Анализ социально-экономического развития Республики Калмыкия

  • Вид работы:
    Курсовая работа (т)
  • Предмет:
    Эктеория
  • Язык:
    Русский
    ,
    Формат файла:
    MS Word
    75,12 Кб
  • Опубликовано:
    2014-11-28
Вы можете узнать стоимость помощи в написании студенческой работы.
Помощь в написании работы, которую точно примут!

Анализ социально-экономического развития Республики Калмыкия

Министерство образования и науки РФ

Федеральное агентство по образованию

Государственное образовательное учреждение высшего профессионального образования

Таганрогский государственный радиотехнический университет

Кафедра ГиМУ

Курсовая работа

По курсу: Региональная экономика и управление

На тему: "Анализ социально-экономического развития Республики Калмыкия"

Содержание

Введение

. Общая характеристика республики

.1 Элиста - столица республики

.2 Культура

.3 Религия

.4 Географическое положение и климат

.5 Минерально-сырьевая база

.6 Топливно-энергетический комплекс

.7 Промышленность

.8 Агропромышленный комплекс

.9 Транспорт

.10 Связь

.11 Архитектура и строительство

.12 Отдых и туризм

.13 Здравоохранение

.14 Научный потенциал

.15 Инвестиционный климат

.16 Межрегиональные и международные связи

. Практическая часть

.1 Региональные воспроизводственные циклы

.1.1 Воспроизводство трудовых ресурсов

.1.2 Воспроизводство финансово-кредитных и денежных ресурсов

.1.3 Воспроизводство инвестиционно-строительного процесса

.1.4 Воспроизводство социально-бытовых услуг

.1.5 Воспроизводство услуг рыночной инфраструктуры

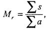
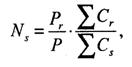
.2 Методы определения отраслей специализации

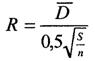
.3 Региональная диагностика

.3.1 Диагностика природно-ресурсного потенциала

.3.2 Демографическая диагностика и диагностика рынка труда

.3.3 Диагностика расселения

.3.4 Диагностика экономического уровня развития региона

.3.5 Диагностика динамических качеств региона

.3.6 Диагностика отраслевой и территориальной структуры

.3.7 Диагностика комплексности хозяйства региона

.3.8 Экологическая диагностика региона

. Прогнозирование развития Республики Калмыкия

.1 Прогноз природно-ресурсного потенциала

.2 Экономический прогноз

.3 Экологический прогноз

Заключение

Список используемой литературы

Введение

Калмыки (самоназвание - хальмг) - потомки ойратов, живших в западной Монголии (Джунгарии). Это были племена кочевников, родственные монголам по своему образу жизни, языку, культуре и религии. В XIII веке ойраты вошли в состав государства Чингис-хана. После распада Великой Монгольской империи ойратские правители стали бороться за господство в Монголии с восточномонгольскими ханами. В середине XIV века ойратскому Эсен-хану удалось объединить под своей властью всю Монголию. Эсен-хан также разгромил войска минского Китая и взял в плен императора, после чего с Китаем был заключен выгодный мирный договор. Однако потомкам Эсена не удалось удержать в своих руках власть над Монголией.

В конце XVI-начале XVII вв. дефицит пастбищных территорий, феодальные междоусобицы побудили правителей крупных ойратских этнополитических объединений торгутов во главе с тайшой Хо-Урлюком и дербетов во главе с Далай-Батыром откочевать в степи Западной Сибири, которая после похода Ермака оказалась в составе России. В 1608, 1609 гг. они в первый раз принесли присягу на подданство русскому царю. В дальнейшем эта часть ойратов, которых русские по примеру их тюркоязычных соседей называли калмыками, расселилась по территории междуречья Эмбы, Яика (Урала) и Волги. Во второй половине XVII века в Нижнем Поволжье образовалось Калмыцкое ханство и начала складываться самостоятельная монголоязычная народность - калмыки.

Добровольно войдя в состав России, и защищая ее юго-восточные границы, калмыки смогли сохранить свою государственность.

Калмыки активно принимали участие во всех войнах, которые вела Россия во 2-й пол. XVII-XVIII вв., выставляя до 40 тысяч конных воинов для походов.

Как инородцы и иноверцы калмыки не призывались на регулярную службу, но в Отечественной войне 1812 года они сформировали три полка (Первый и второй калмыцкие и Ставропольский калмыцкий), которые с боями дошли до Парижа. Калмыки-казаки Дона сражались в казачьих подразделениях под командованием легендарного атамана Платова.

Длительное проживание народа в среде с иным образом жизни и отличающейся религией привели к серьезным изменениям калмыцкого общества. В 1892 г. были отменены обязательные отношения крестьян и феодалов. Значительные изменения вызвала и колонизация Калмыцкой степи русскими поселенцами.

Несмотря на это, духовная культура калмыков оказалась достаточно устойчивой. Так на территории Европы сохранился анклав с оригинальной восточной культурой, со своим уникальным фольклором, письменностью, литературой и музыкой. В начале XX в. мировая общественность познакомилась с жемчужиной калмыцкого фольклора - эпосом "Джангар".

После Февральской революции 1917 года была образована "Степная область калмыцкого народа". В 1920 г. была образована Калмыцкая Автономная область. В 1935 году Калмыцкая Автономная область была преобразована в Калмыцкую Автономную Советскую Социалистическую Республику (КАССР).

В период Великой Отечественной войны 1941-1945 гг. летом 1942 года значительная часть Калмыкии была оккупирована немецкими войсками, но уже к январю следующего года Советская Армия освободила территорию республики. Воины Калмыкии мужественно сражались на фронтах Великой Отечественной войны и в партизанских отрядах в степях Калмыкии, в Белоруссии, на Украине, Брянщине и др. В боях за Дон и Северный Кавказ отличилась 110-я Отдельная Калмыцкая кавалерийская дивизия. Около 8 тысяч уроженцев Калмыкии были награждены орденами и медалями, 21 человек удостоены звания Героев Советского Союза.

В декабре 1943 г. калмыцкий народ был незаконно депортирован в Сибирь. КАССР была упразднена.

Нечеловеческие условия жизни и труда унесли жизни многих представителей калмыцкого народа, а годы ссылки до сих пор остались в памяти калмыков временем печали и скорби.

Только в 1957 году справедливость была восстановлена, и калмыки вернулись на родину. Была создана Калмыцкая автономная область, преобразованная в 1959 году в КАССР.

В республике интенсивно стали развиваться промышленность, сельское хозяйство, наука и образование, культура и искусство.

В 1993 г. в Республике Калмыкия были проведены президентские выборы, и первым Президентом РК стал Кирсан Илюмжинов. Программа Президента Республики Калмыкия К.Н. Илюмжинова направлена на улучшение социально-экономического положения республики, повышение жизненного уровня населения, возрождение калмыцкого языка.

1. Общая характеристика республики

.1 Элиста - столица республики

Город Элиста - столица Калмыкии находится на юго-западе республики в широкой долине, образовавшейся в южной части возвышенности Ергени, вытянутой с севера на юг Калмыкии.

По данным Государственного комитета по статистике РК на 01.01.2002 г. численность населения города составляет 109,9 тыс. чел.

По состоянию на 01.01.02 г. общая площадь г. Элисты составляет 39657 га, из них в черте г. Элисты - 21045 га, за чертой г. Элисты - 18612 га земель, переданных в ведение г. Элисты на основании Постановления Парламента РК от 06.06.1994 г. №208 "Об изменении административных границ Целинного района и г. Элисты".

Транспортную сеть города Элисты составляют 300 км автомобильных дорог, в т.ч. 220 км с асфальтным покрытием и 80 км с грунтовым. В частности через г. Элиста проходят дороги федерального значения: Элиста - Волгоград, Элиста - Махачкала, Элиста - Астрахань.

Внешние транспортные связи столицы республики осуществляются железнодорожной тупиковой линией Ставрополь - Элиста, автодорогами Ставрополь - Элиста - Волгоград, Элиста - Астрахань и Волгоград - Элиста - Кизляр, воздушным транспортом.

Началось планомерное озеленение и благоустройство города, закладываются парки, заменяется асфальтное покрытие на улицах, устройство цветников и газонов, мощение и освещение тротуаров, применение чугунного освещения других архитектурных форм, проводятся реконструкции улиц, принимаются меры по высококачественной отделке фасадов зданий.

Следует принять во внимание, что город Элиста наиболее крупный город республики, где сосредоточено 31,2 % населения Калмыкии. На долю г. Элисты в республиканских показателях приходится около 30 % основных фондов предприятий и организаций, капитальных вложений 32 %, в производстве промышленной продукции 45,1 %, в товарообороте розничной торговли и общественного питания более 70%, в общей численности занятых в народном хозяйстве 35%. В городе целый ряд отраслей, видов деятельности и соответственно функций имеют общероссийское, республиканское значение. По существу г. Элиста выполняет столичные функции, является политико-административным, национально-культурным и организационно-хозяйственным центром, что получило законодательное воплощение в Указе Президента РК "О городе Элиста - столице Республики Калмыкия" от 02.12.1997г. №189. Реализация данного указа значительно повысила уровень правовой, социально-экономический и культурный статус столицы Калмыкии.

В Элисте проходят международные, российские, республиканские, научные конференции по изучению и сохранению родного языка, по вопросам депортированных народов, по их реабилитации, по археологии юга России и Калмыкии, по борьбе с опустыниванием и меры их восстановления, проводятся совместные с учеными других регионов научные экспедиции, раскопки, социологические исследования современного общественного политического положения в регионе.

.2 Культура

В Калмыкии проводится работа по созданию правовых, организационных, экономических условий для работы учреждений культуры и искусства, сохранению и развитию традиционных видов творчества, реализации государственной культурной политики, направленной на сохранение самобытности национальных культур народов, проживающих на территории республики.

Базисную основу культуры и искусства составляют 3 театра, Государственное гастрольно-концертное учреждение "Калмконцерт", 2 музея, 3 театра, 175 библиотек, 246 клубных учреждений, училище искусств, 33 детских музыкальных, художественных школ, школ искусств, 5 профессиональных музыкально-хореографических коллективов.

Широкой популярностью пользуются произведения писателей, поэтов, драматургов Калмыкии. Творчество народного поэта Калмыкии Д.Н. Кугультинова известно не только в Калмыкии и других регионах России, но и во многих странах мира.

Хорошо зарекомендовали себя творческие коллективы: Государственный ансамбль песни и танца "Тюльпан", Государственный театр танца "Ойраты", "Национальный оркестр", Камерный хор.

По данной последней паспортизации памятников истории и культуры на территории Калмыкии более 233 памятников истории и культуры, 200 тыс. археологических памятников. Из общего числа памятников 5 объектов находятся под государственной охраной Российской Федерации.

В отрасли культуры работает 2794 человек, среди них большая группа работников, заслуживших своим трудом и талантом уважение и признание. В период с 1996-2002гг 132 чел. были удостоены почетных званий и государственных наград Российской Федерации и Республики Калмыкия.

.3 Религия

К началу 90-х годов Калмыкия на территории бывшего СССР была, наверное, единственной республикой, где фактически отсутствовали религиозные организации. На территории республики действовали всего 2 православные церкви, которые ютились в неприспособленных ветхих помещениях. Несколько поколений калмыцкого народа, в том числе и те, кто прошел через невзгоды сибирской ссылки 1943-1956 годов, выросли без духовного ориентира, не имели возможности познания своих национально-культурных истоков.

Несмотря на некоторое оживление религиозной жизни в республике кардинальных изменений не наблюдалось. Кардинальные изменения в религиозной жизни Калмыкии произошли, начиная с 1993 года.

В рамках действующих федеральных и республиканских законов были предприняты действенные меры по реализации прав граждан на свободу вероисповеданий. Позитивное отношение к религии со стороны руководства республики имело самый положительный резонанс. Именно на период с 1993 года приходится пик активизации религиозной деятельности. Повсеместно в селах, городах республики образовываются религиозные общины, строятся хурулы, православные церкви, направляются на учебу в буддийские монастыри Индии и Бурятии юноши из Калмыкии. Вся эта работа не носила стихийный характер, а направлялась государством. В настоящее время в республике 79 зарегистрированных религиозных организаций и около двух десятков религиозных групп. Свободно, в рамках законов действуют не только религиозные общины буддийской, православной, мусульманской конфессий, но общины католиков и протестантов.

Возрождение традиционных религий по сути дела начиналась с нуля. Вообще отсутствовала материальная база. В связи с этим основной упор на начальном этапе развития традиционных религий, особенно буддизма, был сделан на материальной базе, а именно строительстве хурулов, православных церквей.

Через возрождение религии можно возродит национальный дух народов проживающих в Калмыкии. Только уверенный в себе человек, опирающийся на национальные корни, традиции и обычаи может решать те задачи, которые ставит перед ним жизнь.

.4 Географическое положение и климат

калмыкия инвестиционный месторождение нефть

По административно - территориальному делению, принятому в Российской Федерации, регион Калмыкии имеет официальное наименование - Республики Калмыкия с административным центром в г. Элисте. Регион расположен в зонах степей, полупустынь и пустынь и занимает территорию с общей площадью 75,9 тыс. кв. км., что больше территории таких государств в Западной Европе как Бельгия, Дания, Швейцария и Нидерланды вместе взятые. Республика находится на юге - востоке европейской части Российской Федерации. На западе она граничит с Ростовской областью, на севере и северо-западе - с Волгоградской областью, на востоке - с Астраханской областью, на юге - с Республикой Дагестан и на юго-западе - со Ставропольским краем. Ее координаты составляют 44°50' и 40°10' восточной долготы и 41°40' и 47°35' северной широты. Протяженность территории республики с севера на юг 448 км, а с запада на восток - 423 км.

