Физико-химические свойства ионообменных смол и мембран в амфолит-содержащих растворах

  • Вид работы:
    Дипломная (ВКР)
  • Предмет:
    Химия
  • Язык:
    Русский
    ,
    Формат файла:
    MS Word
    3,73 Мб
  • Опубликовано:
    2015-05-01
Вы можете узнать стоимость помощи в написании студенческой работы.
Помощь в написании работы, которую точно примут!

Физико-химические свойства ионообменных смол и мембран в амфолит-содержащих растворах

МИНИСТЕРСТВО ОБРАЗОВАНИЯ И НАУКИ РОССИЙСКОЙ ФЕДЕРАЦИИ

Федеральное государственное бюджетное образовательное учреждение высшего профессионального образования

"КУБАНСКИЙ ГОСУДАРСТВЕННЫЙ УНИВЕРСИТЕТ"

(ФГБОУ ВПО «КубГУ»)

Кафедра физической химии





ВЫПУСКНАЯ КВАЛИФИКАЦИОННАЯ РАБОТА

ФИЗИКО-ХИМИЧЕСКИЕ СВОЙСТВА ИОННОБМЕННЫХ СМОЛ И МЕМБРАН В АМФОЛИТ-СОДЕРЖАЩИХ РАСТВОРАХ

Работу выполнила Г.Ф. Рамазанова

Факультет химии и высоких технологий

Направление магистерской подготовки 020100.68 химия

Программа магистерской подготовки Электрохимия

Научный руководитель, проф., д.х.н. Н.Д. Письменская

Нормоконтролер, в.н.с., к.х.н., с.н.с. О.А. Дёмина


Краснодар 2013

РЕФЕРАТ

Объекты исследования - ионообменные смолы КУ 2-8, АВ 17-2П, АВ 17-8 и синтезированные из них мембраны МК-40, МА-41-2П, МА-41, находящиеся в тартрат-содержащих модельных растворах и натуральных виноматериалах.

Цель данной работы - исследование эволюции физико-химических характеристик ионообменных смол и изготовленных из них мембран в процессах переработки амфолит-содержащих модельных растворов и виноматериалов.

Установлено, что после пребывания в виноматериалах белого и красного вина электропроводность анионообменных смол уменьшается на 18±5% (АВ-17-8) и 540±5% (АВ-17 2П).

Отравление анионообменных смол АВ-17, АВ-17 2П и изготовленных на их основе мембран МА-41, МА-41 2П может быть связано с проникновением в их объём и осаждением на их поверхности окрашенных органических компонентов виноматериалов.

С использованием оптической микроскопии и спектрофотометрии показано, что наибольшее количество окрашенных компонентов виноматериалов попадает внутрь пористой анионообменной смолы АВ-17 2П и мембраны МА-41 2П.

В случае виноматериалов белого вина сорбция окрашенных компонентов исследованными анионообменными материалами в 1,5 раза выше, чем в случае красного вина.

ВВЕДЕНИЕ

С каждым годом растет потребность людей в воде, пригодной для использования, и в то же время, естественные воды непрерывно загрязняются техногенными источниками. Более 1,2 млрд. людей в настоящее время не имеют обработанной питьевой воды и более 3 млрд. людей не имеют соответствующей обработки сточных вод. Причём ситуация в питьевой водой всё время ухудшается в связи с ежегодном приросте населения Земли на 80 млн. чел.

Индустриальная деятельность человека сопровождается непрерывным сбросом многообразных по своему химическому составу сточных вод, которые, попадая в источники питьевой воды, создают серьезную угрозу здоровью людей.

Стремительно растущая потребность в воде и ограниченные ресурсы источников воды в виде рек, озер и подземных вод, с одной стороны, и удорожание подготовки питьевой и технической воды, с другой стороны, приводят к необходимости создания и использования новых технологий обработки воды, которые позволяют быстро, эффективно и экономически выгодно очищать воды, а также получать питьевую и индустриальную воду из огромных запасов морской воды. В последние 10 - 15 лет широкое применение находят мембранные технологии обработки воды, которые позволяют надежно очищать исходную воду от примесей, вызывающих болезни, перерабатывать сточные муниципальные воды и получать воду, пригодную для использования в промышленных целях.

К настоящему времени в мировой практике для удаления из воды растворенных солей и других примесей определились следующие основные методы: дистилляция, ионный обмен, вымораживание, гелиоопреснение и обратный осмос (гиперфильтрация), а также электродиализ. Чаще всего процесс электродиализа применяют для очистки вод, содержание растворенных солей в которых составляет менее 5 г/л. В этом случае процесс электродиализа является более экономичным по сравнению с обратным осмосом или выпариванием. При помощи электродиализа можно получать растворы солей со сравнительно высокой концентрацией.

Электродиализные процессы очистки, разделения и концентрирования веществ в комбинации с другими мембранными методами активно внедряются в технологиях «зелёной химии». Эта новая отрасль промышленности направлена на минимизацию воздействия химических производств на окружающие экосистемы и предотвращение загрязнения природной среды. В большинстве случаев объектами переработки в «зелёной химии» являются амфолит-содержащие растворы: сточные воды гальванических производств, шахтные воды, продукты биохимической переработки биомассы и органических отходов и др.

Амфолиты содержат полярные группы (например, карбоксильные и/или аминогруппы), которые вступают в реакции протолиза с растворителем (водой) с образованием ионов H+ или OH- и меняют зарядность в зависимости от pH окружающей среды. Эта особенность обусловливает наличие механизмов переноса, отличных от характерных для сильных электролитов, таких как NaCl. С другой стороны многофакторность процессов протолиза амфолитов в поровом растворе, на границе мембрана/раствор и в прилегающих к ионообменной мембране диффузионных пограничных слоях дает больше «рычагов» для воздействия на мембранную систему с целью обеспечения процесса электродиализного (ЭД) разделения в желаемом направлении. Этим обусловлены успехи ЭД в регенерации абсорбентов углекислого газа (гидро-карбонат натрия, моноэтаноламин, полиэнаноламин и др.), применяемых в замкнутых системах жизнеобеспечения; в деминерализации вод, содержащих борную кислоту; обезвреживании травильных растворов гальванических производств; селективном извлечении из органических отходов аминокислот и мономеров для получения биоразлагаемых упаковочных материалов и возобновляемого сырья для производства экологически чистой энергии; созда-ния малоотходных технологий кондиционировании соков, вина и молочной продукции. Разработка и совершенствование таких технологических решений требует углубления знаний о физико-химических аспектах функционирования ионообменных мембран и поиска общих закономерностей транспорта амфоли-тов в мембранных системах и процессах их старения - эволюции физико-химических характеристик ионообменных материалов в процессе их эксплуатации.

Целью данной работы является исследование эволюции физико-химических характеристик ионообменных смол и изготовленных из них мембран в процессах переработки амфолит-содержащих модельных растворов и виноматериалов.

1. АНАЛИТИЧЕСКИЙ ОБЗОР

1.1 Ионообменные смолы

Ионообменные смолы или иониты представляют собой вещества, способные поглощать из растворов ионы в обмен на эквивалентное количество других ионов того же знака заряда. Иониты - сравнительно новый химический материал. Первый их синтез относится к началу прошлого столетия. В настоящее время производство ионообменных материалов превратилось в многотоннажное, а ионообменные технологии заняли ведущее место во многих производствах, успешно дополнив такие процессы, как дистилляция, адсорбция, фильтрация и др. Водоподготовка, очистка сточных вод, извлечение ценных продуктов из отходов производства, регенерация растворов, гидрометаллургия цветных, редких и драгоценных металлов, очистка химических, фармацевтических и пищевых продуктов - вот далеко не полный перечень областей применения ионитов.

В последние годы применение ионообменных материалов успешно сочетается с электрохимической технологией.

Иониты применяются обычно или в насыпном виде в форме гранул или в виде пленок - мембран. Основные закономерности статики и кинетики ионного обмена, механизма прохождения тока, процессов набухания и др. являются общими как для гранулированного, так и для пленочного ионообменного материала. Тем не менее, специфика массопереноса при наложении электрического поля в случае зернистых ионитов и в случае мембран, а также особенности технологии при их использовании позволяют подразделить электрохимию ионообменных материалов на электрохимию гранулированных ионитов и электрохимию ионообменных мембран [23, 28].

Гранулированные ионообменники стали объектом изучения с точки зрения электрохимии лишь во второй половине XX века после установления факта проводимости ионитами тока. Затем была выявлена возможность практического использования свойства электропроводности ионитов для осуществления электрохимической регенерации отработанных смол [28]. Обычные химические схемы использования зернистых ионитов предусматривают периодическое восстановление смол путем обработки их растворами солей, кислот или щелочей. Затрата на регенерацию больших количеств реактивов и промывочных вод делает ионообменную технологию неприемлемой в ряде производств. Например, известно, что ионообменное извлечение солей из водных растворов экономически выгодно лишь для соединений цинка, меди и других более дорогих металлов [28]. Электрохимические схемы ионного обмена не требуют расхода реактивов на регенерацию и воды на промывку. Электрохимическая технология ионного обмена позволяет сделать экономически оправданной утилизацию из сточных вод или извлечение из природных вод солей не только дорогих, но и дешевых металлов - железа, калия, магния и др. Электрохимические схемы ионообменной технологии выгодно отличаются от химических не только тем, что не требуют расхода реактивов на регенерацию смол, но и тем, что делают технологический процесс непрерывным и управляемым с помощью силы тока и напряжения. Благодаря этому электрохимические схемы ионного обмена могут быть легко автоматизированы.

Мембраны (диафрагмы, пленки) стали использоваться в электрохимии задолго до получения первых синтетических ионообменных смол [25, 28]. Теорию электрохимически активных и неактивных мембран начали разрабатывать еще в прошлом веке. Построенный на основе инертных мембран классический электродиализ нашел повсеместное применение в ряде процессов, хотя во многих случаях, например в водоподготовке и обессоливании природных вод, оказался неэкономичным. Интенсивно проводившиеся с начала 30-х годов работы по электродиализу природных вод с участием неактивных диафрагм практически прекратились еще до начала войны. Применение синтетических ионообменных мембран, селективных к ионам одного знака и практически не обладающих фильтрующей способностью, позволило пересмотреть все сделанное ранее по электродиализу и возродить на новой основе обработку природных и промышленных растворов [28].

1.1.1 Свойства ионитов

Не смотря на большие достижения в теории и практике ионного обмена [18], современная наука еще не в состоянии дать ответ на многие вопросы, касающиеся протекания основных и побочных процессов, сопровождающих этот процесс. Сложность происходящих явлений, трудности их математической интерпретации заставляют исследователей снова и снова возвращаться к теории ионного обмена. Наиболее плодотворны для понимания ионообменных процессов концепции, исходящие из модельных представлений о строении ионитов [28]. Появление к настоящему времени большого количества вариантов моделей объясняется не только сложностью происходящих процессов, но и многообразием свойств изучаемых ионитов. Пока еще нет единой модели, которая бы удовлетворительно объясняла явления химического и электрохимического равновесий, кинетики обмена, характер набухания ионитов, побочные процессы сорбции раствора, растворителя, ионных и молекулярных компонент растворенных веществ и т. д. По виду обменивающихся ионов иониты делятся на катиониты, аниониты и амфолигы. Типичные реакции ионного обмена могут быть представлены следующими схемами:

Наиболее простой моделью, описывающей основные свойства ионитов, является заряженная «губка» [28]. Стенки «губки» - матрица - несут неподвижно закрепленные заряды одного знака - фиксированные ионы. Их электрический заряд компенсируется находящимися в порах ионами противоположного знака - противоионами. При соприкосновении такой «губки» с раствором растворитель проникает в ее поры; ионы сольватируются и диссоциируют, а сам ионит набухает.

