Статистическое исследование уровня цен и инфляции
Содержание
Введение
. Понятие и сущность инфляции
. Динамика
. Индексный метод
4. Взаимосвязи
социально-экономических явлений и процессов
Практика
1. Понятие и сущность инфляции
Инфляция - обесценение бумажных
денег и безналичных денежных средств, сопровождающееся ростом цен на товары и
услуги в экономике, падением уровня реальных доходов, неудовлетворенностью
платежного спроса населения. [1]
Сущностью инфляции является
дисбаланс между совокупным предложением и совокупным спросом в сторону
превышения последнего, сложившийся одновременно на всех рынках (на товарном,
денежном и рынке ресурсов). Этот дисбаланс проявляется в разных формах. В
рыночной экономике, т.е. в условиях относительной гибкости и мобильности
ценового сигнала, превышение совокупного спроса над совокупным предложением
выражается в росте общего уровня цен. Это - открытая форма инфляции. В
экономике с фиксированными ценами возникшая недостаточность предложения по
отношению к спросу сохраняет форму дефицита, не перерастая (при прочих равных условиях)
в открытую инфляцию. Некоторые экономисты полагают, что дефицит - это антипод
открытой инфляции: если отпустить цены, то дефицит быстро исчезнет, но за это
придется «заплатить» повышением общего уровня цен. Поэтому многие экономисты
считают дефицит проявлением инфляции в скрытой форме.
Именно в виде тотального
дефицита, развивающегося на всех уровнях производства и потребления,
проявляется инфляция в экономике с негибким, фиксированным ценообразованием,
т.е. в централизованной экономике (например, в командно - административной
системе), где решения об объемах распределения, производства, потребления и
ценах принимаются из единого центра. Нарастающий дефицит сопровождается
очередями, снижением качества товаров и услуг, развитием бюрократического рынка,
на которых товарные цены, выраженные в денежных единицах или в объеме услуг,
предоставляемых в обмен на товары, растут в унисон с дефицитом. Это скрытая
форма инфляции, или подавленная инфляция.
Для экономики СССР длительное
время была характерна подавленная инфляция, которая выражалась в росте
неудовлетворительного спроса и денежных сбережений населения, которые не
находили реализации. Норма сбережений в приросте дохода в 1969 г. составляла
50%, в 1976 - 79, в 1984 - 100%. Часто сбережения являлись вынужденными,
инфляционный разрыв составлял 40%. Дефицит порождал очереди, теневую экономику,
ослабевали стимулы к труду.
В результате подавленной
инфляции товарный дефицит становится видимой стороной невидимого инфляционного
процесса, поскольку на то же количество товаров приходится большее количество
денежных знаков. В рыночной экономике диспропорция нашла бы естественный выход
в виде роста денежных цен. Можно сказать, что при подавленной инфляции только
часть денежных знаков являются деньгами. Покупатели, желая подтвердить значение
своих денег, стараются приобрести дефицитный товар. Появляется «черный рынок» -
нелегальная форма инфляции в условиях ее подавления. «Черный рынок» в какой -
то мере показывает подлинные цены товаров, а иллюзия неизменности цен создает
видимость экономического благосостояния, вводя в заблуждение продавцов и
покупателей.
Напротив, проявление дисбаланса
между спросом и предложением в виде открытой формы инфляции, т.е. в росте цен,
сопровождается снижением покупательной способности и обесценением денег по
отношению к конечным товарам и ресурсам. Однако инфляция не означает, что все
цены в экономике стремятся к повышению. Цены могут колебаться одновременно с
разной скоростью и разнонаправлено на межотраслевом и внутриотраслевом уровне.
Инфляцию, сопровождающуюся ценовой разбалансированностью, когда в одних
секторах цены растут разными темпами, а в других могут сокращаться, называют
несбалансированной инфляцией. Ее сложнее выявить и урегулировать, чем
сбалансированную инфляцию, при которой цены изменяются в одном направлении и
примерно одинаковыми темпами. Главное при определении открытой инфляции -
установить, что общий уровень цен повышается.
Открытая инфляция обычно
измеряется в темпах прироста уровня цен за год, и подсчитывается в процентах:
Х = Р1-P0/P0*100%,
где Х - темп инфляции в
процентах за год, p1 - уровень данного года, p0 - уровень цен предшествующего
года. В качестве показателя уровня цен используется дефлятор ВВП, но так же
можно использовать индекс потребительских цен и индекс промышленных цен.
Необходимо иметь в виду, что не
любое повышение цен - инфляция. С понятием открытой инфляции не следует
смешивать рост цен, вызванный, например, сезонными колебаниями спроса и
предложения, природными катаклизмами и, что очень важно, экономическими
циклами. Рост цен, происходящий не по причине искажения оценки ресурсов,
товаров и услуг, нарушающего пропорции обмена и распределения, а по каким - то
другим причинам, инфляцией не является. Например, повышение квалификации и,
соответственно, производительности рабочей силы, подлежит большему
вознаграждению. Если заработная плата увеличивается адекватно росту
производительности труда, и, соответственно, повышается уровень цен - это не
инфляция. А вот когда рост заработной платы превысит рост производительности,
т. е. Произойдет завышенная оценка фактора производства, тогда речь идет об
инфляции.