На территории Калмыкии условно выделяются три природно-хозяйственные зоны: западная, центральная и восточная. Западная зона охватывает территории Городовиковского и Яшалтинского районов, центральная зона - территории Малодербетовского, Сарпинского, Кетченеровского, Целинного, Приютненского и Ики-Бурульского районов, восточная - территории Октябрьского, Юстинского, Яшкульского, Черноземельского и Лаганского районов. Наиболее благоприятной по почвенно-климатическим условиям является западная зона.

Весьма крупной специфической территорией восточной зоны являются так называемые Черные земли.

С юга территория Калмыкии ограничена Кумо-Манычской впадиной и реками Маныч и Кума, в юго-восточной части омывается Каспийским морем, на северо-востоке на незначительном участке граница республики подходит к реке Волге, а на северо-западе расположена Ергенинская возвышенность. В пределах территории республики северная часть Прикаспийской низменности называется Сарпинской низменностью, а в ее южной части находятся Черные земли. Господствующим типом рельефа республики, занимающим большую часть ее территории, являются равнины.

Климат республики резко континентальный - лето жаркое и очень сухое, зима малоснежная, иногда с большими холодами. Континентальность климата существенно усиливается с запада на восток. Средние температуры января по всей республике отрицательные: от -7°...-9° в южной и юго-западной ее части до -10°-12° на севере. Самые низкие температуры иногда достигают -35° и выше в северных районах.

Особенностью климата является значительная продолжительность солнечных дней в году - 280. Продолжительность теплого периода составляет 240 - 275 дней. Средние температуры июля составляют 23,5° - 25,5°. Абсолютный максимум температуры в жаркие года достигает 40° - 44°.

Повышение температуры воздуха наблюдается с севера на юг и юго-восток территории республики. В зимний период бывают оттепели, в отдельные дни - метели, а иногда образующийся гололед наносит ущерб сельскому хозяйству, вызывая обледенение травостоя пастбищ и озимых культур.

Специфической особенностью территории республики являются засухи и суховеи: летом бывают до 120 суховейных дней. Регион является самым засушливым на юге европейской части России. Годовое количество осадков составляет 210-340 мм. По условиям влагообеспеченности в республике выделяются четыре основных агроклиматических района: очень сухой, сухой, очень засушливый, засушливый.

Млекопитающие представлены зайцем русаком, разнообразными грызунами (малый суслик, тушканчик, полевки и др.), хищниками (лисица-корсак, волк, светлый хорь).

Из крупных животных распространены сайгаки. Акклиматизирована ондатра. Из птиц - степной орел, жаворонки, серая куропатка, дрофа и др. В озерах и реках водятся сазан, вобла, щука, карась и др.

1.5 Минерально-сырьевая база

Калмыкия имеет весьма разнообразную минерально-сырьевую базу. Основу минерально-сырьевой базы Республика Калмыкия составляют топливно-энергетические ресурсы (нефть, газ, конденсат), строительные материалы (песок, глина, камень-ракушечник), пресные и минеральные подземные воды, агрохимическое сырье (калийные и каменные соли, доломиты) и другие.

Территория Республика Калмыкия является высокоперспективной для поисков месторождений нефти и газа, как на суше, так и на прилегающей акватории Каспийского моря.

В тектоническом отношении территория Республика Калмыкия расположена на стыке двух крупных платформенных структур - древней Восточно-Европейской (Русской) платформы и молодой Скифской плиты. Зоной сочленения этих элементов до настоящего времени считается сложно построенная и протяженная Каракульско-Смушковская покровно-надвиговая зона, в пределах которой дислоцированные палеозойские образования кряжа Карпинского надвинуты на платформенный подсолевой комплекс Прикаспийской впадины.

Древняя Восточно-европейская платформа представлена Прикаспийской впадиной. Мощность осадочного чехла в пределах Калмыкии составляет до 18 км.

Подземные воды. По Республике Калмыкия разведаны 30 месторождений, суммарные эксплуатационные запасы которых составляют 257,59 тыс.м³ в сут. На территории Республики Калмыкия сочленяются 4 крупных артезианских бассейна: Ергенинский, Северо-Каспийский, Восточно-Предкавказский и Азово-Кубанский. Наиболее крупные запасы пресных и слабосолоноватых подземных вод сконцентрированы в Ергенинском АБ. На площади его распространения разведано более 20 месторождений подземных вод с минерализацией 0,3-2,0 г/дм³. Общие разведанные запасы составляют около 111,59 тыс. м³ сут. Эксплуатационные запасы большинства месторождений незначительны - 0,25-2,8 тыс.м³ в сут.

Минеральные питьевые, лечебные и лечебно-столовые воды. На территории республики в её западной и южной части повсеместно распространены минеральные питьевые, лечебные и лечебно-столовые воды. Минерализация воды 1-15 г/дм³. По составу воды хлоридно-сульфатные натриевые без специфических компонентов. Глубина залегания подземных вод 20-200 м. Аналогами данных вод являются минеральные воды Алма-Атинская, Бердянская и др., которые можно использовать как лечебно-столовые воды.

Строительные материалы. Объемы производства строительных материалов в Калмыкии в последнее время резко снижено. В целях удовлетворения потребности организаций и нужд населения республики ведутся межреспубликанские поставки из ближайших областей. Покрытие дефицита стеновых материалов может быть решено за счет ввода в эксплуатацию месторождений кирпичного сырья во всех районах республики. Освоено 8 месторождений, эксплуатировались два месторождения.

На Гашунском месторождении песков ниже подошвы песков выявлены запасы керамзитовых глин и предварительно подсчитанные в объеме 336 тыс. м³. В эксплуатации находится одно месторождение плановой мощностью 80 тыс. м³ глины в год.

Бишофитовое сырье установлено в Малодербетовском и Сарпинском районах Калмыкии при бурении глубоких скважин на глубинах от 1475 м до 2693 м. Поисковая площадь оценивается в 360 км². Прогнозные запасы оцениваются в 10 млрд.т.

Фосфор, редкоземельно-урановое сырье. Практический интерес для получения фосфатных удобрений для Калмыкии и других регионов юга России представляют нетрадиционные фосфор содержание руды Ергенинского рудного района. Ергенинский рудный район, расположенный в основном, в Приютненском, Ики-Бурульском и Целинном районах Республики Калмыкия, включают 13 месторождений и ряд рудопроявлений фосфор - редкоземельно - урановых руд. Рудный район характеризуется достаточно детально поисковой изученностью. К числу разведанных месторождений относятся: Степное, Шаргадыкское, Богородское, Нугринское и северо-восточная часть Багабурульского рудного поля.

Выгодное географическое положение Калмыкии, близость к крупным индустриальным центрам с нефтеперерабатывающей и нефтехимической промышленностью, наличие транспортных артерий (газо- и нефтепроводов) позволяют рассматривать её как потенциальный район России для создания территориально-производственных комплексов по добыче и переработке газа, нефти и конденсата.

.6 Топливно-энергетический комплекс

Территория Республики Калмыкия относится к регионам с доказанной промышленной нефтегазоносностью и является высокоперспективной для дальнейших поисков газа и нефти. Минимальные оценочные показатели на территории республики составляют по нефти и конденсату около 5,5 млрд. тонн, газу - 520 млрд. кубических метров. При этом разведанность составляет всего 1,7 %.

В настоящее время на территории Республики Калмыкия открыты 38 месторождений нефти и газа, в том числе 17 нефтяных, 10 газовых, 6 нефтегазовых и 5 нефтегазоконденсатных. Добыча нефти производится из 23 месторождений, газа из 11 месторождений.

Республика не имеет электрических генерирующих мощностей. С учетом роста потребления электроэнергии за счет ввода в эксплуатацию порта Лагань, участка экспортного нефтепровода Тенгиз-Астрахань-Новороссийск, стекольного завода, спиртзавода в г. Элиста и других производственных объектах годовое потребление электроэнергии в ближайшие годы превысит 1300 млн. КВт/ч.

Поэтому, с целью удовлетворения потребностей республики в электрической и тепловой энергии ведется строительство Калмыцкой ветроэлектростанции (КВЭС) мощностью 22 МВт. и Элистинской парогазовой электростанции (ЭПГЭС) мощностью 320 МВт. Годовой отпуск электроэнергии составит 1374 млн. КВт.час, тепловой энергии - 480 тыс. ГКал. Тарифы, на отпускаемые с шин ЭПГЭС электроэнергию и тепло, прогнозируются ниже общероссийских.

.7 Промышленность

Пищевая промышленность. Депрессивное состояние агропромышленного комплекса, отсутствие материальных стимулов во взаимодействии между сельхоз-товаропроизводителями и переработчиками, слабая материально-техническая база действующих предприятий, возрастание разрыва между потенциальными возможностями выпуска продукции предприятиями и платежеспособным спросом отрицательно сказываются на результатах работы предприятий пищевой промышленности.

Неэффективная работа предприятий пищевой промышленности негативно влияет на наполнение продовольственного рынка республики и, как следствие, на увеличение доли продукции, завозимой из соседних регионов (Ставропольский и Краснодарский края, Волгоградская и Ростовская области). Завозятся в основном молоко и молокопродукты, колбасные, кондитерские, макаронные и крупяные изделия.

Для оживления промышленного производства перерабатывающих предприятий в республике будет принят ряд мер по постепенному переходу к модели экономики, рост которой будет обеспечиваться за счет более быстрого и ускоряющегося развития перерабатывающей промышленности, за счет мобилизации всех факторов повышения эффективности - структурных, технологических и организационных.

Базой развития глубокой, комплексной переработки мяса за счет более полного использования сопутствующих и вторичных продуктов убоя скота, птицы и на этой основе - выработка новых видов мясных изделий с повышенной пищевой и биологической ценностью определен Аршанский мясокомбинат. Комбинат является крупным и ведущим мясоперерабатывающим предприятием с проектной мощностью 10080 тонн мяса, включая субпродукты 1 категории и 1000 тонн колбасных изделий. В настоящее время функционирует цех по переработке КРС и МРС с пропускной способностью 300 и 2000 голов в смену соответственно.

В целях реализации данного проекта Постановлением Правительства Республики Калмыкия от 29.02.2000 г. № 51 "О закупках сельскохозяйственной продукции, сырья и продовольствия в республиканский фонд в 2000 году" на ООО "Аршанский мясокомбинат" возложены функции государственного заказчика по закупке, переработке, хранению и реализации мяса, в том числе и бюджетным организациям, финансируемым из республиканского бюджета.

В целях сокращение ввоза муки, макаронных и крупяных изделий из-за пределов республики предусматривается строительство в п. Яшалта мельницы с мощностью 80 т/сут. Мельница обеспечит мукой, манной крупой и макаронами не только население республики, но и потребности близлежащих районов Ставропольского и Краснодарского краев.

Большое значение в пополнении продовольственных ресурсов имеет рыбное хозяйство.

Одной из особенностей республики является наличие внутренних водоемов, общая площадь которых оценивается примерно в 50 тыс. га, из них рыбопромыслом охвачено ориентировочно 30 тыс. га.

Продуктивность Каспия в Калмыцкой зоне промысла позволяет довести вылов рыбы до 5 тыс. тонн. Однако сырьевые ресурсы Северного Каспия используются неэффективно. Определяемая Республике Калмыкия квота на вылов рыбы ежегодно осваивается на 75-80 % из-за роста глубины моря, расширения ареала распространения рыб, затруднения постановки орудий лова.

В настоящее время, на фоне снижения эффективности естественного размножения осетровых, сохранение популяционного генофонда и увеличение запасов молоди целесообразно осуществлять за счет интенсификации заводского воспроизводства. В этих целях необходимо строительство:

·        осетрового рыборазводного завода в г. Лагань мощностью 7 млн. штук молоди массой 7-10 грамм;

·              осетрового товарного хозяйства в г. Лагань, мощностью 50 тонн осетровой рыбы.

Легкая промышленность в экономике республики занимала в прошлом заметное место, начиная от формирования бюджета до обеспечения одного из важнейших условий жизнедеятельности населения - удовлетворения потребности в товарах первой необходимости. К 2001 году здесь сложились самые высокие темпы падения производства. Около 80 % основных фондов не могут быть задействованы без реконструкции или замены. Из-за стремительной экспансии импортных изделий снижается платежеспособный спрос на выпускаемую продукцию. В отрасли предстоит осуществить серьезные структурные, технико-технологические и организационно-экономические преобразования.

Одним из основных направлений структурной перестройки легкой промышленности является развитие процессов углубления переработки натуральной шерсти, меховой овчины, пушнины и кожевенного сырья в широкий ассортимент конкурентоспособных товаров народного потребления.

Организация замкнутого цикла переработки шерсти к 2010 г. позволит:

·        открыть 280 дополнительных рабочих мест;

·              снизить себестоимость мытой шерсти в 2,7 раза, тем самым завоевать рынки сбыта в России и СНГ;

·              реанимировать швейные, трикотажные фабрики республики, обеспечив их дешевым сырьем (шерстью - топс, пряжей и трикотажным полотном).

