Блок управления переносным цифровым электрокардиографом
Министерство образования Республики
Беларусь
БелорусскиЙ государственный университет информатики и
радиоэлектроники
Факультет
заочного обучения
Кафедра
электронной техники и технологии
Пояснительная записка
к курсовому
проекту
на тему
«Блок управления переносным цифровым электрокардиографом»
Студент
С.А. Сницкий
гр. 001801 (МдЭ)
Минск 2013
Содержание
Введение
. Обзор существующих методов и
аппаратов
. Анализ технического задания
. Разработка структурной схемы
. Разработка схемы электрической
принципиальной
. Разработка программы работы
микропроцессорного блока
Заключение
Список использованной литературы
Приложение
Введение
Современные достижения физики, микроэлектроники
и вычислительной техники произвели подлинную техническую революцию в методах
исследования и построения медицинской аппаратуры для диагностики и терапии.
Развитие оптических квантовых генераторов, интегральной схемотехники, новых
технологий определило существенный скачек по внедрению в медицинскую практику
значительного числа новых электронных приборов и методов обработки информации.
Тенденции развития современных медицинских
аппаратов отражается в разработке и использовании многоканальных
комбинированных приборов с автоматической цифровой обработкой и
документированием информации на компьютерах.
Развитие научного и медицинского приборостроения
позволяет значительно расширить возможности врачей путем измерения физических
полей и излучений человеческого организма.
Среди большого числа разных приборов получения
диагностической информации значительную часть занимают приборы, которые
используют биоэлектрические сигналы. Эти сигналы имеют величину и обычно
сопровождаются шумами наведением. Для управления приборами обработки информации
эти сигналы необходимо усилить до значения нескольких вольт.
Усилители биоэлектрических сигналов применяются
при исследовании биоэлектрической активности с последующим графическим
отображением исследуемых колебаний или регистрацией их на магнитных носителях.
Электрокардиографией называется метод графической
регистрации электрических явлений, возникающих в работающем сердце.
Распространение возбуждения по сердцу
сопровождается возникновением в окружающем его объемном проводнике (теле)
электрического поля. Форма, амплитуда и знак элементов электрокардиограммы
зависят от пространственно-временных характеристик возбуждения сердца
(хронотопографии возбуждения), от геометрических характеристик и пассивных
электрических свойств тела как объемного проводника, от свойств отведений
электрокардиограммы как измерительной системы.
Каждое мышечное волокно представляет собой
элементарную систему - диполь. Из бесчисленных микродиполей одиночных волокон
миокарда складывается суммарный диполь (ЭДС), который при распространении
возбуждения в головной части имеет положительный заряд, в хвостовой -
отрицательный.
При угасании возбуждения эти соотношения
становятся противоположными. Так как возбуждение начинается с основания сердца,
эта область является отрицательным полюсом, область верхушки - положительным.
Электродвижущая сила (ЭДС) имеет определенную
величину и направление, т.е. является векторной величиной.
С помощью электрокардиографов биотоки сердца
можно зарегистрировать в виде кривой - электрокардиограммы (ЭКГ).
электрокардиограф микропроцессорный
управление
1. Обзор существующих методов и аппаратов
Инструментальное исследование состояния
сердечно-сосудистой системы насчитывает чуть более ста лет. Открытие закона
Фарадея, положившее начало конструированию различных электрических механизмов,
породило проблему использования достижений технического прогресса в диагностике
и лечении человека. Особенности работы сердца, как уникального природного
механизма, издавна возбуждали исследовательский интерес у многих ученых,
начиная с античного мира. Но возможность более подробно начать исследовать
принципы его деятельности стала реальной только при открытии законов движения
заряженных частиц в электрических цепях. Первая регистрация
электрокардиосигнала, прототипа современной электрокардиограммы (ЭКГ), была
предпринята В. Эйнтховеном в 1912 году в г. Кембридже. После этого методика
регистрации ЭКГ интенсивно совершенствовалась.
Изобретение электропроводных материалов,
позволило использовать их при регистрации биопотенциалов тела, а также его
механических параметров. Так, на смену первым датчикам для регистрации ЭКГ,
предложенными В. Эйнтховеном, которые были не что иное, как ведра наполненные
водой, в которые погружали руки и ноги, а ведра соединяли в гальваническую
цепь, были предложены в 1917 году металлические пластинчатые сварочные
электроды. Аналогичные электроды используются и сегодня в ряде клиник. Они
выполнялись из металла, который покрывался тонким слоем хлорного серебра. Такое
напыление позволяло делать более стабильным контактную разность потенциалов,
возникающую на границе металл - кожа.
В послевоенный период, после 1945 года, когда
началась развиваться радиоэлектроника, стали появляться различные
специализированные диагностические приборы, сконструированные на
электронно-механической элементной базе.
Уже начиная с 1960 года, в медицинских приборах
начала увеличиваться доля электронных компонентов. В серийном производстве
стали выпускать сложные приборы, к которым без сомнения можно отнести
электрокардиографы. В них использовалась фильтрация регистрируемых кардиосигналов,
осуществляемая с помощью электронных фильтров. Специальные механические
самописцы, позволяли на специальной бумаге записывать ЭКГ.