Противоионы под действием градиента концентрации или градиента потенциала способны передвигаться в порах «губки». Если ионит вначале заряжен только противоионами А+, а раствор содержит ионы В+ и Y--, то при погружении ионита в раствор начнется реакция (I.1). Через некоторое время установится ионообменное равновесие: ионит будет содержать ионы А+ и В+, эти же ионы будут находиться и в растворе. Положение равновесия характеризуется константой реакции ионного обмена (I.4)


на величину которой в первую очередь влияет сродство ионита к противоионам.

Вместе с растворителем в ионит проникает некоторое количество коионов - ионов, одноименных по знаку с фиксированными группами. В силу сохранения общей электронейтральности системы вместе с коионами в ионит проникает еще эквивалентное количество противоионов. Это дополнительное количество необменно поглощенного, или, как его еще называют, доннановски сорбированного, электролита может быть определено по уравнению Доннана, согласно следующему соотношению


где , ,  - локальные моляльности соответственно внешнего раствора, адсорбированного электролита и противоионов;  - коэффициент активности;  и  - число коионов и противоионов, появляющихся при диссоциации одной молекулы электролита в воде, так что ,  и  - средние моляльные коэффициенты ионной активности электролита в фазе раствора и фазе ионита; k-коэффициент, учитывающий давление набухания.

Среди ионитов наибольшее распространение получили синтетические ионообменные смолы [25]. Они обладают большой емкостью (т. е. высокой концентрацией фиксированных ионов), хорошими кинетическими характеристиками, стойки к кислотам и щелочам, могут быть многократно регенерированы.

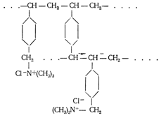
Большинство смол российского производства и их зарубежных аналогов содержит матрицу, полученную методом сополимеризации стирола и дивинилбензола (ДВБ). В случае катионообменной смолы КУ-2 эту матрицу затем сульфируют, а для получения анионообменной смолы (АВ-17, АВ-17П) - аминируют (рисунок 1). Каждое зерно готового продукта представляет собой одну гигантскую молекулу. Она состоит из связанных между собой дивинилбензолом линейных цепей полистирола - матрицы, несущей сульфогруппы (фиксированные ионы). Степень сшивки матрицы (и размер пор ионообменной смолы) определяется процентным содержанием ДВБ, которое указывается последней цифрой в маркировке ионита. Например, обозначение АВ-17-8 показывает, что ионит содержит 8% ДВБ.

 

а.............................................. б

Рисунок 1.1.1.1 - Схема химического строения катионообменной смолы КУ-2 (а) и АВ-17 (б)

.1.2 Электропроводность ионитов, её значение, связь с другими свойствами ионитов

Электропроводность синтетических ионообменных смол впервые была установлена в 1948 г. Хейманом и О’ Доннеллом [11]. Открытие этого свойства положило начало электрохимии ионитов. К 1950 г. из смол уже были приготовлены первые ионообменные мембраны. Вскоре появились работы по использованию гранулированных ионообменных смол в схемах электродиализа. Известно, что классический электродиализ даже при наличии идеально электропроводных и абсолютно селективных мембран экономически неприемлем для обработки растворов, плохо проводящих ток, из-за больших потерь напряжения в камерах обессоливания. Введение ионообменных смол в камеры электродиализаторов позволило осуществить деионизацию очень разбавленных растворов с целью извлечения примесей или получения сверхчистой воды.

В 1952 г. появились первые исследования по электрохимической регенерации ионитов, обещающей в будущем коренным образом изменить всю ионообменную технологию, освободив ее от непроизводительных затрат реактивов. Затем было обнаружено, что ионообменные смолы могут быть использованы в качестве проводящей среды при разделении ионов методом электромиграции [28]. Появились также схемы разделения ионов, в которых электромиграция сочетается с обычной хроматографией. В настоящее время продолжаются поиски различных областей практического использования электропроводности ионитов.

Электропроводность ионообменных смол тесно связана с другими свойствами ионитов. Это обстоятельство имеет большое практическое и теоретическое значение. Так, в процессе отработки технологии синтеза ионообменных смол по величине электропроводности можно судить о степени сшивки матрицы (увеличение степени сшивки снижает электропроводность), о величине обменной емкости (увеличение емкости смолы увеличивает электропроводность).

Электропроводность ионита связана с такими важными его характеристиками, как обменная ёмкость, константы ионообменного равновесия, коэффициенты диффузии различных ионов, гомогенность ионообменного материала и др.

Особенно подробно в литературе обсуждается связь между электропроводностью ионитов и коэффициентами диффузии ионов. Соотношение между подвижностью иона  и его коэффициентом диффузии выражается уравнением Нернста - Эйнштейна


где R - газовая постоянная; Т - абсолютная температура; - заряд иона i, F - константа Фарадея.

В растворе это соотношение вследствие действия электрофоретических и релаксационных сил выполняется лишь приближенно. В ионитах, где имеется только один сорт подвижных частиц, оно будет более справедливо. В случае ионита уравнение (1.13) может быть записано в виде


где Е - емкость ионита в расчете на 1 см3;  - его удельная электропроводность; - число переноса.

1.1.3 Электропроводность ионообменных смол и мембран в растворах амфолитов

Механизм переноса слабых электролитов в ИОМ зависит от значения их изоэлектрической точки (в которой концентрации диссоциированной и недиссоциированной форм одинаковы) и размера переносимых частиц. Так, исследования электропроводности ионитов в аминокислотных формах показали [29], что в катионите КУ-2-8, приведенном в равновесие с раствором аспарагиновой кислоты, основную долю тока переносят ионы водорода. В равновесии с растворами глицина и фенилаланина перенос электричества в КУ-2-8 осуществляется ионами водорода и катионами аминокислот, а в равновесии с раствором лизина ток переносят катионы лизина. В анионите АВ-17-8 перенос электричества осуществляется преимущественно анионами аминокислот. Установлено [30], что низкие, по сравнению с неорганическим ионами, подвижности аминокислот обусловлены стерическими затруднениями при их движении в фазе ИОМ.

Количество переносчиков тока в слабоэлектролитных ионитах и мембранах определяется не только их обменной емкостью, но и степенью ионизации ионогенных групп . Основным фактором, влияющим на степень ионизации, является кислотность или щелочность среды. Монофункциональные иониты со слабокислотными или слабоосновными группами имеют одинаковую форму кривых  = f (рН) и  = f (рН), что подчеркивает причинную связь явлений проводимости и ионизации [31]. Следует заметить, что кинетические характеристики анионитовых мембран, содержащих сильноосновные бензилтриметиламмониевые группы, имеют более слабую зависимость от величины заряда противоионов [32] так как эти фиксированные группы отличаются большим размером и отсутствием гидратации. Н.М. Смирнова и Б.Н. Ласкорин, проанализировав концентрационные зависимости электрического сопротивления мембран МАК-В с четвертичными аммониевыми основаниями и мембран МАК, содержащих вторичные и третичные аминогруппы, пришли к выводу, что сопротивление слабоосновных мембран МАК в (гидро)карбонатных растворах значительно выше, чем у сильноосновных [33]

Заметим, что известно лишь ограниченное количество работ, посвящённых изучению электропроводности мембран в растворах амфолитов. Результаты этих исследований дают основания полагать, что электропроводность мембран в растворах амфолитов зависит не только от структуры мембран, но и от природы их фиксированных групп, а также от способности амфолитов изменять зарядность в поровом растворе мембраны, что связано со способностью амфолитов вступать в реакции протолиза-депротолиза.

1.1.4 Эволюция характеристик ионообменных материалов в процессе электродиализной переработки вина и молочной сыворотки

Стабильное и долговременное функционирование мембран в мембранных, в частности, электродиализных модулях, является одним из важнейших условий успешного внедрения мембранных технологий в промышленность. Такому функционированию препятствуют несколько факторов. Прежде всего, это отравление поверхности и объёма мембран компонентами рабочих растворов(fouling). Оно вызвано гидрофильно/гидрофобными, электростатическими или химических взаимодействиями этих компонентов с мембраной (см. обзоры [1,2]). Вторым фактором является экранирование части поверхности мембраны осадками слаборастворимых солей (scaling), которые образуются вследствие локального превышения произведения растворимости при концентрировании растворов или сдвиге pH (см. обзор [3]. Результатом такого экранирования является рост электрического и гидравлического сопротивления мембран [2,3,4, 5]. Оба этих процесса имеют место, например, при переработке молока [6,7] или селективном извлечении биологически активных протеинов [8]. В том случае, когда эксплуатация мембран ведёт к необратимым изменениям их химического состава и морфологии объёма и поверхности, говорят о «старении» мембран (ageing) [см. обзор 9]. На изучение фундаментальных и прикладных аспектов таких явлений направлены большие силы учёных. Например, поиск в Scopus по ключевым словам «fouling “, “scaling”, “ageing” и «membrane» индексирует 9081 статей, но только несколько десятков из них описывают ионообменные мембраны и те процессы, которые ведут к необратимому изменению их свойств при наложении электрического поля.

Амфолиты, входящие в состав винных материалов, молочной сыворотки и других натуральных продуктов характеризуются следующими свойствами:

а) они содержат гидрофильные полярные группы и гидрофобные углеродные радикалы [4,8,19];

в) растворимость и электрический заряд амфолитов зачастую определяются локальными значениями pH внутри мембраны [21] или у её поверхности [22] (например, растворимость винной кислоты (pH<1.2) , составляет 17.9 г / 100г H2O; при 1.2<pH<6.2 она трансформируется в гидротартрат калия, растворимость которого равна 0,5 / 100г H2O и может выпасть в виде осадка);

г) значения pH во внутреннем растворе мембраны отличаются от pH внешнего раствора, и эти отличия обусловлены реакциями протонирования-депротонирования молекул амфолитов в водных растворах и доннановским исключением из мембраны продуктов этих реакций - коионов H+ или OH

Такой характер поведения амфолитов создаёт дополнительные сложности при изучении их воздействия на мембраны. Именно поэтому круг работ, посвящённых этой проблеме, достаточно ограничен.

Целью данной работы является исследование эволюции физико-химических характеристик ионообменных смол и изготовленных из них мембран в процессах переработки амфолит-содержащих модельных растворов и виноматериалов.

1.2 Ионообменные мембраны

.2.1 Модельные представления

Ионообменные материалы широко применяются в настоящее время в форме пленок или мембран [28]. Особенно интенсивно используются ионитовые мембраны в процессах, связанных с прохождением электрического тока - при электролизе и электрического тока - при электролизе и электродиализе. Изучение явления протекания электрического тока через мембраны было начато более 100 лет тому назад. В 1803 г. Рейсс наблюдал, что при прохождении тока через мембраны происходит перенос жидкости. Это явление было названо Порретом электроосмосом. Количественные исследования электроосмоса были выполнены в 1850-х годах Видеманом и дополнены Квинке, который показал важную роль заряда стенок пор мембраны. Аномальный осмос наблюдал в 1835 г. Дютроше. В 1879 г. Гельмгольцем была сформулирована теория электрического пограничного слоя. Работы Нернста, Планка, Эйнштейна Гендерсона и Доннана явились основой последующих теорий, описывающих процессы в мембранах.

Полное и строгое описание процессов переноса в мембранах связано с необходимостью учета очень большого числа закономерных и случайных явлений. Это приводит не только к серьезным математическим трудностям, но и к тому, что полученные решения зачастую сложны и громоздки, а также содержат неопределимые константы. Такие решения не могут быть использованы для количественной трактовки экспериментальных данных. Несколько менее строгим, но дающим возможность получить представление о физической сущности наблюдаемых явлений, оказывается путь использования тех или иных модельных представлений.