Развитие производства кожевенного завода предусматривает расширение ассортимента и увеличение объема выпуска меховой и кожаной продукции, усовершенствование технологий выделки и переработки мехового сырья местного производства, применение отечественных химикатов и красителей, реконструкцию лаборатории химического анализа, усиление природоохранных мероприятий.

Развитие легкой промышленности будет способствовать достижению качества продукции соответствующих мировых стандартов и существенным снижениям издержек производства продукции, что повысит рентабельность производства до 20 %.

Нефтегазовая промышленность. В Республике Калмыкия 10 недропользователей, имеющих действующие лицензии на пользование недрами по нефти и газу:

1.   ОАО "Калмнефть" имеет 19 лицензий, в т.ч.

o   на добычу нефти - 15 лицензий (Солянковое, Калининское, Курганное, Дорожное, Красно-Камышанское, Восточно-Камышанское, Северо-Камышанское, Северо-Комсомольское, Комсомольское, Майли-Харанское, Чулута, Тенгутинское, Надеждинское, Шахметское, Екатериниское), выданных согласно "Положению о порядке лицензирования пользования недрами" (подтверждение права пользования недрами), срок действия лицензий - 20 лет;

o     на поиски, разведку и добычу нефти и газа - 2 лицензии (Кекеусунско-Межозерный и Черноземельский участки), выданные по результатам конкурса на получение права пользования недрами пяти блоков на территории Республики Калмыкия от 4 ноября 1998 года, срок действия лицензий 25 лет;

o     на геологическое изучение недр с целью поисков и оценки месторождений углеводородного сырья - 2 лицензии (Малодербетовский участок и Уланская структура), выданные в соответствии со ст. 10-1 пункт 5 совместным решением Правительства РК и Комитета природных ресурсов по РК № 15 и 16 от 9 февраля 2001 года, срок действия лицензий 5 лет;

2.   ОАО "Калмгаз" имеет 4 лицензии в т. ч.

o   на добычу газа - 4 (Совхозное, Шаджинское, Ики-Бурульское и Царынское месторождения), лицензии были выданы по пункту 19 "Положения о порядке лицензирования пользования недрами" - подтверждение права пользования недрами сроком на 20 лет, лицензии были переданы от "Калмнефти".

3.   ООО "Лукойл-Астраханьморнефть" - имеет 1 лицензию, в т.ч.:

o   на геологическое изучение недр с последующей опытно-промышленной эксплуатацией залежей УВ"- 1 лицензия (Олейниковско-Межевой участок), выданная по совместному решению Правительства РК и Комитета природных ресурсов по РК № 4 от 26.06.2000 г. сроком на 5 лет. Срок действия лицензии на добычу нефти по Олейниковскому месторождению истек 01.01.2002 года.

4.   ЗАО "КалмТатнефть" имеет 4 лицензии, в т.ч.:

o   на добычу нефти и газа 2 лицензии (месторождения Манычское и Таша), выданные по п. 19 "Положения о порядке лицензирования пользования недрами" сроком на 20 лет.

o     на геологическое изучение, разведку и добычу нефти и газа - 2 лицензии (Кумо-Манычский и Цекертинский участки недр), выданные МПР РФ по результатам конкурса от 29.05.2000 г. сроком на 25 лет.

5.   ДГП "Калмнедра" имеет 6 лицензий, в т.ч.

o   на геологическое изучение недр с последующей опытно -промышленной эксплуатацией залежей нефти и газа - 3 лицензии (Баирская, Зултурганская и Цекертинская площади), выданные по п. 19 "Положения о порядке лицензирования пользования недрами" - подтверждение права пользования недрами сроком на 5 лет;

o     на геологическое изучение недр с целью поисков и оценки месторождений углеводородного сырья - 2 лицензии (Узорная, Бабаевская и Свиридовская структуры), выданные по совместным решениям Правительства РК и Комитета природных ресурсов по РК № 13 от 9 февраля и № 18 от 2 марта 2001 года.

o     на геологическое изучение недр с последующей добычей нефти и газа - 1 лицензия (Эркетеновская площадь), выданная по п. 19 "Положения о порядке лицензирования пользования недрами" - подтверждение права пользования недрами сроком на 25 лет.

6.   ООО "Кавказтрансгаз" имеет 1 лицензию на добычу газа Радыковского газового месторождения, выданную по п. 19 "Положения о порядке лицензирования пользования недрами" сроком на 20 лет.

7.      ЗАО "Нефтяная компания Калмистерн" имеет 1 лицензию на добычу нефти Каспийского месторождения, выданную Министерством природных ресурсов РФ сроком на 20 лет.

.        ЗАО "Калмпетрол" имеет 2 лицензии, в т.ч.

o   на добычу нефти Улан-Хольского нефтегазоконденсатного месторождения, выданную сроком на 25 лет;

o     на геологическое изучение недр и добычу углеводородов Состинской площади, выданную на основании совместного решения Правительства Республики Калмыкия и Комитета природных ресурсов по РК № 5 от 4 сентября 2000 года.

9.   ООО "Оникс Плюс" имеет 1 лицензию на геологическое изучение недр Ярмолинской площади с целью поисков и оценки месторождений УВ - сырья, выданную на основании совместного решения Правительства Республики Калмыкия и Комитета природных ресурсов по РК сроком на 5 лет.

.     ОАО "Калмнефтегаз" имеет 3 лицензии на геологическое изучение недр в пределах Кануковско-Сарпинского, Смушковско-Красно-Худукского и Доланско-Эрдниевского участков, выданные на основании совместного решения Правительства Республики Калмыкия и Комитета природных ресурсов по РК № 19 от 2 марта 2001 года.

.8 Агропромышленный комплекс

Агропромышленный комплекс - это совокупность отраслей, связанных с развитием сельского хозяйства. Это - крупный комплекс страны, сформировавшийся как единое целое в середине 70-х годов.

Задача агропромышленного комплекса заключается в максимальном удовлетворении потребностей населения в продуктах питания и в товарах народного потребления.

В экономике Республики Калмыкия ведущее место занимает агропромышленный комплекс. На долю Калмыкии приходится 2,7% всех сельскохозяйственных угодий России; 0,7% пашни; 8% пастбищ. Из общей площади сельскохозяйственных угодий Республики Калмыкия орошаемое земледелие занимает немногим более 1%, на долю орошаемой площади приходится 6,6% всей пашни. В начале 90-х годов началось реформирование отрасли, что привело к ряду существенных преобразований: осуществлена приватизация 86% предприятий, обслуживающих сельскохозяйственное производство, 73% предприятий пищевой и перерабатывающей промышленности. Реформирована собственность 53 предприятий агропромышленной отрасли, бывших колхозов и совхозов.

В Республике Калмыкия развитие агропромышленного комплекса во многом зависит от природно-климатических факторов. Республика Калмыкия постоянно подвергается воздействию засухи. Примерно один благополучный чередуется с 2-3 неблагополучными годами. По природно-климатическим и другим условиям на территории республики имеются три зоны: Западная, Центральная и Восточная. Первая из них - зернового и животноводческого направления, вторая зона - тонкорунного овцеводства и мясного скотоводства, устоявшегося производства зерна, наконец, третья зона - зона тонкорунного и каракульского овцеводства в сочетании с мясным скотоводством. В этой же зоне на прибрежных участках Каспийского моря и Волги, а так же на других участках орошаемого земледелия развито овощеводство и кормопроизводство. В зоне Сарпинской низменности возделывается рис.

В сельскохозяйственном производстве Калмыкии внедряются новые организационные структуры, основанные на различных формах собственности и хозяйствования.

В первом полугодии 2002 года в республике насчитывалось 131 сельскохозяйственное предприятие различных форм собственности и хозяйствования. В 2002 году наибольший удельный вес (62%) среди всех сельскохозяйственных предприятий принадлежит сельскохозяйственным кооперативам (СПК), государственные унитарные предприятия ГУП составляют 24%, ФГУП - 5,4%, ООО - 3%.

В результате реализации и специально разработанной конкретной Программы развития этих отраслей наметились тенденции к стабилизации и росту производства в земледелии. Если в 2000 году было собрано 228 тыс. тонн зерна, то в 2001 году - 406 тыс. тонн и 432 тыс. тонн в 2002 г.

Животноводство - основная отрасль сельского хозяйства Калмыкии. В 2000-2002 годы в сельскохозяйственном производстве Калмыкии наметились позитивные сдвиги и обеспечивается рост производства продукции отрасли. Например, за 2002 год сельскохозяйственные предприятия обеспечили рост производства продукции на 25% по сравнению с 2000 годом.

В животноводстве улучшается не только работа по качественному составу животных, но и по своевременному проведению ветеринарно-санитарных мероприятий, обеспечению устойчивой кормовой базы, соблюдению технологических приемов и т.д.

Развитие сельского хозяйства и его реформирование в переходный период происходят в условиях общеэкономического кризиса страны. За последние десять лет в производственном потенциале отрасли произошли негативные изменения. К примеру, основные виды техники существенно уменьшились в количественном составе, и резко снизилось их качественное состояние.

Вследствие значительного диспаритета цен, сельскохозяйственные предприятия не имеют возможности приобретать необходимое количество новой техники, хотя потребность в высокопроизводительной технике ежегодно растет.

В развитие агропромышленного комплекса Калмыкии немалый вклад вносят крестьянские (фермерские) хозяйства. Благодаря своевременно принятым мерам был предотвращен спад производства в многих таких хозяйствах. Однако сохраняется тенденция снижения количества этих хозяйств. Они сократились с 1813 в 1996 году до 1640 в 2002 году.

Личные подсобные хозяйства населения при переходе к рынку играют весьма существенную роль в укреплении продовольственного комплекса и обеспечения граждан продуктами питания в количестве и качестве, достаточном для нормальной жизнедеятельности. Значение этих хозяйств возрастает в условиях спада производства в сельскохозяйственных предприятиях. На 1 января 2002 года в Калмыкии насчитываются 68915 личных подсобных хозяйств.

Снижение производства мяса, молока и шерсти связано с низкой продуктивностью животных, со слабой кормовой базой в личных подобных хозяйствах населения, что ведет к забою маловесного скота. На это влияет также отсутствие должностной племенной работы в этих хозяйствах и поэтому во многих из них снижаются породные качества скота.

Необходимо отметить, что поддержка личных подсобных хозяйств населения со стороны крупных сельскохозяйственных предприятий в связи с тяжелым экономическим положением последних значительно сокращается, также надо признать, что часть сельских граждан, имеющих личные подсобные хозяйства, сами потеряли необходимую связь с сельскохозяйственными предприятиями, которые раньше оказывали помощь им в ведении приусадебного хозяйства.

В целях приостановления спада сельскохозяйственного производства, возобновления экономического роста отрасли, завершения институциональных преобразований в республике в 1999 году разработана Концепция среднесрочной программы развития отраслей сельскохозяйственного производства Республики Калмыкия на 1999 - 2005 гг., в которой намечены основные параметры развития отрасли агропромышленного комплекса. Принята республиканская целевая программа "Социальное развитие села в Республике Калмыкия на 2002 - 2006 гг. и на период до 2010 года".

мая 2001 г. принят Указ Президента Республики Калмыкия "О президентской целевой программе "Возрождение традиционного пастбищного животноводства" (2001 - 2010 гг.), в котором намечена модель развития отраслей животноводства в регионе на основе выращивания пастбищным методом четырех видов скота калмыцкой породы: крупного рогатого скота, лошадей, курдючной мясосальной овцы и верблюдов.

Важные задачи, стоящие перед сельским хозяйством, требуют совершенствования инвестиционной политики, улучшения функционирования всех блоков агропромышленного комплекса, повышения качественных характеристик средств производства, получаемых отраслью от промышленности, лучшей сбалансированности имеющихся в отрасли материально-технических ресурсов, обеспечения отрасли достаточным количеством более производительной техникой и другими средствами производства с относительно меньшей стоимостью, существенного улучшения отдачи ресурсного потенциала и совершенствования его структуры. Решающее воздействие на использование имеющегося производственного потенциала оказывают трудовые ресурсы отрасли, поэтому необходимо более полно использовать человеческий фактор.

1.9 Транспорт

Развитие транспортной инфраструктуры относится к приоритетным задачам государственной деятельности. Основная цель развития транспортной инфраструктуры республики - создание условий для улучшения социально-экономического положения путем снижения издержек транспортировки товаров, грузов и пассажиров по территории республики и страны, улучшения качества и безопасности транспортных перевозок, обеспечения растущих потребностей экономики Республики Калмыкия и России в транспортных услугах.