Однако, возможность регистрации различных
биологических сигналов, как бы незаметно породила проблему достоверности
проявления диагностических критериев, содержащихся в самих сигналах. Уже первые
практические результаты показали, что точность регистрации биологических
сигналов должна быть значительно выше. Любые артефакты, вносимые в процесс
регистрации сигнала, не позволяли получать при повторной регистрации идентичных
сигналов. Даже соблюдение сложной методики работы врача с прибором не могли
достичь требуемой точности. Так, для анализа фазовой работы сердца требуется
регистрировать границы одной из фаз, длительность которой не превышает 0,5 сек.
Специально для этого были разработаны поликардиографический метод и
многоканальный метод регистрации ЭКГ. Используемые при записи самописца
струйные перья имеют толщину соизмеримую с требуемой точностью сравнительного
анализа. Многоканальный съем информации еще больше увеличивает погрешность, из
- за асинхронных процессов происходящих в различных по природе датчиках,
используемых для регистрации различных электрических и механических
характеристик сердца.
Не решилась эта проблема и с появлением
компьютерной техники. Датчики, являющиеся значительными источниками
погрешностей, продолжают использоваться те же, что и раньше. Развитие техники
всегда отставало от требуемой точности измерения медико-биологических сигналов.
Именно этот факт породил проблему метрологии медицинских приборов в медицине.
Как ни где в других отраслях науки, на первый план при сертификации приборов
вышли клинические испытания. Именно за счет статистических данных, а не
метрологической поверки делаются выводы о достоверности измеряемых величин.
Синхронная запись нескольких сигналов различной природы могла служить только
индикатором состояния организма, но использование ее в качестве измерительной
системы не представлялось возможным. В этой ситуации складывалась методология
исследования состояния сердечно-сосудистой системы.
С развитием медицинского приборостроения, после
появления твердотельных полупроводниковых элементов, пришедшим на смену
вакуумным, сохранилась проблема электробезопасности приборов. Различные
гальванические развязки, выполненные на трансформаторах, а также контуры
заземления, служили источниками помех, значительно снижая качество
регистрируемых сигналов.
Важным этапом на пути развития медицинского
приборостроения стало появление компьютеров. Представилась возможность
обработки больших массивов информации, с одновременным отображением результатов
в различном виде, как в графическом, так и цифровом.
Однако компьютеры не решили главной проблемы
медицинского приборостроения - метрологии. Методология, использующая съем
информации, ее обработка - процесса нормирования сигнала, направленная только
на получение большего динамического диапазона сигнал - шум, остались прежними.
Появление интернета и мобильной беспроводной
связи лишь упростили доступ и расширили возможность передачи на большие
расстояния информации, регистрируемой непосредственно с пациента. Но
интенсивное развитие техники пока не позволяло изобрести более точные методы
диагностики сердечно - сосудистой системы.
Фактически существующие методы диагностики были
«пристыкованы» к компьютерной технике. В настоящее время появилась возможность
строить диагностические программно - аппаратные комплексы на базе
специализированных процессоров, исключая лишние затраты на стандартное
оборудование, которое не может быть использовано в полном объеме, но входящие в
комплект обычного офисного оборудования.
Такой подход определил появление малогабаритных
и высокоэффективных программно - аппаратных устройств позволяющих постоянно
совершенствовать программное обеспечение пользователю, без существенных затрат
на приобретение новых приборов. Новейшие технологии позволили серийно выпускать
одноразовые электроды с высокими техническими характеристиками. Была достигнута
минимизация влияния контактной разности потенциала кожа - электрод.
В течение последних 20 лет получили развитие
новые методы ЭКГ-диагностики и начало формироваться новое направление -
неинвазивная электрофизиология. Она базируется на современных методах цифровой
обработки ЭКГ-сигнала, которые позволяют измерять и оценивать данные, не
доступные стандартному методу оценки. Обычные принципы основаны на врачебной
логике описания изменений контурного анализа ЭКГ-12 и ортогональных отведений,
нарушений ритма (характер ишемических изменений, нарушений ритма и проводимости,
гипертрофии и т.д.).. Современные ЭКГ-системы являются достижением новых
методов математического описания и обработки измеренных данных
электрокардиограммы с использованием в анализе сложных новых характеристик и
параметров, графическим представлением полученных результатов.
Дополнительную информацию об электрической
активности сердца дают методы: холтеровского мониторирования, вариабельности
сердечного ритма и альтернации амплитуды Т-зубца, дисперсии длительности
P-зубца и комплекса QRS, интервалов QT, QTa, JT, JTa. Однако регистрируемый с
поверхностных электродов ЭКГ-сигнал, отражая функцию или дисфункцию
специфических ионных каналов и являясь интеграцией электрофизиологического
феномена миллионов миоцитов, содержит дополнительную информацию, не видимую на
стандартной ЭКГ.
Существующие и разрабатываемые новые
электрокардиографические методы диагностики, обладая принципиально новыми
диагностическими возможностями, все шире внедряются в повседневную клиническую
практику кардиологических отделений, кардиологических диспансеров, сети
поликлинических отделений. Среди них можно в первую очередь отметить методы:
ЭКГ высокого разрешения, спектрально-временного, поверхностного и
дисперсионного картирования, дипольной электрокардиотопографии (ДЭКАРТО), новых
аспектов анализа вариабельности сердечного ритма, дисперсии амплитудных и
временных характеристик P-QRS-T (включая анализ “beat-to-beat”).
