Статическое изучение расходов населения и потребления товаров и услуг в Псковской области

  • Вид работы:
    Курсовая работа (т)
  • Предмет:
    Эктеория
  • Язык:
    Русский
    ,
    Формат файла:
    MS Word
    148,96 Кб
  • Опубликовано:
    2015-01-16
Вы можете узнать стоимость помощи в написании студенческой работы.
Помощь в написании работы, которую точно примут!

Статическое изучение расходов населения и потребления товаров и услуг в Псковской области













КУРСОВАЯ РАБОТА

по дисциплине: Статистика

Тема: "Статическое изучение расходов населения и потребления товаров и услуг в Псковской области"










Псков

год

Оглавление

Введение

1. Понятие и сущность расходов и потребления

1.1 Показатели расходов населения

1.2 Показатели потребления товаров и услуг

2. Статистические данные по расходам и потреблению товаров и услуг Псковской области

2.1 Вычисление темпов изменения расходов и потребления товаров и услуг по Псковской области методом рядов динамики

2.2 Графический метод наглядного изображения изменения расходов и потребления товаров и услуг по Псковской области

Заключение

Список литературы

Приложение

 

Введение


Роль статистики в нашей жизни настолько значительна, что люди, часто сами того не осознавая, используют элементы статистической методологии в современном быту. Статистика-наука о массовых процессах и явлениях, происходящтх в жизни общества.

Потребление населением товаров и услуг изучается таким разделом статистики, как "Социальная статистика".

Социальная статистика отличается от других отраслей статистики не только своим особым предметом и объектом исследования. Ее главное отличие заключается в её особых каналах получения исходной информации, и в применении специальных приемов обработки и обобщения этой информации, и в особых путях практического использования результатов анализа.

Статистический анализ явлений и процессов, происходящих в социальной жизни общества, осуществляется с помощью специфических для статистики методов - методов обобщающих показателей, дающих числовое измерение количественных и качественных характеристик объекта, связей между ними, тенденций их измерения. Эти показатели отражают социальную жизнь общества, выступающую как предмет исследования социальной статистики.

Потребление является заключительной стадией воспроизводственного процесса, сводящейся к использованию произведенного продукта для удовлетворения определенных потребностей.

Основные задачи статистики потребления населения как важнейшей составляющей уровня его жизни связаны с разработкой Системы показателей потребления, натуральных и стоимостных, индивидуальных, семейных и сводных потребительских бюджетов и потребительской корзины, исследованием структуры потребительских расходов, эластичности и дифференциации потребления, динамики потребления населения и потребительских цен, покупательной способности денег.

Целью курсовой работы является изучение теоретических и практических аспектов статистического изучения расходов и потребления населения Псковской области.

Задачи данной курсовой работы -

─       раскрыть основные задачи соответствующего раздела статистики, дать определение основных понятий, характеризующих исследуемое явление;

─       описать систему статистических показателей и методы исследования динамики этих показателей;

Методы, используемые для реализации данных целей в курсовой работе:

─       графический метод

─       метод рядов динамики

В отношении Псковской области данный вопрос изучался Валиуллиной В.Г., Кельчевской Г. Р..

Структура данной работы следующая:

)        Введение

)        Рассмотрение теоретической части данной темы (в двух подчастях)

)        Рассмотрение практической части данной темы с помощью двух методов (метода рядов динамики и графического метода)

)        Заключение

)        Приложение

)        Список используемой литературы

1. Понятие и сущность расходов и потребления

 

.1 Показатели расходов населения


Денежные расходы населения представляют собой использование доходов населения на покупку товаров и услуг и различного рода платежи.

Основные виды расходов населения следующие:

─       Покупка товаров и оплата услуг;

─       Покупка недвижимости;

─       Расходы населения на приобретение иностранной валюты;

─       Обязательные платежи и добровольные взносы;

─       Прирост сбережений во вкладах и ценных бумагах;

─       Прочие расходы.

В частности, расходы домашних хозяйств на конечное потребление включают:

─       расходы на покупку потребительских товаров (кроме домов и квартир) в государственной, кооперативной торговле, на городских рынках и в неорганизованной торговле;

─       расходы на оплату потребительских услуг;

─       поступление продуктов в натуральной форме, произведенных домашними хозяйствами для собственного конечного потребления;

─       потребление продуктов, полученных домашними хозяйствами в натуральной форме в качестве оплаты труда;

─       услуги по проживанию в собственном жилище (сумма текущих затрат на содержание собственного жилья и стоимость его износа).

Фактическое конечное потребление домашних хозяйств - конечное потребление, которое обеспечивается за счет:

─       располагаемого дохода;

─       социальных трансфертов в натуральной форме, предоставляемых населению органами государственного управления и некоммерческими организациями, обслуживающими домашние хозяйства (НКО).

Денежные расходы домашних хозяйств - сумма фактических затрат членов домашнего хозяйства за определенный период, включающая:

─       потребительские расходы;

─       расходы, не связанные с потреблением (налоги и сборы, платежи по страхованию, взносы в общественные организации, возврат банковских ссуд, проценты за товарный кредит и др.).

Денежные расходы не включают: инвестиции; затраты на приобретение иностранной валюты, ценных бумаг; средства, положенные на банковские счета .

Потребительские расходы домашних хозяйств - включают затраты на приобретение потребительских товаров и услуг, независимо от того, предназначены они для потребления в рамках домохозяйства или вне его:

─       продукты питания;

─       алкогольные напитки;

─       непродовольственные товары для личного потребления;

─       топливо;

─       личные услуги (оплата жилищно-коммунальных услуг, расходы на пошив и ремонт одежды, обуви, электроприборов, плата за обучение, медицинские услуги и др.).

