Анализ рисков в деятельности предприятия на примере ОАО 'Галантус'

  • Вид работы:
    Курсовая работа (т)
  • Предмет:
    Эктеория
  • Язык:
    Русский
    ,
    Формат файла:
    MS Word
    796,49 Кб
  • Опубликовано:
    2015-04-08
Вы можете узнать стоимость помощи в написании студенческой работы.
Помощь в написании работы, которую точно примут!

Анализ рисков в деятельности предприятия на примере ОАО 'Галантус'

ФЕДЕРАЛЬНОЕ ГОСУДАРСТВЕННОЕ БЮДЖЕТНОЕ ОБРАЗОВАТЕЛЬНОЕ УЧРЕЖДЕНИЕ ВЫСШЕГО ПРОФЕССИОНАЛЬНОГО ОБРАЗОВАНИЯ

«Тольяттинский государственный университет»

Институт финансов, экономики и управления

Кафедра бухгалтерский учет, анализ и аудит







Курсовая работа

по дисциплине: «Комплексный экономический анализ хозяйственной деятельности»

на тему: Анализ рисков в деятельности предприятия на примере ОАО «Галантус»

Выполнила:

Толкачева Н.

Группа Экб-0901

Научный руководитель:

О.В. Шнайдер


Тольятти-2012

Содержание

Введение

. Сущность возникновения рисков в деятельности предприятия

.1 Роль и экономическое содержание рисков в финансово-хозяйственной деятельности предприятия

.2. Классификация и методы оценки рисков в деятельности предприятия

.3 Управление рисками

. Анализ рисков в деятельности предприятия ОАО «Галантус»

.1 Технико-экономическая характеристика ОАО «Галантус»

.2 Оценка рисков в деятельности ОАО «Галантус»

. Пути снижения и управление рисками в ОАО «Галантус»

Заключение

Список использованной литературы

Приложение

оценка коммерческий риск хозяйственная деятельность

Введение

Произошедшие в экономике России за последние годы изменения выявили ряд дискуссионных и актуальных проблем, носящих теоретический и прикладной характер и имеющих чрезвычайно важное значение для устойчивого функционирования и развития экономики. К приоритетным проблемам относятся вопросы теории, методологии и практики принятия управленческих решений в условиях риска и неопределенности.

Риск - это опасность! Риск - это возможное в будущем качественное или количественное ухудшение состояния какого-либо объекта. В экономической литературе обычно отталкиваются именно от этих понятий. Угрозы проявления ущерба при этом характеризуются необязательностью негативного воздействия, неопределенностью параметров и последствий таких как время, сила проявления, размер ущерба. Данные неопределенности обусловлены незнанием законом, нехваткой информации и отсутствием навыков управлением экономическими рисками (недостаточной квалификацией управленческого персонала).

Любой бизнес связан с рисками. Любой успешный бизнес связан с большими рисками и от того как с этими рисками справляются бизнесмены, менеджеры, управленцы зависит и успех предприятия. Кто-то управляет рисками интуитивно, кто-то осознано, но любая деятельность требует анализа и в дельнейшем управления рисками для благополучного и полноценного развития предприятия. Важнейшей чертой предпринимательства является наличие риска как на стадии создания организации, так и в течение дальнейшего ее функционирования. Любое предприятие подвержено риску потери имущества, ценностей, денег, то есть любых видов экономических ресурсов, включая труд и время, ведь трудовые потери и потери времени наносят серьезный ущерб результатам предпринимательской деятельности. Можно сформулировать основные задачи системы управления рисками: повышение финансовой устойчивости, совершенствование механизмов управления рисками. Целью данной курсовой работы является анализ принятия оптимального управленческого решения с учетом фактора неопределенности и риска на примере конкретной организации ОАО «Галантус».

Поставленная цель обусловила основные задачи исследования, состоящие в следующем:

·    рассмотреть понятия неопределенности и риска;

·        рассмотреть процесс влияния неопределенности и риска на деятельность организации;

·        рассмотреть научные методы принятия решений, рекомендуемые в условиях неопределенности и риска;

·        применить на практике разработку управленческих решений в условиях неопределенности и риска на примере организации ОАО «Галантус».

Объектом исследования являются неопределенности и риски, касающиеся деятельности организаций любой отрасли, а предметом исследования - принятие управленческих решений, направленных на получение наименьших потерь в условиях неопределенности и риска.

1. Сущность возникновения рисков в деятельности предприятия

1.1 Роль и экономическое содержание рисков в финансово-хозяйственной деятельности предприятия

Как известно, условием эффективности любой рыночной деятельности считаются экономическая свобода, которая предполагает наличие у экономического агента (производителя, потребителя) определенной совокупности прав, гарантирующих ему автономное, самостоятельное принятие решений. Однако экономическая свобода является также источником неопределенности ириска, так как свободе одного экономического агента сопутствует одновременно свобода других.

Риски - это формализация неопределенности, а определение рисков - способ ее измерения. Ведь, несмотря на то что чувство неопределенности почти всегда неприятно, в каких-то случаях оно доставляет больше неудобств, в каких-то - меньше. Уменьшить неопределенность, значит уменьшить число рисков, там, где все понятно и прозрачно рисков не и не может быть. Но ситуация «полной неопределенности» очень редко встречается в нашем мире. Может быть, из-за того что риски тесно связаны с неопределенностью, трактовок понятия «риск» существует очень много. Согласно одним определениям, риск - это опасность возникновения негативного события, согласно другим - ущерб из-за негативных событий, трети же трактовки называют риском вероятность возникновения чего-то как негативного, так и позитивного и .т.д. Особенно много дискуссий связано с определением риска как обязательно негативного события. Ведь позитивные, но незапланированные события рисками обычно не считаются.