В перспективных новых компьютерных
электрокардиографических системах реализуется более строго биофизически
обоснованный подход к параметризации кардиоэлектрического потенциала, требующий
специального преобразования измеренных сигналов отведений на основе
дополнительных сведений о физической структуре сердца и тела. Такое
преобразование связано с более или менее глубоким погружением в область
биофизики и электрофизиологии сердца. Здесь ключевую роль играют методы
обработки данных на основе математических моделей, соответствующих
электродинамической системе “электрический генератор сердца - объемный
проводник тела”. Решается так называемая обратная электродинамическая задача,
которая в обобщенном понимании заключается в оценке характеристик
электрического процесса в сердце по распределению электрического потенциала,
порождаемого генераторами сердца на поверхности тела.
Для обозначения новых методов сбора, обработки и
изображения ЭКГ сигнала, используется понятие электрокардиографии 3-го и 4-го
поколения. Одним из первых среди них и достаточно известных является метод
электрокардиографии высокого разрешения (ЭКГ ВР). Сигналы, названные поздними
потенциалами желудочков (ППЖ), регистрируются с поверхности тела в виде
низкоамплитудной фрагментированной электрической активности, локализованной в
конце комплекса QRS и на протяжении сегмента ST. В настоящее время существуют в
достаточной степени обоснованные теоретически, проверенные в эксперименте и
клинике, предпосылки к использованию метода ЭКГ ВР.
Наиболее существенное повышение точности оценки
состояния сердца обеспечивает электрокардиографическое картирование,
предполагающее определение электрического потенциала на всей поверхности тела
путем синхронной регистрации сигналов множественных отведений, распределенных
на этой поверхности. При ЭКГ-картировании объем исходной информации об
электрическом поле сердца существенно больше, чем при использовании
общепринятых электрокардиографических методов, причем открываются возможности
более подробного и глубокого анализа измеренных данных. Поэтому
ЭКГ-картирование может обеспечить более высокую точность диагностики. В
компьютерных электрокардиографических системах 3-го поколения интерпретация
данных осуществляется с использованием методов, которые в значительной степени
основаны на эмпирических наблюдениях, хотя в них пространственная форма
электрического поля сердца нередко трактуется с позиций электродинамики.
Важно использовать высокий исследовательский и
диагностический потенциал передовых технологий, так как без их использования
нельзя поднять на новый уровень качество оказания специализированной
кардиологической помощи.
Принцип работы электрокардиографа. Колебания
разности потенциалов, возникающие при возбуждении сердечной мышцы,
воспринимается электродами, расположенными на теле обследуемого, и подается на
вход электрокардиографа. Это чрезвычайно малое напряжение проходит через
систему катодных ламп, благодаря чему его величина возрастает в 600-700 раз.
Поскольку величина и направление ЭДС в течение сердечного цикла все время
изменяются, стрелка гальванометра отражает колебания напряжения, а ее колебания
в свою очередь регистрируются в виде кривой на движущейся ленте.
Запись колебаний гальванометра осуществляется на
движущейся ленте непосредственно в момент регистрации. Движение ленты для
регистрации ЭКГ может происходить с различной скоростью (от 25 до 100 мм/с), но
чаще всего она равна 50 мм/с. Зная скорость движения ленты, можно рассчитать
продолжительность элементов ЭКГ.
Так, если ЭКГ зарегистрирована при обычной
скорости 50 мм/с, 1 мм кривой будет соответствовать 0,02 с.
Для удобства расчета в аппаратах с
непосредственной записью ЭКГ регистрируется на бумаге с миллиметровыми
делениями. Чувствительность гальванометра подбирается таким образом, чтобы
напряжение в 1 мВ вызывало отклонение регистрирующего устройства на 1 см.
Проверка чувствительности или степени усиления аппарата проводится перед
регистрацией ЭКГ, она осуществляется с помощью стандартного напряжения в 1 мВ
(контрольный милливольт), подача которого на гальванометр должна вызывать
отклонение луча или пера на 1 см. Нормальная кривая милливольта напоминает
букву "П", высота ее вертикальных линий равна 1 см.
Изменение разности потенциалов на поверхности
тела, возникающие во время работы сердца, записываются с помощью различных
систем отведений ЭКГ. Каждое отведение регистрирует разность потенциалов,
существующих между двумя разными точками электрического поля сердца, в которых
установлены электроды.
Таким образом, различные ЭКГ-отведения
различаются между собой прежде всего участками тела, от которых отводятся
потенциалы.
В настоящее время в клинической практике
наиболее широко используют 12 отведений ЭКГ, запись которых является
обязательной при каждом электрокардиографическом обследовании больного: 3
стандартных отведения, 3 усиленных однополюсных отведения от конечностей и 6
грудных отведений. В случае, когда нужно выявить точную локализацию повреждения
миокарда при инфаркте в задних и задне-перегородочных отделах, используются еще
3 дополнительных отведения, которые устанавливают по задней подмышечной,
лопаточной и паравертебральной линиям.
Электрокардиографические отклонения в каждом из
12 отведений отражают суммарную ЭДС всего сердца, т.е. являются результатом
одновременного воздействия на данное отведение изменяющегося электрического
потенциала в левом и правом отделах сердца, в передней и задней стенках
желудочков, в верхушке и основании сердца.