Потребительские расходы не включают: покупку ювелирных изделий, оплату строительства и капитального ремонта жилья.

Расходы на конечное потребление домашних хозяйств включают:

─       потребительские расходы;

─       стоимость натуральных поступлений продуктов питания;

─       стоимость предоставленных в натуральном выражении дотаций и льгот.

Общий объем потребления населением товаров и услуг представляет собой их полную стоимость, в том числе частные платные, льготные и бесплатные товары и услуги, полученные населением за счет заработной платы, доходов от собственности, поступлений из финансовой системы и некоммерческих организаций. Объем потребления товаров и услуг в стоимостном выражении определяется в текущих (фактических), так и в сопоставимых ценах.

В российской статистике в настоящее время существует три основных источника информации для определения расходов домашних хозяйств на приобретение потребительских товаров: выборочные бюджетные обследования, баланс денежных доходов и расходов населения, торговая статистика.

Для получения информации о расходах населения на оплату услуг используются статистические данные, предоставляемые учреждениями и организациями, оказывающими такие услуги домашним хозяйствам. В состав этих услуг входят рыночные потребительские услуги (бытовые, жилищно-коммунальные, транспорта и связи, оздоровительные и т. д.) и услуги финансовых посредников (банков, страховых компаний, организаций по проведению лотерей).

Стоимость услуг по проживанию в собственном жилище включается в общую сумму конечных расходов в размере валового выпуска, т. е. как сумма текущих затрат на содержание собственного жилья и стоимости его износа.

Фактическое конечное потребление домашних хозяйств отражает реальную величину конечного потребления, которое обеспечивается как за счет располагаемого дохода, так и за счет социальных трансфертов в натуральной форме, предоставляемых населению органами государственного управления и некоммерческими организациями, обслуживающими домашние хозяйства.

Поскольку в России отсутствует достаточно надежная статистическая база для исчисления названных показателей, основным источником информации об объеме и структуре расходов домашних хозяйств при анализе уровня жизни продолжает оставаться баланс денежных доходов и расходов населения.

Источники информации для расчета потребительских расходов:

1.      выборочные бюджетные обследования. Носят регулярный характер с начала 1950-х гг. Проводятся ежеквартально во всех субъектах РФ, охватывают 49,2 тыс. домохозяйств. Итоги обследования разрабатываются ежеквартально и за год в целом. Обследование - практически единственный источник информации о производстве сельскохозяйственных продуктов для собственного потребления и некоторых других статьях доходов. Позволяет установить зависимость между уровнем благосостояния домохозяйств и их составом, источниками доходов, характером занятости. Выборка сформирована по территориально-отраслевому принципу. Недостаток - в ней не представлено население с наиболее высокими доходами;

.        баланс денежных доходов и расходов населения. Основной источник информации об объеме и структуре расходов домохозяйств. Недостаток - баланс построен на иных концептуальных принципах, чем СНС (например, сбережения населения учитывают только прирост сбережений во вкладах и ценных бумагах);

.        статистика торговли. Предоставляет данные об объеме и структуре розничного товарооборота. Помимо этого, проводятся досчеты на неотчитавшиеся предприятия и неорганизованную торговлю. Данные корректируются, поскольку некоторые учтенные товары - элемент не конечного, а промежуточного потребления (семена, корма, строительные материалы и т.п.).

Методы сбора информации о расходах населения:

.        Метод массового наблюдения:данный метод предназначен для сбора статистической информации.Проводится на начальном этапе статистического наблюдения.Различают различные формы,виды и способы статистического наблюдения.

Таблица 1. Формы статистического наблюдения

Статистическая отчётность

Специально организованные

Регистр

Является основной формой получателя статистической информации от предприятий,организаций. С помощью статистической отчётности специальные органы получают информацию от предприятий по установленной форме и в установленные сроки.

(Перепись) Проводятся редко,т.к. являются масштабными и дорогостоящими.

Предназначены для сбора информации о процессах,имеющих чётко фиксированное начало и окончание процесса или явления. ® Предприятия ® Население


Рисунок 1.1.

Виды статистического наблюдения.

В целях успешного проведения статистического наблюдения разрабатывается организационный план. Это основной документ, в котором отображаются важнейшие вопросы организации и проведения намеченных мероприятий. В организационном плане указываются: органы наблюдения, время наблюдения, сроки наблюдения, а также подготовительные работы к наблюдению, в том числе порядок комплектования и обучения кадров, необходимых для проведения наблюдения, порядок его проведения, приема и сдачи материалов, получения и представления предварительных и окончательных итогов. Любое статистическое наблюдение ставит задачу получения таких данных, которые точнее бы отображали действительность, точность и достоверность собираемой статистической информации - важнейшая задача статистического наблюдения. Чем ближе величина показателей, полученных в, результате статистического наблюдения, к фактическим их значениям, тем выше точность статистического наблюдения.Отклонения между исчисленными показателями и действительными величинами исследуемых явлений нашли отражение в показателях, называемых ошибкам" или погрешностями.

.        Метод статистической сводки и группировки:

Данный метод предназначен для обработки и анализы первичной статистической информации.Группировка представляет собой разделение едениц совокупности на группы по определённому признаку.Признак,положенный в основу группировки,называется группировочным.В результате группировки получаются группы(интервалы)которые могут быть равные и не равные,закрытые или открытые.В закрытых группах присутствуют и нижние и верхние границы интервала.В открытых интервалах присутствует либо верхняя граница,либо нижняя.