Основными задачами развития транспортного комплекса являются:

·        интеграция транспортного комплекса в мировую транспортную систему, формирование на территории республики и России конкурентоспособных международных транспортных коридоров с максимальным использованием выгод географического положения Республики Калмыкия;

·              обеспечение безопасного функционирования транспорта и снижения негативного воздействия транспорта на окружающую среду до уровня, соответствующего международным нормам;

Программа развития транспортной инфраструктуры включает направления:

·        реализация транзитного потенциала республики и России;

·              развитие транспортной авиации;

·              развитие инфраструктуры железных дорог и конкурентного сектора железнодорожных перевозок;

·              развитие системы автомобильных дорог и дорожной инфраструктуры;

Анализ обстановки в регионах российского Прикаспия (политической, экономической, географической, климатической, гидрогеологической и т.д.) позволяет утверждать о необходимости задействовать географически самый оптимальный выход к странам Ближнего Востока, Западной Азии и Персидского залива через Российское побережье Каспийского моря - Порт Лагань (Республика Калмыкия, Россия). Порт Лагань находится в 150 км. южнее основного российского порта на Каспии - г. Астрахань и строящегося порта Оля в Астраханской области, т.е. ближе к территории Ирана. Протяженность Каспийского канала до п. Лагань - 45 км. Здесь предлагается организация паромного сообщения - Трансконтинентального железнодорожно-морского коридора "NOSTRAC" ЕВРОПА-АЗИЯ, что позволит не только соединить железные дороги Скандинавских стран, стран СНГ и Восточной Европы с Ираном, но и также через железнодорожные сети Ирана выйти на Пакистан, Индию, Объединенные Арабские Эмираты, Саудовскую Аравию, Кувейт и Ирак. Для функционирования предлагаемого паромного сообщения необходима инфраструктура портовых сооружений:

·        строительство подъездного ж/д участка к порту Лагань (42 км.) от магистральной ж/д;

·              строительство технологической инфраструктуры портовых комплексов (сухой док, база ремонта, станция водоочистки и т.д.);

·              строительство социальной инфраструктуры порта (жилые дома, дороги, магазины и т.д.);

·              строительство инфраструктуры таможенных и пограничных служб;

·              строительство подходного морского канала в районе порта Лагань (77 км.) прохода паромных судов с осадкой 8.5 м.

·              реконструкция подходного морского канала к порту "Лагань" (30 км) для прохода паромных судов.

Сумма капитальных вложений в портовую инфраструктуру составит - 7800 млн. рублей.

Кроме того, на организацию паромного сообщения потребуется 14550 млн. рублей, в том числе на строительство 4-х единиц железнодорожно - автомобильно-пассажирского паромного комплекса с контейнерной площадкой - 12400 млн. рублей.

В целях реализации проекта создан международный консорциум "Нострак", объединивший 12 стран: Индия, Пакистан, Япония, Иран, Россия, Казахстан, Украина, Германия, Франция, Оман, Катар и Кувейт. Председателем совета директоров избран Президент Республики Калмыкия Илюмжинов К.Н. Консорциум "Нострак" будет управлять работой транспортного коридора и связанной с ним инфраструктурой. Интересы российских инвесторов и государственных ведомств будет представлять в консорциуме специально созданная в Российской Федерации компания "Российские трансконтинентальные линии". Деятельность "Нострак" будет осуществляться под эгидой ЮНИДО - организации ООН по промышленному развитию. Это дает освобождение от таможенных и других пошлин на срок окупаемости.

Организуемое пассажирское, автомобильное, железнодорожное паромное сообщение между портами Нау-Шахр (Иран, Каспийское море) и Лагань (Россия, Каспийское море), предполагается рассматривать как составную часть железнодорожного транспортного коридора Хельсинки - Москва - Тегеран - Дубай. Данный транспортный коридор соединит автомобильные и железнодорожные магистрали, которые обеспечат не только нужды клиентов в смешанных мультимодальных перевозках между Европой, Ближним Востоком и Западной Азией. Даст возможность доставки грузов в бесперевалочном варианте, и обеспечить наибольшую степень безопасности для грузовых и пассажирских потоков при одновременном сокращении сроков и стоимости перевозок. Для организации грузопотока в Каспийском бассейне предлагается использовать 4 современных железнодорожных автомобильно-пассажирских паромных судна и 6 только железнодорожных паромных судов.

Прокладка транспортного трансконтинентального коридора по территории России дает дополнительный рычаг воздействия на страны Прикаспийского региона, Средней Азии и повышает ее авторитет в Европейском Сообществе.

По территории Республики Калмыкия проходит маршрут нефтепровода Тенгиз-Новороссийск Каспийского нефтепроводного консорциума (КТК) для транспортировки сырой нефти от Тенгизского месторождения и других близлежащих месторождений в Казахстане и России до терминала на побережье Черного моря в районе г. Новороссийск.

В строительстве части нефтепровода на территории Калмыкии (275 км.) были задействованы трудовые и технические ресурсы республики.

За период эксплуатации трубопровода (40 лет) в федеральный и региональные бюджеты России поступит примерно 23,3 млрд. долл. США, из которых бюджет Республики Калмыкия получит примерно 1,8 млрд. долларов США.

Таким образом, реализация проекта КТК-Р становится мощным стимулом для развития экономики и России и Республики Калмыкия.

Реконструкция аэропорта Элиста

Аэропорт Элиста сдан в эксплуатацию в 1971 году. Класс аэропорта - 4. Класс аэродрома - "Г", годен для приема и выпуска самолетов ТУ-134, ЯК-42, ЯК-40, АН-12 и воздушных судов классом ниже. Ограничения для самолетов ИЛ-18 и МИ-10 - не более 10 в сутки.

Аэропорт расположен в 8 км севернее г. Элиста и в 5 км восточнее от автотрассы Элиста-Волгоград, которая связывает автотрассы на регионы Северного Каспия.

августа 1996 г. распоряжением Правительства Российской Федерации № 1265 - р принято предложение ФАС России об открытии аэропорта "Элиста" для международных полетов. В этой связи ведется реконструкция аэропорта до соответствия международным стандартам.

Для завершения реконструкции и дальнейшей эксплуатации аэропорта необходимо финансовых средств в сумме 140 млн. рублей. По завершению реконструкции аэропорта, согласно нормам годности эксплуатации гражданских аэродромов России, аэродрому будет присвоен класс "Б", будет обеспечиваться безопасный прием и выпуск воздушных судов типа ТУ-134, ТУ-204 и классом ниже круглый год, в любое время суток, в сложных метеоусловиях.

Выгодное географическое положение Калмыкии позволяет использовать аэропорт Элиста в качестве международного транзитного аэропорта на маршрутах "Европа-Азия", при этом значительно сократится протяженность авиамаршрутов из Европы в Юго-Восточную Азию, следовательно, снизится стоимость авиаперевозок, и будут созданы условия для эффективной деятельности воздушного транспорта Российской Федерации и Республики Калмыкия.

Повышение качества автомобильных дорог позволит сократить сроки перевозок, повысить время эксплуатации автомашин и их запасных частей, следовательно сократить затраты на перевозки.

.10 Связь

В современных условиях связь Калмыкии является одной из перспективных, быстро развивающихся базовых инфраструктурных отраслей, обладающих потенциалом досрочного экономического роста.

Роль связи в социально-экономической ситуации в стране определяется неизбежностью наметившегося перехода общества от индустриального к информационному.

Открытое акционерное общество "Электросвязь" Республики Калмыкия создано в июне 1994 года в результате приватизации государственного предприятия связи и информатики "Россвязьинформ".

ОАО "Электросвязь" РК является основным оператором местной и зоновой телефонной связи в Республике Калмыкия.

В состав ОАО "Электросвязь" РК входят 15 филиалов, в т. ч. Междугородная телефонно-телеграфная станция, Элистинская городская телефонная станция и 13 узлов электросвязи в районах республики.

В компании работает более 1300 человек, большинство из которых имеют высшее образование и многолетний опыт работы.

Связь включает в себя две крупные составляющие: электрическую и почтовую, которые в свою очередь разделяются на самостоятельные подотрасли.

В настоящее время органам Госсвязьнадзора Российской Федерации выдано 11 лицензий на территории Калмыкии для осуществления деятельности в области связи, в том числе 8 - на деятельность в области электросвязи (включая радиосвязь), 2 - в области телерадиовещания. На предоставление услуг почтовой связи выдана 1 лицензия.

Почтовая связь по-прежнему доминирует на рынке услуг по распространению печати.

Динамичное внедрение высоких технологий, стремление удовлетворить возрастающие потребности населения и экономики вызывают к жизни новые услуги электрической связи. Растет спрос на услуги документальной электросвязи и информационно-телекоммуникационной сети "Интернет". Набирают темп услуги сотовой и пейджинговой связи.

Протяженность междугородных телефонных каналов составляет 3,4 тыс. каналокилометров

В республике в сети общего пользования установлено 54,6 тыс. телефонных аппаратов (включая местные таксофоны), в том числе основных - 53,6 тыс. штук, из них установлено у населения 44,6 тыс. штук.

На ближайший период мероприятия базовых предприятий связи должны быть направлены на расширение службы передачи данных, электронной почты, привлечения абонентов сети "Интернет" - путем коллективного пользования по приему и передаче средствами факсимильной связи текстовых или графических сообщений. В июле 1994 г. в столице Республики Калмыкия г. Элиста был открыт филиал "ОАО "ИнфоТеКС"" (Информационные Технологии и Коммуникационные Системы). Основной деятельностью филиала является предоставление услуг качественной цифровой междугородной и международной телефонной связи выделенной телефонной сети Глобал Один, услуги доступа в Интернет, факсимильной связи.

.11 Архитектура и строительство

В строительном комплексе Калмыкии функционируют около двухсот строительных организаций, среди которых есть по формам собственности государственные, муниципальные, частные и смешанные. Материально-техническая база строительных организаций состоит из зданий, сооружений, передаточных устройств, машин и оборудования, транспортных средств, различного производственного и хозяйственного инвентаря и других ресурсов. В связи с экономическим кризисом, который охватил многие отрасли и в том числе строительную, парк основных строительных машин и оборудования обновляется очень медленно.

За период с 1996 года по первое полугодие 2002 года объекты промышленного назначения в строительной отрасли не вводились.

К началу проведения 33 Всемирной шахматной Олимпиады построен город Шахмат - Сити Чесс с дворцом "Сити Чесс Холл". В целях расширения жилищного строительства 3 января 2002 г. принят Указ Президента Республики Калмыкия "О республиканской Президентской программе "Жилище - 2002", в соответствии с которым утверждена республиканская целевая программа "Жилище - 2001".

В успешной реализации республиканской Президентской программы "Жилище - 2001" заинтересованы руководители предприятий, министерств и ведомств, так как Программа решает большую социальную проблему. Программа является долгосрочной.

За первый год реализации программы в республике достигнут существенный рост в строительстве жилья, особенно в сельской местности. Введено в эксплуатацию 810 квартир общей площадью 76, 8 тыс. кв. м.

Для реализации программы с министерствами, ведомствами, предприятиями и организациями была проведена большая работа по привлечению внебюджетных источников финансирования в жилищное строительство, в результате в 2001 году на финансирование программы за счет всех источников (без учета средств индивидуальных застройщиков) было использовано более 200 млн. рублей.

За первое полугодие 2002 г. в республике введено в эксплуатацию 377 квартир общей площадью 31,2 кв. м. Немалое внимание уделяется ипотеке. Ипотечное кредитование должно получить отраслевую прописку и приносить максимум пользы строительному производству и индивидуальным застройщикам.

Указом Президента Республики Калмыкия от 08.05.2001 г. № 69 "О государственной поддержке населения в строительстве и приобретении жилья" утверждена Концепция развития системы ипотечного жилищного кредитования в Республике Калмыкия, постановлением Народного Хурала (Парламента) Республики Калмыкия от 02.11.2001 г. № 578-II принят закон Республики Калмыкия "О развитии долгосрочного ипотечного жилищного кредитования в Республике Калмыкия".

В стадии рассмотрения находится республиканская программа "Развитие ипотечного жилищного кредитования в Республике Калмыкия", в которой основным источником финансирования на первом этапе определен республиканский бюджет.

Планируется привлечение кредитных средств банков, личных средств граждан и внебюджетных источников.

В производстве местных строительных материалов намечается освоить выпуск качественного керамического и силикатного кирпича, увеличить выпуск керамзитового гравия. Рассматривается вопрос об освоении производства ячеистых блоков и других эффективных материалов.

1.12 Отдых и туризм

Калмыкия обладает туристским потенциалом, который до настоящего момента так и не востребован в полной мере. Историко-культурное и природное наследие калмыцкого народа, древние национальные традиции, народные промыслы - все это способствует развитию таких видов туризма как деловой, культурно-познавательный, конфессионально-ознакомительный, экологический, конный, спортивный и другие.

В Калмыкии уникальные памятники природы, заповедные места, богатая растительность и редкие птицы. Здесь пролегал Великий Шёлковый Путь, обитали хазары, строила города Золотая Орда, находятся остатки Сарай-Берке - второй столицы Золотой Орды. Именно здесь находится Великий Исторический Перекрёсток, географический центр Евро-Азиатского материка.

Развитию туризма в Республике Калмыкия в немалой степени способствует выгодное географическое положение республики. Наиболее значимый объект на землях особо охраняемых территорий республики - биосферный заповедник "Черные земли", расположенный на территории Черноземельского и Яшкульского районов.

Кроме заповедника, на территории Калмыкии действуют 14 заказников. Наиболее крупные заказники федерального значения - Сарпинский, Харбинский и Меклетинский - главным образом сориентированы на охрану сайгаков. На базе охотничьих промысловых участков организованы три зоологических заказника: "Южный", "Зунда" в Ики-Бурульском районе и "Манычский" в Приютненском районе.

В совокупности указанные территории занимают более 20% площади республики.