Кроме описанных выше, существуют и другие типы
отведений:
отведения по
Нэбу, которые находят применение для диагностики очаговых изменений миокарда
задней стенки (отведение Д), переднебоковой стенки (отведение А) и верхних
отделов передней стенки (отведение Y);
отведение по
Лиану, или S5, применяют для уточнения диагноза сложных аритмий, его
регистрируют при положении рукоятки переключателя на I отведении, электрод для
правой руки располагают во II межреберье у правого края грудины, электрод для
левой руки - у основания мечевидного отростка, справа или слева от него, в
зависимости от того, при каком положении электрода лучше выявляется зубец Р;
отведения по
Слапаку-Партилле применяют для уточнения изменений в задней стенке при наличии
глубокого зуба Q во II, III, AVF-отведениях;
отведение по
Клетэну применяют для уточнения изменения в нижней стенке левого желудочка. При
этом электрод от правой руки помещают на рукоятку грудины, второй электрод
остается на левой ноге. ЭКГ регистрируют в положении переключателя - II
стандартное отведение.
ЭКГ аппарат своим главным отличием являет
способность прибора фиксировать то или иное количество каналов одновременно.
Самый распространенный одноканальный электрокардиограф снимает один канал,
последовательно, один за другим. Другие кардиографы имеют способность снимать
3, 6, 12 каналов одновременно, так же последовательно, друг за другом. Наиболее
эффективным из этих аппаратов считается аппарат, способный снимать 12 каналов
одновременно. Именно по этой причине в настоящее время наибольшее
распространение получили многоканальные аппараты ЭКГ.
. Анализ технического задания
Согласно технического задания необходимо
проектировать блок управления переносным цифровым электрокардиографом.
Необходимо разработать наиболее экономически выгодный прибор и в тоже время,
чтобы он соответствовал ГОСТу, метрологическим стандартам и был безопасным для
потенциального пациента.
Разность потенциалов с поверхности тела
снимается посредством металлических электродов, укрепленных на различных
участках тела резиновыми ремнями, зажимами или грушами.
Малое напряжение (не более 10 мВ), воспринимаемое
электродами, подается на систему биоусилителей. В результате усиления небольшие
колебания напряжения усиливаются во много раз и подаются в регистрирующее
устройство прибора.
Электрокардиограмму регистрируют на бумаге
чернильным или тепловым способом. Так как чернильный метод регистрации ЭДС в
настоящее время практически не используется по причине значительных
погрешностей и трудоемкости процесса изготовления, его рассматривать не будем.
Проектируемый электрокардиограф условно можно
разделить на следующие блоки:
• Входной узел (используем 2
стандартных отведения);
• Преобразовательный узел;
• Обрабатывающий узел с устройством
управления (клавиатура);
• Узел отображения (индикации и
сигнализации пульса);
• Узел регистратора (пишущий узел, а
также SD карта для хранения информации);
• Узел связи с внешней средой
(Bluetooth-интерфейс);
• Узел питания (используется
перезаряжаемая батарея).
Входной узел в свою очередь состоит из:
Входного кабеля (кабеля пациента) с определенным
количеством электродов. Для данного ТЗ необходимо 3 электрода, накладываемые на
конечности и электрод активной земли, накладываемый на правую ногу;
Блока входных усилителей, включающего фильтры
высокой частоты, фильтры низкой частоты и непосредственно усилителей. Три
усиленных сигнала R, L, F формируют сигнал подавления помехи по обратной связи,
который подается на правую ногу N. Первый каскад усиления представляет собой
инструментальный усилитель на базе недорогой микросхемы AD620. Данная
микросхема обеспечивает необходимый коэффициент ослабления синфазного сигнала
КОСС=100 дБ, имеет низкое напряжение шума и требует единственный внешний
резистор для задания коэффициента усиления. Для того, чтобы избежать насыщения
выхода при возможном входном постоянном смещении ±300 мВ и размахе выходного
напряжения AD620 ±3,8 В коэффициент усиления инструментального усилителя не
должен превышать 12,6. Таким образом, с учетом запаса, выберем коэффициент
усиления первого каскада равным 7.
Преобразовательный узел:
Поскольку практически все современные электрокардиографические
приборы являются цифровыми устройствами (имеют в своем составе
микроконтроллер), то имеется узел преобразования аналоговых сигналов в цифровые
- аналого-цифровой преобразователь определенной разрядности. Существуют
микроконтроллеры со встроенным АЦП, например ADuC842 со встроенным 12-разрядным
АЦП. Наличие цифровой части прибора обосновано многими факторами это и удобство
последующей обработки информации, и регулируемая точность представления, и
гибкость изменения алгоритмов обработки и прочее.
Узел отображения (индикации и сигнализации
пульса):
Узел индикации должен показывать оператору
режимы работы, в которых находиться прибор. Допускается функциональное
совмещение индикации с клавиатурой (панелью управления) для изменения режимов
работы прибора. Также необходима звуковая сигнализация пульса, которая упростит
работу с прибором при определении нарушений ритма (аритмий). Звуковую
сигнализацию пульса можно проектировать на основе пикового детектора,
построенного на операционном усилителе.