Поэтому при оценке инфляции
необходимо очистить цены от неинфляционных колебаний. Так, если в экономике
ежемесячный темп инфляции составляет 7%, а цены на с/х продукцию сезонно
снизились, скажем, на 1,5%, то нельзя утверждать, что в этот период инфляция
снизилась до 5,5% в месяц.
Классификация инфляции возможна
на основе различных критериев: социально-экономических условий, типа денежной
системы, факторов и степени инфляционных процессов. Наибольшее распространение
получила классификация процесса инфляции по степени его интенсивности. Темп
нарастания инфляции меняет ее характер; границы между различными видами
инфляции достаточно условны и подвижны:
Нормальная инфляция - темпы
растут медленно, примерно 3 - 3,5% в год; масштаб инфляции поддается контролю;
Умеренная инфляция (ползучая) -
темпы достигают до 10 % в год; такая инфляция признается относительно
безвредной и вполне соответствующей нормальному экономическому развитию в
целом; масштабы ее не приводят к непредвиденным нарушениям, особенно в
распределении национального дохода между различными социальными группами;
Галопирующая инфляция -
характеризуется ростом цен от 10 до 100% в год. Деньги обесцениваются довольно
быстро, поэтому в качестве цен для сделок либо используют устойчивую валюту,
либо в ценах учитывается ожидаемые темпы инфляции на момент платежа. Другими
словами, сделки (контракты) начинают индексироваться.
Гиперинфляция - начинается при
повышении цен более чем на 50% в месяц на протяжении длительного периода
времени - полугодия или более; за год цены повышаются не менее чем в 130 раз,
при этом деньги вытесняются из оборота, уступая место товарному бартеру.
Расходование заработной платы и рост цен принимают катастрофический характер,
что сказывается на благосостоянии населения, причем даже наиболее обеспеченных
слоев. Социально - экономические издержки требуют принятия мер для обуздания
самой инфляции.
Из всех видов инфляции наиболее
губительной для экономики является гиперинфляция, сопровождаемая
астрономическим ростом денежной массы в обращении и, как следствие,
катастрофическим ростом цен на потребительские товары. Роль самих денег в этих
условиях сильно падает, население переходит на другие, гораздо менее
эффективные формы расчета. Появляются параллельные валюты, в том числе
иностранные, а также квазиденьги (талоны, карточки и т.п.).
Характерные черты проявления
гиперинфляции:
Разрушение нормальных
экономических отношении;
Взаиморасчеты принимают
бартерный характер;
Производители и потребители
избавляются от денег, вкладывая их в непроизводительные ценности;
Растет спекулятивная
деятельность;
Сворачивается производство, и
накапливаются товары в расчете на их удорожание;
Обесцениваются накопления
целого поколения людей.
От гиперинфляции в первую
очередь страдают население, имеющее фиксированные доходы, вкладчики - кредиторы
и предприниматели, а выигрывают - частные фирмы, обладающие возможностями
регулировать заработную плату; фирмы - посредники торгующие драгоценностями,
стоимость которых в период инфляции растет неизмеримо быстрее, чем уровень
жизни. Классическими примерами гиперинфляции принято считать положение
экономики Никарагуа в период гражданской войны (1979), когда среднегодовой прирост
цен составил 33000%. Другой пример - послевоенная Венгрия. Однако абсолютный
рекорд был установлен во время военных событий в бывшей союзной республике
Югославии - Сербии (1996). В результате экономического эмбарго мирового
сообщества рост цен там составил 3000000000% при средней заработной плате 1 DM.
При этом цены выросли еще значительнее, а многие промышленные товары не
появлялись на прилавках магазинов. В России в первой половине 1997 г. темпы
инфляции составили 17 - 20% в месяц или около 700% в год, что указывает на все
признаки гиперинфляции.
В условиях тоталитарного
режима, в социалистической экономике, явление инфляции не «замечалось».
Считалось, что поскольку количество денег в обращении устанавливается
планомерно в соответствии с потребностями розничного товарооборота, то инфляция
не может возникнуть. При этом не учитывалось, что инфляция может носить скрытый
характер, проявляющийся в товарном дефиците. Именно эта причина - сокращение
объема производства - обострила в 1990 г. инфляционные процессы. Особенностью
экономического кризиса России явилось то, что он не сопровождался падением
доходов предприятий и населения, что усугубило инфляцию.
Для западной экономики формула
«инфляция - рост цен» оказалась неприемлемой, потому что «там» инфляция означает
рост цен при сохранении баланса спроса и предложения. Для Запада главное - цены
и их общий уровень. В России понятие инфляции также связано с ценами, но уже в
другом ракурсе: деньги у населения есть, а купить нечего, что явилось
результатом либерализации цен.
Понятие инфляции в России имеет
собственное свойство и не укладывается в рамки классического представления.
Понятие инфляционной ситуации, когда эффективный спрос превышает предложение
товаров и услуг распространяется не только на потребительский рынок, но и на
рынок изделий производственно - технического назначения. Отсюда - популярное
определение инфляции: переполнение денежного обращения бумажными денежными
знаками и их обесценение, т. е. превышение количества денежных знаков над
находящимся в обращении товарным обеспечением.
Как бы то ни было, инфляцию
следует рассматривать как:
Нарушение действий законов
денежного обращения, что вызывает расстройство государственной кредитно -
денежной системы;
Явный или скрытый рост цен;
Снижение жизненного уровня
населения;
Натурализация процессов обмена.