И действительно, риск характеризуется вероятностью наступления какого-то события и подразумевает если не опасность, то, как минимум влияние этого события на бизнес, жизнь, проект и т.д [16, с.43]. В отечественной, экономической науке по существу отсутствуют общепризнанные теоретические положения о предпринимательском риске, фактически не разработаны методы оценки риска применительно к тем или иным производственным ситуациям и видам предпринимательской деятельности, отсутствуют рекомендации о путях и способах уменьшения и предотвращения риска.

Определенный интерес представляет сравнительное рассмотрение классической и неоклассической теории предпринимательского риска и их экономического приложения. При исследовании предпринимательской прибыли такие представители классической теории, так Дж. Милль, И.У. Сениор различали в структуре предпринимательского дохода процент (как долю на вложенный капитал), заработную плату предпринимателя и плату за риск (как возмещение возможного риска, связанного с предпринимательской деятельностью). В классической теории предпринимательского риска последний отождествляется с математическим ожиданием потерь, которые могут произойти в результате выбранного решения. Риск здесь не что иное, как ущерб, который наносится осуществлением данного решения.

Такое одностороннее толкование сущности риска вызвало резкое возражение у части зарубежных экономистов, что повлекло за собой выработку иного понимания содержания предпринимательского риска.

В 30-е годы нашего столетия экономисты А. Маршалл и А. Пигу разработали основы неоклассической теории предпринимательского риска. Основы этой теории состоят в следующем: предприниматель, работающий в условиях неопределенности и прибыль которого есть случайная переменная, при заключении сделки руководствуется двумя критериями:

• размерами ожидаемой прибыли;

• величиной ее возможных колебаний.

Поведение предпринимателя, согласно неоклассической теории риска, обусловлено концепцией предельной полезности. Это означает, что при наличии двух вариантов, например, капитальных вложений, дающих одинаковую ожидаемую прибыль, предприниматель выбирает вариант, в котором колебания ожидаемой прибыли меньше. Согласно неоклассической теории, для предпринимателя верная прибыль того же ожидаемого размера, но связанная с возможными колебаниями менее интересна [25, с. 82]. Проблема риска в нашей стране достаточно "созрела". Становление рыночных отношений в России явилось предпосылкой для более глубокой разработки теории риска в отечественной экономической литературе. Основополагающей для всех современных определений риска в российской науке является трактовка в знаменитом словаре С.И. Ожегова. Так, риск, по словарю Ожегова - это «действие неудачу, в надежде на счастливый исход…». Если говорить более предметно, это:

действие, деятельность как условие появление риска;

действие наудачу, иными словам, это деятельность без предварительного расчета, с надеждой на благополучный случай, или целеполагающая, целеосуществляющая деятельность;

деятельность «в надежде на счастливый исход» - речь идет не о любой деятельности, а о той, которая удовлетворяет потребностям; исходя из них ставя цели и прогнозируя успешный результат.

По сути, определение риска в российской и зарубежной литературе можно объединить в следующие группы.  К первой группе отнесем такие определения, в которых риск понимается как вероятность, отклоняя от планируемых результатов. Во второй группе акцент делается на возможность количественной или качественной оценки риска.

В третьей группе понятие «риск» раскрывается через активность субъекта: действие «наудачу» в надежде на счастливый исход: образ действия неясной, неопределенной обстановке; выбор альтернатив в ситуации неопределенности, реализация способности творчески использовать элемент неопределенности [9, с.16]. Из выше сказанного следует сделать вывод, что риск это в первою очередь совокупность событий, и он обладает набором (дискретным или не прерывным) его реализацией, каждая из которых обладает своей вероятностью и размером ущерба. Цепочка последовательных шагов, ведущих к конечному, главному событию - это сценарий. Самим же рисковым ситуациям присущи в целом такие черты, как редкость; уникальность; непрерывность; повторяемость. Рисковая ситуация может иметь разные последствия, т.е. не только убытки, но и доходы, выгоды. Поэтому различают следующие функции риска:

Регулятивную (стимулирующую): имеет противоречивых характер и выступает в двух формах: конструктивной и деструктивной. Риск направлен на получение результатов нетрадиционным способом. Риск играет роль катализатора, например, при решении инновационных, инвестиционных задач, значит, действует стимулирующий аспект риска.

- Защитная функция проявляется в том, что, поскольку риск - устойчивое состояние экономической системы, нужны социальная защита, правовые, политические и экономические гарантии, исключающие в случаи неудачи наказание и стимулирующие оправдательный риск.

Инновационную функцию риск выполняет, стимулируя поиск нетрадиционных решений проблем, стоящих перед экономическим субъектом.

аналитическая функция риска связана с тем, что наличие риска предполагает необходимость выбора одного из возможных вариантов решений, в связи с чем экономический субъект в процессе принятия решений анализирует все возможные альтернативы [9, с.25].

Таким образом, риски являются сложной динамической категорией, и поэтому их необходимо оценивать во всех видах деятельности.

1.2 Классификация и методы оценки рисков в деятельности предприятия

Состав рисков рассматриваемых в экономических исследованиях, тесно связан с особенностями предпринимательской деятельности и среды в которой он она осуществляется.

В научной литературе используется ряд вполне определенных принципов, которые могут быть положены в основу классификации рисков и соответственно использоваться при разработке стратегий защиты от них [23, с.45].

В управлении рисками используются различные методы и инструменты, поэтому необходима научно обоснованная классификация, которая позволит систематизировать риски и обозначить конкретные направления их снижения или оптимизации.

Под классификацией рисков понимают распределение рисков на конкретные группы в соответствии с определенными общими признаками и для достижения поставленных целей. Научно обоснованная классификация риска содействует четкому определению места каждого риска в системе и создает потенциальные возможности для эффективного применения соответствующих методов, приемов управления риском [9, с.27].