Узел регистратора:
В конечном итоге прибор должен отобразить
электрокардиограмму, вполне определенный график изменения ЭДС сердца на твердом
носителе позволяющим длительное хранение, а также запись на цифровой носитель
информации (SD карту) для дальнейшей обработки полученных данных на компьютере.
В качестве твердого носителя используется термобумага. Для многоканальных
аппаратов ЭКГ используется принцип терморегистрации посредством так называемых
термоголовок.
Термоголовка представляет собой высокопрецизионное
устройство созданное посредством микротехнологий и является набором
плотноупакованных терморезисторов нанесенных на керамическое или ситалловое
основание в виде линейки.
Плотность размещения терморезисторов очень
высока и достигает 32 точек/мм.
Промышленность выпускает термоголовки шириной от
40 мм до 300 мм. Для электрокардиографических задач регистрации на настоящее
время определена минимальная допустимая плотность точек как 6-8 точек/мм. И
таким образом можно подсчитать, что количество терморезисторов даже в самой
узкой головке измеряется сотнями штук. Запись посредством термоголовки
осуществляется так же на специальной термочувствительной бумаге. Бумага должна
быть прижата по всей длине термолинии к поверхности термоголовки.
На момент касания терморезисторы в местах, где
необходимо отобразить точку нагреваются, и на бумаге остается след.
Терморезисторам необходимо остыть до определенного уровня.
Далее бумага продвигается с заданной скоростью и
цикл регистрации повторяется. Подобный принцип регистрации удобен тем, что
позволяет отображать и графики и текст с минимумом движущихся частей. Варьируя
интенсивность нагрева возможна и многотоновая регистрация.
Узел связи с внешней средой:
Связь с компьютером реализована по беспроводному
стандартному Bluetooth-интерфейсу, что повысило степень мобильности устройства
и удобство его эксплуатации, а также гальваническую развязку пациента с
компьютером.
Узел питания:
Как было сказано выше, согласно ТЗ в качестве
источника питания используется перезаряжаемая батарея, лучше всего
литий-ионная.
Для обеспечения метрологических требований к
проектируемому прибору необходимо руководствоваться требованиями ГОСТа и
международных стандартов к приборам для измерения биоэлектрических потенциалов
сердца.
ГОСТ 19687-89 определяет основные характеристики
приборов следующим образом:
Таблица 1
|
Наименование
параметра
|
Значение
параметра
|
|
1.
Диапазон входных напряжении U, мВ. в пределах
|
от
0,03 до 5
|
|
2.
Относительная погрешность измерения напряжения U, в диапазонах:
|
|
|
от
0,1 до 0,5 мВ, %, не более
|
±15
|
|
от
0,5 до 4 мВ, %, не более
|
±7
|
|
3.
Нелинейность, %, в пределах:
|
|
|
для
электрокардиографов
|
±2
|
|
для
электрокардиоскопов
|
±2,5
|
|
4.
Чувствительность S, мм/мВ
|
2.5;
5; 10; 20; 40
|
|
5.
Относительная погрешность установки чувствительности ∆s %. в пределах
|
±5
|
|
6.
Эффективная ширина записи (изображения) канала В, мм, не менее
|
40
|
|
7.
Входной импеданс Zвх, МОм, не менее
|
5
|
|
8.
Коэффициент ослабления синфазных сигналов Кс, не менее:
|
|
|
для
электрокардиографов
|
100000
|
|
для
электрокардиоскопов
|
28000
|
|
9.
Напряжение внутренних шумов, приведенных ко входу Uш, мкВ, не более
|
20
|
|
10.
Постоянная времени t, с. не менее
|
3.2
|
|
11.
Неравномерность амплитудно-частотной характеристики (АЧХ) в диапазонах
частот:
|
|
|
от
0,5 до 60 Гц, %
|
от
-10 до +5
|
|
от
60 до 75 Гц, %
|
от
-30 до +5
|
|
12.
Относительная погрешность измерения интервалов времени δт в
диапазоне интервалов времени от 0.1 до 1.0 с,% не более
|
±7
|
25,
50 допустимы и иные значения
|
|
14.
Относительная погрешность установки скорости движения носителя записи
(скорости развертки) δv,%,
в
пределах:
|
|
|
для
электрокардиографов для электрокардиоскопов
|
±5
±10
|
Данный прибор будет применяться с целью
регистрации биологических потенциалов сердца человека, обработки полученных
данных и вывода на носитель в форме, приемлемой для понимания медицинских
работников, которые будут его использовать.
Портативный аппарат ЭКГ может применяться на
скорой помощи и предназначены для контроля состояния сердечной деятельности на
улице, на дому и в машине скорой помощи. Соответственно такой аппарат должен
работать в широком диапазоне температур, влажности, сохранять начальные
характеристики либо иметь отклонения в пределах допустимых погрешностей в
процессе эксплуатации, быть хорошо защищен от внешних помех, таких как
микроволновое излучение, излучение мобильных телефонов, фон в 50 Гц от сети
переменного тока. При необходимости допускается применение экранов. Важные
характеристики, которыми должен обладать данный прибор - это вибро- и ударостойкость.