Инфляция - сложный социально -
экономический процесс, который в разные периоды развития российской экономики
трактовался по - разному: в 30-е годы - как чрезмерный выпуск денежных знаков
сверх потребностей оборота; в 40-е как любое обесценивание бумажных денег; в
50-е - как переполнение каналов обращения избыточной массой бумажных денег по
сравнению с количеством золота, необходимого для обращения; в 60 - 70-е - как
многофакторное явление, не имеющее однозначного толкования.
Таким образом, инфляция -
многоплановый феномен, вбирающий в себя производственный, денежный и
воспроизводительный аспекты.
. Динамика
Изучение изменения показателей во времени, то
есть динамики изменения показателей - одна из наиболее важных задач статистики.
Ряд динамики (time series или временной ряд) -
расположенные в хронологической последовательности числовые значения
показателя, характеризующие изменение явления во времени.
В ряду динамики выделяют два основных элемента
) время (t)
) уровень ряда динамики (yt).
Длина ряда - это количество уровней ряда
В зависимости от того, какими показателями
представлены уровни ряда динамики, различают ряды динамики абсолютных,
относительных и средних величин, а также в зависимости от того, относятся
уровни ряда к определенному моменту времени или к определенному периоду
времени, делятся на моментные и интервальные.
В интервальном ряду динамики значения
статистического показателя относятся к последовательным периодам времени
(годам, кварталам, месяцам). Складывая значения показателей за несколько
периодов времени, получаем ряд динамики укрупненных показателей.
В моментном ряду данные представлены на
определенные последовательные моменты времени (на определенные даты). Их
сложение смысла не имеет, так как приводит к повторному счету. Это объясняется
тем, значение показателя в последующий момент времени содержит частично или
полностью его значение в предыдущий момент времени.
В зависимости от величины расстояния между
уровнями ряда во времени выделяют ряды динамики с равноотстоящими во времени
уровнями и неравноотстоящими во времени уровнями.
Основными показателями данной группы являются:
) Абсолютный прирост (Δy);
) Коэффициент роста (Кр);
) Темп роста (Тр);
)Темп прироста (Тп);
) Абсолютное значение одного процента прироста
(А).
Результатом их расчета является ряд динамики,
длина которого (n-1), где n - количество уровней исходного ряда.
Показатели изменения уровней ряда динамики
рассчитываются на базисной и цепной основе.
Таблица 1. Абсолютный прирост:
|
Абсолютный
прирост базисный (Δyб)
|
Абсолютный
прирост цепной (Δyц)
|
|
Формула
|
Dyiб =yi
- y1
|
Dyiц=yi
- yi-1
|
|
Интерпретация
|
Показывает,
на сколько текущий уровень превышает базисный
|
Показывает,
на сколько текущий уровень превышает предыдущий
|
Абсолютный прирост может быть положительным и
отрицательным. Взаимосвязь между базисным и цепными абсолютными приростами
имеет вид:
Таблица 2. Коэффициент роста (Кр):
|
Коэффициент
роста базисный (Крб)
|
Коэффициент
роста цепной (Крц)
|
|
Формула
|
|
|
|
Интерпретация
|
Показывает,
во сколько раз текущий уровень превышает базисный
|
Показывает,
во сколько раз текущий уровень превышает предыдущий
|
Коэффициент роста может быть только
положительным. Взаимосвязь между базисным и цепными коэффициентами роста имеет
вид:
Таблица 3. Темп роста (Тр):
|
Темп
роста базисный (Трб)
|
Темп
роста цепной (Трц)
|
|
Формула
|
Трiб=Крiб*100%
|
Трiц=Крiц*100%
|
|
Интерпретация
|
Показывает,
сколько процентов составляет текущий уровень от базисного
|
Показывает,
сколько процентов составляет текущий уровень от предыдущего
|
Темп роста может быть только положительным.
Таблица 4. Темп прироста:
|
Темп
прироста базисный (Тпрб)
|
Темп
прироста цепной (Тпрц)
|
|
Формула
|
Тnpiб=(Yi-Yi-1)/Y0*100
|
Тnpiц=(Yi-Yi-1)/Yi-1*100
|
|
Интерпретация
|
Показывает,
на сколько процентов текущий уровень больше (меньше) базисного
|
Показывает,
на сколько процентов текущий уровень больше (меньше) предыдущего
|
Темп прироста может быть положительным,
отрицательным, нулевым.
Таблица 5. Абсолютное значение одного процента
прироста (А):
|
Темп
прироста цепной (Ац)
|
|
Формула
|
|
|
Интерпретация
|
Показывает,
какое абсолютное значение приходится на 1 % прироста
|
Показывает, какое абсолютное значение приходится
на 1 % прироста.
Сводные показатели ряда динамики являются
обобщающими характеристиками ряда динамики исследуемого явления. К ним
относятся:
1) Средний уровень ряда динамики;
) Средний абсолютный прирост;
) Средний темп роста;
) Средний темп прироста.
Определение среднего уровня ряда динамики
зависит от вида ряда динамики:
Для интервальных рядов динамики с
равноотстоящими интервалами средний уровень ряда определяется по формуле
средней арифметической простой;
Для интервальных рядов динамики с
неравноотстоящими интервалами средний уровень ряда определяется по формуле
средней арифметической взвешенной; весами являются расстояния между уровнями во
времени.