В экономической литературе, исследующей риски и связанные с этим проблемы, отсутствует единая стройная система их классификации. В разных классификациях риски по-разному детализируются, делятся на группы и т.д.. Можно смело утверждать что классификацией рисков еще больше чем определений рисков. В ряде работ отечественных авторов, как В. Абчук, А. альгин, Г. Клейнер, В. Северук, Б. Райзберг, В. Ротарь, И. Шумпери др., существуют кардинально разные подходы к классификации рисков. Некоторые выделяют два вида рисков: риск, связанный с возможным техническим провалом производства, и риск, вызванный коммерческим успехом. Ю.Осипов рассматривает три вида предпринимательского риска: инфляционный, финансовый и операционный.

Наиболее важными признаками, положенными в основу классификации рисков, являются следующие:

время возникновения;

основные факторы возникновения;

характер учета и последствий;

сфера возникновения.

В работе И.Т. Балабанва «Риск-менеджмент» предлагается иерархическая система классификации экономических рисков, схематически представлена на рисунке 1.1, в структуру которой включены группы, категории, виды, подвиды и разновидности рисков. В соответствии с представленной иерархией в зависимости от возможного результата риски бывают чистые и спекулятивные.. и если чистые риски ведут к возможности получения отрицательного или нулевого результата, то спекулятивные риски выражаются возможностью получения как положительного, так и отрицательного результата [9, с.28].

Рис. 1.1 Иерархическая система классификации рисков

Что касается зарубежной практики, то одним из первых классификацию рисков предложил известный экономист Джон Кейнс рассматривал три категории рисков и, скорее всего, делал это в рамках глобального изучения общей теории занятости, процента и денег:

·        Предпринимательский риск - риск неполучения ожидаемого дохода от вложения средств;

·        Риск «заимодавца» - риск невозврата кредита, включающий в себя юридический (уклонение от возврата кредита) и кредитный риск (недостаточность обеспечения);

·        Риск изменения ценности денежной единицы - вероятность потери средств в результате изменения курса национальной денежной единицы.

Кредитный и юридический риск присутствуют во всех классификациях [16, с.70].

Рассмотрим основные виды рисков по различным признакам классификации.

Коммерческий риск с вязан с опасностью потерь в процессе финансово-хозяйственной деятельности. По структурному признаку коммерческие риски делятся:

А) на имущественные риски, связанные с вероятностью потерь собственности гражданина, предпринимателя по причине краха, диверсии, халатности, перенапряжения технической и технологической нагрузки на оборудование;

Б) производственные риски, связанные с убытком от остановки предприятия в следствии воздействия различных факторов, и прежде всего с повреждением или выбытием основных и оборотных фондов;

В) торговые риски, связанные с убытком по причине задержки платежей за товары и услуги, непоставки товара, отказа от платежей в период транспортировки товара и т.п.;

Г) финансовые риски, связанные с покупательной способностью денег, вложением капитала, вероятностью потерь финансовых ресурсов.

К финансовым рискам относится:

·        Инфляционный риск - это рост уровня цен как следствие перевыполнения каналов денежного обращения излишней денежной массой сверх потребности товарооборота, в результате чего денежные доходы обесцениваются с точки зрения покупательной способности быстрее, чем растут;

·        Дефляционный риск - это риск того, что при повышении покупательной способности денег происходит падение уровня цен, ухудшение экономических условий предпринимательства и снижение доходов;

·        Валютный риск - риск, вызванный опасностью потерь, связанных с изменением курса иностранных валют по отношению к национальной валюте, при проведении внешнеторговых, кредитных, валютных операций на фондовых и товарных биржах. К валютному риску относится риски операционные (риск потери прибыли, вызванный неблагоприятными изменениями в обменном курсе) и трансляционный (связан с изменением в цене активов и пассивов в иностранной валюте, вызванные колебаниями валютных курсов.)

·        Риск ликвидности - связан с возможностью потерь при реализации ценных бумаг или других товаров из-за изменения оценки качества;

·        Инвестиционный риск - связан с упущенной выгодой, а так же снижением доходности, опасностью неуплаты долга.

Риск снижения доходности - это разновидность инвестиционного риска, который может возникнуть в результате уменьшения размера процентов и дивидендов по портфельным инвестициям, по вкладам и кредитам. Он включает в себя следующие разновидности рисков:

·        процентный риск - опасность потерь коммерческими банками, кредитными учреждениями, инвестиционными институтами, компаниями в результате превышения процентных ставок, выплачиваемых ими по привлеченным средствам, над ставкой по предоставленным кредитам.

·        ценовой риск - риск изменения цены долгового обязательства вследствие роста или падения уровня процентных ставок;

·        кредитный риск- риск, связанный с опасностью неуплаты заемщиком основного долга и процентов, причитающихся кредитору. С кредитным связан имущественный риск - это риск в кредитной сделке, связанный с состоянием или качеством собственности заимодавца.

Риск прямых финансовых потерь включает в себя:

·        биржевой риск;

·        селективный риск;

·        риск банкротства.

Вместе с тем есть и другие виды рисков.

Риск заразится - риск того что проблемы дочерних и ассоциативных компаний перекинутся на материнскую компанию, и наоборот.

Не страхуемые риски - риски, вероятность которых трудно посчитать даже в самом общем виде и в которых считаются слишком большими для страхования.

А так же налоговый риск, организационный, инновационный, отраслевой, внешний и внутренний, региональный риски [9, с.31].

При данном многообразии рисков оценка ущерба объекта от проявления неблагоприятного события является наиболее сложной проблемой, поскольку получить на практике однозначные и всеми признаваемое его значение обычно не представляется возможным. Тем более, что теория риска, как правило, имеет дело с ожидаемым ущербом при предполагаемых известными силе, характере события и степени защищенности объекта. Из этого замечания вытекает важный для теории и практики риск - анализа вывод: «абсолютно объективные и однозначные оценки ущерба в подавляющем большинстве ситуаций не могут быть получены». Часто показатели ущерба, используемые вне рамок экономическо-правовых отношений риск - анализа в той или иной области деятельности, можно считать экономически бессодержательными.

Обычно при разработке метода расчета ущерба, который предполагается широко использовать на практике, стараются учесть некий набор минимальных требований. К ним относится:

.   простота с точки зрения применения.