Для данного прибора установлены высокие
требования в плане точности и надежности снимаемых показаний, а также в плане
удобства пользования. Качественная диагностическая медицинская аппаратура в
состоянии обеспечить выполнение даже самых строгих отраслевых нормативов. ЭКГ
аппарат, вспомогательное к нему оборудование и алгоритмы обработки полученных
данных электрокардиограммы дают возможность быстро получить всю необходимую
информацию, а также позволяет упростить процесс обследования и повысить его
качество.
Все выше указанные требования достигаются
выполнением ГОСТа 19687-89 и должны быть учтены на стадии разработки
функциональной схемы.
Исходя из данных технического задания и
метрологических требований можно сделать следующие выводы:
. использование в качестве материала
электродов с наименьшим удельным сопротивление. Это требование выполняется при
нанесении на поверхность металла состава, состоящего из серебра и его хлорида в
соотношении 3:7;
. усилитель биопотенциалов необходимо
проектировать по 2-х каскадной схеме с управляемой землей для устранения
синфазных помех и достаточного уровня усиления полезных сигналов и их выделения
из общего сигнала;
. преобразование аналогового сигнала в
цифровой с наименьшим погрешностями, используя 8-разрядный АЦП, что также
увеличит и быстродействие аппарата;
. беспроводной интерфейс должен
обеспечивать прямую передачу данных на персональный компьютер в режиме
реального времени;
. использование переносного источника
питания накладывает ограничение на потребляемую мощность аппарата и
соответственно на напряжение батареи;
. микроконтроллер должен обеспечивать
одновременную передачу данных по интерфейсу Bluetooth и запись на SD-карту, для
чего необходимо наличие UART-интерфейса и SPI;
. звуковая сигнализация должна иметь
низкое энергопотребление.
Функции прибора:
. выполнение пользовательских настроек
(выбор отведения для регистрации ЭКГ, выбор скорости записи ЭКГ, выбор
алгоритмов обработки данных, работа с беспроводным интерфейсом);
. усиление и фильтрация биоэлектрических
сигналов;
. выполнение диагностической процедуры,
оцифровка и сохранение данных на SD-карте;
. сигнализация пульса пациента;
. сигнализация плохого контакта
электродов с кожными покровами пациента;
. вывод информации на персональный
компьютер, используя беспроводной интерфейс;
. Разработка структурной схемы
Структурная схема кардиографа изображена на
чертеже в приложении. Рассмотрим подробнее каждый из узлов электрокардиографа.
Блок усиления и фильтрации применяется для
усиления биопотенциалов человека и устранения либо значительного ослабления
синфазных помех. Основными усилительными элементами являются 2 (на каждое из
отведений) операционных усилителя (ОУ) типа AD620A, который обладает высокой
точностью и превосходными характеристиками на постоянном токе: коэффициент
ослабления синфазного сигнала КОСС=100 dB на частотах вплоть до 1 кГц, смещение
на входе не более 50 мкВ, малый входной ток (1 нА макс.) и низкое напряжение
шума (0,28 мкВ в полосе 0,1...10 Гц) . Для AD620 требуется единственный внешний
резистор, задающий коэффициент усиления. В схеме обратной связи,
предназначенной для компенсации синфазного сигнала, применен операционный
усилитель типа AD705J - малопотребляющий прецизионный ОУ с чрезвычайно высоким
коэффициентом ослабления синфазного сигнала (мин. значение 114 дБ). Эта схема
подает на правую ногу пациента напряжение, компенсирующее синфазную
составляющую сигнала с целью устранить влияние синфазного сигнала. Так же
необходимо использовать ФНЧ и ФВЧ, которые должны усиливать основной сигнал.
Частота среза ФНЧ должна составлять примерно 100 Гц, а для ФВЧ - примерно 0,03
Гц. Оба фильтра необходимо делать на основе RC контуров. Коэффициент усиления
второго каскада составляет около 143. Для этих целей подходит ОУ LM334N. В
одном корпусе данной микросхемы находится 4 ОУ. Три из них применяются для
построения пикового детектора, цель которого - определение зубцов R и
сигнализация пульса. В качестве звукового сигнализатора используется
пьезокерамическая пищалка.
Аналого-цифровой преобразователь 8-разрядный,
последовательного действия TLC549IP.
Микроконтроллер, как было сказано выше, должен
иметь интерфейс UART и SPI для работы с bluetooth и SD-картой соответственно.
Можно использовать МК AT89S8253 фирмы Atmel. Он выпускается в 40-pin
DIP-корпусе.
Соответственно bluetooth должен иметь UART
интерфейс. Для этих целей используем готовый модуль Wireless Bluetooth 2.0
RS232 TTL Transceiver module.
В качестве термопринтера можно использовать
практически любой. Допустим, Fujitsu FTP-628 MCL-054.
В связи со всем вышесказанным возникает
необходимость использовать двухполярное питание на 5 В и однополярное на 3,3 В.
Для этих целей в блоке питания применятся инверторы ADP3000-5V и ADP3604.
Первый из них преобразует 3,6В от источника питания в 5В, а второй преобразует
+5В в -5В. Также необходимо согласование по питанию в узлах и блоках
электрокардиографа.
Из всего вышесказанного можно составить
подробную структурную схему блока усиления и блока питания, изображенную в
приложении к данной пояснительной записке.
. Разработка схемы электрической принципиальной
Первый каскад усиления представляет собой
инструментальный усилитель на базе недорогой микросхемы AD620 (DA3 и DA4).