Для моментных рядов динамики с равноотстоящими
во времени моментами средний уровень ряда определяется по формуле средней
хронологической простой:
Для моментных рядов динамики с неравноотстоящими
во времени моментами средний уровень ряда определяется по формуле средней
хронологической взвешенной.
Средние показатели изменения уровней
ряда динамики:
) Средний абсолютный прирост
рассчитывается как средняя арифметическая простая из показателей абсолютных
приростов цепных:
Средний абсолютный прирост
показывает, на сколько в среднем изменяется уровень ряда динамики за единичный
промежуток времени (например, за месяц, если ряд динамики представлен данными
за N месяцев, или за год, если ряд динамики представлен данными за N лет.
) Средний коэффициент роста
представляет собой среднюю геометрическую из показателей коэффициентов роста
цепных:
Средний коэффициент роста
показывает, во сколько раз в среднем изменяется уровень ряда за единичный
промежуток времени.
Средний темп роста:
Средний темп роста показывает,
сколько процентов в среднем за единичный промежуток времени составляет уровень
ряда от предыдущего уровня.
Средний темп прироста:
Средний темп прироста показывает, на
сколько процентов в среднем за единичный промежуток времени изменяется уровень
ряда.
Модель ряда динамики:
Уровни ряда динамики формируются под
совокупным влиянием множества факторов, различных по характеру и силе
воздействия.
Модель ряда динамики:
= f (T, K, S, E)
где: y - уровень ряда; T- трендовый
компонент; K - циклический компонент; S - сезонный компонент; E- случайный
компонент.
Т - Тренд (основная тенденция ряда
динамики) формируется под влиянием факторов эволюционного характера, которые
оказывают практически постоянное воздействие.
К - циклические колебания
относительно линии тренда, связанные с экономическими циклами
продолжительностью несколько лет.- сезонные колебания относительно линии тренда
- периодические колебания, которые имеют определенный и постоянный период,
равный году.
Е - нерегулярные колебания,
обусловленные влиянием факторов нерегулярного воздействия (множества
второстепенных факторов).
Выявление основной тенденции в рядах
динамики:
Выявление тренда называется выравниванием
ряда динамики.
При этом предполагается, что через
время можно выразить влияние всех основных факторов на уровень ряда.
Существует следующие методы
выявления основной тенденции в рядах динамики:
1) графический метод;
) сглаживание или механическое выравнивание;
) аналитическое выравнивание - построение
формулы вида yТ= f(t);
Графический метод основан на визуальном анализе
графического представления ряда динамики. Наиболее распространенным видом
графического изображения является линейная диаграмма. Её анализ позволяет
сделать вывод о присутствии или отсутствии тренда в уровнях ряда динамики.
Метод скользящей средней используется, когда
неясно, какую функцию подобрать для тренда.
Метод основан на вычислении среднего из р первых
уровней ряда (интервала сглаживания). Полученная средняя относится к его
середине. На втором шаге определяется средняя из (y2,...yp+1).
Так как полученная средняя относится к середине
интервала сглаживания, удобнее, чтобы р было нечетным.
Обычно р=3; 5.
Ряд скользящих средних получается более гладким,
чем исходный, так как отклонения исходного ряда усредняются.
Недостаток метода - сокращение длины
выравненного ряда по сравнению с исходным на количество уровней, равное р-1.
Очень часто интервал сглаживания требуется
выбирать четным. Это связано с тем, что длины сезонных циклов обычно четные.
Например, в случае когда исходный ряд динамики представлен с разбивкой по
кварталам, р=4.
В этом случае рассчитывают две последовательные
скользящие средние, из которых далее вычисляется средняя арифметическая. Она
будет относится к одному из уровней ряда.
. Индексный метод
Индексы являются важнейшим
видом обобщающих статистических показателей. Они используются для
характеристики динамики явлений, сравнений по различным территориям, при контроле
и разработке плановых заданий. Наравне со средними величинами они представляют
собой один из самых распространенных видов статистических показателей. Слово
«индекс» (index) в переводе с латыни означает указатель, показатель. В
статистике этот термин имеет специфическое значение. Индекс - это относительная
величина, характеризующая изменение сложных общественных явлений во времени,
пространстве или по сравнению с планом.
Индекс является результатом
сравнения двух одноименных величин, поэтому необходимо различать величину
сравнения (числителя индексного отношения) и базу сравнения (знаменатель).
Выбор базы сравнения определяется целью исследования; при изучении динамики в
качестве базы используются данные какого-либо предыдущего периода; при контроле
за выполнением плана - плановые данные; при территориальных сравнениях - данные
другой территории.
Величину сравнения обычно
называют показателем отчетного периода, базу сравнения называют показателем
базисного периода. Если базисный уровень при исчислении индекса принимается за
единицу, то индексы вычисляются в виде коэффициентов, а если базисный уровень
принимается за 100, то индекс вычисляют в виде процентов. На основании
вычисления можно определить, во сколько раз отчетная величина больше или меньше
базисной, или на сколько процентов она больше или меньше базисной.
Статистика изучает в основном
сложные экономические явления, которые состоят из элементов непосредственно
несоизмеримых. Так, если электромеханический завод производит несколько видов
продукции, то данные о выпуске продукции в натуральном выражении суммировать
нельзя. Для того, чтобы показать общее изменение выпуска по нескольким видам
продукции и вычисляются индексы. С их помощью можно дать обобщенную
характеристику изменения себестоимости, цен, выпуска по нескольким видам
продукции.
