрат на рубль выпущенной продукции:

Исчисляется показатель отношением общей суммы затрат на производство и реализацию продукции к стоимости произведенной товарной продукции в действующих ценах.

З = ∑ (qz) / ∑ (qp),

где:

З - показатель затрат на рубль выпущенной продукции;

- сумма затрат на производство и реализацию продукции;

q - выпуск продукции тыс. единиц;

z - себестоимость продукции, тыс. руб.;

p - цена за единицу продукции. тыс. руб.

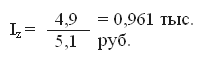
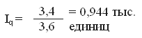
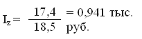
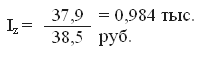
ОТЧЕТНЫЙ ГОД:

З = (6,9*4,9+3,4*37,9+1,8*17,4) / (6,9*5,1+3,4*38,0+1,8*19,2) =

= 33,81+128,86+31,32) / (35,19+129,2+34,56) = 193,99 / 198,75 = 0,976 тыс. руб.

БАЗИСНЫЙ ГОД:

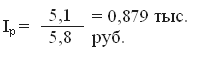
З = (6,1*5,1+3,6*38,5+1,4*18,5) / (6,1*5,8+3,6*39,5+1,4*2,6) =

= (31,11+138,6+25,9) / (35,38+142,2+2884)= 195,61 / 206,42 = 0,948 тыс. руб.

1. Изменение затрат на рубль продукции в текущем периоде по сравнению с базисным - всего и в том числе вследствие изменения:

,976 - 0,948=28 тыс. руб.

В текущем периоде по сравнению с базисным затраты на рубль продукции увеличились.

а) себестоимости единицы продукции:


Z1 - себестоимость единицы продукции текущего периода;

Z0 - себестоимость единицы продукции базисного периода.

Себестоимость единицы продукции АК - 4

Себестоимость единицы продукции СН - 6

Себестоимость единицы продукции СМ - 9

б) объема выпущенной продукции:

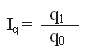
Для оценки изменения объема продукции в динамике рассчитывают индекс физического объема продукции.

При изучении динамики выпуска отдельных видов продукции (товаров, услуг) рассчитывают

индивидуальные индексы физического объема продукции:


где q1, q0 - отчетные и базисные объемы произведенной, реализованной, потребленной продукции.

АК - 4

СН - 6

СМ - 9

в) цен на выпущенную продукцию.


P1 - цена единицы товара в отчетном периоде;

P0 - цена единицы товара в базисном периоде.

Цена на выпущенную продукцию АК - 4

Цена на выпущенную продукцию СН - 6

Цена на выпущенную продукцию СМ - 9

Показатель затрат на рубль стоимости продукции в отчетном периоде выше, чем в предыдущем. Чем выше этот показатель, тем меньше доля прибыли в объеме выпускаемой продукции, максимум он может быть равен 1. Индекс цен не превышает 1 - это указывает на снижение уровня явления.

. Тестовое задание

. Расширенная концепция производства предполагает:

а) деятельность только в сфере материального производства;

б) деятельность только в непроизводственной сфере;

в) любую экономическую деятельность, приносящую доход;

г) теневую экономику.

а) Валовая прибыль экономики;

б) Валовой внутренний продукт;

в) Валовое сбережение экономики;

г) Валовой национальный доход.

3.  Какие элементы относятся к запасам материальных оборотных средств:

а) сырье и материалы;

б) драгоценные металлы и камни;

в) предметы антиквариата.

4.  Показатель монетизации экономики определяется как:

а) отношение денежной массы к валовому внутреннему продукту;

б) отношение валового внутреннего продукта к денежной базе;

в) отношение денежной массы к денежной базе.

5.  Таблица, представляющая упорядоченный ряд дожития совокупности сверстников до определенного возраста

а) возрастная таблица

б) таблица дожития

в) таблица сменяемости населения.

6.  Относительное увеличение потребления товаров и услуг при повышении дохода на 1% оценивают по показателю

а) коэффициент эластичности

б) коэффициент фондов

в) коэффициент контингенции.

. В каком квадранте Межотраслевого баланса отражается Промежуточное потребление:

а) в I квадранте;

б) во II квадранте;

в) в III квадранте.

. Продукция предприятия имеет форму:

а) продукта (товара);

б) незавершенного производства;

в) полуфабриката;

г) запасов материалов на складе.

9.  Выделите составляющие активной части основных средств промышленного предприятия:

а) производственные здания;

б) машины и оборудование;

в) сырье.

10.    Исследование риска начинают с:

а) качественного анализа;

б) количественного анализа.

безработный экономический труд себестоимость

Библиографический список

1.      Долженкова В.Г., Ионин В.Г. и др.; под ред. В.Г. Ионина - Статистика: Учебное пособие/Харченко Л.П. - Изд.2-е, перераб. и доп. - М.: ИНФРА-М, 2001.

2.      Годин, А.М. Статистика: учебник / А. М. Годин. - 5-е изд., перераб. и испр. - М.: Дашков и К, 2007. - 460 с. (МОРФ)

3.      Статистика: учебник / [Л.П. Харченко и др.; под ред. В.Г. Ионина]. - 3-е изд., перераб. и доп. - М.: ИНФРА-М, 2008. - 445 с. (УМО)

.        Серга Л.К. Сборник задач по общей теории статистики: Учебное пособие/ Под ред.- М.: Филинъ, 1999, 2001, 2002.

.        Ефимова, М.Р. Практикум по общей теории статистики: учеб. пособие по спец. "Менеджмент организации", "Государственное и муниципальное управление", "Маркетинг", "Управление персоналом" / М.Р. Ефимова, О.И. Ганченко, Е.В. Петрова. - 3-е изд., перераб. и доп. - М. : Финансы и статистика, 2008. - 367, [1] с. (УМО)

Похожие работы на - Текст ситуационной (практической) задачи

 

Не нашли материал для своей работы?
Поможем написать уникальную работу
Без плагиата!
Без нейросетей!