Данная микросхема обеспечивает необходимый коэффициент ослабления синфазного
сигнала КОСС=100 дБ, имеет низкое напряжение шума и требует единственный
внешний резистор для задания коэффициента усиления, по одному резистору для
каждого канала (R1=R2=R3=R4=220 кОм). Для того, чтобы избежать насыщения выхода
при возможном входном постоянном смещении ±300 мВ и размахе выходного
напряжения AD620 ±3,8 В коэффициент усиления инструментального усилителя не
должен превышать 12,6. Таким образом, с учетом запаса, выберем коэффициент
усиления первого каскада равным 7.
В схеме обратной связи, предназначенной для
компенсации синфазного сигнала, могут быть применены операционные усилители (по
одному для каждого отведения) типа AD705J (DA1 и DA2) - малопотребляющий
прецизионный ОУ с чрезвычайно высоким коэффициентом ослабления синфазного
сигнала (мин. значение 114 дБ). Эта схема подает на пациента напряжение,
компенсирующее синфазную составляющую сигнала с целью устранить влияние
синфазного сигнала.
В качестве клавиши выбора отведений используем
двухпозиционный переключатель SA1, который установлен сразу же на выходе
инструментального усилителя.
На выходе переключателя установлен простейший
RC-фильтр высших частот первого порядка с частотой среза 0,03 Гц (элементы С3 и
R16). Данный фильтр исключают из сигнала неинформативную постоянную
составляющую, что необходимо для дальнейшего усиления сигнала. Вторые каскады
усиления обеспечивают основное усиление с коэффициентом Кус=143 и смещение
сигнала на величину Uсм=1,25 В (половина диапазона АЦП). В качестве ОУ второго
каскада усиления применена микросхема LM334N, а точнее ее четверть DA5.1.
Остальные ¾ (DA5.2, DA5.3, DA5.4) используем
для построения пикового детектора. Для сигнализации пульса применяется
пьезокерамический звукоизлучатель HA1. Далее усиленный сигнал поступает на
RC-фильтры низких частот (С6, R19) с частотой среза 100 Гц, которые
ограничивают верхнюю частоту сигнала и исключают погрешность обусловленную
эффектом наложения спектров.
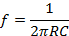
Частота среза фильтров определяется по формуле:
Следовательно

для ФВЧ RC=5,305, а для ФНЧ
RC=0,00159.
Значит С3=53 мкФ, R15=100кОм,
C6=16нФ, R18=100кОм.
Коэффициент усиления второго каскада
определяется как соотношение
Кус=R18/R17,
значит R18=143*R17. При R17=100Ом,
R17=14,3кОм.
После усиления сигнал поступает на
АЦП DD1 (TLC549IP). Преобразованный сигнал поступает на микроконтроллер DD3
AT89S8253.
Кварцевый генератор ZQ1 имеет
частоту 12 МГц.
Подключение SD-карты к МК
осуществляется посредством SPI интерфейса. Для согласования напряжений
микроконтроллера и разъема для подключения карты памяти применяются 4
аналоговые микросхемы DA6...DA9 SN74LVC1T45 от Texas Instruments.
Модуль Bluetooth подключается
посредством UART интерфейса. В этом случае также необходимо согласование по
уровням напряжения. Для этих целей применена транзисторная схема согласования.
В качестве активных элементов использованы pnp-транзисторы VT2...VT5 BC547B.
Сопротивление каждого из шести резисторов R22...R27 составляет по 1 кОм. Теперь
подключим МК к нашему БТ модулю. Как написано выше, задействуем UART интерфейс,
следовательно, подключаем пины RХ и ТХ «на крест»(RХ БТ с ТХ МК и ТХ БТ с RХ
MK).
Блок питания состоит из батареи
3,6В, двух инверторов (DA10 ADP3000-5V и DA11 ADP3604) и аналоговых элементов.
Его цель - обеспечение питания различными по уровню напряжениями. Для уровня в
5В необходимо двухполярное питание. Для выключения аппарата, с целью снижения
энергопотребления, применяется клавишный выключатель SA2.
Термопринтер, драйвер шагового
двигателя термопринтера DD2 (L293D), а также клавиши управления присоединяются
непосредственно к микроконтроллеру без согласования уровней.
С учетом всего вышеописанного, а
также даташитов к микроконтроллеру, аналоговым и цифровым микросхемам, схема
электрическая принципиальная, а также перечень элементов даны в приложении к
пояснительной записке.
Разработка функционального алгоритма
работы
При разработке микропроцессорного
блока с учетом конструкции прибора в данном курсовом проекте ставится следующая
задача: контролировать процесс оцифровки сигнала, его хранение запись на
SD-карту и термобумагу и передача на компьютер посредством
Bluetooth-интерфейса.
Работа прибора осуществляется с
помощью блока управления, основой которого является микроконтроллер AT89S8253
фирмы Atmel. Для создания бесперебойной и качественной работы в программной
части реализации функций прибора запускается бесконечный цикл.
В начале производится инициализация
микроконтроллера. Сюда входит инициализация портов микроконтроллера, в том
числе для подключения клавиш управления, вывода сигнала с АЦП, инициализация
таймеров и начальных настроек АЦП, а также UART и SPI портов.