Модельные представления о строении ионообменного материала начали создаваться задолго до получения первых синтетических ионообменных мембран (1949-1950 гг.).

В 30-х годах на основе изучения коллодиевых, стеклянных и физиологических перегородок Теорелл, а также Мейер и Сивере предложили рассматривать ионообменные мембраны как набухший гель с равномерно распределенным по всему объему зарядом матрицы. Кроме того, предполагалось, что мембрана обладает настолько большим механическим сопротивлением протеканию, что можно пренебречь конвективными потоками, связанными с конечной скоростью движения центра тяжести жидкости, находящейся в мембране. [28, 36] Для описания состояния границы ионита с раствором была привлечена теория Доннана о равновесии раствора с полупроницаемой мембраной. В соответствии с этой теорией на границе ионообменной мембраны с жидкостью устанавливается равновесие, условие которого для электролита  может быть записано в виде


где аi и zi-активность и заряды ионов; черта над буквенными обозначениями показывает, что величина относится к фазе ионита) и возникает потенциал, называемый доннановским потенциалом,


Необходимыми условиями при расчетах были предположения о постоянстве концентрации фиксированных ионов и отношения подвижностей в мембране противо- и коионов, а также допущение полной диссоциации раствора внутри и вне ионита. Но применительно к синтетическим ионитам развитая теория давала только качественные результаты. Это связано с тем, что перечисленные выше допущения не выполняются в реальных системах, где возможны специфические взаимодействия ионов с ионогенными группами и с матрицей мембраны и где конвекция может иметь существенное значение.

Дальнейшему усовершенствованию этой модели посвящены работы Теорелла и Шмидта. Предложенная последним модель тонкопористой мембраны (подробнее она будет рассмотрена ниже) в настоящее время является наиболее общей.

. Мембрана

Понятие «проницаемая мембрана» означает некоторую объемную фазу, разделяющую две другие фазы и оказывающую в общем случае различное сопротивление проникновению частиц, отличающихся своей природой. Обычно полагают, что толщина мембраны мала по сравнению с другими ее размерами.

Если при обсуждении переноса не интересоваться физическими причинами, обусловливающими селективную проницаемость мембраны, то последнюю можно рассматривать как двумерную пограничную плоскость между двумя фазами. В противном случае следует детально разбирать строение объемной фазы мембраны. Учитывая сказанное выше о геометрических размерах мембран, при описании явления обычно пользуются двумя координатами: пространственной координатой х, направленной перпендикулярно пограничным плоскостям мембраны, и временем .

В соответствии с моделью тонкопористой мембраны пред-полагается, что материал каркаса образует жесткую матрицу, которая является «геометрическим обрамлением для жидкой среды пор». В мембране чередуются области, состоящие из материала матрицы, с областями, заполненными жидкостью, причем эта «жидкость пор» представляет собой смесь компонентов внешней фазы. Матрица мембраны одновременно служит носителем фиксированных электрических зарядов (ионогенных групп или адсорбированных ионов). Развиваемая модель допускает абсолютно произвольную форму пор: регулярное слоистое строение (набухающие минералы); статистически распределенную сетку (набухающие высокополимеры); структуру, подобную губке. Основным для этой модели является предположение, что средний диаметр пор настолько мал, что распределение различных компонентов среды в поперечном сечении поры близко к гомогенному. На практике это соответствует размерам пор порядка от единиц до 102  .

Препятствия для прохождения любого компонента внешней фазы должны распределяться по всей массе мембраны более или менее равномерно, а не сосредоточиваться только в пограничных плоскостях. Равновесие устанавливается на границе мембраны с раствором. Конечно, это в значительной степени идеализированное представление, реальная мембрана не имеет строгих граничных плоскостей.

.2.2 Электропроводность и избирательная проницаемость ионообменных мембран

Одним из наиболее интересных и практически важных свойств ионообменных мембран является их селективность, т. е. проницаемость для ионов только одного знака заряда. Физическая причина селективности мембран заключена в особенностях строения ионитов. Высокая концентрация фиксированных ионогенных групп в мембране препятствует выравниванию путем диффузии концентраций противо- и коионов в растворе и ионите. Это объясняется тем, что анионы и катионы в каждой из фаз связаны между собой условием электронейтральности. В результате на границе фаз возникает электрическое поле, которое компенсирует стремление каждого вида ионов к диффузии и приводит к установлению равновесия. От величины разности электрических потенциалов между ионитом и раствором, т. е. от доннановского потенциала, зависит, в какой степени коионы, а следовательно, и сорбированный электролит исключаются из фазы мембраны [28]. В случае контакта ионита с разбавленным раствором, когда разница в концентрациях противоионов в обеих фазах велика, доннановский потенциал достигает высоких значений. При этих условиях в диффузии и переносе тока через мембрану могут практически участвовать только противоионы. Мембрана ведет себя как идеально полупроницаемая. По мере увеличения концентрации внешнего раствора доннановский потенциал уменьшается. Это приводит к усилению роли коионов в процессах переноса и, следовательно, к снижению селективности.

Количественно оценить селективность и специфичность мембраны можно путем измерения чисел переноса ионов. Экспериментальное исследование переноса электричества и массопереноса через мембраны связано с трудностями методического характера, а также обусловленными сложностью самого явления: процессы переноса неравновесные и, кроме того, отличаются многообразием потоков и взаимодействий. Наибольшие затруднения встречаются при изучении гетероионных систем. Поэтому большой интерес представляет разработка методов определения такой важной характеристики мембраны, как числа переноса, по данным электрохимических измерений, которые обычно менее трудоемки, но достаточно точны.

. Электропроводность ионообменных мембран

Для характеристики электропроводности ионообменных мембран пользуются обычно удельной электропроводностью


или поверхностной электропроводностью


где q - площадь мембраны (см2). Последняя величина широко применяется в практике электродиализа.

Иониты являются ионными проводниками. Их удельная электропроводность определяется в основном концентрацией и подвижностью переносчиков зарядов, находящихся в фазе ионита. Поскольку в переносе тока через ионит участвуют обмен- но поглощенные противоионы и ионы донанновски сорбированного электролита, количество частиц, обеспечивающих электрическую проводимость, обусловлено концентрацией фиксированных ионов (емкостью смолы) и концентрацией равновесного раствора [28]. Подвижность ионов зависит от количества поперечных связей, природы противоионов и температуры [36].

Электропроводность мембран, как и гранулированных ионитов, зависит от концентрации внешнего раствора. Обычно на мембране она может быть выражена кривыми, выпуклыми по отношению к оси концентрации. В области разбавленных растворов проводимость мембран медленно увеличивается с ростом концентрации, а начиная с , возрастает довольно резко. В ряде работ приводятся иные зависимости для ионообменных мембран: кривая вогнута по отношению к оси концентраций. Такой ход связывают с заметным уменьшением степени набухания мембраны в концентрированных растворах.

Что касается абсолютных величин электропроводности мембран, то при достаточно низких концентрациях внешних электролитов проводимость ионита выше, а в области более крепких растворов - ниже, чем электропроводность раствора. Для гетерогенных мембран типа МК-40 и МА-40 точка изоэлектропроводности с растворами лежит в области 0,06 н. концентраций.

Электропроводность чаще всего измеряют, используя переменный ток, так как это исключает ошибки, связанные с поляризацией электродов и концентрационными изменениями на границах фаз. Однако было показано, что если синтетический ионит с высокой емкостью находится в растворе, содержащем один вид противоионов, то его электропроводность не зависит от частоты и измерения на постоянном (в определенном интервале плотностей тока) и переменном токе совпадают. Если же мембрана граничит с растворами, содержащими не-сколько видов противоионов, то электропроводность, измеренная на постоянном токе, не равна величине, полученной с помощью переменного тока. В системе имеет место выпрямляющий эффект, связанный с различием в концентрационных профилях, устанавливающихся в мембране при прохождении тока в прямом и обратном направлениях.

Электропроводность мембран обычно определяют с помощью мостовой схемы. При этом либо непосредственно измеряют со-противление влажного набухшего образца, либо пользуются разностью между сопротивлением ячейки с электролитом, разделенным ионитовой мембраной, и сопротивлением той же ячейки с электролитом, но без мембраны. В первом случае необходимо принимать меры для исключения ошибок, связанных с наличием переходных сопротивлений и емкостей на границах ионита с электродами. Кроме того, большое значение имеет создание таких условий, при которых влагосодержание в мембране не изменяется во время опыта. Второй метод свободен от этих ошибок. Но при измерениях в разбавленных растворах, когда сопротивление мембраны достаточно мало по сравнению с сопротивлением электролита, точность его значительно снижается. Более подробно эти способы описаны в работах.

При определении сопротивления переменному току мембран, находящихся в равновесии с растворами 0,1 н. и выше, можно с успехом использовать и метод зондов, упоминавшийся выше.

Гораздо реже при измерении сопротивления ионообменных пленок пользуются способом, основанным на применении постоянного тока. На рис. 83 изображена ячейка, пригодная для подобных определений. Полоска подготовленной к измерениям мембраны обсушивается фильтровальной бумагой и зажимается между двумя блоками из органического стекла. Размеры мембраны должны точно соответствовать размерам ячейки. В верхнем блоке имеются четыре камеры - две для поляризующих электродов и две, соединенные капиллярами с поверхностью мембран, для электродов сравнения. Во все камеры заливается равновесный с мембраной раствор. В качестве поляризующих электродов может служить платинированная платина. Электроды сравнения должны быть обратимы к одному из ионов раствора [28]. Через систему пропускается постоянный ток заданной силы (порядка 10-ва) и по возникающей при этом разности потенциалов между индикаторными электродами сравнения определяется электропроводность мембраны. Для исключения ошибок, связанных с наличием потенциала асимметрии, измерения целесообразно проводить при многократном изменении полярности на ячейке. Окончательный результат рассчитывается как среднее арифметическое полученных данных.

Этот способ пригоден для измерения электропроводности мембран в разбавленных растворах (вплоть до чистой воды), при концентрациях выше точки изоэлектропроводности возможны погрешности, связанные с утечками тока по пленке раствора на поверхности мембраны.

ионообменный смола мембрана электропроводность

2. ЭКСПЕРИМЕНТАЛЬНАЯ ЧАСТЬ

2.1 Объекты исследования

.1.1 Ионообменные смолы

Ионообменные смолы. Объектом исследования являются катионообменная КУ 2 и анионообменные смолы АВ 17 и АВ 17-2П .

АВ 17-8. Анионит АВ 17-8 (ионообменная смола АВ 17-8) - высокоосновный (сильноосновный) анионит гелевой структуры с большой обменной ёмкостью, высокой механической прочностью и большой осмотической стабильностью. Анионит АВ 17-8 представляет собой полимерное высокомолекулярное соединение с развитой трёхмерной структурой и основными группами на внешней и внутренней поверхностях. Производство и применение Анионита АВ 17-8 регулируется ГОСТ 20301-74. Гранулы Анионита АВ 17-8 представляют собой сферические зёрна, допускается варьирование цвета от светло-жёлтого до коричневого. Размер зёрен от 0.315 до 1.25 мм.

Анионит АВ 17-8 получают хлорметилированием сополимера стирола с 8% дивинилбензола. Продукт сополимеризации обрабатывают реагентами, прививая на поверхность основные функциональные группы, обеспечивающие ионообменную активность. Анионит АВ 17-8 содержит четвертичные триметиламмониевые группы. Товарная форма Анионита АВ 17-8 - хлоридная, массовая доля влаги от 35 до 50%.