Алгоритм проведения статистической группировки:

)        Определить колличество групп, на которые можно разбить еденицы статистической совокупности.Определяется с помощью формулы Стерджеса n=1+3.322 lgN (1)

)        Определение велечины интервала

 

3)      Построение групп:

Группа № 1 [XminдоXmin+i)

Группа № 2[Xmin+iдоXmin+2i)

Группа № 3[Xmin+2iдоXmin+3i)

Группа № n[XminдоXmax+i]

Статистическая сводка включает в себя статистическую группировку,построение статистических таблиц,подведение итогов,получение первых обобщающих показателей.

Аналитическая группировка предназначена для выявления разнозначия между признаками.В основу группировки положен признак-фактор - признак,значение которого оказывает влияние на изменение значений др. признака.

Признак-результат - признак,значение которого изменяется под влиянием другого признака.

.        Графический метод:

Статистический график,чертёж на котором с помощью геометрических фигур,знаков или символов отображается статистическая информация.Основными элементами статистического графика являются:

)        Поле графика-место,на котором изображается статистический график.

)        Пространственные ориентиры.В качестве ориентиров используются декартовые или полярные системы координат.

)        Масштабные ориентиры-масштаб.

)        Графический образ-геометрические фигуры,знаки и символы,с помощью которых отображается статистическая информация.

)        Эксприкация графика-текст,сопровождающий график.

Статистические графики классифицируются по следующим признакам

─       По способу построения (диаграммы,картограммы,картодиограммы.) Диаграммы-наиболее распространённый вид статистического графика.Статистическая информация отображается с помощью геометрических фигур.Различают линейные диаграммы,ленточные,столбиковые и круговые.Круговые диаграммы предназначены для отображения структурного изучения явления. Картограмма-карта или план местности,на котором с помощью цвета или штриховки отображается статистическая информация. Картодиаграмма-объединение карты или плана местности с любым видом диаграммы.

─       По графическому образу.Графики бывают:фигурные,фоновые или цветные,точечные,штриховые.

─       По кругу решённых задач. Различают графики динамики,сравнения, структуры.

4.      Табличный метод.

Табличный метод - метод объединения данных на этапе первичного описательного анализа данных. Статистическая таблица - это система строк и столбцов, в которой в определенной последовательности излагается статистическая информация об изучаемом явлении или процессе. Для того,чтобы цифры в вашей таблице "читались", нужно уметь правильно строить и оформлять таблицы.

Табличный метод изображения статистических данных имеет универсальное значение, его используют во всех сферах деятельности. Представить массивы данных об изучаемом объекте удобнее всего в виде сводной таблицы. С помощью статистических таблиц осуществляется представление данных результатов статистического наблюдения (опросов, исследований и т.д.), сводки и группировки данных. Статистическая таблица - это форма компактного и наглядного представления информации.

.        Метод обобщающих показателей.

В результате сводки статистических данных получают обобщающие показатели, в которых отражаются результаты познания количественной стороны изучаемых явлений. Обобщающие статистические показатели отражают количественную сторону изучаемой совокупности общественных явлений и представляют собой их величину, выраженную соответствующими единицами измерения. Эти статистические величины характеризуют объемы изучаемых процессов, т. е. численность работников, объем товарооборота и др.; их уровни (например, уровень производительности труда); соотношение (например, между продавцами и другими категориями работников) и др.

На практике исчисляют разнообразные статистические показатели, относящиеся ко многим сторонам жизни общества. Отображая экономические категории, статистические показатели имеют взаимосвязанные количественную и качественную стороны. Качественная сторона показателя отображается в его содержании безотносительно к конкретному размеру признака, например, при раскрытии розничного товарооборота через экономическую теорию. Количественная сторона статистического показателя - его числовое значение.

.        Метод рядов динамики.

Ряд динамики (или временной ряд) - это числовые значения определенного статистического показателя в последовательные моменты или периоды времени (т.е. расположенные в хронологическом порядке).

Анализ рядов динамики начинается с определения того, как именно изменяются уровни ряда (увеличиваются, уменьшаются или остаются неизменными) в абсолютном и относительном выражении. Чтобы проследить за направлением и размером изменений уровней во времени, для рядов динамики рассчитывают показатели изменения уровней ряда динамики:

─             абсолютное изменение (абсолютный прирост);

─             относительное изменение (темп роста или индекс динамики);

─             темп изменения (темп прироста).

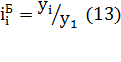
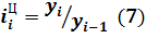
Все эти показатели могут определяться базисным способом, когда уровень данного периода сравнивается с первым (базисным) периодом, либо цепным способом - когда сравниваются два уровня соседних периодов.

Базисное абсолютное изменение представляет собой разность конкретного и первого уровней ряда, определяется по формуле

 

Оно показывает, на сколько (в единицах показателей ряда) уровень одного (i-того) периода больше или меньше первого (базисного) уровня, и, следовательно, может иметь знак "+" (при увеличении уровней) или "-" (при уменьшении уровней).

Цепное абсолютное изменение представляет собой разность конкретного и предыдущего уровней ряда, определяется по формуле

 

Оно показывает, на сколько (в единицах показателей ряда) уровень одного (i-того) периода больше или меньше предыдущего уровня, и может иметь знак "+" или "-".