При всем их разнообразии
экономические индексы подразделяются на индивидуальные и общие индексы.
Индивидуальным называется
индекс, характеризующий изменение объема производства, объема продажи, уровня
производительности труда и т.д. в отношении какого-нибудь одного продукта.
;
Индивидуальные индексы:
цен
;
себестоимости
;
стоимости
.
Общим (агрегатным) называется
индекс, характеризующий общее (среднее) изменение объема производства, объема
продаж, уровней цен и т.д. в отношении совокупности рядов товаров. Например,
индексы, показывающие изменение общего объема производства различных видов
продукции или изменение уровня цен различных видов товаров в целом. При расчете
общих индексов возникает проблемы соизмерения показателей по отдельным товарам.
Соизмеримость отдельных показателей достигается путем взвешивания, суть которого
состоит в том, что при вычислении абстрагируются от влияния изменения одной из
сторон изучаемого явления, принимая ее за неизменную величину. Так, при расчете
индекса объема проданной продукции неизменными величинами будут цены, а при
расчете индекса цен - количество проданной продукции. Та сторона изучаемого
явления, от влияния изменения которой абстрагируются, принимая ее за
неизменную, называется весами индекса.
К индексам объемных показателей
относятся индексы физического объема продукции, численность рабочих, общий
расход материалов. Они измеряют общий, суммарный объем того или иного явления.
Методы построения индексов
объемных показателей рассмотрим на примере индекса физического объема
продукции. При его исчислении ставится задача охарактеризовать изменение объема
всей продукции, изготовленной предприятием или группой предприятий.
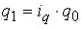
Индивидуальные индексы
физического объема продукции характеризуют изменение выпуска по каждому виду
продукции, их формула может быть записана следующим образом:
,
где
и
-
выпуск продукции данного вида соответственно в отчетном и базисном периоде.
По своему существу эти индексы
не отличаются от относительных величин и представляют собой отношение
количества продукции отчетного периода к количеству продукции базисного
периода.
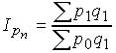
Для получения обобщенной
характеристики динамики по всей совокупности выпускаемой продукции исчисляется
агрегатный (общий)
Чтобы индекс отражал только
изменение индексируемого объемного показателя, веса в его числителе и
знаменателе фиксируются на уровне одного и того же периода. В данном случае,
для того, чтобы показать изменение объема продукции, необходимо устранить
изменение цен. Это достигается тем, что продукция отчетного и базисного периода
исчисляется в одинаковых (фиксированных) ценах.
Общий индекс физического объема
продукции:
,
где
-
индексируемая величина;
- вес;
- цены
сопоставимые (базисные).
К индексам качественных
показателей относятся индексы цен, индексы себестоимости продукции, индексы
средней заработной платы, индексы производительности труда, индексы удельных
расходов материалов. Эти индексы характеризуют показатели, которые носят
расчетный характер. Они измеряют интенсивность, эффективность явления и
являются либо средними, либо относительными величинами.
Рассмотрим расчет
индивидуального и общего индекса качественных показателей на примере индекса
цен.
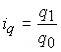
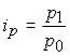
Индивидуальный индекс цен
характеризует изменение цены по каждому виду продукции:
,
где
и
-
соответственно цена отчетного и базисного периода.
Перед общим (агрегатным)
индексом качественного показателя ставится задача измерить не только
относительное изменение уровня, но и абсолютную величину того экономического
эффекта, который получен в текущем периоде в результате этого изменения. В
данном случае сумму экономии покупателей за счет снижения цен, или сумму их
дополнительных расходов, если цены повысились.
Для получения общего индекса
цен нужно построить его так, чтобы отразилось влияние только фактора изменения
цен, и было бы исключено влияние изменения количества проданных товаров. Это
возможно в том случае, если для обоих сравниваемых периодов количество
проданных товаров будет взято одинаковое. Количество проданных товаров следует
брать в текущем периоде, так как только на приобретении этого количества
потребитель может экономить в результате снижения цен или перерасходовать в
результате их повышения.
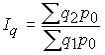
Общий индекс цен:
- индекс цен
Пааше,
где
-
индексируемая величина;
- веса.
В числителе индекса дана
суммарная стоимость проданных в текущем периоде товаров по ценам текущего
периода, а в знаменателе - стоимость того же количества товаров, но
рассчитанная по ценам базисного периода.
Экономия (перерасход) от
изменения цен:
.
В статистике используются и
другие формы представления общих индексов цен - Ласпейреса и Фишера:
- индекс цен
Ласпейреса,
- индекс цен
Фишера.
Если при исчислении индексов
сравниваемых периодов три и более, то возникает вопрос о выборе базы сравнения.
В зависимости от базы сравнения различают цепные и базисные индексы.
Цепные индексы получают путем
сопоставления индексируемого показателя любого периода с показателем
предшествующего ему периода. Базисные индексы вычисляются путем сравнения
индексируемого показателя каждого периода с соответствующим показателем
периода, принятого за базу сравнения.
Цепные и базисные индексы могут
быть как индивидуальные, так и общие. Между цепными и базисными индексами
существует определенная взаимосвязь, которая для индивидуальных индексов
проявляется всегда, а для агрегатных индексов - лишь при определенных условиях.