По внешнему виду анионит представляет собой сферические зерна желтого цвета. Анионит имеет гелевую структуру и содержит группы четвертичного аммониевого основания.

Анионит АВ-17-8 представляет собой зернистый твердый материал, молекулярная структура которого содержит радикалы основного характера. Они способны обменивать ионы, фиксированные на этих радикалах, на ионы того же знака, находящиеся в растворенном состоянии в контактирующей с ними жидкости, не изменяя при этом своего внешнего вида и не теряя своих свойств. Такой обмен ионами при помощи анионита АВ-17-8 позволяет изменять ионный состав обрабатываемого раствора, не изменяя суммарного числа зарядов, находившихся в этой жидкости до процесса обмена.

Применение. Аниониты используются для очистки, разделения, извлечения и концентрирования различных веществ и как катализатор. Анионит АВ 17-8 рекомендуется применять в процессах водоподготовки, для очистки отходящих и сточных вод, в гидрометаллургии и в различных отраслях химической промышленности.

АВ 17-2П. Сополимер стирола и дивинилбензола. Отличается высокой химической стойкостью к воздействию щелочей, кислот, окислителей. Не растворим в воде и органических растворителя. Высокополимерная структура, высокая емкость и механическая стабильность.

Применение. Используют ионит АВ 17-2П для очистки сахарных сиропов от красящих веществ, для деминерализации окисляющих растворов, а также в гидрометаллургии, химической промышленности, в процессах водоподготовки, при очистке сточных и возвратных вод и т. д.

КУ 2-8. Существует несколько методов производства ионообменных смол-катионитов:

а) первый метод производства основан на сульфохлорировании сополимера стирола с дивинилбензолом хлорсульфоновой кислотой (HSO3Cl2) с дальнейшим омылением сульфохлорида водой и отмывание катионита от кислот смягченной водой.

б) второй метод производства сильнокислотных катионитов основан на методе прямого сульфирования концентрированной серной кислотой при повышенной температуре после предыдущего набухания в дихлорэтане сополимера стирол с дивинилбензолом гелиевой структуры с дальнейшим промыванием катионита от кислоты, обессоленной водой.

Метод прямого сульфирования позволяет получить катиониты достаточно высокой степенью чистоты без дальнейшей обработки и использовать их в медицине, пищевой промышленности.

В полимерной матрице катионообменных смол фиксированы ионогенные группы, способные диссоциировать на полианионы и компенсирующие катионы.

Применение. Катионит КУ-2-8 применяется для умягчения и обессоливание воды на тепловых и атомных электростанциях и котельных, очистки технологических растворов и сточных вод, разделения и выделения цветных металлов, в качестве катализатора.

2.1.2 Анионообменные мембраны

Селективность ионообменной мембраны - это число переноса противоионов, которое для идеально селективной мембраны равно 1, а для реальных мембран колеблется в пределах 0,94-0,98 (в 0,1 н. NaCl). Высокая селективность проявляется у ионообменных мембран с высокой электрохимической активностью (удельной электропроводимостью), низкой гидродинамической, диффузионной и осмотической проницаемостью, т. е. в первую очередь у мембран регулярной структуры с большим числом сильноионизованных функциональных групп. Наибольшее применение в технологии обессоливания вод находят ионообменные мембраны на основе сильно- и слабоионизованных катионитов и анионитов.

Ионообменные мембраны широко применяются в электродиализных установках для опреснения и очистки природных и сточных вод с солесодержанием 3-10 г/л.

При выборе ионообменных мембран для обессоливания слабосоленых и солоноватых вод учитываются, прежде всего, их электрохимические свойства, а диффузионными свойствами (величинами проницаемостей) из-за их незначительности пренебрегают.

Мембраны МК-40 и МА-41 имеют достаточно высокую химическую стойкость, причем катионообменные мембраны более устойчивы, чем анионообменные. Их свойства сохраняются в концентрированных (до 6 н.) растворах кислот и щелочей (рН = 1¸14). Мембраны, армированные лавсаном, химически более устойчивы, чем армированные капроном.

Рабочая поверхность полученных композиций в 30-50 раз больше поверхности мембран, что создает лучшие условия миграции и диффузии противоионов и повышает предельную плотность тока, при которой наблюдается поляризация зарядов поверхности композиции с 1,5-2 мА/см2 (для мембраны и волокна) до 10-15 мА/см2 (при деминерализации раствора NaCl с начальной концентрацией 50 мг-экв/л до конечной, равной 10 мг-экв/л). При этом числа переноса ионов составляют 0,90-0,95 для композиции и 0,81-0,84 для мембраны без волокна. Электропроводимость повышается на 10-20 %.

Методом непрерывной экструзии смеси ионита (КУ-2-8), ионообменного волокна (катионообменного) и связующего (полиэтилен) с добавкой термостабилизатора получены гетерогенные ионообменные мембраны в форме труб длиной до 6 м, диаметром 40-45 мм со стенками толщиной 2 мм. Они предназначены для оборудования электродиализаторов типа «труба в трубе».

Ионообменные мембраны устойчивы к повышению температуры до 50-60 °С, а их радиационно-химическая стойкость при облучении g-лучами невысока, особенно в присутствии кислорода.

При дозе 2000 кГр (200 Мрад) в отсутствие кислорода разрушается до 50 % функциональных групп мембраны МА-41, при концентрации кислорода 20 мг/л уже при дозе выше 200 кГр происходит полное механическое разрушение мембран МА-41, а при меньших дозах сильноосновные группы окисляются с образованием карбоксильных. В результате этого анионообменная мембрана приобретает катионообменную емкость, что ухудшает ее ионоселективность.

Удельная электропроводимость гетерогенных мембран примерно на порядок меньше, чем у соответствующих ионитов. Электропроводимость мембран МК-40 и МА-40 в 0,1 н. NaCl при 20 °С, измеренная ртутно-катодным методом, составляет соответственно 4,49 × 10-3 и 5,15 × 10-3 См/см. Повышение температуры раствора до 60 °С приводит к росту электропроводимости в среднем в 2,5-3 раза, т. е. на 1,5-2 % на каждый градус, что объясняется увеличением подвижности ионов. Электропроводимость растет также с повышением концентрации раствора.

2.1.3 Амфолит-содержащие растворы

Амфолиты (от греч. amphoteros - и тот и другой, lytos-растворимый) - амфотерные электролиты, т. е. вещества, молекулы которых содержат одновременно и кислотные, и основные группы, и поэтому в водных растворах диссоциируют и как кислоты с отщеплением водородных ионов Н +, и как основания с отщеплением гидроксильных ионов ОН-. К амфолитам относятся биологически важные вещества: аминокислоты (см.), пептиды (см.), белки (см.) и др. Кислотные свойства этих веществ обусловлены наличием в них карбоксильных групп СООН, а основные свойства - содержанием аминогрупп NH2.

Амфолиты в растворе находятся в виде диполярных ионов (амфионов), несущих одновременно положительные и отрицательные заряды, и в виде нейтральных молекул, находящихся в состоянии равновесия с диполярными ионами. Суммарный заряд диполярного иона в нейтральной среде определяется соотношением количества кислотных и основных групп и степенью их диссоциации.

В сильно кислой среде молекулы А. заряжаются положительно:
Значение рН среды, в которой молекулы А., электронейтральны, называют изоэлектрической точкой и обозначают pI. Для А. с преобладающими кислотными свойствами pI лежит в кислотной области (pI<7); для А., у которого более выражены основные свойства, pI находится в щелочной области (рI>7).

Для эксперимента в данной работе использовались виноматериалы обладающие амфотерными свойствами.

Спирты. Этанол (Э) является основным продуктом спиртового брожения. Он определяет токсические, аддиктивные, калорические свойства вина и других алкогольных напитков. Установлено, что Э в умеренных дозах оказывает антистрессорное, кардиозащитное и радиопротекторное действие. Калорийность столового сухого вина (570-980 ккал/л) почти полностью обеспечивается окислением Э, а других вин - и окислением сахаров (до 1500 ккал/л). Определение размеров безопасного потребления алкогольных напитков основывается на оценке количества поступающего в организм Э. Предельно допустимые дозы Э в случае его систематического употребления, согласно различным экспертным оценкам, составляют для мужчин 34 г/дн , 40 г/дн или 60 г/дн . В пересчете на сухое вино с содержанием Э 10% об. это равняется 0,43-0,75 л в день. Дозы, рекомендуемые для женщин, примерно в два раза ниже. Диетологи Франции считают оптимальным потребление сухого вина для мужчин пожилого возраста в количестве, составляющем 5-7% от общей калорийности рациона, что соответствует 0,4- 0,5 л в день. В соответствии с этими данными пищевые свойства вина в настоящей статье будут оцениваться из расчета его потребления 0,5 л в день. Потребление такого количества вина, при условии сбалансированного питания, не оказывает негативного влияния на организм. Увеличение калорийности рациона за счет продуктов, содержащих белок, животный жир, сахар и крахмал, у лиц, потребляющих вино в пределах 0,5 л/дн, ведет к увеличению массы тела и повышению риска развития гипертензии, ишемической болезни сердца и желчекаменной болезни [37].

Метанол спонтанно образуется в процессе энзиматических преобразований пектинов. Особенно много его в красных винах, приготовленных кахетинским способом. Содержание метанола в белых винах обычно колеблется от 20 до 100 мг/л, а в красных - от 80 до 350 мг/л, но может достигать 3000 мг/л и более. В некоторых странах его содержание в вине лимитируется в пределах 16002380 мг/л.

Алифатические одноатомные спирты (АОС) - пропиловый, бутиловый, изобутиловый, амиловый, изоамиловый, гексиловый и др. - являются продуктами метаболизма дрожжей. На 20 -40% АОС в винах представлены изоамиловым и изобутиловым спиртами. Содержание АОС составляет в белых винах 150-400 мг/л, в красных - 300-600 мг/л. В небольших количествах они формируют аромат вин, а в больших - ухудшают их органолептические свойства.

Содержание алифатических двух- и трехатомных спиртов достигает 16-18 г/л. На 90% они представлены 2,3 бутиленгликолем (300-1500 мг/л) и глицерином (400-15000 мг/л), которые смягчают вкус вина.

Алифатические ненасыщенные спирты (0,5-8,0 мг/л), представленные терпеновыми спиртами (гераниол, линалиол, цитронеллол и др.), и ароматические спирты (около 1 мг/л), представленные в основном фенилэтиловым спиртом, определяют ароматические свойства вин.

Все спирты, кроме Э, в количествах, определяемых в вине, безопасны в токсикологическом отношении и пищевой ценности, за исключением глицерина, не представляют [37].

Альдегиды жирного ряда в винах на 90% представлены уксусным и на 10 % - пропионовым альдегидами. Вина, не подвергавшиеся обработке двуокисью серы, содержат от 30 до 50 мг/л ацетальдегида, а обработанные - до 200 мг /л. Содержание ацетальдегида возрастает при хересовании (до 600 мг /л), старении, аэрации вин и действии посторонней микрофлоры. В больших количествах он придает оттенок старого, ровного вина и относится к числу основных факторов, определяющих вкус вин типа марсалы. Из-за высокой реакционной способности альдегиды конденсируются с веществами, содержащими аминогруппу, с образованием меланоидов, восстанавливаются в соответствующие спирты и взаимодействуют с другими продуктами брожения. Содержание альдегидов фуранового ряда (фурфурол, оксиметилфурфурол и метилфурфурол) в винах не превышает 30 мг/л.