Между базисными и цепными абсолютными изменениями существует взаимосвязь: сумма цепных абсолютных изменений равна последнему базисному изменению, то есть

 

Базисное относительное изменение (базисный темп роста или базисный индекс динамики) представляет собой соотношение конкретного и первого уровней ряда, определяясь по формуле

 

Цепное относительное изменение (цепной темп роста или цепной индекс динамики) представляет собой соотношение конкретного и предыдущего уровней ряда, определяясь по формуле

 

Темп изменения (темп прироста) уровней - относительный показатель, показывающий, на сколько процентов данный уровень больше (или меньше) другого, принимаемого за базу сравнения. Он рассчитывается путем вычитания из относительного изменения 100%, то есть по формуле:

 

или как процентное отношение абсолютного изменения к тому уровню, по сравнению с которым рассчитано абсолютное изменение (базисный уровень), то есть по формуле:

 

7.      Метод показателей вариации.

Вариация - это различия индивидуальных значений признака у единиц изучаемой совокупности. Исследование вариации имеет большое практическое значение и является необходимым звеном в экономическом анализе. Необходимость изучения вариации связана с тем, что средняя, являясь равнодействующей, выполняет свою основную задачу с разной степенью точности: чем меньше различия индивидуальных значений признака, подлежащих осреднению, тем однороднее совокупность, а, следовательно, точнее и надежнее средняя, и наоборот. Следовательно по степени вариации можно судить о границах вариации признака, однородности совокупности по данному признаку, типичности средней, взаимосвязи факторов, определяющих вариацию.

Изменение вариации признака в совокупности осуществляется с помощью абсолютных и относительных показателей.

8.      Индексный метод.

Индексный метод основан на относительных показателях динамики, пространственных сравнений, выполнения плана, выражающих отношение фактического уровня анализируемого показателя в отчетном периоде к его уровню в базисном периоде (или к плановому или по другому объекту).

С помощью агрегатных индексов можно выявить влияние различных факторов на изменение уровня результативных показателей в мультипликативных и кратных моделях.

.        Метод выборочного наблюдения.

Выборочное наблюдение относится к разновидности не сплошного наблюдения. Оно охватывает отобранную часть единиц генеральной совокупности. Цель выборочного наблюдения - по отобранной части единиц дать характеристику всей совокупности единиц. Чтобы отобранная часть была репрезентативна (т.е. представляла всю совокупность единиц), выборочное наблюдение должно быть специально организовано. Следовательно, в отличие от генеральной совокупности, представляющей всю совокупность исследуемых единиц, выборочная совокупность представляет ту часть единиц генеральной совокупности, которая является объектом непосредственного наблюдения.

По понятным причинам выборочный метод может широко использоваться органами государственной статистики. Он позволяет при значительной экономии средств и затрат получать необходимую достоверную информацию. Гарантия репрезентативности обеспечивается применением научно обоснованных способов отбора единиц, которые подлежат обследованию.

.        Корреляционно-регрессионный анализ.

Корреляционно-регрессионный анализ - классический метод стохастического моделирования хозяйственной деятельности. Он изучает взаимосвязи показателей хозяйственной деятельности, когда зависимость между ними не является строго функциональной и искажена влиянием посторонних, случайных факторов. При проведении корреляционно-регрессионного анализа строят различные корреляционные и регрессионные модели хозяйственной деятельности. В этих моделях выделяют факторные и результативные показатели (признаки).

Корреляционный анализ ставит задачу измерить тесноту связи между варьирующими переменными и оценить факторы, оказывающие наибольшее влияние на результативный признак.

Регрессионный анализ предназначен для выбора формы связи и типа модели для определения расчетных значений зависимой переменной (результативного признака).

Методы корреляционного и регрессионного анализа используются в комплексе. Наиболее разработанной в теории и широко применяемой на практике является парная корреляция, когда исследуются соотношения результативного признака и одного факторного признака. Это - однофакторный корреляционный и регрессионный анализ.

 

.2 Показатели потребления товаров и услуг


Ведущую роль в измерении процессов потребления играют стоимостные показатели, главным достоинством которых является возможность сбора информации о самых различных по своим потребительским свойствам товарах и услугах. Вместе с тем нельзя оставить без внимания вещественное содержание этих товаров и услуг, для измерения которых пригодны только показатели, построенные на основе натуральных единиц измерения.

При таком подходе обеспечивается возможность оценки объемов среднего душевого потребления отдельных видов продовольственных и непродовольственных товаров, характеристики их потребительских свойств и качественных параметров, измерения калорийности пищевых рационов и т.д..

В статистике используют следующие показатели расходов и потребления населения: потребительские расходы населения, фактическое конечное потребление домашних хозяйств, расходы на конечное потребление домашних хозяйств, коэффициент удовлетворения потребностей в определенном товаре, коэффициент удовлетворения потребностей населения по всем потребительским товарам и услугам, индивидуальный индекс объема потребления отдельных продуктов, индивидуальный индекс среднедушевого потребления, общий индекс физического объема потребления, общий индекс потребления на душу населения, коэффициент эластичности потребления от изменения дохода и т.д.

Комплекс статистических показателей потребления, выраженных в натуральных единицах, включает характеристики годового объема потребления на душу населения основных видов продуктов питания, предметов личного и семейного пользования, а также различного рода услуг. Определяется наличие предметов длительного пользования (автомобилей, телефонных аппаратов, телевизоров, стиральных машин и др.) в расчете на 100 домохозяйств. Соответствующие данные исчисляются на федеральном и региональном уровнях, проводятся межстрановые и динамические сопоставления, то позволяет углубленно и конкретно оценивать уровень жизни населения.

Для характеристики потребления отдельных видов товаров и услуг используют показатели объема потребления в натуральном выражении.

В составе товаров и услуг, потребляемых населением, выделяют -

─       Продукты питания;

─       Непродовольственные товары;

─       Услуги.