Базисные индивидуальные
индексы:
;
;
.
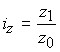
Цепной индивидуальный индекс:
;
;
.
Последовательное перемножение
цепных индивидуальных индексов дает возможность получить базисный индекс:
.
Базисный агрегатный индекс
физического объема продукции:
;
.
Цепной агрегатный индекс
физического объема продукции:
;
.
Последовательно перемножение
цепных агрегатных индексов физического объема продукции дает возможность
получить базисный индекс:
.
Агрегатные индексы качественных
показателей всегда являются индексами с переменными весами, так как при их
исчислении всегда используются веса отчетного периода. Поэтому цепной метод
исчисления базисных индексов для них не приемлем.
Агрегатный способ исчисления
общих индексов является основным, но не единственным в статистике. В ряде
случаев из-за отсутствия некоторых данных нельзя произвести расчет по формуле
агрегатного индекса. Это может иметь место в том случае, если нет данных об
абсолютном значении индексируемой величины, т.е. величины показателя,
характеризующего ту сторону явления, изменение которой изучается (например, при
исчислении индекса физического объема продукции нет данных об объеме
производства
Таблица 6. Цепные и базисные
индексы
Мы знаем, что индивидуальный
индекс физического объема выражается
,
следовательно,
. Если в формуле
агрегатного индекса
заменить
на
выражение
, то получим
формулу среднего арифметического индекса физического объема:

В тех случаях, когда нет данных
о количестве проданных товаров, нельзя исчислить агрегатный индекс цен, но если
известны индивидуальные индексы цен, а также имеются данные о продажах в
текущем периоде в ценах текущего периода, таким образом, можно исчислить
средний гармонический индекс цен.
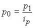
Из формулы индивидуального
индекса цен
, определим
.
Если в агрегатном индексе цен
заменить в
знаменателе
на
,
то получим формулу среднего гармонического индекса цен:
.
Изменение структуры изучаемой
совокупности оказывает влияние на динамику экономических явлений. Рассмотрим
это положение на примере изменения цен на всех рынках на какой-то один товар.
Изменение цен может быть результатом двух факторов: изменения уровня цен на
отдельных рынках и изменения в соотношении количества данного товара, реализованного
на отдельных рынках с разным уровнем цен на этот товар.
Во-первых, определим результат
совместного действия обоих факторов. В этом случае индекс цен на какой-то товар
определяется, как отношение средней цены текущего периода к средней цене
базисного периода. Для определения средних цен текущего и базисного периода в
качестве весов принимается количество реализованного товара в соответствующих
периодах:
.
Отношение двух взвешенных
средних с изменяющимися (переменными) весами, показывающее изменение
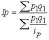
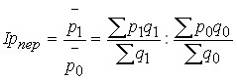
индексируемой величины, принято называть индексом переменного состава.
Чтобы определить изменение
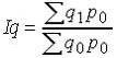
уровня цен в чистом виде, надо устранить влияние изменения структуры продаж:
.
Отношение средних взвешенных с
одними и теми же весами называется индексом постоянного (фиксированного)
состава.
Для определения влияния
изменения соотношения количества проданного товара на разных рынках необходимо
устранить влияние изменения цен на отдельных рынках, т.е. зафиксировать их на
базисном уровне. Для этих целей рассчитывается индекс структурных сдвигов:
,
.
Все экономические явления
находятся во взаимосвязи друг с другом. Так, стоимость выработанной продукции
зависит от количества выработанной продукции и цены за единицу продукции. Также
связаны и индексы, характеризующие изменения этого явления:
.
;
.
4. Взаимосвязи социально-экономических явлений и
процессов
Наиболее разработанной в теории статистики
является методология корреляционно-регрессионного анализа парной корреляции,
которая исследует связь между одним признаком-фактором (х) и одним
признаком-результатом (у).
В основу выявления и установления аналитической
формы связи положено применение в анализе исходной информации математических
функций, для чего применяют различного вида уравнения прямолинейной и криволинейной
связи.
Это уравнение называется уравнением регрессии
(или уравнение парной зависимости).
Например, уравнение парной линейной
корреляционной зависимости имеет следующий вид:
, (1)
где ух - теоретические значения
результативного признака, полученные по уравнению регрессии; 0, a1
- коэффициенты (параметры) уравнения регрессии.
Коэффициент парной линейной регрессии а1
показывает изменение результативного признака у под влиянием изменения
факторного признака х. Уравнение (1) показывает среднее значение изменения
результативного признака у при изменении факторного признака х на одну единицу
его измерения, т.е. вариацию у, приходящуюся на единицу вариации х. Знак а1
указывает направление этого изменения.
Параметры уравнения a0, a1
определяют путем решения системы нормальных уравнений, полученной на основе
метода наименьших квадратов.
В основу этого метода положено требование
минимальности сумм квадратов отклонений фактических данных (уi)
от выровненных (yxi):
(уi
- yxi)
2 = (уi
- а0
- а1*хi)
2 min, (2)
Так, для уравнения парной линейной зависимости
система уравнений имеет следующий вид:
(3)
(4)
Параметры уравнения прямой будут иметь следующий
вид:
(5)
. (6)
Определив значения а0, а1
и подставив их в уравнение связи
,
находим значение ух, зависящее только от заданного значения х.