Кетоны (ацетон, диацетил, 2-бутанон, 2-пентанон и бутиролактон) содержатся в вине в следовых количествах. Лишь ацетоин определяется в концентрациях 3-30 мг/л. Альдегиды и кетоны на токсические и пищевые свойства вина влияния не оказывают [37].

Сложные эфиры, ацетали, воски и масла. Содержание этиловых эфиров жирных кислот в вине составляет обычно 50-200 мг/л, этиловых эфиров оксикислот - 100-500 мг/л. Преобладает этилацетат (20-200 мг/л). При длительной выдержке в винах накапливаются в основном кислые эфиры винной, яблочной и янтарной кислот. Максимальное содержание сложных эфиров определяется в хересе (до 1000 мг/л). Большинство эфиров обладает приятным фруктовым запахом. Установлено, что энантовый эфир значительно улучшает, а эфиры уксусной, масляной и валериановой кислот - ухудшают органолептические свойства вина.

Ацетали, продукты взаимодействия альдегидов со спиртами, содержатся в винах в количестве 1-20 мг/л. Основной представитель - диэтилацеталь - обладает приятным фруктовым ароматом. Воски и масла присутствуют в вине в ничтожных количествах. Все эти соединения малотоксичны и не влияют на пищевую ценность вина.

Углеводы. Основные моносахариды винограда - глюкоза и фруктоза - почти полностью утилизируются дрожжевыми клетками при приготовлении сухих вин. Сахароза обычно превращается в инвертированный сахар. Кроме гексоз, в винах обнаруживают L-арабинозу (500-1260 мг /л), следы других пентоз и полисахариды. К последним относятся пектиновые вещества, содержание которых достигает 800 мг/л при суточной потребности 15-16 г. Это не позволяет причислить их к категории соединений, определяющих детоксикационные и радиопротекторные свойства вина. Углеводы в крепленых винах могут обеспечивать более 50% их калорийности [37].

Органические кислоты. Кислоты вин частично поступают в них из винограда и частично образуются в процессе ферментации как интермедианты метаболизма дрожжей. Из алифатических монокарбоновых кислот в наибольших количествах представлены уксусная (400-1500 мг/л), муравьиная (20-100 мг/л), пропионовая (10-150 мг/л), изомасляная (30- 100 мг/л), изовалериановая (30-100 мг/л), капроновая (10-100 мг/л), каприловая (10-150 мг/л) и каприновая (10-150 мг /л) кислоты.

Из алифатических поликарбоновых кислот присутствуют щавелевая (до 150 мг/л) и янтарная (250-1500 мг/л). Алифатические монокарбоновые оксикислоты представлены в основном молочной (500-5000 мг/л) и глюконовой (до 120 мг/л) кислотами. Средиалифатических поликарбоновых оксикислот центральное место принадлежит винной (1500-5000 мг/л) и яблочной (10- 5000 мг/л). Другие (метил-яблочная, слизевая, сахарная и лимонная) содержатся в незначительных или следовых количествах.

Альдегидо- и кетокислоты (глиоксилевая, глюкуроновая, галактуроновая, пировиноградная и альфа-кетоглутаровая) присутствуют в вине в количестве, не превышающем 1000 мг /л.

Ароматические кислоты бензойного и коричного рядов (п-оксибензойная, протокатехиновая, ванилиновая, галловая, сиреневая, салициловая и др.) типичны прежде всего для красных вин (50-100 мг/л). В белых винах их существенно меньше (1-5 мг/л). Большинство этих кислот имеют фенольный радикал и соответственно могут быть отнесены к классу фенолокислот.

Активная кислотность вин (pH) обычно колеблется в пределах 3,0-4,2, а титруемая - 5-7 г/л в пересчете на самую сильную кислоту - винную. Органические кислоты находятся, в основном, в связанном или полусвязанном состоянии. Они определяют бактерицидные, вкусовые и ароматические свойства вина. Конкретные данные о пищевой ценности кислот вин отсутствуют. Однако, учитывая высокую биологическую активность некоторых из них, можно предположить, что органические кислоты способны вносить определенный вклад в пищевые свойства вин.

Азотсодержащие вещества.

Вина содержат мало азотистых соединений - от 70 до 780 мг/ л. 55% всего азота приходится на полипептиды, от 25 до 40% - на свободные аминокислоты и только 3% - на белки, поступающие из виноградной кожуры. Из соединений этого класса выделяется аминокислота пролин, содержание которой в вине достигает 150 мг/л. Азотсодержащие вещества являются необходимой питательной средой дрожжей и субстратом для синтеза альдегидов. Они и продукты их взаимодействия оказывают влияние на цвет, аромат, вкус и стабильность вин. Пищевой ценности не представляют [37].

Минеральные соединения. Содержание минеральных веществ (МВ) в винах сильно варьирует в зависимости от сорта винограда, состава почвы, климатических условий и др. МВ присутствуют в вине в органической и неорганической форме. Их общее содержание колеблется в пределах 1,5-3 г/л, что примерно на 50% меньше, чем в винограде. Калий, кальций, натрий и железо частично утилизируются дрожжевыми клетками. Алюминий, медь, свинец и олово на 80-90% взаимодействуют с сульфатами и выпадают в осадок. Цинк, марганец, свинец, медь и кобальт включаются в ферментные комплексы дрожжей и, по мере их отмирания, также выпадают в осадок. Калий выпадает в осадок в виде винного камня. Снижение количества МВ продолжается при обработке и выдержке виноматериалов.

Систематическое потребление 0,5 л вина в день позволяет на 5-20% обеспечивать суточную потребность взрослого человека в МВ. Исключение составляют йод и фтор, поступление которых с вином может полностью удовлетворить потребности человека в этих микроэлементах. Весьма вероятно, что в винодельческих регионах с низким содержанием иода в окружающей среде (Кавказ и Карпаты) традиционное потребление вина восполняет дефицит йода и препятствует развитию эндемического зоба.

Витамины и витаминоподобные вещества.Все витамины, присутствующие в вине, поступают в него из винограда. В процессе ферментации значительная часть их аккумулируется дрожжами. Поэтому молодое вино существенно обеднено витаминами. По мере выдержки вина и аутолиза дрожжевых клеток витамины постепенно освобождаются и снова поступают в вино. В процессе ферментации почти полностью исчезают аскорбиновая кислота и тиамин. Часть витаминов теряется при обработке и хранении вина. [37].

Фенольные соединения. Фенольные соединения (ФС) в винах представлены в основном флавоноидами, в состав которых входят фенолокислоты, флавонолы, катехины, лейкоантоцианидины и антоцианидины. Продукты полимеризации катехинов и лейкоантоцианидинов принято называть танинами, которые включаются в более широкое понятие дубильных веществ. Особенно много ФС переходит из винограда в вина, приготовленные кахетинским способом. Общее содержание ФС в вине достигает 6 г/л. ФС вин обладают очень низкой токсичностью и, согласно современным представлениям, являются исключительно важными биологически активными веществами. Флавоноиды определяют Р-витаминную активность вин. Ряд ФС, входящих в состав вин, обладают антигипоксическим, антигипертензивным, противовоспалительным, антиаллергическим, кардио- и гепатопротективным, гиполипидемическим, противоопухолевым и радиопротекторным действием. Достаточно сказать, что флавоноиды рассматриваются в качестве наиболее перспективных соединений для создания высокоэффективных полифункциональных лекарственных препаратов. Широкий спектр их биологической активности обусловлен регулирующим влиянием на деятельность ряда ферментных комплексов, а также способностью оказывать антиоксидантное и мембраностабилизирующее действие.

Содержание флавоноидов в красном вине в 20 раз превышает их содержание в белом. Несмотря на широкое распространение ФС в растительном мире, вино может выступать в качестве их основного источника для человека. Подсчитано, что для населения США, потребляющего достаточно большое количество растительной пищи, употребление двух бокалов красного вина в день увеличивает содержание флавоноидов в диете на 40%. Для населения регионов, потребляющего ограниченное количество овощей и фруктов этот процент может быть существенно выше. Недавно установлено, что биодоступность ФС вина значительно превосходит биодоступность ФС, содержащихся во фруктах и овощах. В растениях они находятся в виде полимеров и гликозидов, которые устойчивы к действию пищеварительных соков, мало растворимы в водной среде и потому почти не абсорбируются в кишечнике. В процессе ферментации вина такие аггрегаты распадаются до мономерных форм, благодаря присутствию этанола находятся в растворимой форме, длительно сохраняются в вине и хорошо абсобируются в кишечнике . Наконец, вина содержат соединения фенольной природы, которые практически отсутствуют в растительном мире. К числу таких соединений отностится триоксистилбен ресвератрол. Он синтезируется в процессе ферментации красного вина дрожжевыми клетками Vitis vinifera. В биологически значимых количествах, помимо вина, он обнаружен только в земляном орехе. Согласно результатам недавних экспериментальных исследований ресвератролу отводится центральное место в реализации положительного влияния вина на здоровье человека [37].

Газы.К растворенным в винах газам относятся двуокись углерода и двуокись серы. Двуокись углерода образуется в значительном количестве. Большая часть ее рассеивается в воздухе, а меньшая - растворяется в вине, образуя угольную кислоту (до 5 г/л в игристых винах). Двуокись серы поступает в вина из винограда и используется в качестве пищевой добавки, оказывающей антимикробное и антоксидантное действие. Ее содержание лимитируется: в красных винах - 175 мг /л, а в белых - 225 мг/л [37].

2.2 Методы исследования ионообменных материалов

.2.1 Измерение удельной электропроводности ионитов

Хейман и О’Доннелл, пытаясь измерить потенциал, возникающий при протекании воды через слой ионита, обнаружили, что электроды измерительной ячейки накоротко замыкаются смолой, электрическое сопротивление которой на три порядка ниже, чем у воды. Измерительная ячейка представляла собой стеклянный цилиндр, наполненный ионитом. Дно этого цилиндра, играющее роль электрода, было сделано из перфорированной платинированной платины. Второй электрод подводился сверху до соприкосновения с ионитом. Смола в ячейке потоком раствора переводилась в нужную солевую форму и промывалась водой, после чего в присутствии воды измерялось сопротивление колонки. Такой метод позволяет, исходя из геометрических размеров колонки, рассчитать удельную электропроводность слоя ионита в воде, в растворе или в других жидкостях и получить сравнительные данные для разных сортов смол и их солевых форм.

Другим распространенным методом оценки электропроводности ионитов является так называемый «способ точки изоэлектропроводностй» [28, 36]. Он основан на выявлении определенной концентрации равновесного раствора, при которой электропроводности фазы ионита и раствора одинаковы. Такую концентрацию раствора находят, пользуясь тем, что подвижность ионов в ионите много ниже, чем в воде. Поэтому в области концентрированных равновесных растворов электропроводность ионита меньше, чем электропроводность раствора. В разбавленных же равновесных растворах, наоборот, электропроводность ионита выше электропроводности раствора. Здесь уже сказывается большее число переносчиков тока в ионите. Следовательно, можно найти такую концентрацию равновесного раствора, при которой удельные электропроводности обеих фаз одинаковы. Для ионообменных смол первым, вероятно, эту точку нашел Шпиглер [28, 36].