Объем потребления продуктов питания определяется с учетом как прямого (по конкретным продуктам - молоко, масло, сыр), так и косвенного потребления (потребление молочных продуктов в пересчете на молоко). Учитывается потребление по следующим группам продуктов питания: мясо и мясопродукты в пересчете на мясо, молоко и молочные продукты в пересчете на молоко, яйца, рыба и рыбопродукты, сахар и кондитерские изделия, масло растительное и другие жиры, картофель, овощи и бахчевые, фрукты и ягоды, хлебные продукты.

К основным источникам информации, характеризующим потребление населения, относятся:

─       данные выборочного обследования бюджетов домашних хозяйств, на базе которых строятся натуральные и стоимостные показатели потребления в расчете на душу населения и на потребительскую единицу; изучаются структура, динамика и дифференциация потребления;

─       данные торговой статистики об объеме и структуре розничного товарооборота;

─       баланс денежных доходов и расходов населения по данным финансовой статистики, определяющий соотношение в расходах населения на покупку товаров и услуг и на сбережения;

─       статистика деятельности предприятий и хозяйств, участвующих в формировании и использовании продовольственных ресурсов. На ее базе строятся балансы продовольственных ресурсов, определяется фонд потребления населением основных продуктов питания, и рассчитываются натуральные среднедушевые показатели потребления, изучается динамика потребления.

В СНС на макроуровне обобщающим стоимостным показателем потребления являются расходы домашних хозяйств на конечное потребление, отражающиеся на счете использования располагаемого дохода и включающие расходы на:

) конечное потребление домашних хозяйств (резидентов и нерезидентов) на экономической территории страны, охватывающее:

─       расходы на покупку потребительских товаров (кроме домов, квартир, покупки стройматериалов собственниками жилищ, ценностей);

─       расходы на оплату потребительских услуг (бытовых, пассажирского транспорта, связи, жилищно-коммунального хозяйства, туристско-экскурсионных, образования, культуры, здравоохранения, санаторно-курортных, физической культуры и спорта, правового характера) и финансовых услуг (банков, страховых компаний, организаций по проведению лотерей);

─       конечное потребление товаров и услуг за счет доходов, полученных в натуральной форме в счет оплаты труда;

─       потребление товаров и услуг, произведенных для собственного конечного потребления домашними хозяйствами в некорпоративных предприятиях (сельскохозяйственной продукции, произведенной в крестьянских, фермерских хозяйствах и личном подсобном хозяйстве населения, и жилищных услуг, произведенных для собственного потребления владельцами жилищ);

) покупку потребительских товаров и услуг домашними хозяйствами-резидентами за границей;

) покупку потребительских товаров и услуг домашними хозяйствами-нерезидентами на экономической территории страны.

Расходы на конечное потребление домашних хозяйств-резидентов определяются на основе рассмотренных ранее показателей 1), 2) и 3) как 1+2-3. Однако рассмотренный обобщающий показатель не учитывает стоимости потребленных населением бесплатных услуг.

Другим обобщающим стоимостным показателем потребления выступает фактическое конечное потребление домашних хозяйств, отражающее реальную величину, которая обеспечивается как за счет располагаемого дохода, так и за счет социальных трансфертов в натуральной форме, предоставляемых населению органами государственного управления и некоммерческими организациями, обслуживающими домашние хозяйства. Величина фактического конечного потребления отражается на счете использования скорректированного располагаемого дохода. Данный счет характеризует распределение скорректированного располагаемого дохода на фактическое конечное потребление и сбережение. При изучении потребления непродовольственных товаров краткосрочного использования выделяют следующие группы: одежда, обувь, белье, ткани; предметы для отдыха и увлечений; транспортные средства; строительные материалы; топливо; товары и принадлежности по ведению хозяйства, мебель; табачные изделия; предметы личной гигиены; фармацевтические и медицинские товары и др. Потребление этих товаров определяется посредством показателей в натуральном выражении в расчете на душу населения. Потребление предметов длительного пользования характеризуется показателями обеспеченности населения либо на 1000 человек, либо на 100 семей с выделением конкретных предметов культурно-бытового и хозяйственного назначения: телевизоры, радиоприемники, видеомагнитофоны и видеокамеры, персональные компьютеры, холодильники и морозильники, стиральные машины, электропылесосы, швейные и вязальные машины, легковые автомобили.

Помимо потребления товаров и услуг на душу населения применяется расчет и на условную потребительскую единицу, или на эквивалентного потребителя. В качестве таковой признано потребление взрослого мужчины, занятого механизированным трудом. По отношению к нему разработана шкала коэффициентов потребления продовольственных товаров.

Изучение потребления непродовольственных товаров по программе выборки бюджетов домашних хозяйств осуществляется по следующим видам: расходы на одежду, белье, обувь, ткани, мебель и предметы домашнего обихода, товары культурно-бытового назначения, транспортные средства, гигиенические, парфюмерные и фармацевтические средства, табачные изделия, строительные материалы и другие непродовольственные товары. Натуральные показатели потребления вычисляются по потреблению обуви и тканей. По остальным непродовольственным товарам рассчитываются лишь стоимостные показатели, а также структура потребления.

2. Статистические данные по расходам и потреблению товаров и услуг Псковской области

 

.1 Вычисление темпов изменения расходов и потребления товаров и услуг по Псковской области методом рядов динамики


Используя метод рядов динамики, определим темпы изменения общих денежных расходов населения по данным таблицы, приведенной в приложении 1.