За последнее десятилетие воссоздано множество хурулов и церквей, значительно облагородился внешний вид республики, особенно её столица - г. Элиста. Следуя традициям национального колорита, построены и продолжают строиться новые здания, объекты досуга, торговли и общепита.

В ноябре 2001 г. аэропорту г. Элиста присвоен статус международного. Теперь Калмыкия обладает одним из самых лучших аэрокомплексов на Юге России. Асфальтобетонная полоса имеет длину 3 км 200 м и может принимать как пассажирские, так и грузовые большетоннажные лайнеры типа ИЛ-86, ТУ-204, Боинг-757 и т.п.

Параллельно с сохранением традиционных образов буддийской архитектуры, развивается инновационная динамика в проектировании и строительстве. Сити-Чесс - одно из направлений в этой области. При комплексном подходе территориальная единица Сити-Чесс способна выступить не только как объект компактного проживания, но и как место проведения коммерческих выставок и ярмарок в сфере туризма.

Одна из характерных особенностей калмыцкого туристского продукта - его экзотический характер, связанный с уникальными природными комплексами, спецификой этнографии и историко-культурной среды республики. В условиях обострения проблем сохранения окружающей среды широкое распространение в республике получит развитие экотуризма как экологически безопасной формы отдыха и путешествий.

Министерство по делам молодёжи, туризму и спорту Республики Калмыкия является органом исполнительной власти в сфере развития туризма. С 1997 по 2002 годы министерству были делегированы полномочия на право осуществления лицензирования международной туристской деятельности. В результате более чем над тридцатью турфирмами из Республики Калмыкия и других регионов России, получивших лицензии, осуществлялись надзорные и контрольные полномочия.

В связи с тем, что Указом Президента Республики Калмыкия "О развитии туристской деятельности в Республике Калмыкия" 2001 год объявлен в республике Годом развития туризма, разработана и утверждена Республиканская целевая программа "Развитие туристской деятельности в Республике Калмыкия на 2001-2006 годы".

В рамках данной программы, помимо организационных мероприятий, предусматривается капитальное строительство объектов туристской индустрии, в том числе национального туристического комплекса "Джангарленд", а также подведение к ним коммуникаций (газификация, водоснабжение, электрификация, строительство и реконструкция автодорог).

Инвестиционные проекты строительства объектов туристской индустрии Республики Калмыкия включены в федеральную целевую программу "Юг России". Объем финансирования на Республику Калмыкия из федерального бюджета программы составит 120,7 млн. руб. (на период реализации программы). На сегодняшний день Проектным институтом Калмыкии уже подготовлены эскизные проекты объектов туристской индустрии, которые были направлены на рассмотрение в Правительство РК.

Постановлением Правительства Российской Федерации от 11 февраля 2002 года № 95 утверждены Положения "О лицензировании туроператорской деятельности", "О лицензировании турагентской деятельности". Министерством по делам молодёжи, туризму и спорту Республики Калмыкия выдано 18 лицензий на осуществление турагентской деятельности.

Одним из способов интеграции турпродукта Республики Калмыкия в структуру туристской индустрии Южного Федерального округа может послужить разработка маршрута "Степное кольцо - Шелковый путь" (или другое наименование), в котором будут объединены туристические маршруты субъектов региона. Немаловажное значение в формировании туристских маршрутов имеют результаты Международной научной экспедиции "По следам Великого Шелкового пути" Фёдора Конюхова.

.13 Здравоохранение

Прошедшие 90-е годы в России характеризуются, как период реформирования государственных, общественных и хозяйственных структур, радикальность и стремительность которых остро отразились на демографии, состоянии здоровья населения страны и поставили в сложнейшие условия функционирование здравоохранения в целом. Тем не менее, несмотря на все сложности переходного периода, здравоохранение Калмыкии функционировало по ключевым стратегическим направлениям, главной целью которых является сохранение и укрепление здоровье населения республики.

В этот период в республике при участии министерства здравоохранения сформирована государственная система, координирующая вопросы охраны здоровья граждан, охраны здоровья женщин и детей, функционируют межведомственные республиканские комиссии при Правительстве Республики Калмыкия:

·        по делам несовершеннолетних,

·              по организации летнего отдыха детей и подростков,

·              по безопасности дорожного движения,

·              санитарно-противоэпидемическая комиссия,

·              по профилактике и предупреждению заболеваемости туберкулезом,

·              по незаконному обороту наркотиков,

·              по противодействию злоупотреблению наркотическими средствами и их незаконному обороту.

В течение последних 3-х лет Минздравом Калмыкии сформирована многоканальная система обеспечения отрасли медицинской техникой и медикаментами на основе ежегодного 3-х стороннего Соглашения между Минздравом России, Федеральным Фондом ОМС и Правительством Республики Калмыкия по вопросам обеспечения населения медицинской помощью. В рамках реализации данного соглашения ежегодно до 300 граждан республики получают высокотехнологичную (дорогостоящую) медицинскую помощь в ведущих институтах и центрах России, до 5000 человек, включая детей, санаторно-курортное лечение.

За это время приняты несколько ключевых законов для здравоохранения:

·        "О предупреждении распространения в Республике Калмыкия заболевания, вызываемого вирусом иммунодефицита человека (ВИЧ-инфекции)" № 39-1-3 от 20.02.96г.;

·              "О противотуберкулезной помощи и защите населения республики от туберкулеза" № 73-1-3 от 12.05.97г.;

·              "Об охране здоровья граждан" № 91-1-3 от 30.10.97г.;

·              "О донорстве крови и ее компонентов" № 103-1-3 от 09.03.98г.;

·              "Об иммунопрофилактике инфекционных болезней в Республике Калмыкия" № 398-П от 22.06.01г.

В 1997г. Правительством России была одобрена "Концепция развития здравоохранения и медицинской науки в Российской Федерации" и утвержден план первоочередных мероприятий и на перспективу до 2010г. по ее реализации. За эти годы была проведена концептуальная структурная реформа службы - реорганизация стационарной медицинской помощи и реформирование первичной медицинской помощи с внедрением малозатратных стационарозамещающих технологий на амбулаторно-поликлиническом уровне и при стационарах.

Так, принимаемые меры позволили сократить число участковых больниц на 40 (с 51 до 11), численность коек на 865 (18,7%), ФАПов и ФП на 16 (со 122 до 106).

Сокращение сети и мощности больничных учреждений республики позволило создать республиканские клинико-диагностические центры - это астма-центр и астма-школу, диабетологический центр с кабинетом "Диабетическая стопа" и школа диабета, центр профпатологии, центр планирования семьи и репродукции, центр реабилитации для детей-инвалидов, центр медико-психологической помощи подросткам и молодежи, которые являются принципиально новой формой организации медицинской помощи. Кроме того, за этот период получили развитие служба медицинской помощи ветеранам войны, оказываемая госпиталем ветеранов войн, сформированная служба "Медицина катастроф", гемодиализный центр и т.д.

В республике введены в эксплуатацию и отремонтировано 40 учреждений республиканского и районного значения, из них:

·        хирургическое, терапевтическое, детское и акушерско-гинекологическое отделения, поликлиника УРБ Приютненского района,

·              центральная районная больница п. Большой Царын,

·              хирургическо-реанимационное, детское и гинекологическое отделения ЦРБ Целинного района,

·              республиканская инфекционная больница,

·              республиканский психоневрологический диспансер в п. Приютное,

·              республиканское противотуберкулезное диспансерное отделение в г. Элисте.

Всего на капитальное строительство было освоено финансовых средств на сумму 11047,0 тыс. руб.

В отрасли насчитывается врачей - 1296, специалистов среднего звена - 3736.

Сформирована система сертификации специалистов.

Увеличивается количество, получивших квалификационные категории в соответствии с достигнутым уровнем теоретических и практических навыков врачей, имеющих квалификационную категорию свыше 58%, 54% имеют сертификат специалиста. Специалистов среднего звена - 52% имеющих категорию и 25% - сертификат. Цифры по средним медицинским работникам со значительным разбросом говорят о необходимости продолжать работу по совершенствованию технологии учебного процесса.

Вместе с тем остаются нерешенными проблемы сельского здравоохранения. Штаты скорой медицинской помощи укомплектованы в основном фельдшерами. На сегодня не укомплектованы 5 участковых больниц из 11, 38 врачебных амбулаторий из 63.

В республике с положительной динамикой сохранился естественный прирост населения (2001г. - (+) 0,6; РФ - (-) 6,6) за счет стабильности показателя общей смертности - 10,7 на 1000 населения в 2001г. и 6,0 в I полугодии 2002г. (1996г. - 10,2), что почти в 1,5 раза ниже среднефедаративного показателя (РФ - 15,3). Не имеет дальнейшего роста показатель младенческой смертности - 15,5 на 1000 родившихся живыми в 2001г. и 14,8 в I полугодии 2002г. (1996г. - 13,7). В 1,6 раза снизился также показатель перинатальной смертности (1996г. - 16,8 на 1000 родившихся; 2001г. - 10,1; I пол. 2002г. - 10,3; РФ - 13,2) за счет снижения уровня ранней неонатальной смертности новорожденных детей. В целом по республике зарегистрирован спад общей заболеваемости как взрослого населения (1996г. - 474,3 на 1000 населения; I пол. 2002г. - 240,1), так и детей.

Наметилась тенденция к снижению онкопатологии, инфекций, передаваемых половым путем, значительно снижены темпы роста туберкулезом.

С целью продолжения реализации государственной политики по охране здоровья женщин и детей РК в 2002г. Минздравом Калмыкии разработан проект республиканской целевой программы "Здоровый ребенок (2003-2007гг.)".

Система здравоохранения Калмыкии в непростых социально-экономических условиях минувшего периода выполняет возложенные на нее задачи и обеспечивает реализацию конституционных гарантий граждан на охрану здоровья.

.14 Научный потенциал

Сеть научных учреждений республики составляют: Калмыцкий институт гуманитарных исследований РАН, Калмыцкий институт социально-экономических и правовых исследований, Калмыцкий научно - исследовательский институт сельского хозяйства, Калмыцкий государственный университет, Республиканский институт повышения квалификации работников образования, Институт повышения квалификации кадров АПК и 9 филиалов государственных и негосударственных вузов, функционируют также филиалы ВНИИ гидротехники и мелиорации, Проектный институт "ЮжНИИгипрозем", Калмыцкая лаборатория Каспийского НИИ рыбного хозяйства.

.15 Инвестиционный климат

Правительство республики ведет последовательную работу по повышению инвестиционной привлекательности Калмыкии. В республике действует льготный налоговый режим.

Разработан и принят Закон "Об инвестиционной деятельности в Республике Калмыкия, осуществляемой в форме капитальных вложений", который предусматривает налоговые льготы инвесторам. Подготовлен проект Закона "Об инвестиционной деятельности в Республики Калмыкия", в котором большое внимание уделено гарантиям инвестиций, административным условиям деятельности капитала, развитию инфраструктуры инвестиций и предусматривается формирование ежегодной инвестиционной программы. В республике создана система постоянного сопровождения перспективных инвестиционных проектов. Кроме этого в республике созданы все условия для развития малого бизнеса (защита интересов, материальное стимулирование, методическое и консалтинговое сопровождение).

В республике активно функционируют различные структуры, ориентированные на поддержку развития предпринимательства всех видов.

Министерство инвестиционной политики Республики Калмыкия - привлечение инвестиций в экономику республики из внебюджетных источников.

Министерство внешнеэкономических связей Республики Калмыкия осуществляет государственный контроль над внешнеэкономической деятельностью в Республике Калмыкия, повышает эффективность экспортных операций субъектами хозяйственной деятельности

Торгово-промышленная палата Республики Калмыкия (ТПП РК), учрежденная в 1992 году и вошедшая в систему территориальных палат Российской Федерации, имеет доступ к Единой информационной системе ТПП России и оказывает клиентам информационные, рекламные, экспертные, консультационные и другие услуги.

Деятельность Фонда поддержки малого предпринимательства Республики Калмыкия направлена на создание благоприятных условий для развития малого предпринимательства.

Республиканский центр реформирования АПК и развития промышленности Республики Калмыкия, организованный в 1998 году, имеет целью проведение реорганизации сельскохозяйственных предприятий, прежде всего неплатежеспособных. Реализуется республиканская программа информатизации, для этого при Администрации Президента Республики Калмыкия создан информационно-аналитический центр и ГУП "Универсальная Сеть Калмыкии", цель которого создание программного обеспечения и внедрение информационных технологий, разработка и содействие в реализации перспективных бизнес - проектов.

.16 Межрегиональные и международные связи

Формирование экономических связей между отдельными странами является объективной исторической тенденцией развития производительных сил. В последние годы экономика Калмыкии все больше включаются в международные экономические отношения. Особо следует отметить большую международную и внешнеэкономическую деятельность Калмыкии в связи с подготовкой и проведением ХХХIII Всемирной шахматной олимпиады в 1998 году, которая, в свою очередь, способствовала росту международного авторитета Калмыкии.

Потенциальная возможность извлечения масштабного эффекта из выгодного транспортно-географического положения была реализована благодаря идее создания в Калмыкии трансконтинентального транспортного коридора "Север - Юг". Теперь этот проект входит в сферу стратегических интересов Российской Федерации в целом. Имеющийся в мировой практике опыт создания транспортных коридоров и сопутствующие этому значительные выгоды укрепляют заинтересованность зарубежных стран в сотрудничестве с Калмыкией. Видение описанных выше перспектив республики придало более четкие контуры взаимоотношениям:

·        со странами СНГ, которые строятся с учетом новых экономических реалий;

·              со странами-участниками проекта "Север - Юг" и другими странами дальнего зарубежья.