2.      Ориентация на минимальный объем исходной информации.

.        Учет особенностей объекта.

.        Учет как можно большего числа потерь без заметного усложнения расчетов.

.        Учет закономерностей изменения характера и размера ущерба во времени с учетом меняющейся силы воздействия

.        Соответствие оценок ущерба действующим в государстве и регионах экономическим отношениям и правовым и ряд других.

С целью сближения позиций разных субъектов обычно его общую величину стремятся структурировать, разделяя ее на относительно независимые элементы, по каждому из которых могут быть использованы адекватные их содержанию методы оценки. Например ущербы целесообразно разделять по реципиентам (объектам воздействия): по регионам, предприятиям, зданиям, сооружениям, оборудованию. Общая величина ущерба в такой ситуации может быть получена путем суммирования ущербов отдельных независимых групп реципиентов, которые в свою очередь, могут быть разделены по признакам места и времени проявления событий на прямой и косвенной.

Под прямым ущербом обычно понимают убытки, непосредственно обусловленные проявлением событий. Их примером являются потери материальных ценностей при землетрясении, снижение стоимости акций из-за кризиса, потери капитала из-за дефолта заемщиков.

Косвенный ущерб характеризует убытки, вызванные неблагоприятными изменениями во внешней и внутренней среде [10, с.112].

В целом вся совокупность методов оценки экономического ущерба у объекта может быть разделен на три основные группы: метод прямого счета(отражает все элементы в цепи причинно-следственной связей. Предполагается оценка эффектов, возникающих между всеми сведеньями этой цепи и калькуляцию различных составляющих статей потерь объекта); методы косвенной оценки (базируются на некоторых предположениях относительно закономерностей формирования ущерба.); комбинированные методы(различные комбинации, объединения методов, которые дополняют друг друга в решении отдельных задач оценки ущербов от риска) [15, с.79].

1.3 Управление рисками

В системе управления риском важная роль принадлежит правильному выбору мер предупреждения и минимализации риска, которые в значительной степени определяют ее эффективность. Система снижения рисков включает в себя определенные методы и пути:

.   Получение исчерпывающей информации о предстоящем выборе и результате.

2.      Уклонение от риска.

.        Диверсификация.

.        Резервирование средств на покрытие непредвиденных расходов.

.        Лимитирование.

.        Хеджирование.

.        Страхование рисков, самострахование.

.        Проверка партнеров по бизнесу и условий заключения сделки. Бизнес - планирование.

.        Подбор персонала предпринимательской организации.

10. Передача риска.

11.    Другие методы.

Выбор конкретного из приведенных методов минимизации риска зависит от опыта и возможностей предпринимателя и любого другого руководителя. Для более эффективного результата ка5 правило применяется совокупность методов.

В своей деятельности руководитель встречается со множеством рисков, потому кроме основных методов их минимизации использует способы конкретные, применяемые только в данном случаи. Способы минимизации наиболее часто встречающихся рисков приведены в таблице 1.2. (Приложение 2)

И действительно, действия, направленные на смягчении риска, могут быть самыми разными. Люди записываются на курсы экстремального вождения, чтобы уменьшить вероятность попадания в аварию в сложных условиях, - это тоже стратегия смягчения, минимизации, устранения риска. Выбор того или иного метода зависит от конкретной ситуации, степени риска и возможностей предприятия. Именно этим определяется принципиальное решение: принять риск, снижая его отрицательные последствия различными методами, или уклонится от него.

Фирма в процессе осуществления хозяйственной деятельности может отказаться от совершения финансовых операций или от вида деятельности связанного с высоким уровнем риска. Данное направление нейтрализации рисков - наиболее простое и радикальное, оно позволит полностью избежать потенциальных потерь, но отнюдь не способствует получению прибыли, связанной с рисковой деятельностью[9, с.155].

При заключении любой сделки для снижения риска по хозяйственным контрактам предпринимателю необходимо проверить предполагаемого партнера. Основное правило бизнеса: «доверяй, но проверяй». Возможный путь избежать ошибок при выборе партнера - создание собственной системы сбора и анализа информации о потенциальных или существующих контрагентах. В качестве образца в этом случае можно использовать систему Due Diligence - «должного внимания», практикуемую западными банками по отношению к своим клиентам. Эта система обеспечивает защиту от разного рода мошенничеств. Один из основных инструментов такой системы - анкета, включающая вопросы о названии компании-контрагента и адресах ее офисов за последние два-три года; о видах бизнеса, ею осуществляемых. Анкета может содержать вопросы о партнерах компании и их адресах, в нее включаются вопросы о финансовом состоянии компании и предполагаемом обороте или будущем среднем остатке на счете. Наиболее сложные вопросы анкеты связаны с происхождением капитала компании. Подобная анкета дает предварительную информацию о клиенте, и, в случае если что-то в его ответах настораживает, следует проводить дополнительное исследование, включающее поиск подтверждений (или опровержений) полученных данных, поиск фактов, о которых партнер умолчал, а также проверку сведений через других контрагентов[9, с.159].

Диверсификация риска является, пожалуй, наиболее сложным и интересным, требующим высокого профессионализма методом управления риском. Она представляет собой использование в хозяйственной практике экономико-математического понятия «отрицательная корреляция». Инвестируемые денежные средства направляются в совершенно независимые, никак не связанные между собой сделки и проекты. В этом случае при реализации рискового события и появлении убытков по одной сделке можно рассчитывать на успешный и прибыльный исход другой. Более того, целесообразно ориентироваться на отрицательно коррелированные исходы, то есть выбирать инвестиционные ценности (объекты) с прямо противоположными векторами прибыльности. Тогда прибыли по одной сделке смогут компенсировать возможные убытки по другой.