Для прямолинейных зависимостей измерителем
тесноты связи между признаками является коэффициент парной корреляции, который
рассчитывается по формуле:
, (7)
где
-
среднее произведение факторного и результативного признака:
; (8)
- среднее значение
факторного признака:
; (9)
- среднее значение
результативного признака:
; (10)
- среднее
квадратическое отклонение результативного признака:
; (11)
- среднее
квадратическое отклонение факторного признака:
. (12)
Квадрат линейного коэффициента корреляции
называется линейным коэффициентом детерминации:
r2 =
d. (13)
Коэффициент детерминации показывает, какая часть
общей вариации результативного признака (y)
объясняется влиянием изучаемого фактора (x).
Для получения выводов о практической значимости
синтезированных в анализе моделей, показаниям тесноты связи дается качественная
оценка. Это осуществляется на основе шкалы Чеддока.
Таблица 7 - Шкала Чеддока
|
Показания
тесноты связи
|
0,1
- 0,3
|
0,3
- 0,5
|
0,5
- 0,7
|
0,7
- 0,9
|
0,9
- 0,999
|
|
Характеристика
силы связи
|
слабая
|
умеренная
|
заметная
|
высокая
|
весьма
высокая
|
При r
= 1 связь является функциональной, при r=
0 связь отсутствует. Если коэффициент корреляции со знаком "+", то
связь прямая, если со знаком "-", то связь обратная.
Для практического использования моделей
регрессии важна оценка их адекватности, т.е. соответствия фактическим
статистическим данным.
Поскольку корреляционно-регрессионный анализ
связи между признаками проводится для ограниченной по объему совокупности, то
параметры уравнения регрессии, коэффициенты корреляции и детерминации могут
быть искажены действием случайных факторов. Чтобы проверить насколько эти
показатели характерны для всей генеральной совокупности, не являются ли они
результатом стечения случайных обстоятельств, необходимо проверить адекватность
построенной статистической модели.
При численности объектов анализа до 30 единиц
возникает необходимость проверки значимости (существенности) коэффициента регрессии.
При этом выясняют насколько вычисленные параметры характерны для отображения
условий: не являются ли полученные значения параметров результатом действия
случайных причин.
Значимость параметров простой линейной регрессии
осуществляется с помощью t-критерия
Стьюдента. При этом вычисляют фактические (расчетные) значения t-критерия:
для параметра а0:
, (14)
где
-
средне квадратическое отклонение результативного признака у от выровненных
значений уx,
которые рассчитываются по уравнению регрессии:
. (15)
для параметра а1:
. (16)
Вычисленные по формулам (13) и (15) значения,
сравниваются с критическими tк,
которые принимаются согласно данным таблицы Стьюдента с учетом заданного уровня
значимости и числа степеней свободы (k
= n - 2). В
социально-экономических исследованиях уровень значимости обычно принимают
равным 5%, т.е. 0,05, что соответствует доверительной вероятности 95%. Параметр
признается существенным при условии, если tф
>
tк.
В таком случае практически невероятно, что найденные значения параметров
обусловлены только случайными совпадениями.
Показатели тесноты связи, исчисленные по данным
сравнительно небольшой статистической совокупности, также могут искажаться
действием случайных причин. Это вызывает необходимость проверки их
существенности, дающей возможность распространять выводы по результатам выборки
на генеральную совокупность.
Для оценки значимости линейного коэффициента
корреляции r применяется t-критерий
Стьюдента. При этом определяется фактическое (расчетное) значение критерия (trф):
, (17)
где n-2
- число степеней свободы при заданном уровне значимости и объеме выборки n.
Вычисленное значение trф
сравнивается
с критическим tk,
которое берется из таблицы Стьюдента с учетом заданного уровня значимости и
числа степеней свободы k
= n - 2.
Если trф
> tk,
то это свидетельствует о значимости линейного коэффициента корреляции r
и существенности связи между признаком-фактором и признаком-результатом.
Поскольку не все фактические значения
результативного признака лежат на линии регрессии, более справедливо для записи
уравнения корреляционной зависимости воспользоваться следующей формулой:
, (18)
где ε
- отражает случайную составляющую вариации результативного признака.
В некоторых случаях рассеяние точек
корреляционного поля настолько велико, что для принятия решений в управлении не
целесообразно пользоваться уравнением регрессии, так как погрешность в оценке
анализируемого показателя будет чрезвычайно велика. Для всей совокупности
наблюдаемых значений рассчитывается средняя квадратическая ошибка уравнения
регрессии, которая представляет собой среднее квадратическое отклонение
фактических значений результативного признака у относительно значений,
рассчитанных по уравнению регрессии ух:
. (19)
Среднюю квадратическую ошибку уравнения
регрессии S
сравнивают со средним квадратическим отклонением результативного признака. Если
Sε
< εу,
то использование уравнения регрессии в статистическом анализе является
целесообразным.
Таким образом, опираясь на оценку существенности
параметров уравнения регрессии и значений линейного коэффициента корреляции, а
также на основании оценки надежности уравнения регрессии, дают заключение об
адекватности построенной регрессионной модели и возможности распространения
выводов, полученных по результатам малой выборки на всю генеральную
совокупность.
После проверки адекватности, установления
точности и надежности регрессионной модели необходимо ее проанализировать, т.е.
дать экономическую интерпретацию параметров регрессии.