Экспериментально положение точки изоэлектропроводности может быть найдено различными способами. Например, Шпиглер помещал ионит в плексигласовую ячейку с двумя перфорированными платиновыми электродами. Нижний электрод был неподвижен, верхний мог перемещаться с помощью микрометрического винта, и положение его фиксировалось с точностью до 1/144 дюйма. Ячейка заполнялась ионитом, и через нее сверху вниз насосом пропускался поток исследуемого раствора. Равновесие между ионитом и раствором считалось достигнутым, когда электропроводность входящего и выходящего раствора становилась одинаковой. После этого поток жидкости останавливался, записывалась температура и удельная электропроводность. Затем через каждые 1/42 дюйма измерялось сопротивление колонки при положении верхнего электрода на 3/16 дюйма выше и 3/16 дюйма ниже точки контакта электрода с ионитом. При исследовании этим методом ионита в разбавленных растворах на графике зависимости проводимости колонки от расстояния между электродами четко виден излом кривой. Положение этого излома указывает на точку контакта электрода со смолой и на расстояние между электродами. Для определения точки изоэлектропроводности ионита и равновесного раствора в работе в одном и том же масштабе по обеим осям строился график зависимости удельной электропроводности колонки от электропроводности равновесного раствора и через начало координат проводилась прямая линия под углом 45°. Пересечение этой прямой с экспериментальной кривой отвечает точке одинаковой электропроводности ионита и равновесного раствора. Описанный метод довольно трудоемок и сложен. Более простым является другой способ определения точки изоэлектропроводности.

Строится кривая зависимости проводимости ячейки, изображенной на рисунке 2, с ионитом и без ионита от концентрации равновесного раствора. Точка равной проводимости ионита и равновесного раствора отвечает пересечению этих двух кривых (рисунок 2).

 

А                                   б

Рисунок 2.2.1.1 - а) U-образная ячейка для определения изоэлектропроводности ионит (1 - реохордный мост или любой другой кондуктометр, 2 - платинированные электроды,3 - U-образная колонка, 4 - ионит); б) Определение точки изоэлектропроводности смолы КУ-2 в растворе NaCl в U - образной трубке (1 - электропроводность U-образной трубки с раствором, 2 - электропроводность U-образной трубки со смолой и равновесным раствором)

Точка изоэлектропроводности позволяет судить об электропроводности ионита только при одной единственной фиксированной концентрации равновесного раствора.

2.2.2 Использование оптической микроскопии для визуализации процесса отравления мембран

Для визуализации процесса отравления ионообменных смол и мембран виноматериалами был использован биологический микроскоп Альтами БИО-2, снабжённый цифровой окулярной USB камерой UCMOSO5100KPA. Внешний вид микроскопа представлен на рисунке 2.2.2.1. Альтами БИО 2 оснащен конденсором Аббе с апертурой 1.25, регулируемой ирисовой диафрагмой и держателем светофильтров. Крепление конденсора имеет ручку вертикального перемещения и центровочные винты, которые позволяют регулировать положение конденсора по отношению к оптической оси по высоте и в горизонтальной плоскости. Микроскоп имеет предметный столик размером 160 на 142 миллиметров с препаратоводителем. Микропрепарат перемещается при помощи рукояток, которые размещены коаксиально. Диапазон передвижения равен 80 на 50 миллиметров.

Система освещения Альтами БИО 2 изготовлена и спроектирована по схеме Келлера. Осветитель оснащен галогеновой лампой 20Вт/12В или светодиодом. Сконструирован он так, чтобы его установка и снятие не занимали много времени. Также имеется специальное колесо, которое плавно регулирует яркость освещения. В случае со светодиодным осветителем, регулирование яркости не вносит каких-либо изменений в цветовую температуру. Благодаря полевой диафрагме, которая расположена непосредственно под конденсором, получается контрастное и ровное изображение.

Корпус микроскопа выполнен из алюминия, отлитого под давлением. Он оснащен двумя ручками точной и грубой фокусировки, расположенными коаксиально, механизмами регулирования жесткости хода и установки предела передвижения предметного столика.

Исследования проводились с использованием 3-х объективов: 4х16, 10х16 40х16, позволяющих осуществить увеличение соответственно в 64, 160 и 640 раз.

Рисунок 2.2.2.1 - Внешний вид микроскопа Альтами БИО 2

Перед началом измерений ионообменная смола или мембрана подвергались солевой подготовке и затем отмывались в дистиллированной воде. Образец погружали в раствор NaCl концентрацией 0,1н или виноматериал на заданный интервал времени (15, 30, 45 и более минут), затем доставали из виноматериала, помещали на предметное стекло толщиной 1, 2 мм и накрывали покровным стеклом толщиной 0,7 мм. После изучения образец возвращали в виноматериал

Каждую серию экспериментов проводили при заданной для исходного сухого образца освещённости предметного столика.

.2.3 Изучение кинетики отравления ионообменных смол и мембран виноматериалами спектрофотометрическим методом

Спектрофотометрия - физико-химический метод исследования растворов, основанный на изучении спектров <#"823704.files/image033.gif">

А

б

Рисунок 2.2.3.1- Принципиальные схемы спектрофотометров I (а) и II (б)

При использовании схемы I измеряемый образец освещается белым светом. Монохроматор <#"823704.files/image035.gif">

Рисунок 2.2.3.2 - Спектрофотометр LEKI SS 2107

Он имеет погрешность установки длин волн ± 2 и фотометрическую точность 0.5. Оптическая схема является однолучевой. Источником света служит галогенная лампа. В экспериментах использованы прямоугольные стеклянные кюветы толщиной 10 мм. Стандартным веществом является дистиллированная вода.

Калибровочные кривые построены путём измерения оптической плотности виноматериалов белого и красного вина, разбавленных дистиллированной водой (рисунки 2.2.3.3 и 2.2.3.4). На оси ординат отложено значение приведённой концентрации компонентов виноматериала А в пробе, которое рассчитано по формуле:

А = Vв/(Vв+VH2O)

Здесь Vв - это объём виноматериала в см3; VH2O - объём добавленной к виноматериалу дистиллированной воды см3.

В таблицах Я и Ч представлены данные, использованные для построения калибровочных графиков.

Таблица 2.2.3.1 - Объёмы виноматериала и дистиллированной воды для получения калибровочного графика приведённой концентрации окрашенных веществ в белом вине

№№

вино, см3

вода, см3

A

D (λ=400 нм)

0

10

0

1

0,621

1

10

10

0,427

2

10

20

0,333333

0,227

3

10

30

0,25

0,109

4

10

40

0,2

0,055

5

10

50

0,166667

0,036

6

10

60

0,142857

0,025

7

10

70

0,125

0,023

8

10

80

0,111111

0,023

9

10

90

0,1

0,023

10

10

100

0,090909

0,023


Таблица 2.2.3.2 - Объёмы виноматериала и дистиллированной воды для получения калибровочного графика приведённой концентрации окрашенных веществ в красном вине

№№

вино, см3

вода, см3

A

D (λ=700 нм)

0

10

0

1

0,263

1

10

10

0,5

0,119

2

10

20

0,333333

0,065

3

10

30

0,037

4

10

40

0,2

0,023

5

10

50

0,166667

0,016

6

10

60

0,142857

0,014

7

10

70

0,125

0,011

8

10

80

0,111111

0,009

9

10

90

0,1

0,009

10

10

100

0,090909

0,009


Рисунок 2.2.3.3 - Калибровочный график для определения приведённой концентрации окрашенных веществ в белом вине

Рисунок 2.2.3.4 - Калибровочный график для определения приведённой концентрации окрашенных веществ в красном вине

Полученные калибровочные кривые обработаны с использованием регрессионного анализа. Каждую кривую разбили на два участка. В случае красного вина - это два линейных участка. В случае белого вина - линейный участок соответствует большим концентрациям окрашенных веществ. Разбавленные растворы описываются кубическим уравнением.

Найденные уравнения применены для определения приведённых концентраций окрашенных веществ при изучении кинетики их сорбции анионообменными смолами. Фактически - это значения приведённой концентрации оставшихся в виноматериале окрашенных компонентов после сорбирования их ионитом: А= (Сисх-Ссорб)/Cисх .

Кинетика сорбции окрашенных компонентов виноматериалов исследовалась следующим образом. В мерные колбы ёмкостью 25 мл помещали навеску сухого ионита (0,25 г, 0,5 г, 1,0 г или 2,0 г) и ставили их на мешалку. Через заданные периоды времени 5 мл раствора из каждой колбы отливали в кювету, толщина стенок которой равнялась 1 мм, а толщина поглощающего слоя раствора (расстояние между стенками кюветы) составляла 10 мм. После измерения коэффициента оптической плотности раствор возвращали обратно в колбу. Непрерывные измерения проводили 100-120 мин. Образец оставляли в контакте с виноматериалом ещё на 24 часа и затем измеряли коэффициент оптической плотности этого виноматериала. Приведённую концентрацию сорбированных каждой навеской окрашенных компонентов виноматериала рассчитывали по формуле:

γсорб = 1- А

3. РЕЗУЛЬТАТЫ И ОБСУЖДЕНИЯ

.1 Транспортные и равновесные характеристики ионообменных смол и мембран

В таблице 3.1.1 представлены найденные значения влагоёмкости исследуемых ионообменных смол. В этой же таблице указаны значения электропроводности в точке изоэлектропроводности ионообменного материала и с растворами NaCl и гидротартрата калия KHT. Тут же указаны значения электропроводности в точке изоэлектропроводности ионообменного материала и раствора NaCl, полученные после уравновешивания АВ-17 и АВ-17 2П c белым и красным вином. Концентрационные зависимости удельной электропроводности раствора NaCl и раствора NaCl с погружённой в него ионообменной смолой АВ-17 8 или АВ-17 2П представлены на рисунках 3.1.1 и 3.1.2.

Таблица 3.1.1 - Значения влагоемкости исследуемых мембран

Название ионита

W, %

æiso, См м-1



NaCl

KHT

Виноматериалы





белое

красное

АВ-17-8

49±2

1,7±0,2

0,20±0,03


1,44±0,05

АВ 17-2П

58±3

4,3±0,2

0,65±0,05


0,67±0,05

КУ 2-8

45±2

2,8±0,2

-

Рисунок 3.1.1 - Концентрационная зависимость удельной электропроводности раствора NaCl и раствора NaCl с погружённой в него ионообменной смолой АВ-17 8

Рисунок 3.1.2 - Концентрационная зависимость удельной электропроводности раствора NaCl и раствора NaCl с погружённой в него ионообменной смолой АВ-17 2П

Высокая пористость смолы АВ-17 2П обеспечивает наибольшее значение электропроводности в точке изоэлектропроводности ионообменного материала и равновесного раствора. Пребывание смол в виноматериалах ведёт к незначительному снижению электропроводности смол АВ-17 и КУ-2 (рисунок 3.1.3). В случае смолы АВ-17 2П пребывание в вине ведёт к 6-кратному ослаблению транспортных характеристик этого материала (рисунок 3.1.3). Причиной резкого снижения его электропроводности может стать отравление органическими компонентами, содержащимися в виноматериалах. В частности, это могут быть естественные красители. Для того, чтобы проверить эту гипотезу проведена визуализация процесса отравления смол виноматериалами.

Рисунок 3.1.3 - Точки изоэлектропроводности ионообменных смол в растворе NaCl, измеренные после солевой подготовки (NaCl) и уравновешивания в виноматериале красного вина (красное)

3.2 Визуализация процесса отравления ионитов виноматериалами

На рисунках 3.2.1. - 3.2.3 представлены оптические изображения ионообменных смол, находившихся в контакте с 0,1 М раствором NaCl, белым и красным вином. Рисунки 3.2.4 - 3.2.6 иллюстрируют изменение окраски поверхности ионообменных мембран МК-40, МА-41, МА-41 2П в тех же жидкостях.