 

 

 

Таблица 2.1 Динамика денежных расходов населением Псковской области в 2000-2012гг.

Год

y

2000

12991,9







2005

43019,6

30027,7

30027,7

3,311

3,311

231,13

231,13

2009

94172,9

81181

51153,3

7,249

2,189

624,86

393,73

2010

103903

90911,3

9730,3

7,998

1,103

699,75

74,90

2011

113896

100904

9992,6

8,767

1,096

776,67

76,91

2012

130814

117822

16918

10,069

1,149

906,89

130,22

Итого

*

*

117822

*

10,069

 *

906,89


Вывод: согласно расчету методом рядов динамики, общие денежные расходы жителей псковской области за последние 12 лет увеличились на 906,89%, что связано, в первую очередь, с высокими темпами инфляции в данном периоде времени (319,64%).

 

 

 

 

Используя метод рядов динамики, определим темпы изменения потребительских расходов населения.

Таблица 2,2 Расчётная таблица метода, используемая для определения темпов изменения потребительских расходов населением Псковской области методом рядов динамики.

Год

y

2000

9784,1







2005

36537,6

26753,5

26753,5

3,734

3,734

273,44

273,44

2009

70148,7

60364,6

33611,1

7,170

1,920

616,97

343,53

2010

77148

67363,9

6999,3

7,885

1,100

688,50

71,54

2011

90744,6

80960,5

13596,6

9,275

1,176

827,47

138,97

2012

100746,5

90962,4

10001,3

10,297

1,110

929,70

102,23

Итого



90962,4


10,297

 

929,70


Вывод: согласно расчету методом рядов динамики, общие денежные расходы жителей псковской области за последние 12 лет увеличились на 929,70%, что связано, в первую очередь, с высокими темпами инфляции в данном периоде времени (319,64%). При сравнении приведенных выше таблиц можно заметить, что темпы роста спроса на потребительские расходы немного превысил темпы роста общих денежных расходов,

 


2.2 Графический метод наглядного изображения изменения расходов и потребления товаров и услуг по Псковской области


Используя графический метод, представим изменение расходов населения Псковской области по категориям в виде графика и диаграмм.

Рисунок 2.1. График расходов населения Псковской области.

На представленных ниже диаграммах более детально отражено изменение расходов домашних хозяйств жителей Псковской области за прошедшие 11 лет.

Рисунок 2.2. Диаграмма расходов населения Псковской области в 2001 году.

Рисунок 2.3. Диаграмма расходов населения Псковской области в 2012 году.

Вывод: как можно увидеть из приведенных диаграмм, за последние 11 лет расходы жителей Псковской области на покупку товаров и услуг уменьшилось приблизительно на 7%, в то время как расходы на приобретение недвижимости и прирост финансовых активов увеличились вдвое, а расходы на обязательные товары и платежи почти не изменились.

На таблице, изображенной в приложении 2, представлена структура потребительских расходов домашних хозяйств. На изображенных ниже диаграммах представлено графическое изображение таблицы, отображающей изменения структуры потребления домашних хозяйств за последние 11 лет.

Рисунок 2.4. Диаграмма структуры потребления домашних хозяйств Псковской области в 2000 году.

Рисунок 2.5. Диаграмма структуры потребления домашних хозяйств Псковской области в 2012 году.

Вывод: Как мы можем видеть из данных диаграмм, за последние 11 лет потребление продуктов домашнего питания и алкогольных напитков значительно уменьшилось, что компенсируется увеличившимся спросом на услуги, питание вне дома и непродовольственные товары. На таблице, изображенной в приложении 3, представлена структура потребительских расходов домашних хозяйств по группам населения с различным уровнем располагаемых ресурсов. Для облегчения восприятия представленной в приложении 3 таблицы ниже изображены диаграммы, иллюстрирующие структуру потребительских расходов домашних хозяйств по группам населения с различным уровнем располагаемых ресурсов в 2012 году.

Рисунок 2.6. Диаграмма структуры потребительских расходов домашних хозяйств Псковской области, относящихся к первой группе, в 2012 году.

Рисунок 2.7. Диаграмма структуры потребительских расходов домашних хозяйств Псковской области, относящихся ко второй группе, в 2012 году.

Рисунок 2.8. Диаграмма структуры потребительских расходов домашних хозяйств Псковской области, относящихся к третьей группе, в 2012 году.

потребление товар расходы динамика

Рисунок 2.9. Диаграмма структуры потребительских расходов домашних хозяйств Псковской области, относящихся к четвертой группе, в 2012 году.

Рисунок 2.10. Диаграмма структуры потребительских расходов домашних хозяйств Псковской области, относящихся к пятой группе, в 2012 году.

Вывод: Как можно увидеть из приведенных выше диаграмм, с увеличением количества располагаемых ресурсов группой населения, увеличивается потребление этой группой непродовольственных товаров, и спрос на питание вне дома, но в то же время потребление продуктов для домашнего питания падает.

Заключение


Потребление является заключительной стадией воспроизводственного процесса, сводящейся к использованию произведенного продукта для удовлетворения определенных потребностей.

Основные задачи статистики потребления населения как важнейшей составляющей уровня его жизни связаны с разработкой Системы показателей потребления, натуральных и стоимостных, индивидуальных, семейных и сводных потребительских расходов, и потребительской корзины, исследованием структуры потребительских расходов, эластичности и дифференциации потребления, динамики потребления населения и потребительских цен, покупательной способности денег.