Далее проводим опрос клавиатуры и
при нажатии кнопки СТАРТ запускаем процесс преобразования на АЦП и запись
данных во Flash память микроконтроллера. Затем необходимо провести проверку
нажатия других кнопок на клавиатуре и не подошла ли к концу память
микроконтроллера. Если нажата одна из клавиш выбора скорости записи на бумагу
(25 или 50), то переносим данные из памяти микроконтроллера в SD-карту, по
Bluetooth-интерфейсу и выводим на печать, а также меняем скорость записи на
соответствующую и продолжаем преобразование. Если нажата клавиша STOP, то
останавливаем преобразование и также переносим данные из Flash памяти
микроконтроллера и переходим в режим ожидания ввода данных с клавиатуры.
В том случае, если с клавиатуры
ничего не вводилось, но была переполнена Flash, то переносим данные и
продолжаем запись.
Таким образом мы зацикливаем
проверку и сигнал будет сниматься, пока не выполнено одно из вышеперечисленных
условий.
5. Разработка программы работы
микропроцессорного блока
В начале работы программы
инициализируется микроконтроллер. После инициализации микроконтроллера
происходит расчет значений, необходимых для организации корректной работы
таймеров. Затем указывается битовая адресация для кнопок прибора. Далее
происходит инициализация портов микроконтроллера, АЦП, таймеров, прерываний и
объявление глобальных переменных.
После опрашивается клавиатура. При
нажатии кнопки START устанавливается режим работы по умолчанию (скорость ленты
50 мм/с) и начинается рабочая часть программы. Если нажата клавиша 25 мм/с,
выбирается соответствующий режим и прибор переходит в режим ожидания нажатия
кнопки START.
В рабочей части МК по соответствующим
портам получает данные от 8-ти разрядного АЦП и записывает во внутреннюю память
контроллера. Из внутренней памяти данные по соответствующим портам передаются
через УАПП на модуль Bluetooth, на порт DI термопринтера, а также через SPI на
SD-карту. После передачи 384 бит на термопринтер, включаем высокий уровень
логики на входах STB, затем подаем высокие уровни на входы драйвера шагового
двигателя.
УАПП работает а первом режиме:
подаем стартовый бит, затем 8 бит данных, в конце стоповый бит.
Для обеспечения бесперебойной работы
зацикливаем рабочую часть программы.
При нажатии какой-либо клавиши
срабатывает прерывание рабочей части и запускается программа опроса клавиатуры.
Если нажата клавиша STOP, происходит остановка рабочей части и переход аппарата
в режим ожидания ввода данных с клавиатуры.
Заключение
В ходе выполнения данного курсового проекта был
разработан блок управления цифровым электрокардиографом, который регистрирует
биопотенциалы сердца, усиливает их и записывает на бумажный носитель, SD-карту
и передает на ПК. Основной же идеей этого проектирования являлось получение
начальных навыков проектирования микропроцессорной системы, которое заключается
в поэтапной реализации разрабатываемого устройства.
В процессе разработки были решены следующие
задачи:
) Определили функции, реализуемые
аппаратной и программной частями устройства;
) Подобрали дополнительные устройства и
элементы, необходимые для разработки устройства;
) Создали структурную схему;
) Создали на основе структурной схемы
принципиальную электрическую;
) Разработали функциональный алгоритм
работы микроконтроллера;
) Разработали программное обеспечение для
микроконтроллера.
Логическим завершением данного курсового
проектирования можно считать окончание разработки программного обеспечения,
которая осуществляет в данной разработке функции взаимосвязи всех элементов
аппаратной части устройства между собой.
Список использованной литературы
1. Учебное методическое пособие по
курсовому проектированию - Минск: БГУИР, 2013. - 89 с.;
2. Фрунзе А.В.
Микроконтроллеры? Это же просто! Том 1-3 / А.В. Фрунзе, А.А. Фрунзе - Москва:
ИД Скимен, 2002-2003.-336с.;
. Курс лекций по
микроконтроллерам. - Минск: БГУИР, 2013. - 90 с.;
. Ланин В.Л. Технология
радиоэлектронных средств: учебно-методическое пособие / В.Л. Ланин, А.П.
Достанко, А.А. Хмыль. - Минск : БГУИР, 2013. - 107с.;
. Строев В.М. Проектирование
измерительных медицинских приборов с микропроцессорным управлением: учебное
пособие / В.М. Строев, А.Ю. Куликов, С.В. Фролов. - Тамбов: Изд-во ФГБОУ ВПО
«ТГТУ», 2012. - 96 c. ;
. ГОСТ 19687-89. - Приборы
для измерения биоэлектрических потенциалов сердца: общие технические требования
и методы испытания / Москва, 1989. - 25 с.;
. Дефибриллятор-монитор
ДКИ-Н-08 «АКСИОН-Х» Руководство по ремонту;
. Даташиты к аналоговым и
цифровым микросхемам, термопринтеру, модулю беспроводной передачи данных;
. Четверткова И.И. Резисторы.
Справочник / И.И. Четверткова, В.М. Терехова - Москва: Радио и связь, 1991. -
528 с.;
. Горячева Г.А. Конденсаторы.
Справочник / Г.А. Горячева, Е.Р. Добромыслов - Москва: Радио и связь, 1984. -
468 с.;