В рамках подготовки и реализации проекта "Север - ЮГ" наиболее интенсивно развиваются отношения с Исламской Республикой Иран.

Успех экономического развития, помимо прочих условий, зависит от степени вовлеченности в мирохозяйственные связи. Для Республики Калмыкия, которой достались от прежней системы однобокая специализация и ориентация на внутренний рынок, задачи объективного развития внешнеэкономической деятельности казались амбициозными. Однако практика показала необходимость развития этой сферы деятельности и возможности Республики Калмыкия. Основная форма внешнеэкономической деятельности Республики Калмыкия - внешняя торговля. При этом интенсивно создаются условия реализации других форм сотрудничества:

·        экспорта услуг (с введением в эксплуатацию экспортного нефтепровода "Тенгиз - Новороссийск");

·              осуществления масштабных отечественных и иностранных инвестиций (в связи с проектом создания трансконтинентального транспортного коридора "Север - Юг").

К 2001 году предприятия республики осуществляли внешнеэкономические операции с партнерами более чем из 50 стран мира. Основные товарные потоки приходятся на страны Европы и Азии.

Внешнеторговый оборот Республики Калмыкия в 2001 г. (без учета неорганизованной торговли) по сравнению с 1996 г. вырос на 37,6% и достиг 68,1 млн. долл. США, в том числе со странами ближнего зарубежья произошло увеличение в 4,2 раза, а со странами дальнего зарубежья сокращение на 5,1%

Экспорт Республики Калмыкия в 2001 году составил 45,7 млн. долл. США и увеличился по сравнению с 1996 годом на 27,3 %, в том числе в дальнее зарубежье он возрос до 38,4 млн. долл. (на 11,3%), в ближнее - до 7,3 млн. долл. (в 5,2 раза).

Импортные поставки в Республику Калмыкия в 2001 г. составили 22,4 млн. долл. США и увеличились по сравнению с 1996 г. на 64,7%, в том числе из дальнего зарубежья сократились до 2,4 млн. долл. США (на 71,8%), из ближнего зарубежья увеличились до 20 млн. долл. США (в 3,9 раза).

Товарная структура экспорта отражает общероссийские тенденции. В 2001 г. в экспорте преобладали конкурентоспособные на внешних рынках товары - продукция машиностроения (45,9 %), продукция ТЭК (37,3%), черные и цветные металлы (14,3%)

В товарной структуре импорта на протяжении 5 лет наибольший удельный вес приходился на продукцию ТЭК, продовольственные товары и сырье для их производства.

Собственно республиканский экспортный потенциал носит преимущественно сырьевой характер со значительным преобладанием нефти. Соотношение субъектов ВЭД РК в собственно республиканском экспорте за 1996-2001 гг., %.

Размеры валютной выручки от реализации нефти за 1996-2001 гг. достаточно стабильны, за исключением 1998 г. в котором наращивание объемов добычи нефти сопровождалось резким падением цены на нефть (в 1,7 раза по сравнению с 1997 г.), что привело к сокращению выручки от ее экспорта на 5,8 млн. долл., или на 29,4%.

Помимо нефти к конкурентоспособным на внешних рынках товарам относится шерсть.

Последний экспорт шерсти в 1998 г. составил всего 4,3% от уровня 1995 г., в 1999-2000 гг. экспорт шерсти не производился, что привело к потере рынка ряда иностранных государств.

Наметившиеся в последние годы положительные тенденции в Калмыкии, такие, как восстановление поголовья животных и возобновление деятельности шерстомойной фабрики "Элми" с началом сотрудничества с итальянской фирмой-инвестором "Дрекстон Индастриал Инвестментс ЛТД" позволяют вновь выходить на зарубежные рынки с качественной шерстью.

Таким образом, опыт Республики Калмыкия свидетельствует о росте качественных параметров развития международных и внешнеэкономических связей:

·        налаживанием новых и укреплением существующих международных связей Республики Калмыкия;

·              усилением связи между географией торгово-экономических отношений и географией международных связей Калмыкии, что свидетельствует об эффективности последних;

·              переводом торгово-экономических отношений с рядом хозяйствующих субъектов и регионов зарубежных стран в практическую плоскость на регулярной основе.

 

2. Практическая часть

 

.1 Региональные воспроизводственные циклы

 

.1.1 Воспроизводство трудовых ресурсов

Данный цикл формируется и развивается под воздействием демографических, экономических, экологических, природно-климатических факторов. Экономическая структура региона определяет структуру занятости населения; сокращение производства, реорганизация предприятий; развитие новых рыночных структур. На процессы миграции населения влияет не только экономическая структура, но и природно-климатические условия, экологическая обстановка.

Главной, конечной целью проводимой экономической политики и социально-экономических преобразований является повышение уровня и качества жизни населения, рост его занятости, появившиеся позитивные изменения в этой сфере в истекшем году получили дальнейшее развитие. Номинальные денежные доходы населения в 2004 году составили 107.8% к предыдущему году, а реальные располагаемые денежные доходы - 101%. Среднедушевые денежные доходы населения республики составили 2271.5 руб.

Увеличение денежных доходов населения в значительной мере обусловлено динамикой среднемесячной заработной платы. В 2004 году номинальная начисленная среднемесячная заработная плата выросла по сравнению с 2003 годом на 21.8% и составила 3606 рублей. Средний размер назначенных месячных пенсий (с учетом компенсации) на конец 2004 г. увеличился по сравнению с уровнем 2003 года и составил 1782.3 рублей. Численность экономически активного населения к концу 2004 года составила 120798 тысяч человек. В том числе занятых в экономике было 115.9 тыс. и 4898 - безработные активно ищущие работу.

2.1.2 Воспроизводство финансово-кредитных и денежных ресурсов

Данный цикл предполагает наличие в регионе свободных средств, потребность в них финансовых институтов, которые будут размещать средства.

Номинальные денежные доходы населения составили 107.8% к 2003 году, а реальные располагаемые денежные доходы - 101%. Среднедушевые денежные доходы населения области составили 2271.5 руб., их соотношение с прожиточным минимумом было ниже уровня 2003 года (114% против 118%). Данная отрицательная тенденция незначительна, но в некоторой степени снижает покупательскую способность населения, т.е. трату дополнительных денежных средств. Развитие экономики не может осуществляться только за счет средств населения. Отрицательное воздействие на уровень жизни населения оказывает задолженность по выплате заработной платы. Поэтому необходимо создавать благоприятный инвестиционный климат для привлечения свободных финансовых средств, как из других регионов страны, так и из иностранных государств.

 

2.1.3 Воспроизводство инвестиционно-строительного процесса

Инвестиционная политика Республики Калмыкия строится в нескольких направлениях:

·    развитие регионального инвестиционного законодательства и другой нормативной базы в сфере поддержки бизнеса;

·        формирование информационной открытости региона;

·    создание специализированной рыночной инфраструктуры, обеспечивающей инвестиционный процесс. Отражает взаимодействие проектно-изыскательных работ, подрядных работ, объема и структуры инвестиций.

За прошедший год на развитие экономики и социальной сферы республики использовано 2168 млн. рублей инвестиций в основной капитал, что составляет 39.2% к уровню прошлого года.

Развитие и широкое применение информационных и коммуникационных технологий является глобальной тенденцией мирового развития последних десятилетий. Применение современных технологий обработки и передачи информации имеет решающее значение как для повышения конкурентоспособности экономики и расширения возможностей для интеграции ее в мировую систему хозяйства, так и для повышения эффективности процессов государственного управления на всех уровнях власти, в государственном и негосударственном секторах экономики. Понимание руководством республики значимости внедрения информационных технологий в народное хозяйство подтверждается определением на республиканском уровне как приоритетных таких проектов как: "Создание центра космического мониторинга на базе НИЦ Калмыцкого института социально-экономических и правовых исследований", "Парк программных технологий - Калмыцкая интернет-республика".

.1.4 Воспроизводство социально-бытовых услуг

При оценке данного вида услуг учитываются факторы: социально-демографические; климатические; национальные и другие. Существенным фактором, который учитывается при рассмотрении перспектив при потреблении бытовых услуг, являются масштабы развития сферы услуг, срок службы изделия.

Анализ ситуации финансово-хозяйственной деятельности жилищно-коммунального хозяйства области за 2003 года показывает, что задачи стоящие перед отраслью за прошедший период выполнены не до конца. Отставание с развитием социально-бытовых услуг характерно для всех регионов России. Производство и потребление социально-бытовых услуг несбалансированно и недостаточно развито.

Индекс потребительских цен на товары и услуги существенных изменений не претерпел и составил 114.8% против 110.1% в 2003г.

2.1.5 Воспроизводство услуг рыночной инфраструктуры

Призваны обеспечить условия для организации движения товаров и материальных ресурсов в регионе. Основные задачи субъектов данного цикла: организация регионального рынка; аукциона; ярмарок; систем коммерческой информации.

Оборот розничной торговли составил 3.001 млн. рублей, по сравнению с прошлым годом прирост составил 22%. Расширилась торговая сеть, открылись новые предприятия общественного питания.

Итоги работы предприятий транспорта и связи за 2005 год, в сравнении с аналогичным периодом прошлого года, позволяют сделать вывод о стабильной работе транспортной отрасли и связи, хотя по отдельным направлениям деятельности имеются не решенные проблемы.

.2 Методы определения отраслей специализации

 


Кл = Ор/Хр *100/ Ос/Хс *100,

Ор - отрасль региона

Хр - хозяйство региона

Ос - отрасль страны (численность занятых в данной отрасли)

Хс - хозяйство страны (численность занятых в хозяйстве)

1.   промышленность:

9200/117900*100/14533600/65359300*100 = 7,8/22,2 = 0,35

2.   лесное хозяйство: 0,5/0,4 = 1,25

3.      транспорт: 5,5/6,3 = 0,8

.        сельское хозяйство: 27,8/11,7 = 2,3

.        строительство: 4,1/7,6 = 0,53

.        связь: 2,2/1,3 = 1,6

.        торговля: 9,8/16,5 = 0,59

Коэффициент локализации показывает степень сконцентрированности данной отрасли в регионе. Если коэффициент больше единицы, то считают данную отрасль отраслью специализации. Из расчетов видно, что отраслями специализации республики Калмыкия являются: сельское хозяйство, лесное хозяйство и отрасль связи.

Индекс уровня специализации, представляет собой отношение удельного веса отрасли региона в объеме выпуска продукции отрасли страны к удельному весу хозяйства региона в хозяйстве страны.

Ис = Ор/ Ос*100/ Хр/ Хс*100

1.   промышленность:

9200/14533600*100/117900/65359300*100= 0,06/0,18= 0,35

2.   лесное хозяйство: 0,22/0,18 = 1,25

3.      транспорт: 0,16/0,18 = 0,8

.        сельское хозяйство: 0,42/0,18 = 2,3

.        строительство: 4,1/7,6 = 0,53

.        связь: 0,29/0,18 = 1,6

.        торговля: 0,1/0,18 = 0,59

Если индекс больше единицы, то отрасль считается отраслью специализации региона.

Коэффициент душевого производства. Этот коэффициент рассчитывается как отношение удельного веса данной отрасли региона в соответствующей отрасли хозяйства страны к удельному весу населения региона в населении страны:

Кд = Ор/ Ос*100/Нр/Нс*100,

где Нр - численность населения региона;

Нс - численность населения страны.

1.   промышленность:

9200/14533600*100/290626/143097000*100 = 0,06/0,2 = 0,3

2.   лесное хозяйство: 0,22/0,2 = 1,1

3.      транспорт: 0,16/0,2 = 0,8

.        сельское хозяйство: 0,42/0,2 = 2,1

.        строительство: 0,095/0,2 = 0,47

.        связь: 0,29/0,2 = 1,45

.        торговля: 0,1/0,2 = 0,5

Если коэффициент больше единицы, т.е. производство на душу населения продукции данной отрасли в регионе больше, чем по стране, то отрасль считается отраслью специализации.

 

.3 Региональная диагностика


Диагностика региона связана с определением его состояния - природных, экономических, социальных, экологических и иных параметров.

Различают экономическую и экспертную диагностику:

Экономическая диагностика соответственно занимается анализом хозяйственной специфики регионов, определением их экономического "здоровья" - "болезней", "патологий" и т. д. Экономическое состояние региона обследуется с помощью системы индикаторов, причем понятие и количественные характеристики "нормы" относительны. В условиях обширной по территории и слишком неоднородной по природным условиям РФ они зависят от многих обстоятельств: а) базы сравнения ("норма" для Центральной России одна, Сибири - другая. Крайнего Севера - третья и т. д.); б) критерия "нормы" и подхода к ее расчету; в) уникальности какого-либо экономического признака или сочетания признаков, вследствие чего само понятие "норма" становится бесполезным (в данном случае для диагностического заключения привлечение статистических аргументов не требуется вовсе).

Экспертная диагностика - совокупность методов и форм сбора диагностической информации, получаемой контактными способами, посредством полевых исследований (экспертных опросов, социологических обследований, наблюдения).