Для уравнения парной линейной зависимости прежде
всего необходимо проверить согласуется ли знак параметра а1 с
теоретическими представлениями и соображениями о направлении влияния
признака-фактора на результативный признак. Для удобства интерпретации
параметра а1 следует использовать коэффициент эластичности:
. (20)
Коэффициент эластичности показывает среднее
изменение результативного признака при изменении факторного признака на 1% и
вычисляется в% - ах.
Уравнение регрессионной зависимости является
базой для расчета прогнозных значений результативного признака, стоящих за
пределами изучаемого ряда. Для осуществления прогноза значений результативного
признака по уравнению регрессии используют не дискретные (точечные), а
интервальные оценки.
Средняя квадратическая ошибка уравнения
регрессии дает возможность в каждом отдельном случае с определенной
вероятностью указать, что величина результативного признака расположена в
определенном интервале относительно значения, вычисленного по уравнению
регрессии.
Зная дисперсию результативного показателя у и
задаваясь уровнем доверительной вероятности, определяют доверительные границы
прогнозного значения результативного признака упрогноз при значении
факторного признака хо по формуле:
, (21)
где ухо - дискретная (точечная)
оценка прогнозного значения результативного признака у, рассчитанная по уравнению
регрессии, при заданном значении факторного признака хо;
t
- критерий Стьюдента, который для линейной зависимости определяется в
соответствии с уровнем значимости по распределению Стьюдента с k
= n - 2 степенями
свободы;
При практическом использовании уравнения
регрессии следует помнить, что экстраполяция, т.е. нахождение прогнозируемых
уровней за пределами изучаемого ряда, допускается только тогда, когда
существенно не изменяются условия формирования уровней признаков, которые лежат
в основе определения параметров уравнения регрессии. В противном случае
использование уравнений для составления прогнозов должно быть отвергнуто.
В своей практической работе я бы хотела
посчитать изменение стоимости, объемов производства и инфляции бензина за последние
13 лет, на основе статистических показателей описанных ранее.
Таблица 8.
|
Цены
на бензин за последние 13 лет (руб./л)
|
|
Марка
|
Года
|
|
2001
|
2002
|
2003
|
2004
|
2005
|
2006
|
2007
|
2008
|
2009
|
2010
|
2011
|
2012
|
2013
|
|
АИ76
|
6,50
|
7,60
|
9,00
|
12,50
|
14,30
|
15,80
|
17,00
|
17,40
|
18,00
|
18,40
|
25,70
|
26,56
|
26,89
|
|
Млн.
л
|
385
|
400
|
406
|
408
|
403
|
407
|
388
|
397
|
401
|
400
|
405
|
407
|
410
|
инфляция индекс ряд динамика
Расчетная таблица:
|
инфляция
|
16,923
|
18,421
|
38,889
|
14,4
|
10,49
|
7,595
|
2,353
|
3,448
|
2,222
|
39,674
|
3,346
|
1,242
|
|
абсолютный
прирост (б)
|
20,39
|
|
|
|
|
|
|
|
|
|
|
|
|
абсолютный
прирост (ц)
|
1,1
|
1,4
|
3,5
|
1,8
|
1,5
|
1,2
|
0,4
|
0,6
|
0,4
|
7,3
|
0,86
|
0,33
|
|
коэффициент
роста (б)
|
4,1369
|
|
|
|
|
|
|
|
|
|
|
|
|
коэффициент
роста (ц)
|
1,1692
|
1,1842
|
1,3889
|
1,144
|
1,105
|
1,076
|
1,024
|
1,034
|
1,022
|
1,3967
|
1,033
|
1,012
|
|
темп
роста (б)
|
413,69
|
|
|
|
|
|
|
|
|
|
|
|
|
темп
роста (ц)
|
116,92
|
118,42
|
138,89
|
114,4
|
110,5
|
107,6
|
102,4
|
103,4
|
102,2
|
139,67
|
103,3
|
101,2
|
|
темп
прироста (б)
|
313,69
|
|
|
|
|
|
|
|
|
|
|
|
|
темп
прироста (ц)
|
16,923
|
18,421
|
38,889
|
14,4
|
10,49
|
7,595
|
2,353
|
3,448
|
2,222
|
39,674
|
3,346
|
1,242
|
|
средний
уровень ряда динамики
|
16,588
|
|
|
|
|
|
|
|
|
|
|
|
|
Средний
абсолютный прирост
|
1,5685
|
|
|
|
|
|
|
|
|
|
|
|
|
средн
коэф роста
|
1,01
|
|
|
|
|
|
|
|
|
|
|
|
|
средний
темп роста
|
101
|
|
|
|
|
|
|
|
|
|
|
|
|
средний
темп прироста
|
1
|
|
|
|
|
|
|
|
|
|
|
|
|
инд.
индексы цен
|
4,1369
|
|
|
|
|
|
|
|
|
|
|
|
|
инд.
индексы стоимости
|
4,4056
|
|
|
|
|
|
|
|
|
|
|
|
|
инд.
индекс физ. объема
|
1,0649
|
|
|
|
|
|
|
|
|
|
|
|
|
общий
индекс физ. объема
|
0,8763
|
|
|
|
|
|
|
|
|
|
|
|
|
индекс
цен Пааше
|
1,1083
|
|
|
|
|
|
|
|
|
|
|
|