При формировании портфеля ценных бумаг проблеме диверсификации риска уделяется особо серьезное внимание. Прежде всего, применяется «правило дюжины». Необходимо обеспечить достаточное разнообразие ценных бумаг. Поэтому общепризнанная практика подсказывает, что в портфеле банка должно быть как минимум двенадцать пакетов акций самых разнообразных компаний. Далее обращают внимание на уровень доходности и степень риска ценных бумаг. Высокодоходные ценные бумаги, как правило, заключают в себе немалую степень риска. Ценные бумаги с допустимым риском приносят соответственно весьма умеренный доход. А низкорисковые ценные бумаги малоэффективны и не интересны для банка. Выход из этого положения предлагает «правило пяти пальцев». Из него следует, что для формирования оптимального портфеля из каждых пяти акций одна должна быть малорисковая, три - с нормальным, допустимым риском, а еще одна - высокорисковая, но и высокодоходная [9, с.160].

В финансовом секторе экономики кроме того часто используется способ диверсификации риска, получивший название «хеджирование рисков». Хеджирование рисков предполагает ограничение финансовыми инструментами размера убытков, но как следствие и прибылей тоже. Оно проводится в форме заключения параллельных финансовых компенсационных сделок, когда возможный убыток по одной сделке компенсируется возможной прибылью подругой. Существует немало способов хеджирования рисков, но основными, наиболее употребимыми и часто встречающимися являются опционы, фьючерсы и сделки своп [16, с.135].

Следующим шагом в решении проблемы управления рисками служит изучение возможности полного или частичного самострахования сделки. Самострахование есть не что иное, как принятие рисков на себя и, бесспорно, является самым дешевым (за исключением разве что отказа от рисков) способом борьбы с рисками. Предполагается, что возможный ущерб будет покрыт текущими денежными средствами или с помощью резервного фонда. Поэтому очевидно, что использование возможностей самострахования весьма ограничено. В основном этот метод оправдывает себя, если вероятность негативного исхода и сумма возможного убытка не велики.

При использовании самострахования нужно отдавать себе отчет в том, что экономичность этого метода оборачивается некоторыми отрицательными моментами. Прежде всего, это - «омертвление» оборотного капитала. Фирма вынуждена держать в резерве немалые средства, на них нельзя рассчитывать при заключении новых, зачастую интересных и эффективных контрактов, их невозможно и опасно пускать в оборот. Однако все равно есть опасность, что пойдет «полоса неудач»: на фоне низких финансовых поступлений убытки будут настигать один за другим в коротком промежутке времени, и любых резервных средств все равно будет недостаточно. Все это вызывает неуверенность и нервозность у руководства, которые обязательно передадутся всему персоналу фирмы. Если предотвращение убытков и самострахование не дают желаемой защиты от риска и лишь в незначительной степени снижают его, что в современном бизнесе вполне вероятно, можно применить такой самый распространенный и повсеместно используемый, уже ставший традиционным метод управления риском, каким является страхование. Суть этого метода состоит в том, что предприниматель берет в качестве партнера по сделке страховую компанию и возлагает на нее после заключения соответствующего договора и уплаты страховых взносов значительную часть ожидаемых рисков. В отличие от всех отраслей и сфер экономики, где риск для предпринимателя - это нежелательное побочное явление, в страховом деле риски служат основным полем деятельности. То есть риски предпринимателя принимает на себя профессионал.

Принимая решение об использовании страхования, нужно иметь в виду, что, во-первых, риск должен иметь случайный характер, негативный исход не должен быть заранее запрограммирован и заложен в сделку. Во-вторых, страхуются лишь убытки, которые можно измерить и оценить с помощью натуральных и денежных показателей. И, наконец, риск сам по себе не может быть объектом страхования. Таким объектом служат товарно-материальные ценности и денежные средства фирмы [ 21, с.65].

Отметим, что хозяйственные риски - это неизбежная составная часть предпринимательской деятельности, поскольку они имманентны рынку. Риски нельзя устранить, но уменьшить возможный убыток - вполне реально. Этого можно добиться с помощью применения методов управления риском. Разумеется, управление рисками связано с определенными издержками для фирмы, но его осуществление необходимо и оправданно. Управляя рисками, фирма жертвует меньшим, чтобы сохранить большее. Она заменяет возможное появление значительных убытков на относительно небольшие, строго определенные издержки по управлению риском.

2. Анализ рисков в деятельности предприятия ОАО «Галантус»

2.1 Технико-экономическая характеристика ОАО «Галантус»

ОАО «Галантус» ведет свой отсчет с 7 января 1979 г., когда на базе «Зеленстроя» начал свою деятельность совхоз «Декоративные культуры». Основными промышленными культурами являлись розы, гвоздики, рассада для озеленения, горшечные культуры. Основную массу площади защищенного грунта составляли стеклянные теплицы общей площадью около 3000 кв. м.

августа 1994 г. совхоз был реорганизован в акционерное общество «Галантус». В переводе на русский язык «галантус» означает «подснежник».

На сегодняшний момент деятельность фирмы хорошо известна цветоводам России и за рубежом. ОАО «Галантус» является хозяйством, соответствующим мировым стандартам цветоводства, использующем современную технологию и оборудование. Общая площадь защищенного грунта составляет 4,2 га. На этой площади ежегодно выращивается на срезку более 5 млн. цветов.

Цветовод-профессионал сегодня заинтересован в новых культурах и сортах, которые высоко котируются в Европе, адаптированы к Российским условиям и обеспечивают хороший бизнес на цветочном рынке.

Бухгалтерский учет в ОАО «Галантус» ведется в соответствии с типовым планом счетов бухгалтерского учета финансово-хозяйственной деятельности предприятий; типовыми формами бухгалтерской отчетности и указаниями по их применению и заполнению; другими нормативно-правовыми актами, регламентирующими учет операций. При осуществлении деятельности используются формы документов, определенные альбомами унифицированных форм первичной учетной документации, разработанные республиканскими органами управления. Документы, формы которых не предусмотрены в этих альбомах, содержат обязательные реквизиты согласно действующему законодательству. Особенности бухгалтерского учета в ОАО «Галантус» обобщены в Приказе об учетной политике, который ежегодно утверждается генеральным директором ОАО «Галантус». Учетная политика определяет организацию документооборота, порядок обработки информации (применения регистров бухгалтерского учёта), порядок проведения инвентаризации и др. Бухгалтерский баланс предприятия представлен в Приложении 1. Открытое акционерное общество «Галантус», согласно действующему законодательству признается обществом с ограниченной ответственностью, которое действует на основании устава и законодательства Российской Федерации.