Задачи региональной диагностики:

во-первых, с необходимостью иметь содержательный "паспорт" региона для выработки тактики и стратегии его развития. Вряд ли окажется эффективной региональная политика без уточнения представлений о типе регионов (проблемные, депрессивные и др.) и их функциях, без сведений об их отраслевой и демографической структуре, экономическом потенциале, динамических качествах и т. д.

Во-вторых, результаты комплексных диагностических обследований регионов постоянно востребуются другими органами и уровнями государственного управления. В частности, речь идет об информации, используемой для отраслевой реструктуризации хозяйственного комплекса, для составления среднесрочных и долгосрочных планов социально-экономического развития РФ.

В-третьих, надежная диагностическая маркетинговая информация в условиях переходной экономики может стать одним из основных аналитических инструментов для банков, корпораций, инвестиционных компаний, бирж, которые имеют прямое отношение к выработке стратегии размещения капиталов и формирования региональных рынков.

Одновременно диагностика является исходным моментом прогноза, поскольку без четкой качественной и количественной идентификации региона вряд ли возможна оценка его перспективного развития.

2.3.1 Диагностика природно-ресурсного потенциала

Природно-ресурсный потенциал региона характеризует совокупность естественных ресурсов и служит предпосылкой и фактором регионального накопления, условием привлечения дополнительных инвестиций, основой развития местной экономики. Каждый частный природный потенциал имеет свои единицы измерения, в этой связи возникает непростая проблема сравнения разнообразных показателей.

Среди способов исчисления природно-ресурсного потенциала наиболее распространенным является бальный метод.

При бальном методе применяется единая школа, и каждый частный природный потенциал в зависимости от своей величины получает свой балл.


где  - общий потенциал отдельных природных ресурсов;

 - частный потенциал отдельных природных ресурсов

 - число разновидностей полезных ископаемых на территории региона

После определения частных потенциалов по отдельным ресурсам переходят к определению общего природно-ресурсного потенциала территории:


max Pi=1, развитие природно-ресурсного потенциала в республике следующие: нефть и конденсат - 0.5,газ - 0,9, подземные воды - 0.1,бишофитное сырье - 0,4, керамзитные глины - 0,15.

Ps= Сумма Pi =2.05

2.3.2 Демографическая диагностика и диагностика рынка труда

Прошедшие 90-е годы в России характеризуются, как период реформирования государственных, общественных и хозяйственных структур, радикальность и стремительность которых остро отразились на демографии каждого из регионов. Произошел переход страны к суженному воспроизводству населения.

Депопуляционные процессы сопровождаются дестабилизацией половозрастной и семейной структур населения, резким сокращением средней продолжительности жизни (особенно мужчин). Региональный "срез" этих демографических явлений чрезвычайно важен для проведения социально ориентированной региональной политики государства, для прогнозирования рынка труда и т. д.

С позиции демографического развития Калмыкия выделяется среди многих других регионов страны положительным естественным приростом населения. Так, в 2000 году уровень рождаемости населения республики был на 26,4% выше среднероссийского уровня. Уровень рождаемости в республике превышал уровень, сложившийся в Астраханской области на 12,2%, в Ставропольском крае - на 19,6%, в Волгоградской области - на 31,0%, в Ростовской области - на 34,1%. Однако современный экономический кризис обострил демографическую ситуацию как в целом в страны, так и в ее субъектах. Это явление коснулось в последние годы и Калмыкии.

Численность населения Калмыкии в 1996-2001 г.г. (тыс. чел.)

Годы

Наличное население на начало года

В том числе



Городское

Сельское

1999

316,1

127,4

188,7

2000

315,7

128,9

186,8

2001

314,3

133,2

181,1

2003

291,8

129,3

162,5

2004

290,6

128,9

161,7

2005

289,9

128,1

161,7

Общий коэффициент рождаемости, смертности, естественного прироста населения и младенческой смертности (на 1000 человек)

Годы

Число родившихся

Число умерших

Естественный прирост (убыль)

Число детей, умерших в возрасте до 1 года

1995

13,5

10,5

3,0

15,8

2000

11,0

10,9

0,1

16,0

2001

11,4

10,8

0,6

15,6

2002

12,3

12,0

0,3

12,6

2003

13,3

11,8

1,5

13,9

2004

13,5

11,0

2,5

8,4


Одной из особенностей демографического развития Республики Калмыкия является тот факт, что общий уровень смертности городских жителей выше, чем сельских.

Из приведенных таблиц видно, что, несмотря на положительный естественный прирост, постоянное население республики уменьшается. Это явление можно объяснить тем, что республика имеет отрицательное сальдо миграции:

Состояние браков и разводов в Калмыкии.

В 2004 г. число юридически оформленных в органах ЗАГСа браков составило 2161, что на 54 ниже, чем в 2003 году. Число зарегистрированных разводов - 1005, что на 146 ниже, чем в 2003 году.

Состав населения по полу и возрасту.

К началу 2004 года в Республике Калмыкия численность детей в возрасте 0-15 лет превышает численность людей пенсионного возраста в 1,6 раз. В целом по стране численность людей пенсионного возраста больше численности детей 0-15 лет на 2005,4 тыс. человек.

Необходимо отметить, что в последние десятилетия в республике наметилась тенденция старения населения. Но процесс демографического старения в республике протекает медленнее, чем в целом по Российской Федерации.

Многолетнее снижение уровня естественного воспроизводства населения в сочетании с увеличением абсолютной численности людей старших возрастов сделали процесс демографического старения населения практически необратимым, а резкий спад рождаемости в 90-е годы его ускорил.

Изменение возрастной структуры оказало серьезное влияние на многие демографические показатели. Сдвиги в возрастной структуре влияют на демографическую нагрузку трудоспособного населения нетрудоспособным (младше и старше трудоспособного возраста).

В общей численности населения преобладают лица женского пола. Следует отметить, что традиционно мальчиков рождается больше, чем девочек. Численное превосходство мужчин сохраняется до 30 лет, но в дальнейшем, за счет более высокой смертности, мужчины утрачивают это преимущество, а в возрастной группе 65 лет и старше женщин уже почти в два раза больше, чем мужчин. В среднем мужчины в Республике Калмыкия живут 59,6 лет, на 12,8 лет меньше, чем женщины (72,4 года). Эти показатели выше, чем в целом по России, где средняя ожидаемая продолжительность жизни мужчин - 59,0 лет, женщин - 72,2 года.

Диагностика регионального рынка труда:

- численность экономически активного населения - 137,2 тысяч человек;

уровень экономически активного населения по полу: муж. -69,9, жен. - 67,3;

численность безработных - 29,8 тысяч человек; из них муж. -17,1, жен. - 12,7 тыс.

Безработица в республике Калмыкия, как и в других регионах России, является одной из актуальных проблем. Положение усугубляется тем, что уровень зарегистрированной безработицы намного меньше, чем ее реальные показатели. Что приводит к несоответствию между размерами проблемы и действиями, предпринимаемыми для ее преодоления. Еще одной проблемой безработицы является то, что среди безработных много людей, имеющих высшее профессиональное образование. По вопросам трудоустройства в службы занятости в 2004 г. обратилось 13528 человек из них трудоустроено 6399 человек.

 

2.3.3 Диагностика расселения

Объективная информация о показателях систем расселения в регионе особенно необходима при осуществлении социальной региональной политики, а также при районных планировках и реализации различных инвестиционных программ.

Наиболее элементарным показателем расселения служит плотность населения:

B = P/S,

где P - численность населения, S - площадь территории.

B=289881/75900 = 3.8

Среди других несложных показателей, характеризующих рисунок расселения, отметим коэффициент территориальной концентрации населения, исчисляемый с помощью метода анализа ближайшего соседства:

,

где D - среднее расстояние между столицей республики и двумя городами; S - площадь республики; п - число ближайших городов.

Расстояние от Элисты до г. Лагани - км.258,75; г. Городовиковска - 183,75км.;

D=221.25

Считается, что при более или менее равномерном распределении населенных пунктов коэффициент территориальной концентрации колеблется в районе отметки "2". Следовательно, населенные пункты в республике Калмыкия распределены не достаточно равномерно.

При сравнении регионов с точки зрения их "долевого участия" в формировании территориальной структуры населения используется индекс региональной концентрации, определяемый по формуле:


где Si и Pi - доля площади и населения i-го региона в общей площади и населения всей страны.

0,5 (0,00445 - 0,00209) 100% = 0,23%

С помощью потенциала поля расселения можно исследовать степень взаимосвязанности населенных пунктов:

,

где  -численность населения в пункте, для которого рассчитывается потенциал.

-численность населения в каждом из n прочих мест.

-расстояние от данного места до каждого из n прочих мест.

Рассчитаем потенциал поля расселения для столицы республики - г. Элиста. Pi=103349 чел.

Численность населения г. Лагань составляет Р1=14310 чел, г. Городовиковск - Р2=10479 чел.

Расстояние от Элисты до Лагани составляет D1=258,75 км, а до Городовиковска - D2= 183,75 км.

 

2.3.4 Диагностика экономического уровня развития региона

Данный уровень отражает в единстве количественные и качественные стороны хозяйственной деятельности региона, характеризует степень использования региональных производственных ресурсов и определяет эффективность достигнутого экономического потенциала.

При данном виде диагностики используется метод исчисления синтетического взвешенного индекса уровня развития региона:


где a, b, c - частные показатели взятые в процентном отношении в соответственном средне - региональном показателям;

q1…qn - весовые коэффициенты или баллы, установленные экспертным путем для каждого частного показателя в зависимости от его значимости как измерителя уровня экономического развития региона.

Q- сумма весовых коэффициентов

Пусть показателями будут:

- индекс ВРП(97,6%)

- индекс промышленного производства(117%)

- индекс физического объема инвестиций(67,8)

Для каждого из выше перечисленных потенциалов установим следующие весовые коэффициенты:


A

b

c

q

8

7

5


 

2.3.5 Диагностика динамических качеств региона

Вначале желательно определить степень устойчивости социально-экономической структуры:

устойчивой структуры (регионы, испытывающие интенсивный экономический рост или получающие солидный приток инвестиций),

неустойчивой структуры (например, депрессивные регионы),

формирующиеся структуры (например, регионы, где интенсивно вовлекаются в хозяйственный оборот природные ресурсы).

Рассматривая инвестиционный цикл республики Калмыкия, можно сделать вывод, что он находится в восходящей стадии, так как в последние годы наблюдается постоянный рост инвестиций:

2000

2001

2002

2003

134904млн.

167598млн.

185722млн.

200053млн.


В объеме инвестиций в основной капитал 14,2% заняли собственные средства, 85,8% - привлеченные средства. Удельный вес республики в общероссийском показателе инвестиций в основной капитал составил 0,1%.

При диагностике динамических свойств региона важно дать оценку мультипликативного процесса. Суть, которого заключается в том, что возникшие в одной отрасли импульсы экономического подъема естественным образом передаются на обслуживающие и вспомогательные отрасли, а также на различные виды третичной и четвертичной деятельности, и определяется индексом региональной мультипликации:

,

где Σs - сумма валовой или чистой продукции, или основных производственных фондов, или численность трудовых ресурсов (в отраслях специализации);

Σa - те же самые показатели, но по не специализирующим отраслям региона.

Отрасли специализации (численность трудовых ресурсов, тысяч человек):

Лесное хозяйство - 0,6

Сельское хозяйство - 32,8

Связь - 2,6

Не специализирующие отрасли:

Промышленность - 9,2

Торговля - 11,6

Строительство - 4,9

Mr = 36/25,7 = 1,4

 

2.3.6 Диагностика отраслевой и территориальной структуры региона

Отраслевая структура хозяйства региона отражает внутри-региональное разделение труда между отраслями и производствами. Ее можно анализировать с различных позиций: с точки зрения уровня специализации (диверсификации), степени устойчивости, уровня комплексности, повторяемости производственного процесса, полноты производственно-технологического цикла и т. п.

При этом широко используются как традиционные показатели, так и межотраслевой баланс производства и распределения продукции. Диагностика отраслевой структуры региона предполагает выявление отрасли (отраслей) специализации, соотношение между отраслями специализации, вспомогательными и обслуживающими. Для более "продвинутых" регионов бывает полезно уяснить стадию экономического развития с определением первичных, вторичных, третичных и четвертичных видов деятельности, а также соотношение функций экономического процесса - уравления, исследований, собственно производства.

Исчисление коэффициента отраслевой концентрации производится на основе сопоставления "веса" отдельных отраслей в регионе и стране в целом. При этом считается, что такой "вес" надежнее всего определяет занятость, хотя в качестве индикаторов могут выступать также показатели объема выпуска, стоимости основных фондов и др. Коэффициент отраслевой концентрации рассчитывается следующим образом:


где j - индекс отрасли, Pj, Cj - численность занятых в j-ой. отрасли, соответственно, в регионе и стране в целом; Р, С - общая численность занятых в народном хозяйстве, соответственно, в регионе и стране в целом.

Котр.к. = (32800/117900 - 7683400/65359300) + (600/117900 - 264100/65359300) + (2600/117900 - 882400/65359300) = 0.017

Функциональная структура хозяйства региона отражает членение отраслей по их функциям в межрегиональном и внутрирегиональном разделении труда. При функциональной структуре отрасли подразделяются на: а) отрасли специализации; б) отрасли, дополняющие хозяйственный комплекс региона и т. д.; в другом случае (при внутрирегиональном подходе) - отрасли и производства могут группироваться как последовательные стадии технологических процессов. В условиях рыночно ориентированной экономики особое значение приобретают вопросы связи функциональной структуры хозяйства региона с местным, общенациональным и мировым рынками.