                           

а                                                   б

Рисунок 3.2.1 - Оптические изображения ионита КУ-2, уравновешенного с 0,1 М раствором NaCl (а) и красным вином (б)

                    

а                                                     б                            в

Рисунок 3.2.2 - Оптические изображения ионита АВ-17, уравновешенного с 0,1 М раствором NaCl (а), белым (б) и красным вином (в)

               

а                                      б                                 в

Рисунок 3.2.3 - Оптические изображения ионита АВ-17 2П, уравновешенного с 0,1 М раствором NaCl (а), белым (б) и красным вином (в)

            

а                                                     б                            в

Рисунок 3.2.4 - Оптические изображения мембраны МК-40, находившейся в контакте с 0,1 М раствором NaCl (а), белым (б) и красным вином (в) в течение 24 часов. Шаг ячейки сетки составляет 215 ± 5 мкм. Толщина нити сетки равна 45 ± 5 мкм.

      

а                                                    б                             в

Рисунок 3.2.5 - Оптические изображения мембраны МА-41, находившейся в контакте с 0,1 М раствором NaCl (а), белым (б) и красным вином (в) в течение 24 часов

     

а                                                     б                                     в

Рисунок 3.2.6 - Оптические изображения мембраны МА-41 2П, находившейся в контакте с 0,1 М раствором NaCl (а), белым (б) и красным вином (в) в течение 24 часов

Анализ полученных изображений показывает, что хранение катионообменной смолы КУ-2 в красном вине не приводит к заметному изменению окраски гранул ионита (рисунок 3.2.1). Вместе с тем на поверхности ионообменной мембраны МК-40, изготовленной на его основе, визуализируются окрашенные осадки, которые заполняют почти всё пространство, за исключением выходов капроновой сетки на поверхность мембран. Эти осадки имеют жёлто-коричневый (белое вино) и красный (красное вино) цвет. Исходя из характера полученных изображений можно предположить, что окрашенные компоненты виноматериалов имеют полярные группы того же знака, что и фиксированные группы ионообменного материала, то есть являются ко-ионами. Поэтому содержание этих материалов внутри катионообменной смолы и мембраны относительно невелико. В процессе хранения ионита в виноматериале имеет место частичное окисление окрашенных компонентов, приводящее к образованию коллоидных частиц, осаждающихся на горизонтальную поверхность мембраны. Закреплению осадка способствует сильная изрезанность поверхности (рисунок 3.2.1.а) этой гетерогенной мембраны.

Поверхности мембран МА-41(рисунок 3.2.5а) и МА-41 2П (рисунок 3.2.6а) являются столь же изрезанными, как и поверхность мембраны МК-40 (рисунок 3.2.1а). Однако на них визуализируется меньшее количество осадка, чем на катионообменной мембране. Можно предположить, что часть окрашенных компонентов вина сорбируется анионообменными гранулами смолы, входящей в состав этих мембран. О возможности протекания этого процесса свидетельствует изменение окраски зёрен ионита, находившихся в контакте с белым (рисунки 3.2.5б, 3.2.6б) и красным (рисунки 3.2.5в, 3.2.6в) вином, по сравнению с окраской этих смол в растворе NaCl (рисунки 3.2.5а, 3.2.6б). Наименьшее количество осадка на поверхности мембран и наиболее интенсивное окрашивание гранулы ионита демонстрируют соответственно мембрана МА-41 2П и смола АВ-17 2П. Оба этих материала содержат слабо сшитую дивинилбензолом матрицу, которая содержит более крупные поры, чем другие исследованные ионообменные материалы. Сколы смолы АВ-17 2П, находившейся в контакте с виноматериалами (рисунок 3.2.7 а,б,в,г,д,е) имеют более интенсивную окраску, чем в случае этой смолы, уравновешенной с раствором NaCl.

а                                                    б

  

в                                                    г

д                                                    е

Рисунок 3.2.7- Сколы смолы АВ-17 2П, находившейся 24 часа в NaCl (а,б), белом (в,г) и красном (д,е) вине

Пребывание анионообменной смолы в белом вине в течение 24 часов приводит к изменению окраски всего объёма этого материала. В случае красного вина некотые участки объёма АВ-17 2П (рисунок 3.2.7д) могут оставаться неокрашенными. Эти экспериментальные факты является дополнительным свидетельством того, что окрашивающие компоненты вина проникают внутрь гранул ионита.

3.3 Кинетика процесса отравления ионообменных смол

На рисунках 3.3.1 и 3.3.2 представлены кинетические зависимости коэффициента оптической плотности виноматериалов, находящихся в контакте

Рисунок 3.3.1 - Кинетические зависимости коэффициента оптической плотности белого вина, находящегося в контакте с анионообменной смолой АВ-17. Цифрами указана масса сухого ионита в пересчёте на 1 дм3 виноматериала

Рисунок 3.3.2 - Кинетические зависимости коэффициента оптической плотности красного вина, находящегося в контакте с анионообменной смолой АВ-17. Цифрами указана масса сухого ионита в пересчёте на 1 дм3 виноматериала

С ионообменными смолами АВ-17 и АВ-17 2П. Цифрами у кривых обозначена масса сухого ионита в пересчёте на 1 дм3 виноматериала. На рисунках 3.3.3 и 3.3.4 те же данные представлены в виде кинетических зависимостей приведённой концентрации оставшихся в виноматериале окрашенных компонентов. Анализ представленных зависимостей показывает, что процесс сорбции окрашенных компонентов имеет место как в случае виноматериалов белого вина, так и в случае виноматериалов красного вина. Если в контакте с виноматериалом находится небольшое количество ионообменной смолы (10 г на 1 дм3 виноматериала), процесс изменения интенсивности окраски раствора составляет не менее 70 мин (белое вино) и 60 мин (красное вино). При увеличении количества ионита в 2 и более раз быстрое ослабление интенсивности окрашивания наблюдается в первые 20 мин (белое вино) и 10 мин (красное вино). Дальнейшее медленное изменение окраски, которое имеет место как в случае белого, так и в случае красного вина, указывает на достижение в системе ионит/виноматериал равновесного состояния. Если в 1 дм3 виноматериала содержится более 20 г смолы, увеличение её количества слабо влияет как на время достижения равновесного состояния, так и на конечную концентрацию окрашенных веществ в виноматериале.

Рисунок 3.3.3 - Кинетические зависимости приведённой концентрации окрашенных компонентов, оставшихся в белом вине после их сорбции навеской анионообменной смолы АВ-17. Цифры у кривых соответствуют массе сухого ионита, находящегося в контакте с виноматериалом. Расчёт сделан на 1 дм3 виноматериала

Рисунок 3.3.4 - Кинетические зависимости приведённой концентрации окрашенных компонентов, оставшихся в белом вине после их сорбции навеской анионообменной смолы АВ-17. Цифры у кривых соответствуют массе сухого ионита, находящегося в контакте с виноматериалом. Расчёт сделан на 1 дм3 виноматериала

Действительно, интенсивности окраски виноматериалов после 120 минут контакта с ионообменной смолой и после 26 часов такого контакта являются практически одинаковыми. Значения приведённой концентрации окрашенных веществ в аниообменных смолах после 26 часов их контакта с белым и красным вином приведены на рисунке 3.3.5. Анализ этих данных позволяет заключить, что:

а) цветные компоненты белого вина сорбируются ионитами сильнее, чем аналогичные компоненты красного вина;

б) сорбционная способность пористой анионообменной смолы АВ-17 2П выше, чем у смолы АВ-17.

Рисунок 3.3.5 - Приведённая концентрация окрашенных компонентов виноматериалов в ионообменных смолах после их контакта с белым и красным вином в течение 26 часов

Рисунки 3.3.6 и 3.3.7 позволяют проследить за процессом сорбции окрашенных веществ белого и красного вин сильно сшитым анионитом АВ-17 и пористым анионитом АВ-17 2П. Из анализа этих данных следует: процесс сорбции окрашенных компонентов белого вина обеими исследованными смолами идёт примерно одинаково. Численные значения приведённой концентрации сорбированных компонентов отличаются незначительно.

Рисунок 3.3.6 - Кинетическая зависимость обесцвечивания виноматериала белого вина анионообменными смолами АВ-17 и АВ-17 2П

В то же время в случае красного вина имеются заметные различия в поведении АВ-17 и АВ-17 2П. Сорбция окрашенных веществ сильно сшитой анионообменной смолой АВ-17 весьма незначительна. Равновесное состояние достигается через 20 минут контакта смолы с виноматериалом. Слабо сшитая пористая анионообменная смола АВ-17 2П сорбирует эти вещества значительно сильнее. Равновесное состояние системы достигается только через 100 минут контакта смолы с виноматериалом. Указанные различия могут быть объяснены так. Окрашенные компоненты белого вина имеют сравнительно небольшие размеры и проникают в поры обеих исследованных смол. Размеры части окрашенных компонентов красного вина превышают диаметр пор смолы АВ-17. Эти компоненты могут сорбироваться лишь поверхностью сильносшитой смолы, размеры которой ограничены. Скорость процесса их сорбции определяется внешнедиффузионной кинетикой. Эти же компоненты проникают в более крупные поры смолы АВ-17 2П. Скорость процесса их сорбции определяется внутридиффузионной кинетикой, поэтому сорбция окрашенных компонентов красного вина АВ-17 2П идёт значительно медленнее.

Рисунок 3.3.7 - Кинетическая зависимость обесцвечивания виноматериала красного вина анионообменными смолами АВ-17 и АВ-17 2П

На разный состав красителей указывают неодинаковые значения длин волн, соответствующих максимуму поглощения. В случае белого вина он равен 400 нм, то есть близок к соответствующей длине волны для тартразина (таблица Ю). В случае красного вина он равен 700 нм, то есть превышает указанные в ГОСТ 31765-2012 [38] (таблица 3.3.1).

Таблица 3.3.1 - Стандартные синтетические красители и их характеристики

Наименование синтетического красителя

Индекс

Длина волны, соответствующая максимуму поглащения, нм

Удельный коэффициент светопоглощения, E1%

Тартразин

Е102

426

530

Жёлтый «солнечный закат»

485

555

Кармуазин (азорубин)

Е122

516

510

Амарант

Е123

520

440

Понсо 4R

Е124

505

430

Красный 2G

Е128

532

620

Красный очаровательный AC

Е129

504

540


Диапазон естественных красных цветов в спектре часто определяют длиной волны 620-740 нанометров.

На разный состав красителей и их неодинаковое агрегатное состояние указывает также неодинаковый ход градуировочных зависимостей, полученный методом разбавления естественного виноматериала водой.

Известно, что поглощение световой энергии органическими соединениями в УФ- и видимой областях спектра связано с переходом σ-, π- и n-электронов из основного состояния в состояние с более высокой энергией. Электронные переходы классифицируют в зависимости от типа связи, обусловливаемой характером связывающих орбиталей: σ простая связь, π двойная или тройная связь, а также несвязывающими (n) орбиталями. На несвязывающих орбиталях располагаются свободные электронные пары гетероатомов О, S, N, Hal.

Расположение электронов на связывающих и несвязывающих орбиталях соответствует основному состоянию молекулы. Нахождение электронов на разрыхляющих орбиталях соответствует возбужденному состоянию, которое возникает при поглощении молекулой вещества определенного количества энергии. При возбуждении возможен переход электронов с одних орбиталей на другие. Переходы электронов типа π - π* в ординарной π -связи имеют малое аналитическое значение (область спектра 180-200 нм). При появлении сопряженных π -связей максимум сдвигается в ближнюю УФ- или видимую область спектра. Переходы электронов типа n- σ* и n- π* требуют затраты меньшей энергии. Указанные переходы появляются в органических соединениях с гетератомами Сl, N, S, O, галоидами и т.д., обладающими свободными парами электронов, расположенными на несвязывающих n-орбиталях. Таким образом, существенными элементами, обусловливающими наличие электронных факторов органических молекул, являются кратная связь и неподеленная пара электронов. Группировки, содержащие в своем составе сопряженные двойные связи и неподеленные пары электронов, называют ХРОМОФОРАМИ. Вид спектральной кривой зависит от ряда факторов: строения молекул вещества; растворителя; наличия в молекуле исследуемого вещества тех или иных заместителей; поведения вещества в растворе (способность образовывать внутри- и межмолекулярные водородные связи); наличия или отсутствия динамической изомерии и т.д.