Таблица 2.1 Основные экономические показатели ОАО «Галантус»

Показатели

2010 г.

2011 г.

Изменение (+,-)

Темп роста, %

1

2

3

4

5

1. Выручка от продаж, тыс.руб.

238924

223102

-15822

0,93=93%

2. Себестоимость проданных товаров, тыс.руб.

167265

146809

-20456

87,7%

3. Управленческие и коммерческие расходы, тыс.руб.

20122

17398

-2742

86,4%

4. Прибыль от продажи, тыс.руб.

51537

58895

7358

114%






5. Прибыль до налогообложения, тыс.руб.

43947

52049

8102

120%

6. Чистая прибыль, тыс.руб.

42154

49468

7314

117%

7. Стоимость основных средств, тыс.руб.

93766

80139

--1154*91,90-136273147■

85%

8. Стоимость активов, тыс.руб.

400820

498057

97177

124%

9. Собственный капитал, тыс.руб.

336039

363590

27551

108%

10. Заемный капитал, тыс.руб.

64841

134467

69626

207%

11. Численность ППП, чел.

300

310

10

103%

796,4

719,7

-

90%

13. Фондоотдача, руб. (1/7)

2,5

2,8

0,3

112%

14. Оборачиваемость активов, раз (1/8)

0,6

0,45

-0,15

0,75

15. Рентабельность собственного капитала по чистой прибыли, % (6/9)*100%

12,5*100%= 12,5%

0,136*100% 13,6%

1,1

108%

16. Рентабельность продаж, % (4/1)*100%

21,5%

26,4%

4,9

123%

17. Рентабельность капитала по прибыли до налогообложения, % (5/(9+10))*100%

43947/(336039+64841)=43947/400880=10,9%

52049/(363590+134467)=52049/498057=10,5%

-0,4

96%

18. Затраты на рубль выручки от продажи, ((2 + 3)/1)*100 коп.

78,4

73,6

-4,8

93,8%


Проанализировав полученные показатели, можем сделать выводы и построить диаграммы по наиболее значимым показателям.

На диаграмме 2.1 мы может отчетливо видеть разницу в объеме выручки от продаж за 2010 и 2011 года. Выручка от продаж является регулярным источником доходов для организации из всех возможных поступлений средств, служит основным оценочным показателем результативности работы предприятия, по ее поступлению можно судить о том, что реализуемая продукция по объему, качеству и ее не соответствует рыночному спросу, так как за рассматриваемый период она резко сократилась.

Диаграмма 2.1. Выручка от продажи

Рассмотрев следующий показатель - себестоимость проданных товаров (диаграмма 2.2) мы видим, что выручка от продаж в ОАО «Галантус» упала не за счет качества или отсутствию спроса, а за счет резкого сокращение производственных мощностей и объему выпуска товаров.

Диаграмма 2.2. Себестоимость проданных товаров

При рассмотрении показателя прибыль от продажи (диаграмма 2.3), можно заметить, значительное увеличение этого показателя в 2011 году.

Диаграмма 2.3. Прибыль от продажи

Так же по данным бухгалтерского баланса можно заметить, что в 2011 году предприятие ОАО «Галантус» намного увеличило сумму заемных средств по сравнением с предыдущем годом. (Диаграмма 2.4)

Диаграмма 2.4 Заемный капитал

Предприятие ОАО «Галантус» сократило объем продаж и снизила себестоимость продукции за счет покупки ресурсов дешевого качества увеличив за счет этого прибыль от продажи, а так же предприятие взяло большой кредит, можно сделать выводы что предприятие собирается вложить все свои средства в какой-либо прибыльный проект (какие-либо изменения в структуре производства) расширить свое производство, или изменить спецификацию

2.2 Оценка рисков в деятельности ОАО «Галантус»

Основной задачей методики определения степени риска является систематизация и разработка комплексного подхода к определению степени риска, влияющего на финансово-хозяйственную деятельность предприятия.

В качестве исходной информации при оценке финансовых рисков используется бухгалтерская отчетность предприятия: бухгалтерский баланс, фиксирующий имущественное и финансовое положение организации на отчетную дату; отчет о прибылях и убытках, представляющий результаты деятельности за отчетный период.

 Центральное место в оценке предпринимательского риска занимают анализ и прогнозирование возможных потерь ресурсов при осуществлении предпринимательской деятельности.

Количественные оценки рисков, в данной работе мы будем рассматривать инвестиционный проект, связанны с численным определением вылечены отдельных рисков и риска проекта в целом. Задача количественного анализа состоит в численном измерении степени влияния изменений рискованных факторов проекта, проверяемых на риск, на поведение критериев эффективности проекта.

Предприятие ОАО «Галантус» уже много лет ведет инвестиционную деятельность. И на 2013 год предприятие имеет два варианта вложения средств. Установлено что при вложении капитала в предприятие А получение прибыли в сумме 250 тыс. руб имеет вероятность 0,6, а в мероприятии Б - получение прибыли в сумме 300 тыс.руб. - вероятность 0,4. тогда ожидаемое получение прибыли от вложения капитала (математическое ожидание) составит6

по мероприятию А - 150тыс.руб.(250*0.6);

по мероприятию Б- 120тыс.руб.(300*0.4);

Вероятность наступления события может быть определена объективным или субъективным методом. Используя объективный метод, мы получим определение вероятности, основанное на вычислении частоты, с которой происходит данное событие. Вложение капитала в событие А прибыль в сумме 250 тыс.руб. была получена в 120 случаях из 200, вероятность такой прибыли составит о,6 (120:200).