Отраслями специализации республики Калмыкия является сельское хозяйство, к отраслям, дополняющим хозяйственный комплекс региона, можно отнести лесное хозяйство и услуги.

Территориальная структура хозяйства региона отражает внутрирегиональные территориальные пропорции, а также особенности внутрирайонной территориальной организации производства. Последняя может быть представлена различными формами и сочетаниями производств (в том числе - хозяйственными комплексами).

 

2.3.7 Диагностика комплексности хозяйства региона

С диагностикой отраслевой структуры региона тесно связан анализ комплексности хозяйства региона. Под ней принято понимать - взаимосвязанное, согласованное развитие производств и объектов социальной инфраструктуры, обеспечивающее формирование оптимальной пропорциональности экономики как с точки зрения наиболее рационального использования имеющихся ресурсов, так и с позиций территориального разделения труда.

Об уровне комплексности экономики региона можно судить по степени ее охвата межотраслевыми комплексами и производственными циклами.

Для практических целей используются следующие условные методы расчета комплексности экономики региона: а) расчет и анализ всех соотношений, связанных с отраслевой структурой производства. Показатель, учитывает степень "самообеспечивания" региона и рассчитываемый по формуле:


где Ns - уровень комплексности; Р - валовый продукт, потребленный регионом; Рr - часть потребленного продукта, произведенная в самом регионе, ΣCr - сводный индекс себестоимости единицы продукции, произведенной в регионе; ΣCs - сводный индекс себестоимости единицы аналогичной совокупности продукции по стране (рассчитывается как средневзвешенные по всей основной номенклатуре). Расчет приобретает целесообразность в случае, если:

 

Рr = 13476 млн. руб.; Р = 7830341.5 млн. руб.

Ns = 13476/7830341,5*1 = 0,0017

б) расчет степени пропорциональности использования трудовых ресурсов (половой принцип) региона по формуле:


где Кпmp - коэффициент комплексности хозяйства региона, NMT и NЖT - соответственно численность мужского и женского трудоспособного населения, NM3 и NЖT - соответственно численность мужчин и женщин, занятых в экономике региона.

Численность мужского и женского трудоспособного населения региона (тысяч человек):

NMT - 69,9; NЖT - 67,3

Численность мужчин и женщин, занятых в экономике региона (тысяч человек):

NM3 - 52,7; NЖЗ - 54,7

Кпmp = 69,9/67,3 / 52,7/54,7 = 1,04/0,96 = 1,08

 

2.3.8 Экологическая диагностика региона

Это весьма специфическая сфера регионального анализа, где инструментарий, методы и шкала оценок еще как следует не "устоялись". Исходным понятием здесь служит понятие "региональная среда обитания людей" как совокупность абиотической, биотической и социальной сред, оказывающих воздействие на повседневную жизнь населения и их хозяйственную деятельность. Производным от него является понятие "качество региональной среды обитания" (или "состояние природной среды региона"), под которым следует понимать состояние конкретных геосистем как естественных "механизмов" жизнеобеспечения человека.

 

2000

2001

2002

2003

2004

Всего, тыс. тонн

4,426

5,431

3,225

2,51

2,789

в том числе:

 

 

 

 

 

 твердые вещества

0,717

0,416

0,368

0,28

0,246

газообразные и жидкие вещества

3,708

5,015

2,857

2,23

2,542

из них:

 

 

 

 

 

диоксид серы

0,372

0,242

0,346

0,293

0,187

оксиды азота

0,256

0,277

0,269

0,159

0,203

оксид углерода

1,904

2,248

1,418

1,136

1,501

углеводороды (без летучих органических соединений)

1,154

2,193

0,725

0,572

0,579

летучие органические соединения, тонн

16,21

27,692

52,984

32,363

51,146

прочие газообразные и жидкие соединения

0,006

0,028

0,046

0,038

0,022

из них уловлено и обезврежено, тыс. тонн

3,006

3,124

1,813

0,938

0,537


3. Прогнозирование развития Республики Калмыкия


Прогнозирование региональных процессов - важнейшая и неотъемлемая часть сложного процесса управления. От него в значительной мере зависят экономические, социальные и экологические последствия регионального развития, полнота использования трудовых, природных и материально-вещественных ресурсов. Выбор ошибочных управленческих решений из-за недостаточной их научной обоснованности может привести к негативным последствиям, дорогостоящим потерям. Поэтому общая формула "управлять - значит предвидеть" особенно справедлива для динамических процессов регионального развития, размещения производительных сил.

В соответствии со спецификой регионального воспроизводства можно выделить следующие виды прогноза: социально-демографический, природно-ресурсный, экономический, экологический.

Численность населения на перспективу (Hn) определяется по формуле:

 


где Нб - население на базовый год; Кn среднегодовой темп роста населения за определенный период (п).

численность населения в 2004г. составила 290,6 тысяч человек, а в 1995г. - 319,7 тысяч человек. Среднегодовой темп роста населения за эти десять лет - 0,9%. Численность населения на предстоящие 10 лет составит:

,6*0,9 = 261,54 тысяч человек.

Хотя смертность в республике не превышает, наблюдается негативная тенденция сокращения численности населения и старения его состава. Это можно объяснить тем, что республика имеет отрицательное сальдо миграции и сравнительно небольшой в сравнении с ним естественный прирост.

Анализируя сегодняшнее положение, можно сделать вывод, что снижение численности населения республики будет наблюдаться в течение всего прогнозируемого периода.

Основными задачами в финансовой сфере на 2005 год продолжает оставаться исполнение консолидированного бюджета области по доходам и расходам за счет укрепления собственной налогооблагаемой базы, более полной мобилизации платежей в бюджетную систему области, выполнения мероприятий по оздоровлению государственных и муниципальных финансов и оптимизации бюджетных расходов. Главной, конечной целью проводимой экономической политики и социально-экономических преобразований является повышение уровня и качества жизни населения, рост его занятости. Сегодня мы можем с полным основанием констатировать, что появившиеся позитивные изменения в этой сфере в истекшем году получили дальнейшее развитие. Номинальные денежные доходы населения увеличились на 107,8% к предыдущему году, а реальные располагаемые денежные доходы - на 101%. Среднедушевые денежные доходы населения республики составили 2271,5 руб. Увеличение денежных доходов населения в значительной мере обусловлено динамикой среднемесячной заработной платы. В 2004 году номинальная начисленная среднемесячная заработная плата выросла по сравнению с 2003 годом на 18% и составила 3606 рублей. Средний размер назначенных месячных пенсий (с учетом компенсации) на конец 2004 г. увеличился по сравнению с уровнем 2003 года в 1,15 раза и составил 1782 рубля. Крайне отрицательное воздействие на уровень жизни населения оказывает задолженность по выплате заработной платы. По состоянию на 1 января 2005 года эта задолженность составляет 20339 тыс. рублей, хотя эта сумма в 1,8 раза меньше чем в предыдущем году.

Стабилизация в экономике области способствует улучшению ситуации на рынке труда, которая с 2002 года продолжает складываться с положительной динамикой. Численность экономически активного населения к концу 2004 года составила 137,2 тысяч человек. В том числе занятых в экономике было 107,4 тыс. и 29,8 тыс. не имели работу, но активно ее искали.

3.1 Прогноз природно-ресурсного потенциала

Природные ресурсы являются материальной основой развития экономики, их запасы и качество определяют структуру хозяйства, место региона в территориальном разделении труда. Изучение особенностей состояния и использования природных ресурсов имеет важное значение для прогнозирования развития региональной экономики. В процессе оценки состояния и прогноза использования природных ресурсов выявляется естественный базис производства: земля как основное средство производства в сельском хозяйстве и как территория под застройку; пресная вода как важнейшее условие жизнедеятельности и необходимый элемент многих технологических процессов, а в ряде регионов и как энергетический ресурс; минерально-сырьевые, топливно-энергетические и биологические ресурсы как важнейшие материальные предпосылки развития производства, его сырьевая и энергетическая основа.

Индекс промышленного производства в марте 2005 г. по сравнению с мартом 2004 г. составил 57,6%, по сравнению с февралем 2005 г. -101,9%. Индекс физического объема составил 71,0%.

Объемы производства по разделу "Добыча полезных ископаемых" за январь-март 2005 года уменьшились в 1,5 раза по сравнению с январем-мартом 2004 года. Добыто 40,53 тыс. тонн нефти и 26,66 млн. квадратных метров газа естественного, что составляет 66,2% и 124,0% к уровню добычи, в том числе добыча газа природного в 1,3 раза.

Индекс физического объема произведенной продукции по разделу "Обрабатывающие производства" составил 91,5%. Рост производства наблюдается в разделах "Обработка древесины и производство изделий из дерева" в 1,2 раза, "Производство кокса, нефтепродуктов и ядерных материалов" в 4,5 раза.

3.2 Экономический прогноз

Прогноз развития региональной экономики разрабатывается с учетом результатов прогнозирования по предыдущим блокам системы регионального прогноза, и в то же время сам влияет на содержание протезов в отдельности и в целом. Так, на основе провоза численности населения, экономически активной его части определяются потенциальные ресурсы труда, возможности интенсификации труда. Прогноз разведки и освоения природных ресурсов позволяет определить степень обеспеченности потребностей района, страны и экспорта в важнейших видах сырья и топлива. Результаты экономического прогноза вместе с прогнозом численности населения составляют основу разработки социального прогноза.

Для решения важнейших социально-экономических проблем региона необходимо активное участие республики в федеральных целевых программах, это является одним из средств привлечения финансов в Калмыкию. В нынешнем году республика участвует в реализации 22 федеральных целевых программ и подпрограмм. Объем выполненных работ за счет всех источников финансирования оценочно ожидается в размере 670,7 млн. руб., в том числе: за счет федерального бюджета - 436,2 млн. руб., бюджета РК - 134,5 млн. руб., внебюджетных источников - 100 млн. руб.

Основным направлением сокращения бюджетного дефицита является повышение собираемости налогов. Достигнуть этого можно не только, ужесточая контроль соблюдения налогового законодательства, а в первую очередь, развивая налогооблагаемую базу. Эффективность экономики региона в значительной мере определяется степенью развития предпринимательства, промышленного производства и других отраслей.

Для активизации производственной и инвестиционной деятельности малых и средних предприятий, занимающихся производственной деятельностью, имеющих большой потенциал и жизнестойкость и выполняющих функции накопления капитала, в целях развития промышленного производства Мэрией г. Элисты разработана "Программа поддержки и развития малого предпринимательства в г. Элисте на 2001-2005гг", которая утверждена решением Элистинского городского Собрания, где определены объемы финансирования на поддержку и развитие малого бизнеса.

.3 Экологический прогноз

За прошедшие несколько лет экологическая обстановка в регионе заметно улучшилась т.к. стал с каждым годом сокращаться выброс вредных веществ в атмосферу. На предприятиях региона с каждым годом все больше ставится очистительных сооружений и фильтров.

Но в Калмыкии существует и другая экологическая проблема - это опустынивание земель. В 1993 году президентом республики было введено чрезвычайное экологическое положение. Причиной тому служило резкое обострение экологической обстановки в результате интенсивных процессов деградации земель, дефицита воды и т.д. Заработали специальные программы по борьбе с опустыниванием, благодаря которым был достигнут положительный результат. Но, что бы такая ситуация не повторилась, нужно вести постоянное наблюдение за состоянием окружающей среды.

Заключение

Стратегическими целями социально-экономической политики в республике на долгосрочную перспективу являются модернизация экономики, повышение устойчивых темпов экономического роста, последовательное повышение уровня и качества жизни населения на основе повышение конкурентных преимуществ экономики, её рационализации и переориентации региональных особенностей, с учетом возрождения и сохранения национальных традиций

Улучшение экономической ситуации в республике обеспечивается за счет модернизации хозяйственной специализации, реализации высокоэффективных и быстро окупаемых проектов, рационального использования имеющихся финансовых и природных ресурсов, а также выгодного географического расположения, что позволяет создавать новые рабочие места, сохранить и развивать образовательное и культурное пространства.

Достижение намеченных целей требует решения определенных задач в области развития топливно-энергетического и транспортного комплексов республики, комплекса сельского хозяйства и переработки, туризма.

Список используемой литературы

1.   Госкомстат РФ "Регионы России социально-экономические показатели 2003г.", официальное издание, М. 2003г. председатель редакционной комиссии С.В. Колесников.

.     Алексеев А.И., Николина В.В. География: население и хозяйство России. - М., 1996.

.     Морозова Т.Г. и др. "Региональная экономика" - М., 1996

4.      Калмыкиястат "Уровень жизни населения Республики Калмыкия", официальное издание, Элиста 2005г. председатель редакционной коллегии Т.Б. Кегдеева.

5.   Региональная экономика и управление, - Коваленко, 2005 г.

6.   http//www.официальный сайт Республики Калмыкия.ru

Похожие работы на - Анализ социально-экономического развития Республики Калмыкия

 

Не нашли материал для своей работы?
Поможем написать уникальную работу
Без плагиата!
Без нейросетей!