Можно предположить, что в линейной области градуировочных кривых доминирующим является разбавление раствора (коэффициент оптической плотности в этой области пропорционален концентрации). В области разбавленных растворов, по-видимому, усиливается роль реакций протолиза и межмолекулярных взаимодействий полярных групп красителей.

Полученные результаты носят предварительный характер и пока не позволяют сделать более точных количественных оценок. Однако уже сейчас ясно, что использование метода спектрофотометрии может дать весьма ценную информацию о механизмах отравления ионообменных материалов органическими красителями и другими органическими компонентами.

ЗАКЛЮЧЕНИЕ

.        Влагоёмкость КУ-2-8 и АВ-17-8, имеющих идентичную полимерную матрицу, является одинаковой. Более высокая влагоёмкость АВ-17-2П обусловлена увеличением её пористости вследствие уменьшения степени сшивки ионообменной матрицы.

2.      Установлено, что после пребывания в виноматериалах белого и красного вина электропроводность ионообменных смол уменьшается на 7% (КУ-2-8), 18% (АВ-17-8) и 540% (АВ-17 2П).

.        Отравление анионообменных смол АВ-17, АВ-17 2П и изготовленных на их основе мембран МА-41, МА-41 2П может быть связано с проникновением в их объём и осаждением на их поверхности окрашенных органических компонентов виноматериалов.

.        С использованием оптической микроскопии и спектрофотометрии показано, что наибольшее количество окрашенных компонентов виноматериалов попадает внутрь пористой анионообменной смолы АВ-17 2П и мембраны МА-41 2П, изготовленной на её основе. Окрашенные компоненты виноматериалов белого вина сорбируются в 1,5 раза сильнее, чем компоненты красного вина.

СПИСОК ИСПОЛЬЗОВАННЫХ ИСТОЧНИКОВ

1. Bazinet L., Firdaous L. Membrane processes and devices for separation of bioactive peptides // Recent Patents on Biotechnology. 2009. V. 3 (1),P. 61-72.

.Al-Amoudi A.S. Factor affecting natural organic matter (NOM) and scaling fouling in NF membranes: A review // Desalination. 2010. V. 259 (1-3).P.. 1-10.

. Tanaka N., Nagase M., Higa M. Organic fouling behavior of commercially available hydrocarbon-based anion-exchange membranes by various organic-fouling substances // Desalination. 2012. V. 29. P. 81-86.

. Strathman H. Electrodialysis, a mature technology with a multitude of new applications // Desalination, 2010. V. 264.P. 268-288.

. Bazinet, L., Araya-Farias, M. Effect of calcium and carbonate concentrations on cationic membrane fouling during electrodialysis // J.Colloid Interface Sci. 2005. V. 281 (1).P. 188-196.

. Bazinet L., Montpetit D., Ippersiel D., Amiot J.,Lamarche F. Identification of Skim Milk Electroacidification Fouling: A Microscopic Approach // Journal of Colloid and Interface Science. 2001. V.237 (1). P. 62-69.

. Firdaous L., Dhulster P.,Amiot J., Doyen A., Lutin F., Vézina L.-P., Bazinet L. Investigation of the large-scale bioseparation of an antihypertensive peptide from alfalfa white protein hydrolysate by an electromembrane process // J. Membr. Sci. 2010. V. 355 (1-2).P. 175-18.

. Merle G., Wessling M., Nijmeijer K. , Anion exchange membranes for alkaline fuel cells: A review // J. Membr. Science. 2011. V. 377. P. 1- 35.

. Nagarale R.K., Gohil G.S., Shahi V.K. Recent developments on ion-exchange membranes and electro-membrane processes // Adv. Colloid Interface Sci. 2006. V. 119.P. 97-130.

. Ghalloussi R., Garcia-Vasquez W., Chaabane L., Dammak L., Larchet C., Bellakhal N. // Phys. Chem. News. 2012. V.65 P. 1-72.

. Dammak L., Larchet C., Grande D. Ageing of ion-exchange membranes in oxidant solutions // Sep. Purif. Technol. 2009. V. 69. P. 43-47.

. Collier A., Wang H., Yuan X.Z., Zhang J., Wilkinson D.P. Degradation of polymer electrolyte membranes // Int. J. Hydrogen Energy. 2006. V.31.№13.P.1838.

. Choi J.-H., Moon S.-H. Structural change of ion-exchange membrane surfaces under high electric fields and its effects on membrane properties // J. Colloid Interface Sci. 2003.V.265.№1.P.93.

. Kang M.-S., Choi Y.-J., Moon S.-H. // AIChE Journal. 2003.V.49., №.12.P.3213.

. Simons R. // Electrochim. Acta. 1984.V.29.P.151.

. Заболоцкий В.И., Шельдешов Н.В., Гнусин Н.П. // Успехи химии. 1988.Т.57, №6.С.1403.

. Елисеева Т. В., Крисилова Е. В., Василевский В. П., Новицкий Э. Г. // Мембраны и мембранные технологии. 2012. Т. 2, № 3. С. 173-178.

. Крисилова Е. В., Елисеева Т. В., Селеменев В. Ф. Гидратация катионообменных мембран, сорбировавших основные аминокислоты // Журн. физ. хим. 2009.Т. 83, № 11.С. 2145-2147.

. Марри Р., Греннер Д. Биохимия человека. Т.1. / Пер. с англ. - М.: Мир, 1993, 384 с. Т2 - 415с.

Письменская Н.Д., Белова Е.И., Никоненко В.В., Ларше К. Электропроводность катионо- и анионообменных мембран в растворах амфолитов // Электрохимия. 2008. Т. 44, №11. С. 1381-1387.

. PismenskayaN., NikonenkoV., Volodina (Белова) E., PourcellyG. Electrotransport of weak-acid anions through anion-exchange membranes // Desalination. 2002. Vol. 147. P. 345-350.

. R. Ghalloussi, W. Garcia-Vasquez, L. Chaabane, L. Dammak, C. Larchet, S.V. Deabate, E. Nevakshenova, V. Nikonenko, D. Grande Ageing of ion-exchange membranes in electrodialysis: A structural and physicochemical investigation Journal of Membrane Science, Volume 436, 1 June 2013, Pages 68-78.

23. Березина Н. П. Физико-химические свойства ионообменных материалов / Н. П. Березина, Н. А. Кононенко, Г. А. Дворкина, Н. В. Шельдешов // Практикум. Краснодар: КубГУ. 1999. 82 с

. N. P. BEREZINA SYNTHETIC ION-EXCHANGE MEMBRANES, 2000 Pages 37-42.

25. Н. П. Гнусин, В.Д. Гребенюк Электрохимия гранулированных ионитов, Киев: Наукова думка. - 1972. - 178 с.

. Блинникова А.А. Спектрофотометрия и фотоэлектроколориметрия в анализе лекарственных средств: Учебное пособие. Томск, 2005. с. 96

. Гнусин Н.П., Гребенюк В.Д., Певницкая М.В. Электрохимия ионитов. Издательство «Наука». 1972. с. 200

. Бобрешова О.В., Аристов И.В., Кулинцов П.И., Хрыкина Л.А., Мамаева (Стрельникова) О.Ю., Балавадзе Э.М. Транспорт аминокислот в электромембранных системах // Мембраны. 2000. № 7. С. 3-12., Мамаева (Стрельникова) О.Ю., Кулинцов П.И., Бобрешова О.В. Эквивалентные электропроводности катионов лизина и анионов фенилаланина в ионитах КУ-2-8 и АВ-17 // Электрохимия. 2000. Т. 36. № 12. С. 1504-1506.

. Стрельникова О.Ю. Электропроводность водных растворов аминокислот и ионообменных смол в аминокислотных формах // Автореф. канд. хим. наук. Воронеж: Воронежский государственный университет, 2002. 23 с.

. Полянский Н.Г., Горбунов Г.В., Полянская Н.Л. Методы исследования ионитов. М.: Химия, 1976. 207 с.

. Шапошник В.А. Кинетика электродиализа. Воронеж, Изд-во Воронеж. ун-та, 1989. 176 с.

. Смирнова Н.М., Ласкорин Б.Н. О выборе ионитовых мембран для электродиализа растворов карбоната и бикарбоната натрия // В сб. Ионный обмен и иониты. Л.: 1970. С. 190-194.

33. Franck-Lacaze L., Sistat Ph., Huguet P. Determination of the pKa of poly (4-vinylpyridine)-based weak anion exchange membranes for the investigation of the side proton leakage // J. Membrane Sci. 2009. V. 326, No 2. P. 650-658., Pismenskaya N., Laktionov E., Nikonenko V., El Attar A., Auclair B., Pourcelly G. Dependence of composition of anion-exchange membranes and their electrical conductivity on concentration of sodium salts of carbonic and phosphoric acids. // J. Membr. Sci. 2001. V. 181, No 2. P. 185-197., Pismenskaya N. D., Belova E. I., Nikonenko V. V., Larchet C. Electrical Conductivity of Cation- and Anion-Exchange Membranes in Ampholyte Solutions, Russ. J. Electrochemistry, 2008, Vol. 44, No. 11, pp. 1285-1291. Pismenskaya N. <http://www.scopus.com/authid/detail.url?authorId=8882007900&amp;eid=2-s2.0-0035970154>D. Dependence of composition of anion-exchange membranes and their electrical conductivity on concentration of sodium salts of carbonic and phosphoric acids Laktionov E. <http://www.scopus.com/authid/detail.url?authorId=6506741051&amp;eid=2-s2.0-0035970154>, Nikonenko V. <http://www.scopus.com/authid/detail.url?authorId=7007153388&amp;eid=2-s2.0-0035970154>, El Attar A. <http://www.scopus.com/authid/detail.url?authorId=15720416700&amp;eid=2-s2.0-0035970154>, Auclair, B. <http://www.scopus.com/authid/detail.url?authorId=7004343672&amp;eid=2-s2.0-0035970154>, Pourcelly, G. <http://www.scopus.com/authid/detail.url?authorId=7005378338&amp;eid=2-s2.0-0035970154> Journal of Membrane Science <http://www.scopus.com/source/sourceInfo.url?sourceId=26953&amp;origin=recordpage> 2001, Vol. 181, № 2. pp. 185-197. Kotov, V.V., Emel'yanov, D.E. ELECTRICAL CONDUCTIVITY OF PHOSPHATE FORMS OF MA-41 ION-EXCHANGE MEMBRANES. (1985) Journal of applied chemistry of the USSR, 58 (4 pt 2), pp. 833-835.

. Блинникова А.А. Спектрофотометрия и фотоэлектроколориметрия в анализе лекарственных средств: Учебное пособие. Томск, 2005. 96 с.

Гельферих Ф. Иониты // Под ред. канд. техн. наук С.М. Черноброва, 1962, с. 490.

. Нужный В.П. Вино: Химический состав, пищевые свойства, особенности биологического действия и потребление.

Похожие работы на - Физико-химические свойства ионообменных смол и мембран в амфолит-содержащих растворах

 

Не нашли материал для своей работы?
Поможем написать уникальную работу
Без плагиата!
Без нейросетей!