Важное место при этом занимает экспертная оценка т.е проведение экспертизы, обработка и использование ее результатов при обосновании значения вероятности. Здесь степень риска измеряется по двум критериям:

среднему ожидаемому значению (СОЗ)значение величины события. Является средневзвешенным для всех возможных результатов;

- колеблемости возможного результата.

Благодаря данным предоставленным статистического отдела нам известно: что при вложении капитала в мероприятие А из 120 случаев прибыль 250 тыс.руб. была получена в 48 случаях(вероятность 0,4), прибыль 200тыс. руб. была получена в 36 случаях (вероятность 0.3) и прибыль 300 тыс. руб. была получена в 36 случаях (вероятность 0,3), то:

СОЗ = (250*0.4+200*0.3+300*0.3) = 250тыс. руб.

Аналогично было найдено, что при вложении капитала в мероприятие Б средняя прибыль составила :

СОЗ = (400*0.3+300*0.5+150*0.2) = 300 тыс. руб.

Сравнивая две суммы ожидаемой прибыли при вложении капитала в мероприятие А и Б, можно сделать вывод, что при вложении в мероприятие А величина получаемой прибыли колеблется от 200 до 300 тыс. руб. и средняя величина составляет 250 тыс.руб.; при вложении капитала в мероприятие Б величина получаемой прибыли колеблется от 150 до 400 и средняя величина составляет 300 тыс. руб. Но мы знаем что средняя величина представляет собой обобщенную количественную характеристику и не позволит принять решение в пользу какого-либо результата. Для окончательного принятия решения необходимо измерить колеблемость показателей (КП) т.е. определить меру колеблемости возможного результата.

Для этого применим два близко связных значения:

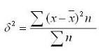
·    Дисперсия (формула 2.1)- средневзвешенное значение из квадратов отклонений действительных результатов от среднеожидаемых.

формула 2.1


где s - дисперсия;

C - среднеожидаемое значение;- число случаев наблюдения (частота).

Расчет дисперсий для мероприятия А и Б представлен в таблице 2.1.

Таблица 2.1. Расчеты дисперсий при вложении капитала в мероприятие А и Б

№ события

Полученная прибыль, тыс. руб.

Число случаев наблюдения

 (C-`C)

2 (C-`C)

2 (C-`C)*n

Мероприятие А

1

250

48

-

-

-

2

200

36

-50

2500

90000

3

300

36

+50

2500

90000

Итого`C=

250

120



180000

Мероприятие Б

1

400

30

+100

10000

300000

2

300

50

-

-

-

3

150

20

-150

22500

450000

Итого`C=

300

100



750000


Для анализа обычно используют коэффициент вариации (V). Он представляет собой отношение среднеквадратического отклонения к средней арифметической и показывает степень отклонения полученных значений. КВ может изменяться от 0 до 100%. Чем больше КВ, тем сильнее колеблемость. Установлена следующая качественная оценка разлиных КВ:

ло 10% - слабая колеблемость;

10-25: - умеренная;

свыше 25% - высокая.

Рассчитаем среднее квадратическое отклонение при вложении капитала в мероприятие А. Оно составит:

d = Ö180000/120 = ±38,7;

В мероприятие Б:

d = Ö750000/100= ±86,6;

Рассчитаем коэффициент вариации для мероприятия А:

V = 38,7/250*100=15,5%;

Коэффициент вариации для мероприятия Б:

V=86,6/300*100=29,8%

По данным расчета мы можем видеть что коэффициент вариации при вложении капитала в мероприятие А меньше, чем при вложении в мероприятие Б, что позволяет сделать вывод о принятии решения в пользу вложения капитала в мероприятие А.

3. Пути снижения и управление рисками в ОАО «Галантус»

Рассмотрев основные технико-экономические показатели ОАО «Галантус» мы выявили, что выручка от продажи в 2011 г. по сравнению с 2010 г. продукции снизилась на 93% в результате роста цен на продукцию; несмотря на то, что себестоимость проданной продукции уменьшилась на 87,7% это рост не оказывает существенного влияния на чистую прибыль, но в целом, такие показатели является негативной динамикой в работе предприятия.

В 2011 г. увеличение оборотных активов на 124% обусловлено увеличением дебиторской задолженности практически в шесть раз.

Величина собственного капитала в 2011 гг. увеличилась на 108% соответственно в результате увеличения нераспределенной прибыли.

Снижение в 2010 г. заемного капитала связано со снижением краткосрочных кредитов и займов и доли кредиторской задолженности, а увеличение в 2011 г. обусловлено увеличением краткосрочных кредитов и займов на 207%.

Проанализировав абсолютные показатели финансовой устойчивости, делаем вывод о том, что в 2009 году и в 2010 г. предприятие относилось к четвертому типу финансовой устойчивости, т.е. оно находилось в кризисном финансовом положении, при котором ему грозило банкротство, а в 2011 году предприятие находилось в неустойчивом финансовом положении, которое характеризуется неплатежеспособностью, но оно уже относилось к третьему типу финансовой устойчивости.

По проведении анализа платежеспособности было выявлено, что предприятие не обладает абсолютной ликвидностью, это свидетельствует о том, что платежеспособность организации находится на низком уровне.  После проведенного анализа финансового состояния и рисков, выявили, что у ОАО «Галантус» высок риск банкротства, так как оно находится в неустойчивом финансовом положении.

Поэтому разобранные нами меры по вложению активов способны улучшить финансовое состояние.

Финансовая стабилизация на предприятии в условиях кризисной ситуации последовательно осуществляется по двум этапам:

) устранение неплатежеспособности;

) восстановление финансовой устойчивости.

Сущность восстановления платежеспособности заключается в маневре денежными потоками для восстановления баланса между их расходованием и поступлением.