Главным источником статистической информации о финансовой ситуации домашних хозяйств является баланс денежных доходов и расходов населения, составляемый Госкомстатом России ежеквартально и в целом за год. Он позволяет охарактеризовать кругооборот денежных доходов и расходов населения и его отдельных социально-профессиональных групп в непосредственной связи с кругооборотом национального доход стран.

Статистическое изучение потребления позволяет не только сформировать систему адекватных показателей для его оценки, но и определить территориальные и динамические различия в потреблении товаров и услуг.

Список литературы


1.      Айвазян С.А. Прикладная статистика и основы эконометрики: учеб. для вузов / Мхитарян В.С. - М.: ЮНИТИ, 2001.- 1022 c.

.        Гусаров В.М. Статистика: учеб. для вузов - М.: ЮНИТИ - ДАНА, 2009. - 463 с.

.        Назаров М.Г. Курс социально - экономической статистики:учеб. для вузов - М.: ЮНИТИ, 2010.-771 с.

.        Елисеева И.И. Социальная статистика: учеб. для вузов - 3-е изд., перераб. и доп. - М.: Финансы и статистика, 2003. - 480 с.

.        Валиуллина В.Г. Псковский статистический ежегодник /Кельчевская Г. Р - Псковстат - П., 2013. - 424 с.

6.      Шерстнева Г. С. Социальная статистика: конспект лекций - М.: Эксмо, 2009. - 156 с.



Приложение 1


Таблица 1 Расходы населения Псковской области за период 2000-2012 годов по данным "Псковского статистического ежегодника".


2000

2005

2009

2010

2011

2012

Миллионов рублей


Денежные расходы и сбережения - всего

12991,9

43019,6

94172,9

103903,2

113895,8

130813,8

в том числе:


покупка товаров и оплата услуг

9784,1

36537,6

70148,7

77148,0

90744,6

100746,5

обязательные платежи и разнообразные взносы

731,6

3855,5

8047,1

8705,0

10258,2

12691,3

приобретение недвижимости

57,4

276,4

286,9

975,5

1366,1

2133,4

прирост финансовых активов

2418,8

2350,1

15690,2

17074,7

11526,9

15242,6

из него прирост (+)/ уменьшение (-) денег на руках у населения

+1142,0

-3422,3

+2717,1

+3864,4

+2553,7

+390,9

В процентах к итогу


Денежные расходы и сбережения - всего

100

100

100

100

100

100

в том числе:


покупка товаров и оплата услуг

75,3

84,9

74,5

74,3

79,7

77,0

обязательные платежи и разнообразные взносы

5,6

9,0

8,5

8,4

9,0

9,7

приобретение недвижимости

0,5

0,6

0,3

0,9

1,2

1,6

прирост финансовых активов

18,6

5,5

16,7

16,4

10,1

11,7

из него прирост (+)/ уменьшение (-) денег на руках у населения

+8,8

-8,0

+2,9

+3,7

+2,2

+0,3



Приложение 2

Таблица 2 Потребительские расходы населения Псковской области за период 2000-2012 годов (по материалам выборочного обследования бюджетов домашних хозяйств; в процентах к итогу) по данным "Псковского статистического ежегодника".


2000

2005

2009

2010

2011

2012

Потребительские расходы - всего

100

100

100

100

100

100

в том числе по целям потребления:

продукты для домашнего питания

57,5

42,5

33,6

36,5

34,0

32,1

в том числе:

хлеб и хлебные продукты

14,1

8,8

6,1

6,1

5,7

5,2

картофель

0,9

0,7

0,4

0,6

0,7

0,4

овощи и бахчевые

1,9

2,2

2,0

1,9

1,9

1,7

фрукты и ягоды

1,3

1,8

1,6

2,2

2,1

2,0

мясо и мясные продукты

14,1

12,5

10,0

10,3

9,4

9,7

рыба и рыбные продукты

3,0

2,2

1,8

2,1

1,9

2,0

молоко и молочные продукты

6,6

5,8

4,8

6,0

5,5

5,0

сахар и кондитерские изделия

7,9

3,0

2,4

2,9

2,6

2,2

яйца

1,8

1,0

0,5

0,6

0,5

0,5

масло растительное и другие жиры

2,7

1,3

0,9

0,8

0,8

0,6

чай, кофе, безалкогольные напит-ки и другие продукты питания

3,2

3,2

3,1

3,0

2,9

2,8

питание вне дома (общественное питание)

1,0

1,2

1,1

1,1

1,4

1,6

алкогольные напитки

3,1

2,2

2,2

1,7

1,7

1,8

непродовольственные товары

27,2

35,2

40,4

39,0

40,8

41,9

в том числе:

одежда, обувь, белье, ткани

11,9

9,6

9,9

8,8

9,2

7,6

Телерадиоаппаратура, предметы для отдыха и увлечений

3,6

5,5

3,6

4,6

4,0

3,7

транспортные средства

0,5

1,8

9,6

6,5

10,6

12,7

строительные материалы

1,4

1,0

1,3

2,5

1,0

1,4

топливо

1,7

2,2

2,6

3,8

3,7

3,5

мебель, домашнее оборудование, предметы для ухода за домом

3,4

8,2

5,9

5,3

5,0

5,9

медицинские товары, предметы гигиены

3,1

4,7

5,1

5,1

5,1

4,5

табачные изделия

1,2

0,8

0,7

0,8

0,7

1,0

другие непродовольственные товары

0,4

1,4

1,7

1,6

1,5

1,6

услуги

11,2

18,9

22,7

21,7

22,1

22,6

в том числе:

жилищно-коммунальные услуги

5,1

7,9

7,9

9,0

9,2

8,6

из них:

жилье

1,2

1,6

1,4

1,0

1,0

1,1

электроэнергия

1,2

1,3

1,2

1,7

1,6

1,6

газ

0,7

0,6

0,7

0,9

0,7

0,7

центральное отопление

0,7

1,6

1,9

2,4

2,6

2,5

вода и другие коммунальные услуги

1,3

2,8

2,7

3,0

3,3

2,7

другие бытовые услуги

1,4

1,7

2,0

2,0

2,2

2,2

услуги учреждений культуры

0,4

0,7

2,4

1,3

1,6

2,0

услуги в системе образования

0,9

1,3

2,2

1,1

1,1

из них в системе дошкольного воспитания

0,2

0,3

0,5

0,4

0,4

0,4

медицинские услуги

0,2

0,9

1,2

0,9

0,9

1,4

санаторно-оздоровительные услуги

0,1

0,2

0,1

0,5

0,7

0,6

услуги правового характера

0,0

0,04

0,05

0,1

0,05

0,03

услуги пассажирского транспорта

1,6

2,5

2,8

2,3

2,4

2,2

услуги связи

1,4

2,9

3,5

3,6

3,4

3,1

прочие услуги

0,1

0,8

0,6

0,8

0,6

1,4



Приложение 3

Таблица 3 Структура потребительских расходов домашних хозяйств по группам населения с различным уровнем располагаемых ресурсов в 2012 году (по материалам выборочного обследования бюджетов домашних хозяйств; в процентах к итогу).


Все домохозяйства

из них по 20-процентным группам населения



первая (с наименьшими располагаемыми ресурсами)

2-ая

3-ая

4-ая

пятая (с наибольшими располагаемыми ресурсами)

Потребительские расходы - всего

100

100

100

100

100

100

в том числе по целям потребления:

продукты для домашнего питания

32,1

51,9

46,5

40,4

33,5

22,6

в том числе:

хлеб и хлебные продукты

5,2

10,5

8,5

6,8

4,8

3,3

картофель

0,4

0,9

0,7

0,5

0,3

0,2

овощи и бахчевые

1,7

2,3

2,2

2,1

2,0

1,3

фрукты и ягоды

2,0

2,3

2,3

2,5

2,4

1,5

мясо и мясные продукты

9,7

15,5

14,0

12,0

9,7

7,0

рыба и рыбные продукты

2,0

2,7

2,3

2,1

2,2

1,8

молоко и молочные продукты

5,0

7,7

7,6

6,8

5,4

3,3

сахар и кондитерские изделия

2,2

2,8

3,0

2,7

2,4

1,6

яйца

0,5

1,1

0,9

0,7

0,5

0,3

масло растительное и другие жиры

0,6

1,4

1,2

0,8

0,6

0,4

чай, кофе, безалкогольные напитки и другие продукты питания

2,8

4,7

3,8

3,4

3,2

1,9

питание вне дома (общественное питание)

1,6

0,8

0,4

0,6

2,3

2,0

алкогольные напитки

1,8

0,9

1,7

1,8

2,6

1,6

непродовольственные товары

41,9

19,9

26,2

33,5

36,9

53,8

в том числе:

 

одежда, обувь, белье, ткани

7,6

6,2

6,3

8,9

8,4

7,4

Телерадиоаппаратура, предметы для отдыха и увлечений

3,7

1,6

3,3

3,3

4,6

3,7

транспортные средства

12,7

0,5

0,8

2,5

4,3

24,7

строительные материалы

1,4

0,4

0,5

2,0

1,5

1,5

топливо

3,5

2,2

4,0

3,7

4,2

3,2

мебель, домашнее оборудование, предметы для ухода за домом

5,9

1,9

3,2

5,7

5,9

7,1

медицинские товары, предметы гигиены

4,5

4,3

5,6

4,9

5,1

3,8

табачные изделия

1,0

2,0

1,6

1,2

1,2

0,5

другие непродовольственные товары

1,6

0,8

0,9

1,3

1,7

1,9

услуги

22,6

26,5

25,2

23,7

24,7

20,0

в том числе:

жилищно-коммунальные услуги

8,6

16,9

13,4

10,5

9,5

5,2

из них:

 

жилье

1,1

0,3

1,0

0,9

1,8

0,9

электроэнергия

1,6

3,8

2,9

2,1

1,4

0,8

газ

0,7

1,5

1,3

1,1

0,6

0,4

центральное отопление

2,5

6,6

4,2

3,1

2,5

1,3

вода и другие коммунальные услуги

2,7

4,7

4,0

3,3

3,2

1,8

другие бытовые услуги

2,2

0,5

1,0

1,6

2,6

2,7

услуги учреждений культуры

2,0

0,8

0,7

1,1

1,8

2,8

услуги в системе образования

1,1

1,8

2,2

1,7

1,2

0,5

из них в системе дошкольного воспитания

0,4

1,7

0,6

0,7

0,3

0,1

медицинские услуги

1,4

0,1

0,5

1,3

1,4

1,8

санаторно-оздоровительные услуги

0,6

-

0,0

0,1

1,6

0,5

услуги правового характера

0,03

0,02

0,02

0,1

0,03

0,02

услуги пассажирского транспорта

2,2

1,8

2,1

2,7

2,4

2,1

услуги связи

3,1

4,4

4,8

3,9

2,3

прочие услуги

1,4

0,2

0,5

0,7

1,1

2,1


Похожие работы на - Статическое изучение расходов населения и потребления товаров и услуг в Псковской области

 

Не нашли материал для своей работы?
Поможем написать уникальную работу
Без плагиата!
Без нейросетей!