Суть восстановления финансовой устойчивости - максимально  быстрое и радикальное снижение неэффективных расходов. Остановка нерентабельных производств - первый шаг, который необходимо совершить. Если убыточное производство нецелесообразно или его невозможно продать, то его нужно остановить, чтобы немедленно исключить дальнейшие убытки.

Заключение

Человек постоянно сталкивается с риском. Часто, не имея полной информации, нам приходится делать выбор, который, к сожалению, не всегда является правильным. Любой предприниматель всегда действует на свой страх и риск, дальнейшая деятельность организации будет зависеть именно от этого человека, от его дальновидности и знаний. Одна из основных его задач - оценить риск и свести его к минимуму, чтобы получить максимальную прибыль в случае удачной сделки и понести минимальные потери в случае неудачной сделки. Неправильно определив влияние некоторых факторов, менеджер может привести компанию к краху. Поэтому резко возрастает важность таких качеств, как опыт, квалификация, и, конечно, интуиция. Необходим постоянный анализ существующей ситуации, очень важно использование опыта других организаций (возможность учиться на чужих ошибках).

Вместе с тем все подходы характеризуются единой целью: необходимо оценить уровни рисков, свойственных тем или иным видам деятельности, и разработать эффективные меры, способные уменьшить эти уровни до приемлемых значений. Сходство целей в данном случае предопределяет и единую методологию решения этих проблем - методологию риск-анализа.

Управление рисками, в общем случаи должно рассматриваться как один из видов деятельности, направленной на повышение устойчивости и безопасности объекта, эффективности его функционирования и развития.

Главная сложность управления рисками заключается в том, что не существует каких - либо «готовых» рецептов. Каждому вопросу, требующему рассмотрения на предприятии, нужен свой уникальный подход.

Список используемой литературы

.Конституция РФ от 12.12.93г. Официальное издание М.; 2012г.

.Налоговый кодекс Российской Федерации от 19.07.2000 г. Официальное издание М.: М 2012г.

.Гражданский кодекс РФ от 18.12.2006 N 230-ФЗ

.Федеральный закон №14 от 08.02.1998 «Об обществах с ограниченной ответственностью

.Балабанов И.Т. Риск-менеджмент. -М.: Финансы и статистика. 2006.

.Бланк И.А. Управление финансовыми рисками: Учеб. курс. - К.: Ника-Центр, 2006.

.Бролио Е. Система оценки рисков инновационной деятельности организации / Е.Бролио. Проблемы теории и практики управления, 2008. № 4

.Васин С.М. Управление рисками на предприятии: учебное пособие - М.: КНОРУС, 2012

.Вишняков Я.Д. Общая теория рисков. М.: «Академия», 2007

.Гранатуров В. М.. Экономический риск. Сущность, методы измерения, пути снижения. - 2011

.Делягин М. Как самому победить кризис. Наука экономить, наука рисковать. Простые советы. - 2009

.Кудрявцев А. А.. Интегрированный риск-менеджмент - 2010

.Лапченко Д.А. Оценка и управление экономическим риском: теория и практика. Минск: Амалфея, 2007.

.Лобанова А.А. Энциклопедия финансового риск-менеджмента. М.: Альпина, 2005г.

.Никонов В. Управление рискаими: Как больше зарабатывать и меньше тратить. - М.: Альпина паблишерз, 2009

.Половинкин Л., Зозулюк А. Предпринимательские риски и управление ими // Российский экономический журнал. - 2004. - № 9.

.Принятие финансовых решений: теория и практика / под ред. А.О. Левковича. - Минск: Изд-во Гревцова, 2007.

.Серебрякова Т. Ю.. Риски организации и внутренний экономический контроль. - 2011

.Тихомиров Н.П. Риск анализ в экномике. - М.: ЗАО «Экономика», 2010

.Успенский В.А. методы управления риском/ Nota Bene - Экономический интернет-журнал - Архив Статей

.Фомичев А.Н. «Риск-менеджмент» М.: Дашков и К 2004.

.Цветкова Е. В., И. О. Арлюкова. Риски в экономической деятельности. Учебное пособие.- 2005

.Четыркин Е.М. Финансовая математика: Учебник. - 6-ое изд., испр. - М.: Дело, 2006.

.Шапкин А. С., Шапкин В. А.. Экономические и финансовые риски. Оценка, управление, портфель инвестиций - 2010.

.Швандар В.А. Риски в экономике: Учеб. пособие для вузов / Под ред. проф. В.А. Швандара. - М.: ЮНИТИ-ДАНА, 2007

Приложение 1


Приложение 2

Таблица 1.2. Способы минимизации рисков

Вид риска

Способы уменьшения риска

Коммерческий риск

Правильно определить и выдержать соотношения финансовых показателей; увеличить рентабельность инвестиций в своем бизнесе

Финансовый риск

Своевременно размещать пассивные средства в проекты, приносящие прибыль, или предоставлять кредиты

Ошибки менеджера

Ввести контроль и дублирование в узловых звеньях бизнеса

Писк неправильного выбранного проекта

Тщательно проверить все «за» и «против», при необходимости использовать компьютерное моделирование, что бы точно просчитать все варианты

Экономические колебания и изменения спроса

Колебания и изменения спроса необходимо прогнозировать и использовать в планах деятельности

Риск неоптимального распределения ресурсов

Четко определить приоритеты в распределении ресурсов в зависимости от планируемого количества производимых продуктов

Действия конкурентов

Возможные действия конкурентов надо предвидеть на основе систематического анализа их деятельности

Недовольство работников

Тщательно продумывать социально- экономические программы для служащих с учетом их требований ми просьб. Создать благоприятную обстановку в коллективе

Низкие объемы реализации товаров

Вести тщательную аналитическую работу по выбору целевых рынков

Риск утечки информации

Тщательная проверка и подбор сотрудников, особенно научно-технического персонала


Похожие работы на - Анализ рисков в деятельности предприятия на примере ОАО 'Галантус'

 

Не нашли материал для своей работы?
Поможем написать уникальную работу
Без плагиата!
Без нейросетей!